Next Article in Journal
Solar Energy in the United States: Development, Challenges and Future Prospects
Previous Article in Journal
Microwave Soil Treatment along with Biochar Application Alleviates Arsenic Phytotoxicity and Reduces Rice Grain Arsenic Concentration
 
 
Font Type:
Arial Georgia Verdana
Font Size:
Aa Aa Aa
Line Spacing:
Column Width:
Background:
Article

Teeth Arrangement and Pole–Slot Combination Design for PMLSM Detent Force Reduction

1
Milwaukee Tool, Brookfield, WI 53005, USA
2
Electric Machines and Drives Research Center, Korea Electrotechnology Research Institute (KERI), Changwon 51543, Korea
3
Energy and Power Conversion Engineering, University of Science and Technology (UST), Seoul 51543, Korea
*
Author to whom correspondence should be addressed.
Energies 2021, 14(23), 8141; https://doi.org/10.3390/en14238141
Submission received: 17 October 2021 / Revised: 14 November 2021 / Accepted: 23 November 2021 / Published: 4 December 2021

Abstract

:
This paper introduces and investigates a new design method that employs both teeth arrangement and pole–slot combination to reduce the detent force of permanent magnet linear synchronous motors (PMLSMs) for precision position control. The proposed topology is a 10-pole, 12-slot-based PMLSM comprising two sections that significantly reduce the detent force without implementing a skewing design. It was analytically and experimentally confirmed that the proposed design effectively reduces detent force with a negligible sacrifice of mover length. The general characteristics and servo performance of the proposed PMLSM were experimentally examined and then discussed.

1. Introduction

A combination of a servo motor and a rotary-to-linear conversion mechanism, such as ball-screw or rack–pinion, remains one of the most common choices in various industries to realize linear motion. This is because these types of linear motion systems have proven to be robust and effective. However, due to the intermediate mechanical transmission components, this indirect linear motion system has inherent issues with friction, wear, noise, vibration, conversion losses, backlash, and limitation of speed and travel distance.
Because of these limitations, direct-drive permanent magnet linear synchronous motors (PMLSMs) have been successfully employed in a wide variety of industrial applications. These applications range from precision positioning mechanisms to chip mounters, factory automation, semiconductor manufacturing equipment, and machine tools. This is mainly due to their superior dynamic performance and positioning accuracy.
It is now widely accepted that PMLSMs are the most suitable type for demanding linear motion applications that typically require high acceleration and speed, high-precision positioning, and a high level of cleanliness. This is because they directly convert electrical energy to mechanical energy through an electromagnetic field and require no wear-prone mechanical components in the energy conversion.
By definition and construction, a PMLSM is a linearized form of a permanent magnet synchronous motor (PMSM). The design and control schemes of the motors are fundamentally identical, except that a PMLSM has a finite mover length and its open-ended geometry further produces a parasitic effect known as the end-effect. The effects of detent force reduction on the speed ripple at low speed have been well studied [1].
It is well-known that the detent force of a typical PMLSM contains two different components. One is the cogging force, which comes from the magnetic interaction between PMs and slots, and the other is the end-effect, which comes from the magnetic interaction between PMs and the end teeth [2,3,4]. Therefore, it can be said that a successful reduction strategy should be able to simultaneously reduce those two components with a small sacrifice in performance.
Previous research has revealed that the end-effect is the most important force ripple component of PMLSMs, and that it adversely affects speed-ripple and positioning performance. Most of the conventional ripple-reduction techniques used for PMSMs are not very effective at reducing this component, of which the period is equal to the pole pitch. In [5], the optimal primary length was analytically investigated to suppress the detent force of the fundamental wavelength. Moreover, a step skewing design was employed to eliminate the end effect of higher-order harmonics. A step-skewing design is still the most common approach to eliminating the harmonic order of the detent force, although non-conventional step-skewing, such as that described in [6], shows promising results. The authors of [7,8] modified some of the tooth shoe shapes and optimized the relevant design parameters to mitigate the detent force. An additional auxiliary iron-core arrangement placed at the ends of the primary has also been employed to benefit additional design parameters mitigating the detent force [9,10]. Moreover, additional auxiliary parts consisting of winding, permanent magnets, and an iron yoke have been investigated that act as a damper to suppress the detent force [11].
Recently, the authors of [1,12,13,14,15,16] have successfully proposed a new design technique that sectionalizes the mover into at least two sections and rearranges phase distribution in each section to ensure the maximum winding factor under any given pole–slot combination. This technique is simple and unusually effective for reducing the end effect. This methodology can be applied in a single-stator structure [12,13,14,15,16] and in a double-stator structure [1,17,18]. However, it still requires a skewing design or other design technique to reduce the cogging force component. Moreover, the skewing design typically sacrifices about 5% of the thrust.
In this paper, results are presented from investigations of a viable design strategy by which to reduce detent force effectively. This was completed by incorporating a teeth arrangement and pole–slot combination that does not require a skewing design, or other reduction technique, to reduce the cogging force. This is because a good selection of the pole–slot combination easily leads to a low cogging force component.

2. Detent Force Reduction Design Strategy

Considering the nature of the detent force of a PMLSM, it can be intuitively understood that the implementation of a single design technique is not sufficient to reduce the detent force to a certain level. This is because it inherently contains two components with different periods. Therefore, to achieve a successful reduction in each component, it is necessary to develop at least two design techniques that work independently to minimize performance loss.
As mentioned in the introduction, to reduce the cogging-force component, all the PMSM design techniques can be adopted for the PMLSM. Various reduction techniques have been reported and investigated in the literature, including skewing, tooth width design, teeth paring, notching, PM shaping [19], pole pairing [20,21,22], nonuniformly distributed teeth [23], pole shifting [24], pole–slot combination [25], and non-uniform air gaps [26]. Among these previous design techniques, the pole–slot combination is especially interesting because it is unrelated to the motor geometry.
It is possible to obtain physical insight into the end effect of PMLSMs by examining the following mathematical expressions [2,3,4]:
F R ( x ) = A 0 + n = 1 A n sin ( 2 n π τ p x + α n )
F L ( x ) = F R ( τ p x δ )
F R + L ( x ) = n = 1 A n cos ( δ 2 ) sin ( 2 n π τ p x + δ 2 )
where F R , F L , F R + L , A 0 , A n , τ p , α 0 , and δ represent the force at the right end, the force at the left end, the resultant force at both ends, the offset value, the amplitude of nth harmonic component, the pole-pitch, the phase angle of the nth harmonic component, and the phase difference between FR and FL, respectively. The resultant force expressed in (3) indicates that it is possible to reduce the end-effect in two different ways. One is the minimization of the amplitude of the two forces, and this usually requires extensive geometric optimization and a compromise in performance. The other utilizes the phase difference between the two forces. In this case, the cosine term in (3) becomes zero when the phase difference equals 180 degrees [1].
For the end-effect reduction, the teeth arrangement design seems quite simple and effective because it changes no electromagnetic design parameters and thus, preserves the overall performance. Therefore, in this paper, a new design strategy is proposed that employs both teeth arrangement and pole–slot combination together. This can be performed because both are not determined by geometry but are a matter of the designer’s choice. Moreover, these two work independently.

2.1. Selection of the Pole–Slot Combination

It is well-known that the period of cogging force can be expressed as (4) and that the peak cogging force can be reduced by increasing the least common multiple (LCM) of pole and slot numbers.
P C o g g = N p × τ p L C M ( N s ,   N p )
where Pcogg, Np, and Ns denote the cogging force period, the number of poles, and the number of slots, respectively.
Table 1 lists some of the feasible pole–slot combinations that realize high LCM values and winding factors. Among these combinations, the 8-pole, 6-slot-based PMLSM combined with skewing design has been previously investigated [1,13,14].
This paper investigates a 10-pole, 12-slot-based PMLSM because it is a good candidate to show the effectiveness of the proposed design strategy for two reasons. It is the lowest pole–slot combination that can be divided into two sections. Moreover, it provides a good LCM value and winding factor.

2.2. Teeth Arrangement Design

The key idea of the teeth arrangement design suggested earlier is using supplementary angle relationships among the existing phases when spacing the sections apart [1,13,14,15]. For three-phase PMLSMs, the minimum span is preferably 60 (=1/3π) electrical degrees, which equals 1/3τp, as schematically shown in Figure 1b.
The phase distribution changes in Section 2 can be best understood by examining the simple equations expressed in the following trigonometric functions:
E U = E sin ( 2 π f t ) E V = E sin ( 2 π f t 2 / 3 π ) E W = E sin ( 2 π f t 4 / 3 π ) E U = E sin ( 2 π f t 1 / 3 π ) = E W E V = E sin ( 2 π f t 2 / 3 π 1 / 3 π ) = E U E W = E sin ( 2 π f t 4 / 3 π 1 / 3 π ) = E V
where E U , E V , E W , E, f, t, E U , E V , and E W denote phase back-EMFs in Section 1, the magnitude of phase back-EMF, frequency, time, and phase back-EMFs in Section 2, respectively. The expression in (5) clearly shows the underlying principle of the phase distribution changes in Section 2 by the teeth arrangement design.
Table 2 lists and compares the phase distributions for several pole–slot combinations to which the teeth arrangement design can be applied.

3. Analysis Model

3.1. Optimization by Response Surface Methodology

This part describes the analysis models illustrated in Figure 2 that were investigated and characterized using extensive 2D FEA. Model 1 is the conventional design, which does not adopt the teeth arrangement design. Model 2 is the proposed new design, which adopts the teeth arrangement design. Model 3 is a design variant of Model 2.
The most distinctive difference between Model 2 and Model 3 is that Model 3 has physically separated sections and air space between the two sections. This is illustrated in the dashed circle in Figure 2c. The separation cuts the magnetic flux flow between the two sections and increases the detent force. The detent force characteristics are further compared and discussed later.
It is clear that all the models shown in Figure 2 are supposed to have the same electromagnetic characteristics except for the detent force and thrust ripple characteristics because the important design parameters, such as PM width (Wp), PM thickness (Hp), and tooth width (Wt) have the same dimensions. To introduce a reasonable model for analysis and experimental verification, the response surface methodology (RSM) was employed and combined with 2D FEA to optimize the three important geometric parameters for Model 2 [1,27,28]. In RSM optimization, it is possible to obtain the best-fitted second-order polynomials that represent the design objectives within the design regions. Minimization of the detent force and maximization of the thrust under two different current conditions are chosen as the objectives of the optimization. Each response model is established, in this paper, using a central composite design (CCD), of which the arrays and corresponding calculation results are listed in Table 3. The fitted responses for Model 2 shown in Figure 2a are expressed in (6) through (8). The R2 values corresponding with each model are 0.9796, 0.9996, and 0.9989, respectively.
Peak   detent   force = 46.9 + 8.92 W p 0.72 H p 1.032   W t         0.352   W p W p + 0.385 H p H p + 0.3855 W t W t         + 0.091 W p H p 0.2253 W p W t 0.122 H p W t
Continuous   thrust = 118.6 + 17.35 W p + 35.24 H p + 42.36 W t         0.673 W p W p 4.44 H p H p 5.655 W t W t         + 0.057 W p H p + 0.124 W p W t 0.375 H p W t
Instantaneous   thrust = 434 + 39.1 W p + 101.9 H p + 135.50 W t           1.582 W p W p 12.43 H p H p 14.372 W t W t         + 0.750 W p H p + 0.425 W p W t 2.502 H p W t
Table 4 lists several combinational optimization scenarios using the response models. It can be seen that No. 7 does not sacrifice overall performance relative to the others. Therefore, No. 7 was chosen in this work for further characterization and experimental study because this choice satisfies all three objectives simultaneously. The geometric parameters and the materials of the optimized model, after a slight modification for prototyping, are listed in Table 5.

3.2. Analytical Comparison

The detent force, no-load back-EMF, and thrust vs. current characteristics are compared to show the effectiveness of the proposed design. For comparison, all the models in Figure 2 have the same dimensions for Wp, Hp, and Wt.
Figure 3 compares the no-load flux lines of all the models. It can be observed that the flux flow patterns are quite different from one another due to the teeth-arrangement differences.
Figure 4 compares the detent force waveforms of all the models. It can be observed that Model 2 effectively reduces the peak value when compared to Model 1. In this comparison, it should be noted that Model 2 dramatically reduces the peak value by over 65%. However, the peak value of Model 3 increases when separating the sections physically, as shown in the red-dashed circle in Figure 2c. This is because this separation changes the inter-sectional magnetic flux flow and inversely affects the end-effect. The separation consequently leads to an increase in the peak value by 18% when compared to Model 1, as shown in Figure 4. Therefore, it should be carefully considered to avoid an undesired increase in the end-effect when implementing the proposed design.
In Figure 5, Figure 6 and Figure 7, the detent force waveforms are further compared by examining the force components from each section, their frequency components, and the phase differences to show how the proposed design works.
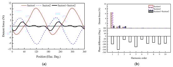
It is clearly shown in the frequency domain that the fundamental component is the most dominant for all the models. The most interesting observation in this comparison is that each section of Model 2 generates waveforms of which the fundamental components are the same in amplitude, but nearly 180 degrees apart in phase, as shown in Figure 6b. Due to the phase difference in the proposed design, the resultant detent force of Model 2 dramatically reduces, and this reduction method perfectly corresponds with what is expected in (3).
Figure 8 further illustrates the variation of peak detent force of Model 2 with respect to the distance between the sections. It should be noted that the peak detent force values at 60 degrees and 70 degrees are practically the same. However, placing the sections 60 degrees apart is the best choice because it maintains all phase windings in a perfect three-phase distribution.
Figure 9 and Figure 10 compare no-load phase back-EMF waveforms and the thrust vs. phase current, respectively. It can be seen that the results of all the models are the same because their electromagnetic design parameters are the same. These results also correspond with the results discussed in [1].

4. Experimental Verification and Servo Performance Evaluation

4.1. Prototype and Test Setup

Figure 11 shows the prototype fabricated based on the analysis. It can be seen that the mover consists of two sections. To ensure mechanical strength and electrical insulation, the mover was covered with an Al case and encapsulated with epoxy resin, as shown in Figure 11a. The stator has no skewing design, as shown in Figure 11b. Figure 12 shows the test setup for thrust measurement, and Figure 13 shows the test setup for evaluation of the servo performance. This evaluation includes motion resolution, repeatability, and speed ripples [1,14,15].

4.2. Experimental Verification

To confirm the validity of the analysis experimentally, the no-load line-to-line back-EMF was measured at 1.0 m/s and compared with the FEA result. Figure 14 shows excellent agreement. Figure 15 shows the static thrust waveform under DC current loading between phase U and V, and it also confirms the validity of the analysis. Figure 16 shows a comparison of thrust vs. current characteristics under several current conditions [1,14,15]. It can be seen in Figure 16 that good agreement between analysis and measurement was achieved. Figure 17 is an infrared image that shows the temperature distribution under DC current loading of 2A between phase U and V. It was observed that the maximum temperature reached about 82.0 °C, which seems reasonable for diverse industrial applications.

4.3. Servo Performance Evaluation

It is well-known that a PMLSM offers superior servo performance compared to the conventional linear motion mechanisms, and this is why they have been increasingly adopted in various industrial areas. Therefore, it is important to examine the dynamics and positioning performance of the prototype.
It was experimentally confirmed that the prototype achieves high speed and high acceleration, as shown in Figure 18, when the prototype was controlled by the setup shown in Figure 13.
Figure 19 shows the speed ripple at 10 mm/s, as measured by the laser interferometer shown in Figure 13. This ripple was measured to be less than ±1%. This seems very low because the proposed design significantly reduces the detent force, adversely affecting the speed ripple at a low speed [1].
Figure 20 shows the resolution, which specifies the minimum increment that a control system can achieve. The prototype successfully achieved 1 µm resolution, which is equal to the resolution of the linear encoder.
Figure 21 shows the measured bi-directional repeatability of the prototype tested according to the international standard ISO230-2:1997 [29]. It should be noted that the prototype achieves ±0.73 µm repeatability within a 400 mm stroke.

5. Conclusions

In this paper, the simplicity and effectiveness of a newly proposed design were successfully demonstrated. The new design employs a teeth arrangement and pole–slot combination that reduces the detent force without a skewing design. Several feasible configurations were also introduced based on the proposed design concept. It was analytically discussed and confirmed that the proposed design dramatically reduces the peak detent force by over 65% without a skewing design compared to the conventional design.
The validity of the analysis was also experimentally confirmed. Furthermore, promising results were obtained from the prototype performance evaluation. The prototype successfully achieved a low-speed ripple, high speed and acceleration, and precision positioning control. Therefore, it is confidently expected that the proposed design will be applied in various PMLSMs due mainly to its simplicity and effectiveness.

Author Contributions

Conceptualization, S.-U.C.; methodology, S.-U.C.; writing—original draft preparation, S.-U.C.; writing—review and editing, J.-Y.L.; project administration, J.-Y.L. All authors have read and agreed to the published version of the manuscript.

Funding

This research was funded by the KERI Primary research program of MSIT/NST grant number [21A01052].

Institutional Review Board Statement

Not applicable.

Informed Consent Statement

Not applicable.

Conflicts of Interest

The authors declare no conflict of interest.

References

  1. Chung, S.U.; Kim, J.M. Double-Sided Iron-Core PMLSM Mover Teeth Arrangement Design for Reduction of Detent Force and Speed Ripple. IEEE Ind. Electron. 2016, 63, 3000–3008. [Google Scholar] [CrossRef]
  2. Zhu, Z.Q.; Xia, Z.P.; Howe, D.; Mellor, P.H. Reduction of cogging force in slotless linear permanent magnet motors. Proc. Inst. Electr. Eng.—Electr. Power Appl. 1999, 144, 277–282. [Google Scholar] [CrossRef]
  3. Zhu, Y.W.; Lee, S.G.; Chung, K.S.; Cho, Y.H. Investigation of auxiliary poles design criteria on reduction of end effect of detent force for PMLSM. IEEE Trans. Magn. 2009, 45, 2863–2866. [Google Scholar] [CrossRef]
  4. Baatar, N.; Yoon, H.S.; Pham, M.T.; Shin, P.S.; Koh, C.S. Shape optimal design of a 9-pole 10-slot PMLSM for detent force reduction using adaptive response surface method. IEEE Trans. Magn. 2009, 45, 4562–4565. [Google Scholar] [CrossRef]
  5. Hu, H.; Liu, X.; Zhao, J.; Guo, Y. Analysis and Minimization of Detent End Force in Linear Permanent Magnet Synchronous Machines. IEEE Trans. Ind. Electron. 2018, 65, 2475–2486. [Google Scholar] [CrossRef]
  6. Boduroglu, A.; Gulec, M.; Demir, Y.; Yolacan, E.; Aydin, M. A New Asymmetric Planar V-Shaped Magnet Arrangement for A Linear PM Synchronous Motor. IEEE Trans. Magn. 2019, 55, 1–5. [Google Scholar] [CrossRef]
  7. Seo, S.; Jang, G.; Koo, M.; Choi, J. Characteristic Analysis of the Influence of Auxiliary Teeth and Notching on the Reduction of the Detent Force of a Permanent Magnet Linear Synchronous Machine. IEEE Trans. Appl. Supercond. 2018, 28, 1–5. [Google Scholar] [CrossRef]
  8. Liu, C.; Gao, H.; Xiong, Y.; Zhou, S.; Fu, W. Detent Force Reduction in Permanent Magnet Linear Synchronous Motor Base on Magnetic Field Similarity Method. IEEE Access 2019, 7, 57341–57348. [Google Scholar] [CrossRef]
  9. Zhao, J.; Mou, Q.; Guo, K.; Liu, X.; Li, J.; Guo, Y. Reduction of the Detent Force in a Flux-Switching Permanent Magnet Linear Motor. IEEE Trans. Energy Convers. 2019, 34, 1695–1705. [Google Scholar] [CrossRef]
  10. Kim, S.; Park, E.; Jung, S.; Kim, Y. Optimal Design of Reformed Auxiliary Teeth for Reducing End Detent Force of Stationary Discontinuous Armature PMLSM. IEEE Trans. Appl. Supercond. 2016, 26, 1–5. [Google Scholar] [CrossRef]
  11. He, Z.; Dong, F.; Zhao, J.; Wang, L.; Song, J.; Song, X. Thrust Ripple Reduction in Permanent Magnet Synchronous Linear Motor Based on Electromagnetic Damping-Spring System. IEEE Trans. Energy Convers. 2018, 83, 2122–2132. [Google Scholar] [CrossRef]
  12. Huang, X.Z.; Li, J.; Tan, Q.; Zhang, C.M.; Li, L. Design Principles of a Phase-Shift Modular Slotless Tubular Permanent Magnet Linear Synchronous Motor With Three Sectional Primaries and Analysis of Its Detent Force. IEEE Trans. Ind. Electron. 2018, 65, 9346–9355. [Google Scholar] [CrossRef]
  13. Chung, S.U.; Lee, H.J.; Woo, B.C.; Kim, J.W.; Lee, J.Y.; Moon, S.R.; Hwang, S.M. A feasibility study on a new doubly salient permanent magnet linear synchronous machine. IEEE Trans. Magn. 2010, 46, 1572–1575. [Google Scholar] [CrossRef]
  14. Chung, S.U.; Kim, J.M.; Woo, B.C.; Hong, D.K.; Lee, J.Y. Development of doubly salient permanent magnet linear synchronous motor for general-purpose automation applications. Int. J. Precis. Eng. Manuf. 2010, 14, 2075–2080. [Google Scholar] [CrossRef]
  15. Chung, S.U.; Kim, J.W.; Woo, B.C.; Hong, D.K.; Lee, J.Y.; Chun, Y.D.; Koo, D.H. Design and experimental validation of doubly salient permanent magnet linear synchronous motor for precision control. Mechatronics 2013, 23, 172–181. [Google Scholar] [CrossRef]
  16. Li, J.; Huang, X.; Zhou, B.; Yu, H.; Huang, Q. Design Principle of a 16-pole 18-slot Two-sectional Modular Permanent Magnet Linear Synchronous Motor with Optimisation of its End Tooth. IET Electr. Power A 2020, 14, 441–447. [Google Scholar] [CrossRef]
  17. Huang, X.Z.; Li, J.; Zhang, C.; Qian, Z.Y.; Li, L.; Gerada, D. Electromagnetic and Thrust Characteristics of Double-sided Permanent Magnet Linear Synchronous Motor Adopting Staggering Primaries Structure. IEEE Trans. Ind. Electron. 2019, 66, 4826–4836. [Google Scholar] [CrossRef]
  18. Huang, X.Z.; Yu, H.C.; Jhou, B.; Li, L.Y.; Gerada, D.; Gerada, C.; Qian, Z.Y. Detent-Force Minimization of Double-Sided Permanent Magnet Linear Synchronous Motor by Shifting One of the Primary Components. IEEE Trans. Ind. Electron. 2020, 67, 180–191. [Google Scholar] [CrossRef]
  19. Hwang, S.M.; Eom, J.B.; Jung, Y.H.; Lee, D.W.; Kang, B.S. Various design techniques to reduce cogging torque by controlling energy variation in permanent magnet motors. IEEE Trans. Magn. 2001, 37, 2806–2809. [Google Scholar] [CrossRef]
  20. Fei, W.; Luk, P.C.K. Torque Ripple Reduction of a Direct-Drive Permanent-Magnet Synchronous Machine by Material-Efficient Axial Pole Pairing. IEEE Trans. Ind. Electron. 2012, 59, 2601–2611. [Google Scholar] [CrossRef] [Green Version]
  21. Wang, D.; Wang, X.; Jung, S.Y. Cogging Torque Minimization and Torque Ripple Suppression in Surface-Mounted Permanent Magnet Synchronous Machines Using Different Magnet Widths. IEEE Trans. Magn. 2013, 49, 2295–2298. [Google Scholar] [CrossRef]
  22. Fei, W.; Luk, P.C.K. A new technique of cogging torque suppression in direct-drive permanent-magnet brushless machines. IEEE Trans. Ind. Appl. 2010, 46, 1332–1340. [Google Scholar] [CrossRef] [Green Version]
  23. Wang, D.; Wang, X.; Qiao, D.; Pei, Y.; Jung, S.Y. Reducing cogging torque in surface-mounted permanent-magnet motors by nonuniformly distributed teeth method. IEEE Trans. Magn. 2011, 47, 2231–2239. [Google Scholar] [CrossRef]
  24. Wang, D.; Wang, X.; Yang, Y.; Zhang, R. Optimization of magnetic pole shifting to reduce cogging torque in solid-rotor permanent-magnet synchronous motors. IEEE Trans. Magn. 2010, 46, 1228–1234. [Google Scholar] [CrossRef]
  25. Min, S.G.; Sarlioglu, B. Investigation of Electromagnetic Noise on Pole and Slot Number Combinations with Possible Fractional-Slot Concentrated Windings. In Proceedings of the 2017 IEEE Transportation Electrification Conference and Expo (ITEC), Chicago, IL, USA, 22–24 June 2017; pp. 241–246. [Google Scholar]
  26. Chung, S.U.; Moon, S.H.; Kim, D.J.; Kim, J.M. Development of a 20-pole–24-slot SPMSM with consequent pole rotor for in-wheel direct drive. IEEE Trans. Ind. Electron. 2016, 63, 302–309. [Google Scholar] [CrossRef]
  27. Kim, S.I.; Hong, J.P.; Kim, Y.K.; Nam, H.; Cho, H.I. Optimal design of slotless-type PMLSM considering multiple responses by response surface methodology. IEEE Trans. Magn. 2006, 42, 1219–1222. [Google Scholar]
  28. Hasanien, H.M.; Abd-Rabou, A.S.; Sakr, S.M. Design optimization of transverse flux linear motor for weight reduction and performance improvement using response surface methodology and genetic algorithms. IEEE Trans. Energy Convers. 2010, 25, 598–605. [Google Scholar] [CrossRef]
  29. Yüksel, İ.A.; Kılınç, T.O.; Sönmez, K.B.; Aktan, S.Ö. Position accuracy and repeatability calibration of turn tables by using laser interferometers. In Proceedings of the 19th International Congress of Metrology, Paris, France, 24–26 September 2019; EDP Sciences: Paris, France, 2019; p. 09002. [Google Scholar]
Figure 1. Schematic of teeth arrangement design: (a) without teeth arrangement design; (b) with teeth design.
Figure 1. Schematic of teeth arrangement design: (a) without teeth arrangement design; (b) with teeth design.
Energies 14 08141 g001
Figure 2. Analysis model geometries: (a) Model 1: conventional design; (b) Model 2: proposed design; (c) Model 3: separated section design.
Figure 2. Analysis model geometries: (a) Model 1: conventional design; (b) Model 2: proposed design; (c) Model 3: separated section design.
Energies 14 08141 g002
Figure 3. Flux line comparison: (a) Model 1: conventional design; (b) Model 2: proposed design; (c) Model 3: separated section design.
Figure 3. Flux line comparison: (a) Model 1: conventional design; (b) Model 2: proposed design; (c) Model 3: separated section design.
Energies 14 08141 g003
Figure 4. Detent force waveform comparison.
Figure 4. Detent force waveform comparison.
Energies 14 08141 g004
Figure 5. Detent force of Model 1: (a) detent force waveforms by sections; (b) detent force frequency decomposition.
Figure 5. Detent force of Model 1: (a) detent force waveforms by sections; (b) detent force frequency decomposition.
Energies 14 08141 g005
Figure 6. Detent force of Model 2: (a) detent force waveforms by sections; (b) detent force frequency decomposition.
Figure 6. Detent force of Model 2: (a) detent force waveforms by sections; (b) detent force frequency decomposition.
Energies 14 08141 g006
Figure 7. Detent force of Model 3: (a) detent force waveforms by sections; (b) detent force frequency decomposition.
Figure 7. Detent force of Model 3: (a) detent force waveforms by sections; (b) detent force frequency decomposition.
Energies 14 08141 g007
Figure 8. Peak detent force variation vs. section distance.
Figure 8. Peak detent force variation vs. section distance.
Energies 14 08141 g008
Figure 9. No-load phase back-EMF at 1.0 m/s.
Figure 9. No-load phase back-EMF at 1.0 m/s.
Energies 14 08141 g009
Figure 10. Thrust vs. phase current.
Figure 10. Thrust vs. phase current.
Energies 14 08141 g010
Figure 11. Prototype: (a) mover; (b) stator.
Figure 11. Prototype: (a) mover; (b) stator.
Energies 14 08141 g011
Figure 12. Test setup for thrust measurement.
Figure 12. Test setup for thrust measurement.
Energies 14 08141 g012
Figure 13. Test setup for servo performance evaluation.
Figure 13. Test setup for servo performance evaluation.
Energies 14 08141 g013
Figure 14. No-load line-to-line back-EMF at 1.0 m/s.
Figure 14. No-load line-to-line back-EMF at 1.0 m/s.
Energies 14 08141 g014
Figure 15. Static thrust waveform comparison under DC current loading of 2A between phases U and V.
Figure 15. Static thrust waveform comparison under DC current loading of 2A between phases U and V.
Energies 14 08141 g015
Figure 16. Thrust vs. current characteristics comparison.
Figure 16. Thrust vs. current characteristics comparison.
Energies 14 08141 g016
Figure 17. Measured temperature distribution under DC current loading of 2A between phases U and V.
Figure 17. Measured temperature distribution under DC current loading of 2A between phases U and V.
Energies 14 08141 g017
Figure 18. Exemplary speed and acceleration profile measured by linear encoder feedback (speed = 3.0 m/s and acceleration = 40 m/s2).
Figure 18. Exemplary speed and acceleration profile measured by linear encoder feedback (speed = 3.0 m/s and acceleration = 40 m/s2).
Energies 14 08141 g018
Figure 19. Measured speed ripple at 10 mm/s.
Figure 19. Measured speed ripple at 10 mm/s.
Energies 14 08141 g019
Figure 20. Resolution.
Figure 20. Resolution.
Energies 14 08141 g020
Figure 21. Repeatability.
Figure 21. Repeatability.
Energies 14 08141 g021
Table 1. LCM values and winding factors for pole–slot combinations.
Table 1. LCM values and winding factors for pole–slot combinations.
Pole/SlotLCMWinding Factor
8/6240.866
8/9720.945
10/9900.945
10/12600.933
14/12840.933
14/181260.902
16/181440.945
20/181800.945
22/242640.949
26/243120.949
Table 2. Phase distribution changes by teeth arrangement design.
Table 2. Phase distribution changes by teeth arrangement design.
Pole/SlotWithout Teeth Arrangement DesignWith Teeth Arrangement Design
Section 1Section 2Section 1Section 2
8/6U, V, WU, V, WU, V, W/V,/W,/U
10/12U,/U,/V, V, W,/W/U, U, V,/V,/W, WU,/U,/V, V, W,/WW,/W,/U, U, V,/V
14/12U,/U,/V, V, W,/W/U, U, V,/V,/W, WU,/U,/V, V, W,/WV,/V,/W, W, U,/U
14/18U, V, W,/W,/U,/V, V, W, U/U,/V,/W, W, U, V,/V,/W,/UU, V, W,/W,/U,/V, V, W, UW, U, V,/V,/W,/U, U, V, W
16/18U,/U, U, V,/V, V, W,/W, WU,/U, U, V,/V, V, W,/W, WU,/U, U, V,/V, V, W,/W, W/W, W,/W,/U, U,/U,/V, V,/V
20/18U,/U, U, V,/V, V, W,/W, WU,/U, U, V,/V, V, W,/W, WU,/U, U, V,/V, V, W,/W, W/V, V,/V,/W, W,/W,/U, U,/U
22/24U,/U, U,/U,/V, V,/V, V, W,/W, W,/W/U, U,/U, U, V,/V, V,/V,/W, W,/W, WU,/U, U,/U,/V, V,/V, V, W,/W, W,/WW,/W, W,/W,/U, U,/U, U, V,/V, V,/V
26/24U,/U, U,/U,/V, V,/V, V, W,/W, W,/W/U, U,/U, U, V,/V, V,/V,/W, W,/W, WU,/U, U,/U,/V, V,/V, V, W,/W, W,/WV,/V, V,/V,/W, W,/W, W, U,/U, U,/U
Table 3. CCD arrays and corresponding FEA values.
Table 3. CCD arrays and corresponding FEA values.
No.9 ≦ Wp ≦ 12
(mm)
2 ≦ Hp ≦ 3
(mm)
3 ≦ Wt ≦ 6
(mm)
Pk.
Detent Force (N)
Cont.
Thrust (N)
Inst.
Thrust (N)
1102.03.01.7119.3242.9
2122.03.03.2125.3256.6
3103.03.03.7131.7281.7
4123.03.05.2137.6297.0
5102.06.01.695.3259.0
6122.06.01.6101.9275.4
7103.06.03.0106.3290.5
8123.06.03.3113.2308.2
9102.54.51.6126.6302.9
10122.54.52.2133.7320.7
11112.04.51.9123.2290.1
12113.04.52.9136.2330.4
13112.53.03.6130.3274.2
14112.56.02.7105.9287.8
15112.54.52.4130.9313.6
Table 4. Design candidates.
Table 4. Design candidates.
No.Wp
(mm)
Hp
(mm)
Wt
(mm)
Pk.
Detent Force (N)
Cont.
Thrust (N)
Inst.
Thrust (N)
110.02.04.60.88119.0283.0
212.03.03.83.94141.3325.9
312.03.04.63.25137.4335.8
410.02.44.11.52128.0296.0
512.02.44.92.01128.1315.8
612.03.04.23.54140.2333.1
712.02.64.62.47133.7323.9
Table 5. Prototype geometry.
Table 5. Prototype geometry.
ItemValueUnit
Series connection/phase4-
Pole-pitch (τp)13.5mm
Air-gap length (g)1.0mm
Mover height (Hm)27.0mm
PM width (Wp)12.0mm
PM thickness (Hp)2.5mm
Tooth width (Wt)4.6mm
Slot width (Ws)6.65mm
Stator height (Hs)9.5mm
Tooth height (Ht)20.0mm
Mover length (Lm)139.5mm
Mover stack length30.0mm
gc11.6mm
gc21.8mm
Mover stacking factor97%
Winding fill factor 70   ( = A c ( W s g c 1   ) × ( H t g c 2   ) ) %
Total copper area (Ac)64.3mm2
Continuous current2.0Arms
Instantaneous current6.0Arms
PM materialNdFeB, Br = 1.40 T, μr = 1.05 at 20 °C-
Mover core material50PN470 (t = 0.50 mm, POSCO)-
Stator back iron materialS45C-
Publisher’s Note: MDPI stays neutral with regard to jurisdictional claims in published maps and institutional affiliations.

Share and Cite

MDPI and ACS Style

Chung, S.-U.; Lee, J.-Y. Teeth Arrangement and Pole–Slot Combination Design for PMLSM Detent Force Reduction. Energies 2021, 14, 8141. https://doi.org/10.3390/en14238141

AMA Style

Chung S-U, Lee J-Y. Teeth Arrangement and Pole–Slot Combination Design for PMLSM Detent Force Reduction. Energies. 2021; 14(23):8141. https://doi.org/10.3390/en14238141

Chicago/Turabian Style

Chung, Shi-Uk, and Ji-Young Lee. 2021. "Teeth Arrangement and Pole–Slot Combination Design for PMLSM Detent Force Reduction" Energies 14, no. 23: 8141. https://doi.org/10.3390/en14238141

APA Style

Chung, S.-U., & Lee, J.-Y. (2021). Teeth Arrangement and Pole–Slot Combination Design for PMLSM Detent Force Reduction. Energies, 14(23), 8141. https://doi.org/10.3390/en14238141

Note that from the first issue of 2016, this journal uses article numbers instead of page numbers. See further details here.

Article Metrics

Back to TopTop