Oral Health-Related Knowledge, Attitudes and Behaviours of Arab Dental Students: Multi-National Cross-Sectional Study and Literature Analysis 2000–2020
Abstract
:1. Introduction
2. Materials and Methods
2.1. Design
2.2. Setting
2.3. Participants
2.4. Instrument
2.5. Ethics
2.6. Analyses
3. Results
3.1. Sample Characteristics
3.2. HU-DBI Responses
3.3. HU-DBI Scores
3.4. Determinants of Knowledge, Attitudes and Behaviours
3.5. Determinants of Regular Dental Attendance
3.6. HU-DBI Scores in the Arab Region 2000–2020
4. Discussion
4.1. Strengths
4.2. Limitations
4.3. Implications
5. Conclusions
Supplementary Materials
Author Contributions
Funding
Institutional Review Board Statement
Informed Consent Statement
Data Availability Statement
Acknowledgments
Conflicts of Interest
Appendix A
| No. | Question | Agree | Disagree |
|---|---|---|---|
| 1 | I do not worry much about visiting the dentist. | □ | □ |
| 2 | My gum tends to bleed when I brush my teeth. | □ | □ |
| 3 | I worry about the color of my teeth. | □ | □ |
| 4 | I have noticed some white sticky deposits on my teeth. | □ | □ |
| 5 | I use a child sized toothbrush. | □ | □ |
| 6 | I think that I cannot help having false teeth when I am old. | □ | □ |
| 7 | I am bothered by the color of my gum. | □ | □ |
| 8 | I think my teeth are getting worse despite my daily brushing. | □ | □ |
| 9 | I brush each of my teeth carefully. | □ | □ |
| 10 | I have never been taught professionally how to brush. | □ | □ |
| 11 | I think I can clean my teeth well without using toothpaste. | □ | □ |
| 12 | I often check my teeth in a mirror after brushing. | □ | □ |
| 13 | I worry about having bad breath. | □ | □ |
| 14 | It is impossible to prevent gum disease with tooth brushing alone. | □ | □ |
| 15 | I put off going to dentist until I have a toothache. | □ | □ |
| 16 | I have used a dye to see how clean my teeth are. | □ | □ |
| 17 | I use a toothbrush which has hard bristles. | □ | □ |
| 18 | I do not feel I have brushed well unless I brush with hard strokes. | □ | □ |
| 19 | I feel I sometimes take too much time to brush my teeth. | □ | □ |
| 20 | I have had my dentist tell me that I brush very well. | □ | □ |
| 21 | I find myself using my smartphone/compute longer than I planned. | □ | □ |
| 22 | I consume tobacco at least once a week. | □ | □ |
| 23 | I drink alcohol at least once a week. | □ | □ |
| 24 | I go to the dentist/hygienist for regular check-up at least once a year. | □ | □ |
References
- Boutayeb, A. The double burden of communicable and non-communicable diseases in developing countries. Trans. R. Soc. Trop Med. Hyg. 2006, 100, 191–199. [Google Scholar] [CrossRef] [PubMed]
- Riad, A.; Boccuzzi, M.; Pold, A.; Krsek, M. The Alarming Burden of Non-Communicable Diseases in COVID-19 New Normal: Implications on Oral Health. Oral Dis. 2020, 27 (Suppl. S3), 791–792. [Google Scholar] [CrossRef] [PubMed]
- Stanaway, J.D.; Afshin, A.; Gakidou, E.; Lim, S.S.; Abate, D.; Abate, K.H.; Abbafati, C.; Abbasi, N.; Abbastabar, H.; Abd-Allah, F.; et al. Global, regional, and national comparative risk assessment of 84 behavioural, environmental and occupational, and metabolic risks or clusters of risks for 195 countries and territories, 1990-2017: A systematic analysis for the Global Burden of Disease Stu. Lancet 2018, 392, 1923–1994. [Google Scholar] [CrossRef] [Green Version]
- Peres, M.A.; Macpherson, L.M.D.; Weyant, R.J.; Daly, B.; Venturelli, R.; Mathur, M.R.; Listl, S.; Celeste, R.K.; Guarnizo-Herreño, C.C.; Kearns, C.; et al. Oral diseases: A global public health challenge. Lancet 2019, 394, 249–260. [Google Scholar] [CrossRef]
- Wijtzes, A.I.; van de Gaar, V.M.; van Grieken, A.; de Kroon, M.L.A.; Mackenbach, J.P.; van Lenthe, F.J.; Jansen, W.; Raat, H. Effectiveness of interventions to improve lifestyle behaviors among socially disadvantaged children in Europe. Eur. J. Public Health 2017, 27, 240–247. [Google Scholar] [CrossRef] [Green Version]
- Kim, H.C.; Oh, S.M. Noncommunicable diseases: Current status of major modifiable risk factors in Korea. J. Prev. Med. Public Heal. 2013, 46, 165–172. [Google Scholar] [CrossRef]
- Mishra, S.R.; Neupane, D.; Shakya, A.; Adhikari, S.; Kallestrup, P. Modifiable Risk Factors for Major Non-communicable Diseases Among Medical Students in Nepal. J. Community Health 2015, 40, 863–868. [Google Scholar] [CrossRef]
- Sheiham, A.; Watt, R.G. The Common Risk Factor Approach: A Rational Basis for Promoting Oral Health. Community Dent. Oral Epidemiol. 2000, 28, 399–406. [Google Scholar] [CrossRef]
- Sälzer, S.; Alkilzy, M.; Slot, D.E.; Dörfer, C.E.; Schmoeckel, J.; Splieth, C.H. Socio-behavioural aspects in the prevention and control of dental caries and periodontal diseases at an individual and population level. J. Clin. Periodontol. 2017, 44 (Suppl. 18), S106–S115. [Google Scholar] [CrossRef] [Green Version]
- Lee, Y. Diagnosis and Prevention Strategies for Dental Caries. J. Lifestyle Med. 2013, 3, 107. [Google Scholar]
- Oberg, E.B.; Frank, E. Physicians’ health practices strongly influence patient health practices. J. R. Coll. Physicians Edinb. 2009, 39, 290–291. [Google Scholar] [CrossRef]
- Frank, E. Physician Health and Patient Care. J. Am. Med. Assoc. 2004, 291, 637. [Google Scholar] [CrossRef]
- Royal College of Physicians and Surgeons of Canada. CanMEDS 2005 Physician Competency Framework; Jason, R.F., Ed.; The Royal College of Physicians and Surgeons of Canada: Ottawa, ONT, Canada, 2005. [Google Scholar]
- Gallagher, E.B.; Moody, P.M. Dentists and the oral health behavior of patients: A sociological perspective. J. Behav. Med. 1981, 4, 283–295. [Google Scholar] [CrossRef]
- Khami, M.R.; Virtanen, J.I.; Jafarian, M.; Murtomaa, H. Prevention-oriented practice of Iranian senior dental students. Eur. J. Dent. Educ. 2007, 11, 48–53. [Google Scholar] [CrossRef]
- Lujo, M.; Meštrović, M.; Malcić, A.I.; Karlović, Z.; Matijević, J.; Jukić, S. Knowledge, attitudes and habits regarding oral health in first- and final-year dental students. Acta Clin. Croat. 2016, 55, 636–643. [Google Scholar] [CrossRef] [Green Version]
- Sato, M.; Clinical Instructor, D.; Camino, J.; Assistant Professor, D.; Rodriguez, L.; Tong, L.; Biostatistical Consultant, M.; Ahn, C.; Bird, W.F.; Health Sciences Professor Emeritus, D.; et al. Effect of Dental Education on Peruvian Dental Students’ Oral Health-Related Attitudes and Behavior. J. Dent. Educ. 2013, 77, 1179. [Google Scholar] [CrossRef]
- Yildiz, S.; Dogan, B. Self reported dental health attitudes and behaviour of dental students in Turkey. Eur. J. Dent. 2011, 5, 253–259. [Google Scholar] [CrossRef] [Green Version]
- Halboub, E.; Al-Maweri, S.; Al-Jamaei, A.; Al-Wesabi, M.; Shamala, A.; Al-Kamel, A.; Alsharani, A.; Eissa, N. Self-Reported Oral Health Attitudes and Behavior of Dental and Medical Students, Yemen. Glob. J. Health Sci. 2016, 8, 143. [Google Scholar] [CrossRef] [Green Version]
- Dagli, R.J.; Tadakamadla, S.; Dhanni, C.; Duraiswamy, P.; Kulkarni, S. Self reported dental health attitude and behavior of dental students in India. J. Oral Sci. 2008, 50, 267–272. [Google Scholar] [CrossRef] [Green Version]
- Hiller, J.; Schatz, K.; Drexler, H. Gender influence on health and risk behavior in primary prevention: A systematic review. J. Public Health 2017, 25, 339–349. [Google Scholar] [CrossRef]
- Kawamura, M.; Honkala, E.; Widström, E.; Komabayashi, T. Cross-cultural differences of self-reported oral health behaviour in Japanese and Finnish dental students. Int. Dent. J. 2000, 50, 46–50. [Google Scholar] [CrossRef] [PubMed]
- Mamai-Homata, E.; Mamai-Homata, E.; Koletsi-Kounari, H.; Koletsi-Kounari, H.; Margaritis, V.; Margaritis, V.; Mamai-Homata, E.; Mamai-Homata, E.; Koletsi-Kounari, H.; Koletsi-Kounari, H.; et al. Gender differences in oral health status and behavior of Greek dental students: A meta-analysis of 1981, 2000, and 2010 data. J. Int. Soc. Prev. Community Dent. 2016, 6, 60. [Google Scholar] [CrossRef] [PubMed] [Green Version]
- Aflalo, E.; Dichtiar, R.; Zusman, S.P.; Bilenko, N.; Keinan-Boker, L. The association between health attitudes and behaviors and oral-health-related practices. Quintessence Int. 2018, 49, 153–162. [Google Scholar] [CrossRef] [PubMed]
- Hakeberg, M.; Wide Boman, U. Self-reported oral and general health in relation to socioeconomic position. BMC Public Health 2017, 18, 1–8. [Google Scholar] [CrossRef] [Green Version]
- Carlsson, V.; Hakeberg, M.; Wide Boman, U. Associations between dental anxiety, sense of coherence, oral health-related quality of life and health behavior—A national Swedish cross-sectional survey. BMC Oral Health 2015, 15, 100. [Google Scholar] [CrossRef] [Green Version]
- Ericsson, J.S.; Wennström, J.L.; Lindgren, B.; Petzold, M.; Östberg, A.L.; Abrahamsson, K.H. Health investment behaviours and oral/gingival health condition, a cross-sectional study among Swedish 19-year olds. Acta Odontol. Scand. 2016, 74, 265–271. [Google Scholar] [CrossRef]
- Abu-Gharbieh, E.; Saddik, B.; El-Faramawi, M.; Hamidi, S.; Basheti, M. Oral health knowledge and behavior among adults in the United Arab Emirates. Biomed Res. Int. 2019, 2019, 7568679. [Google Scholar] [CrossRef]
- Virtanen, J.I.; Muikku, T.; Similä, T.; Cinar, A.B.; Pohjola, V. Physical activity, BMI and oral health behaviour among adolescents: Finnish School Health Promotion Study. Eur. J. Public Health 2019, 29, 296–302. [Google Scholar] [CrossRef]
- Peltzer, K.; Pengpid, S. Dental health status and oral health behavior among university students from five ASEAN countries. Nagoya J. Med. Sci. 2017, 79, 123–133. [Google Scholar] [CrossRef]
- Do, K.Y.; Lee, K.S. Relationship between Problematic Internet Use, Sleep Problems, and Oral Health in Korean Adolescents: A National Survey. Int. J. Environ. Res. Public Health 2018, 15, 1870. [Google Scholar] [CrossRef] [Green Version]
- Blair, I.; Grivna, M.; Sharif, A.A. The “Arab World” is not a useful concept when addressing challenges to public health, public health education, and research in the Middle East. Front. Public Health 2014, 2, 30. [Google Scholar] [CrossRef] [Green Version]
- جامعة الدول العربية. Available online: http://www.leagueofarabstates.net/ar/ (accessed on 2 January 2022).
- Nurelhuda, N.; Lee, H.; Bridge, G. Oral health in the Arab world: The silent epidemic of dental caries. In Handbook of Healthcare in the Arab World; Laher, I., Ed.; Springer: Cham, Switzerland, 2021. [Google Scholar] [CrossRef]
- World Bank Data Help Desk. World Bank Country and Lending Groups. Available online: https://datahelpdesk.worldbank.org/knowledgebase/articles/906519-world-bank-country-and-lending-groups (accessed on 14 March 2021).
- Barker, K.; Kapoor, T. Macroeconomics and Health: Investing in Health for Economic Development. Nat. Med. 2002, 8, 551–552. [Google Scholar] [CrossRef] [Green Version]
- Mays, G.P.; McHugh, M.C.; Shim, K.; Perry, N.; Lenaway, D.; Halverson, P.K.; Moonesinghe, R. Institutional and economic determinants of public health system performance. Am. J. Public Health 2006, 96, 523–531. [Google Scholar] [CrossRef]
- Kronfol, N.M. Delivery of health services in Arab countries: A review. East. Mediterr. Health J. 2012, 18, 1229–1238. [Google Scholar] [CrossRef]
- Morgano, S.M.; Doumit, M.; Al-Shammari, K.F.; Al-Suwayed, A.; Al-Suwaidi, A.; Debaybo, D.; Al-Mubarak, S. Burden of oral disease in the Middle East: Opportunities for dental public health. Int. Dent. J. 2010, 60, 197–199. [Google Scholar] [CrossRef]
- Kawamura, M. Dental behavioral science. The relationship between perceptions of oral health and oral status in adults. Hiroshima Daigaku Shigaku Zasshi. 1988, 20, 273–286. [Google Scholar]
- Kawamura, M.; Sasahara, H.; Kawabata, K.; Iwamoto, Y.; Konishi, K.; Wright, F.A.C. Relationship between CPITN and oral health behaviour in Japanese adults. Aust. Dent. J. 1993, 38, 381–388. [Google Scholar] [CrossRef]
- Levin, L.; Shenkman, A. The relationship between dental caries status and oral health attitudes and behavior in young Israeli adults. J. Dent. Educ. 2004, 68, 1185–1191. [Google Scholar] [CrossRef]
- Komabayashi, T.; Kawamura, M.; Kim, K.J.; Wright, F.A.C.; Declerck, D.; Freire, M.D.C.M.; Hu, D.Y.; Honkala, E.; Lévy, G.; Kalwitzki, M.; et al. The hierarchical cluster analysis of oral health attitudes and behaviour using the Hiroshima University—Dental Behavioural Inventory (HU-DBI) among final year dental students in 17 countries. Int. Dent. J. 2006, 56, 310–316. [Google Scholar] [CrossRef]
- Kawamura, M.; Wright, F.A.C.; Declerck, D.; Freire, M.C.M.; Hu, D.Y.; Honkala, E.; Lévy, G.; Kalwitzki, M.; Polychronopoulou, A.; Yip, H.K.; et al. An exploratory study on cultural variations in oral health attitudes, behaviour and values of freshman (first-year) dental students. Int. Dent. J. 2005, 55, 205–211. [Google Scholar] [CrossRef]
- Badovinac, A.; Božić, D.; Vučinac, I.; Vešligaj, J.; Vražić, D.; Plancak, D. Oral health attitudes and behavior of dental students at the University of Zagreb, Croatia. J. Dent. Educ. 2013, 77, 1171–1178. [Google Scholar] [CrossRef]
- Pacauskiene, I.M.; Smailiene, D.; Siudikienė, J.; Savanevskyte, J.; Nedzelskiene, I. Self-reported oral health behavior and attitudes of dental and technology students in Lithuania. Stomatologija 2014, 16, 65–71. [Google Scholar]
- Von Elm, E.; Altman, D.G.; Egger, M.; Pocock, S.J.; Gøtzsche, P.C.; Vandenbroucke, J.P. The Strengthening the Reporting of Observational Studies in Epidemiology (STROBE) Statement: Guidelines for reporting observational studies. UroToday Int. J. 2007, 335, 806–808. [Google Scholar] [CrossRef] [Green Version]
- Centers for Disease Control and Prevention (CDC). Population Survey or Descriptive Study. Available online: https://www.cdc.gov/epiinfo/user-guide/statcalc/samplesize.html (accessed on 1 December 2021).
- Faculté de Médecine Dentaire de Monastir (FMDM). En Chiffres. Available online: http://www.fmdm.rnu.tn/fra/pages/320/En-chiffres (accessed on 1 December 2021).
- Beirut Arab University (BAU). Annual Report 2018/2019. Available online: https://www.bau.edu.lb/BAUUpload/Library/Files/Uploaded%20Files/Dentistry/Annual%20Report/Faculty%20of%20Dentistry-Annual-report-2018-2019.pdf (accessed on 1 December 2021).
- Beirut Arab University (BAU). Dentistry Program. Available online: https://www.bau.edu.lb/Program/Dentistry/Bachelor/Dentistry (accessed on 8 September 2021).
- Faculty of Dentistry—SPU Study Plan. Available online: https://www.spu.edu.sy/dent/index.php?page=show&ex=2&dir=items&lang=1&ser=31&cat_id=180&act=180& (accessed on 8 September 2021).
- Faculté de Médecine Dentaire de Monastir (FMDM). Régime des Etudes. Available online: http://www.fmdm.rnu.tn/fra/pages/321/Régime-des-études (accessed on 8 September 2021).
- Harvard Humanitarian Initiative. Welcome to KoBoToolbox. Available online: https://support.kobotoolbox.org/welcome.html (accessed on 3 January 2022).
- Daou, D.; Rifai, K.; Doughan, B.; Doumit, M. Development of an Arabic Version of the Hiroshima University-Dental Behavioral Inventory: Cross-cultural Adaptation, Reliability, and Validity. J. Epidemiol. Glob. Health 2018, 8, 48–53. [Google Scholar] [CrossRef]
- Bridenne, G. Evolution De L’enseignement De La Prevention Bucco-Dentaire. Available online: https://pepite-depot.univ-lille2.fr/nuxeo/site/esupversions/57009cbb-2fc4-4e89-a4f5-784a161b0d64 (accessed on 1 December 2021).
- Al-wesabi, A.A.; Abdelgawad, F.; Sasahara, H.; El Motayam, K. Oral health knowledge, attitude and behaviour of dental students in a private university. BDJ Open 2019, 5, 1–5. [Google Scholar] [CrossRef] [Green Version]
- World Medical Association. World Medical Association declaration of Helsinki: Ethical principles for medical research involving human subjects. JAMA 2013, 310, 2191–2194. [Google Scholar] [CrossRef] [Green Version]
- Proton Technologies AG. General Data Protection Regulation (GDPR) Compliance Guidelines. Available online: https://gdpr.eu/ (accessed on 1 May 2020).
- SPSS Inc. IBM SPSS Statistics 28. Available online: https://www.ibm.com/support/pages/ibm-spss-statistics-28-documentation (accessed on 14 March 2021).
- Akoglu, H. User’s guide to correlation coefficients. Turk. J. Emerg. Med. 2018, 18, 91–93. [Google Scholar] [CrossRef]
- Abu Alregal, E.N.; Abdelgawad, F.; Sasahara, H.; Motayam, K. El The level of education and oral health attitudes of the dental students in a governmental university—A cross-sectional study. Int. Dent. Med. J. Adv. Res. 2018, 4, 1–7. [Google Scholar] [CrossRef]
- Al-Wahadni, A.M.; Al-Omiri, M.K.; Kawamura, M. Differences in self-reported oral health behavior between dental students and dental technology/dental hygiene students in Jordan. J. Oral Sci. 2004, 46, 191–197. [Google Scholar] [CrossRef] [PubMed] [Green Version]
- Al-Omiri, M.K.; Barghout, N.H.; Shaweesh, A.I.; Malkawi, Z.; Al-Omiri, M. Level of Education and Gender-specific Self-reported Oral Health Behavior Among Dental Students. Oral Health Prev. Dent. 2012, 10, 29–35. [Google Scholar] [PubMed]
- Ali, D.A. Assessment of oral health attitudes and behavior among students of Kuwait University Health Sciences Center. J. Int. Soc. Prev. Community Dent. 2016, 6, 436. [Google Scholar] [CrossRef] [Green Version]
- Kateeb, E. Gender-specific oral health attitudes and behaviour among dental students in Palestine. East. Mediterr. Health J. 2010, 16, 329–333. [Google Scholar] [CrossRef]
- Baseer, M.A.; Rahman, G. Oral health attitudes and behavior among a group of female Saudi dental students. Saudi J. Oral Sci. 2014, 1, 25. [Google Scholar] [CrossRef]
- Kumar, G.; Sethi, A.; Tripathi, R.; Pratik; Barman, D. Assessment of knowledge, attitude, and practice of dental and medical interns toward toothbrush maintenance and replacement in Bhubaneswar city, Odisha, India. J. Pharm. Bioallied Sci. 2018, 10, 77–82. [Google Scholar] [CrossRef]
- Alam Moheet, I.; Farooq, I. Self-reported differences between oral health attitudes of preclinical and clinical students at a dental teaching institute in Saudi Arabia. Saudi Dent. J. 2013, 25, 149–152. [Google Scholar] [CrossRef] [Green Version]
- Khalid, K.A.; Naidoo, S.; Elamin, F.I. Oral Health Behaviours and Attitudes using the Modified Arabic Version of Hiroshima University-Dental Behavioural Inventory (HU-DBI) among Sudanese Dental Students. Int. J. Dent. Oral Sci. 2016, 3, 326–330. [Google Scholar] [CrossRef]
- Kawas, S.; Fakhruddin, K.S.; Rehman, B.U. A Comparative Study of Oral Health Attitudes and Behavior Between Dental and Medical Students; The Impact of Dental Education in United Arab Emirates. J. Int. Dent. Med. Res. 2010, 2, 6–10. [Google Scholar]
- Hashim, R.; Ibrahim, M. Oral Health Attitudes and Behavior Among Dental Students in Ajman, United Arab Emirates. J. Int. Dent. Med. Res. 2013, 6, 84–87. [Google Scholar]
- Rahman, B.; Kawas, S. Al The relationship between dental health behavior, oral hygiene and gingival status of dental students in the United Arab Emirates. Eur. J. Dent. 2013, 07, 022–027. [Google Scholar] [CrossRef]
- Kumar, S.; Busaly, I.A.; Tadakamadla, J.; Tobaigy, F. Attitudes of dental and pharmacy students to oral health behaviour at Jazan University, Kingdom of Saudi Arabia. Arch. Orofac. Sci. 2012, 7, 9–13. [Google Scholar]
- Baki, R. Gender-segregated Education in Saudi Arabia: Its Impact on Social Norms the Saudi Labor Market. Educ. Policy Anal. Arch. 2004, 12, 28. [Google Scholar] [CrossRef] [Green Version]
- Cavaillon, J.P.; Conge, M.; Mirisch, D.; Nemeth, T.; Sitbon, J.M. Longitudinal study on oral health of dental students at Paris VII University. Community Dent. Oral Epidemiol. 1982, 10, 137–143. [Google Scholar] [CrossRef] [PubMed]
- Greene, J.C.; Vermillion, J.R. The simplified oral hygiene index. J. Am. Dent. Assoc. 1964, 68, 7–13. [Google Scholar] [CrossRef] [PubMed]
- Löe, H.; Silness, J. Periodontal disease in pregnancy. I. Prevalence and severity. Acta Odontol. Scand. 1963, 21, 533–551. [Google Scholar] [CrossRef]
- Peretz, B.; Mann, J. Dental anxiety among Israeli dental students: A 4-year longitudinal study. Eur. J. Dent. Educ. 2000, 4, 133–137. [Google Scholar] [CrossRef]
- Peker, K.; Uysal, O.; Bermek, G.; Uysal, Ö.; Bermek, G. Dental training and changes in oral health attitudes and behaviors in Istanbul dental students. J. Dent. Educ. 2010, 74, 1017–1023. [Google Scholar] [CrossRef]
- Polychronopoulou, A.; Kawamura, M.; Athanasouli, T. Oral self-care behavior among dental school students in Greece. J. Oral Sci. 2002, 44, 73–78. [Google Scholar] [CrossRef] [Green Version]
- Okoh, M.; Enabulele, J. Influence of clinical experience on oral health attitude and behaviour of dental students attending a Nigerian university. Odonto-Stomatol. Trop 2014, 37, 25–31. [Google Scholar]
- Kim, K.J.; Komabayashi, T.; Moon, S.E.; Goo, K.M.; Okada, M.; Kawamura, M. Oral health attitudes/behavior and gingival self-care level of Korean dental hygiene students. J. Oral Sci. 2001, 43, 49–53. [Google Scholar] [CrossRef]
- Yusuf, A.U.; Qurat-Ul-Ain; Iqbal, S.S.; Hussian, M.; Butt, F.; Adnan, S.T.A. Assessment of Oral Health Behaviour & Self Practice among Hazrat Bari Sarkar Medical & Dental Students using the Hiroshima University—Dental Behavioural Inventory (HU—DBI). Ann. Abbasi Shaheed Hosp. Karachi Med. Dent. Coll. 2021, 26, 57–64. [Google Scholar]
- Mekhemar, M.; Conrad, J.; Attia, S.; Dörfer, C. Oral Health Attitudes among Preclinical and Clinical Dental Students in Germany. Int. J. Environ. Res. Public Health 2020, 17, 4253. [Google Scholar] [CrossRef]
- Vangipuram, S.; Rekha, R.; Radha, G.; Pallavi, S. Assessment of oral health attitudes and behavior among undergraduate dental students using Hiroshima University Dental Behavioral Inventory HU-DBI. J. Indian Assoc. Public Health Dent. 2015, 13, 52. [Google Scholar] [CrossRef]
- Shah, A.F.; Naik, C.; Dany, S.S.; Satpathy, A.K.; Rajput, P.; Jan, S.M. Oral Hygiene Attitude and Behavior of Dental Students in a Government College, India. Int. J. Prev. Clin. Dent. Res. 2017, 4, 262–264. [Google Scholar] [CrossRef]
- Peker, I.; Alkurt, M.T. Oral Health Attitudes and Behavior among a Group of Turkish Dental Students. Eur. J. Dent. 2009, 03, 24–31. [Google Scholar] [CrossRef] [Green Version]
- Honkala, S.; Honkala, E.; Newton, T.; Rimpelä, A. Toothbrushing and smoking among adolescents—Aggregation of health damaging behaviours. J. Clin. Periodontol. 2011, 38, 442–448. [Google Scholar] [CrossRef]
- Rajala, M.; Honkala, E.; Rimpela, M.; Lammi, S. Toothbrushing in relation to other health habits in Finland. Community Dent. Oral Epidemiol. 1980, 8, 391–395. [Google Scholar] [CrossRef]
- Harada, S.; Akhter, R.; Kurita, K.; Mori, M.; Hoshikoshi, M.; Tamashiro, H.; Morita, M. Relationships between lifestyle and dental health behaviors in a rural population in Japan. Community Dent. Oral Epidemiol. 2005, 33, 17–24. [Google Scholar] [CrossRef] [Green Version]
- Yazdani, R.; Vehkalahti, M.M.; Nouri, M.; Murtomaa, H. Smoking, tooth brushing and oral cleanliness among 15-year-olds in Tehran, Iran. Oral Health Prev. Dent. 2008, 6, 45–51. [Google Scholar]
- Setia, S.; Pannu, P.; Gambhir, R.; Galhotra, V.; Ahluwalia, P.; Sofat, A. Correlation of oral hygiene practices, smoking and oral health conditions with self perceived halitosis amongst undergraduate dental students. J. Nat. Sci. Biol. Med. 2014, 5, 67. [Google Scholar] [CrossRef] [Green Version]
- Haresaku, S.; Hanioka, T. Impact of a tobacco curriculum on smoking behaviour and attitudes toward smoking in dental students in Japan: A three-year follow-up study. Int. Dent. J. 2010, 60, 99–105. [Google Scholar] [CrossRef]
- Vanobbergen, J.; Nuytens, P.; van Herk, M.; De Visschere, L. Dental students’ attitude towards anti-smoking programmes: A study in Flanders, Belgium. Eur. J. Dent. Educ. 2007, 11, 177–183. [Google Scholar] [CrossRef] [PubMed]
- Riad, A.; Abdulqader, H.; Morgado, M.; Domnori, S.; Koščík, M.; Mendes, J.J.; Klugar, M.; Kateeb, E. Global Prevalence and Drivers of Dental Students’ COVID-19 Vaccine Hesitancy. Vaccines 2021, 9, 566. [Google Scholar] [CrossRef] [PubMed]
- Alawia, R.; Riad, A.; Kateeb, E. Knowledge and attitudes among dental students about COVID-19 and its precautionary measures: A cross-sectional study. J. Oral Med. Oral Surg. 2021, 27, 17. [Google Scholar] [CrossRef]
- Alawia, R.; Riad, A.; Kateeb, E. Risk Perception and Readiness of Dental Students to Treat Patients Amid Covid-19: Implication for Dental Education; John Wiley & Sons: Hoboken, NJ, USA, 2020. [Google Scholar] [CrossRef]
- Kateeb, E.; Danadneh, M.; Pokorná, A.; Klugarová, J.; Abdulqader, H.; Klugar, M.; Riad, A. Predictors of Willingness to Receive COVID-19 Vaccine: Cross-Sectional Study of Palestinian Dental Students. Vaccines 2021, 9, 954. [Google Scholar] [CrossRef] [PubMed]
- Riad, A.; Huang, Y.; Abdulqader, H.; Morgado, M.; Domnori, S.; Koščík, M.; Mendes, J.J.; Klugar, M.; Kateeb, E.; IADS-SCORE. Universal Predictors of Dental Students’ Attitudes towards COVID-19 Vaccination: Machine Learning-Based Approach. Vaccines 2021, 9, 1158. [Google Scholar] [CrossRef]
- Petersen, P.E.; Danila, I.; Samoila, A. Oral health behavior, knowledge, and attitudes of children, mothers, and schoolteachers in Romania in 1993. Acta Odontol. Scand. 1995, 53, 363–368. [Google Scholar] [CrossRef]
- Aboujaoude, E. Problematic Internet use: An overview. World Psychiatry 2010, 9, 85. [Google Scholar] [CrossRef] [Green Version]
- Kuss, D.; Griffiths, M.; Karila, L.; Billieux, J. Internet addiction: A systematic review of epidemiological research for the last decade. Curr. Pharm. Des. 2014, 20, 4026–4052. [Google Scholar] [CrossRef] [Green Version]



| Variable | Group | Lebanon (n = 316) | Syria (n = 561) | Tunisia (n = 553) | Total (n = 1430) | p |
|---|---|---|---|---|---|---|
| Sex | Female | 210 (66.5%) | 239 (42.6%) | 420 (75.9%) | 869 (60.8%) | <0.001 |
| Male | 106 (33.5%) | 322 (57.4%) | 133 (24.1%) | 561 (39.2%) | <0.001 | |
| Academic Year | 1st Year | 71 (22.5%) | 107 (19.1%) | 103 (18.6%) | 281 (19.7%) | 0.354 |
| 2nd Year | 87 (27.5%) | 109 (19.4%) | 111 (20.1%) | 307 (21.5%) | 0.012 | |
| 3rd Year | 51 (16.1%) | 117 (20.9%) | 71 (12.8%) | 239 (16.7%) | 0.002 | |
| 4th Year | 37 (11.7%) | 130 (23.2%) | 94 (17%) | 261 (18.3%) | <0.001 | |
| 5th Year | 70 (22.2%) | 98 (17.5%) | 82 (14.8%) | 250 (17.5%) | 0.024 | |
| 6th Year | N/A | N/A | 92 (16.6%) | 92 (6.4%) | N/A | |
| Clinical Training | Preclinical | 209 (66.1%) | 333 (59.4%) | 285 (51.5%) | 827 (57.8%) | <0.001 |
| Clinical | 107 (33.9%) | 228 (40.6%) | 268 (48.5%) | 603 (42.2%) | <0.001 |
| Variable | Group | Lebanon (n = 316) | Syria (n = 561) | Tunisia (n = 553) | Total (n = 1430) | p |
|---|---|---|---|---|---|---|
| Tobacco Smoking | Yes | 69 (21.8%) | 180 (32.1%) | 102 (18.4%) | 351 (24.5%) | <0.001 |
| No | 247 (78.2%) | 381 (67.9%) | 451 (81.6%) | 1079 (75.5%) | <0.001 | |
| Alcohol Drinking | Yes | N/A | 43 (7.7%) | 37 (6.7%) | 80 (7.2%) | 0.529 |
| No | N/A | 518 (92.3%) | 516 (93.3%) | 1034 (92.8%) | 0.529 | |
| Internet Addiction | Yes | 280 (88.6%) | 445 (79.3%) | 519 (93.9%) | 1244 (87%) | <0.001 |
| No | 36 (11.4%) | 116 (20.7%) | 34 (6.1%) | 186 (13%) | <0.001 |
| Item | Response | Lebanon (n = 316) | Syria (n = 561) | Tunisia (n = 553) | Total (n = 1430) | p |
|---|---|---|---|---|---|---|
| Item No. 1 | Agree | 248 (78.5%) | 448 (79.9%) | 415 (75%) | 1111 (77.7%) | 0.145 |
| Item No. 2 | Disagree | 251 (79.4%) | 376 (67%) | 344 (62.2%) | 971 (67.9%) | <0.001 |
| Item No. 3 | Agree | 297 (94%) | 527 (93.9%) | 528 (95.5%) | 1352 (94.5%) | 0.466 |
| Item No. 4 | Agree | 89 (28.2%) | 203 (36.2%) | 201 (36.3%) | 493 (34.5%) | 0.028 |
| Item No. 5 | Agree | 60 (19%) | 170 (30.3%) | 181 (32.7%) | 411 (28.7%) | <0.001 |
| Item No. 6 | Disagree | 206 (65.2%) | 348 (62%) | 368 (66.5%) | 922 (64.5%) | 0.277 |
| Item No. 7 | Agree | 16 (5.1%) | 72 (12.8%) | 70 (12.7%) | 158 (11%) | 0.001 |
| Item No. 8 | Disagree | 247 (78.2%) | 409 (72.9%) | 403 (72.9%) | 1059 (74.1%) | 0.168 |
| Item No. 9 | Agree | 242 (76.6%) | 420 (74.9%) | 300 (54.2%) | 962 (67.3%) | <0.001 |
| Item No. 10 | Disagree | 236 (74.7%) | 334 (59.5%) | 417 (75.4%) | 987 (69%) | <0.001 |
| Item No. 11 | Agree | 53 (16.8%) | 106 (18.9%) | 133 (24.1%) | 292 (20.4%) | 0.019 |
| Item No. 12 | Agree | 288 (91.1%) | 495 (88.2%) | 526 (95.1%) | 1309 (91.5%) | <0.001 |
| Item No. 13 | Agree | 291 (92.1%) | 501 (89.3%) | 512 (92.6%) | 1304 (91.2%) | 0.126 |
| Item No. 14 | Disagree | 123 (38.9%) | 215 (38.3%) | 198 (35.8%) | 536 (37.5%) | 0.573 |
| Item No. 15 | Disagree | 199 (63%) | 299 (53.3%) | 224 (40.5%) | 722 (50.5%) | <0.001 |
| Item No. 16 | Agree | 52 (16.5%) | 65 (11.6%) | 20 (3.6%) | 137 (9.6%) | <0.001 |
| Item No. 17 | Agree | 61 (19.3%) | 121 (21.6%) | 105 (19%) | 287 (20.1%) | 0.521 |
| Item No. 18 | Agree | 87 (27.5%) | 248 (44.2%) | 157 (28.4%) | 492 (34.4%) | <0.001 |
| Item No. 19 | Agree | 122 (38.6%) | 307 (54.7%) | 210 (38%) | 639 (44.7%) | <0.001 |
| Item No. 20 | Agree | 201 (63.6%) | 375 (66.8%) | 290 (52.4%) | 866 (60.6%) | <0.001 |
| Item | Response | Female (n = 869) | Male (n = 561) | p | Preclinical (n = 827) | Clinical (n = 603) | p |
|---|---|---|---|---|---|---|---|
| Item No. 1 | Agree | 644 (74.1%) | 467 (83.2%) | <0.001 | 654 (79.1%) | 457 (75.8%) | 0.140 |
| Item No. 2 | Disagree | 587 (67.5%) | 384 (68.4%) | 0.722 | 523 (63.2%) | 448 (74.3%) | <0.001 |
| Item No. 3 | Agree | 830 (95.5%) | 522 (93%) | 0.045 | 778 (94.1%) | 574 (95.2%) | 0.359 |
| Item No. 4 | Agree | 261 (30%) | 232 (41.4%) | <0.001 | 283 (34.2%) | 210 (34.8%) | 0.812 |
| Item No. 5 | Agree | 269 (31%) | 142 (25.3%) | 0.021 | 210 (25.4%) | 201 (33.3%) | 0.001 |
| Item No. 6 | Disagree | 573 (65.9%) | 349 (62.2%) | 0.150 | 521 (63%) | 401 (66.5%) | 0.172 |
| Item No. 7 | Agree | 79 (9.1%) | 79 (14.1%) | 0.003 | 89 (10.8%) | 69 (11.4%) | 0.685 |
| Item No. 8 | Disagree | 639 (73.5%) | 420 (74.9%) | 0.574 | 576 (69.6%) | 483 (80.1%) | <0.001 |
| Item No. 9 | Agree | 572 (65.8%) | 390 (69.5%) | 0.146 | 537 (64.9%) | 425 (70.5%) | 0.027 |
| Item No. 10 | Disagree | 618 (71.1%) | 369 (65.8%) | 0.033 | 521 (63%) | 466 (77.3%) | <0.001 |
| Item No. 11 | Agree | 166 (19.1%) | 126 (22.5%) | 0.124 | 128 (15.5%) | 164 (27.2%) | <0.001 |
| Item No. 12 | Agree | 813 (93.6%) | 496 (88.4%) | 0.001 | 757 (91.5%) | 552 (91.5%) | 0.996 |
| Item No. 13 | Agree | 790 (90.9%) | 514 (91.6%) | 0.642 | 757 (91.5%) | 547 (90.7%) | 0.588 |
| Item No. 14 | Disagree | 316 (36.4%) | 220 (39.2%) | 0.277 | 280 (33.9%) | 256 (42.5%) | 0.001 |
| Item No. 15 | Disagree | 424 (48.8%) | 298 (53.1%) | 0.110 | 397 (48%) | 325 (53.9%) | 0.028 |
| Item No. 16 | Agree | 78 (9%) | 59 (10.5%) | 0.334 | 62 (7.5%) | 75 (12.4%) | 0.002 |
| Item No. 17 | Agree | 147 (16.9%) | 140 (25%) | <0.001 | 205 (24.8%) | 82 (13.6%) | <0.001 |
| Item No. 18 | Agree | 273 (31.4%) | 219 (39%) | 0.003 | 338 (40.9%) | 154 (25.5%) | <0.001 |
| Item No. 19 | Agree | 387 (44.5%) | 252 (44.9%) | 0.886 | 354 (42.8%) | 285 (47.3%) | 0.094 |
| Item No. 20 | Agree | 508 (58.5%) | 358 (63.8%) | 0.043 | 468 (56.6%) | 398 (66%) | <0.001 |
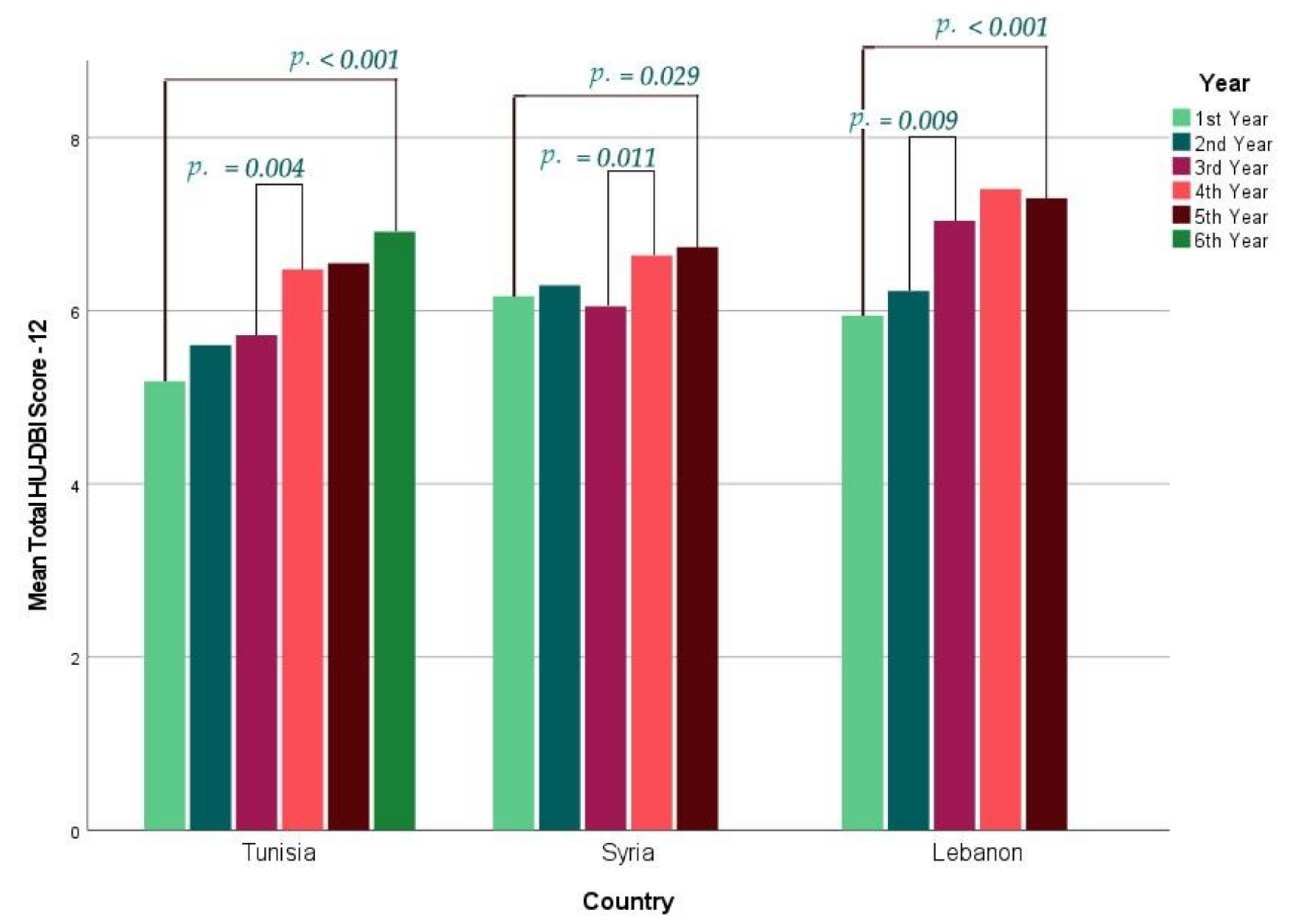
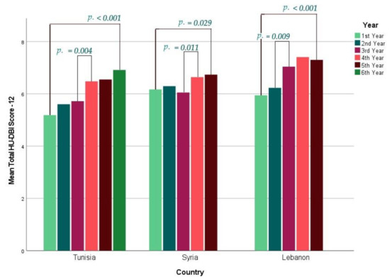
| Variable | Group | Knowledge (0–5) | p | Attitudes (0–3) | p | Behaviours (0–4) | p | HU-DBI (0–12) | p |
|---|---|---|---|---|---|---|---|---|---|
| Sex | Female | 3.06 ± 1.23 | 0.769 | 1.21 ± 0.82 | 0.734 | 1.98 ± 0.73 | 0.008 | 6.25 ± 1.90 | 0.162 |
| Male | 3.07 ± 1.21 | 1.24 ± 0.87 | 2.10 ± 0.77 | 6.41 ± 1.74 | |||||
| Academic Year | 1st Year | 2.71 ± 1.37 | <0.001 | 1.14 ± 0.81 | <0.001 | 1.90 ± 0.81 | 0.002 | 5.75 ± 1.95 | <0.001 |
| 2nd Year | 2.92 ± 1.18 | 1.13 ± 0.82 | 1.98 ± 0.73 | 6.03 ± 1.78 | |||||
| 3rd Year | 2.99 ± 1.23 | 1.09 ± 0.85 | 2.08 ± 0.72 | 6.16 ± 1.85 | |||||
| 4th Year | 3.30 ± 1.15 | 1.29 ± 0.80 | 2.10 ± 0.75 | 6.69 ± 1.73 | |||||
| 5th Year | 3.37 ± 1.14 | 1.33 ± 0.87 | 2.13 ± 0.74 | 6.83 ± 1.73 | |||||
| 6th Year | 3.29 ± 0.94 | 1.65 ± 0.83 | 1.97 ± 0.72 | 6.91 ± 1.53 | |||||
| Clinical Training | Preclinical | 2.87 ± 1.27 | <0.001 | 1.12 ± 0.82 | <0.001 | 1.98 ± 0.76 | 0.005 | 5.97 ± 1.86 | <0.001 |
| Clinical | 3.33 ± 1.11 | 1.36 ± 0.84 | 2.09 ± 0.74 | 6.78 ± 1.70 | |||||
| Country | Lebanon | 3.34 ± 1.16 | <0.001 | 1.21 ± 0.83 | 0.262 | 2.12 ± 0.73 | <0.001 | 6.67 ± 1.83 | <0.001 |
| Syria | 3.07 ± 1.25 | 1.19 ± 0.86 | 2.11 ± 0.77 | 6.38 ± 1.83 | |||||
| Tunisia | 2.89 ± 1.21 | 1.26 ± 0.81 | 1.89 ± 0.73 | 6.05 ± 1.83 | |||||
| Tobacco Smoking | Yes | 2.96 ± 1.25 | 0.068 | 1.12 ± 0.83 | 0.006 | 2.07 ± 0.78 | 0.457 | 6.15 ± 1.80 | 0.016 |
| No | 3.10 ± 1.22 | 1.26 ± 0.84 | 2.01 ± 0.74 | 6.37 ± 1.85 | |||||
| Alcohol Drinking | Yes | 2.75 ± 1.39 | 0.109 | 1.11 ± 0.80 | 0.249 | 1.99 ± 0.77 | 0.816 | 5.85 ± 1.83 | 0.108 |
| No | 3.00 ± 1.22 | 1.24 ± 0.85 | 2.00 ± 0.76 | 6.24 ± 1.83 | |||||
| Internet Addiction | Yes | 3.02 ± 1.23 | 0.001 | 1.23 ± 0.83 | 0.831 | 2.11 ± 0.70 | 0.175 | 6.26 ± 1.85 | 0.007 |
| No | 3.34 ± 1.15 | 1.22 ± 0.88 | 2.02 ± 0.76 | 6.66 ± 1.74 |
| Pair | Lebanon (n = 316) | Syria (n = 561) | Tunisia (n = 553) | |||
|---|---|---|---|---|---|---|
| Mean Rank | p | Mean Rank | p | Mean Rank | p | |
| 1st Year vs. 2nd Year | 76.80/81.71 | 0.495 | 107.01/109.96 | 0.726 | 99.40/115.02 | 0.062 |
| 2nd Year vs. 3rd Year | 62.23/81.90 | 0.004 | 116.00/111.18 | 0.574 | 90.40/93.22 | 0.721 |
| 3rd Year vs. 4th Year 4th Year vs. 5th Year | 42.89/46.72 | 0.482 | 111.99/134.81 | 0.011 | 71.92/91.37 | 0.009 |
| 53.82/54.09 | 0.966 | 113.62/115.66 | 0.814 | 86.55/90.74 | 0.579 | |
| 5th year vs. 6th year | N/A | N/A | 82.59/91.88 | 0.214 | ||
| Variable | Group | I Go to the Dentist for Regular Check-Up at Least Once a Year. | p | |
|---|---|---|---|---|
| No (n = 793) | Yes (n = 637) | |||
| Sex | Female | 495 (57%) | 374 (43%) | 0.153 |
| Male | 298 (53.1%) | 263 (46.9%) | ||
| Clinical Training | Preclinical | 469 (56.7%) | 358 (43.3%) | 0.263 |
| Clinical | 324 (53.7%) | 279 (46.3%) | ||
| Country | Lebanon | 104 (32.9%) | 212 (67.1%) | <0.001 |
| Syria | 269 (40%) | 292 (52%) | ||
| Tunisia | 420 (75.9%) | 133 (24.1%) | ||
| Tobacco Smoking | Yes | 177 (50.4%) | 174 (49.6%) | 0.029 |
| No | 616 (57.1%) | 463 (42.9%) | ||
| Alcohol Drinking | Yes | 40 (50%) | 40 (50%) | 0.024 |
| No | 649 (62.8%) | 385 (37.2%) | ||
| Internet Addiction | Yes | 711 (57.2%) | 533 (42.8%) | 0.001 |
| No | 82 (44.1%) | 104 (55.9%) | ||
| HU-DBI | Knowledge (0–5) | 2.74 ± 1.21 | 3.47 ± 1.12 | <0.001 |
| Attitudes (0–3) | 1.19 ± 0.84 | 1.27 ± 0.84 | 0.108 | |
| Behaviours (0–4) | 1.93 ± 0.75 | 2.15 ± 0.74 | <0.001 | |
| Total (0–12) | 5.85 ± 1.79 | 6.89 ± 1.74 | <0.001 | |
| Predictor | B (SE) | Wald | AOR | CI 95% | p |
|---|---|---|---|---|---|
| Tobacco Smoking (No vs. Yes) | −0.404 (0.154) | 6.93 | 0.667 | 0.494–0.902 | 0.008 |
| Alcohol Drinking (No vs. Yes) | −0.506 (0.257) | 3.89 | 0.603 | 0.364–0.997 | 0.049 |
| Internet Addiction (No vs. Yes) | 0.535 (0.184) | 8.43 | 1.705 | 1.189–2.443 | 0.004 |
| Knowledge | 0.422 (0.056) | 56.10 | 1.525 | 1.365–1.702 | <0.001 |
| Behaviours | 0.313 (0.088) | 12.58 | 1.367 | 1.150–1.625 | <0.001 |
| Country | Author, Year of Study | Sample Size | University (City) | HU-DBI Score |
|---|---|---|---|---|
| Egypt | Al-wesabi et al., 2019 [57] | 783 | Private University (Cairo) | 6.77 |
| Abu Alregal et al., 2018 [62] | 896 | Cairo University (Cairo) | 6.33 | |
| Jordan | Al-wahadni et al., 2004 [63] | 105 | Jordan University of Science and Technology (Irbid) | 6.38 |
| Al-omiri et al., 2012 [64] | 580 | University of Jordan (Amman) | 5.20 | |
| Kuwait | Ali, 2016 [65] | 141 | Kuwait University (Kuwait) | 5.74 |
| Lebanon | Riad et al. | 316 | Multiple Universities (Beirut) | 6.67 |
| Palestine | Kateeb, 2006 [66] | 260 | Al-Quds University (Jerusalem) | 6.13 |
| Saudi Arabia | Baseer et al., 2011 [67] | 351 | Riyadh Colleges of Dentistry and Pharmacy (Riyadh) | 6.54 |
| Kumar et al., 2011 [74] | 26 | Jazan University (Jazan) | 6.65 | |
| Moheet et al., 2013 [69] | 112 | University of Dammam (Dammam) | 6.45 | |
| Sudan | Khalid et al., 2016 [70] | 1243 | Multiple Universities (Khartoum, Omdurman, Wad Madani) | 6.24 |
| Syria | Riad et al | 561 | Syrian Private University (Damascus) | 6.38 |
| Tunisia | Riad et al. | 553 | University of Monastir (Monastir) | 6.05 |
| UAE | Kawas et al., 2009 [71] | 63 | University of Sharjah (Sharjah) | 9.45 |
| Hashim et al., 2012 [72] | 279 | Ajman University of Science and Technology (Ajman) | 6.59 | |
| Rahman et al., 2013 [73] | 93 | University of Sharjah (Sharjah) | 7.32 | |
| Yemen | Halboub et al., 2015 [19] | 579 | Multiple Universities (Sana’a) | 5.06 |
| HU-DBI Score | Economic Rank | ||
|---|---|---|---|
| HU-DBI Score | Correlation Coefficient | 1.000 | 0.296 |
| p (2-tailed) | N/A | <0.001 | |
| Economic Rank | Correlation Coefficient | 0.296 | 1.000 |
| p (2-tailed) | <0.001 | N/A |
Publisher’s Note: MDPI stays neutral with regard to jurisdictional claims in published maps and institutional affiliations. |
© 2022 by the authors. Licensee MDPI, Basel, Switzerland. This article is an open access article distributed under the terms and conditions of the Creative Commons Attribution (CC BY) license (https://creativecommons.org/licenses/by/4.0/).
Share and Cite
Riad, A.; Al-Khanati, N.M.; Issa, J.; Zenati, M.; Abdesslem, N.B.; Attia, S.; Krsek, M. Oral Health-Related Knowledge, Attitudes and Behaviours of Arab Dental Students: Multi-National Cross-Sectional Study and Literature Analysis 2000–2020. Int. J. Environ. Res. Public Health 2022, 19, 1658. https://doi.org/10.3390/ijerph19031658
Riad A, Al-Khanati NM, Issa J, Zenati M, Abdesslem NB, Attia S, Krsek M. Oral Health-Related Knowledge, Attitudes and Behaviours of Arab Dental Students: Multi-National Cross-Sectional Study and Literature Analysis 2000–2020. International Journal of Environmental Research and Public Health. 2022; 19(3):1658. https://doi.org/10.3390/ijerph19031658
Chicago/Turabian StyleRiad, Abanoub, Nuraldeen Maher Al-Khanati, Julien Issa, Mazen Zenati, Nèziha Ben Abdesslem, Sameh Attia, and Martin Krsek. 2022. "Oral Health-Related Knowledge, Attitudes and Behaviours of Arab Dental Students: Multi-National Cross-Sectional Study and Literature Analysis 2000–2020" International Journal of Environmental Research and Public Health 19, no. 3: 1658. https://doi.org/10.3390/ijerph19031658

