An Improved Modulation Strategy Combining Phase Shifted PWM and Phase Disposition PWM for Cascaded H-Bridge Inverters
Abstract
:1. Introduction
2. Principle of the Proposed Strategy
2.1. New Strategy for Single Phase System
- (1)
 - Divide all the carriers of PS-PWM to N − 1 intervals of the same width in the vertical direction.
 - (2)
 - Every time when the reference crosses the boundary from one interval to the adjacent one, we adopted a positive phase shift of the carriers that have been generated already. The amount of phase in terms of the carrier’s period is given by:
 
2.2. New Strategy for Three-Phase System
- (1)
 - Make three-phase references start from the same value at the beginning. For example, start from zero.
 - (2)
 - Take one phase’s equivalent carrier as a standard and properly shift the other two phases carriers at the beginning to make their equivalent carriers’ phase consistent with the standard.
 
2.3. Discontinuous Modulation Based on New Strategy
3. Simulation and Experimental Results
3.1. Simulation Results
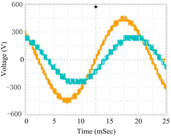
3.2. Experimental Results
4. Conclusions
Acknowledgments
Author Contributions
Conflicts of Interest
References
- Lai, J.S.; Peng, F.Z. Multilevel converters—A new breed of power converters. IEEE Trans. Ind. Appl. 1996, 32, 509–517. [Google Scholar]
 - Malinowski, M.; Gopakumar, K.; Rodriguez, J.; Pérez, M.A. A survey on cascaded multilevel inverters. IEEE Trans. Ind. Electron. 2010, 57, 2197–2206. [Google Scholar] [CrossRef]
 - Miguel, M.; Francisco, H. A Comparison of modulation techniques for modular multilevel converters. Energies 2016, 9, 1091. [Google Scholar] [CrossRef]
 - Xiongmin, T.; Zhang, J. A switching frequency optimized space vector pulse width modulation (SVPWM) scheme for cascaded multilevel inverters. Energies 2017, 10, 725. [Google Scholar] [CrossRef]
 - Liang, Y.Q.; Nwankpa, C.O. A new type of STATCOM based on cascading voltage source inverters with phase-shifted unipolar SPWM. IEEE Trans. Ind. Appl. 1998, 35, 1447–1453. [Google Scholar]
 - McGrath, B.P.; Holmes, D.G. Multicarrier PWM strategies for multilevel inverters. IEEE Trans. Ind. Electron. 2002, 49, 858–867. [Google Scholar] [CrossRef]
 - Li, Y.; Wang, Y.; Li, B.Q. Generalized theory of phase-shifted carrier PWM for cascaded H-bridge converters and modular multilevel converters. IEEE J. Emerg. Sel. Top. Power Electron. 2016, 4, 589–605. [Google Scholar] [CrossRef]
 - Marquez, A.; Leon, J.I.; Portillo, R.; Vazquez, S.; Franquelo, L.G.; Kouro, S. Adaptive phase-shifted PWM for multilevel cascaded H-bridge converters for balanced or unbalanced operation. In Proceedings of the IECON 2015—41st Annual Conference of the IEEE Industrial Electronics Society, Yokohama, Japan, 9–12 November 2015; pp. 5124–5129. [Google Scholar]
 - Deng, F.; Chen, Z. Voltage-balancing method for modular multilevel converters under phase-shifted carrier-based pulsewidth modulation. IEEE Trans. Ind. Electron. 2015, 62, 4158–4169. [Google Scholar] [CrossRef]
 - Angulo, M.; Lezana, P.; Kouro, S.; Rodriguez, J.; Wu, B. Level-shifted PWM for cascaded multilevel inverters with even power distribution. In Proceedings of the Power Electronics Specialists Conference, Orlando, FL, USA, 17–21 June 2007; pp. 2373–2378. [Google Scholar]
 - Naderi, R.; Rahmati, A. Phase-shifted carrier PWM technique for general cascaded inverters. IEEE Trans. Power Electron. 2008, 23, 1257–1269. [Google Scholar] [CrossRef]
 - De Paris, J.M.; Nicolini, A.M.; Carnielutti, F.; Massing, J.; Pinheiro, H. Sorting algorithm for a PD modulation for a cascaded multilevel converter. In Proceedings of the 2015 IEEE 13th Brazilian Power Electronics Conference and 1st Southern Power Electronics Conference (COBEP/SPEC), Fortaleza, Brazil, 29 November–2 December 2015; pp. 1–6. [Google Scholar]
 - Liu, H.; Ma, K.; Blaabjerg, F. Device loading and efficiency of modular multilevel converter under various modulation strategies. In Proceedings of the 2016 IEEE 7th International Symposium on Power Electronics for Distributed Generation Systems (PEDG), Vancouver, BC, Canada, 27–30 June 2016; pp. 1–7. [Google Scholar]
 - Carrara, G.; Gardella, S.; Marchesoni, M.; Salutari, R.; Ciutto, G. A new multilevel PWM method: A theoretical analysis. IEEE Trans. Power Electron. 1992, 7, 497–505. [Google Scholar] [CrossRef]
 - McGrath, B.P.; Holmes, D.G. A comparison of multicarrier PWM strategies for cascaded and neutral point clamped multilevel inverters. In Proceedings of the Power Electronics Specialists Conference, Galway, Ireland, 23 June 2000; pp. 674–679. [Google Scholar]
 - Blasko, V. A hybrid PWM strategy combining modified space vector and triangle comparison methods. In Proceedings of the Power Electronics Specialists Conference, Baveno, Italy, 23–27 June 1996; pp. 1872–1878. [Google Scholar]
 - Holmes, D.G. The general relationship between regular-sampled pulse-width-modulation and space vector modulation for hard switched converters. In Proceedings of the Industry Applications Society Annual Meeting, Houston, TX, USA, 4–9 October 1992; pp. 1002–1010. [Google Scholar]
 - McGrath, B.P.; Holmes, D.G.; Lipo, T. Optimized space vector switching sequences for multilevel inverters. IEEE Trans. Power Electron. 2003, 18, 1293–1301. [Google Scholar] [CrossRef]
 

















| Parameters | Value | 
|---|---|
| Level of CHB Inverter | 5,7,9,10 | 
| DC Link Voltage | 56 V | 
| Output Voltage | 0–550 V (3-ph) | 
| Max Modulation Depth | 1.15 | 
| Switching Frequency | 610 Hz | 
| Parameters | Value | 
|---|---|
| Number of Power Cells | 3 × 5 unit | 
| DC Link Voltage | 56 V | 
| Output Voltage | 0–550 V (3-ph) | 
| Max Modulation Depth | 1.15 | 
| Switching Frequency | 610 Hz | 
| Insulated Gate Bipolar Transistor (IGBT) | 2MBI100VA-120-50 | 
| Drivers | 2SD315-17 | 
| Digital Signal Process (DSP) | TMS320F2812 | 
| Field—Programmable Gate Array (FPGA) | Altera EPF10K20T | 
© 2017 by the authors. Licensee MDPI, Basel, Switzerland. This article is an open access article distributed under the terms and conditions of the Creative Commons Attribution (CC BY) license (http://creativecommons.org/licenses/by/4.0/).
Share and Cite
Xiao, M.; Xu, Q.; Ouyang, H. An Improved Modulation Strategy Combining Phase Shifted PWM and Phase Disposition PWM for Cascaded H-Bridge Inverters. Energies 2017, 10, 1327. https://doi.org/10.3390/en10091327
Xiao M, Xu Q, Ouyang H. An Improved Modulation Strategy Combining Phase Shifted PWM and Phase Disposition PWM for Cascaded H-Bridge Inverters. Energies. 2017; 10(9):1327. https://doi.org/10.3390/en10091327
Chicago/Turabian StyleXiao, Muxuan, Qianming Xu, and Honglin Ouyang. 2017. "An Improved Modulation Strategy Combining Phase Shifted PWM and Phase Disposition PWM for Cascaded H-Bridge Inverters" Energies 10, no. 9: 1327. https://doi.org/10.3390/en10091327
APA StyleXiao, M., Xu, Q., & Ouyang, H. (2017). An Improved Modulation Strategy Combining Phase Shifted PWM and Phase Disposition PWM for Cascaded H-Bridge Inverters. Energies, 10(9), 1327. https://doi.org/10.3390/en10091327
        
