Using Mosses as Bioindicators of Potentially Toxic Element Contamination in Ecologically Valuable Areas Located in the Vicinity of a Road: A Case Study
Abstract
:1. Introduction
2. Materials and Methods
2.1. Sampling Strategy
2.2. Plant Material Analyses
2.3. Statistical Analysis
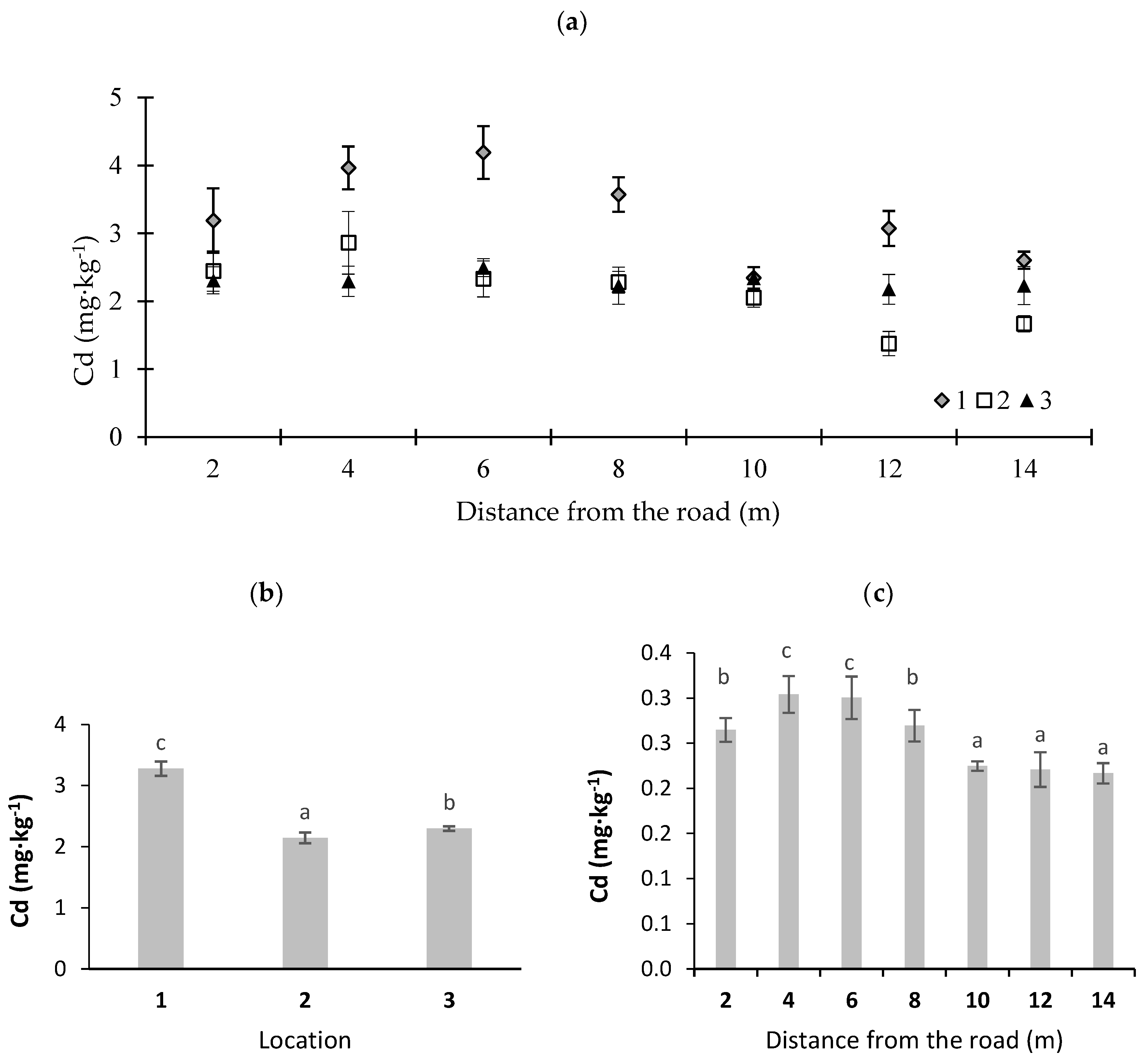
3. Results and Discussion
4. Conclusions
Author Contributions
Funding
Conflicts of Interest
References
- Adamcova, D.; Radziemska, M.; Ridoskova, A.; Barton, S.; Pelcova, P.; Elbl, J.; Kynicky, J.; Brtnicky, M.; Vaverkova, M.D. Environmental assessment of the effects of a municipal landfill on the content and distribution of heavy metals in Tanacetum vulgare L. Chemosphere 2017, 185, 1011–1018. [Google Scholar] [CrossRef] [PubMed]
- Asad, S.A.; Farooq, M.; Afzal, A.; West, H. Integrated phytobial heavy metal remediation strategies for a sustainable clean environment—A review. Chemosphere 2019, 217, 925–941. [Google Scholar] [CrossRef] [PubMed]
- Rai, P.K.; Lee, S.S.; Zhang, M.; Tsang, Y.F.; Kim, K.H. Heavy metals in food crops: Health risks, fate, mechanisms, and management. Environ. Int. 2019, 125, 365–385. [Google Scholar] [CrossRef] [PubMed]
- Samiee, F.; Vahidinia, A.; Javad, M.T.; Leili, M. Exposure to heavy metals released to the environment through breastfeeding: A probabilistic risk estimation. Sci. Total Environ. 2019, 650, 3075–3083. [Google Scholar] [CrossRef]
- Mao, C.; Song, Y.; Chen, L.; Ji, J.; Li, J.; Yuan, X.; Yang, Z.; Ayoko, G.A.; Froste, R.L.; Theiss, F. Human health risks of heavy metals in paddy rice based on transfer characteristics of heavy metals from soil to rice. CATENA 2019, 175, 339–348. [Google Scholar] [CrossRef]
- Hong, N.; Zhu, P.; Liu, A.; Zhao, X.; Guan, Y. Using an innovative flag element ratio approach to tracking potential sources of heavy metals on urban road surfaces. Environ. Pollut. 2018, 243, 410–417. [Google Scholar] [CrossRef]
- Lanzerstorfer, C. Heavy metals in the finest size fractions of road-deposited sediments. Environ. Pollut. 2018, 239, 522–531. [Google Scholar] [CrossRef]
- Men, C.; Liu, R.; Wang, Q.; Guo, L.; Shen, Z. The impact of seasonal varied human activity on characteristics and sources of heavy metals in metropolitan road dusts. Sci. Total Environ. 2018, 637–638, 844–854. [Google Scholar] [CrossRef]
- Zahedi, S.; Batista-Foguet, J.M.; Van Wunnik, L. Exploring the public’s willingness to reduce air pollution and greenhouse gas emissions from private road transport in Catalonia. Sci. Total Environ. 2019, 646, 850–861. [Google Scholar] [CrossRef]
- Khan, J.; Ketzel, M.; Kakosimos, K.; Sørensen, M.; Jensen, S.S. Road traffic air and noise pollution exposure assessment—A review of tools and techniques. Sci. Total Environ. 2018, 634, 661–676. [Google Scholar] [CrossRef]
- Sofowote, U.M.; Di Federico, L.M.; Healy, R.M.; Debosz, J.; Su, Y.; Wang, J.; Munoz, A. Heavy metals in the near-road environment: Results of semi-continuous monitoring of ambient particulate matter in the greater Toronto and Hamilton area. Atmos. Environ. X 2019, 1, 100005. [Google Scholar] [CrossRef]
- Ma, Y.; Gong, M.; Zhao, H.; Li, X. Influence of low impact development construction on pollutant process of road-deposited sediments and associated heavy metals. Sci. Total Environ. 2018, 613–614, 1130–1139. [Google Scholar] [CrossRef] [PubMed]
- Lazo, P.; Stafilov, T.; Qarri, F.; Allajbeu, S.; Bekteshi, L.; Frontasyev, M.; Harmens, H. Spatial distribution and temporal trend of airborne trace metal deposition in Albania studied by moss biomonitoring. Ecol. Indic. 2019, 101, 1007–1017. [Google Scholar] [CrossRef]
- Badyda, A.J. Environmental impact of transport. Nauka 2010, 4, 115–125. (In Polish) [Google Scholar]
- Goth, A.; Michelsen, A.; Rousk, K. Railroad derived nitrogen and heavy metal pollution does not affect nitrogen fixation associated with mosses and lichens at a tundra site in Northern Sweden. Environ. Pollut. 2019, 247, 857–865. [Google Scholar] [CrossRef] [PubMed]
- Schnyder, E.; Strok, M.; Kosonen, Z.; Skudnik, M.; Mazej, D.; Jeran, Z.; Thoni, L. Lead concentrations and stable lead isotope ratios in moss in Slovenia and Switzerland. Ecol. Indic. 2018, 95, 250–259. [Google Scholar] [CrossRef]
- Kempter, H.; Krachler, M.; Shotyk, W.; Zaccone, C. Major and trace elements in Sphagnum moss from four southern German bogs, and comparison with available moss monitoring data. Ecol. Indic. 2017, 78, 19–25. [Google Scholar] [CrossRef]
- Qarri, F.; Lazo, P.; Bekteshi, L.; Stafilov, T.; Frontasyeva, M.; Harmens, H. The effect of sampling scheme in the survey of atmospheric deposition of heavy metals in Albania by using moss biomonitoring. Environ. Sci. Pollut. Res. 2015, 22, 2258–2271. [Google Scholar] [CrossRef]
- Nakajima, H.; Itoh, K.; Otake, H.; Fujimoto, K. Spectral properties of the Cu-hyperaccumulating moss Scopelophila cataractae. J. Photochem. Photobiol. B 2011, 104, 467–472. [Google Scholar] [CrossRef]
- Poikolainen, J.; Kubin, E.; Piispanen, J.; Karhu, J. Atmospheric heavy metal deposition in Finland during 1985–2000 using mosses as bioindicators. Sci. Total Environ. 2004, 318, 171–185. [Google Scholar] [CrossRef]
- Peck, J.E. Towards sustainable commercial moss harvest in the Pacific Northwest of North America. Biol. Conserv. 2006, 128, 289–297. [Google Scholar] [CrossRef]
- Frontasyeva, M.V.; Steinnes, E.; Lyapunov, S.M.; Cherchintsev, V.D.; Smirnov, L.I. Biomonitoring of heavy metal deposition in the South Ural region: Some preliminary results obtained by nuclear and related techniques. J. Radioanal. Nucl. Chem. 2000, 245, 415–420. [Google Scholar] [CrossRef]
- Cowden, P.; Aherne, J. Assessment of atmospheric metal deposition by moss biomonitoring in a region under the influence of a long standing active aluminium smelter. Atmos. Environ. 2019, 201, 84–91. [Google Scholar] [CrossRef]
- Kosior, G.; Pribylova, P.; Vankova, L.; Kukucka, P.; Audy, O.; Klanova, J.; Samecka-Cymermana, A.; Mroz, L.; Kempers, A.J. Bioindication of PBDEs and PCBs by native and transplanted moss Pleurozium schreberi. Ecotoxicol. Environ. Saf. 2017, 143, 136–142. [Google Scholar] [CrossRef] [PubMed]
- Klos, A.; Ziembik, Z.; Rajfur, M.; Dolhanczuk-Srodka, A.; Bochenek, Z.; Bjerke, J.W.; Tommervik, H.; Zagajewski, B.; Ziolkowski, D.; Jerzy, D.; et al. Using moss and lichens in biomonitoring of heavy-metal contamination of forest areas in southern and north-eastern Poland. Sci. Total Environ. 2018, 627, 438–449. [Google Scholar] [CrossRef]
- Dolegowska, S.; Migaszewski, Z.M. Biomonitoring with mosses: Uncertainties related to sampling period, intrasite variability, and cleaning treatments. Ecol. Indic. 2019, 101, 296–302. [Google Scholar] [CrossRef]
- Statistica Data Analysis Software System, version 13; StatSoft, Inc. Poland: 2018. Available online: www.statsoft.com (accessed on 17 October 2019).
- Moschovou, T.; Tyrinopoulos, Y. Exploring the effects of economic crisis in road transport: The case of Greece. Int. J. Transp. Sci. Technol. 2018, 7, 264–273. [Google Scholar] [CrossRef]
- Urosevic, M.A.; Vukovic, G.; Jovanovic, P.; Vujicic, M.; Sabovljevic, A.; Sabovljevic, M.; Tomasevic, M. Urban background of air pollution: Evaluation through moss bag biomonitoring of trace elements in Botanical garden. Urban For. Urban Green. 2017, 25, 1–10. [Google Scholar] [CrossRef]
- Robinson, H.K.; Hasenmueller, E.A. Transport of road salt contamination in karst aquifers and soils over multiple timescales. Sci. Total Environ. 2007, 603–604, 94–108. [Google Scholar] [CrossRef]
- Campos, R.S.; Simon, A.T.; Martins, F.C. Assessing the impacts of road freight transport on sustainability: A case study in the sugar-energy sector. J. Clean. Prod. 2019, 220, 995–1004. [Google Scholar] [CrossRef]
- Anh, H.Q.; Tran, T.M.; Thuy, N.T.T.; Minh, T.B.; Takahashi, S. Screening analysis of organic micro-pollutants in road dusts from some areas in northern Vietnam: A preliminary investigation on contamination status, potential sources, human exposure, and ecological risk. Chemosphere 2019, 224, 428–436. [Google Scholar] [CrossRef] [PubMed]
- Johansson, C.; Norma, M.; Burman, L. Road traffic emission factors for heavy metals. Atmos. Environ. 2009, 43, 4681–4688. [Google Scholar] [CrossRef]
- Councell, T.B.; Duckenfield, K.U.; Landa, E.R.; Callender, E. Tire-wear particles as a source of zinc to the environment. Environ. Sci. Technol. 2004, 38, 4206–4214. [Google Scholar] [CrossRef] [PubMed]
- Sjodin, A.; Ferm, M.; Bjork, A.; Rahmberg, M.; Gudmundsson, A.; Swietlicki, E.; Johansson, C.; Gustafsson, M.; Blomqvist, G. Wear Particles from Road Traffic–A Field, Laboratory, and Modelling Study; IVL Swedish Environmental Research Institute Ltd.: Goteborg, Sweden, 2010; Available online: https://www.ivl.se/download/18.343dc99d14e8bb0f58b756f/1445517393581/B1830.pdf (accessed on 14 August 2019).
- Cowden, P.; Aherne, J. Interspecies comparison of three moss species (Hylocomium splendens, Pleurozium schreberi, and Isothecium stoloniferum) as biomonitors of trace element deposition. Environ. Monit. Assess. 2019, 191, 220. [Google Scholar] [CrossRef] [PubMed]
- Korzeniowska, J.; Panek, E. The Content of Trace Metals (Cd, Cr, Cu, Ni, Pb, Zn) in Selected Plant Species (Moss Pleurozium Schreberi, Dandelion Taraxacum Officianale, Spruce Picea Abies) along the Road Cracow—Zakopane. Geomat. Environ. Eng. 2012, 6, 43–50. [Google Scholar] [CrossRef]
- Grodzinska, K.; Szarek-Lukaszewska, G. Response of mosses to the heavy metal deposition in Poland—An overview. Environ. Pollut. 2001, 114, 443–451. [Google Scholar] [CrossRef]
- Das, R.; Mohtar, A.T.B.; Rakshit, D.; Shome, D.; Wang, X. Sources of atmospheric lead (Pb) in and around an Indian megacity. Atmos. Environ. 2018, 193, 57–65. [Google Scholar] [CrossRef]
- Winther, M.; Slento, E. Heavy Metal Emissions for Danish Road Transport; NERI Technical Report No. 780; Denmark, 2010. Available online: http://www2.dmu.dk/Pub/FR780.pdf (accessed on 14 August 2019).
- Bakirdere, S.; Yaman, M. Determination of lead, cadmium and copper in roadside soil and plants in Elazig, Turkey. Environ. Monit. Assess. 2008, 136, 401–410. [Google Scholar] [CrossRef]
- Blagnyte, R.; Paliulis, D. Research into heavy metals pollution of atmosphere. Applying moss as bioindicator: A literature review. Environ. Res. Eng. Manag. 2010, 54, 26. [Google Scholar]
- Grodzinska, K.; Frontasyeva, M.; Szarek-lukaszewska, G.; Klich, M.; Kucharska-Fabis, A.; Gundorina, S.F.; Ostrovnaya, T.M. Trace element contamination in industrial regions of Poland studied by moss monitoring. Environ. Monit. Assess. 2003, 87, 255–270. [Google Scholar] [CrossRef]
- Zechmeister, H.G.; Dullinger, S.; Hohenwallner, D.; Riss, A.; Hanus-Illnar, A.; Scharf, S. Pilot study on road traffic emissions (PAHs, heavy metals) measured by using mosses in a tunnel experiment in Vienna, Austria. Environ. Sci. Pollut. Res. Int. 2006, 6, 398–405. [Google Scholar] [CrossRef]
- Mazur, Z.; Radziemska, M.; Fronczyk, J.; Jeznach, J. Heavy metal accumulation in bioindicators of pollution in urban areas of northeastern Poland. Fresenius Environ. Bull. 2015, 24, 216–223. [Google Scholar]
- Sudip, K.; Wallis, S.; Arthur, S. Assessment of heavy metals emission from traffic on road surfaces. Cent. Eur. J. Chem. 2011, 9, 314–319. [Google Scholar] [CrossRef]






| 2014 | 2015 | 2016 | 2017 | 2018 | ||
|---|---|---|---|---|---|---|
| T | °C | 21.0 | 17.8 | 18.3 | 17.1 | 19.5 |
| Tmax | °C | 26.7 | 23.6 | 23.3 | 21.8 | 19.5 |
| Tmin | °C | 15.3 | 11.5 | 13.9 | 12.2 | 14.5 |
| RH | % | 64.5 | 68.4 | 78.1 | 75.6 | 75.1 |
| WS | km·h−1 | 9.6 | 10.0 | 9.1 | 9.9 | 11.4 |
| P | mm | 30.5 | 84.4 | 114.5 | 121.7 | 128.3 |
| AP | hPa | 1014.6 | 1013.6 | 1014.5 | 1011.4 | 1012.9 |
| Distance | Zn | Pb | Ni | Co | |
|---|---|---|---|---|---|
| Zn | −0.89 ** | ||||
| Pb | −0.89 ** | 0.86 * | |||
| Ni | −0.93 ** | 0.77 * | 0.86 * | ||
| Co | −0.90 ** | 0.81 * | 0.81 * | 0.86 * | |
| Cd | −0.80 * | 0.92 ** | 0.68 | 0.65 | 0.80 * |
| Source of Variation | Degrees of Freedom | F-Values and Significant Levels of Fixed Effects | ||||
|---|---|---|---|---|---|---|
| Zn | Co | Pb | Ni | Cd | ||
| Location (A) | 2 | 31.3 ** | 317 ** | 68.3 ** | 9.56 ** | 192 ** |
| Distance from the road (B) | 6 | 95.9 ** | 38.0 ** | 10.0 ** | 37.1 ** | 30.1 ** |
| A x B | 12 | 36.6 ** | 28.5 ** | 4.11 ** | 23.8 ** | 11.0 ** |
| Error | 84 | |||||
© 2019 by the authors. Licensee MDPI, Basel, Switzerland. This article is an open access article distributed under the terms and conditions of the Creative Commons Attribution (CC BY) license (http://creativecommons.org/licenses/by/4.0/).
Share and Cite
Radziemska, M.; Mazur, Z.; Bes, A.; Majewski, G.; Gusiatin, Z.M.; Brtnicky, M. Using Mosses as Bioindicators of Potentially Toxic Element Contamination in Ecologically Valuable Areas Located in the Vicinity of a Road: A Case Study. Int. J. Environ. Res. Public Health 2019, 16, 3963. https://doi.org/10.3390/ijerph16203963
Radziemska M, Mazur Z, Bes A, Majewski G, Gusiatin ZM, Brtnicky M. Using Mosses as Bioindicators of Potentially Toxic Element Contamination in Ecologically Valuable Areas Located in the Vicinity of a Road: A Case Study. International Journal of Environmental Research and Public Health. 2019; 16(20):3963. https://doi.org/10.3390/ijerph16203963
Chicago/Turabian StyleRadziemska, Maja, Zbigniew Mazur, Agnieszka Bes, Grzegorz Majewski, Zygmunt M. Gusiatin, and Martin Brtnicky. 2019. "Using Mosses as Bioindicators of Potentially Toxic Element Contamination in Ecologically Valuable Areas Located in the Vicinity of a Road: A Case Study" International Journal of Environmental Research and Public Health 16, no. 20: 3963. https://doi.org/10.3390/ijerph16203963
APA StyleRadziemska, M., Mazur, Z., Bes, A., Majewski, G., Gusiatin, Z. M., & Brtnicky, M. (2019). Using Mosses as Bioindicators of Potentially Toxic Element Contamination in Ecologically Valuable Areas Located in the Vicinity of a Road: A Case Study. International Journal of Environmental Research and Public Health, 16(20), 3963. https://doi.org/10.3390/ijerph16203963

