Global Challenges vs. the Need for Regional Performance Models under the Present Pandemic Crisis
Abstract
:1. General Approach
2. Literature Review
3. Data and Methodology
- I1.
- Investment share of GDP by institutional sectors, predicted as % of GDP total investment, Eurostat code: 0sdg_08_11
- I2.
- Early leavers from education and training by sex, predicted as % of population aged 18 to 24, Eurostat code: 0sdg_04_10
- I3.
- Gross domestic expenditure on R&D by sector, predicted as % of GDP, Eurostat code: 0sdg_09_10
- I4.
- Employment in high- and medium-high-technology manufacturing and knowledge-intensive services, predicted as % of total employment, Eurostat code: 0sdg_09_20
- I5.
- People at risk of poverty or social exclusion, predicted as percentage, Eurostat code: 0sdg_01_10
- I6.
- People at risk of income poverty after social transfers, predicted as percentage, Eurostat code: 0sdg_01_20
- I7.
- People living in households with very low work intensity, predicted as percentage of total population aged less than 60, Eurostat code: 0sdg_01_40
- I8.
- Share of renewable energy in gross final energy consumption by sector, predicted as % Renewable energy sources, Eurostat code: 0sdg_07_40
- I9.
- Real GDP per capita, predicted as chain-linked volumes (2010), EUR per capita, Eurostat code: 0sdg_08_10 GDP
- I10.
- Long-term unemployment rate by sex, predicted as % of active population, Eurostat code: 0sdg_08_40
- I11.
- R&D personnel by sector, predicted as % of active population, Eurostat code: 0sdg_09_30
- I12.
- Patent applications to the European Patent Office (source: EPO), predicted as number, Eurostat code: 0sdg_09_40
- I13.
- Employment rates of recent graduates by sex, predicted as % of population aged 20 to 34 with at least upper secondary education, Eurostat code: 0sdg_04_50
- I14.
- Energy import dependency by products, predicted as % of imports in total energy consumption, Eurostat code: 0sdg_07_50
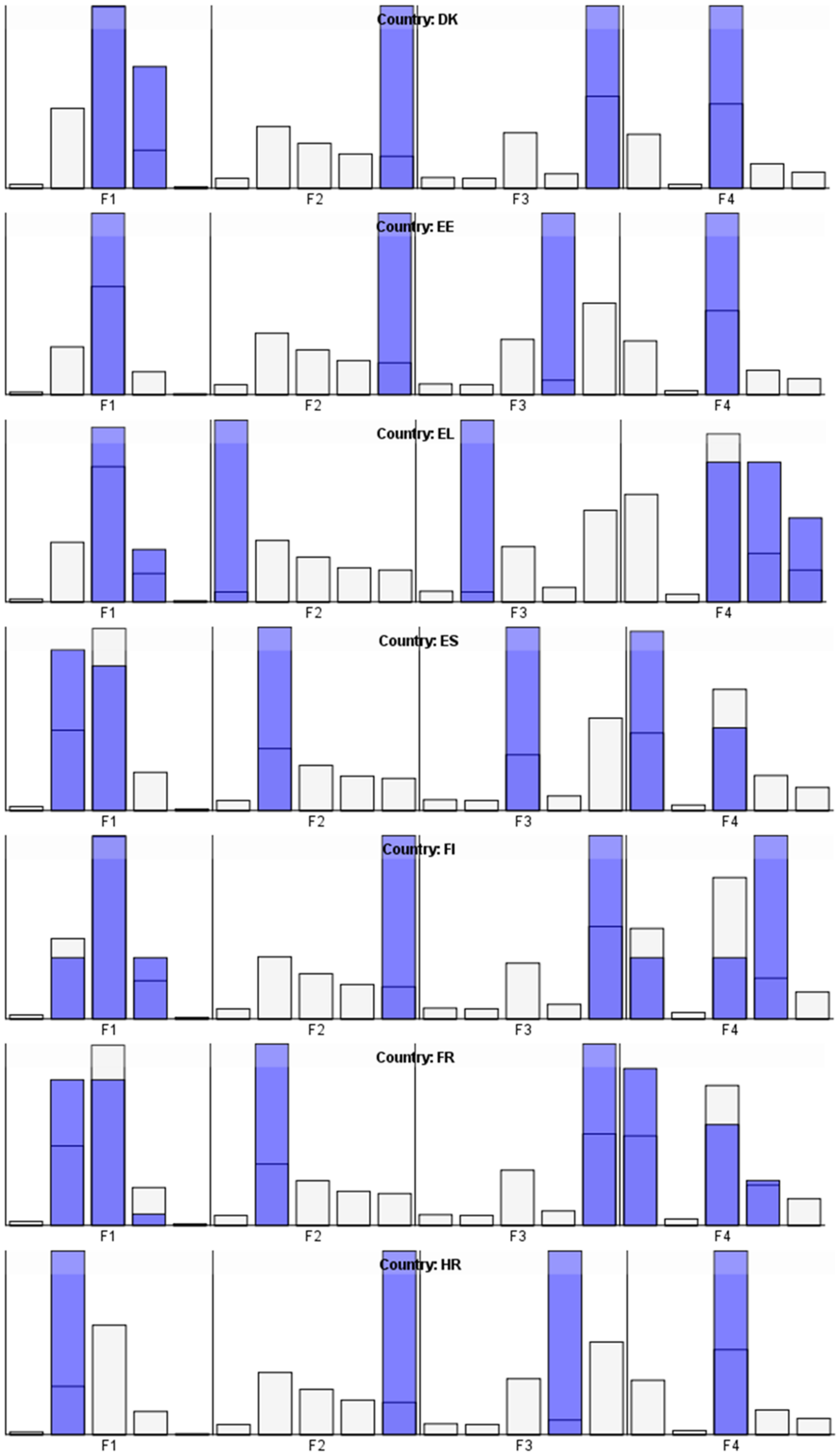
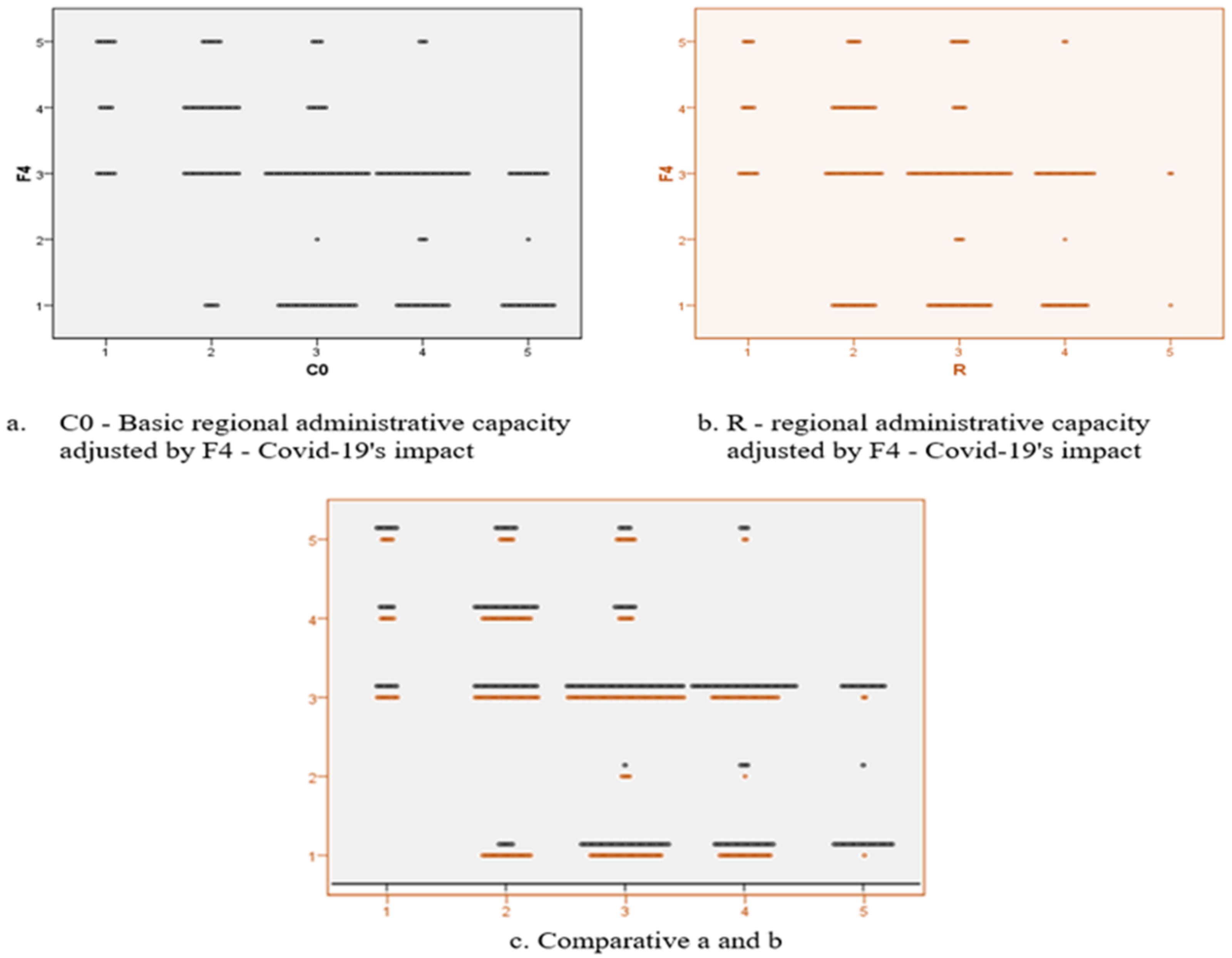
4. Results
- F1—Economic crisis’ impact;
- F2—Refugees’ impact;
- F3—Migration’s impact;
- F4—COVID-19’s impact;
- C0—Basic regional administrative capacity;
- C1—Refugees’ impact on regional administrative capacity;
- C2—Migration’s impact on regional administrative capacity;
- C3—COVID-19’s impact on regional administrative capacity;
- C4—Economic crisis’ impact on regional administrative capacity;
- R—Regional administrative capacity.
5. Discussion
6. Conclusions
Author Contributions
Funding
Institutional Review Board Statement
Informed Consent Statement
Data Availability Statement
Conflicts of Interest
Appendix A




Appendix B
| Regions | COVID-19 Region Cases | Population on 1 January 2019 by NUTS 2 Region | COVID-19 Rate | COVID-19 Scalar | Regions | COVID-19 Region Cases | Population on 1 January 2019 by NUTS 2 Region | COVID-19 Rate | COVID-19 Scalar |
|---|---|---|---|---|---|---|---|---|---|
| Région de Bruxelles/Brussels | 2352 | 1,215,290 | 0.19% | 1 | Languedoc-Roussillon | 4150 | 2,838,966 | 0.15% | 1 |
| Antwerpen | 363 | 1,860,470 | 0.02% | 3 | Midi-Pyrénées | 4480 | 3,060,243 | 0.15% | 1 |
| Limburg | 0 | 875,842 | 0.00% | 5 | Auvergne | 1990 | 1,362,576 | 0.15% | 1 |
| Oost-Vlaanderen | 0 | 1,516,283 | 0.00% | 5 | Rhône-Alpes | 5720 | 6,643,306 | 0.09% | 3 |
| Vlaams-Brabant | 0 | 1,146,643 | 0.00% | 5 | Provence-Alpes-Côte d’Azur | 7380 | 5,048,405 | 0.15% | 1 |
| West-Vlaanderen | 0 | 1,196,995 | 0.00% | 5 | Corse | 225 | 341,554 | 0.07% | 3 |
| Brabant wallon | 5809 | 404,270 | 1.44% | 1 | Guadeloupe | 76 | 416,474 | 0.02% | 3 |
| Hainaut | 0 | 1,346,082 | 0.00% | 5 | Martinique | 66 | 363,484 | 0.02% | 3 |
| Liège | 12,289 | 1,110,068 | 1.11% | 1 | Guyane | 28 | 283,539 | 0.01% | 4 |
| Luxembourg | 0 | 286,685 | 0.00% | 5 | La Réunion | 94 | 857,961 | 0.01% | 4 |
| Namur | 0 | 496,891 | 0.00% | 5 | Mayotte | 35 | 269,471 | 0.01% | 4 |
| Severozapaden | 588 | 742,304 | 0.08% | 3 | Jadranska Hrvatska | 611 | 1,374,071 | 0.04% | 3 |
| Severen tsentralen | 0 | 784,168 | 0.00% | 5 | Kontinentalna Hrvatska | 671 | 2,702,175 | 0.02% | 3 |
| Severoiztochen | 0 | 929,035 | 0.00% | 5 | Piemonte | 13,343 | 4,356,406 | 0.31% | 1 |
| Yugoiztochen | 0 | 1,032,079 | 0.00% | 5 | Valle d’Aosta | 835 | 125,666 | 0.66% | 1 |
| Yugozapaden | 0 | 2,102,205 | 0.00% | 5 | Liguria | 4757 | 1,550,640 | 0.31% | 1 |
| Yuzhen tsentralen | 0 | 1,410,248 | 0.00% | 5 | Lombardia | 52,325 | 10,060,574 | 0.52% | 1 |
| Praha | 1234 | 1,308,632 | 0.09% | 3 | Provincia Autonoma di Bolzano | 1811 | 531,178 | 0.34% | 1 |
| Strední Cechy | 606 | 1,369,332 | 0.04% | 3 | Provincia Autonoma di Trento | 2476 | 541,098 | 0.46% | 1 |
| Jihozápad | 298 | 1,226,805 | 0.02% | 3 | Veneto | 11,925 | 4,905,854 | 0.24% | 1 |
| Severozápad | 278 | 1,115,685 | 0.02% | 3 | Friuli-Venezia Giulia | 2153 | 1,215,220 | 0.18% | 1 |
| Severovýchod | 1300 | 1,513,693 | 0.09% | 3 | Emilia-Romagna | 17,825 | 4,459,477 | 0.40% | 1 |
| Jihovýchod | 334 | 1,696,941 | 0.02% | 3 | Toscana | 6173 | 3,729,641 | 0.17% | 1 |
| Strední Morava | 450 | 1,215,413 | 0.04% | 3 | Umbria | 1263 | 882,015 | 0.14% | 2 |
| Moravskoslezsko | 506 | 1,203,299 | 0.04% | 3 | Marche | 4710 | 1,525,271 | 0.31% | 1 |
| Hovedstaden | 1901 | 1,835,562 | 0.10% | 3 | Lazio | 4149 | 5,879,082 | 0.07% | 3 |
| Sjælland | 203 | 836,738 | 0.02% | 3 | Abruzzo | 1799 | 1,311,580 | 0.14% | 2 |
| Syddanmark | 472 | 1,223,348 | 0.04% | 3 | Molise | 224 | 305,617 | 0.07% | 3 |
| Midtjylland | 584 | 1,320,678 | 0.04% | 3 | Campania | 3148 | 5,801,692 | 0.05% | 3 |
| Nordjylland | 501 | 589,755 | 0.08% | 3 | Puglia | 2514 | 4,029,053 | 0.06% | 3 |
| Stuttgart | 3189 | 4,143,418 | 0.08% | 3 | Basilicata | 291 | 562,869 | 0.05% | 3 |
| Karlsruhe | 2234 | 2,805,129 | 0.08% | 3 | Calabria | 833 | 1,947,131 | 0.04% | 3 |
| Freiburg | 2084 | 2,264,469 | 0.09% | 3 | Sicilia | 2097 | 4,999,891 | 0.04% | 3 |
| Tübingen | 7432 | 1,856,517 | 0.40% | 1 | Sardegna | 935 | 1,639,591 | 0.06% | 3 |
| Oberbayern | 2123 | 4,686,163 | 0.05% | 3 | Kypros | 494 | 875,899 | 0.06% | 3 |
| Niederbayern | 3112 | 1,238,528 | 0.25% | 1 | Latvija | 548 | 1,919,968 | 0.03% | 3 |
| Oberpfalz | 4311 | 1,109,269 | 0.39% | 1 | Sostines regionas | 412 | 810,538 | 0.05% | 3 |
| Oberfranken | 2120 | 1,067,482 | 0.20% | 1 | Vidurio ir vakaru Lietuvos regionas | 468 | 1,983,646 | 0.02% | 3 |
| Mittelfranken | 1234 | 1,770,401 | 0.07% | 3 | Luxembourg | 2970 | 613,894 | 0.48% | 1 |
| Unterfranken | 3214 | 1,317,124 | 0.24% | 1 | Budapest | 345 | 1,752,286 | 0.02% | 3 |
| Schwaben | 1245 | 1,887,754 | 0.07% | 3 | Pest | 153 | 1,278,874 | 0.01% | 4 |
| Berlin | 3670 | 3,644,826 | 0.10% | 3 | Közép-Dunántúl | 139 | 1,058,236 | 0.01% | 4 |
| Brandenburg | 2345 | 2,511,917 | 0.09% | 3 | Nyugat-Dunántúl | 86 | 989,343 | 0.01% | 4 |
| Bremen | 2811 | 682,986 | 0.41% | 1 | Dél-Dunántúl | 4 | 879,596 | 0.00% | 5 |
| Hamburg | 2993 | 1,841,179 | 0.16% | 1 | Észak-Magyarország | 82 | 1,126,360 | 0.01% | 4 |
| Darmstadt | 1121 | 3,998,724 | 0.03% | 3 | Észak-Alföld | 33 | 1,450,960 | 0.00% | 5 |
| Gießen | 1125 | 1,047,262 | 0.11% | 3 | Dél-Alföld | 70 | 1,237,101 | 0.01% | 4 |
| Kassel | 1889 | 1,219,823 | 0.15% | 1 | Malta | 293 | 493,559 | 0.06% | 3 |
| Mecklenburg-Vorpommern | 2346 | 1,609,675 | 0.15% | 1 | Groningen | 207 | 583,990 | 0.04% | 3 |
| Braunschweig | 1256 | 1,596,396 | 0.08% | 3 | Friesland | 215 | 647,672 | 0.03% | 3 |
| Hannover | 1084 | 2,149,805 | 0.05% | 3 | Drenthe | 222 | 492,167 | 0.05% | 3 |
| Lüneburg | 1111 | 1,710,914 | 0.06% | 3 | Overijssel | 1211 | 1,156,431 | 0.10% | 3 |
| Weser-Ems | 3456 | 2,525,333 | 0.14% | 2 | Gelderland | 2210 | 2,071,972 | 0.11% | 3 |
| Düsseldorf | 2412 | 5,202,321 | 0.05% | 3 | Flevoland | 264 | 416,546 | 0.06% | 3 |
| Köln | 1525 | 4,468,904 | 0.03% | 3 | Utrecht | 1476 | 1,306,912 | 0.11% | 3 |
| Münster | 3500 | 2,623,619 | 0.13% | 3 | Noord-Holland | 2891 | 2,853,359 | 0.10% | 3 |
| Detmold | 2235 | 2,055,310 | 0.11% | 3 | Zuid-Holland | 3361 | 3,709,139 | 0.09% | 3 |
| Arnsberg | 2768 | 3,582,497 | 0.08% | 3 | Zeeland | 279 | 383,032 | 0.07% | 3 |
| Koblenz | 2987 | 1,495,885 | 0.20% | 1 | Noord-Brabant | 4456 | 2,544,806 | 0.18% | 1 |
| Trier | 3456 | 531,007 | 0.65% | 1 | Limburg | 2011 | 1,116,137 | 0.18% | 1 |
| Rheinhessen-Pfalz | 1567 | 2,057,952 | 0.08% | 3 | Burgenland | 234 | 293,433 | 0.08% | 3 |
| Saarland | 4321 | 990,509 | 0.44% | 1 | Niederösterreich | 1978 | 1,677,542 | 0.12% | 3 |
| Dresden | 3189 | 1,598,199 | 0.20% | 1 | Wien | 1777 | 1,897,491 | 0.09% | 3 |
| Chemnitz | 4567 | 1,436,445 | 0.32% | 1 | Kärnten | 333 | 560,939 | 0.06% | 3 |
| Leipzig | 3111 | 1,043,293 | 0.30% | 1 | Steiermark | 1354 | 1,243,052 | 0.11% | 3 |
| Sachsen-Anhalt | 2345 | 2,208,321 | 0.11% | 3 | Oberösterreich | 2061 | 1,482,095 | 0.14% | 2 |
| Schleswig-Holstein | 2723 | 2,896,712 | 0.09% | 3 | Salzburg | 1085 | 555,221 | 0.20% | 1 |
| Thüringen | 3456 | 2,143,145 | 0.16% | 1 | Tirol | 2804 | 754,705 | 0.37% | 1 |
| Eesti | 1149 | 1,324,820 | 0.09% | 3 | Vorarlberg | 764 | 394,297 | 0.19% | 1 |
| Northern and Western | 1389 | 867,947 | 0.16% | 1 | Malopolskie | 1247 | 3,360,545 | 0.04% | 3 |
| Southern | 2510 | 1,624,381 | 0.15% | 1 | Slaskie | 601 | 4,488,998 | 0.01% | 4 |
| Eastern and Midland | 1810 | 2,411,912 | 0.08% | 3 | Wielkopolskie | 349 | 3,473,172 | 0.01% | 4 |
| Anatoliki Makedonia, Thraki | 367 | 599,723 | 0.06% | 3 | Zachodniopomorskie | 133 | 1,675,502 | 0.01% | 4 |
| Kentriki Makedonia | 215 | 1,873,777 | 0.01% | 4 | Lubuskie | 127 | 1,003,310 | 0.01% | 4 |
| Dytiki Makedonia | 314 | 267,008 | 0.12% | 3 | Dolnoslaskie | 527 | 2,865,072 | 0.02% | 3 |
| Ipeiros | 98 | 333,696 | 0.03% | 3 | Opolskie | 107 | 946,038 | 0.01% | 4 |
| Thessalia | 412 | 718,640 | 0.06% | 3 | Kujawsko-Pomorskie | 264 | 2,055,433 | 0.01% | 4 |
| Ionia Nisia | 190 | 203,869 | 0.09% | 3 | Warminsko-Mazurskie | 87 | 1,404,441 | 0.01% | 4 |
| Dytiki Ellada | 78 | 655,189 | 0.01% | 4 | Pomorskie | 135 | 2,305,077 | 0.01% | 4 |
| Sterea Ellada | 58 | 555,960 | 0.01% | 4 | Lódzkie | 358 | 2,453,167 | 0.01% | 4 |
| Peloponnisos | 70 | 574,447 | 0.01% | 4 | Swietokrzyskie | 120 | 1,226,243 | 0.01% | 4 |
| Attiki | 12 | 3,742,235 | 0.00% | 5 | Lubelskie | 192 | 2,097,294 | 0.01% | 4 |
| Voreio Aigaio | 15 | 221,098 | 0.01% | 4 | Podkarpackie | 371 | 2,086,135 | 0.02% | 3 |
| Notio Aigaio | 0 | 344,027 | 0.00% | 5 | Podlaskie | 168 | 1,152,074 | 0.01% | 4 |
| Kriti | 3 | 634,930 | 0.00% | 5 | Warszawski stoleczny | 62 | 3,053,104 | 0.00% | 5 |
| Galicia | 6331 | 2,700,441 | 0.23% | 1 | Mazowiecki regionalny | 0 | 2,327,207 | 0.00% | 5 |
| Principado de Asturias | 1679 | 1,022,205 | 0.16% | 1 | Norte | 1777 | 3,572,583 | 0.05% | 3 |
| Cantabria | 1501 | 581,641 | 0.26% | 1 | Algarve | 1561 | 438,864 | 0.36% | 1 |
| País Vasco | 9021 | 2,177,880 | 0.41% | 1 | Centro | 1823 | 2,216,569 | 0.08% | 3 |
| Navarra | 3355 | 649,946 | 0.52% | 1 | Lisboa | 1789 | 2,846,332 | 0.06% | 3 |
| La Rioja | 2846 | 313,571 | 0.91% | 1 | Alentejo | 1813 | 705,478 | 0.26% | 1 |
| Aragón | 3449 | 1,320,586 | 0.26% | 1 | Região Autónoma dos Açores | 1800 | 242,846 | 0.74% | 1 |
| Madrid | 40,469 | 6,641,649 | 0.61% | 1 | Madeira | 1879 | 253,945 | 0.74% | 1 |
| Castilla y León | 9581 | 2,407,733 | 0.40% | 1 | Nord-Vest | 276 | 2,552,112 | 0.01% | 4 |
| Castilla-la Mancha | 11,077 | 2,034,877 | 0.54% | 1 | Centru | 425 | 2,318,272 | 0.02% | 3 |
| Extremadura | 2116 | 1,065,424 | 0.20% | 1 | Nord-Est | 1743 | 3,198,564 | 0.05% | 3 |
| Cataluña | 28,323 | 7,566,431 | 0.37% | 1 | Sud-Est | 362 | 2,396,171 | 0.02% | 3 |
| Comunidad Valenciana | 7443 | 4,974,969 | 0.15% | 1 | Sud-Muntenia | 282 | 2,929,832 | 0.01% | 4 |
| Illes Balears | 1369 | 1,188,220 | 0.12% | 3 | Bucuresti-Ilfov | 697 | 2,315,173 | 0.03% | 3 |
| Andalucía | 8767 | 8,427,405 | 0.10% | 3 | Sud-Vest Oltenia | 72 | 1,926,860 | 0.00% | 5 |
| Región de Murcia | 1283 | 1,487,663 | 0.09% | 3 | Vest | 565 | 1,777,474 | 0.03% | 3 |
| Ciudad Autónoma de Ceuta | 83 | 84,829 | 0.10% | 3 | Vzhodna Slovenija | 501 | 1,094,435 | 0.05% | 3 |
| Ciudad Autónoma de Melilla | 92 | 84,689 | 0.11% | 3 | Zahodna Slovenija | 558 | 986,473 | 0.06% | 3 |
| Canarias | 1725 | 2,206,901 | 0.08% | 3 | Bratislavský kraj | 147 | 659,598 | 0.02% | 3 |
| Île de France | 17,910 | 12,244,807 | 0.15% | 1 | Západné Slovensko | 76 | 1,826,145 | 0.00% | 5 |
| Centre-Val de Loire | 3750 | 2,565,258 | 0.15% | 1 | Stredné Slovensko | 72 | 1,339,242 | 0.01% | 4 |
| Bourgogne | 1569 | 1,619,728 | 0.10% | 3 | Východné Slovensko | 286 | 1,625,436 | 0.02% | 3 |
| Franche-Comté | 24,920 | 1,173,605 | 2.12% | 1 | Länsi-Suomi | 90 | 1,379,749 | 0.01% | 4 |
| Basse-Normandie | 688 | 1,464,500 | 0.05% | 3 | Helsinki | 1438 | 1,671,024 | 0.09% | 3 |
| Haute-Normandie | 1753 | 1,848,840 | 0.09% | 3 | Etelä-Suomi | 154 | 1,152,719 | 0.01% | 4 |
| Nord-Pas-de-Calais | 5930 | 4,052,299 | 0.15% | 1 | Pohjois- ja Itä-Suomi | 118 | 1,284,638 | 0.01% | 4 |
| Picardie | 2820 | 1,925,138 | 0.15% | 1 | Åland | 508 | 29,789 | 1.71% | 1 |
| Alsace | 2770 | 1,894,144 | 0.15% | 1 | Stockholm | 3279 | 2,344,124 | 0.14% | 2 |
| Champagne-Ardenne | 1920 | 1,314,964 | 0.15% | 1 | Östra Mellansverige | 1133 | 1,708,813 | 0.07% | 3 |
| Lorraine | 3390 | 2,316,183 | 0.15% | 1 | Småland med öarna | 632 | 864,630 | 0.07% | 3 |
| Pays-de-la-Loire | 368 | 3,787,400 | 0.01% | 4 | Sydsverige | 366 | 1,521,848 | 0.02% | 3 |
| Bretagne | 603 | 3,333,720 | 0.02% | 3 | Västsverige | 674 | 2,039,166 | 0.03% | 3 |
| Aquitaine | 1082 | 3,450,045 | 0.03% | 3 | Norra Mellansverige | 554 | 855,220 | 0.06% | 3 |
| Limousin | 1070 | 729,981 | 0.15% | 1 | Mellersta Norrland | 576 | 375,733 | 0.15% | 1 |
| Poitou-Charentes | 2640 | 1,806,292 | 0.15% | 1 | Övre Norrland | 478 | 520,651 | 0.09% | 3 |
References
- Eurostat. SDG INDICATORS: GOAL BY GOAL. Eurostat Datbase. 2021. Available online: https://ec.europa.eu/eurostat/web/sdi/indicators (accessed on 2 March 2021).
- World Health Organization. WHO Health Emergency Dashboard. WHO (COVID-19) Homepage. 2021. Available online: https://covid19.who.int/ (accessed on 15 March 2021).
- Iamsiraroj, S. The Foreign direct investment–economic growth nexus. Int. Rev. Econ. Financ. 2016, 42, 116–133. [Google Scholar] [CrossRef]
- Meyer, D.; Shera, A. The impact of remittances on economic growth: An econometric model. EconomiA 2017, 18, 147–155. [Google Scholar] [CrossRef] [Green Version]
- Pradhan, R.P.; Arvin, M.B.; Hall, J.H.; Nair, M. Innovation, financial development and economic growth in Eurozone countries. Appl. Econ. Lett. 2016, 23, 1141–1144. [Google Scholar] [CrossRef]
- Bloom, J.J.; Canning, D.E.; Kotschy, D.; Prettner, R.; Schunemann, K. Health and Economic Growth. Handb. Econ. Growth 2014, 2, 623–682. [Google Scholar]
- Atkeson, A. What Will Be the Economic Impact of COVID-19 in the US? Rough Estimates of Disease Scenarios. Natl. Bur. Econ. Res. Work. Pap. Ser. 2020, 26867, 1–27. [Google Scholar]
- Gilchrist, S.; Schoenle, R.; Sim, J.; Zakrajšek, E. Inflation Dynamics during the Financial Crisis. Am. Econ. Rev. 2017, 107, 785–823. [Google Scholar] [CrossRef] [Green Version]
- Adrian, T.; Fleming, M.; Shachar, O.; Vogt, E. Market Liquidity After the Financial Crisis. Annu. Rev. Financ. Econ. 2017, 9, 43–83. [Google Scholar] [CrossRef] [Green Version]
- Kreichauf, R. From forced migration to forced arrival: The campization of refugee accommodation in European cities. Comp. Migr. Stud. 2018, 6, 7. [Google Scholar] [CrossRef] [PubMed]
- Hangartner, D.; Dinas, E.; Marbach, M.; Matakos, K.; Xefteris, D. Does Exposure to the Refugee Crisis Make Natives More Hostile? Am. Polit. Sci. Rev. 2019, 113, 442–455. [Google Scholar] [CrossRef] [Green Version]
- Harteveld, E.; Schaper, J.; De Lange, S.L.; Van Der Brug, W. Blaming Brussels? The Impact of (News about) the Refugee Crisis on Attitudes towards the EU and National Politics. JCMS J. Common Mark. Stud. 2018, 56, 157–177. [Google Scholar] [CrossRef]
- Danielli, S.; Patria, R.; Donnelly, P.; Ashrafian, H.; Darzi, A. Economic interventions to ameliorate the impact of COVID-19 on the economy and health: An international comparison. J. Public Health 2020, 43, 42–46. [Google Scholar] [CrossRef] [PubMed]
- Umar, M.; Xu, Y.; Mirza, S.S. The impact of COVID-19 on Gig economy. Econ. Res. Istraživanja 2021, 34, 2284–2296. [Google Scholar] [CrossRef]
- Asahi, K.; Undurraga, E.A.; Valdés, R.; Wagner, R. The effect of COVID-19 on the economy: Evidence from an early adopter of localized lockdowns. J. Glob. Health 2021, 11, 5002. [Google Scholar] [CrossRef] [PubMed]
- Vitenu-Sackey, P.; Barfi, R. The Impact of COVID-19 Pandemic on the Global Economy: Emphasis on Poverty Alleviation and Economic Growth. Financ. Res. Lett. 2021, 8, 32–43. [Google Scholar] [CrossRef]
- Khurshid, A.; Khan, K. How COVID-19 shock will drive the economy and climate? A data-driven approach to model and forecast. Environ. Sci. Pollut. Res. 2021, 28, 2948–2958. [Google Scholar] [CrossRef] [PubMed]














| No | Authors | Model’s Characteristics | Criticism | Proposals/Solutions |
|---|---|---|---|---|
| 1. | Iamsiraroj, S., 2016 [3] | The author analyses the connection between FDI and economic growth based on extensive statistics for a number of 124 states during 1971–2010, according to the following scheme: | The model proposed by the author could not anticipate the effect of the evolution of the disturbing factors on economic growth. As a result, the value of the β coefficients is estimated as positive while, in our opinion, the correct approach for β is 0. | Economic growth can be approached from an inter-disciplinary perspective, provided the β coefficients are correctly estimated. In our study, the economic growth is approached both at the regional level (as a factor of the coefficients’ diversification) and in terms of connections with other macro indicators (migration, population at risk of poverty, etc.). |
| 2. | Meyer, D. and Shera, A., 2017 [4] | The authors have developed an econometric model regarding the effect of the disturbing factors on economic growth. These factors are attributed to the FDI decrease, migration from less developed countries to developed countries and the transactions’ cost due to technological progress. There is an impact on the economic growth at the level of the GDP due to the value of the exchange rate, the debt increase and the aging of the population. | The model benefits from an unjustified optimism regarding the calculation of the positive impact of the increase in schooling rate and of household consumption. A rigid curve influenced in the sense of flattening the regional development’s differences is reached in the sense of less significant factors than those affecting today’s global economic development. | We believe that economic growth based mainly on consumption is not able to ensure a balanced and sustainable development of the economy. For this reason, our proposed model is not predominantly based on consumption demand, but on sustainable development objectives able to make the economic growth curve more flexible and sustainable, with beneficial effects on the whole economic system. |
| 3. | Pradhan, R.P., Arvin, M.B., Hall J.H. and Nair M., 2016 [5] | The authors used a self-regressive vector to highlight the interdependencies between the financial innovation and the economic development in 18 Euro area countries during 1961–2013. The model based on the scenario method (5 scenario) takes into account a significant growth of the economy during the analysed period in net value at a significance rate of 5% in all scenarios, in the context of the manifestation of the limited growth conditions of the patents/inhabitant and of the financial composite index of the development. | This model indicates that the long-term economic growth is stable, but does not highlight the disruptive effect of situations such as the pandemic and economic crisis. | We consider that this model must be adjusted to more eloquently reproduce the influence of the autoregressive vectors presented during the model. |
| 4. | Bloom, D.E., Canning, D., Kotschy, R., Prettner, K. and Schunemann, J.J., 2019 [6] | The authors developed a directional model for evaluating the effects of population health on economic growth. There is a direct quantifiable impact of population health on economic state based on a classical production function, transformed by the authors. | Some variables such as the effort to maintain the population’s proper state of health during the pandemic and the efforts to prevent and update medical systems slow down economic growth at least equal to the disease output as an effect of the pandemic, expressed as a percentage of the base population of the analysed region. | We consider that the presented model should be adjusted, and the curve in the image depreciated with the value of the disturbing impact factors. |
| 5. | Atkeson, A., 2020 [7] | The author, although correctly sensing the impact of the pandemic on the population’s health status and indirectly on the economy’s state as a whole, based on a model related to the Markov chains, is limited to using the scenario method only to quantify the effect of the pandemic over different exposure times, establishing a set of coefficients based on which the pandemic evolution curves are modelled. | The author’s conclusions support the need for economic analyses regarding the consequences of COVID-19 on the economy as a whole and on the public health segment. The proposed analysis is only an intermediate step in evaluating the general disturbing picture of economic growth. | From our point of view, our proposed model is more efficient and competitive and is able to quantify economic performance and to anticipate regional economic developments at least in the short term. The model can be improved by accumulating socio-economic influences on growth, which is also taken into account by our model. |
| 6. | Gilchrist, S., Schoenle, R., Sim, J. and Zakrajsek, E., 2017 [8] | With relevant available data, the authors performed a pertinent analysis of the disturbing factors’ impacts, such as inflation of the global economy during the economic crisis. Thus, the authors correctly conclude that the financial disturbances influence the unjustified increase in the prices, having significant financial adverse effects on the stocks’ demand, affecting the liquidity and limiting the access to external financing. These factors act as markers of the growth curve’s flattening. | The model needs to be adjusted with the collateral effects of the need for financing due to the measures to combat the pandemic, and the need for financing due to social protection measures and economic recovery. | The issue of economic recovery financing is also treated by us through the prism of the investment process, which is affected by the allocations dedicated to the anti-pandemic fight, which is also reflected in our proposed model. |
| 7. | Adrian, T., Fleming, M., Shachar, O. and Vogt, E., 2017 [9] | [9] The authors developed a detailed study of the financial market in the post-economic crisis period using data over a 25-year period, which included the economic crisis from 2007 to 2009. There was a disturbance on the financial markets within the financial crisis, able to change the trend of the capitalized assets, decelerating their growth under the impact of the financial crisis. The transactions’ volatility was presented as a peak during the crisis period, which subsequently tended to reach the values with a delay of 150% compared to the previous period. Thus, in order to calm the volatility, a period of 1.5 times greater than the period preceding the crisis is needed (6 years compared to 4 years). In this research, the debt security positions and the expected returns suffer a minor adjustment to the repayments of placements curve, which reinforces the concept of pessimism that the researchers have pointed out in the article. They also make a financial projection for 2 and 10 years of the effects of the economic crisis. | The model is a relevant one, which realistically captures the impact of the economic crisis on the global economy through the financial markets. The practical example is the situation in China since February 2020, when, in the midst of the economic crisis, the corporate bonds worth about 30% of their capitalized value were traded. These transactions were made in favour of the Chinese state. | We estimate that the occurrence of aggravating factors such as the COVID-19 pandemic and the exacerbation of financial consumption are able to amplify the pessimism of this model. The model can be improved by quantifying the social effect of the pandemic, as well as by quantifying the financial effect of fighting and preventing the disease, which directs a large proportion of economic resources to the medical field, leaving other economic areas uncovered and thus vulnerable (tourism, education, etc.). |
| 8. | Kreichauf, R., 2018 [10] | The author analyses the phenomenon of refugee migration through a socio-spatial model elaborated in order to quantify the results of the measures of the refugees’ social inclusion and to accommodate them into the new socio-economic environment, including the quantification of the asylum austerities’ impact and the offered conditions in the refugee campuses in order to strengthen the norms of life safety on a sustainable basis. | There is pressure on asylum seekers that slows the social absorption of the asylum seekers and their integration into the new European socio-economic environment. The aspects invoked by the author must be assimilated into an impact study. | From our point of view, the socio-spatial model is not sufficient to achieve the research objectives proposed in the author’s study. |
| 9. | Hangartner, D., Dinas, E., Marbach, M., Matakos, K. and Xefteris D., 2018 [11] | The authors conducted a study on the impact of the refugee crisis. The study was conducted on the basis of the information collected by the authors, modelled through the TSLS regression, observing, after modelling, the exacerbation of antisocial behaviour of the natives in the analysed territories in relation to migrants. The favouring factors of the normalized behavioural model are represented by the strengthening of border protection, the measures regarding the prevention of terrorist attacks and social protection measures. The study was conducted across 3 regions of Greece, Italy and Spain, of which Greece represents about 80% of the migrant waves. | The model aims to solve specific issues regarding the affectation of the native population by the migrants’ waves, on the basis of the cluster methodology. The unilateral approach is inferior to integrating information in a complex model based on the congruent evaluation of several disturbing factors with a long-term effect on the regional population. | In the current context of the crisis in Afghanistan, this model can be improved with the logistical and economic components which derive from the crisis situation created punctually by the withdrawal of troops from Afghanistan. This information can be a source for adjusting the indicators of the proposed model to predict the downstream and upstream economic dimension of migrant wave absorption. |
| 10. | Harteveld, E., Schaper, J., De Lange, S.L. and Van Der Brug, W., 2017 [12] | The authors investigate how the refugee crisis affects the administrative capacity and the public opinion regarding the exercise of administrative attributes of governmental bodies on levels of influence. The Euroscepticism, as transpired from this study, was found to be directly proportional to the media phenomenon (the refugee crisis). The results of the study show that the polarization of the Europeans’ attitude in relation to this phenomenon of migration has the effect of lowering the support measures regarding the integration of new migrants into the European socio-economic life. | The authors analyse the dynamics of the mechanisms in relation to some secondary variables (for example, the media), which could have been replaced by an impact analysis of the socio-economic measures in relation to some primary aggravating factors such as those mentioned at the 9th point of Table 1. | In line with the current situation, we believe that improvements can be made both to the social and economic items as well as to the management and logistical strategy components of the refugee crisis. |
| 11. | Danielli, S., Patria, R., Donnelly, P., Ashrafian, H., Darzi, A., 2020 [13] | The paper presented by the authors analyses the economic intervention to ameliorate the impact of COVID-19 on the economy and the health system through an international comparison, by which the European countries (Spain, Sweden, France, UK, Germany and Italy) appear with the most significant allocations of GDP in terms of fiscal measures in order to combat the effects of COVID-19. The structure of the package of measures (according to the authors) differs from state to state, with the caveat that tax cuts and the adoption of population support measures is an almost general pattern in the states analysed. | The authors manage to centralize some fiscal actions that may lead to certain action profiles during the pandemic, but the comparison between these profiles is weak. The results of the analysis can be further explored to draw more relevant conclusions. | The study is of interest, but needs to be deepened from the comparative analysis point of view as well as from the creating relevant conclusions point of view. In our study, we showed that some European countries (France, Spain, Italy and the UK) faced a significant economic impact, this rationale being the premise for developing working hypotheses leading to conclusive results in terms of regional performance under the impact of COVID-19. |
| 12. | Umar, M., Xu, Y. and Mirza, S.S., 2021 [14] | The authors address the impact of the COVID-19 crisis on the labour market by analysing the impact of the pandemic on the GIG economy. | The results of the study show that, as far as the labour market is concerned, the degree of its affectation was in the closed economy area where many companies temporarily or permanently ceased their activity. At the same time, there have been online platforms where labour supply and demand could meet and generate a promising impact on “OLI filled jobs”. | Although it is an interesting study, the authors approach the effect of digitization on the labour market too optimistically, creating the premises for a positive effect of the transfer of labour supply from the real to the virtual environment. The analysis can be adjusted with additional correction factors on the economic contribution of telework productivity, even if some effects on pollution and social impact seem to confirm the hypotheses of the authors’ study. There are some sectors for which the positive impact can be quantified (services), but not in the productive sectors. |
| 13. | Asahi K, Undurraga EA, Valdés R, Wagner R., 2021 [15] | The authors analyse in an interesting way the effect of COVID-19 on the economy in the context of lockdown. The method of analysis is the study of VAT collection in Chile during the lockdown and before the COVID-19 crisis in 170 municipalities. | The picture presented is relevant and proves that the pandemic has a profound disruptive effect on the affected economies. There is both a temporary and a geographical effect, with some regions having more manageable profiles than others. | We believe that the study can be improved by collecting the social components and the measures of prevention and control of the disease in order to highlight a general picture of action and effects during the pandemic period. |
| 14. | Vitenu-Sackey, P.S. and Barfi, R., 2021 [16] | The authors analyse the global impact of the pandemic through a study in which they address both uncertainty and poverty alleviation in relation to economic growth. They point out that the COVID-19 pandemic far surpassed any other global pandemic produced between 1996 and 2020. The social component of the support measures reflects disparities in global economic development. | The model proposed by the authors’ aims to quantify the impact of the pandemic on the global economy and poverty alleviation. The model shows interesting composite variables such as the human development index (HDI) reported by the UN. The second composite indicator is the stringency index, which quantifies the impact of school closures, telecommuting and restrictions on free movement on society. These indicators in relation to GDP/capita and COVID’S monitoring indicators of illness and death are fed into a correlation matrix, showing that the pandemic is affecting economic growth and efforts to reduce the risk of poverty. | The study is topical, of interest and demonstrates the societal component as being of utmost importance in the pandemic equation. |
| 15. | Khurshid, A. and Khan, K., 2020 [17] | The authors analyse the impact of COVID-19 on the environment and the economy, making projections up to 2032, based on dynamic modelling. The model takes into account the shock wave theory and is based on the indicators of energy consumption, population, GDP and climate change. | Long-term forecasting in an unpredictable global economy has little chance of verifying the forecasting model (“negative spike will decline the GDP by USD 6313.76 million in 2026”). | The scenario method may improve the conclusions of the study, which we find interesting. An increase in the number of indicators per economic segment can better substantiate the presented projections, increasing the reliability of the presentation. |
| Coefficient | Std. Error | t-Ratio | p-Value | ||
|---|---|---|---|---|---|
| F1 | 2.18552 | 0.100009 | 21.85 | <0.0001 | *** |
| F2 | 0.105132 | 0.0479492 | 2.193 | 0.0293 | ** |
| F3 | 0.0501419 | 0.0431048 | 1.163 | 0.2459 | |
| F4 | −1.33810 | 0.0780583 | −17.14 | <0.0001 | *** |
| Mean dependent var | 3.150000 | S.D. dependent var | 1.150950 | ||
| The sum of the squares residuals | 123.2029 | Standard error of regression | 0.722528 | ||
| Uncentred R-squared | 0.728780 | Centred R-squared | 0.901506 | ||
| F (4.236) | 1277.098 | p-value(F) | 1.5e−158 | ||
| Log-likelihood | −2566.499 | Akaike criterion | 5140.998 | ||
| Schwarz criterion | 5154.920 | Hannan–Quinn | 5146.608 | ||
Publisher’s Note: MDPI stays neutral with regard to jurisdictional claims in published maps and institutional affiliations. |
© 2021 by the authors. Licensee MDPI, Basel, Switzerland. This article is an open access article distributed under the terms and conditions of the Creative Commons Attribution (CC BY) license (https://creativecommons.org/licenses/by/4.0/).
Share and Cite
Ionescu, R.-V.; Zlati, M.L.; Antohi, V.M. Global Challenges vs. the Need for Regional Performance Models under the Present Pandemic Crisis. Int. J. Environ. Res. Public Health 2021, 18, 10254. https://doi.org/10.3390/ijerph181910254
Ionescu R-V, Zlati ML, Antohi VM. Global Challenges vs. the Need for Regional Performance Models under the Present Pandemic Crisis. International Journal of Environmental Research and Public Health. 2021; 18(19):10254. https://doi.org/10.3390/ijerph181910254
Chicago/Turabian StyleIonescu, Romeo-Victor, Monica Laura Zlati, and Valentin Marian Antohi. 2021. "Global Challenges vs. the Need for Regional Performance Models under the Present Pandemic Crisis" International Journal of Environmental Research and Public Health 18, no. 19: 10254. https://doi.org/10.3390/ijerph181910254
APA StyleIonescu, R.-V., Zlati, M. L., & Antohi, V. M. (2021). Global Challenges vs. the Need for Regional Performance Models under the Present Pandemic Crisis. International Journal of Environmental Research and Public Health, 18(19), 10254. https://doi.org/10.3390/ijerph181910254

