Abstract
Biodegradable containers support zero-waste initiatives when alternative end-of-life scenarios are available (e.g., composting, bio digestion). Thermoplastic starch (TPS) has emerged as a readily biodegradable and inexpensive biomaterial that can replace traditional plastics in applications such as food service ware and packaging. This study has two aims. First, demonstrate the thermoformability of starch/polycaprolactone (PCL) as a thermoplastic material with varying starch loadings. Second, incorporate biochar as a sustainable filler that can potentially lower the cost and enhance compostability. Biochar is a stable form of carbon produced by thermochemical conversion of organic biomass, such as food waste, and its incorporation into consumer products could promote a circular economy. Thermoformed samples were successfully made with starch contents from 40 to 60 wt.% without biochar. Increasing the amount of starch increased the viscosity of the material, which in turn affected the compression molding (sheet manufacturing) and thermoforming conditions. PCL content reduced the extent of biodegradation in soil burial experiments and increased the strength and elongation at break of the material. A blend of 50:50 starch:PCL was selected for incorporating biochar. Thermoformed containers were manufactured with 10, 20, and 30 wt.% biochar derived from waste coffee grounds. The addition of biochar decreased the elongation at break but did not significantly affect the modulus of elasticity or tensile strength. The results demonstrate the feasibility of using starch and biochar for the manufacturing of thermoformed containers.
1. Introduction
Zero-waste initiatives call for waste to be either recyclable or compostable. Some municipalities in the United States (US) have programs to voluntarily separate organic waste, which is collected and subsequently composted or processed in an anaerobic digester. In this scenario, packaging and single-use items that are readily degradable present an opportunity to support and enhance closed-loop systems for organic waste.
Thermoplastic starch (TPS) has emerged as a readily biodegradable and inexpensive biomaterial that can replace traditional plastics in applications such as food service and packaging [1]. Our previous study [2] investigated the mechanical performance of TPS blends and polycaprolactone (PCL). A brittle–ductile transition was observed with the addition of PCL, and the degree of anaerobic biodegradation correlated with the amount of TPS. However, the preparation of TPS using water and glycerol showed inconsistencies from batch to batch, and it was susceptible to aging [2,3,4]. Therefore, the development of TPS-based products would benefit from a manufacturing process that avoids the use of water or glycerol.
Here, a direct mixing of starch and PCL is proposed, which bypasses some of the drawbacks outlined with TPS and could facilitate scale-up production. Additionally, the manufacturing of composites using biochar is presented as a means to enhance compostability and valorize a byproduct from the conversion of organic waste, thus promoting a circular economy [5]. Biochar is produced by pyrolysis of organic matter at high temperatures under zero-oxygen conditions [6]. This technique creates a highly stable carbon-rich material with physical properties, such as density, surface area, and porosity, that can be controlled by selecting critical process parameters, including heating rate, maximum temperature (typically in the range of 400 to 800 °C), and residence time [7]. Biochar has been highlighted in the Intergovernmental Panel on Climate Change (IPCC) Special Report: Global Warming of 1.5 °C as one of the carbon dioxide removal technologies that can help mitigate climate change. In the process of gasification, some oxygen is introduced to the system (well below the stoichiometric requirement for full combustion), and this may improve biochar quality in some cases, but at the cost of lower yield [8].
The research reported in this paper evolved from our prior work in developing bioplastic–biochar composite packaging that offers improved end-of-life management options while enabling valorization of food waste that would otherwise be landfilled. This work builds upon a rapidly expanding collection of studies published since 2015, summarized in Table 1, that have documented the potential advantages of using biochar as an additive in plastic products due to its favorable characteristics, including high surface area and long-term chemical and physical stability [9,10,11,12,13,14,15,16,17,18,19,20,21,22,23,24,25,26,27]. Reported improvements in the performance of polymer–biochar composites include enhanced water adsorption, thermal resistance, and stiffness. The added benefits of eliminating the disposal of organic wastes in landfills (potentially generating methane emissions) and sequestering carbon in the biochar material itself further contribute to its suitability for integration into circular manufacturing systems. In selecting a feedstock suitable for biochar production, it is desirable to identify a waste stream that is generally homogeneous, available in large quantities at low or zero cost, with minimal temporal and/or geographic variations. Waste coffee grounds were determined to satisfy all these requirements and were thus utilized in developing the prototype composite containers described below. It should be noted that there has been significant prior work reported on the use of coffee waste in sustainable material development, both in its raw state (e.g., [28,29,30,31]) and after thermochemical conversion to biochar [13,16,21,24,32]. Our results extend this earlier research by improving the understanding of bioplastic–coffee waste biochar composites that can meet the required functional specifications while enhancing degradability at the end of life. In addition, based on our prior research and the literature cited above, biochar has the potential to reduce the cost of thermoplastic materials by using waste feedstocks to displace common fillers and colorants, such as carbon black.
Table 1.
Selected studies since 2015 reporting biochar–plastic composites.
Abdelwahab and coworkers [15] investigated the use of biochar on injection-molded polypropylene and compared it to glass fiber and talc. Compared to propylene alone and the other fillers, biochar showed better thermal stability as measured by the coefficient of linear thermal expansion. Arrigo and coworkers [24] incorporated biochar from spent coffee grounds into polylactic acid using two methods, melt mixing and solvent casting. Alterations to the rheological and thermal behavior of the material were pointed out. However, the mechanical performance of the composites was not part of the study. Here we focus on demonstrating the viability of fully compostable biochar composites using an industrially relevant converting process, such as thermoforming. The processing conditions, as well as the mechanical performance are discussed, paving the way towards the large scale production of consumer products and packaging.
2. Materials and Methods
2.1. Materials
Corn starch was obtained from MP Biomedicals LLC (Solon, OH, USA). Polycaprolactone (PCL) Capa 6800 was supplied by Perstorp (Warrington, UK). Biochar was derived from spent coffee grounds obtained from the Rochester Institute of Technology (RIT) cafeteria. The material was first dried using an in-house batch dehydrator (Ecovim-250, Ecovim USA, Los Angeles, CA, USA) and then processed in a commercial-scale “Biogenic Refinery” manufactured by Biomass Controls (Putnam, CT, USA) and owned by RIT [33]. To produce biochar, dried coffee grounds were fed through a hopper and auger assembly at an average flow rate of approximately 5 kg/h. The temperature setpoint of 800 °C was maintained within ±25 °C over the course of the approximately 3-h experiment. After thermochemical conversion, a dual auger system transported the final biochar product to the collection box, where samples were quenched with water to cool the material and prevent further reaction with ambient air.
2.2. Sample Preparation
Thermoplastic starch was made using an internal shear mixer, CWB Brabender (South Hackensack, NJ, USA) Intelli-torque Plasticorder torque rheometer with a 60cc 3-piece mixing head. TPS starch was blended at 30, 40, 50, and 60 wt.% with PCL in the mixer at 100 °C for 8 min and 50 rpm. The equilibrium torque was recorded as an indirect measurement of the viscosity of the melt, as shown in Table 2. The samples were compression molded with a heated press (Carver 4391, Wabash, IN, USA). Thermoforming was performed on a Sencorp (Barnstable, MA, USA) Cera TEK 810/1-CE sheetfed laboratory thermoformer using a male mold. Optimum forming conditions were achieved through trial and error by adjusting the heating temperature and dwell time and monitoring the wrapping and webbing in the blisters (see Table 2).
Table 2.
Processing conditions for sample preparation.
Biochar composites were manufactured using a 50:50 PCL:Starch blend as the base material, with 10, 20, and 30 wt.% biochar mixed at 85 °C. This base material was selected based on the thermoforming ability while maintaining a high elongation at break and starch content. Thermoforming was performed at 138 °C, a temperature significantly higher than that of the material without biochar (50:50 row in Table 2). However, going from 10 to 30 wt.% biochar did not affect the thermoforming temperature.
2.3. Mechanical Properties Characterization
Tensile testing of the blend was carried out using an Instron (Norwood, MA, USA) Universal Testing Machine model 5567 at a crosshead speed of 12.5 mm/min. At least five specimens of each sample were tested according to American Society for Testing and Materials (ASTM) standard D638. Samples were conditioned at room temperature for at least 24 h before mechanical testing. Type 5 samples were cut from the compression molded sheet with a thickness of approximately 1 mm (similar to the sheet shown in Figure 1).
Figure 1.
Thermoformed samples containing 60 wt.% starch (a) and 70 wt.% starch (b).
2.4. Soil Burial Test/Aerobic Biodegradation
Cellulose, PCL60/Starch40, and PCL40/Starch60 samples were cut into 2.54 cm square pieces to obtain a uniform sample size for degradation. Eighteen samples of each specimen were prepared and weighed to record their initial weight. The samples were buried in the soil at a depth of about 2.5 cm. The test was carried out at room temperature (i.e., 22 °C). Water was sprinkled on the soil surface every three days to ensure that the soil remained humid. The samples were measured for weight loss every 7 days from the day they were initially buried. Three samples of each specimen were measured by washing them gently with distilled water and drying the samples at 60 °C in a vacuum oven until a constant weight was obtained. Weight loss percentage was calculated based on Equation (1),
where wd is the dry weight of the film after being washed with distilled water and wi is the initial dry weight of the specimen [34].
3. Results and Discussion
Table 2 shows the processing conditions for the three stages of sample preparation: mixing, compression molding, and thermoforming. As the starch content in the blend increased, the equilibrium torque increased. This indicates that the viscosity of the blend increased due to an increase in the starch content. A higher torque requirement for blending with higher starch content also indicates that a higher pressure was required for the conversion process. This can be evidenced in the increase in pressure requirement for the compression molding stage, accompanied by an increase in temperature. Similarly, an increase in the starch content increased the forming temperature in the thermoformer (see Table 2).
Thermoformed blisters were successfully manufactured with starch contents up to 60 wt.%. Above 60 wt.% starch, the material was unsuitable for thermoforming due to decreased pliability and the blend being too fragile (see Figure 1).
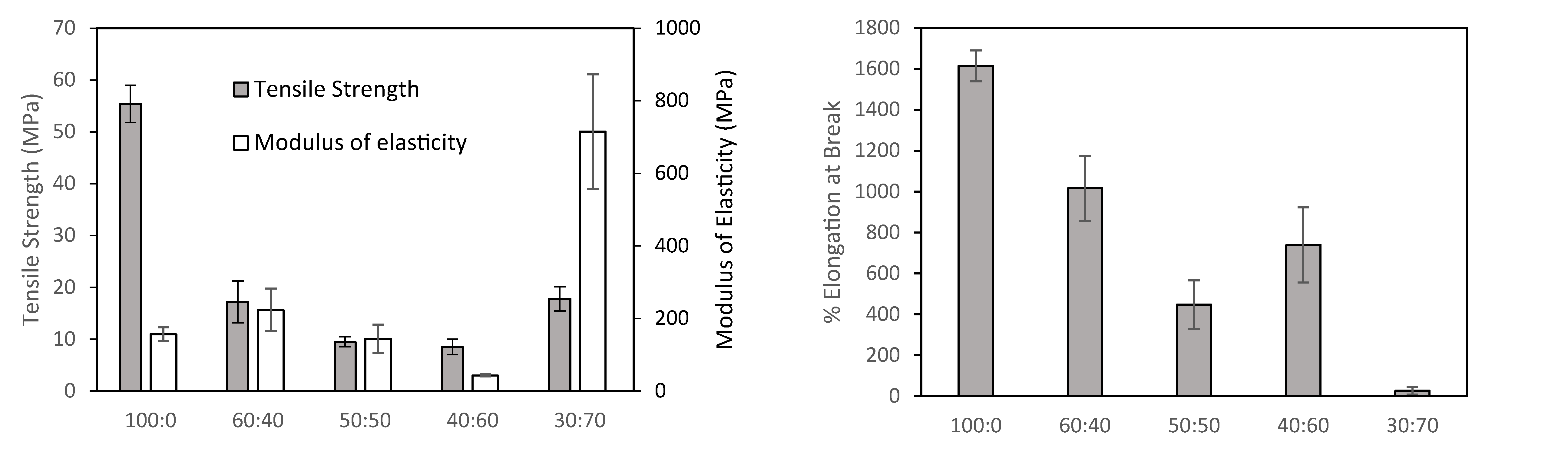
Figure 2 shows the effect of PCL:starch proportions on the mechanical properties. All samples showed typical elastomeric behavior with some degree of strain hardening. Pure PCL had the highest average tensile strength of 55 MPa. The plot displays a U-shape where the strength decreased and then increased at higher starch concentrations (i.e., 70 wt.%). This behavior could indicate an incompatibility of the PCL and starch since the strength of some blends was lower than that of pure PLC and sample with 70 wt.% starch [35]. Similarly, PCL had the highest percentage of elongation at break, which was expected due to its rubbery nature [36]. As the starch content increased, the elongation decreased. However, at 60 wt.%, the elongation was higher than at 50 wt.%. This difference may be attributed to the differences in processing conditions, as shown in Table 2, where the compression molding of the 40:60 sample was done at a lower temperature but higher pressure. This result also points out the sensitivity of the material to processing conditions. Increasing the starch content from 60 to 70 wt.% caused a sharp drop in the elongation from 740% to 26%.
Figure 2.
Effect of blend ratio of PCL:Starch on (a) tensile strength and modulus of elasticity and (b) percentage of elongation at break.
The modulus of elasticity was highest at 70 wt.% starch. The stiffness dropped significantly from 70 to 60 wt.% starch. This drop correlates with the difference in conditions for the compression molding stage (see Table 2), which affected both the modulus of elasticity and the elongation at break. A further decrease in the amount of starch showed a nearly linear increase in modulus of elasticity from 60 to 40 wt.% from 43 to 224 MPa, just above the modulus of elasticity of neat PCL (156 MPa).
All the mechanical properties drastically changed, going from 60 to 70 wt.% starch, suggesting a major change in the structure of the blend where PCL is not the majority component, and the properties of starch dictate the properties of the blend. This lack of elongation and high stiffness supports the inability to thermoform the 70 wt.% starch blend.
Figure 3 shows the effect of adding biochar to the TPS containing 50:50 PCL:starch. Adding biochar increased the modulus of elasticity and slightly reduced the tensile strength. Similar results have been observed when reinforcing bioplastics with natural fibers [37]. Varying the biochar content from 10 to 30 wt.% did not have a significant effect on the tensile strength and modulus of elasticity of the material (Figure 3a,b). Conversely, the elongation at break was drastically reduced with the inclusion of biochar. Increasing the amount of biochar from 10 to 30 wt.% further reduced the elongation at break, making the composites significantly more brittle.
Figure 3.
Effect of biochar content in 50:50 PCL:starch blend on (a) tensile strength and modulus of elasticity and (b) percentage of elongation at break.
To demonstrate the thermoforming ability of the composite with biochar, a male mold of a coffee cup lid was manufactured to demonstrate a potential application for this biodegradable composite material. All the composites with biochar allowed the sheet to be thermoformed into coffee cup lids with loadings up to 30 wt.%. Biochar has shown good dispersion in polymeric matrices, such as polypropylene [15] and polylactic acid [24]. It is expected that the biochar composites presented here have a good dispersion given the high shear melt mixing process used. Figure 4 shows a coffee lid containing 10 wt.% biochar. Increasing the biochar load did not affect the thermoforming ability; however, the surface was rougher with less resolution of the details of the mold. The results demonstrate the potential to use biochar as a filler material in thermoform containers and packaging. Additionally, this is an example of a product for coffee shops made from their own waste (i.e., spent coffee grounds). Biochar thus may offer an opportunity for a close-loop economy while displacing plastic or creating fully biodegradable solutions.
Figure 4.
Thermoformed coffee lid made with 10 wt.% biochar from spent coffee grounds.
Ongoing research is looking at structure–property relationships to better understand the changes observed here. Additionally, the rheology of the material should be further studied to expand the findings of this research to other conversion processes, such as injection molding and blown film extrusion.
Finally, Figure 5 shows the biodegradation of two samples containing 40 and 60 wt.% starch. Higher starch content resulted in a higher level of degradation. These results agree with previous studies [2]. No literature was found on the effect of biochar on the biodegradation of biochar composites. Our previous study showed similar or better biodegradation under anaerobic conditions when calcium carbonate was used as a filler in polylactic acid [38,39]. Preliminary experiments suggest that the addition of biochar enhances biodegradation and further experimentation is ongoing.
Figure 5.
Cumulative biodegradation of selected samples and a positive (cellulose) control.
4. Conclusions
This study demonstrated the thermoforming of fully biodegradable thermoplastic starch without the use of water or glycerol but instead a rubbery biopolymer (i.e., PCL). The ratio of PCL and starch affected the processing conditions as well as the mechanical properties. Thermoformed blisters were successfully made with starch contents from 30 to 60 wt.%. Increasing the starch content beyond that point drastically changed the properties and rendered the material unsuited for thermoforming. Biochar composites were made using the 50:50 PCL:starch material. Prototype thermoformed coffee lids were made with content up to 30 wt.% biochar derived from waste coffee grounds. Manufacturing of composites using biochar demonstrates the possibility to manufacture fully biodegradable items and the valorization of a byproduct from the pyrolysis of organic waste, thus promoting a circular economy model for future sustainable packaging products.
Author Contributions
Conceptualization, K.D., T.A.T. and C.A.D.; methodology, T.A.T. and C.A.D.; software, C.A.D.; validation, R.K.S., T.E. and C.A.D.; formal analysis, R.K.S., T.E., T.A.T., K.D. and C.A.D.; investigation, R.K.S., T.E., T.A.T., K.D. and C.A.D.; resources, K.D., T.A.T. and C.A.D.; data curation, R.S., T.E. and C.A.D.; writing—original draft preparation, R.K.S., T.E., T.A.T., K.D. and C.A.D.; writing—review and editing, K.D., T.A.T. and C.A.D.; visualization, R.K.S., T.E., T.A.T. and C.A.D.; supervision, C.A.D.; project administration, C.A.D.; funding acquisition, C.A.D. All authors have read and agreed to the published version of the manuscript.
Funding
This research was funded by the Center for Sustainable Packaging at the Rochester Institute of Technology.
Conflicts of Interest
The authors declare no conflict of interest.
References
- Lu, D.R.; Xiao, C.M.; Xu, S.J. Starch-based completely biodegradable polymer materials. Express Polym. Lett. 2009, 3, 366–375. [Google Scholar] [CrossRef]
- Nunziato, R.; Hedge, S.; Dell, E.; Trabold, T.; Lewis, C.; Diaz, C. Mechanical Properties and Anaerobic Biodegradation of Thermoplastic Starch/Polycaprolactone Blends. In Proceedings of the 21th IAPRI World Conference on Packaging, Zhuhai, China, 19–22 June 2018; pp. 722–729. [Google Scholar]
- Averous, L.; Moro, L.; Dole, P.; Fringant, C. Properties of thermoplastic blends: Starch–polycaprolactone. Polymer 2000, 41, 4157–4167. [Google Scholar] [CrossRef]
- Lopez, O.; Garcia, M.A.; Villar, M.A.; Gentili, A.; Rodriguez, M.S.; Albertengo, L. Thermo-compression of biodegradable thermoplastic corn starch films containing chitin and chitosan. LWT Food Sci. Technol. 2014, 57, 106–115. [Google Scholar] [CrossRef]
- Zabaniotou, A.; Rovas, D.; Libutti, A.; Monteleone, M. Boosting circular economy and closing the loop in agriculture: Case study of a small-scale pyrolysis-biochar based system integrated in an olive farm in symbiosis with an olive mill. Environ. Dev. 2015, 14, 22–36. [Google Scholar] [CrossRef]
- Chen, W.; Meng, J.; Han, X.; Lan, Y.; Zhang, W. Past, present, and future of biochar. Biochar 2019, 1, 75–87. [Google Scholar] [CrossRef]
- Weber, K.; Quicker, P. Properties of biochar. Fuel 2018, 217, 240–261. [Google Scholar] [CrossRef]
- Guran, S. Sustainable waste-to-energy technologies: Gasification and pyrolysis. In Sustainable Food Waste-to-Energy Systems; Elsevier: Amsterdam, The Netherlands, 2018; pp. 141–158. ISBN 9780128111574. [Google Scholar]
- Das, O.; Sarmah, A.K.; Bhattacharyya, D. A novel approach in organic waste utilization through biochar addition in wood/polypropylene composites. Waste Manag. 2015, 38, 132–140. [Google Scholar] [CrossRef]
- Das, O.; Sarmah, A.K.; Bhattacharyya, D. Biocomposites from waste derived biochars: Mechanical, thermal, chemical, and morphological properties. Waste Manag. 2016, 49, 560–570. [Google Scholar] [CrossRef]
- Das, O.; Bhattacharyya, D.; Sarmah, A.K. Sustainable eco-composites obtained from waste derived biochar: A consideration in performance properties, production costs, and environmental impact. J. Clean. Prod. 2016, 129, 159–168. [Google Scholar] [CrossRef]
- Li, S.; Li, X.; Chen, C.; Wang, H.; Deng, Q.; Gong, M.; Li, D. Development of electrically conductive nano bamboo charcoal/ultra-high molecular weight polyethylene composites with a segregated network. Compos. Sci. Technol. 2016, 132, 31–37. [Google Scholar] [CrossRef]
- Moustafa, H.; Guizani, C.; Dufresne, A. Sustainable biodegradable coffee grounds filler and its effect on the hydrophobicity, mechanical and thermal properties of biodegradable PBAT composites. J. Appl. Polym. Sci. 2017, 134. [Google Scholar] [CrossRef]
- Qian, S.; Yan, W.; Zhu, S.; Fontanillo Lopez, C.A.; Sheng, K. Surface modification of bamboo-char and its reinforcement in PLA biocomposites. Polym. Compos. 2018, 39, E633–E639. [Google Scholar] [CrossRef]
- Abdelwahab, M.A.; Rodriguez-Uribe, A.; Misra, M.; Mohanty, A.K. Injection Molded Novel Biocomposites from Polypropylene and Sustainable Biocarbon. Molecules 2019, 24, 4026. [Google Scholar] [CrossRef] [PubMed]
- Arrigo, R.; Jagdale, P.; Bartoli, M.; Tagliaferro, A.; Malucelli, G. Structure-property relationships in polyethylene-based composites filled with biochar derived from waste coffee grounds. Polymers 2019, 11, 1336. [Google Scholar] [CrossRef]
- Bartoli, M.; Giorcelli, M.; Rosso, C.; Rovere, M.; Jagdale, P.; Tagliaferro, A. Influence of Commercial Biochar Fillers on Brittleness/Ductility of Epoxy Resin Composites. Appl. Sci. 2019, 9, 3109. [Google Scholar] [CrossRef]
- Ferreira, G.F.; Pierozzi, M.; Fingolo, A.C.; da Silva, W.P.; Strauss, M. Tuning Sugarcane Bagasse Biochar into a Potential Carbon Black Substitute for Polyethylene Composites. J. Polym. Environ. 2019, 27, 1735–1745. [Google Scholar] [CrossRef]
- George, J.; Azad, L.B.; Poulose, A.M.; An, Y.; Sarmah, A.K. Nano-mechanical behaviour of biochar-starch polymer composite: Investigation through advanced dynamic atomic force microscopy. Compos. Part A Appl. Sci. Manuf. 2019, 124, 105486. [Google Scholar] [CrossRef]
- Giorcelli, M.; Khan, A.; Pugno, N.M.; Rosso, C.; Tagliaferro, A. Biochar as a cheap and environmental friendly filler able to improve polymer mechanical properties. Biomass Bioenergy 2019, 120, 219–223. [Google Scholar] [CrossRef]
- Giorcelli, M.; Bartoli, M. Development of Coffee Biochar Filler for the Production of Electrical Conductive Reinforced Plastic. Polymers 2019, 11, 1916. [Google Scholar] [CrossRef]
- Zhang, Q.; Khan, M.U.; Lin, X.; Cai, H.; Lei, H. Temperature varied biochar as a reinforcing filler for high-density polyethylene composites. Compos. Part B Eng. 2019, 175, 107151. [Google Scholar] [CrossRef]
- Zhang, Q.; Zhang, D.; Xu, H.; Lu, W.; Ren, X.; Cai, H.; Lei, H.; Huo, E.; Zhao, Y.; Qian, M.; et al. Biochar filled high-density polyethylene composites with excellent properties: Towards maximizing the utilization of agricultural wastes. Ind. Crops Prod. 2020, 146, 112185. [Google Scholar] [CrossRef]
- Arrigo, R.; Bartoli, M.; Malucelli, G. Poly(lactic Acid)-biochar biocomposites: Effect of processing and filler content on rheological, thermal, and mechanical properties. Polymers 2020, 12, 892. [Google Scholar] [CrossRef] [PubMed]
- Li, Z.; Reimer, C.; Wang, T.; Mohanty, A.K.; Misra, M. Thermal and Mechanical Properties of the Biocomposites of Miscanthus Biocarbon and Poly(3-Hydroxybutyrate-co-3-Hydroxyvalerate) (PHBV). Polymers 2020, 12, 1300. [Google Scholar] [CrossRef] [PubMed]
- Watt, E.; Abdelwahab, M.A.; Snowdon, M.R.; Mohanty, A.K.; Khalil, H.; Misra, M. Hybrid biocomposites from polypropylene, sustainable biocarbon and graphene nanoplatelets. Sci. Rep. 2020, 10, 10714. [Google Scholar] [CrossRef] [PubMed]
- Pudełko, A.; Postawa, P.; Stachowiak, T.; Malińska, K.; Dróżdż, D. Waste derived biochar as an alternative filler in biocomposites—Mechanical, thermal and morphological properties of biochar added biocomposites. J. Clean. Prod. 2021, 278, 123850. [Google Scholar] [CrossRef]
- Sarasini, F.; Luzi, F.; Dominici, F.; Maffei, G.; Iannone, A.; Zuorro, A.; Lavecchia, R.; Torre, L.; Carbonell-Verdu, A.; Balart, R.; et al. Effect of different compatibilizers on sustainable composites based on a PHBV/PBAT matrix filled with coffee silverskin. Polymers 2018, 10, 1256. [Google Scholar] [CrossRef]
- García-García, D.; Carbonell, A.; Samper, M.D.; García-Sanoguera, D.; Balart, R. Green composites based on polypropylene matrix and hydrophobized spend coffee ground (SCG) powder. Compos. Part B Eng. 2015, 78, 256–265. [Google Scholar] [CrossRef]
- Wu, C.S. Renewable resource-based green composites of surface-treated spent coffee grounds and polylactide: Characterisation and biodegradability. Polym. Degrad. Stab. 2015, 121, 51–59. [Google Scholar] [CrossRef]
- Zarrinbakhsh, N.; Wang, T.; Rodriguez-Uribe, A.; Misra, M.; Mohanty, A.K. Characterization of wastes and coproducts from the coffee industry for composite material production. BioResources 2016, 11, 7637–7653. [Google Scholar] [CrossRef]
- Quosai, P.; Anstey, A.; Mohanty, A.K.; Misra, M. Characterization of biocarbon generated by high- and low-temperature pyrolysis of soy hulls and coffee chaff: For polymer composite applications. R. Soc. Open Sci. 2018, 5. [Google Scholar] [CrossRef]
- Rodriguez Alberto, D.; Repa, K.; Hegde, S.; Miller, C.W.; Trabold, T.A. Novel Production of Magnetite Particles via Thermochemical Processing of Digestate from Manure and Food Waste. IEEE Magn. Lett. 2019. [Google Scholar] [CrossRef]
- Phetwarotai, W.; Potiyaraj, P.; Aht-Ong, D. Biodegradation of Polylactide and Gelatinized Starch Blend Films Under Controlled Soil Burial Conditions. J. Polym. Environ. 2013, 21, 95–107. [Google Scholar] [CrossRef]
- Weng, F.; Zhang, P.; Guo, D.; Koranteng, E.; Wu, Z.; Wu, Q. Preparation and Properties of Compatible Starch-PCL Composites: Effects of the NCO Functionality in Compatibilizer. Starch Stärke 2020, 72, 1900239. [Google Scholar] [CrossRef]
- Liang, J.Z.; Duan, D.R.; Tang, C.Y.; Tsui, C.P.; Chen, D.Z. Tensile properties of PLLA/PCL composites filled with nanometer calcium carbonate. Polym. Test. 2013, 32, 617–621. [Google Scholar] [CrossRef]
- Chaiwong, W.; Samoh, N.; Eksomtramage, T.; Kaewtatip, K. Surface-treated oil palm empty fruit bunch fiber improved tensile strength and water resistance of wheat gluten-based bioplastic. Compos. Part B Eng. 2019, 176, 107331. [Google Scholar] [CrossRef]
- Hegde, S.; Dell, E.; Lewis, C.; Trabold, T.A.; Diaz, C.A. Anaerobic Biodegradation of Bioplastic Packaging Materials. In Proceedings of the 21st IAPRI World Conference on Packaging, Zhuhai, China, 19–22 June 2018; DEStech Publications, Inc.: Lancaster, PA, USA, 2018; pp. 730–737. [Google Scholar]
- Hegde, S.; Dell, E.M.; Lewis, C.L.; Trabold, T.A.; Diaz, C.A. Development of a biodegradable thermoformed tray for food waste handling. In Proceedings of the 29th IAPRI, Enschede, The Netherlands, 11–14 June 2019; pp. 553–561. [Google Scholar]
Publisher’s Note: MDPI stays neutral with regard to jurisdictional claims in published maps and institutional affiliations. |
© 2020 by the authors. Licensee MDPI, Basel, Switzerland. This article is an open access article distributed under the terms and conditions of the Creative Commons Attribution (CC BY) license (http://creativecommons.org/licenses/by/4.0/).




