Genesis of Coalbed Methane and Its Storage and Seepage Space in Baode Block, Eastern Ordos Basin
Abstract
:1. Introduction
2. Geologic Setting
3. Samples and Analytical Procedures
3.1. Coal and Gas Samples
3.2. Material Composition
3.3. Pore-Size Distribution
3.4. Gas Composition and Isotopes
4. Results and Discussion
4.1. Basic Information of Coals
4.2. CBM Composition and Origin
4.2.1. Compositional Characteristics of CBM
4.2.2. Genetic Types of CH4 and CO2
4.3. Characterization of Gas Storage and Seepage Space
4.3.1. Characteristics of Seepage Pores
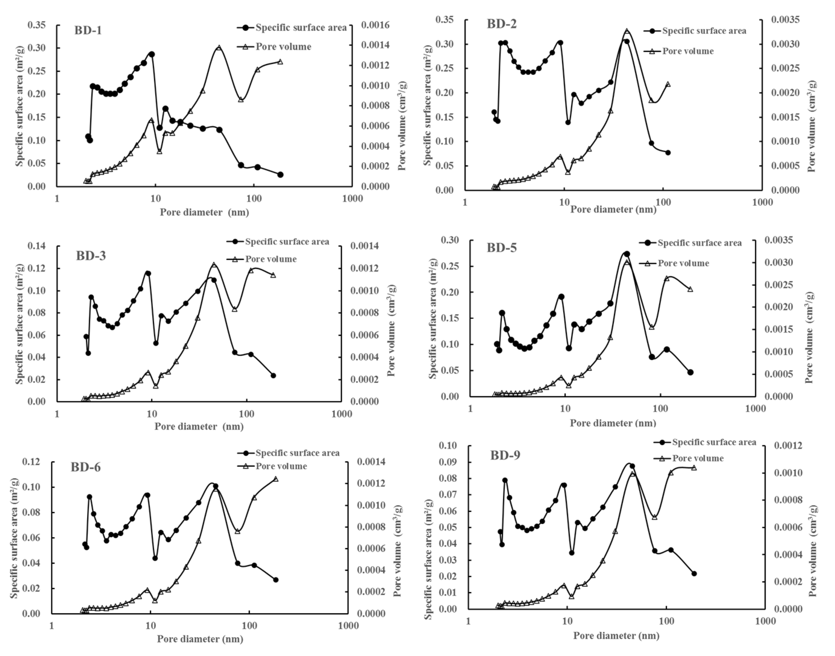
4.3.2. Characteristics of Adsorption Pores
4.3.3. Three-Dimensional Model of Storage and Seepage Space
5. Conclusions
Author Contributions
Funding
Institutional Review Board Statement
Informed Consent Statement
Data Availability Statement
Conflicts of Interest
References
- Tao, S.; Chen, S.D.; Pan, Z.J. Current status, challenges, and policy suggestions for coalbed methane industry development in China: A review. Energy Sci. Eng. 2019, 7, 1059–1074. [Google Scholar] [CrossRef] [Green Version]
 - Tao, S.; Pan, Z.J.; Tang, S.L.; Chen, S.D. Current status and geological conditions for the applicability of CBM drilling technologies in China: A review. Int. J. Coal Geol. 2019, 202, 95–108. [Google Scholar] [CrossRef]
 - Qin, Y.; Moore, T.A.; Shen, J.; Yang, Z.B.; Shen, Y.L.; Wang, G. Resources and geology of coalbed methane in China: A review. Int. Geol. Rev. 2017, 1, 777–812. [Google Scholar]
 - Shao, L.Y.; Wang, X.T.; Wang, D.D.; Li, M.P.; Wang, S.; Li, Y.J.; Shao, K.; Zhang, C.; Gao, C.X.; Dong, D.X.; et al. Sequence stratigraphy, paleogeography, and coal accumulation regularity of major coal-accumulating periods in China. Int. J. Coal Sci. Technol. 2020, 7, 240–262. [Google Scholar] [CrossRef]
 - Chen, Y.; Ma, D.M.; Xia, Y.C.; Guo, C.; Yang, F.; Shao, K. Characteristics of the mud shale reservoirs in coal-bearing strata and resources evaluation in the eastern margin of the Ordos Basin, China. Energ. Explor. Exploit. 2020, 38, 372–405. [Google Scholar] [CrossRef]
 - Tao, S.; Tang, D.Z.; Xu, H.; Li, S.; Geng, Y.G.; Zhao, J.L.; Wu, S.; Meng, Q.; Kou, X.; Yang, S.Y.; et al. Fluid velocity sensitivity of coal reservoir and its effect on coalbed methane well productivity: A case of Baode Block, northeastern Ordos Basin, China. J. Petrol. Sci. Eng. 2017, 152, 229–237. [Google Scholar] [CrossRef]
 - Yang, X.C.; Mao, J.S.; Lin, W.J.; Hao, S.; Zhao, L.M.; Wang, Y.; Li, L. Exploration history and enlightenment of coalbed methane in baode block. Xinjiang Petrol. Geol. 2021, 42, 381–388. [Google Scholar]
 - Tian, W.G.; Tang, D.Z.; Wang, Z.L.; Sun, B. Origin of coalbed methane in Baode, Northeastern Ordos Basin. Geol. J. China Univ. 2012, 18, 479–484. [Google Scholar]
 - Guo, H.G.; Yu, Z.S.; Zhang, H.X. Phylogenetic diversity of microbial communities associated with coalbed methane gas from Eastern Ordos Basin, China. Int. J. Coal Geol. 2015, 150, 120–126. [Google Scholar] [CrossRef]
 - Liu, S.M.; Tan, F.R.; Huo, T.; Tang, S.H.; Zhao, W.X.; Chao, H.D. Origin of the hydrate bound gases in the Juhugeng Sag, Muli Basin, Tibetan Plateau. Int. J. Coal Sci. Technol. 2020, 7, 43–57. [Google Scholar] [CrossRef] [Green Version]
 - Xu, H.; Tang, D.; Liu, D.; Tang, S.; Yang, F.; Chen, X.; Deng, C. Study on coalbed methane accumulation characteristics and favorable areas in the Binchang area, southwestern Ordos Basin, China. Int. J. Coal Geol. 2012, 95, 1–11. [Google Scholar] [CrossRef]
 - Yang, C.; Zhang, J.; Tang, X. Microscopic pore types and its impact on the storage and permeability of continental shale gas, Ordos Basin. Earth Sci. Front. 2013, 20, 240–250. [Google Scholar]
 - Xue, G.; Liu, H.; Li, W. Deformed coal types and pore characteristics in Hancheng coalmines in Eastern Weibei coalfields. Int. J. Min. Sci. Technol. 2012, 22, 681–686. [Google Scholar] [CrossRef]
 - Tang, X.; Zhang, J.; Shan, Y.; Xiong, J. Upper Paleozoic coal measures and unconventional natural gas systems of the Ordos Basin, China. Geosci. Front. 2012, 3, 863–873. [Google Scholar] [CrossRef] [Green Version]
 - Wang, L.; Jiang, B.; Qu, Z. Structural control on gas content distribution in eastern margin of Ordos basin. Coal Geol. Explor. 2013, 41, 14–19. [Google Scholar]
 - Jiang, B.; Xu, J.; Zhu, K.; Wang, J.; Wang, J.; Qu, Z. Structural and hydrogeological controls of coalbed methane preservation in the eastern Ordos Basin. Geol. J. China Univ. 2012, 3, 438–446. [Google Scholar]
 - Cao, D.Y.; Wang, A.M.; Ning, S.Z.; Li, H.T.; Guo, A.J.; Chen, L.M.; Liu, K.; Tan, J.Q.; Zheng, Z.H. Coalfield structure and structural controls on coal in China. Int. J. Coal Sci. Technol. 2020, 7, 220–239. [Google Scholar] [CrossRef]
 - GB/T 212-2008, Chinese National Standard: Proximate Analysis of Coal; General Administration of Quality Supervision, Inspection and Quarantine: Beijing, China, 2008. (In Chinese)
 - ISO 7404.3-1994, Methods for the Petrographic Analysis of Bituminous Coal and Anthracite—Part 3: Method Of Determining Maceral Group Composition; International Organization for Standardization: Geneva, Switzerland, 1994.
 - ISO 7404.5-1994, Method for the Petrographic Analysis of bituminous Coal and Anthracite—Part 5: Method of Determining Microscopically the Reflectance of Vitrinite; International Organization for Standardization: Geneva, Switzerland, 1994.
 - Tao, S.; Zhao, X.; Tang, D.Z.; Deng, C.M.; Meng, Q.; Cui, Y. A model for characterizing the continuous distribution of gas storing space in low-rank coals. Fuel 2018, 233, 552–557. [Google Scholar] [CrossRef]
 - SY/T 5346-2005, Chinese Petroleum and Natural Gas Industry Standard: Rock Capillary Pressure Measurement; National Energy Administration: Beijing, China, 2005. (In Chinese)
 - Tao, S.; Pan, Z.J.; Chen, S.D.; Tang, S.L. Coal seam porosity and fracture heterogeneity of marcolithotypes in the Fanzhuang Block, southern Qinshui Basin, China. J. Nat. Gas Sci. Eng. 2019, 66, 148–158. [Google Scholar] [CrossRef]
 - GB/T 13610-2014, Composition Analysis of Natural Gas by Gas Chromatography; Standardization Administration of the People’s Republic of China: Beijing, China, 2014. (In Chinese)
 - Yang, Z.; Grace, J.R.; Lim, C.J.; Zhang, L. Combustion of low-concentration coal bed methane in a fluidized bed. Energy Fuels 2011, 25, 975–980. [Google Scholar] [CrossRef]
 - Wang, Q.; Dong, S.; Wang, H.; Yang, J.; Huang, H.; Dong, X.; Yu, B. Hydrogeochemical processes and groundwater quality assessment for different aquifers in the Caojiatan coal mine of Ordos Basin, northwestern China. Environ. Earth Sci. 2020, 79, 199. [Google Scholar] [CrossRef]
 - Li, Z.W.; Tang, D.Z.; Tang, S.L.; Pu, Y.F.; Zhang, A.B. Study on formation mechanism of CO2-enriched CBM reservoirs in low-rank coal seams from southern Zhunggar Basin. Coal Sci. Technol. 2021, 49, 174–180. [Google Scholar]
 - Scott, A.R.; Kaiser, W.R.; Walter, B.; Ayers, J. Thermogenic and secondary biogenic gases, San Juan Basin, Colorado and New Mexico; implications for coalbed gas producibility. AAPG Bull. 1994, 78, 1186–1209. [Google Scholar]
 - Qi, Y.; Jiao, S.; Tang, Y.; Ye, J. Characteristics and origins of stable carbon isotope in coalbed methane of China. J. China Univ. Min. Technol. 2000, 29, 10–17. [Google Scholar]
 - Whiticar, M.J. Carbon and hydrogen isotope systematics of bacterial formation and oxidation of methane. Chem. Geol. 1999, 161, 291–314. [Google Scholar] [CrossRef]
 - Xu, T.; Xie, Q.; Kang, Y. Heat effect of the oxygen-containing functional groups in coal during spontaneous combustion processes. Adv. Powder Technol. 2017, 28, 1841–1848. [Google Scholar] [CrossRef]
 - Gao, C.; Liu, D.; Li, Z.; Cai, Y.; Fang, Y. Fluid performance in coal reservoirs: A comprehensive review. Geofluids 2021, 2021, 6611075. [Google Scholar] [CrossRef]
 - Tao, S.; Chen, S.D.; Tang, D.Z.; Zhao, X.; Xu, H.; Li, S. Material composition, pore structure and adsorption capacity of low-rank coals around the first coalification jump: A case of eastern Junggar Basin, China. Fuel 2018, 211, 804–815. [Google Scholar] [CrossRef]
 - Men, X.Y.; Tao, S.; Liu, Z.X.; Tian, W.G.; Chen, S.D. Experimental study on gas mass transfer process in a heterogeneous coal reservoir. Fuel Process. Technol. 2021, 216, 106779. [Google Scholar] [CrossRef]
 - Chen, S.D.; Tang, D.Z.; Tao, S.; Chen, Z.L.; Xu, H.; Li, S. Coal reservoir heterogeneity in multi-coal seams of the Panguan syncline, Western Guizhou, China: Implication for the development of superposed CBM-bearing systems. Energy Fuels 2018, 32, 8241–8253. [Google Scholar] [CrossRef]
 - Chen, S.D.; Tang, D.Z.; Tao, S.; Xu, H.; Li, S.; Zhao, J.L.; Jiang, Q.; Yang, H.X. Pore structure characterization of different rank coals using N2 and CO2 adsorption and its effect on CH4 adsorption capacity: A case in Panguan syncline, western Guizhou, China. Energy Fuels 2017, 31, 6034–6044. [Google Scholar] [CrossRef]
 - Wang, C.; Hao, S.; Sun, W.; Chu, W. Fractal dimension of coal particles and their CH4 adsorption. Int. J. Coal Sci. Technol. 2012, 22, 855–858. [Google Scholar]
 - Kim, D.; Seo, Y.; Kim, J.; Han, J.; Lee, Y. Experimental and simulation studies on adsorption and diffusion characteristics of coalbed methane. Energies 2019, 12, 3445. [Google Scholar] [CrossRef] [Green Version]
 - Friesen, W.I.; Mikula, R.J. Fractal dimensions of coal particles. J. Colloid Interface Sci. 1987, 120, 263–271. [Google Scholar] [CrossRef]
 - Zelenka, T. Adsorption and desorption of nitrogen at 77 K on micro- and mesoporous materials: Study of transport kinetics. Micropor. Mesopor. Mater. 2016, 227, 202–209. [Google Scholar] [CrossRef]
 - Chen, S.D.; Tang, D.Z.; Tao, S.; Ji, X.Y.; Xu, H. Fractal analysis of the dynamic variation in pore-fracture systems under the action of stress using a low-field NMR relaxation method: An experimental study of coals from western Guizhou in China. J. Petrol. Sci. Eng. 2019, 173, 617–629. [Google Scholar] [CrossRef]
 - Chen, Y.; Tang, D.Z.; Xu, H.; Tao, S.; Li, S.; Yang, G.H.; Yu, J.J. Pore and fracture characteristics of different rank coals in the eastern margin of the Ordos Basin, China. J. Nat. Gas Sci. Eng. 2015, 26, 1264–1277. [Google Scholar] [CrossRef]
 













| Sample No. | Coal Seam No. | Depth (m) | Ro (%) | Maceral Composition (%) | Proximate Analysis (%) | ||||
|---|---|---|---|---|---|---|---|---|---|
| Vitrinite | Inertinite | Liptinite | Mad | Aad | Vad | ||||
| BD-1 | 4 + 5 | 501.40–501.70 | 0.64 | 74.0 | 9.0 | 17.0 | 22.24 | 5.33 | 27.73 | 
| BD-2 | 4 + 5 | 502.90–503.30 | 0.67 | 45.1 | 54.4 | 0.5 | 26.56 | 4.96 | 26.46 | 
| BD-3 | 4 + 5 | 1011.40–1011.70 | 0.62 | 83.5 | 8.7 | 7.9 | 24.44 | 6.55 | 25.95 | 
| BD-4 | 4 + 5 | 1011.40–1011.70 | 0.62 | 84.8 | 10.0 | 5.2 | 18.60 | 7.31 | 30.32 | 
| BD-5 | 8 + 9 | 546.54–546.84 | 0.63 | 76.4 | 12.7 | 11.0 | 26.52 | 6.44 | 28.08 | 
| BD-6 | 8 + 9 | 546.84–547.20 | 0.68 | 82.3 | 14.8 | 2.8 | 22.95 | 7.25 | 30.12 | 
| BD-7 | 8 + 9 | 1061.10–1061.40 | 0.70 | 81.0 | 12.9 | 6.1 | 22.33 | 5.30 | 30.30 | 
| BD-8 | 8 + 9 | 1065.60–1066.00 | 0.76 | 54.7 | 38.8 | 6.5 | 25.73 | 6.51 | 30.02 | 
| BD-9 | 8 + 9 | 1068.00–1068.30 | 0.75 | 41.5 | 44.2 | 14.4 | 25.52 | 6.52 | 27.25 | 
| Coal Seam No. | Depth/m | Sample No. | Volume Fraction of Each Component in CBM (%) | Coal Seam No. | Depth/m | Sample No. | Volume Fraction of Each Component in CBM (%) | ||||||
|---|---|---|---|---|---|---|---|---|---|---|---|---|---|
| CO2 | N2 | CH4 | CO2 | N2 | CH4 | ||||||||
| 4 + 5 | 501.40–501.70 | B1-1 | B1-1-1 | 3.0 | 10.2 | 86.7 | 8 + 9 | 546.84–547.20 | B1-4 | B1-4-3 | 3.3 | 10.7 | 86.0 | 
| B1-1-2 | 3.6 | 8.8 | 87.4 | B1-4-4 | 3.5 | 9.9 | 86.6 | ||||||
| B1-1-3 | 3.3 | 7.6 | 89.1 | B1-4-5 | 3.6 | 5.6 | 90.8 | ||||||
| B1-1-4 | 3.4 | 6.0 | 90.6 | B1-4-6 | 1.9 | 4.7 | 93.5 | ||||||
| B1-1-5 | 1.6 | 4.3 | 94.1 | 1061.10–1061.40 | B2-3 | B2-3-1 | 9.0 | 2.8 | 88.1 | ||||
| 502.90–503.30 | B1-2 | B1-2-1 | 3.1 | 15.9 | 80.9 | B2-3-2 | 9.4 | 2.6 | 87.9 | ||||
| B1-2-2 | 3.8 | 15.2 | 81.1 | B2-3-3 | 9.0 | 2.5 | 88.3 | ||||||
| B1-2-3 | 3.2 | 12.7 | 84.1 | B2-3-4 | 8.6 | 2.7 | 88.5 | ||||||
| B1-2-4 | 3.8 | 9.4 | 86.8 | B2-3-5 | 8.9 | 2.5 | 88.4 | ||||||
| B1-2-5 | 2.4 | 5.7 | 91.9 | 1064.00–1064.35 | B2-4 | B2-4-1 | 10.6 | 1.9 | 87.3 | ||||
| 1011.40–1011.70 | B2-1 | B2-1-1 | 3.5 | 4.5 | 92.0 | B2-4-2 | 10.4 | 1.6 | 87.8 | ||||
| B2-1-2 | 4.1 | 3.7 | 92.1 | B2-4-3 | 10.7 | 1.7 | 87.4 | ||||||
| B2-1-3 | 4.8 | 3.0 | 92.2 | B2-4-4 | 12.0 | 2.1 | 85.7 | ||||||
| B2-1-4 | 3.8 | 3.0 | 93.2 | B2-4-5 | 10.2 | 1.7 | 88.0 | ||||||
| B2-1-5 | 2.2 | 3.1 | 94.7 | 1065.60–1066.00 | B2-5 | B2-5-1 | 9.3 | 1.7 | 88.7 | ||||
| 1014.80–1015.20 | B2-2 | B2-2-1 | 3.0 | 8.2 | 88.6 | B2-5-2 | 9.2 | 1.6 | 88.8 | ||||
| B2-2-2 | 3.2 | 7.7 | 88.8 | B2-5-3 | 10.7 | 1.5 | 87.4 | ||||||
| B2-2-3 | 2.4 | 6.5 | 90.8 | B2-5-4 | 12.0 | 1.7 | 85.8 | ||||||
| B2-2-4 | 3.0 | 5.9 | 90.7 | 1066.80–1067.10 | B2-6 | B2-6-1 | 9.7 | 5.5 | 82.6 | ||||
| B2-2-5 | 3.6 | 3.3 | 92.6 | B2-6-2 | 13.1 | 2.6 | 82.2 | ||||||
| 8 + 9 | 546.54–546.84 | B1-3 | B1-3-1 | 4.3 | 8.5 | 87.1 | B2-6-3 | 11.6 | 1.2 | 84.9 | |||
| B1-3-2 | 4.0 | 4.8 | 91.2 | B2-6-4 | 11.7 | 1.1 | 85.0 | ||||||
| B1-3-3 | 4.5 | 2.6 | 92.9 | B2-6-5 | 9.7 | 0.7 | 87.3 | ||||||
| B1-3-4 | 4.4 | 2.2 | 93.4 | 1068.00–1068.30 | B2-7 | B2-7-1 | 7.8 | 1.2 | 88.0 | ||||
| B1-3-5 | 4.7 | 2.2 | 93.2 | B2-7-2 | 9.5 | 0.6 | 87.2 | ||||||
| 546.84–547.20 | B1-4 | B1-4-1 | 3.1 | 11.5 | 85.4 | B2-7-3 | 9.6 | 2.7 | 84.1 | ||||
| B1-4-2 | 2.7 | 14.0 | 83.3 | B2-7-4 | 6.7 | 1.6 | 87.9 | ||||||
| Coal Seam No. | Depth/m | Sample No. | δ13C (‰) | δD (‰) | CDMI | Coal Seam No. | Depth/m | Sample No. | δ13C (‰) | δD (‰) | CDMI | ||||
|---|---|---|---|---|---|---|---|---|---|---|---|---|---|---|---|
| CH4 | CO2 | CH4 | CO2 | ||||||||||||
| 4 + 5 | 501.40–501.70 | B1-1 | B1-1-1 | −55.5 | −7.2 | −253.6 | 3.4 | 8 + 9 | 546.84–547.20 | B1-4 | B1-4-4 | −61.5 | −9.6 | −259.0 | 3.9 | 
| B1-1-2 | −54.6 | −7.3 | −253.2 | 3.9 | B1-4-5 | −61.3 | −9.2 | −259.9 | 3.8 | ||||||
| B1-1-3 | −55.4 | −6.0 | −253.9 | 3.6 | B1-4-6 | −60.3 | −11.3 | −256.0 | 2.0 | ||||||
| B1-1-4 | −55.5 | −5.6 | −254.3 | 3.6 | average | −61.4 | −10.5 | −259.3 | / | ||||||
| B1-1-5 | −54.0 | −9.8 | −253.2 | 1.7 | 1061.10–1061.40 | B2-3 | B2-3-1 | −51.5 | 3.1 | −252.3 | 9.3 | ||||
| average | −55 | −7.2 | −253.7 | / | B2-3-2 | −51.4 | 3.4 | −248.9 | 9.6 | ||||||
| 502.90–503.30 | B1-2 | B1-2-1 | −55.6 | −10.5 | −256.2 | 3.7 | B2-3-3 | −51.2 | 3.7 | −250.2 | 9.3 | ||||
| B1-2-2 | −55.4 | −9.2 | −255.8 | 4.4 | B2-3-4 | −50.8 | 4.2 | −250.6 | 8.9 | ||||||
| B1-2-3 | −55.3 | −8.0 | −255.1 | 3.6 | B2-3-5 | −50.5 | 3.7 | −252.3 | 9.2 | ||||||
| B1-2-4 | −55.3 | −6.9 | −255.9 | 4.2 | average | −51.1 | 3.6 | −250.9 | / | ||||||
| B1-2-5 | −54.8 | −9.0 | −254.9 | 2.6 | 1064.00–1064.35 | B2-4 | B2-4-1 | −51.7 | 5.1 | −248.5 | 10.8 | ||||
| average | −55.3 | −8.7 | −255.6 | / | B2-4-2 | −51.6 | 5.5 | −249.4 | 10.6 | ||||||
| 1011.40–1011.70 | B2-1 | B2-1-1 | −51.4 | −1.8 | −241.6 | 3.7 | B2-4-3 | −51.7 | 5.2 | −249.7 | 10.9 | ||||
| B2-1-2 | −51.3 | −1.9 | −242.1 | 4.3 | B2-4-4 | −51.3 | 6.7 | −250.3 | 12.3 | ||||||
| B2-1-3 | −50.9 | −0.9 | −241.6 | 5 | B2-4-5 | −50.5 | 4.8 | −249.2 | 10.4 | ||||||
| B2-1-4 | −50.8 | −2.9 | −243.1 | 3.9 | average | −51.4 | 5.4 | −249.4 | / | ||||||
| B2-1-5 | −50.5 | −2.8 | −243.8 | 2.3 | 1065.60–1066.00 | B2-5 | B2-5-1 | −52.0 | 1.8 | −249.2 | 9.5 | ||||
| average | −51 | −2.1 | −242.5 | / | B2-5-2 | −51.4 | 7.6 | −251.2 | 9.4 | ||||||
| 1014.80–1015.20 | B2-2 | B2-2-1 | −49.6 | −6.5 | −246.6 | 3.2 | B2-5-3 | −51.0 | 5.5 | −251.3 | 10.9 | ||||
| B2-2-2 | −49.0 | −1.0 | −245.3 | 3.5 | B2-5-4 | −50.5 | 4.9 | −250.0 | 12.3 | ||||||
| B2-2-3 | −48.4 | −6.6 | −245.3 | 2.6 | average | −51.2 | 5 | −250.4 | / | ||||||
| B2-2-4 | −48.2 | −3.8 | −246.1 | 3.2 | 1066.80–1067.10 | B2-6 | B2-6-1 | −51.8 | 2.8 | −248.5 | 10.5 | ||||
| B2-2-5 | −47.7 | −0.6 | −245.9 | 3.8 | B2-6-2 | −51.5 | 7.1 | −249.2 | 13.7 | ||||||
| average | −48.6 | −3.7 | −245.9 | / | B2-6-3 | −51.4 | 5.6 | −249.3 | 12.0 | ||||||
| 8 + 9 | 546.54–546.84 | B1-3 | B1-3-1 | −61.3 | −12.0 | −258.4 | 4.7 | B2-6-4 | −51.2 | 5.8 | −249.1 | 12.1 | |||
| B1-3-2 | −62.3 | −10.3 | −259.9 | 4.2 | B2-6-5 | −51.1 | 5.4 | −250.0 | 10 | ||||||
| B1-3-3 | −62.0 | −8.8 | −261.8 | 4.6 | average | −51.4 | 5.3 | −249.2 | / | ||||||
| B1-3-4 | −61.8 | −8.8 | −258.0 | 4.5 | 1068.00–1068.30 | B2-7 | B2-7-1 | −51.1 | 5.2 | −249.7 | 8.1 | ||||
| B1-3-5 | −61.6 | −9.0 | −258.9 | 4.8 | B2-7-2 | −50.4 | 3.8 | −247.6 | 9.8 | ||||||
| average | −61.8 | −9.8 | −259.4 | / | B2-7-3 | −50.9 | 5.1 | −249.2 | 10.2 | ||||||
| 546.84–547.20 | B1-4 | B1-4-1 | −62.3 | −12.4 | −260.7 | 3.5 | B2-7-4 | −50.6 | 5.8 | −248.0 | 7.1 | ||||
| B1-4-2 | −61.9 | −11.0 | −260.5 | 3.1 | average | −50.7 | 5 | −248.6 | / | ||||||
| B1-4-3 | −60.9 | −9.6 | −259.8 | 3.7 | |||||||||||
| Sample No. | Coal Seam No. | Porosity  (%)  | Pore Volume Percentage (%) | |||
|---|---|---|---|---|---|---|
| Micropore (<10 nm)  | Transition Pores (10–102 nm)  | Mesopore (102–103 nm)  | Macropore (>103 nm)  | |||
| BD-1 | 4 + 5 | 5.07 | 64.09 | 26.41 | 2.46 | 7.04 | 
| BD-2 | 4 + 5 | 5.39 | 61.15 | 22.19 | 3.99 | 12.67 | 
| BD-3 | 8 + 9 | 5.42 | 62.24 | 26.58 | 3.35 | 7.83 | 
| BD-5 | 8 + 9 | 6.89 | 54.89 | 31.38 | 4.65 | 9.08 | 
| BD-6 | 8 + 9 | 6.09 | 47.91 | 32.87 | 9.61 | 9.60 | 
| BD-9 | 8 + 9 | 5.29 | 49.38 | 29.89 | 6.54 | 14.19 | 
| Sample No. | Coal Seam No. | BET SSA (m2/g) | BJH TPV (10−3 mL/g)  | APD (nm) | Pore Volume Percentage (%) | ||
|---|---|---|---|---|---|---|---|
| <10nm | 10–100nm | >100nm | |||||
| BD-1 | 4 + 5 | 4.04 | 0.0119 | 11.50 | 29.55 | 50.33 | 20.12 | 
| BD-2 | 4 + 5 | 5.14 | 0.0166 | 12.51 | 24.12 | 62.65 | 13.23 | 
| BD-3 | 8 + 9 | 1.81 | 0.0080 | 17.17 | 16.31 | 55.01 | 28.68 | 
| BD-5 | 8 + 9 | 2.93 | 0.0156 | 19.86 | 12.76 | 55.12 | 32.12 | 
| BD-6 | 8 + 9 | 1.76 | 0.0074 | 17.73 | 16.20 | 52.69 | 31.11 | 
| BD-9 | 8 + 9 | 1.41 | 0.0063 | 18.33 | 14.34 | 52.41 | 33.25 | 
| Sample No. | Relative Pressure (P/P0): 0~0.5 | Relative Pressure (P/P0): 0.5~1 | ||||
|---|---|---|---|---|---|---|
| A1 | D1 = 3 + A1 | R12 | A2 | D2 = 3 + A2 | R22 | |
| BD-1 | −0.45 | 2.55 | 0.9997 | −0.41 | 2.59 | 0.9864 | 
| BD-2 | −0.46 | 2.54 | 0.9996 | −0.45 | 2.55 | 0.9996 | 
| BD-3 | −0.47 | 2.53 | 0.9975 | −0.49 | 2.51 | 0.9996 | 
| BD-5 | −0.51 | 2.49 | 0.9908 | −0.54 | 2.46 | 0.9991 | 
| BD-6 | −0.41 | 2.59 | 0.9962 | −0.47 | 2.53 | 0.9999 | 
| BD-9 | −0.44 | 2.56 | 0.9947 | −0.48 | 2.52 | 0.9987 | 
| Sample No. | Porosity (%) | Connected Porosity (%) | Proportion of Connected Pores (%) | Mineral Content (%) | 
|---|---|---|---|---|
| BD-1 | 1.97 | 0 | 0 | 3.31 | 
| BD-2 | 3.92 | 0.79 | 20.15 | 0.27 | 
| BD-3 | 0.76 | 0.07 | 9.21 | 4.5 | 
| BD-5 | 4.39 | 1.21 | 27.56 | 0.26 | 
| BD-6 | 1.17 | 0.41 | 35.04 | 3.52 | 
| BD-9 | 3.47 | 0.17 | 4.85 | 2.17 | 
Publisher’s Note: MDPI stays neutral with regard to jurisdictional claims in published maps and institutional affiliations.  | 
© 2021 by the authors. Licensee MDPI, Basel, Switzerland. This article is an open access article distributed under the terms and conditions of the Creative Commons Attribution (CC BY) license (https://creativecommons.org/licenses/by/4.0/).
Share and Cite
Chen, H.; Tian, W.; Chen, Z.; Zhang, Q.; Tao, S. Genesis of Coalbed Methane and Its Storage and Seepage Space in Baode Block, Eastern Ordos Basin. Energies 2022, 15, 81. https://doi.org/10.3390/en15010081
Chen H, Tian W, Chen Z, Zhang Q, Tao S. Genesis of Coalbed Methane and Its Storage and Seepage Space in Baode Block, Eastern Ordos Basin. Energies. 2022; 15(1):81. https://doi.org/10.3390/en15010081
Chicago/Turabian StyleChen, Hao, Wenguang Tian, Zhenhong Chen, Qingfeng Zhang, and Shu Tao. 2022. "Genesis of Coalbed Methane and Its Storage and Seepage Space in Baode Block, Eastern Ordos Basin" Energies 15, no. 1: 81. https://doi.org/10.3390/en15010081
APA StyleChen, H., Tian, W., Chen, Z., Zhang, Q., & Tao, S. (2022). Genesis of Coalbed Methane and Its Storage and Seepage Space in Baode Block, Eastern Ordos Basin. Energies, 15(1), 81. https://doi.org/10.3390/en15010081
        
                                                