Is It High Time to Increase Elite Soccer Substitutions Permanently?
Abstract
1. Introduction
2. Materials and Methods
2.1. Experimental Design
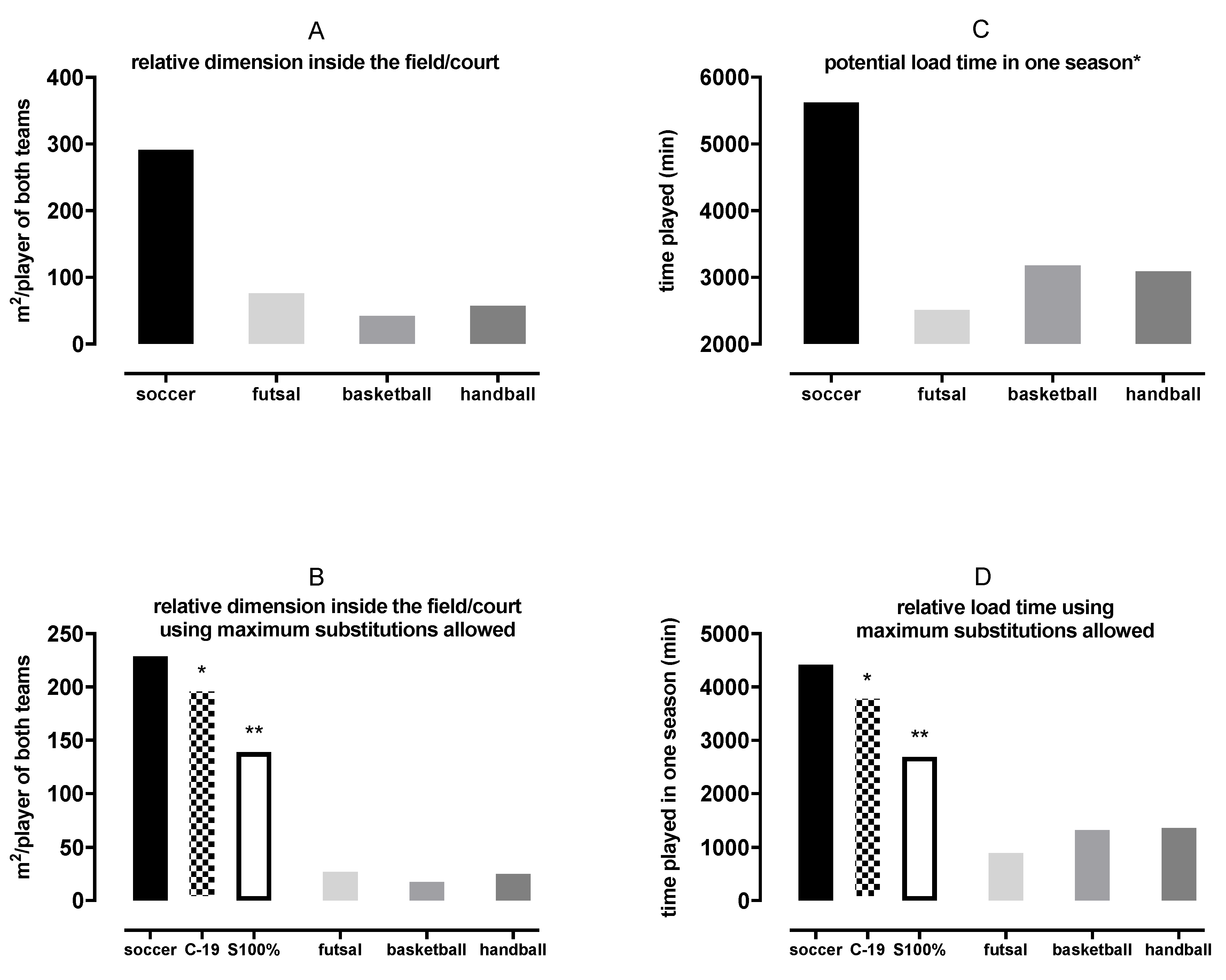
2.2. Rules of the Team Sports
2.3. Number of Games per Season
2.4. Data Analysis
3. Results
3.1. Rules of the Team Sports
3.2. Number of Games per Season
4. Discussion
5. Conclusions
Supplementary Materials
Author Contributions
Funding
Acknowledgments
Conflicts of Interest
References
- Silva, J.R.; Rumpf, M.C.; Hertzog, M.; Castagna, C.; Farooq, A.; Girard, O.; Hader, K. Acute and residual soccer match-related fatigue: A systematic review and meta-analysis. Sports Med. 2018, 48, 539–583. [Google Scholar] [CrossRef] [PubMed]
- Nédélec, M.; McCall, A.; Carling, C.; Legall, F.; Berthoin, S.; Dupont, G. Recovery in soccer. Sports Med. 2013, 43, 9–22. [Google Scholar] [CrossRef] [PubMed]
- Russell, M.; Sparkes, W.; Northeast, J.; Cook, C.J.; Bracken, R.M.; Kilduff, L.P. Relationships between match activities and peak power output and creatine kinase responses to professional reserve team soccer match-play. Hum. Mov. Sci. 2016, 45, 96–101. [Google Scholar] [CrossRef] [PubMed]
- Souglis, A.; Bogdanis, G.C.; Giannopoulou, I.; Papadopoulos, C.; Apostolidis, N. Comparison of inflammatory responses and muscle damage indices following a soccer, basketball, volleyball and handball game at an elite competitive level. Res. Sports Med. 2015, 23, 59–72. [Google Scholar] [CrossRef]
- Taylor, J.B.; Wright, A.A.; Dischiavi, S.L.; Townsend, M.A.; Marmon, A.R. Activity demands during multi-directional team sports: A systematic review. Sports Med. 2017, 47, 2533–2551. [Google Scholar] [CrossRef]
- Barnes, C.; Archer, D.T.; Hogg, B.; Bush, M.; Bradley, P.S. The evolution of physical and technical performance parameters in the English Premier League. Int. J. Sports Med. 2014, 35, 1095–1100. [Google Scholar] [CrossRef]
- Buchheit, M.; Eirale, C.; Simpson, B.M.; Lacome, M. Injury rate and prevention in elite football: Let us first search within our own hearts. Br. J. Sports Med. 2019, 53, 1327–1328. [Google Scholar] [CrossRef]
- Gabbett, T.J. The training-injury prevention paradox: Should athletes be training smarter and harder? Br. J. Sports Med. 2016, 50, 273–280. [Google Scholar] [CrossRef]
- Dellal, A.; Lago-Peñas, C.; Rey, E.; Chamari, K.; Orhant, E. The effects of a congested fixture period on physical performance, technical activity and injury rate during matches in a professional soccer team. Br. J. Sports Med. 2015, 49, 390–394. [Google Scholar] [CrossRef]
- Ekstrand, J.; Waldén, M.; Hägglund, M. A congested football calendar and the wellbeing of players: Correlation between match exposure of European footballers before the World Cup 2002 and their injuries and performances during that World Cup. Br. J. Sports Med. 2004, 38, 493–497. [Google Scholar] [CrossRef]
- Bengtsson, H.; Ekstrand, J.; Hägglund, M. Muscle injury rates in professional football increase with fixture congestion: An 11-year follow-up of the UEFA Champions League injury study. Br. J. Sports Med. 2013, 47, 743–747. [Google Scholar] [CrossRef] [PubMed]
- Ekstrand, J. Keeping your top players on the pitch: The key to football medicine at a professional level. Br. J. Sports Med. 2013, 47, 723–724. [Google Scholar] [CrossRef]
- Roos, H. Are there long-term sequelae from soccer? Clin. Sports Med. 1998, 17, 819–831. [Google Scholar] [CrossRef]
- Arliani, G.G.; Astur, D.C.; Yamada, R.K.F.; Yamada, A.F.; Miyashita, G.K.; Mandelbaum, B.; Cohen, M. Early osteoarthritis and reduced quality of life after retirement in former professional soccer players. Clinics 2014, 69, 589–594. [Google Scholar] [CrossRef]
- Knapp, T.P.; Mandelbaum, B.R.; Garrett, W.E. Why are stress injuries so common in the soccer player? Clin. Sports Med. 1998, 17, 835–853. [Google Scholar] [CrossRef]
- Pavin, L.N.; Leicht, A.S.; Gimenes, S.V.; da Silva, B.V.C.; de Simim, M.A.M.; Marocolo, M.; da Mota, G.R. Can compression stockings reduce the degree of soccer match-induced fatigue in females? Res. Sports Med. 2019, 27, 351–364. [Google Scholar] [CrossRef]
- Gimenes, S.V.; Marocolo, M.; Pavin, L.N.; Spigolon, L.M.P.; Barbosa Neto, O.; da Silva, B.V.C.; Duffield, R.; da Mota, G.R. Compression stockings used during two soccer matches improve perceived muscle soreness and high-intensity performance. J. Strength Cond. Res. 2019. [Google Scholar] [CrossRef]
- Rey, E.; Padrón-Cabo, A.; Costa, P.B.; Barcala-Furelos, R. Effects of foam rolling as a recovery tool in professional soccer players. J. Strength Cond. Res. 2019, 33, 2194–2201. [Google Scholar] [CrossRef]
- Russell, M.; Kingsley, M. The efficacy of acute nutritional interventions on soccer skill performance. Sports Med. 2014, 44, 957–970. [Google Scholar] [CrossRef]
- Bonnar, D.; Bartel, K.; Kakoschke, N.; Lang, C. Sleep interventions designed to improve athletic performance and recovery: A systematic review of current approaches. Sports Med. 2018, 48, 683–703. [Google Scholar] [CrossRef]
- López-Valenciano, A.; Ruiz-Pérez, I.; Garcia-Gómez, A.; Vera-Garcia, F.J.; De Ste Croix, M.; Myer, G.D.; Ayala, F. Epidemiology of injuries in professional football: A systematic review and meta-analysis. Br. J. Sports Med. 2020, 54, 711–718. [Google Scholar] [CrossRef] [PubMed]
- FIFA.com. Five-Substitute Option Extended into 2021 in Response to COVID-19 Pandemic—FIFA.com. Available online: https://www.fifa.com/who-we-are/news/five-substitute-option-extended-into-2021-in-response-to-covid-19-pandemic (accessed on 29 August 2020).
- Da Costa, L.C.A.; do Nascimento, J.V.; Vieira, L.F. Teaching invasive team sports in the school environment: From theory to practice from the perspective of a hybrid model. J. Phys. Educ. 2016, 27. [Google Scholar] [CrossRef][Green Version]
- da Mota, G.R.; Thiengo, C.R.; Gimenes, S.V.; Bradley, P.S. The effects of ball possession status on physical and technical indicators during the 2014 FIFA World Cup Finals. J. Sports Sci. 2016, 34, 493–500. [Google Scholar] [CrossRef] [PubMed][Green Version]
- Fédération Internationale de Football Association FIFA. FUTSAL Laws of the Game. Available online: https://football-technology.fifa.com/media/1022/footballs_futsal_laws_of_the_game.pdf (accessed on 8 June 2020).
- Fédération Internationale de Basketball FIBA. Official Basketball Rules 2018. Available online: https://www.fiba.basketball/documents/official-basketball-rules.pdf (accessed on 8 June 2020).
- International Handball Federation IHF. Rules of the Game. Available online: https://www.ihf.info/sites/default/files/2019-07/New-Rules%20of%20the%20Game_GB.pdf (accessed on 8 June 2020).
- Hopkins, W.G.; Marshall, S.W.; Batterham, A.M.; Hanin, J. Progressive statistics for studies in sports medicine and exercise science. Med. Sci. Sports Exerc. 2009, 41, 3–13. [Google Scholar] [CrossRef]
- Kinugasa, T. The application of single-case research designs to study elite athletes’ conditioning: An update. J. Appl. Sport Psychol. 2013, 25, 157–166. [Google Scholar] [CrossRef]
- Gualtieri, A.; Rampinini, E.; Sassi, R.; Beato, M. Workload monitoring in top-level soccer players during congested fixture periods. Int. J. Sports Med. 2020, 41, 677–681. [Google Scholar] [CrossRef]
- Ahlert, G. The economic effects of the soccer World Cup 2006 in Germany with regard to different financing. Econ. Syst. Res. 2001, 13, 109–127. [Google Scholar] [CrossRef]
- Waldén, M.; Hägglund, M.; Bengtsson, H.; Ekstrand, J. Perspectives in football medicine. Unfallchirurg 2018, 121, 470–474. [Google Scholar] [CrossRef] [PubMed]
- Bradley, P.S.; Carling, C.; Gomez Diaz, A.; Hood, P.; Barnes, C.; Ade, J.; Boddy, M.; Krustrup, P.; Mohr, M. Match performance and physical capacity of players in the top three competitive standards of English professional soccer. Hum. Mov. Sci. 2013, 32, 808–821. [Google Scholar] [CrossRef] [PubMed]
- Harper, D.J.; Carling, C.; Kiely, J. High-intensity acceleration and deceleration demands in elite team sports competitive match play: A systematic review and meta-analysis of observational studies. Sports Med. 2019, 49, 1923–1947. [Google Scholar] [CrossRef] [PubMed]
- Bradley, P.S.; Lago-Peñas, C.; Rey, E. Evaluation of the match performances of substitution players in elite soccer. Int. J. Sports Physiol. Perform. 2014, 9, 415–424. [Google Scholar] [CrossRef] [PubMed]
- Carling, C.; Espié, V.; Le Gall, F.; Bloomfield, J.; Jullien, H. Work-rate of substitutes in elite soccer: A preliminary study. J. Sci. Med. Sport 2010, 13, 253–255. [Google Scholar] [CrossRef] [PubMed]
- Hills, S.P.; Radcliffe, J.N.; Barwood, M.J.; Arent, S.M.; Cooke, C.B.; Russell, M. Practitioner perceptions regarding the practices of soccer substitutes. PLoS ONE 2020, 15. [Google Scholar] [CrossRef] [PubMed]
- Gómez, M.-Á.; Silva, R.; Lorenzo, A.; Kreivyte, R.; Sampaio, J. Exploring the effects of substituting basketball players in high-level teams. J. Sports Sci. 2017, 35, 247–254. [Google Scholar] [CrossRef]
- Jørgensen, U. Epidemiology of injuries in typical Scandinavian team sports. Br. J. Sports Med. 1984, 18, 59–63. [Google Scholar] [CrossRef]
- Hägglund, M.; Waldén, M.; Magnusson, H.; Kristenson, K.; Bengtsson, H.; Ekstrand, J. Injuries affect team performance negatively in professional football: An 11-year follow-up of the UEFA Champions League injury study. Br. J. Sports Med. 2013, 47, 738–742. [Google Scholar] [CrossRef]
- Hill-Haas, S.V.; Dawson, B.; Impellizzeri, F.M.; Coutts, A.J. Physiology of small-sided games training in football: A systematic review. Sports Med. 2011, 41, 199–220. [Google Scholar] [CrossRef]
- Russell, M.; Benton, D.; Kingsley, M. The effects of fatigue on soccer skills performed during a soccer match simulation. Int. J. Sports Physiol. Perform. 2011, 6, 221–233. [Google Scholar] [CrossRef]
- Wong, P.; Hong, Y. Soccer injury in the lower extremities. Br. J. Sports Med. 2005, 39, 473–482. [Google Scholar] [CrossRef]



| Variables | Soccer | Futsal | Basketball | Handball | |
|---|---|---|---|---|---|
| players on field/court | A | 11 | 5 | 5 | 7 |
| available substitutes * | B | 12 | 9 | 7 | 9 |
| total players available | C (A + B) | 23 | 14 | 12 | 16 |
| substitutions allowed | D | 3 | Unlimited *** | Unlimited *** | Unlimited *** |
| maximum players involved in a game (all substitutions allowed) | E | 14 (A + D) | 14 (C) | 12 (C) | 16 (C) |
| COVID-19: substitutions allowed ** | F | 5 | Unlimited *** | Unlimited *** | Unlimited *** |
| COVID-19: maximum players involved (all substitutions allowed) | G (A + F) | 16 | 14 | 12 | 16 |
| relative substitutions allowed/total players available | H (D/C) | 13% | 100% | 100% | 100% |
| relative COVID-19: substitutions allowed/total players available | I (F/C) | 21.7% | 100% | 100% | 100% |
| a substituted player can return to the game? | J | No | Yes | Yes | Yes |
| total game time and [half-time] (min) | K | 90 [15] | 40 [15] | 40 [19] | 60 [10] |
| total time load (A*K; min) | L | 990 | 200 | 200 | 420 |
| L/E (min/player) | M | 70.7 | 14.3 | 16.7 | 26.3 |
| COVID-19: L/G (min/player) | N | 61.9 | 14.3 | 16.7 | 26.3 |
| L/C *** if soccer could use all players available (min/player) | O | 43 | 14.3 | 16.7 | 26.3 |
| mitigation using COVID-19 substitutions allowed (from M to N) | P | −12.4% | −0% | −0% | −0% |
| mitigation using all substitutions allowed (from M to O) | Q | −39.2% | −0% | −0% | −0% |
| Variables | Soccer | Futsal | Basketball | Handball | |
|---|---|---|---|---|---|
| field/court dimension length x width (m) * | A | 100 × 64 | 38 × 20 | 28 × 15 | 40 × 20 |
| total field/court dimension (m2) * | B | 6400 | 760 | 420 | 800 |
| normalized total dimension (% of soccer) | C | 100% | 11.9% | 6.6% | 12.5% |
| number of players inside field or court | D | 22 (11 vs. 11) | 10 (5 vs. 5) | 10 (5 vs. 5) | 14 (7 vs. 7) |
| number of players on field or court (% of soccer) | E | 100% | 45.4% | 45.4% | 63.6% |
| area per player (B/D) (m2/player) | F | 291 | 76 | 42 | 57 |
| area per player (B/D) (% of soccer) | G | 100% | 26% | 14.4% | 19.6% |
| “increasing A” (m) to equalize soccer (F) | H | - | 74 × 39 | 74 × 39 | 90 × 45 |
| “increasing B” from H (m2) | I | - | 2886 | 2886 | 4050 |
| equalized area per player (I/D) (m2/player) | J | 291 | 289 | 289 | 289 |
| Soccer | Futsal | Basketball | Handball |
|---|---|---|---|
| Liverpool (62) | Magnus (57) | CSKA Moscow (71) | Vardar Skopje (50) |
| Tottenham Hotspur (62) | Sporting Lisboa (58) | Real Madrid (86) | Barcelona Lassa (53) |
| Flamengo (76) | Corinthians (74) | Barcelona Lassa (84) | MVM Veszprém (51) |
| River Plate (50) | Barcelona (62) | Anadolu Efes (77) | Vive Targi Kielce (52) |
| 62.5 * | 62.8 * | 79.5 * | 51.5 * |
© 2020 by the authors. Licensee MDPI, Basel, Switzerland. This article is an open access article distributed under the terms and conditions of the Creative Commons Attribution (CC BY) license (http://creativecommons.org/licenses/by/4.0/).
Share and Cite
Mota, G.R.; Santos, I.A.d.; Arriel, R.A.; Marocolo, M. Is It High Time to Increase Elite Soccer Substitutions Permanently? Int. J. Environ. Res. Public Health 2020, 17, 7008. https://doi.org/10.3390/ijerph17197008
Mota GR, Santos IAd, Arriel RA, Marocolo M. Is It High Time to Increase Elite Soccer Substitutions Permanently? International Journal of Environmental Research and Public Health. 2020; 17(19):7008. https://doi.org/10.3390/ijerph17197008
Chicago/Turabian StyleMota, Gustavo R., Izabela Aparecida dos Santos, Rhaí André Arriel, and Moacir Marocolo. 2020. "Is It High Time to Increase Elite Soccer Substitutions Permanently?" International Journal of Environmental Research and Public Health 17, no. 19: 7008. https://doi.org/10.3390/ijerph17197008
APA StyleMota, G. R., Santos, I. A. d., Arriel, R. A., & Marocolo, M. (2020). Is It High Time to Increase Elite Soccer Substitutions Permanently? International Journal of Environmental Research and Public Health, 17(19), 7008. https://doi.org/10.3390/ijerph17197008

