Parental Experiences of Distance Learning in Families with and without an Adolescent with ADHD/ASD: A Large Qualitative Survey Study
Abstract
1. Introduction
1.1. Distance Learning in Children with ADHD and/or ASD
1.2. Previous Qualitative Research on Effects of Distance Learning during the Pandemic
1.3. Aim of the Present Study
2. Materials and Methods
2.1. Participants and Procedure
2.2. Materials
2.3. Analyses
3. Results
3.1. Negative Effects
3.1.1. Teaching
3.1.2. Child Factors
3.1.3. Support
3.1.4. Social Factors
3.1.5. Home Environment
3.1.6. Technical Problems
3.2. Positive Effects
3.2.1. Child Factors
3.2.2. Home Environment
3.2.3. Teaching
3.2.4. Social
3.2.5. Support
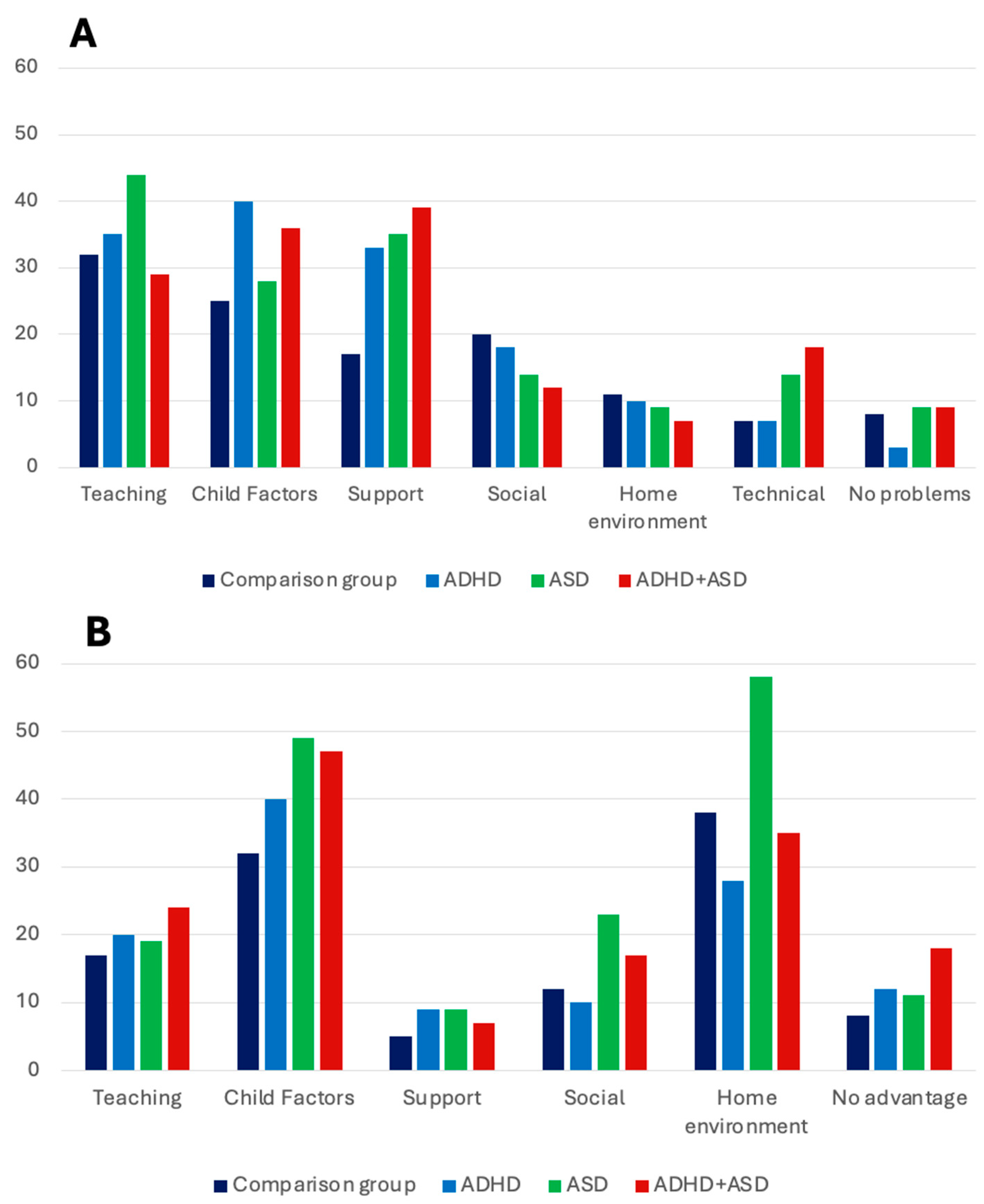
3.3. Differences between Families with a Child with ADHD/ASD and a Comparison Group
4. Discussion
4.1. Negative Effects of Distance Learning
4.2. Positive Effects of Distance Learning
4.3. Practical and Clinical Implications of the Findings
4.4. Strengths and Limitations
5. Conclusions
Author Contributions
Funding
Institutional Review Board Statement
Informed Consent Statement
Data Availability Statement
Conflicts of Interest
Correction Statement
References
- Viner, R.M.; Russell, S.J.; Croker, H.; Packer, J.; Ward, J.; Stansfield, C.; Mytton, O.; Bonell, C.; Booy, R. School closure and management practices during coronavirus outbreaks including COVID-19: A rapid systematic review. Lancet Child. Adolesc. Health 2020, 4, 397–404. [Google Scholar] [CrossRef]
- Scott, S.R.; Rivera, K.M.; Rushing, E.; Manczak, E.M.; Rozek, C.S.; Doom, J.R. “I Hate This”: A Qualitative Analysis of Adolescents’ Self-Reported Challenges during the COVID-19 Pandemic. J. Adolesc. Health 2021, 68, 262–269. [Google Scholar] [CrossRef]
- Neto, D.D.; Silva, A.N.D. The Mental Health Impacts of a Pandemic: A Multiaxial Conceptual Model for COVID-19. Behav. Sci. 2023, 13, 912. [Google Scholar] [CrossRef] [PubMed]
- Sibley, M.H.; Ortiz, M.; Gaias, L.M.; Reyes, R.; Joshi, M.; Alexander, D.; Graziano, P. Top problems of adolescents and young adults with ADHD during the COVID-19 pandemic. J. Psychiatr. Res. 2021, 136, 190–197. [Google Scholar] [CrossRef]
- Behrmann, J.T.; Blaabjerg, J.; Jordansen, J.; Jensen de López, K.M. Systematic Review: Investigating the Impact of COVID-19 on Mental Health Outcomes of Individuals with ADHD. J. Atten. Disord. 2022, 26, 959–975. [Google Scholar] [CrossRef]
- Breaux, R.; Dvorsky, M.R.; Marsh, N.P.; Green, C.D.; Cash, A.R.; Shroff, D.M.; Buchen, N.; Langberg, J.M.; Becker, S.P. Prospective impact of COVID-19 on mental health functioning in adolescents with and without ADHD: Protective role of emotion regulation abilities. J. Child. Psychol. Psychiatry 2021, 62, 1132–1139. [Google Scholar] [CrossRef]
- Mutluer, T.; Doenyas, C.; Aslan Genc, H. Behavioral Implications of the Covid-19 Process for Autism Spectrum Disorder, and Individuals’ Comprehension of and Reactions to the Pandemic Conditions. Front. Psychiatry 2020, 11, 561882. [Google Scholar] [CrossRef]
- Nonweiler, J.; Rattray, F.; Baulcomb, J.; Happé, F.; Absoud, M. Prevalence and Associated Factors of Emotional and Behavioural Difficulties during COVID-19 Pandemic in Children with Neurodevelopmental Disorders. Children 2020, 7, 128. [Google Scholar] [CrossRef] [PubMed]
- Thorell, L.B.; Fuermaier, A.B.M.; Christiansen, H.; Steinmayr, R.; Baeyens, D.; de la Peña, A.G.; Groom, M.J.; Idrees, I.; van der Oord, S.; Hoofdakker, B.J.V.D.; et al. Distance learning during the COVID-19 pandemic for children with ADHD and/or ASD: A European multi-center study examining the role of executive function deficits and age. Child. Adolesc. Psychiatry Ment. Health 2022, 16, 101. [Google Scholar] [CrossRef] [PubMed]
- Fumagalli, L.; Nicoli, M.; Villa, L.; Riva, V.; Vicovaro, M.; Casartelli, L. The (a)typical burden of COVID-19 pandemic scenario in Autism Spectrum Disorder. Sci. Rep. 2021, 11, 22655. [Google Scholar] [CrossRef]
- Arnold, L.E.; Hodgkins, P.; Kahle, J.; Madhoo, M.; Kewley, G. Long-Term Outcomes of ADHD: Academic Achievement and Performance. J. Atten. Disord. 2020, 24, 73–85. [Google Scholar] [CrossRef] [PubMed]
- Keen, D.; Webster, A.; Ridley, G. How well are children with autism spectrum disorder doing academically at school? An overview of the literature. Autism 2016, 20, 276–294. [Google Scholar] [CrossRef] [PubMed]
- Kent, K.M.; Pelham, W.E., Jr.; Molina, B.S.; Sibley, M.H.; Waschbusch, D.A.; Yu, J.; Gnagy, E.M.; Biswas, A.; Babinski, D.E.; Karch, K.M. The academic experience of male high school students with ADHD. J. Abnorm. Child. Psychol. 2011, 39, 451–462. [Google Scholar] [CrossRef] [PubMed]
- Adams, D. Child and Parental Mental Health as Correlates of School Non-Attendance and School Refusal in Children on the Autism Spectrum. J. Autism Dev. Disord. 2022, 52, 3353–3365. [Google Scholar] [CrossRef]
- Black, L.I.; Zablotsky, B. Chronic School Absenteeism among Children with Selected Developmental Disabilities: National Health Interview Survey, 2014–2016. Natl. Cent. Health Stat. 2018, 118, 1–7. [Google Scholar]
- Thomas, R.; Sanders, S.; Doust, J.; Beller, E.; Glasziou, P. Prevalence of attention-deficit/hyperactivity disorder: A systematic review and meta-analysis. Pediatrics 2015, 135, e994–e1001. [Google Scholar] [CrossRef]
- Salari, N.; Rasoulpoor, S.; Rasoulpoor, S.; Shohaimi, S.; Jafarpour, S.; Abdoli, N.; Khaledi-Paveh, B.; Mohammadi, M. The global prevalence of autism spectrum disorder: A comprehensive systematic review and meta-analysis. Ital. J. Pediatr. 2022, 48, 112. [Google Scholar] [CrossRef] [PubMed]
- Antshel, K.M.; Zhang-James, Y.; Wagner, K.E.; Ledesma, A.; Faraone, S.V. An update on the comorbidity of ADHD and ASD: A focus on clinical management. Expert Rev. Neurother. 2016, 16, 279–293. [Google Scholar] [CrossRef]
- Hours, C.; Recasens, C.; Baleyte, J.M. ASD and ADHD Comorbidity: What Are We Talking About? Front. Psychiatry 2022, 13, 837424. [Google Scholar] [CrossRef]
- Pascual, A.C.; Muñoz, N.M.; Robres, A.Q. The Relationship Between Executive Functions and Academic Performance in Primary Education: Review and Meta-Analysis. Front. Psychol. 2019, 10, 1582. [Google Scholar] [CrossRef]
- Peng, P.; Kievit, R.A. The Development of Academic Achievement and Cognitive Abilities: A Bidirectional Perspective. Child. Dev. Perspect. 2020, 14, 15–20. [Google Scholar] [CrossRef]
- Faraone, S.V.; Larsson, H. Genetics of attention deficit hyperactivity disorder. Mol. Psychiatry 2019, 24, 562–575. [Google Scholar] [CrossRef]
- Sandin, S.; Lichtenstein, P.; Kuja-Halkola, R.; Larsson, H.; Hultman, C.M.; Reichenberg, A. The familial risk of autism. JAMA 2014, 311, 1770–1777. [Google Scholar] [CrossRef] [PubMed]
- Thorell, L.B.; Skoglund, C.; de la Peña, A.G.; Baeyens, D.; Fuermaier, A.B.M.; Groom, M.J.; Mammarella, I.C.; Van Der Oord, S.; Hoofdakker, B.J.V.D.; Luman, M.; et al. Parental experiences of homeschooling during the COVID-19 pandemic: Differences between seven European countries and between children with and without mental health conditions. Eur. Child. Adolesc. Psychiatry 2022, 31, 649–661. [Google Scholar] [CrossRef] [PubMed]
- Shorey, S.; Lau, L.S.T.; Tan, J.X.; Ng, E.D.; Aishworiya, R. Families with Children with Neurodevelopmental Disorders during COVID-19: A Scoping Review. J. Pediatr. Psychol. 2021, 46, 514–525. [Google Scholar] [CrossRef] [PubMed]
- Lee, V.; Albaum, C.; Modica, P.T.; Ahmad, F.; Gorter, J.W.; Khanlou, N.; McMorris, C.; Lai, J.; Harrison, C.; Hedley, T.; et al. The impact of COVID-19 on the mental health and wellbeing of caregivers of autistic children and youth: A scoping review. Autism Res. 2021, 14, 2477–2494. [Google Scholar] [CrossRef] [PubMed]
- Roy, A.K.; Breaux, R.; Sciberras, E.; Patel, P.; Ferrara, E.; Shroff, D.M.; Cash, A.R.; Dvorsky, M.R.; Langberg, J.M.; Quach, J.; et al. A preliminary examination of key strategies, challenges, and benefits of remote learning expressed by parents during the COVID-19 pandemic. Sch. Psychol. 2022, 37, 147–159. [Google Scholar] [CrossRef] [PubMed]
- Hatton, B.; Powell, L. Investigating the impact of at-home learning on secondary school-aged children with ADHD: A qualitative study. J. Res. Spéc. Educ. Needs 2022, 22, 221–231. [Google Scholar] [CrossRef]
- Fridell, A.; Norrman, H.N.; Girke, L.; Bölte, S. Effects of the Early Phase of COVID-19 on the Autistic Community in Sweden: A Qualitative Multi-Informant Study Linking to ICF. Int. J. Environ. Res. Public Health 2022, 19, 1268. [Google Scholar] [CrossRef]
- Lipkin, M.; Crepeau-Hobson, F. The impact of the COVID-19 school closures on families with children with disabilities: A qualitative analysis. Psychol. Sch. 2022, 60, 1544–1559. [Google Scholar] [CrossRef]
- Widnall, E.; Adams, E.A.; Plackett, R.; Winstone, L.; Haworth, C.M.A.; Mars, B.; Kidger, J. Adolescent Experiences of the COVID-19 Pandemic and School Closures and Implications for Mental Health, Peer Relationships and Learning: A Qualitative Study in South-West England. Int. J. Environ. Res. Public Health 2022, 19, 7163. [Google Scholar] [CrossRef] [PubMed]
- Gordon, C.T.; Fabiano, G.A. The Transition of Youth with ADHD into the Workforce: Review and Future Directions. Clin. Child. Fam. Psychol. Rev. 2019, 22, 316–347. [Google Scholar] [CrossRef] [PubMed]
- Hedley, D.; Uljarević, M.; Cameron, L.; Halder, S.; Richdale, A.; Dissanayake, C. Employment programmes and interventions targeting adults with autism spectrum disorder: A systematic review of the literature. Autism 2017, 21, 929–941. [Google Scholar] [CrossRef] [PubMed]
- Braun, V.; Clarke, V. Using thematic analysis in psychology. Qual. Res. Psychol. 2006, 3, 77–101. [Google Scholar] [CrossRef]
- Brown, V.; Clarke, V. One size fits all? What counts as quality practice in (reflexive) thematic analysis? Qual. Res. Psychol. 2021, 3, 328–352. [Google Scholar] [CrossRef]
- Greenway, C.W.; Eaton-Thomas, K. Parent experiences of home-schooling children with special educational needs or disabilities during the coronavirus pandemic. Brit. J. Spec. Edu. Needs 2020, 47, 510–535. [Google Scholar] [CrossRef]
- Claussen, A.H.; Holbrook, J.R.; Hutchins, H.J.; Robinson, L.R.; Bloomfield, J.; Meng, L.; Bitsko, R.H.; O’masta, B.; Cerles, A.; Maher, B.; et al. All in the Family? A Systematic Review and Meta-analysis of Parenting and Family Environment as Risk Factors for Attention-Deficit/Hyperactivity Disorder (ADHD) in Children. Prev. Sci. 2022, 1–23. [Google Scholar] [CrossRef]
- Bremer, E.; Crozier, M.; Lloyd, M. A systematic review of the behavioural outcomes following exercise interventions for children and youth with autism spectrum disorder. Autism 2016, 20, 899–915. [Google Scholar] [CrossRef]
- Suarez-Manzano, S.; Ruiz-Ariza, A.; De La Torre-Cruz, M.; Martinez-Lopez, E.J. Acute and chronic effect of physical activity on cognition and behaviour in young people with ADHD: A systematic review of intervention studies. Res. Dev. Disabil. 2018, 77, 12–23. [Google Scholar] [CrossRef]
- McQuade, J.D.; Hoza, B. Peer problems in Attention Deficit Hyperactivity Disorder: Current status and future directions. Dev. Disabil. Res. Rev. 2008, 14, 320–324. [Google Scholar] [CrossRef]
- Vaillancourt, T.; Brittain, H.; Krygsman, A.; Farrell, A.H.; Landon, S.; Pepler, D. School bullying before and during COVID-19: Results from a population-based randomized design. Aggress. Behav. 2021, 47, 557–569. [Google Scholar] [CrossRef] [PubMed]
- Nutley, S.B.; Burén, J.; Thorell, L.B. COVID-19 Restrictions Resulted in Both Positive and Negative Effects on Digital Media Use, Mental Health, and Lifestyle Habits. Int. J. Environ. Res. Public Health 2023, 20, 6583. [Google Scholar] [CrossRef] [PubMed]
- Cermak, S.A.; Curtin, C.; Bandini, L.G. Food selectivity and sensory sensitivity in children with autism spectrum disorders. J. Am. Diet. Assoc. 2010, 110, 238–246. [Google Scholar] [CrossRef]
- Williams, E.I.; Gleeson, K.; Jones, B.E. How pupils on the autism spectrum make sense of themselves in the context of their experiences in a mainstream school setting: A qualitative metasynthesis. Autism 2019, 23, 8–28. [Google Scholar] [CrossRef]
- Canning, N.; Robinson, B. Blurring boundaries: The invasion of home as a safe space for families and children with SEND during COVID-19 lockdown in England. Eur. J. Spec. Needs Educ. 2021, 6, 65–79. [Google Scholar] [CrossRef]
- Singh, J.; Steele, K.; Singh, L. Combining the Best of Online and Face-to-Face Learning: Hybrid and Blended Learning Approach for COVID-19, Post Vaccine, & Post-Pandemic World. J. Educ. Technol. Syst. 2021, 50, 140–171. [Google Scholar] [CrossRef]
- Dvorsky, M.R.; Langberg, J.M.; Evans, S.W.; Becker, S.P. The Protective Effects of Social Factors on the Academic Functioning of Adolescents With ADHD. J. Clin. Child. Adolesc. Psychol. 2018, 47, 713–726. [Google Scholar] [CrossRef]
- Mueller, A.K.; Fuermaier, A.B.; Koerts, J.; Tucha, L. Stigma in attention deficit hyperactivity disorder. Atten. Defic. Hyperact. Disord. 2012, 4, 101–114. [Google Scholar] [CrossRef]
- Sjöwall, D.; Roth, L.; Lindqvist, S.; Thorell, L.B. Multiple deficits in ADHD: Executive dysfunction, delay aversion, reaction time variability, and emotional deficits. J. Child. Psychol. Psychiatry 2013, 54, 619–627. [Google Scholar] [CrossRef]

| Comparison Group (A) n = 341 | ADHD Group (B) n = 174 | ASD Group (C) n = 57 | ADHD + ASD Group (D) n = 110 | F/chi2 (ηp/V) | Post Hoc | |
|---|---|---|---|---|---|---|
| Background variables | ||||||
| Child age, M (SD) | 16.81 (1.43) | 16.70 (1.50) | 16.84 (1.45) | 16.99 (1.27) | 1.02 ns (<0.01) | |
| Child sex, % boys | 60.0 | 60.4 | 54.8 | 61.7 | 5.58, ns (0.06) | |
| Ethnicity, (%) foreign background | 4.2 | 3.2 | 1.6 | 1.8 | 2.15, ns (0.05) | |
| Parent age, M (SD) | 49.15 (4.18) | 48.11 (5.62) | 48.56 (5.69) | 47.68 (6.32) | 3.28 * (0.01) | A > B, D |
| Parent sex, n (%) mothers | 85.4 | 91.7 | 87.1 | 91.3 | 17.06 * (0.10) | A < B, C, D |
| Parent education | 18.97 ** (0.11) | A > B, C, D | ||||
| Mandatory schooling only | 0.0 | 1.0 | 1.6 | 0.0 | ||
| Completed secondary school | 12.0 | 17.8 | 24.2 | 23.5 | ||
| University education | 88.0 | 81.2 | 74.2 | 76.5 | ||
| Distance learning (weeks) | 6.99 (1.90) | 6.98 (2.18) | 6.56 (2.28) | 7.33 (1.97) | 2.02, ns (<0.01) |
| Themes/Subthemes | Quotes |
|---|---|
| Teaching (33%) | |
| Structure/clarity | Unclear tasks, bad planning, and no structure (Mother of boy, 17 years; ADHD) |
| High demands | All teachers give the students large assignments to work with on their own—much higher workload for the students compared to usual (Mother of girl, 16 years; ADHD) |
| Quality | Bad communication between teachers so they all do things differently, which really leads to poor quality teaching (Father of girl, 18 years; no diagnosis) |
| Practical subjects | There is no practical work done at school now and I do not think he will acquire enough skills to get a job after high school (Mother of boy, 18 years; ADHD) |
| Variation | Fewer opportunities for discussions, fewer chances to share his thoughts with others. Instead, more passive listening and assignments that need to be done on his own after class (Mother of boy, 18 years; ADHD) |
| Exam/grades | It appears as if it is more difficult to get a higher grade than last semester just because the national exams where canceled (Mother of girl, 16 years; no diagnosis) Some teachers feel sorry for the students because of the bad quality teaching during the pandemic so they give them easier exams. I worry that my child will not have enough knowledge when entering high school next year (Mother of boy, 16 years; no diagnosis) |
| Child factors (31%) | |
| Responsibilities/skills | He does not take responsibility to dress himself before the online lectures start, he just sits in his bed half asleep (Mother of boy, 19 years; no diagnosis) |
| Motivation/energy | Great difficulties motivating herself to studying alone and boosting enough energy. Difficulties getting started (Mother of girl, 18 years; ADHD and ASD) |
| Inattention | Loses focus, gets easily distracted by other things (Mother of girl, 16 years; no diagnosis) |
| Depression/anxiety | The lack of social contact has made my child depressed, and he has lost interest in a lot of things (Mother of boy, 18 years; no diagnosis) |
| Digital media | I have discovered that he is doing other things [e.g., playing games and music] while listening to the teacher, which would not be possible in the classroom (Mother of boy, 17 years; no diagnosis) |
| Other child problems | My son does not feel good at all now when the school is closed (Father of boy, 16 years; ADHD) My child has very poor executive abilities. Being in school with good routines helps him with this—now he is just barely present at the online lectures but not more than that (Mother of boy, 16 years; ADHD & ASD) |
| Support (26%) | |
| Teachers to child | It is difficult to get support from the teacher in the same way as during a regular lecture. He has to wait until the teacher answers via e-mail, and then he has already lost his focus (Mother of boy, 16 years old; ADHD) During regular classes, the teacher can see who needs help. At home, my daughter needs to take the initiative herself to get help (Mother of girl, 18 years; no diagnosis) |
| Parents to child | Need for active support from parents several hours each day (Mother of girl, 16 years; ADHD) We are so lucky that I can work from home now during the pandemic, because he would never have managed to do his schoolwork from home without my help (Mother of boy, 16 years; ADHD and ASD) |
| School to parents | It is difficult for me as a parent to support my child, because I do not know what is expected of him. I do not get this type of information from my child (Mother of boy, 16 years; ADHD) |
| Extra support/SEN | Extra support has been canceled or has been very limited (Mother of girl, 16 years; ADHD) |
| Social (18%) | |
| General | Our child thinks the social situation with the schools being closed is a disaster—she really hates being social isolated (Mother of girl, 17 years; no diagnosis) |
| Peers | My daughter feels isolated and misses her friends (Father of girl, 17 years; no diagnosis) |
| Family | We as parents are worried about the situation and we therefore argue more with our child, which leads to more family conflicts (Mother of boy, 17 years; no diagnosis) |
| Home environment (10%) | |
| Food | It takes a lot of time to fix food. He does not even heat food in the microwave oven by himself (Mother of boy, 17 years; ADHD and ASD) |
| Exercise/fresh air | No transportation to school and no movement between classes is now needed so he gets very little exercise these days (Mother of boy, 17 years; no diagnosis) He does not get any exercise at all now during school closures [he does not even set foot outside the house for days] so no wonder he cannot pay attention during online teaching (Mother of boy, 17 years; ADHD) |
| Space | She has to sit in the kitchen in our small apartment and gets distracted when I move around (Mother of girl, 18 years; ADHD) |
| Technical problems (9%) | |
| Internet connection | There are problems with the internet connection for some of his classmates—makes it difficult when they are instructed to work together with an assignment (Mother of boy, 16 years; no diagnosis) |
| Teaching platform | Many new digital tools to learn how to handle. Quick adjustments necessary, which means that the different parts have not been coordinated (Mother of boy, 17 years; ADHD) |
| Themes/Subthemes | Quotes |
|---|---|
| Child factors (38%) | |
| Inattention | Total stimuli reduction at home and all energy can be put into the schoolwork. The entire school day therefore works so much better now when he can focus (Mother of boy, 17 years; ADHD and ASD) |
| Mental health | Much less stress. She is happier and more social (Mother of girl, 16 years; no diagnosis) |
| Higher attendance | It is possible to attend despite having a bit of a cold (Mother of boy, 16 years; no diagnosis) He has participated in online teaching, he is asking questions and completing assignments. Things that he has not been doing for several years (Mother of boy, 17 years; ADHD and ASD) |
| Responsibilities/skills | She is learning to be more independent and organizing her schoolwork, increased digital knowledge, adapting to new situations—these are all really important skills for having a successful career later in in life (Mother of girl, 16 years; no diagnosis) |
| Home environment (37%) | |
| Transportation | She does not have to spend lots of time on commuting to and from school every day—time that can now be spent on other things that make her happy and less stressed (Mother of girl, 16 years; ADHD and ASD) |
| Sleep | Does not have to get up as early—everything is working much better [schoolwork, fewer mood swings] now when he finally gets enough sleep every night (Mother of son, 18 years; ASD) |
| General | My child likes it better at home where it is calm and he has all his things around him—he likes that he can use his big computer screen and sit in his comfortable chair while doing his schoolwork (Mother of boy, 17 years; ASD) |
| Food | Will not eat the food that is served at school, so it is much better now when I am working from home and can make sure that he gets a good lunch (Mother of boy, 16 years; ADHD and ASD) |
| Exercise/fresh air | My child and I exercise together now when we are both at home—we go running or take walks. One afternoon we played tennis (Mother of girl, 16 years; no diagnosis) |
| Teaching (15%) | |
| Flexibility/independent needs | They can work more in their own pace (Mother of son, 16 years; no diagnosis) It is good that my son can better adapt his schoolwork depending on how tired he is that day (Father of son, 18 years; ADHD) |
| Structure/efficiency | Shorter school days [no recess, no extra time to move between classes] and clearer demands from teachers make the school day more efficient (Mother of girl, 16 years, no diagnosis) |
| New methods | The school has introduced some good new teaching methods that my child really likes. For example, private chats with the teachers have increased opportunities for good communication compared to the regular classroom. The school has discussed the idea that they should keep offering this even after the pandemic. Good for my son as he has difficulties asking questions when other students might hear him (Mother of boy, 16 years; ASD) |
| Quality | Homeschooling is fairer for the students. In the classroom, the teachers have some students they like more. Now there is more focus on the actual assignments and less time for unequal treatment of students (Mother of boy, 17 years; no diagnosis) |
| Alternative for student with absenteeism | Only good things with this! My son answers his teacher when she calls, he asks me if he needs help, but most time he can now managed on his own after being absent from school for almost two years (Mother of boy, 18 years; ADHD) |
| Social (14%) | |
| Avoid peers | The environment here at home is simpler as it does not focus on social interaction in groups, body language, clothes and how people look (Mother of boy, 17 years; ADHD and ASD) |
| Family | Normally, we get maybe 10 min of his time during school days. During distance learning, he has his meals with us several times a day and participates in discussions and watches movies with us—normally he does not have the energy to do this (Mother of boy, 18 years; ASD) |
| Isolation/virus safety | When you have a family member in a risk group for COVID-19 and the whole family needs to be in quarantine, you do not want your child to go to school. Distance learning has therefore been very good for us (Mother of girl, 16 years; no diagnosis) |
| Digital interaction | The whole class has digital meetings with the camera on [if they like] so that they can see each other and this creates a good sense of belonging (Mother of girl, 17 years; ADHD and ASD) |
| Support (7%) | |
| Parental engagement | As a parent, it is fun to get insights into how her teaching is conducted. This is something that we parents do not know much about, especially not now during high school (Mother of girl, 17 years; no diagnosis) |
| Parents | I know so well what difficulties he has, and I can therefore help him and adapt some of the assignments—otherwise he will just give up and won’t do any work at all (Mother of son, 17 years; ADHD) |
| Teachers | The teachers have adapted the teaching, and they are available in the chat function whenever someone needs assistance (Mother of boy, 17 years; ADHD and ASD) |
Disclaimer/Publisher’s Note: The statements, opinions and data contained in all publications are solely those of the individual author(s) and contributor(s) and not of MDPI and/or the editor(s). MDPI and/or the editor(s) disclaim responsibility for any injury to people or property resulting from any ideas, methods, instructions or products referred to in the content. |
© 2024 by the authors. Licensee MDPI, Basel, Switzerland. This article is an open access article distributed under the terms and conditions of the Creative Commons Attribution (CC BY) license (https://creativecommons.org/licenses/by/4.0/).
Share and Cite
Thorell, L.B.; Klint Carlander, A.-K.; Demetry, Y.; Marainen, L.; Nilsson, S.; Skoglund, C. Parental Experiences of Distance Learning in Families with and without an Adolescent with ADHD/ASD: A Large Qualitative Survey Study. Int. J. Environ. Res. Public Health 2024, 21, 388. https://doi.org/10.3390/ijerph21040388
Thorell LB, Klint Carlander A-K, Demetry Y, Marainen L, Nilsson S, Skoglund C. Parental Experiences of Distance Learning in Families with and without an Adolescent with ADHD/ASD: A Large Qualitative Survey Study. International Journal of Environmental Research and Public Health. 2024; 21(4):388. https://doi.org/10.3390/ijerph21040388
Chicago/Turabian StyleThorell, Lisa B., Anna-Karin Klint Carlander, Youstina Demetry, Lisa Marainen, Sarah Nilsson, and Charlotte Skoglund. 2024. "Parental Experiences of Distance Learning in Families with and without an Adolescent with ADHD/ASD: A Large Qualitative Survey Study" International Journal of Environmental Research and Public Health 21, no. 4: 388. https://doi.org/10.3390/ijerph21040388
APA StyleThorell, L. B., Klint Carlander, A.-K., Demetry, Y., Marainen, L., Nilsson, S., & Skoglund, C. (2024). Parental Experiences of Distance Learning in Families with and without an Adolescent with ADHD/ASD: A Large Qualitative Survey Study. International Journal of Environmental Research and Public Health, 21(4), 388. https://doi.org/10.3390/ijerph21040388

