Transient Stability Analysis of Islanded AC Microgrids with a Significant Share of Virtual Synchronous Generators
Abstract
:1. Introduction
2. Basic Operation Principle of the Systems
3. Mathematical Model of the Microgrids
3.1. System 1: SG-Dominated Islanded Microgrid
3.2. System 2: DG-Dominated Islanded Microgrid
4. Stability and Parameter Sensitivity Analysis
4.1. System 1: SG-Dominated Islanded Microgrid
4.2. System 2: DG-Dominated Islanded Microgrid
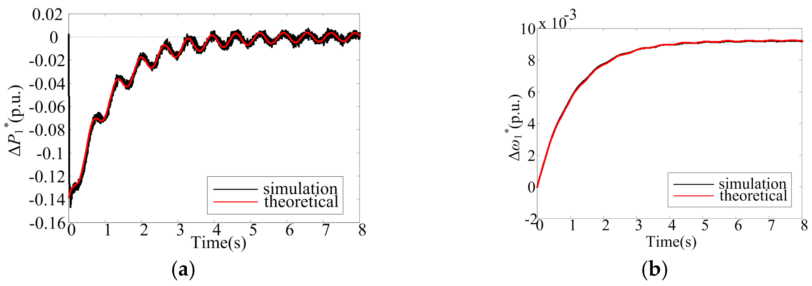
5. Simulation Analysis
5.1. System Performance Simulation
5.2. Stability of the Two Systems
6. Conclusions
Author Contributions
Conflicts of Interest
References
- China National Energy Administration. National Energy Board News Conference to Introduce the Energy Situation in the First Half of the Year. 2017. Available online: http://www.nea.gov.cn/2017-07/21/c_136461811.htm (accessed on 15 November 2017). (In Chinese)
- Bevrani, H.; Ise, T.; Miura, Y. Virtual synchronous generators: A survey and new perspectives. Int. J. Electr. Power Energy Syst. 2014, 54, 244–254. [Google Scholar] [CrossRef]
- Majumder, R. Some Aspects of Stability in Microgrids. IEEE Trans. Power Syst. 2013, 28, 3243–3252. [Google Scholar] [CrossRef]
- Majumder, R.; Ghosh, A.; Ledwich, G.; Zare, F. Power Sharing and Stability Enhancement of an Autonomous Microgrid with Inertial and Non-inertial DGs with DSTATCOM. In Proceedings of the IEEE International Conference on Power Systems, Kharagpur, India, 27–29 December 2009; pp. 1–6. [Google Scholar]
- Soni, N.; Doolla, S.; Chandorkar, M.C. Improvement of Transient Response in Microgrids Using Virtual Inertia. IEEE Trans. Power Deliv. 2013, 28, 1830–1838. [Google Scholar] [CrossRef]
- Alipoor, J.; Miura, Y.; Ise, T. Power System Stabilization Using Virtual Synchronous Generator with Alternating Moment of Inertia. IEEE J. Emerg. Sel. Top. Power Electron. 2015, 3, 451–458. [Google Scholar] [CrossRef]
- Zhong, Q.; Weiss, G. Synchronverters: Inverters That Mimic Synchronous Generators. IEEE Trans. Ind. Electron. 2011, 58, 1259–1267. [Google Scholar] [CrossRef]
- Wu, H.; Ruan, X.; Yang, D.; Chen, X.; Zhao, W.; Lv, Z.; Zhong, Q.-C. Small-Signal Modeling and Parameters Design for Virtual Synchronous Generators. IEEE Trans. Ind. Electron. 2016, 63, 4292–4303. [Google Scholar] [CrossRef]
- Alipoor, J.; Miura, Y.; Ise, T. Evaluation of Virtual Synchronous Generator (VSG) Operation under Different Voltage Sag Conditions. In Proceedings of the IEEJ Conference on Power Technology and Power Systems, Tokyo, Japan, 6–7 August 2012; pp. 41–46. [Google Scholar]
- Torres, L.M.A.; Lopes, L.A.C.; Moran, T.L.A.; Espinoza, C.J.R. Self-tuning virtual synchronous machine: A control strategy for energy storage systems to support dynamic frequency control. IEEE Trans. Energy Convers. 2014, 29, 833–840. [Google Scholar] [CrossRef]
- Hirase, Y.; Noro, O.; Yoshimura, E.; Nakagawa, H.; Sakimoto, K.; Shindo, Y. Virtual synchronous generator control with double decoupled synchronous reference frame for single-phase inverter. IEEJ J. Ind. Appl. 2015, 4, 143–151. [Google Scholar] [CrossRef]
- Sakimoto, K.; Miura, Y.; Ise, T. Stabilization of a power system with a distributed generator by a virtual synchronous generator function. In Proceedings of the IEEE 8th International Conference on Power Electronics and ECCE Asia, Shilla Jeju, Korea, 30 May–3 June 2011; pp. 1498–1505. [Google Scholar]
- Shintai, T.; Miura, Y.; Ise, T. Reactive power control for load sharing with virtual synchronous generator control. In Proceedings of the 7th International Power Electronics and Motion Control Conference (IPEMC), Harbin, China, 2–5 June 2012; pp. 846–853. [Google Scholar]
- Shintai, T.; Miura, Y.; Ise, T. Oscillation damping of a distributed generator using a virtual synchronous generator. IEEE Trans. Power Deliv. 2014, 29, 668–676. [Google Scholar] [CrossRef]
- China Southern Power Grid. Network Operation of the First Virtual Synchronous Machine System of China Southern Power Grid. 2017. Available online: http://www.csg.cn/xwzx/2017/gsyw/201702/t20170222_151669.html (accessed on 21 February 2017). (In Chinese).
- China Energy News. Virtual Synchronous Generator Demonstration Project Puts into Operation. 2017. Available online: http://paper.people.com.cn/zgnyb/html/2017-01/02/content_1740630.htm (accessed on 2 January 2017). (In Chinese).
- Liu, J.; Miura, Y.; Ise, T. Comparison of Dynamic Characteristics between Virtual Synchronous Generator and Droop Control in Inverter-Based Distributed Generators. IEEE Trans. Power Electron. 2016, 31, 3600–3611. [Google Scholar] [CrossRef]
- Yuan, C.; Liu, C.; Zhang, X.; Zhao, T.; Xiao, X.; Tang, N. Comparison of Dynamic Characteristics between Virtual Synchronous Machines Adopting Different Active Power Droop Controls. J. Power Electron. 2017, 17, 766–776. [Google Scholar] [CrossRef]
- Alipoor, J.; Miura, Y.; Ise, T. Distributed generation grid integration using virtual synchronous generator with adoptive virtual inertia. In Proceedings of the Energy Conversion Congress and Exposition, Denver, CO, USA, 15–19 September 2013; pp. 4546–4552. [Google Scholar]
- Fan, W.; Yan, X.; Hua, T. Adaptive parameter control strategy of VSG for improving system transient stability. In Proceedings of the IEEE 3rd International Future Energy Electronics Conference and ECCE Asia, Kaohsiung, Taiwan, 3–7 June 2017; pp. 2053–2058. [Google Scholar]
- Li, D.; Zhu, Q.; Lin, S.; Bian, X.Y. A Self-Adaptive Inertia and Damping Combination Control of VSG to Support Frequency Stability. IEEE Trans. Energy Convers. 2017, 32, 397–398. [Google Scholar] [CrossRef]
- Zheng, T.; Chen, L.; Wang, R.; Li, C.; Mei, S. Adaptive damping control strategy of virtual synchronous generator for frequency oscillation suppression. In Proceedings of the 12th IET International Conference on AC and DC Power Transmission (ACDC 2016), Beijing, China, 28–29 May 2016. [Google Scholar]























| Parameter | Value | Parameter | Value |
|---|---|---|---|
| capacity reference, Sb | 10 kVA | Voltage reference, Ub | 0.3102 kV |
| SVSG | 0.25 (p.u.) | SSG | 1 (p.u.) |
| Udc_VSG | 0.8 kV | USG(L_L) | 0.38 kV |
| HSG | 5 s | DSG | 2 (p.u.) |
| Droop coefficient of P-V, KVSG | 0.1 | VSGvirtual impedance, Xx | 0.2 (p.u.) |
| Line resistancein VSG side, R1 | 0.0042 (p.u.) | Line resistancein SG side, R2 | 0.0062 (p.u.) |
| Line reactancein VSG side, X1 | 0.01327 (p.u.) | Line reactancein SG side, X2 | 0.0198 (p.u.) |
| SG direct-axis armature reactance, Xd | 0.3 (p.u.) | SG quadrature-axis armature reactance, Xq | 0.3 (p.u.) |
| SGdroop control coefficient, Kd1 | 25 | ωref | 314 rad/s |
| Pref_VSG | 0.25 (p.u.) | Pref_SG | 1 (p.u.) |
| Qref_VSG | 0 | Qref_SG | 0 |
| Filter resistor, Rf | 0.037 Ω | Filter inductance, Lf | 3.1 mH |
| Filter capacitor, Cf | 8.17 μF |
| Parameter | Value | Parameter | Value |
|---|---|---|---|
| Capacity reference, Sb | 10 kVA | Voltage reference, Ub | 0.3102 kV |
| SVSG1 | 1 (p.u.) | SVSG2 | 1 (p.u.) |
| Udc_VSG1 | 0.8 kV | Udc_VSG2 | 0.8 kV |
| HVSG2 | 5 s | DVSG2 | 2 |
| VSG1 droop coefficient of P-V, KVSG1 | 0.1 | VSG2 droop coefficient of P-V, KVSG2 | 0.1 |
| VSG1 virtual impedance, Xx1 | 0.2 (p.u.) | VSG2 virtual impedance, Xx2 | 0.3 (p.u.) |
| Line resistance in VSG1 side, R1 | 0.0062 (p.u.) | Line resistance in VSG2 side, R2 | 0.0062 (p.u.) |
| Line reactance in VSG1 side, X1 | 0.0198 (p.u.) | Line reactance in VSG2 side, X2 | 0.0198 (p.u.) |
| VSG2 droop control coefficient, Kd2 | 25 | ωref | 314 rad/s |
| Pref_VSG1 | 0.25 (p.u.) | Pref_VSG2 | 1 (p.u.) |
| Qref_VSG1 | 0 | Qref_VSG2 | 0 |
| Filter resistor of VSG1, Rf1 | 0.037 Ω | Filter inductance of VSG1, Lf1 | 3.1 mH |
| Filter capacitor of VSG1, Cf1 | 8.17 μF | Filter resistor of VSG2, Rf2 | 0.037 Ω |
| Filter inductance of VSG2, Lf2 | 3.1 mH | Filter capacitor of VSG2, Cf2 | 8.17 μF |
© 2018 by the authors. Licensee MDPI, Basel, Switzerland. This article is an open access article distributed under the terms and conditions of the Creative Commons Attribution (CC BY) license (http://creativecommons.org/licenses/by/4.0/).
Share and Cite
Yuan, C.; Xie, P.; Yang, D.; Xiao, X. Transient Stability Analysis of Islanded AC Microgrids with a Significant Share of Virtual Synchronous Generators. Energies 2018, 11, 44. https://doi.org/10.3390/en11010044
Yuan C, Xie P, Yang D, Xiao X. Transient Stability Analysis of Islanded AC Microgrids with a Significant Share of Virtual Synchronous Generators. Energies. 2018; 11(1):44. https://doi.org/10.3390/en11010044
Chicago/Turabian StyleYuan, Chang, Peilin Xie, Dan Yang, and Xiangning Xiao. 2018. "Transient Stability Analysis of Islanded AC Microgrids with a Significant Share of Virtual Synchronous Generators" Energies 11, no. 1: 44. https://doi.org/10.3390/en11010044
APA StyleYuan, C., Xie, P., Yang, D., & Xiao, X. (2018). Transient Stability Analysis of Islanded AC Microgrids with a Significant Share of Virtual Synchronous Generators. Energies, 11(1), 44. https://doi.org/10.3390/en11010044

