Effects of Nitrogen Fertilizers on the Growth and Nitrate Content of Lettuce (Lactuca sativa L.)
Abstract
:1. Introduction
2. Experimental Section
2.1. Soil Sampling and Analysis
2.2. Organic and Liquid Fertilizers
2.3. Pot Experiment
- CK: no fertilizers applied
- CF200: amended with 200 kg·N·ha−1 as NH4NO3
- CF400: amended with 400 kg·N·ha−1 as NH4NO3
- OM200: amended with 200 kg·N·ha−1 as organic fertilizer
- OM400: amended with 400 kg·N·ha−1 as organic fertilizer
- OM200+LF: in addition to organic fertilizer (200 kg·N·ha−1), 360 mL of diluted liquid fertilizer was applied every 3–4 days
- OM400+LF: in addition to organic fertilizer (400 kg·N·ha−1), 360 mL of diluted liquid fertilizer was applied every 3–4 days
2.4. Sampling and Analysis
3. Results and Discussion
3.1. Basic Properties of Soil and Fertilizers
3.2. Effects on Soil Properties
| Treatments † | Soil Properties ‡ | |||
|---|---|---|---|---|
| pHH2O | EC dS·m−1 | SOC % | TKN mg·kg−1 | |
| CK | 7.83 (7.75–7.89) ¶ b | 0.22 ± 0.04 § b | 0.88 ± 0.02 § b | 1,117 ± 156 § b |
| CF200 | 7.47 (7.32–7.60) c | 0.64 ± 0.13 b | 0.87 ± 0.03 b | 1,337 ± 152 a |
| CF400 | 7.44 (7.32–7.65) c | 1.21 ± 0.66 a | 0.86 ± 0.01 b | 1,249 ± 151 a |
| OM200 | 7.59 (7.40–7.75) bc | 0.35 ± 0.07 b | 0.87 ± 0.02 b | 1,328 ± 197 a |
| OM400 | 7.61 (7.56–7.67) bc | 0.56 ± 0.20 b | 0.88 ± 0.03 b | 1,300 ± 143 a |
| OM200 + LF | 8.14 (8.09–8.20) a | 0.75 ± 0.28 ab | 0.98 ± 0.02 a | 1,378 ± 173 a |
| OM400 + LF | 8.25 (8.11–8.47) a | 0.76 ± 0.07 ab | 0.99 ± 0.05 a | 1,434 ± 214 a |
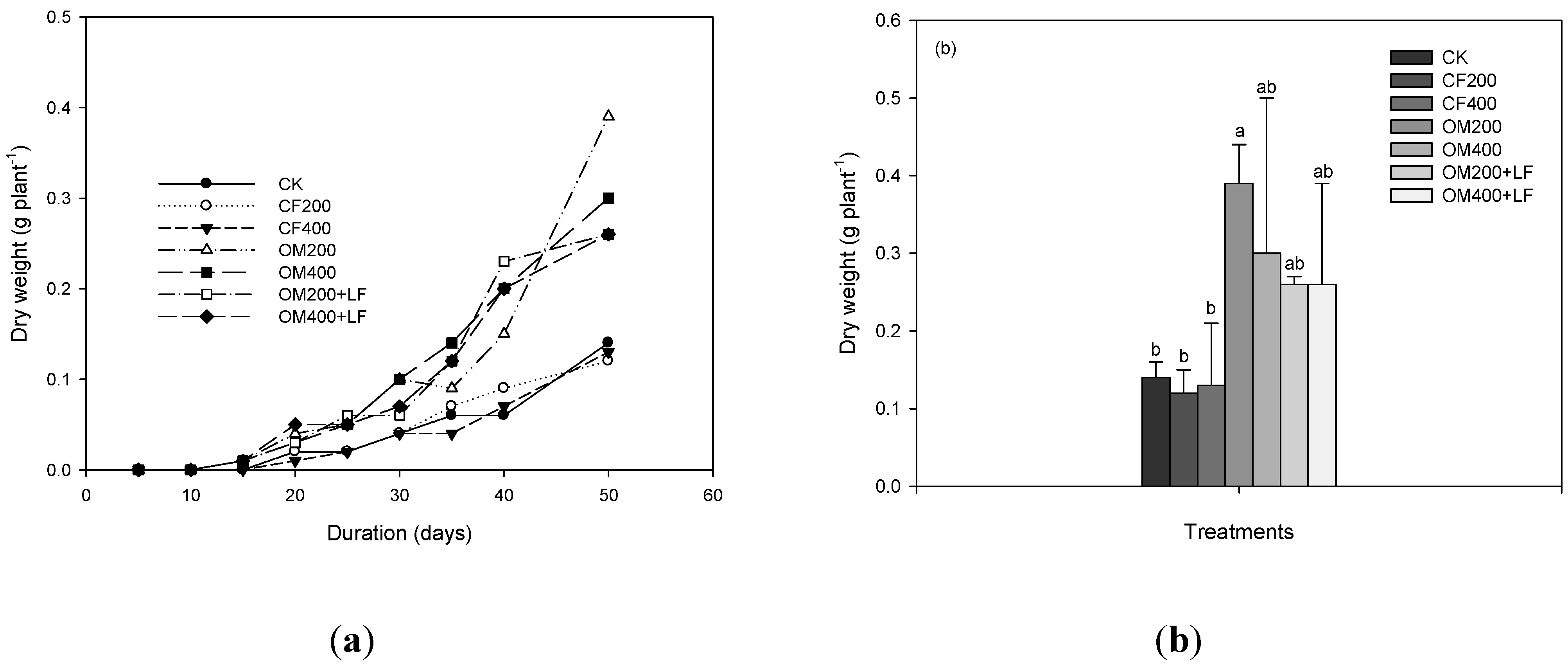
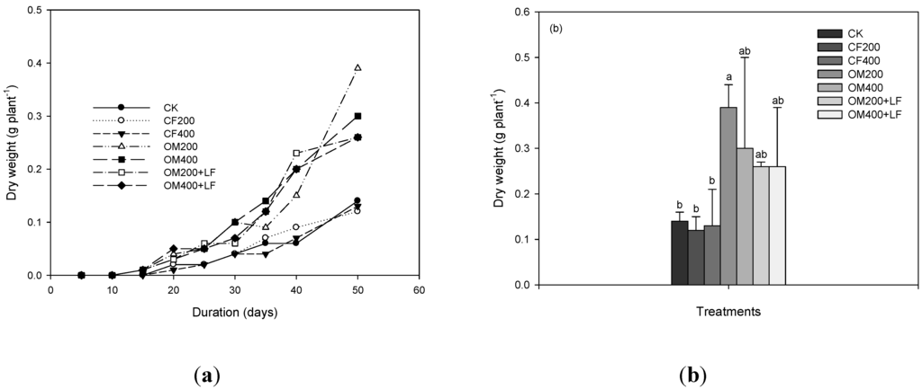
3.3. Effects on the Growth of Lettuce



3.4. Effects on the Total Nitrogen and Nitrate Concentrations

3.5. Discussion
4. Conclusions
Acknowledgments
Author Contributions
Conflicts of Interest
References
- Brady, N.C.; Weil, R.R. Soil Colloids: Seat of Soil Chemical and Physical Acidity. In The Nature and Properties of Soils; Brady, N.C., Weil, R.R., Eds.; Pearson Education Inc.: Upper Saddle River, NJ, USA, 2008; pp. 311–358. [Google Scholar]
- Ginting, D.; Kessavalou, A.; Eghball, B.; Doran, J.W. Greenhouse gas emissions and soil indicators four years after manure compost applications. J. Environ. Qual. 2003, 32, 23–32. [Google Scholar] [CrossRef]
- Watts, D.B.; Torbert, H.A.; Prior, S.A.; Huluka, G. Long-term tillage and poultry litter impacts soil carbon and nitrogen mineralization and fertility. Soil Sci. Soc. Amer. J. 2010, 74, 1239–1247. [Google Scholar] [CrossRef]
- Griffin, T.S. Nitrogen Availability. In Nitrogen in Agricultural Systems; Schepers, J., Raun, W.R., Eds.; SSSA Inc. and ASA Inc.: Madison, WI, USA, 2008; pp. 613–646. [Google Scholar]
- Dessureault-Rompré, J.; Zebarth, B.J.; Burton, D.L.; Sharifi, M.; Cooper, J.; Grant, C.A.; Drury, C.F. Relationships among mineralizable soil nitrogen, soil properties, and climatic indices. Soil Sci. Soc. Amer. J. 2010, 74, 1218–1227. [Google Scholar] [CrossRef]
- Fan, X.H.; Li, Y.C. Nitrogen release from slow-release fertilizers as affected by soil type and temperature. Soil Sci. Soc. Amer. J. 2010, 74, 1635–1641. [Google Scholar] [CrossRef]
- Lobell, D.B. The cost of uncertainty for nitrogen fertilizer management: A sensitivity analysis. Field Crop. Res. 2007, 100, 210–217. [Google Scholar] [CrossRef]
- Dessureault-Rompré, J.; Zebarth, B.J.; Chow, T.L.; Burton, D.L.; Sharifi, M.; Georgallas, A.; Porter, G.A.; Moreau, G.; Leclerc, Y.; Arsenault, W.J.; Grant, C.A. Predication of soil nitrogen supply in potato fields in a cool humid climate. Soil Sci. Soc. Amer. J. 2011, 75, 626–637. [Google Scholar] [CrossRef]
- Tamme, T.; Reinik, M.; Roasto, M. Nitrates and Nitrites in Vegetables: Occurrence and Health Risks. In Bioactive Foods Promoting Health: Fruits and Vegetables; Watson, R.R., Preedy, V.R, Eds.; Academic Press: Salt Lake City, UT, USA, 2009; pp. 307–321. [Google Scholar]
- Sharifi, M.; Zebarth, B.J.; Burton, D.L.; Rodd, V.; Grant, C.A. Long-term effects of semisolid beef manure application to forage grass on soil mineralizable nitrogen. Soil Sci. Soc. Amer. J. 2011, 75, 649–658. [Google Scholar] [CrossRef]
- Gastal, F.; Lemaire, G. N uptake and distribution in crops: An agronomical and ecophysiological perspective. J. Exp. Bot. 2002, 53, 789–799. [Google Scholar] [CrossRef]
- Wang, Z.H.; Zong, Z.Q.; Li, S.X.; Chen, B.M. Nitrate accumulation in vegetables and its residual in vegetable fields. Environ. Sci. 2002, 23, 79–83. [Google Scholar]
- Ikemoto, Y.; Teraguchi, M.; Kaneene, Y. Plasma level of nitrate in congenital heart disease: Comparison with healthy children. Pediatr. Cardiol. 2002, 23, 132–136. [Google Scholar] [CrossRef]
- Donner, S.D.; Kucharik, J.A. Evaluating the impacts of land management and climate variability on crop production and nitrate export across the Upper Mississippi Basin. Global Biogeochem. Cycle. 2003, 17. [Google Scholar] [CrossRef]
- Gunes, A.; Post, W.H.K.; Aktas, M. Effect of partial replacement of nitrate by NH4-N, urea-N and amino-N in nutrient solution on nitrate accumulation in lettuce (Lactuca sativa L.). Agrochimica 1995, 39, 326–333. [Google Scholar]
- Pavlou, G.C.; Ehaliotis, C.D.; Kavvadias, V.A. Effect of organic and inorganic fertilizers applied during successive crop seasons on growth and nitrate accumulation in lettuce. Sci. Hortic. 2007, 111, 319–325. [Google Scholar] [CrossRef]
- Chadjaa, H.; Vezina, L.P.; Gosselin, A. Effect of supplementary lighting on growth and primary nitrogen metabolism of greenhouse lamb’s lettuce and spinach. Can. J. Plant. Sci. 1999, 79, 421–426. [Google Scholar] [CrossRef]
- Tesi, R.; Lenzi, A. Controlled-released fertilizers and nitrate accumulation in lettuce (Lactuca sativa L.). Agr. Mediterranea 1998, 128, 313–320. [Google Scholar]
- Escobar-Gutierrez, A.J.; Burns, I.G.; Lee, A.; Edmondson, R.N. Screening lettuce cultivars for low nitrate content during summer and winter production. J. Hortic. Sci. Biotechnol. 2002, 77, 232–237. [Google Scholar]
- Zebarth, B.J.; Drury, C.F.; Tremblay, N.; Cambouris, A.N. Opportunities for improved fertilizer nitrogen management in production of arable crops in eastern Canada: A review. Can. J. Soil Sci. 2009, 89, 113–132. [Google Scholar] [CrossRef]
- Prasad, S.; Chetty, A.A. Nitrate-N determination in leafy vegetables: Study of the effects of cooking and freezing. Food Chem. 2008, 106, 772–780. [Google Scholar] [CrossRef]
- Santamaria, P. Nitrate in vegetables: Toxicity, content, intake and EC regulation. J. Sci. Food Agr. 2006, 86, 10–17. [Google Scholar] [CrossRef]
- Mensinga, T.T.; Speijers, G.J.; Meulenbelt, J. Health implications of exposure to environmental nitrogenous compounds. Toxicol. Rev. 2003, 22, 41–51. [Google Scholar] [CrossRef]
- Gardner, W.H. Water Content. In Methods of Soil Analysis, Part 1, Physical and Mineralogical Methods, 2nd ed.; Klute, A., Campbell, G.S., Nielsen, D.R., Jackson, R.D., Mortland, M.M., Eds.; SSSA Inc. and ASA Inc.: Madison, WI, USA, 1986; pp. 493–544. [Google Scholar]
- Thomas, G.W. Soil pH and Soil Acidity. In Methods of Soil Analysis, Part 3, Chemical Methods; Sparks, D.L., Page, A.L., Helmke, P.A., Loeppert, R.H., Soltanpour, P.N., Tabatabai, M.A., Johnston, C.T., Sumner, M.E., Eds.; SSSA Inc. and ASA Inc.: Madison, WI, USA, 1996; pp. 475–490. [Google Scholar]
- Rhoades, J.D. Salinity: Electrical Conductivity and Total Dissolved Solids. In Methods of Soil Analysis, Part 3, Chemical Methods; Sparks, D.L., Page, A.L., Helmke, P.A., Loeppert, R.H., Soltanpour, P.N., Tabatabai, M.A., Johnston, C.T., Sumner, M.E., Eds.; SSSA Inc. and ASA Inc.: Madison, WI, USA, 1996; pp. 417–435. [Google Scholar]
- Gee, G.W.; Bauder, J.W. Particle-size Analysis. In Methods of Soil Analysis, Part 1, Physical and Mineralogical Methods, 2nd ed.; Klute, A., Campbell, G.S., Nielsen, D.R., Jackson, R.D., Mortland, M.M., Eds.; SSSA Inc. and ASA Inc.: Madison, WI, USA, 1986; pp. 383–412. [Google Scholar]
- Nelson, D.W.; Sommers, L.E. Total Carbon, Organic Carbon, and Organic Matter. In Methods of Soil Analysis, Part 3, Chemical Methods; Sparks, D.L., Page, A.L., Helmke, P.A., Loeppert, R.H., Soltanpour, P.N., Tabatabai, M.A., Johnston, C.T., Sumner, M.E., Eds.; SSSA Inc. and ASA Inc.: Madison, WI, USA, 1996; pp. 961–1010. [Google Scholar]
- Sumner, M.E.; Miller, W.P. Cation Exchange Capacity and Exchange Coefficient. In Methods of Soil Analysis, Part 3, Chemical Methods; Sparks, D.L., Page, A.L., Helmke, P.A., Loeppert, R.H., Soltanpour, P.N., Tabatabai, M.A., Johnston, C.T., Sumner, M.E., Eds.; SSSA Inc. and ASA Inc.: Madison, WI, USA, 1996; pp. 1201–1229. [Google Scholar]
- Bremner, J.M. Nitrogen—Total. In Methods of Soil Analysis, Part 3, Chemical Methods; Sparks, D.L., Page, A.L., Helmke, P.A., Loeppert, R.H., Soltanpour, P.N., Tabatabai, M.A., Johnston, C.T., Sumner, M.E., Eds.; SSSA Inc. and ASA Inc.: Madison, WI, USA, 1996; pp. 1085–1122. [Google Scholar]
- Bremner, J.M.; Mulvaney, C.S. Salicylic Acid-thiosulfate Modification of Kjeldahl Method to Include Nitrate and Nitrite. In Methods of Soil Analysis, Part 2, Chemical and Microbiological Properties, 2nd ed.; Page, A.L., Ed.; Publisher: Academic Press:: New York, NY, USA, 1982; pp. 621–622. [Google Scholar]
- Juang, C.C. Rationalization Application of Fertilizers in Vegetable Farmlands. In Handbook on the Management of Soils and Fertilizers of Vegetable Farmlands; (in Chinese). The Chinese Society of Soil and Fertilizer Sciences: Taichung City, Taiwan, 2010; pp. 12–20. [Google Scholar]
- Rhoades, J.D.; Miyamoto, S. Testing Soils for Salinity and Sodicity. In Soil Testing and Plant Analysis; Westerman, R.L., Ed.; Soil Science Society of America Inc.: Madison, WI, USA, 1990; pp. 299–336. [Google Scholar]
- Lee, S.E.; Ahn, H.J.; Youn, S.K.; Kim, S.M.; Jung, K.W. Application effect of food waste compost abundant in NaCl on the growth and cationic balance of rice plant in paddy soil. Kor. J. Soil Sci. Fert. 2000, 33, 100–108. [Google Scholar]
- Lee, J.J.; Park, R.D.; Kim, Y.W.; Shim, J.H.; Chae, D.H.; Rim, Y.S.; Sohn, B.K.; Kim, T.H.; Kim, K.Y. Effect of food waste compost on microbial population, soil enzyme activity and lettuce growth. Biores. Technol. 2004, 93, 21–28. [Google Scholar] [CrossRef]
- Chen, B.M.; Wang, Z.H.; Li, S.X.; Wang, G.X.; Song, H.X.; Wang, X.N. Effects of nitrate supply on plant growth, nitrate accumulation, metabolic nitrate concentration and nitrate reductase activity in three leafy vegetables. Plant Sci. 2004, 167, 635–643. [Google Scholar] [CrossRef]
- Petropoulos, S.A.; Olympios, C.M.; Passam, H.C. The effect of nitrogen fertilization on plant growth and the nitrate content of leaves and roots of parsley in the Mediterranean region. Sci. Hortic. 2008, 118, 255–259. [Google Scholar] [CrossRef]
- Herencia, J.F.; García-Galavís, P.A.; Dorado, J.A.R.; Maqueda, C. Comparison of nutritional quality of the crops grown in an organic and conventional fertilized soil. Sci. Hortic. 2011, 129, 882–888. [Google Scholar] [CrossRef]
- Malmauret, L.; Parent-Massin, D.; Hardy, J.L.; Verger, P. Contaminants in organic and conventional foodstuffs in France. Food Addit. Contam. 2002, 19, 524–532. [Google Scholar] [CrossRef]
- Williams, C.M. Nutritional quality of organic food: Shades of grey or shades or green? Proc. Nutr. Soc. 2002, 51, 19–24. [Google Scholar] [CrossRef]
- Hajslova, J.; Schulzova, V.; Slanina, P.; Janne, K.; Hellenas, K.E.; Andersson, C. Quality of organically and conventionally grown potatoes: four-year study of micronutrients, metals, secondary metabolities, enzymic browning and organoleptic properties. Food Addit. Contam. 2005, 22, 514–534. [Google Scholar] [CrossRef]
- Petersen, A.; Stoltze, S. Nitrate and nitrite in vegetables on the Danish meaket: content and intake. Food Addit. Contam. 1999, 16, 291–299. [Google Scholar] [CrossRef]
- Chung, S.Y.; Kim, J.S.; Kim, M.; Hong, M.K.; Lee, J.O.; Kim, C.M.; Song, I.S. Survey of nitrate and nitrite contents of vegetables grown in Korea. Food Addit. Contam. 2003, 20, 621–628. [Google Scholar] [CrossRef]
- Tamme, T.; Reinik, M.; Roasto, M.; Juhkam, K.; Tenno, T.; Kiis, A. Nitrates and nitrites in vegetables and vegetable-based products and their intakes by the Estonian population. Food Addit. Contam. 2006, 23, 355–361. [Google Scholar] [CrossRef]
- Menard, C.; Heraud, F.; Volatier, J.L.; Leblanc, J.C. Assessment of dietary exposure of nitrate and nitrite in France. Food Addit. Contam. 2008, 25, 971–988. [Google Scholar] [CrossRef]
- Demšar, J.; Osvald, J.; Vodnik, D. The Effect of light-dependent application of nitrate on the growth of aeroponically grown lettuce (Lactuca sativa L.). J. Amer. Soc. Hort. Sci. 2004, 129, 570–575. [Google Scholar]
- Premuzic, Z.; Villela, F.; Garate, A.; Bonilla, I. Light supply and nitrogen fertilization for the production and quality of butterhead lettuce. Acta Hortic. 2004, 659, 671–678. [Google Scholar]
- EC. Commission Regulation No. 1881/2006 of 19 December 2006 setting maximum levels for certain contaminants in foodstuffs. Off. J. Eur. Comm. 2006, 364, 5–24. [Google Scholar]
- Dich, J.; Järvinen, R.; Knekt, P.; Penttilä, P.L. Dietary intakes of nitrate, nitrite and NDMA in the Finnish mobile clinic health examination survey. Food Addit. Contam. 1996, 13, 541–552. [Google Scholar] [CrossRef]
- Ximenes, M.I.N.; Rath, S.; Reyes, F.G.R. Polargraphic determination of nitrate in vegetables. Talanta 2000, 51, 49–56. [Google Scholar] [CrossRef]
- Van Velzen, A.G.; Sips, A.J.A.M.; Schothorst, R.C.; Lambers, A.C.; Meulenbelt, J. The oral bioavailability of nitrate from nitrate-rich vegetables in humans. Toxicol. Lett. 2008, 181, 177–181. [Google Scholar] [CrossRef]
© 2014 by the authors; licensee MDPI, Basel, Switzerland. This article is an open access article distributed under the terms and conditions of the Creative Commons Attribution license (http://creativecommons.org/licenses/by/3.0/).
Share and Cite
Liu, C.-W.; Sung, Y.; Chen, B.-C.; Lai, H.-Y. Effects of Nitrogen Fertilizers on the Growth and Nitrate Content of Lettuce (Lactuca sativa L.). Int. J. Environ. Res. Public Health 2014, 11, 4427-4440. https://doi.org/10.3390/ijerph110404427
Liu C-W, Sung Y, Chen B-C, Lai H-Y. Effects of Nitrogen Fertilizers on the Growth and Nitrate Content of Lettuce (Lactuca sativa L.). International Journal of Environmental Research and Public Health. 2014; 11(4):4427-4440. https://doi.org/10.3390/ijerph110404427
Chicago/Turabian StyleLiu, Cheng-Wei, Yu Sung, Bo-Ching Chen, and Hung-Yu Lai. 2014. "Effects of Nitrogen Fertilizers on the Growth and Nitrate Content of Lettuce (Lactuca sativa L.)" International Journal of Environmental Research and Public Health 11, no. 4: 4427-4440. https://doi.org/10.3390/ijerph110404427
APA StyleLiu, C.-W., Sung, Y., Chen, B.-C., & Lai, H.-Y. (2014). Effects of Nitrogen Fertilizers on the Growth and Nitrate Content of Lettuce (Lactuca sativa L.). International Journal of Environmental Research and Public Health, 11(4), 4427-4440. https://doi.org/10.3390/ijerph110404427
