Next Article in Journal
How Many Stocks Are Sufficient for Equity Portfolio Diversification? A Review of the Literature
Next Article in Special Issue
Crypto-Coins and Credit Risk: Modelling and Forecasting Their Probability of Death
Previous Article in Journal
An Assessment of Post-COVID-19 EU Recovery Funds and the Distribution of Them among Member States
Previous Article in Special Issue
Bitcoin and Portfolio Diversification: A Portfolio Optimization Approach
 
 
Font Type:
Arial Georgia Verdana
Font Size:
Aa Aa Aa
Line Spacing:
Column Width:
Background:
Article

Unleveraged Portfolios and Pure Allocation Return

by
Barbara Alemanni
1,2,†,
Mario Maggi
3,*,† and
Pierpaolo Uberti
1,†
1
DIEC Department of Economics, University of Genoa, Via Vivaldi 5, 16126 Genoa, Italy
2
SDA Bocconi School of Management, Via Sarfatti 10, 20136 Milano, Italy
3
Department of Economics and Management, University of Pavia, Via S. Felice 5, 27100 Pavia, Italy
*
Author to whom correspondence should be addressed.
These authors contributed equally to this work.
J. Risk Financial Manag. 2021, 14(11), 550; https://doi.org/10.3390/jrfm14110550
Submission received: 22 October 2021 / Revised: 9 November 2021 / Accepted: 11 November 2021 / Published: 13 November 2021
(This article belongs to the Special Issue Advanced Portfolio Optimization and Management)

Abstract

:
In asset management, the portfolio leverage affects performance, and can be subject to constraints and operational limitations. Due to the possible leverage aversion of the investors, the comparison between portfolio performances can be incomplete or misleading. We propose a procedure to unleverage the mean-variance efficient portfolios to satisfy a leverage requirement. We obtain a class of unleveraged portfolios that are homogeneous in terms of leverage, so therefore properly comparable. The proposed unleverage procedure permits isolating the pure allocation return, i.e., the return component, due to the qualitative choice of portfolio allocation, from the return component due to the portfolio leverage. Theoretical analysis and empirical evidence on actual data show that efficient mean-variance portfolios, once unleveraged, uncover mean-variance dominance relations hidden by the leverage contribution to portfolio return. Our approach may be useful to practitioners proposing to take long positions on “short assets” (e.g. inverse ETF), thereby considering short positions as active investment choices, in contrast with the usual interpretation where are used to overweight long positions.
JEL Classification:
G11; G23

1. Introduction

A key assumption underlying classical portfolio theory (Markowitz 1952) is that portfolio optimal composition is obtained from a mean-variance optimization computed starting from the expected returns, variances and covariance of the selected assets. The optimal solution of this problem could imply that the portfolios have negative holdings that require the shorting of assets and implicitly assume a leveraged position. The implementation of these unconstrained portfolios may pose both practical and theoretical issues. Several categories of investors are “long only” and are forbidden to take short positions, except for hedging purposes. Even when regulatory limits do not exist, as in the case of hedge funds, see (Ang et al. 2011) for leverage in hedge funds, the negative holdings resulting from the optimization can be remarkably high and, practically, some portfolios on the efficient frontier are actually unaffordable; more generally the implementation of unconstrained portfolios entails some practical problems to face, such as the management of margin calls when using derivatives to achieve the targeted short holdings. Additionally, classical mean-variance optimization is silent on investors’ aversion to leverage, which might impact their utility. In the end, classical unconstrained efficient portfolios are intrinsically incomparable because it is impossible to discriminate the part of the return and, consequently, of the risk, depending on the pure allocation, from the part due to the leverage effect.
Practitioners engaged in optimization exercises are used to dealing with some of these and several other relevant issues; for asset allocation purposes, they impose, besides the budget constraint of the classic portfolio theory, further restrictions which make the optimal portfolios feasible in practice. As a consequence, the feasible portfolios are sub-optimal compared to classical unconstrained efficient portfolios. This paper proposes a novel approach to take into account the portfolio leverage in order to assure feasibility and to highlight mean-variance dominance relations that remain hidden under the bias introduced by the leverage.
This setting allows for one to focus on a more general way to explicitly consider the leverage in a portfolio allocation model, handling the peculiar risks of leveraged positions, such as the costs of margin calls, which can impose borrowers to liquidate assets at unfavorable prices due to illiquidity, losses larger than the capital invested and the possibility of bankruptcy (Jacobs and Levy 2012). The standard portfolio optimization models are silent on these risks and the portfolios are compared independently on their leverage, making the comparison meaningless, and assuming implicitly that investors are not averse to the risks related to leveraged positions. In the real world, the attitude of the investors toward leverage is difficult to identify: many investors like retail and long-only investors might be adverse to leverage but others, such as hedge funds, are clearly not. Nevertheless, not only lower leveraged portfolios may be of interests for leverage-adverse investors, but they can also also be beneficial for the entire economy; in fact, huge levels of leverage can amplify the effects of financial stresses and systemic events (Jacobs et al. 2005; Sullivan 2010). While leverage control is of central importance in practice, the related academic literature is not as wide as we could expect. In Pogue (1970) and, more recently, in Arici et al. (2019), transaction costs and leverage are taken into account in the classical asset allocation problem, while in Black (1972), some borrowing restrictions are introduced for the analysis of the market equilibrium. In operative asset manager problems, Clarke et al. (2002) consider limited short positions; they point out that fund managers often face borrowing and leverage constraints. Also Sorensen et al. (2007) explicitly consider the introduction of constrained short positions. Jacobs and Levy (2012) suggest the consideration of a utility function including, besides mean and variance, a term for leverage aversion. Therefore, through mean-variance-leverage optimization, the resulting efficient portfolio set appears to be a three-dimensional (mean-variance-leverage) surface (Jacobs and Levy 2013). Accordingly, for each investor, the optimal portfolio depends on the individual tolerances for volatility and for leverage. In Asness et al. (2012), portfolio leverage is considered when implementing the risk parity allocation strategy. Few recent papers focus on the portfolio optimization problem when the leverage is considered; they highlight the operational research perspective and provide techniques to solve the optimization problem, see Chen et al. (2014, 2015); Edirisinghe et al. (2021).
To explicitly consider leverage in portfolio allocation models, we resort to a definition of leverage that is equivalent, except for a translation, to the one proposed in Jacobs and Levy (2012, 2013). Then, rescaling the holdings, we introduce the concept of the unleveraged portfolio. We apply this rescaling procedure to unleverage the portfolios belonging to the classical unconstrained efficient frontier. Tested empirically, this operation produces very interesting results on the mean-variance dominance structure of the efficient unleveraged portfolios. It allows to isolate the return component due to the pure allocation of the wealth in the asset classes, what we call pure allocation return, from the component of return depending on the leverage effect, making portfolios fully comparable and uncovering mean-variance dominant portfolios hidden behind the leverage. For simplicity, in the paper we will refer directly to the allocation return when discussing the return of the unleveraged portfolios. The proposed unleveraging procedure allows us to highlight when the portfolio return is not fully attributable to leverage and derives from a superior allocation. Thanks to unleveraging, one can shed light on these very attractive portfolios often neglected in the classical approach because they correspond to a huge amount of risk and leverage. In theory, the efficient unconstrained frontier is unlimited and it is possible to find an efficient portfolio with an expected return as high as desired if the investor is willing to take the corresponding risk and the resulting leverage. In practice, investors budget the maximum risk they can take, limiting the efficient frontier and not considering the portfolios associated with risk levels that are considered too high. With our approach, these potential highly valuable unleveraged portfolios may be interesting also when investors have limited risk budgets.
The practical implementation of our approach requires further consideration, since the rescaling procedure is implicitly demanding that short positions, classically overlaying the portfolio, are now an integral part of the portfolio. In other terms, we need to take long positions on “short assets”. Such positions are possible through the use of complex options or futures-based portfolios, introducing in the allocation the further problem of also considering the leverage of the financial products.
The aforementioned implementation problems can be easily overcome thanks to the continuous financial innovation witnessed in financial markets. In particular, we believe that the use of Exchange Traded Funds (EFTs), precisely inverse ETFs, or equivalent innovative products such as short certificates, can make the implementation of the unleveraged portfolios we propose much simpler and feasible for all types of investors, including long only professional investors and private clients.
In the past 20 years, the rise of ETF popularity originated from investors’ desire to passively participate in the returns of stocks in the overall market. Besides, the use of ETFs allows the individual to keep the fees low. In principle, ETFs can be considered similar to index mutual funds; however, ETFs are listed and traded on exchanges similar to unit investment trusts and closed end mutual funds. Nevertheless, mutual funds are traded only once a day at net asset value, whereas ETFs trade at varying prices throughout the day, like stocks. In the literature there are various analyses of the cost-effective benefit provided to the investors by the use of ETFs. Tsai and Swanson (2009) provided evidence that ETFs yield considerable diversification benefits. Moreover, Huang and Lin (2011) proved that the use of ETFs is effective to achieve international diversification; they also pointed out that through ETFs it is possible to obtain the same expected returns and the same diversification levels of the target market indexes. The study by Buetow and Henderson (2012) confirmed these findings. For what concerns asset classes, Roll (2013) suggested that ETFs may be the best proxies for the unobservable market risk drivers, thus providing relevant diversification tools. It is worth noting that ETFs can be interesting also from the liquidity point of view. In fact, as Grill et al. (2018) noted, ETFs are generally traded more frequently than their constituents. This improve the liquidity of ETFs, making them more liquid than individual securities. Therefore, when ETFs are used for asset management, they may reduce transaction costs related, for instance, to bid-ask spread. Moreover, as this paper shows, the use of ETFs in asset allocation allows for an effective implementation of novel and interesting portfolio features. From our knowledge, an important aspect of ETFs that has been largely unexamined is their short selling activities. Many traders use ETFs short sales to hedge market or sector exposures and to manage risks (Gastineau 2010). Equivalent results can be achieved with inverse (short) ETFs, which introduce short selling or borrowing in traditional ETFs, in order to design short investments. Several types of investors are not able to trade in a way that would protect them from market falls, i.e., they cannot sell short assets, included ETFs, but by purchasing inverse ETFs, they can obtain the desired downside market protection. Also, arbitrageurs can find in inverse ETFs suitable tools, thanks to their liquidity and the possibility ETFs provide to avoid the constraints associated with individual stocks (Li and Zhu 2017). Additionally, as this paper focuses on, inverse ETFs can be used in mean-variance optimization to achieve “long holdings on negative exposure” on specific asset classes included in the unleveraged portfolios.
This paper is aimed at computing and understanding the distinctive features of unleveraged efficient portfolios implemented using inverse ETFs or equivalent innovative products. The paper is organized as follows: Section 2 contains the theoretical formalization of the procedure, Section 3 presents an application with financial data, and Section 4 concludes the paper.

2. Materials and Methods

Let x = ( x 1 , , x n ) be the portfolio weights, where x i denotes the proportions of wealth allocated to the i th risky assets, i = 1 , , n ; the budget constraint1 is i = 1 n x i = 1 . In the classical portfolio theory, the budget constraint uniquely identifies the set of feasible portfolios. In our approach, we do not impose the budget constraint; we assume the presence of n risky assets and that x 0 = 1 i = 1 n | x i | is the residual proportion of wealth allocated in the liquidity, where | x i | is the absolute value of the i th weight. As a consequence, there is no restriction on x: each x is a feasible portfolio. The sign of x 0 can be interpreted as usual: x 0 > 0 means that a portion of the initial wealth is not invested, while the opposite case x 0 < 0 means that the corresponding money is borrowed to support the investment in the risky assets. This settings may describe the behavior of some asset managers who first choose the composition of the risky position x and then the amount of the investment. In this light, we focus on the portfolio x.
Definition 1.
[Leverage of a Portfolio] Let x indicate a portfolio x. Its leverage L ( x ) is
L ( x ) = i = 1 n | x i |
The leverage is obviously non-negative ( L ( x ) 0 ), and it is null if and only if all the weights x i are null. When L ( x ) > 1 the portfolio x is leveraged, because the amount allocated in the risky assets overcomes the total wealth so that x 0 < 0 . We note that, for Definition 1 and the relation between the leverage and the liquidity, we have x 0 ( , 1 ] . In our approach, choosing the leverage of a portfolio L ( x ) is equivalent to choose the liquidity level x 0 . As a consequence, the leverage L ( x ) of the investment is not the product of the optimization procedure used to determine the composition of the portfolio, but it can be considered as an investor’s choice about the amount of leverage risk to undertake. Moreover, as it will be more clear in the application, controlling the leverage permits to make affordable, in terms of risk, investment combinations corresponding to huge amount of risk.2
Remark 1.
In Definition 1 the leverage depends exclusively on the weights x i of the portfolio. If the financial products used to invest in the portfolio x have an intrinsic leverage, this leverage is not considered in the proposed approach.
Definition 2.
[Unleveraged Portfolio and Pure Allocation Return] A portfolio x is said generally unleveraged when L ( x ) 1 . In the special case L ( x ) = 1 , the portfolio is said unleveraged. The return r x of a generally unleveraged portfolio is called pure allocation return.
According to Definition 2, a portfolio is said generally unleveraged if at most the total wealth is allocated in risky assets; its return, and consequently its risk, is not affected by the leverage effect and it can be considered as the mere choice of allocation between the assets. In other words, we refer to pure allocation return for the return of portfolios with no leveraged positions in the allocation.
Proposition 1.
Let x be a portfolio satisfying the budget constraint i = 1 n x i = 1 . Then the leverage is larger than or equal to 1: L ( x ) 1 . Moreover, the leverage is equal to 1 ( L ( x ) = 1 ) if and only if all the weights are non-negative, i.e., x i 0 for i = 1 , , n .
Proof. 
To prove that the leverage is larger than or equal to 1, it is enough to observe that | x i | x i for i = 1 , , n , therefore
L ( x ) = i = 1 n | x i | i = 1 n x i = 1 .
In the case of non-negative weights x i 0 for i = 1 , , n , then x i = | x i | for i = 1 , , n and (2) becomes
L ( x ) = i = 1 n | x i | = i = 1 n x i = 1 .
Conversely, if i = 1 n x i = 1 , L ( x ) = 1 , it cannot exists any negative component of x. Otherwise, if for an index 1 j n it would be x j < 0 , then i = 1 , i j n x i + x j = 1 , from which we obtain i = 1 , i j n x i > 1 . The leverage L ( x ) for this portfolio would be
L ( x ) = i = 1 n | x i | i = 1 , i j n x i + | x j | > i = 1 , i j n x i > 1 ,
which contradicts the assumptions. □
Thanks to Proposition 1, in the classical mean-variance optimization problem (with budget constraint), see Problem (5), the efficient portfolios have L ( x ) 1 . Moreover, there is a given level of risk above which, the efficient portfolios can reach higher levels of expected returns and risk, monotonically increasing their leverage. See Figure 1 for a graphical representation.
Definition 3.
Let x be a portfolio x. Its equivalent unleveraged portfolio is the portfolio x ¯ = 1 L ( x ) x , i.e., x i ¯ = x i L ( x ) , i = 1 , n .
Remark 2.
The equivalent unleveraged portfolio x ¯ displays the following properties.
-
proportionality: x i x j = x ¯ i x ¯ j , for i , j = 1 , , n . In fact, x ¯ i x ¯ j = x i L ( x ) x j L ( x ) = x i x j .
-
normality: x ¯ is such that L ( x ¯ ) = 1 .
L ( x ¯ ) = i = 1 n | x ¯ i | = i = 1 n x i L ( x ) = i = 1 n | x i | L ( x ) = 1 .
-
uniqueness: x ¯ is the unique portfolio maintaining the proportionality of x with a unitary leverage. The proof is trivial.
-
equivalence in terms of Sharpe ratio: r x σ x = r x ¯ σ x ¯ , where r x , σ x , r x ¯ and σ x ¯ are the expected returns and the standard deviations of the returns of x and x ¯ , respectively. Note that r x ¯ is what we called pure allocation return, see Definition 2. x ¯ = 1 L ( x ) x , then r x ¯ = 1 L ( x ) r x and σ x ¯ = 1 L ( x ) σ x and we have that
S h ( x ¯ ) = r x ¯ σ x ¯ = 1 L ( x ) r x 1 L ( x ) σ x = r x σ x = S h ( x ) .
As shown in Remark 2, the equivalent unleveraged portfolio x ¯ shares with the original portfolio x the relative proportions invested in the risky asset classes, the Sharpe ratio, the expected performance adjusted for the risk, while the respective leverages are different. We note that, for a given portfolio x, the equivalent unleveraged portfolio x ¯ is unique, while the opposite does not hold, i.e., we can find different portfolios corresponding to a given x ¯ .
As we discussed in the introduction, we consider the equivalent unleveraged portfolios corresponding to the portfolios belonging to the mean variance efficient frontier, in order to compare them at given level of leverage3.
It would be interesting to compare the efficient portfolios belonging to the standard mean-variance frontier to their corresponding equivalent unleveraged portfolios. We define the set X containing the mean variance efficient portfolios, the ones that solves the optimization problem
max x E [ x ] = i = 1 n x i E [ R i ] s . t . var ( x ) = i = 1 n j = 1 n x i x j cov ( R i , R j ) = σ 0 i = 1 n x i = 1
We then refer to X ¯ as the set of the equivalent unleveraged portfolios of the elements of X, such that X ¯ = 1 L ( x ) x , x X . Note that X is an open and unlimited set: we can find in X portfolios with arbitrarily large expected return and variance. The set X contains only efficient portfolios, i.e., there is no mean-variance dominance between its elements. On the opposite, as shown in the following Proposition 2, the set X ¯ contains portfolios that dominate in mean-variance some other portfolios belonging to the same set. In other words, once we isolate the pure allocation return from the return component due to the leverage effect, we are able to highlight the effective contribution of the allocation to the return of the portfolio. Moreover, since all the portfolios belonging to X ¯ have the same leverage level, their comparison is not influenced by the investors’ attitude towards the leverage. In other words, this approach permits to separate the contribution to the performance due to the leverage effect from the one related to the pure allocation.
Proposition 2.
Let x 1 , x 2 X such that σ 2 σ 1 r 2 r 1 . Therefore, either σ 2 σ 1 > r 2 r 1 or σ 2 σ 1 < r 2 r 1 , and (i) if σ 2 σ 1 > L ( x 2 ) L ( x 1 ) > r 2 r 1 , or (ii) if σ 2 σ 1 < L ( x 2 ) L ( x 1 ) < r 2 r 1 , then the corresponding unleveraged equivalent portfolios are in a mean-variance dominant relation.
Proof. 
If σ 2 σ 1 > r 2 r 1 and σ 2 σ 1 > L ( x 2 ) L ( x 1 ) > r 2 r 1 it is easy to get σ 2 L ( x 2 ) > σ 1 L ( x 1 ) and r 2 L ( x 2 ) < r 1 L ( x 1 ) . If σ 2 σ 1 < r 2 r 1 and σ 2 σ 1 < L ( x 2 ) L ( x 1 ) < r 2 r 1 we obtain σ 2 L ( x 2 ) < σ 1 L ( x 1 ) and r 2 L ( x 2 ) > r 1 L ( x 1 ) . In both cases there is a mean-variance dominance relation between x 1 and x 2 . □
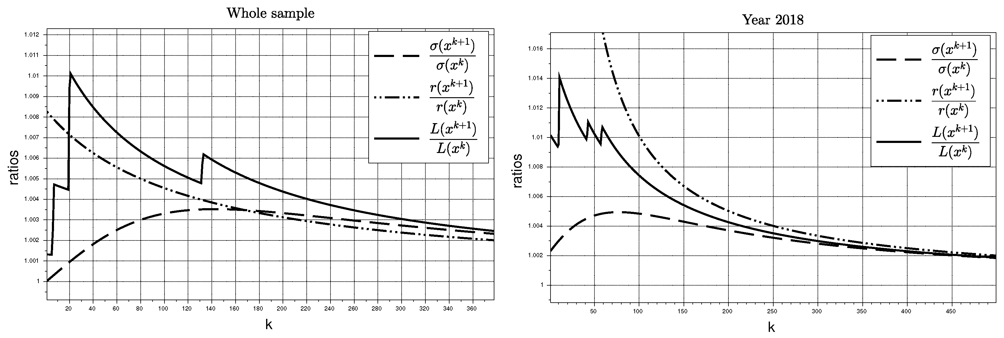
We observe that the conditions of the Proposition 2 are rather weak, being commonly verified in practical situations: it is straightforward finding that the ratio of leverages lays between the ratios of standard deviations and average returns. As an example, we consider the frontier portfolios x k associated to the average returns r k , k = 1 , , K , ranging from the expected return of the global minimum variance portfolio to twice the largest asset average returns, with a given small step. We then compute the ratios σ ( x k + 1 ) σ ( x k ) , L ( x k + 1 ) L ( x k ) , r ( x k + 1 ) r ( x k ) of portfolios with contiguous average returns. In our empirical study, we always found that there are portfolios whose ratio of leverages lays between the other two ratios, as shown in Figure 2 for the S&P sector indexes. We remark that the case depicted in Figure 2 is more restrictive than the assumption of Proposition 2; in particular, in the figure we compare the ratios within two consecutive portfolios on the efficient frontier while the proposition requires to find any two frontier portfolios verifying the condition.

3. Results

In this section we compute the unleveraged equivalent sets X ¯ , starting from financial data. We consider a portfolio allocation built on the 10 indexes representing equivalent S&P 500 sectors, which are all underlying assets for ETF. Sourced by Bloomberg, we use daily data from 1990 to 2018. Table 1 shows further details and two examples of possible ETFs are indicated.
Figure 3 displays the classical efficient frontier (dashed) and the unleveraged equivalent portfolios (solid), for the asset classes selected. The solid line displaying the unleveraged portfolio shows several interesting features. Firstly, the portfolios on the two ends appear to be dominated. Moreover, portfolios on the solid line are “reversed” with respect to the ones on the classical efficient frontier: in fact, the global minimum variance portfolio, which is the leftmost point on the dashed curve, corresponds to the rightmost end of the solid line; on the other side, high leverage portfolios on the classical frontier are projected on the left side of the solid line of unleveraged portfolios.
To elaborate further on these dominance patterns, Figure 4 shows the behavior of the set X ¯ , obtained using one year data, for four calendar years—1995, 2009, 2014 and 2018. The examples presented in Figure 4 are selected to display the main qualitative shapes found during the analyzed period. In all cases a portion of X ¯ contains dominated portfolios. Sometimes (as for the year 1995), a large leverage on the classical frontier is related to efficient unleveraged equivalent portfolios; sometimes (as for years 2009, 2014 and 2018), the increase of the leverage beyond a given level produces inefficient dominated unleveraged equivalent portfolios. This behavior highlights that, once purified by leverage, the classical efficient portfolios deserve a careful analysis. For instance, in 2009 the efficient pure allocation returns belong to unleveraged portfolios equivalent to classical efficient portfoios with leverage between about 4 and 8. These leverage levels may be quite high for many investors who are instead able to compose the unleveraged portfolios. It is also worth noting that low leverage values (say below 1.5) on the classical frontier are related to unefficient pure allocation returns. This suggests that restricting the leverage directly on the classical portfolio problem may lead to unsatisfying results.
Table 2 shows the composition of portfolios for the whole sample and for 2018 on the classical efficient frontier and its unleveraged equivalent. It is worthwhile mentioning that, principally for highly leveraged portfolios, the leveraged portfolios can be difficult to implement and unfeasable for most financial actors. On the contrary, the equivalent unleveraged portfolios appear reasonable and ETF can easily be used to implement allocation.
From this application, it is possible to observe that the dominant unleveraged portfolios are mean-variance efficient thanks to their pure allocation return. In other words, it appears clear that for some portfolios on the classical frontier, the efficiency can be related to the allocation return, while for some others the efficiency is a consequence of the leverage. In addition, our approach allows for the consideration of some high leverage (and therefore high risk) portfolios which would otherwise be discarded just because of their unaffordable leverage. This fact, coupled with the availability of ETFs for the considered asset classes, actually increases the investment opportunities worthy of consideration in asset allocation.

4. Discussion

In this paper, we considered some practical problems resulting from the implementation of leveraged mean-variance efficient portfolios, and we highlighted the implication of the use of inverse ETFs and equivalent instruments for asset allocation purposes. Thanks to these instruments, any type of investors can benefit from the optimal mean-variance portfolios resulting from an unconstrained optimization approach, in spite of regulatory limits or lack of suitable candidates to short sales. Since the short exposures requires the holding of a positive position on the inverse instruments, we developed an approach which explicitly deals with leverage constraints and allows the rescaling and deleveraging of the optimal unconstrained portfolios. This deleveraging methodology has further applications in mean-variance portfolio optimization: first, it allows the harmonization of the leverage of different efficient portfolios and makes them truly comparable and, secondly, it permits the isolation and discrimination of the portfolio remuneration embedded into the assets allocation from the pure leverage multiplier, expanding the investment opportunities for investors with limited risk budgets.
The provided example shows that high leveraged portfolios on the classical efficient frontier can deliver a pure allocation return that is not always efficient. Moreover, the unleveraged equivalent portfolios have a composition that makes them practically interesting, due to the reduced risk and the small size of the involved short positions.
The proposed approach permits one to intuitively take into account the leverage in investment portfolios, highlighting the component of return that depends exclusively on the leverage. One of the limits of the present proposal is that an optimization procedure is not performed. Future research is going to focus on the relation between unleveraged equivalent portfolios and the ones obtained through an optimization approach with leverage constraints.

Author Contributions

Conceptualization, B.A., M.M. and P.U.; methodology, M.M. and P.U.; software, M.M.; validation, M.M. and P.U.; formal analysis, M.M. and P.U.; investigation, B.A.; resources, B.A., M.M. and P.U.; data curation, M.M. and P.U.; writing—original draft preparation, B.A. and P.U.; writing—review and editing, B.A., M.M. and P.U.; visualization, M.M.; supervision, B.A.; project administration, B.A. and P.U. All authors have read and agreed to the published version of the manuscript.

Funding

This research received no external funding.

Institutional Review Board Statement

Not applicable.

Informed Consent Statement

Not applicable.

Data Availability Statement

The data presented in this study are available on request from the corresponding author.

Acknowledgments

We thank Hersh Shefrin for the useful comments and suggestions to the preliminary version of this paper.

Conflicts of Interest

The authors declare no conflict of interest.

Notes

1
The budget constraint requires that the total available wealth is invested in the portfolio x.
2
Note that in Jacobs and Levy (2012, 2013), the leverage is defined as L ( x ) 1 . Our definition is more convenient for the rescaling introduced in Definition 3.
3
The choice to set the leverage equal to one is arbitrary but simple and intuitive; the results obtained in this special case do not differ qualitatively if the leverage is set to some other value. The advantage to fix L ( x ) = 1 is that x 0 = 0 , i.e., there is no need of borrowing money.

References

  1. Ang, Andrwe, Sergiy Gorovyy, and Gregory B. van Inwegen. 2011. Hedge fund leverage. Journal of Financial Economics 102: 102–26. [Google Scholar] [CrossRef]
  2. Arici, Giorgio, Marco Dalai, Riccardo Leonardi, and Arnaldo Spalvieri. 2019. A Communication Theoretic Interpretation of Modern Portfolio Theory Including Short Sales, Leverage and Transaction Costs. Journal of Risk and Financial Management 12: 4. [Google Scholar] [CrossRef] [Green Version]
  3. Asness, Clifford S., Andrea Frazzini, and Lasse H. Pedersen. 2012. Leverage aversion and risk parity. Financial Analysts Journal 68: 47–59. [Google Scholar] [CrossRef] [Green Version]
  4. Black, Fischer. 1972. Capital Market Equilibrium with Restricted Borrowing. Journal of Business 45: 444–55. [Google Scholar] [CrossRef] [Green Version]
  5. Buetow, Gerald W., and Brian J. Henderson. 2012. An Empirical Analysis of Exchange-Traded Funds. The Journal of Portfolio Management 38: 112–27. [Google Scholar] [CrossRef]
  6. Chen, Jingnan, Liming Feng, and Jiming Peng. 2015. Optimal deleveraging with nonlinear temporary price impact. European Journal of Operational Research 244: 240–47. [Google Scholar] [CrossRef]
  7. Chen, Jingnan, Liming Feng, Jiming Peng, and Yinyu Ye. 2014. Analytical results and efficient algorithm for optimal deleveraging with market impact. Operations Research 62: 195–206. [Google Scholar] [CrossRef]
  8. Clarke, Roger, Harindra de Silva, and Steven Thorley. 2002. Portfolio Constraints and the Fundamental Law of Active Management. Financial Analysts Journal 58: 48–66. [Google Scholar] [CrossRef]
  9. Edirisinghe, Chanaka, Jaehwan Jeong, and Jingnan Chen. 2021. Optimal portfolio deleveraging under market impact and margin restrictions. European Journal of Operational Research 294: 746–59. [Google Scholar] [CrossRef]
  10. Gastineau, Gary L. 2010. The Exchange Traded Funds Manual. Hoboken: Wiley and Sons. [Google Scholar]
  11. Grill, Michael, Claudia Lambert, Philipp Marquardt, Gibran Watfe, and Christian Weistroffer. 2018. Counterparty and Liquidity Risks in Exchange-Traded Funds. Financial Stability Review. Frankfurt: European Central Bank, vol. 2. [Google Scholar]
  12. Huang, Mei-Yueh, and Jun-Bao Lin. 2011. Do ETFs provide effective international diversification? Research in International Business and Finance 25: 335–44. [Google Scholar] [CrossRef]
  13. Jacobs, Bruce I., and Kenneth N. Levy. 2012. Leverage Aversion and Portfolio Optimality. Financial Analysts Journal 68: 89–94. [Google Scholar] [CrossRef] [Green Version]
  14. Jacobs, Bruce I., and Kenneth N. Levy. 2013. Leverage Aversion, Efficient Frontiers, and the Efficient Region. The Journal of Portfolio Management 39: 54–64. [Google Scholar] [CrossRef]
  15. Jacobs, Bruce I., Kenneth N. Levy, and Harry M. Markowitz. 2005. Portfolio Optimization with Factors, Scenarios, and Realistic Short Positions. Operations Research 53: 586–99. [Google Scholar] [CrossRef] [Green Version]
  16. Li, Frank W., and Qifei Zhu. 2016. Short Selling ETFs. Presented at the Finance Down Under 2019: Building on the Best from the Cellars of Finance, Melbourne, Australia, March 7–9. [Google Scholar] [CrossRef]
  17. Markowitz, Harry M. 1952. Portfolio Selection. Journal of Finance 7: 77–91. [Google Scholar]
  18. Pogue, Gerald A. 1970. An extension of the Markowitz portfolio selection model to include variable transactions’ costs, short sales, leverage policies and taxes. Journal of Finance 25: 1005–27. [Google Scholar] [CrossRef]
  19. Roll, Richard. 2013. Volatility, Correlation, and Diversification in a Multi-Factor World. The Journal of Portfolio Management 39: 11–18. [Google Scholar] [CrossRef]
  20. Sorensen, Eric H., Ronald Hua, and Edward Qian. 2007. Aspects of Constrained Long-Short Equity Portfolios. Journal of Portfolio Management 33: 12–20. [Google Scholar] [CrossRef]
  21. Sullivan, Rodney N. 2010. Speculative Leverage: A False Cure for Pension Woes. Financial Analysts Journal 66: 6–8. [Google Scholar] [CrossRef]
  22. Tsai, Pei-Jung, and Peggy E. Swanson. 2009. The comparative role of iShares and country funds in internationally diversified portfolios. Journal of Economics and Business 61: 472–94. [Google Scholar] [CrossRef]
Figure 1. Leverage (solid) of the classical frontier portfolios (dashed). Data: SPX level 1 sectors, from 1990 to 2018. For a detailed data description see Section 3.
Figure 1. Leverage (solid) of the classical frontier portfolios (dashed). Data: SPX level 1 sectors, from 1990 to 2018. For a detailed data description see Section 3.
Jrfm 14 00550 g001
Figure 2. Ratios σ ( x k + 1 ) σ ( x k ) , L ( x k + 1 ) L ( x k ) , r ( x k + 1 ) r ( x k ) of portfolios with contiguous average returns. Data: portfolios containing the S&P sector indexes.
Figure 2. Ratios σ ( x k + 1 ) σ ( x k ) , L ( x k + 1 ) L ( x k ) , r ( x k + 1 ) r ( x k ) of portfolios with contiguous average returns. Data: portfolios containing the S&P sector indexes.
Jrfm 14 00550 g002
Figure 3. Classical efficient frontier and unleveraged equivalent portfolios. S&P sectors from 1990 to 2018.
Figure 3. Classical efficient frontier and unleveraged equivalent portfolios. S&P sectors from 1990 to 2018.
Jrfm 14 00550 g003
Figure 4. Unleveraged equivalent sets obtained from portfolios on the S&P sectors, based on the data of one year periods. Four years are shown. The arrows head to the increase of leverage. The labels indicate the leverage levels of the corresponding leveraged portfolio on the classical frontier.
Figure 4. Unleveraged equivalent sets obtained from portfolios on the S&P sectors, based on the data of one year periods. Four years are shown. The arrows head to the increase of leverage. The labels indicate the leverage levels of the corresponding leveraged portfolio on the classical frontier.
Jrfm 14 00550 g004
Table 1. Standard and Poor 500 sectoral indexes. The tickers for the Bloomberg level 1 indexes are reported in the second column. The last two columns indicate the corresponding ETF issued by Vanguard and SPDR.
Table 1. Standard and Poor 500 sectoral indexes. The tickers for the Bloomberg level 1 indexes are reported in the second column. The last two columns indicate the corresponding ETF issued by Vanguard and SPDR.
SectorBloomberg IndexVanguard ETFSPDR ETF
Information TechnologyS5INFTVGTXLK
HealthS5HLTHVHTXLV
EnergyS5ENRSVDEXLE
UtilitiesS5UTILVPUXLU
FinancialsS5FINLVFHXLF
Consumer StaplesS5CONSVDCXLP
Consumer DiscretionaryS5CONDVCRXLY
IndustrialsS5INDUVISXLI
TelecommunicationsS5TELSVOXXLC
MaterialsS5MATRVAWXLB
Table 2. Portfolios weights for some given leverage levels.
Table 2. Portfolios weights for some given leverage levels.
Whole SampleYear 2018
leverage on the classical frontierleverage on the classical frontier
24816322481632
mean0.03980.05970.09950.17900.34810.00980.08790.21990.48121.0064
stev0.95011.33522.36394.62379.54720.78481.03251.68353.17486.2989
INFT0.12510.33640.67461.35082.7456−0.2484−0.3452−0.5084−0.8319−1.4819
HLTH0.19360.43590.82361.59903.19820.40081.10962.30564.67559.4374
ENRS0.03450.08690.17080.33850.6844−0.0336−0.1757−0.4155−0.8906−1.8453
UTIL0.1795−0.1106−0.5748−1.5031−3.41780.57100.74321.03381.60962.7666
FINL−0.2430−0.3574−0.5403−0.9062−1.66090.1133−0.0336−0.2813−0.7722−1.7586
CONS0.67890.96741.42892.35214.25610.0097−0.3065−0.8399−1.8970−4.0210
COND0.18100.58481.23082.52295.18770.33910.65111.17752.22064.3167
INDU0.11490.15370.21570.33980.5957−0.1516−0.3476−0.6783−1.3336−2.6503
TELS−0.1489−0.6827−1.5367−3.2448−6.7678−0.0676−0.2347−0.5166−1.0753−2.1978
MATR−0.1156−0.4144−0.8926−1.8489−3.82130.0674−0.0607−0.2768−0.7052−1.5658
unleveraged equivalent portfolio weightsunleveraged equivalent portfolio weights
mean0.01670.01440.01230.01120.01060.00490.02190.02740.03010.0314
stev0.39690.32330.29220.28890.29080.39190.25760.20960.19830.1966
INFT0.06210.08150.08340.08440.0849−0.1241−0.0861−0.0633−0.0520−0.0463
HLTH0.09610.10550.10180.09990.09890.20020.27690.28700.29200.2945
ENRS0.01710.02100.02110.02110.0212−0.0168−0.0438−0.0517−0.0556−0.0576
UTIL0.0891−0.0268−0.0711−0.0939−0.10570.28520.18540.12870.10050.0863
FINL−0.1206−0.0865−0.0668−0.0566−0.05140.0566−0.0084−0.0350−0.0482−0.0549
CONS0.33690.23420.17670.14690.13160.0048−0.0765−0.1046−0.1185−0.1255
COND0.08980.14160.15220.15760.16040.16930.16250.14660.13870.1347
INDU0.05700.03720.02670.02120.0184−0.0757−0.0867−0.0844−0.0833−0.0827
TELS−0.0739−0.1653−0.1900−0.2027−0.2093−0.0338−0.0586−0.0643−0.0672−0.0686
MATR−0.0574−0.1003−0.1103−0.1155−0.11820.0337−0.0151−0.0345−0.0440−0.0489
Publisher’s Note: MDPI stays neutral with regard to jurisdictional claims in published maps and institutional affiliations.

Share and Cite

MDPI and ACS Style

Alemanni, B.; Maggi, M.; Uberti, P. Unleveraged Portfolios and Pure Allocation Return. J. Risk Financial Manag. 2021, 14, 550. https://doi.org/10.3390/jrfm14110550

AMA Style

Alemanni B, Maggi M, Uberti P. Unleveraged Portfolios and Pure Allocation Return. Journal of Risk and Financial Management. 2021; 14(11):550. https://doi.org/10.3390/jrfm14110550

Chicago/Turabian Style

Alemanni, Barbara, Mario Maggi, and Pierpaolo Uberti. 2021. "Unleveraged Portfolios and Pure Allocation Return" Journal of Risk and Financial Management 14, no. 11: 550. https://doi.org/10.3390/jrfm14110550

APA Style

Alemanni, B., Maggi, M., & Uberti, P. (2021). Unleveraged Portfolios and Pure Allocation Return. Journal of Risk and Financial Management, 14(11), 550. https://doi.org/10.3390/jrfm14110550

Article Metrics

Back to TopTop