Assessing the Impacts of Local Knowledge and Technology on Climate Change Vulnerability in Remote Communities
Abstract
:1. Introduction
- How do community demographic dynamics impact community perceptions of climate change?
- How does the conversion from traditional resource use to non-traditional resource use influence community perceptions of climate change?
- How does the inclusion of local knowledge influence community perceptions and mitigate adverse impacts of TIED on community perceptions?
- How is community perception influenced by community structure?
2. Methods
2.1. Agents
2.2. Estimating Community Vulnerability
3. Implementation
3.1. Study Sites and Social Data
3.2. Environmental Data
3.3. Modeling Scenarios
- Scenario with Perfect knowledge: Each agent has perfect knowledge of the past environment from the age of eighteen. That is, the agents are able to accurately estimate how environmental variables have changed over time. This scenario provides a means to gain insight into how the model operates in an ideal case, and provides a benchmark of agent perceptions to which other scenarios can be compared.
- Traditional resource use by all agents: Each agent has imperfect knowledge of the past environment, but there is an extremely high level of interaction with NMS. This scenario represents a community that is able to maintain its traditional methods for sustaining their livelihood.
- Diminishing NMS by younger agents: The youngest agents in the community convert from NMS to MWS rather quickly over time, while middle-aged agents convert gradually. This represents a community in which older members attempt to sustain traditional resource use while younger generations are altering their behaviours due to modern technology.
- Diminishing NMS by older agents: The oldest agents in the community convert quickly to MWS and middle-aged agents convert more slowly. However, the youngest agents in the community retain their use of traditional water resources. This represents a community in which the introduction of technology is mostly aimed at older individuals while the youngest generation struggles to maintain traditional values.
- Gradual diminishing of NMS by all agents: All agents gradually convert from NMS to MWS, but the rate at which they convert is dependent on age.
- Rapid diminishing of NMS by all agents: All agents quickly convert from NMS to MWS, but, as with Scenario D, the rate at which they convert is dependent on age.
4. Results
4.1. How Do Community Demographic Dynamics Impact Community Perceptions of Climate Change?
4.2. How Does the Conversion from Traditional Resource Use (i.e., NMS) to Non-traditional Resource Use (i.e., MWS) Influence Community Perceptions of Climate Change?
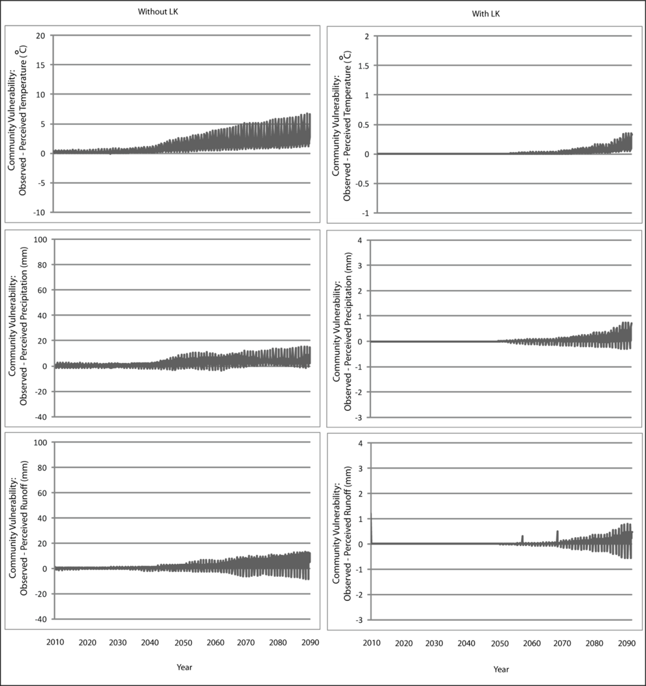
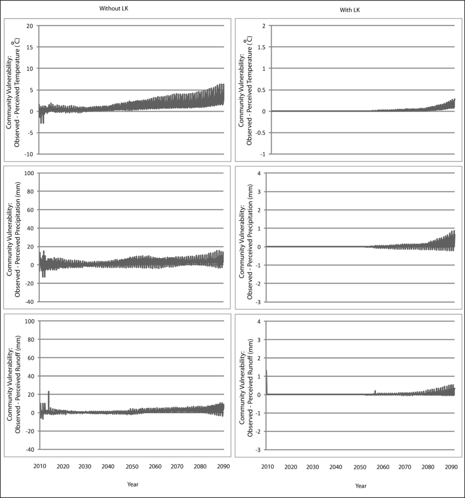
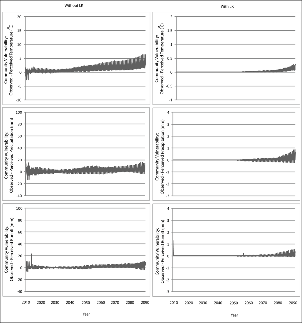
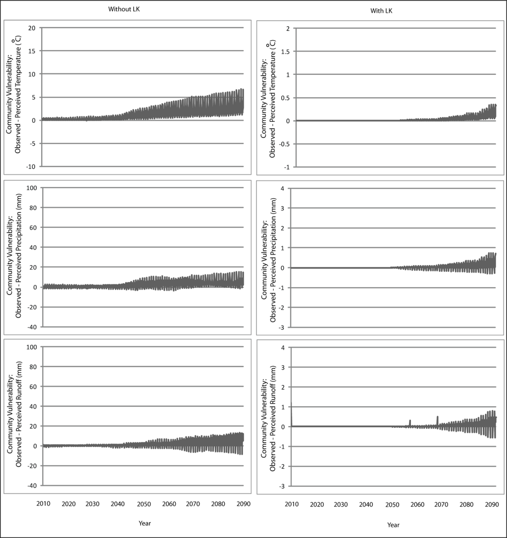
4.3. How Does the Inclusion of LK Influence Community Perceptions and Mitigate Adverse Impacts of TIED on Community Perceptions?
4.4. How Is Community Perception Influenced by Community Structure?
5. Discussion
Acknowledgments
References
- Rebetez, M. Public expectation as an element of human perception of climate change. Climatic Change 1996, 32, 495–509. [Google Scholar]
- Kelly, PM; Adger, WN. Theory and practise in assessing vulnerability to climate change and facilitating adaptation. Climatic Change 2000, 47, 325–352. [Google Scholar]
- Climate Change 2001: Impacts, Adaptation and Vulnerability; McCarthy, JJ; Canziani, OF; Leary, NA; Dokken, DJ; White, KS (Eds.) Cambridge University Press: Cambridge, UK, 2001.
- Alessa, L; Kliskey, A; Williams, P. The distancing effect of modernization on the perception of water resource in Arctic communities. Polar Geogr 2007, 30, 175–191. [Google Scholar]
- Alessa, L; Kliskey, A; Williams, P. Forgetting freshwater: technology, values and distancing in remote arctic communities. Soc. Nat. Resour 2010, 23, 254–268. [Google Scholar]
- Berkes, F. Sacred Ecology: Traditional Ecological Knowledge and Resource Management; Taylor and Francis: Philadelphia, PA, USA, 1999. [Google Scholar]
- Kliskey, A; Alessa, L; Barr, B. Integrating local and traditional ecological knowledge for marine resilience. In Ecosystem-based Management for the Oceans; McLeod, K, Leslie, H, Eds.; Island Press: Washington, DC, USA, 2009; pp. 145–161. [Google Scholar]
- Berkes, F; Folke, C. Back to the future: Ecosystem dynamics and local knowledge. In Panarchy: Understanding Transformations in Human and Natural Systems; Gunderson, LH, Holling, CS, Eds.; Island Press: Washington, DC, USA, 2002; pp. 121–146. [Google Scholar]
- Alvarez, JC; Vodden, K. Local ecological knowledge and the impacts of global climatic change on the community of Seaweed Extractors in Pisco-Peru. Proceedings of Portland International Conference on Management of Engineering & Technology, Portland, OR, USA, 2–6 August 2009. [Google Scholar]
- King, DNT; Skipper, A; Tawhai, WB. Mauori environmental knowledge of local weather and climate change in Aotearoa—New Zealand. Climatic Change 2008, 90, 385–409. [Google Scholar]
- Tibby, J; Lane, MB; Gell, PA. Local knowledge and environmental management: A cautionary tale from Lake Ainsworth, New South Wales, Australia. Environ. Conserv 2007, 34, 334–341. [Google Scholar]
- Berkes, F; Berkes, MK; Fast, H. Collaborative integrated management in Canada’s north: The role of local and traditional knowledge and community-based monitoring. Coastal Manage 2007, 35, 143–162. [Google Scholar]
- Kruse, JA; White, R; Epstein, HE; Archie, B; Berman, M; Braund, SR; Chapin, FS; Charlie, J; Daniel, CJ; Eamer, J; et al. Modeling sustainability of arctic communities: An interdisciplinary collaboration of researchers and local knowledge holders. Ecosystems 2004, 7, 815–828. [Google Scholar]
- Roncoli, C; Ingram, K; Kirshen, P. Reading the rains: Local knowledge and rainfall forecasting in Burkina Faso. Soc. Nat. Resour 2002, 15, 409–427. [Google Scholar]
- Eakin, H. Seasonal climate forecasting and the relevance of local knowledge. Phys. Geogr 1999, 20, 447–460. [Google Scholar]
- Giordano, R; Liesrch, S; Vurro, M; Hirsch, D. Integrating local and technical knowledge to support soil salinity monitoring in the Amudarya river basin. J. Environ. Manage 2010, 91, 1718–1729. [Google Scholar]
- Klooster, DJ. Toward adaptive community forest management: Integrating local forest knowledge with scientific forestry. Econ. Geogr 2002, 78, 43–70. [Google Scholar]
- Beckford, C; Baker, D. The role and value of local knowledge in Jamaican agriculture: adaptation and change in small-scale farming. Geogr. J 2007, 173, 187–192. [Google Scholar]
- Komwihangilo, DM; Lekule, FP; Kajembe, GC; Petersen, PH. Role of local knowledge in mixed livestock production systems—Methodology and implications for research and development in Sub-Saharan Africa. Outlook Agr 2007, 36, 187–192. [Google Scholar]
- Mulyoutami, E; Rismawan, R; Joshi, L. Local knowledge and management of simpukng (forest gardens) among the Dayak people in East Kalimantan, Indonesia. Forest Ecol. Manage 2009, 257, 2054–2061. [Google Scholar]
- Mackinson, S; Nottestad, L. Combining local and scientific knowledge. Rev. Fish Biol. Fish 1998, 8, 481–490. [Google Scholar]
- Thornton, TF. Development and local knowledge: New approaches to issues in natural resources management, conservation, and agriculture. J. Anthropol. Res 2006, 62, 115–117. [Google Scholar]
- Nazarea, VD. Local knowledge and memory in biodiversity and conservation. Annu. Rev. Anthropol 2006, 35, 317–335. [Google Scholar]
- Alessa, L; Kliskey, A; Williams, P; White, D; Barton, M. Perception of change in freshwater resources in remote Arctic resource dependent communities. Global Environ. Change 2008, 18, 153–164. [Google Scholar]
- Altaweel, M; Alessa, L; Kliskey, A. Social influence and decision-making: Evaluating agent networks in village response to change in freshwater. J. Artif. Soc. Soc. Simulat 2010, 13, 15. [Google Scholar]
- Alessa, L; Kliskey, A. The role of agent types in detecting and responding to environmental change. Hum Organ 2011. submitted.. [Google Scholar]
- Camerer, CF. Behavioral Game Theory: Experiments in Strategic Interaction; Princeton University Press: Princeton, VA, USA, 2003. [Google Scholar]
- Egiluz, V; Zimmerman, MG; Cela-Conde, CJ; Miguel, MS. Cooperation and the emergence of role differentiation in the dynamics of social networks. Amer. J. Sociol 2005, 100, 977–1008. [Google Scholar]
- Perez, RL. Followers and leaders: Reciprocity, social norms and group behaviour. J. Soc. Econ 2009, 38, 557–567. [Google Scholar]
- Alessa, L; Kliskey, A; Busey, R; Hinzman, L; White, D. Freshwater vulnerabilities and resilience on the Seward Peninsula: Integrating multiple dimensions of landscape change. Global Environ. Change 2008, 18, 256–270. [Google Scholar]
- Meehl, GA; Covey, C; Delworth, T; Latif, M; McAvaney, B; Mitchell, JFB; Stouffer, RJ; Taylor, KE. The WCRP CMIP3 multi-model dataset: A new era in climate change research. Bull. Amer. Meteorol. Soc 2007, 88, 1383–1394. [Google Scholar]
- PCDMI. About the WCRP CMIP3 Multi-Model Dataset Archive at PCMDI. Available online: http://www-pcmdi.llnl.gov/ipcc/about_ipcc.php (accessed on 25 October 2010).
- Solomon, S; Qin, D; Manning, M; Chen, Z; Marquis, M; Averyt, KB; Tignor, M; Miller, HL. The Physical Science Basis; Contributions of Working Group I to the Fourth Assessment Report of the Intergovernmental Panel on Climate Change; Cambridge University Press: Cambridge, UK and New York, NY, USA, 2007. [Google Scholar]
- Matsuura, K; Willmott, CJ. Terrestrial Air Temperature: 1900–2008 Gridded Monthly Time Series, Version 2.01; Center for Climate Research, Department of Geography, University of Delaware: Newark, DE, USA, 2009. [Google Scholar]
- Armstrong, RL; Brodzik, MJ. An Earth-gridded SSM/I data set for cryospheric studies and global change monitoring. Adv. Space Res 1995, 16, 155–163. [Google Scholar]
- Rawlins, MA; Lammers, RB; Frolking, S; Fekete, BM; Vorosmarty, CJ. Simulating pan-arctic runoff with a macro-scale terrestrial water balance model. Hydrol. Process 2003, 17, 2521–2539. [Google Scholar]












| Model Variables | Description |
|---|---|
| M | Month |
| yc | current year |
| yp | previous year |
| wk | weight knowledge passed between agents of different types |
| iage | age of agent i |
| age class | Y = younger (18–39 years) |
| M = middle (40–59 years) | |
| O = older (over 60 years) | |
| tTRU | time engaged in traditional resource use |
| X | climate variable (i.e., precipitation, runoff, temperature) |
| pi,x | agent i’s perception of change in variable x |
| jLK | local knowledge of all agents other than agent i |
| Pc,x | community perception of change in variable x |
| qx | recorded change in variable x |
| vx | community vulnerability to change in variable x |
| Alpha | Beta | Gamma | |
|---|---|---|---|
| Younger | 0.6 | 0.3 | 0.0 |
| Middle-aged | 0.8 | 0.4 | 0.1 |
| Older | 1.0 | 0.8 | 0.7 |
| Alpha | Beta | Gamma | |
|---|---|---|---|
| Alpha | 1.0 | 0.8 | 0.5 |
| Beta | 0.8 | 0.5 | 0.3 |
| Gamma | 0.0 | 0.0 | 0.0 |
| Younger Age | Middle Age | Old Age | ||||
|---|---|---|---|---|---|---|
| Scenario | Initial | Annual Change | Initial | Annual Change | Initial | Annual Change |
| A | 1 | 0.0% | 1 | 0.0% | 1 | 0.0% |
| B | 0.95 | 0.0% | 0.95 | 0.0% | 0.95 | 0.0% |
| C | 0.95 | –5.0% | 0.95 | 1.0% | 0.95 | 0.0% |
| D | 0.95 | 0.0% | 0.95 | 1.0% | 0.95 | 5.0% |
| E | 0.95 | –4.0% | 0.95 | 2.5% | 0.95 | 1.0% |
| F | 0.95 | –15.0% | 0.95 | 10.0% | 0.95 | 5.0% |
| 1962 | 2088 | Difference | |
|---|---|---|---|
| Temperature | −4.4 | 3.9 | 8.3 |
| Precipitation | 23.9 | 45.0 | 21.1 |
| Runoff | 5.6 | 13.0 | 7.4 |
© 2011 by the authors; licensee MDPI, Basel, Switzerland This article is an open-access article distributed under the terms and conditions of the Creative Commons Attribution license (http://creativecommons.org/licenses/by/3.0/).
Share and Cite
Bone, C.; Alessa, L.; Altaweel, M.; Kliskey, A.; Lammers, R. Assessing the Impacts of Local Knowledge and Technology on Climate Change Vulnerability in Remote Communities. Int. J. Environ. Res. Public Health 2011, 8, 733-761. https://doi.org/10.3390/ijerph8030733
Bone C, Alessa L, Altaweel M, Kliskey A, Lammers R. Assessing the Impacts of Local Knowledge and Technology on Climate Change Vulnerability in Remote Communities. International Journal of Environmental Research and Public Health. 2011; 8(3):733-761. https://doi.org/10.3390/ijerph8030733
Chicago/Turabian StyleBone, Christopher, Lilian Alessa, Mark Altaweel, Andrew Kliskey, and Richard Lammers. 2011. "Assessing the Impacts of Local Knowledge and Technology on Climate Change Vulnerability in Remote Communities" International Journal of Environmental Research and Public Health 8, no. 3: 733-761. https://doi.org/10.3390/ijerph8030733
APA StyleBone, C., Alessa, L., Altaweel, M., Kliskey, A., & Lammers, R. (2011). Assessing the Impacts of Local Knowledge and Technology on Climate Change Vulnerability in Remote Communities. International Journal of Environmental Research and Public Health, 8(3), 733-761. https://doi.org/10.3390/ijerph8030733
