Aromatics from Beechwood Organosolv Lignin through Thermal and Catalytic Pyrolysis
Abstract
1. Introduction
2. Results and Discussion
2.1. Lignin Origin and Characterisation
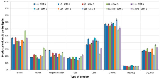
2.2. Lignin Valorization via Pyrolysis
2.3. Effect of Use of Acids during Delignification on Lignin Pyrolysis
2.4. GCMS Semiquantitative Bio-Oils Analysis
3. Materials and Methods
3.1. Raw Materials
3.2. Bed Material
3.3. Analytical Methods
4. Conclusions
Supplementary Materials
Author Contributions
Funding
Acknowledgments
Conflicts of Interest
References
- Puri, M.; Abraham, R.E.; Barrow, C.J. Biofuel production: Prospects, challenges and feedstock in Australia. Renew. Sustain. Energy Rev. 2012, 16, 6022–6031. [Google Scholar] [CrossRef]
- Hahn-Hägerdal, B.; Galbe, M.; Gorwa-Grauslund, M.F.; Lidén, G.; Zacchi, G. Bio-ethanol—The fuel of tomorrow from the residues of today. Trends Biotechnol. 2006, 24, 549–556. [Google Scholar] [CrossRef] [PubMed]
- Zhao, X.; Cheng, K.; Liu, D. Organosolv pretreatment of lignocellulosic biomass for enzymatic hydrolysis. Appl. Microbiol. Biotechnol. 2009, 82, 815–827. [Google Scholar] [CrossRef] [PubMed]
- Studer, M.H.; DeMartini, J.D.; Davis, M.F.; Sykes, R.W.; Davison, B.; Keller, M.; Tuskan, G.A.; Wyman, C.E. Lignin content in natural Populus variants affects sugar release. Proc. Natl. Acad. Sci. USA 2011, 108, 6300–6305. [Google Scholar] [CrossRef]
- Zhang, B.; Shahbazi, A. Recent Developments in Pretreatment Technologies for Production of Lignocellulosic Biofuels. J Pet. Env. Biotechnol. 2011. [Google Scholar] [CrossRef]
- Yang, B.; Wyman, C.E. Pretreatment: The key to unlocking low-cost cellulosic ethanol. Biofuels Bioprod. Biorefining 2008, 2, 26–40. [Google Scholar] [CrossRef]
- Wyman, C.E.; Dale, B.E.; Elander, R.T.; Holtzapple, M.; Ladisch, M.R.; Lee, Y.Y. Coordinated development of leading biomass pretreatment technologies. Bioresour. Technol. 2005, 96, 1959–1966. [Google Scholar] [CrossRef]
- Zhang, J.; Tang, M.; Viikari, L. Xylans inhibit enzymatic hydrolysis of lignocellulosic materials by cellulases. Bioresour. Technol. 2012, 121, 8–12. [Google Scholar] [CrossRef]
- Kristensen, J.B.; Thygesen, L.G.; Felby, C.; Jorgensen, H.; Elder, T. Cell wall structural changes in wheat straw pretreated for bioethanol production. Biotechnol. Biofuels 2008. [Google Scholar] [CrossRef] [PubMed]
- Constant, S.; Wienk, H.L.J.; Frissen, A.E.; de Peinder, P.; Boelens, R.; van Es, D.S.; Grisel, R.J.H.; Weckhuysen, B.M.; Huijgen, W.J.J.; Gosselink, R.J.A.; et al. New insights into the structure and composition of technical lignins: A comparative characterisation study. Green Chem. 2016, 18, 2651–2665. [Google Scholar] [CrossRef]
- Huber, G.W.; Iborra, S.; Corma, A. Synthesis of Transportation Fuels from Biomass: Chemistry, Catalysts, and Engineering. Chem. Rev. 2006, 106, 4044–4098. [Google Scholar] [CrossRef]
- Yang, H.; Yan, R.; Chen, H.; Lee, D.H.; Zheng, C. Characteristics of hemicellulose, cellulose and lignin pyrolysis. Fuel 2007, 86, 1781–1788. [Google Scholar] [CrossRef]
- Stefanidis, S.D.; Kalogiannis, K.G.; Iliopoulou, E.F.; Michailof, C.M.; Pilavachi, P.A.; Lappas, A.A. A study of lignocellulosic biomass pyrolysis via the pyrolysis of cellulose, hemicellulose and lignin. J. Anal. Appl. Pyrolysis 2014, 105, 143–150. [Google Scholar] [CrossRef]
- Rinaldi, R.; Jastrzebski, R.; Clough, M.T.; Ralph, J.; Kennema, M.; Bruijnincx, P.C.A.; Weckhuysen, B.M. Paving the Way for Lignin Valorisation: Recent Advances in Bioengineering, Biorefining and Catalysis. Angew. Chemie Int. Ed. 2016, 55, 8164–8215. [Google Scholar] [CrossRef]
- Nowakowski, D.J.; Bridgwater, A.V.; Elliott, D.C.; Meier, D.; de Wild, P. Lignin fast pyrolysis: Results from an international collaboration. J. Anal. Appl. Pyrolysis 2010, 88, 53–72. [Google Scholar] [CrossRef]
- Azadi, P.; Inderwildi, O.R.; Farnood, R.; King, D.A. Liquid fuels, hydrogen and chemicals from lignin: A critical review. Renew. Sustain. Energy Rev. 2013, 21, 506–523. [Google Scholar] [CrossRef]
- De Wild, P.; Reith, H.; Heeres, E. Biomass pyrolysis for chemicals. Biofuels 2011, 2, 185–208. [Google Scholar] [CrossRef]
- De Wild, P.J.; Huijgen, W.J.J.; Gosselink, R.J.A. Lignin pyrolysis for profitable lignocellulosic biorefineries. Biofuels Bioprod. Biorefining 2014, 8, 645–657. [Google Scholar] [CrossRef]
- Kalogiannis, K.G.; Stefanidis, S.D.; Michailof, C.M.; Lappas, A.A.; Sjöholm, E. Pyrolysis of lignin with 2DGC quantification of lignin oil: Effect of lignin type, process temperature and ZSM-5 in situ upgrading. J. Anal. Appl. Pyrolysis 2015, 115, 410–418. [Google Scholar] [CrossRef]
- Sharma, R.K.; Bakhshi, N.N. Catalytic upgrading of pyrolysis oil. Energy Fuels 1993, 7, 306–314. [Google Scholar] [CrossRef]
- Huber, G.W.; Corma, A. Synergies between Bio- and Oil Refineries for the Production of Fuels from Biomass. Angew. Chemie Int. Ed. 2007, 46, 7184–7201. [Google Scholar] [CrossRef]
- Kalogiannis, K.; Matsakas, L.; Aspden, J.; Lappas, A.; Rova, U.; Christakopoulos, P. Acid Assisted Organosolv Delignification of Beechwood and Pulp Conversion towards High Concentrated Cellulosic Ethanol via High Gravity Enzymatic Hydrolysis and Fermentation. Molecules 2018, 23, 1647. [Google Scholar] [CrossRef]
- Matsakas, L.; Nitsos, C.; Raghavendran, V.; Yakimenko, O.; Persson, G.; Olsson, E.; Rova, U.; Olsson, L.; Christakopoulos, P. A novel hybrid organosolv: Steam explosion method for the efficient fractionation and pretreatment of birch biomass. Biotechnol. Biofuels 2018, 11, 160. [Google Scholar] [CrossRef]
- Kalogiannis, K.G.; Stefanidis, S.D.; Lappas, A.A. Catalyst deactivation, ash accumulation and bio-oil deoxygenation during ex situ catalytic fast pyrolysis of biomass in a cascade thermal-catalytic reactor system. Fuel Process. Technol. 2019, 186, 99–109. [Google Scholar] [CrossRef]
- Fogassy, G.; Thegarid, N.; Schuurman, Y.; Mirodatos, C. From biomass to bio-gasoline by FCC co-processing: Effect of feed composition and catalyst structure on product quality. Energy Environ. Sci. 2011, 4. [Google Scholar] [CrossRef]
- Kim, J.-Y.; Lee, J.H.; Park, J.; Kim, J.K.; An, D.; Song, I.K.; Choi, J.W. Catalytic pyrolysis of lignin over HZSM-5 catalysts: Effect of various parameters on the production of aromatic hydrocarbon. J. Anal. Appl. Pyrolysis 2015, 114, 273–280. [Google Scholar] [CrossRef]
- Ma, Z.; Troussard, E.; Van Bokhoven, J.A. Controlling the selectivity to chemicals from lignin via catalytic fast pyrolysis. Appl. Catal. A Gen. 2012, 423–424, 130–136. [Google Scholar] [CrossRef]
- Asmadi, M.; Kawamoto, H.; Saka, S. Thermal reactions of guaiacol and syringol as lignin model aromatic nuclei. J. Anal. Appl. Pyrolysis 2011, 92, 88–98. [Google Scholar] [CrossRef]
- Britt, P.F.; Buchanan, A.C.; Malcolm, E.A. Impact of Restricted Mass Transport on Pyrolysis Pathways for Aryl Ether Containing Lignin Model Compounds. Energy Fuels 2000, 14, 1314–1322. [Google Scholar] [CrossRef]
- Ben, H.; Ragauskas, A.J. One step thermal conversion of lignin to the gasoline range liquid products by using zeolites as additives. RSC Adv. 2012, 2, 12892. [Google Scholar] [CrossRef]
- Matsakas, L.; Raghavendran, V.; Yakimenko, O.; Persson, G.; Olsson, E.; Rova, U.; Olsson, L.; Christakopoulos, P. Lignin-first biomass fractionation using a hybrid organosolv – Steam explosion pretreatment technology improves the saccharification and fermentability of spruce biomass. Bioresour. Technol. 2019, 273, 521–528. [Google Scholar] [CrossRef] [PubMed]
- Kalogiannis, K.G.; Stefanidis, S.D.; Karakoulia, S.A.; Triantafyllidis, K.S.; Yiannoulakis, H.; Michailof, C.; Lappas, A.A. First pilot scale study of basic vs acidic catalysts in biomass pyrolysis: Deoxygenation mechanisms and catalyst deactivation. Appl. Catal. B Environ. 2018, 238, 346–357. [Google Scholar] [CrossRef]
- Sluiter, A.; Hames, B.; Ruiz, R.; Scarlata, C.; Sluiter, J.; Templeton, D.; Crocker, D. Determination of Structural Carbohydrates and Lignin in Biomass: Laboratory Analytical Procedure (LAP) (Revised July 2011); NREL: Golden, CO, USA, 2008. [Google Scholar]
- Kalogiannis, K.G.; Stefanidis, S.D.; Michailof, C.M.; Lappas, A.A. Castor bean cake residues upgrading towards high added value products via fast catalytic pyrolysis. Biomass Bioenergy 2016, 95, 405–415. [Google Scholar] [CrossRef]




| Lignins | Solvent, %v/v | Catalyst, %w/w | C, wt.% | H, wt.% | O ***, wt.% | Ash, wt.% | Lignin, wt.% | Cel., Wt.% | Hem., Wt.% |
|---|---|---|---|---|---|---|---|---|---|
| L1 * | Ethanol, 60 | no | 62.4 | 6.1 | 31.5 | 0.0 | 94.3 | 0 | 1.5 |
| L2 * | Ethanol, 60 | H2SO4, 1 | 62.5 | 6.2 | 31.2 | 0.1 | 91.3 | 0 | 0.4 |
| L5 | Ethanol, 60 | no | 61.7 | 6.3 | 31.5 | 0.5 | 90.8 | 0.1 | 2.7 |
| L6 | Ethanol, 60 | H2SO4, 1 | 62.0 | 6.2 | 31.8 | 0.0 | 86.6 | 0.3 | 1.3 |
| L11 | Acetone, 60 | no | 61.3 | 6.1 | 32.4 | 0.2 | 88.8 | 0 | 4.2 |
| L12 | Acetone, 60 | H2SO4, 1 | 64.6 | 5.9 | 29.5 | 0.0 | 94.4 | 0 | 0.8 |
| L14 | Ethanol, 60 | H3PO4, 5.6 | 63.2 | 6.01 | 30.7 | 0.0 | 90.6 | 2.0 | 1.8 |
| L15 | Ethanol, 60 | Oxalic, 1 | 62.4 | 6.2 | 31.2 | 0.2 | 90.7 | 0.4 | 1.8 |
| L12enz ** | Acetone, 60 | H2SO4, 1 | 45.0 | 6.2 | 44.1 | 3.7 | 23.5 | 7.2 | 0.9 |
| L14enz ** | Ethanol, 60 | H3PO4, 5.6 | 44.8 | 6.1 | 46.1 | 3.0 | 49.0 | 3.7 | 0.9 |
| GCMS | AR | PH | AC | EST | ALD | KET | OxyAR | OxyPH |
|---|---|---|---|---|---|---|---|---|
| L1 + Sand | 0.0% | 15.2% | 0.8% | 0.8% | 6.2% | 2.3% | 3.4% | 17.6% |
| L2 + Sand | 0.3% | 12.0% | 1.6% | 1.9% | 7.3% | 2.9% | 3.0% | 22.0% |
| L5 + Sand | 1.5% | 14.6% | 6.4% | 24.1% | 4.8% | 1.9% | 1.1% | 21.4% |
| L6 + Sand | 1.0% | 24.0% | 3.0% | 2.7% | 4.9% | 2.0% | 2.8% | 16.2% |
| L11 + Sand | 0.0% | 24.3% | 2.4% | 0.8% | 5.5% | 1.2% | 1.6% | 14.9% |
| L12 + Sand | 4.5% | 6.2% | 2.2% | 0.7% | 5.7% | 1.0% | 1.5% | 29.6% |
| L14 + Sand | 0.0% | 4.7% | 7.1% | 1.6% | 4.9% | 2.7% | 0.3% | 22.4% |
| L15 + Sand | 0.5% | 7.6% | 5.1% | 1.5% | 5.1% | 2.8% | 5.6% | 24.0% |
| L12enz + Sand | 0.6% | 16.5% | 15.4% | 0.9% | 2.0% | 12.0% | 1.8% | 19.2% |
| L14enz + Sand | 0.6% | 15.1% | 7.0% | 0.5% | 1.4% | 6.4% | 1.9% | 22.7% |
| L1 + ZSM-5 | 3.3% | 12.1% | 3.9% | 0.2% | 3.7% | 2.9% | 0.9% | 13.4% |
| L2 + ZSM-5 | 3.0% | 27.3% | 0.6% | 0.7% | 2.0% | 0.7% | 4.4% | 6.6% |
| L5 + ZSM-5 | 2.4% | 14.8% | 1.9% | 3.9% | 2.9% | 2.8% | 3.8% | 24.4% |
| L6 + ZSM-5 | 1.8% | 26.0% | 2.6% | 3.2% | 3.4% | 1.9% | 3.6% | 20.8% |
| L11 + ZSM-5 | 2.6% | 30.9% | 0.0% | 0.3% | 2.2% | 0.4% | 2.6% | 6.5% |
| L12 + ZSM-5 | 4.3% | 24.5% | 0.8% | 3.0% | 2.5% | 1.1% | 2.2% | 11.4% |
| L14 + ZSM-5 | 0.8% | 4.1% | 8.4% | 2.0% | 3.2% | 1.8% | 3.5% | 28.1% |
| L15 + ZSM-5 | 2.9% | 22.3% | 0.2% | 1.0% | 4.8% | 2.6% | 3.6% | 11.7% |
| L12enz + ZSM-5 | 3.0% | 16.4% | 14.9% | 0.0% | 1.2% | 8.9% | 1.1% | 16.6% |
| L14enz + ZSM-5 | 4.1% | 29.0% | 1.1% | 0.3% | 1.5% | 2.7% | 2.5% | 12.6% |
© 2019 by the authors. Licensee MDPI, Basel, Switzerland. This article is an open access article distributed under the terms and conditions of the Creative Commons Attribution (CC BY) license (http://creativecommons.org/licenses/by/4.0/).
Share and Cite
Kalogiannis, K.G.; Matsakas, L.; Lappas, A.A.; Rova, U.; Christakopoulos, P. Aromatics from Beechwood Organosolv Lignin through Thermal and Catalytic Pyrolysis. Energies 2019, 12, 1606. https://doi.org/10.3390/en12091606
Kalogiannis KG, Matsakas L, Lappas AA, Rova U, Christakopoulos P. Aromatics from Beechwood Organosolv Lignin through Thermal and Catalytic Pyrolysis. Energies. 2019; 12(9):1606. https://doi.org/10.3390/en12091606
Chicago/Turabian StyleKalogiannis, Konstantinos G., Leonidas Matsakas, Angelos A. Lappas, Ulrika Rova, and Paul Christakopoulos. 2019. "Aromatics from Beechwood Organosolv Lignin through Thermal and Catalytic Pyrolysis" Energies 12, no. 9: 1606. https://doi.org/10.3390/en12091606
APA StyleKalogiannis, K. G., Matsakas, L., Lappas, A. A., Rova, U., & Christakopoulos, P. (2019). Aromatics from Beechwood Organosolv Lignin through Thermal and Catalytic Pyrolysis. Energies, 12(9), 1606. https://doi.org/10.3390/en12091606

