Investigation of the Dynamic Melting Process in a Thermal Energy Storage Unit Using a Helical Coil Heat Exchanger
Abstract
1. Introduction
2. Experimental Modelling
2.1. Thermal Energy Storage (TES) Unit
2.2. Experimental System Setup
3. Numerical Modelling
- The outer surface of the TES unit is adiabatic.
- The thermal resistance of the heat exchanger tube is negligible.
- The initial temperature of the TES unit is constant and uniform.
4. Results and Discussion
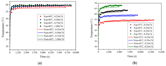
4.1. Model Comparison
4.2. Effect of Natural Convection on the Charging Process
4.3. Effects of HTF Inlet Parameters
5. Conclusions
- The numerical simulation using a combined conduction and convection heat transfer mechanism showed faster and more complete melting rate than the case using only a conduction mechanism. Therefore, it is significant to consider the buoyancy effect for the dynamic melting process modelling of PCM.
- The HTF inlet temperature dominates the heat transfer performance of the TES unit, while the influence of the HTF flow rate is negligible. For a constant HTF inlet temperature, the mean charging power is independent of HTF flow rate variation. In contrast, for a constant flow rate, a 15 °C HTF temperature change from 55 °C to 70 °C increases the mean charging power by 2.5 times.
- Based on the results obtained from the present study, the HTF inlet temperature range between 60 °C and 65 °C causes a rapid mean charging power increase with the highest gradient, which indicates that the TES unit is compatible with regular heat sources, including solar collectors and heat pump systems.
Acknowledgments
Author Contributions
Conflicts of Interest
Nomenclature
| dh | helical coil tube diameter (m) |
| lh | coil pitch (m) |
| Dh | coil diameter (m) |
| Hs | shell height (m) |
| Ds | shell diameter (m) |
| cp | specific heat (J/(kg·K)) |
| T | temperature (°C) |
| L | latent heat (kJ/kg) |
| thermal conductivity (W/(m·K)) | |
| t | time (s) |
| mean power (kW) | |
| P | pressure (Pa) |
| H | total enthalpy (J/kg) |
| h | sensible enthalpy (J/kg) |
| ∆H | latent enthalpy (J/kg) |
| Amush | mush zone constant |
| gravity acceleration vector (m/s2) | |
| source term | |
| volume flow rate (m3/h) | |
| velocity vector(m/s) | |
| Prandtl number | |
| turbulent kinetic energy (J/kg) | |
| Greek letter | |
| ρ | density (kg/m3) |
| α | thermal expansion coefficient (K–1) |
| μ | dynamic viscosity (kg/(m·s)) |
| β | liquid fraction |
| small number | |
| turbulent viscosity (kg/(m·s)) | |
| turbulent dissipation rate (W/kg) | |
| Subscripts | |
| s | solidus |
| l | liquidus |
| m | melting |
| c | charging |
| f | heat transfer fluid |
| P | phase change material |
| t | turbulence |
| in | inlet |
| out | outlet |
| ref | reference |
References
- Thygesen, R. An analysis of different solar-assisted heating systems and their effect on the energy performance of multifamily buildings—A Swedish case. Energies 2017, 10, 88. [Google Scholar] [CrossRef]
- Ko, M.J. Multi-objective optimization design for indirect forced-circulation solar water heating system using NSGA-II. Energies 2015, 8, 13137–13161. [Google Scholar] [CrossRef]
- Ko, M.J. A novel design method for optimizing an indirect forced circulation solar water heating system based on life cycle cost using a genetic algorithm. Energies 2015, 8, 11592–11617. [Google Scholar] [CrossRef]
- Ko, M.J. Analysis and optimization design of a solar water heating system based on life cycle cost using a genetic algorithm. Energies 2015, 8, 11380–11403. [Google Scholar] [CrossRef]
- Lin, W.M.; Chang, K.C.; Liu, Y.M.; Chung, K.M. Field surveys of non-residential solar water heating systems in Taiwan. Energies 2012, 5, 258–269. [Google Scholar] [CrossRef]
- Hugo, A.; Zmeureanu, R. Residential solar-based seasonal thermal storage systems in cold climates: building envelope and thermal storage. Energies 2012, 5, 3792–3985. [Google Scholar] [CrossRef]
- Bernardo, L.R. Retrofitting conventional electric domestic hot water heaters to solar water heating systems in single-family houses—Model validation and optimization. Energies 2013, 6, 953–972. [Google Scholar] [CrossRef]
- Moretti, E.; Bonamente, E.; Buratti, C.; Cotana, F. Development of innovative heating and cooling systems using renewable energy sources for non-residential buildings. Energies 2013, 6, 5114–5129. [Google Scholar] [CrossRef]
- Bernardo, L.R.; Davidsson, H.; Karlsson, B. Retrofitting domestic hot water heaters for solar water heating systems in single-family houses in a cold climate: A theoretical analysis. Energies 2012, 5, 4110–4131. [Google Scholar] [CrossRef]
- Calise, F.; Capuano, D.; Vanoli, L. Dynamic simulation and exergo-economic optimization of a hybrid solar–geothermal cogeneration plant. Energies 2015, 8, 260–2646. [Google Scholar] [CrossRef]
- Buker, M.S.; Mempouo, B.; Riffat, S.B. Performance evaluation and techno-economic analysis of a novel building integrated PV/T roof collector: An experimental validation. Energy Build. 2014, 76, 164–175. [Google Scholar] [CrossRef]
- Buker, M.S.; Riffat, S.B. Build-up and performance test of a novel solar thermal roof for heat pump operation. Int. J. Ambient Energy 2017, 38, 365–379. [Google Scholar] [CrossRef]
- Buker, M.S.; Riffat, S.B. Building integrated solar thermal collectors—A review. Renew. Sustain. Energy Rev. 2015, 51, 327–346. [Google Scholar] [CrossRef]
- Sun, L.L.; Li, M.; Yuan, Y.P.; Cao, X.L.; Lei, B.; Yu, N.Y. Effect of tilt angle and connection mode of PVT modules on the energy efficiency of a hot water system for high-rise residential buildings. Renew. Energy 2016, 93, 291–301. [Google Scholar] [CrossRef]
- Jamar, A.; Majid, Z.A.A.; Azmi, W.H.; Norhafana, M.; Razak, A.A. A review of water heating system for solar energy applications. Int. J. Heat Mass Transfer 2016, 76, 178–187. [Google Scholar] [CrossRef]
- Gautam, A.; Chamoli, S.; Kumara, A.; Singh, S. A review on technical improvements, economic feasibility and world scenario of solar water heating system. Renew. Sustain. Energy Rev. 2017, 68, 541–562. [Google Scholar] [CrossRef]
- Tian, Y.; Zhao, C.Y. A review of solar collectors and thermal energy storage in solar thermal applications. Appl. Energy 2013, 104, 538–553. [Google Scholar] [CrossRef]
- Pan, Y. Some opinions on solar energy hot water heating for buildings in Qinghai-Tibetan plateau. HV AC 2013, 43, 15–22. [Google Scholar]
- Jiang, Y.; Rong, X.; Feng, Y.; Pan, Y.; Fu, X. Discussion for urban heating mode for Lhasa. HVAC 2013, 43, 1–7. [Google Scholar]
- Yuan, Y.P.; Zhang, N.; Tao, W.Q.; Cao, X.L.; He, Y.L. Fatty acids as phase change materials: A review. Renew. Sustain. Energy Rev. 2014, 29, 482–498. [Google Scholar] [CrossRef]
- Yuan, Y.P.; Zhang, N.; Li, T.Y.; Cao, X.L.; Long, W.Y. Thermal performance enhancement of palmitic-stearic acid by adding graphene nanoplatelets and expanded graphite for thermal energy storage: A comparative study. Energy 2016, 97, 488–497. [Google Scholar] [CrossRef]
- Yuan, Y.P.; Cao, X.L.; Xiang, B.; Du, Y.X. Effect of installation angle of fins on melting characteristics of annular unit for latent heat thermal energy storage. Sol. Energy 2016, 136, 365–378. [Google Scholar] [CrossRef]
- Dannemand, M.; Johansen, J.B.; Kong, W.; Furbo, S. Experimental investigations on cylindrical latent heat storage units with sodium acetate trihydrate composites utilizing supercooling. Appl. Energy 2016, 177, 591–601. [Google Scholar] [CrossRef]
- Yazici, M.Y.; Avci, M.; Aydin, O.; Akgun, M. Effect of eccentricity on melting behavior of paraffin in a horizontal tube-in-shell storage unit: An experimental study. Solar Energy 2014, 101, 291–298. [Google Scholar] [CrossRef]
- Murray, R.E.; Groulx, D. Experimental study of the phase change and energy characteristics inside a cylindrical latent heat energy storage system: Part 1 consecutive charging and discharging. Renew. Energy 2014, 62, 571–581. [Google Scholar] [CrossRef]
- Murray, R.E.; Groulx, D. Experimental study of the phase change and energy characteristics inside a cylindrical latent heat energy storage system: Part 2 simultaneous charging and discharging. Renew. Energy 2014, 63, 724–734. [Google Scholar] [CrossRef]
- Gasia, J.; Tay, N.H.S.; Belusko, M.; Cabeza, L.F.; Bruno, F. Experimental investigation of the effect of dynamic melting in a cylindrical shell-and-tube heat exchanger using water as PCM. Appl. Energy 2017, 185, 136–145. [Google Scholar] [CrossRef]
- Kalaiselvam, S.; Veerappan, M.; Aaron, A.A.; Iniyan, S. Experimental and analytical investigation of solidification and melting characteristics of PCMs inside cylindrical encapsulation. Int. J. Therm. Sci. 2008, 47, 858–874. [Google Scholar] [CrossRef]
- Mosaffa, A.H.; Talati, F.; Tabrizi, H.B.; Rosenc, M.A. Analytical modeling of PCM solidification in a shell and tube finned thermal storage for air conditioning systems. Energy Build. 2012, 49, 356–361. [Google Scholar] [CrossRef]
- Xu, Y.; He, Y.L.; Li, Y.Q.; Song, H.J. Exergy efficiency and optimization of charging-discharging processes of latent heat thermal energy storage system with three phase change materials. Solar Energy 2016, 123, 206–216. [Google Scholar] [CrossRef]
- Bechiri, M.; Mansouri, K. Analytical solution of heat transfer in a shell-and-tube latent thermal energy storage system. Renew. Energy 2015, 74, 825–838. [Google Scholar] [CrossRef]
- Bechiri, M.; Mansouri, K. Analytical study of heat generation effects on melting and solidification of nano-enhanced PCM inside a horizontal cylindrical enclosure. Appl. Therm. Eng. 2016, 104, 779–790. [Google Scholar] [CrossRef]
- Fan, L.W.; Zhu, Z.Q.; Xiao, S.L.; Liu, M.J.; Lu, H.; Zeng, Y.; Yu, Z.T.; Cen, K.F. An experimental and numerical investigation of constrained melting heat transfer of a phase change material in a circumferentially finned spherical capsule for thermal energy storage. Appl. Therm. Eng. 2016, 100, 1063–1075. [Google Scholar] [CrossRef]
- Li, Z.; Wu, Z.G. Analysis of HTFs, PCMs and fins effects on thermal performance of shell-tube thermal energy storage units. Sol. Energy 2015, 122, 382–395. [Google Scholar] [CrossRef]
- Xiao, X.; Zhang, P. Numerical and experimental study of heat transfer characteristics of a shell-tube latent heat storage system: Part I-Charging process. Energy 2015, 79, 337–350. [Google Scholar] [CrossRef]
- Xiao, X.; Zhang, P. Numerical and experimental study of heat transfer characteristics of a shell-tube latent heat storage system: Part II-Discharging process. Energy 2015, 80, 177–189. [Google Scholar] [CrossRef]
- Tay, N.H.S.; Belusko, M.; Liu, M.; Bruno, F. Investigation of the effect of dynamic melting in a tube-in-tank PCM system using a CFD model. Appl. Energy 2015, 137, 738–747. [Google Scholar] [CrossRef]
- Archibold, A.R.; Gonzalez-Aguilar, J.; Rahman, M.M.; Goswami, D.Y.; Romero, M.; Stefanakos, E.K. The melting process of storage materials with relatively high phase change temperatures in partially filled spherical shells. Appl. Energy 2014, 116, 243–252. [Google Scholar] [CrossRef]
- Fornarelli, F.; Camporeale, S.M.; Fortunato, B.; Torresi, M.; Oresta, P.; Magliocchetti, L.; Miliozzi, A.; Santo, G. CFD analysis of melting process in a shell-and-tube latent heat storage for concentrated solar power plants. Appl. Energy 2016, 164, 711–722. [Google Scholar] [CrossRef]
- Tao, Y.B.; Carey, V.P. Effects of PCM thermophysical properties on thermal storage performance of a shell-and-tube latent heat storage unit. Appl. Energy 2016, 179, 203–210. [Google Scholar] [CrossRef]
- Guo, J.; Huai, X. Numerical investigation of helically coiled tube from the viewpoint of field synergy principle. Appl. Therm. Eng. 2016, 98, 137–143. [Google Scholar] [CrossRef]
- Basha, S.A.; Gopal, K.R. In-cylinder fluid flow, turbulence and spray models—A review. Renew. Sustain. Energy Rev. 2009, 13, 1620–1627. [Google Scholar] [CrossRef]
- Li, W.Q.; Qu, Z.G.; He, Y.L.; Tao, W.Q. Experimental and numerical studies on melting phase change heat transfer in open-cell metallic foams filled with paraffin. Appl. Therm. Eng. 2012, 37, 1–9. [Google Scholar] [CrossRef]
- Seddegh, S.; Wang, X.; Henderson, A.D. Numerical investigation of heat transfer mechanism in a vertical shell and tube latent heat energy storage system. Appl. Therm. Eng. 2015, 87, 698–706. [Google Scholar] [CrossRef]
- Seddegh, S.; Wang, X.; Henderson, A.D. A comparative study of thermal behaviour of a horizontal and vertical shell-and-tube energy storage using phase change materials. Appl. Therm. Eng. 2016, 93, 348–358. [Google Scholar] [CrossRef]
- Kousha, N.; Hosseini, M.J.; Aligoodarz, M.R.; Pakrouh, R.; Bahrampoury, R. Effect of inclination angle on the performance of a shell and tube heat storage unit–An experimental study. Appl. Therm. Eng. 2017, 112, 1497–1509. [Google Scholar] [CrossRef]
- Ren, Q.; Chan, C.L. GPU accelerated numerical study of PCM melting process in an enclosure with internal fins using lattice Boltzmann method. Int. J. Heat Mass Trans. 2016, 100, 522–535. [Google Scholar] [CrossRef]
- Al-Abidi, A.A.; Mat, S.; Sopian, K.; Sulaiman, M.Y.; Mohammad, A.T. Numerical study of PCM solidification in a triplex tube heat exchanger with internal and external fins. Int. J. Heat. Mass. Trans. 2013, 61, 684–695. [Google Scholar] [CrossRef]














| Property | PCM | HTF (60 °C) |
|---|---|---|
| Density, ρ (kg/m3) | 850 | 983.2 |
| Specific heat, cp (J/(kg·K)) | 1800 | 4182 |
| Melting temperature, Tm (°C) | 54 | - |
| Latent heat, L (kJ/kg) | 168 | - |
| Thermal conductivity, k (W/(m·K)) | 0.3 | 0.6 |
| Thermal expansion coefficient, α (1/K) | 3.08 × 10−4 | - |
| Dynamic viscosity, μ (kg/(ms)) | 3.65 × 10−3 | 4.688 × 10−4 |
| Operation Mode | On | Off |
|---|---|---|
| Charging mode (constant HTF inlet temperature) | Valve 1, Valve 2, Valve 3, Charging Pump | Valve 4, Valve 5, Valve 6, Valve 7, Valve 8, Valve 9, Discharging Pump |
| Charging mode (variable HTF inlet temperature) | Valve 1, Valve 3, Valve 6, Valve 7, Valve 8, Valve 9, Charging Pump | Valve 2, Valve 4, Valve 5, Discharging Pump |
| Discharging mode | Valve 4, Valve 5, Discharging Pump | Valve 1, Valve 2, Valve 3, Valve 6, Valve 7, Valve 8, Valve 9, Charging Pump |
| Operation Condition | Flow Rate (m3/h) | Inlet Temperature (°C) | Reynolds Number | Flow Regime |
|---|---|---|---|---|
| Case 1 | 0.25 | 60 | 12,800 | Turbulence |
| Case 2 | 0.50 | 60 | 25,600 | Turbulence |
| Case 3 | 0.75 | 60 | 38,400 | Turbulence |
| Case 4 | 1.00 | 60 | 51,200 | Turbulence |
| Case 5 | 0.25 | 55 | 12,800 | Turbulence |
| Case 6 | 0.25 | 65 | 12,800 | Turbulence |
| Case 7 | 0.25 | 70 | 12,800 | Turbulence |
| Cμ | C1ε | C2ε | σk | σε |
|---|---|---|---|---|
| 0.09 | 1.44 | 1.92 | 1.0 | 1.3 |
| Case | HTF Flow Rate (m3/h) | HTF Inlet Temperature (°C) | Heat Transfer Mechanisms |
|---|---|---|---|
| A | 0.25 | 60 | Heat conduction |
| B | 0.25 | 60 | Heat conduction & natural convection |
© 2017 by the authors. Licensee MDPI, Basel, Switzerland. This article is an open access article distributed under the terms and conditions of the Creative Commons Attribution (CC BY) license (http://creativecommons.org/licenses/by/4.0/).
Share and Cite
Yang, X.; Xiong, T.; Dong, J.L.; Li, W.X.; Wang, Y. Investigation of the Dynamic Melting Process in a Thermal Energy Storage Unit Using a Helical Coil Heat Exchanger. Energies 2017, 10, 1129. https://doi.org/10.3390/en10081129
Yang X, Xiong T, Dong JL, Li WX, Wang Y. Investigation of the Dynamic Melting Process in a Thermal Energy Storage Unit Using a Helical Coil Heat Exchanger. Energies. 2017; 10(8):1129. https://doi.org/10.3390/en10081129
Chicago/Turabian StyleYang, Xun, Teng Xiong, Jing Liang Dong, Wen Xin Li, and Yong Wang. 2017. "Investigation of the Dynamic Melting Process in a Thermal Energy Storage Unit Using a Helical Coil Heat Exchanger" Energies 10, no. 8: 1129. https://doi.org/10.3390/en10081129
APA StyleYang, X., Xiong, T., Dong, J. L., Li, W. X., & Wang, Y. (2017). Investigation of the Dynamic Melting Process in a Thermal Energy Storage Unit Using a Helical Coil Heat Exchanger. Energies, 10(8), 1129. https://doi.org/10.3390/en10081129

