Recombinant Expression and Antimicrobial Mechanism of Cysteine-Rich Antimicrobial Peptides from Tigriopus japonicus Genome
Abstract
1. Introduction
2. Results
2.1. Screening of AMPs with High Cysteine Content
2.2. Sequence and Structural Characterization of TjRcys1
2.3. MD Simulations Results
2.4. Recombinant Expression and Purification of TjRcys1
2.5. Identification of rTjRcys1 by Liquid Chromatography–Mass Spectrometry (LC-MS)
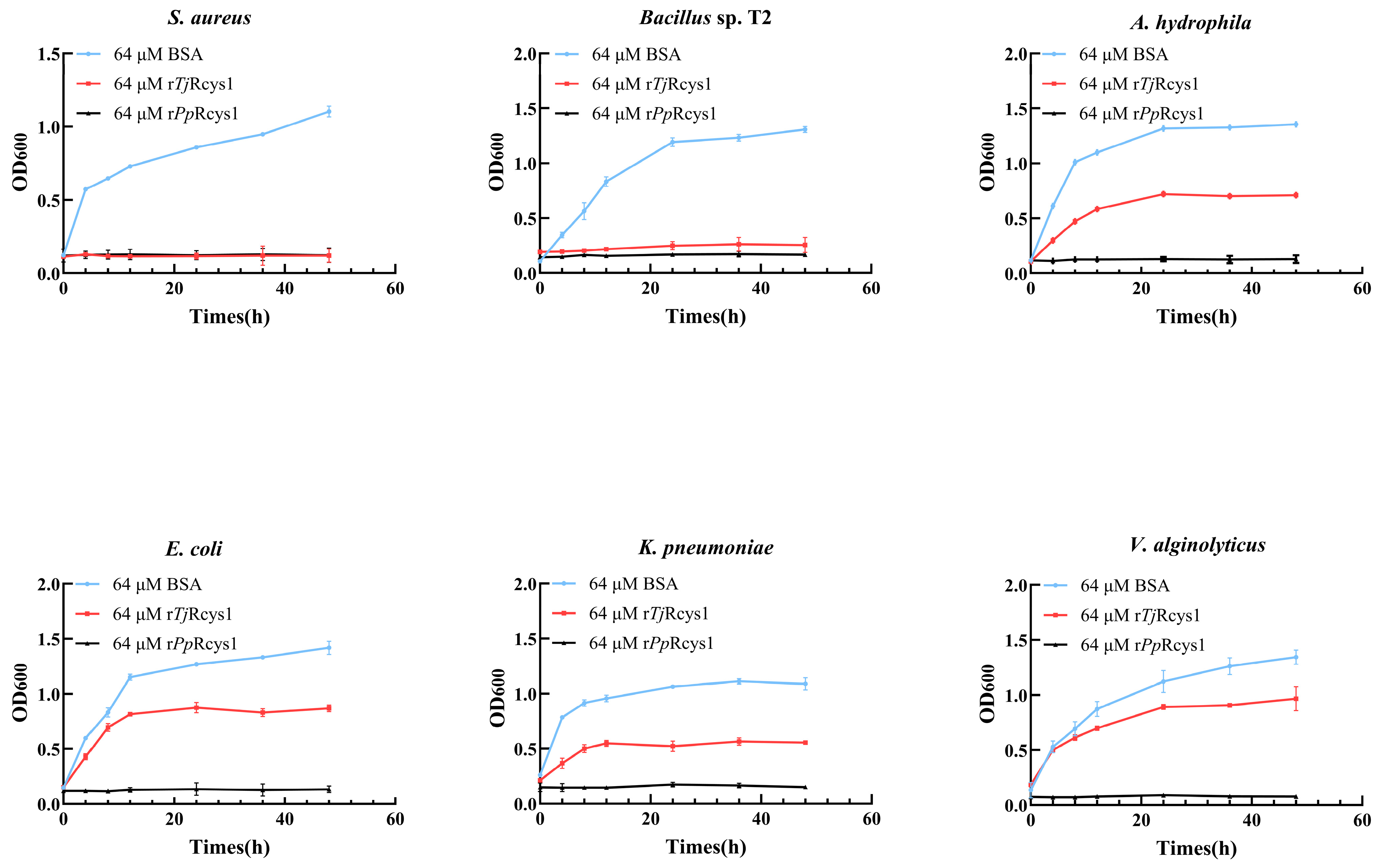
2.6. Antimicrobial Activity of rTjRcys1
2.7. Membrane Mimetic-Binding Activity of rTjRcys1 and Its Effect on the Permeability of Bacterial Membranes
2.8. Effects of rTjRcys1 upon Bacterial Morphology
2.9. Effect of rTjRcys1 upon the Activity of K. pneumoniae Cells
3. Discussion
4. Materials and Methods
4.1. Bacterial Strains and Culture Conditions
4.2. Prediction and Identification of Cysteine-Rich AMPs
4.3. MD Simulations
4.4. Expression and Purification of Recombinant TjRcys1 (rTjRcys1)
4.5. Antimicrobial Activity Assay of Recombinant TjRcys1
4.6. Assay to Measure the Binding of Mimetics to Membranes
4.7. Assay to Measure Membrane Permeability
4.8. Propidium Iodide (PI) Staining
4.9. SEM
4.10. Total RNA Extraction, Illumina Sequencing, and Analyses
4.11. Statistical Analyses
5. Conclusions
Supplementary Materials
Author Contributions
Funding
Institutional Review Board Statement
Informed Consent Statement
Data Availability Statement
Acknowledgments
Conflicts of Interest
References
- Chen, X.; Liu, H.; Liu, S.; Mao, J. Impact of Bacteriocins on Multidrug-Resistant Bacteria and Their Application in Aquaculture Disease Prevention and Control. Rev. Aquac. 2024, 16, 1286–1307. [Google Scholar] [CrossRef]
- Dayie, N.T.K.D.; Nathan-Mensah, F.N.N.; Kotey, F.C.N.; Tabi, B.K.A.; Kabotso, D.E.K.; Odoom, A.; Hotor, P.; Dayie, A.D.; Tetteh-Quarcoo, P.B.; Egyir, B. Multidrug-Resistant Bacteria in Aquaculture Systems in Accra, Ghana. Environ. Health Insights 2024, 18, 11786302241299368. [Google Scholar] [CrossRef]
- Mo, W.Y.; Chen, Z.; Leung, H.M.; Leung, A.O.W. Application of Veterinary Antibiotics in China’s Aquaculture Industry and Their Potential Human Health Risks. Environ. Sci. Pollut. Res. 2017, 24, 8978–8989. [Google Scholar] [CrossRef] [PubMed]
- Bondad-Reantaso, M.G.; MacKinnon, B.; Karunasagar, I.; Fridman, S.; Alday-Sanz, V.; Brun, E.; Le Groumellec, M.; Li, A.; Surachetpong, W.; Karunasagar, I. Review of Alternatives to Antibiotic Use in Aquaculture. Rev. Aquac. 2023, 15, 1421–1451. [Google Scholar] [CrossRef]
- Chen, P.; Ye, T.; Li, C.; Praveen, P.; Hu, Z.; Li, W.; Shang, C. Embracing the Era of Antimicrobial Peptides with Marine Organisms. Nat. Prod. Rep. 2024, 41, 331–346. [Google Scholar] [CrossRef]
- Tincu, J.A.; Taylor, S.W. Antimicrobial Peptides from Marine Invertebrates. Antimicrob. Agents Chemother. 2004, 48, 3645–3654. [Google Scholar] [CrossRef]
- Rosa, R.D.; Barracco, M.A. Antimicrobial Peptides in Crustaceans. Invertebr. Surviv. J. 2010, 7, 262–284. [Google Scholar]
- Brady, D.; Grapputo, A.; Romoli, O.; Sandrelli, F. Insect Cecropins, Antimicrobial Peptides with Potential Therapeutic Applications. Int. J. Mol. Sci. 2019, 20, 5862. [Google Scholar] [CrossRef]
- Schnapp, D.; Kemp, G.D.; Smith, V.J. Purification and Characterization of a Proline-rich Antibacterial Peptide, with Sequence Similarity to Bactenecin-7, from the Haemocytes of the Shore Crab, Carcinus Maenas. Eur. J. Biochem. 1996, 240, 532–539. [Google Scholar] [CrossRef] [PubMed]
- Wang, G.; Li, X.; Wang, Z. APD3: The Antimicrobial Peptide Database as a Tool for Research and Education. Nucleic Acids Res. 2016, 44, D1087–D1093. [Google Scholar] [CrossRef]
- Su, T.; Han, M.; Cao, D.; Xu, M. Molecular and Biological Properties of Snakins: The Foremost Cysteine-Rich Plant Host Defense Peptides. J. Fungi 2020, 6, 220. [Google Scholar] [CrossRef]
- Dimarcq, J.; Bulet, P.; Hetru, C.; Hoffmann, J. Cysteine-rich Antimicrobial Peptides in Invertebrates. Pept. Sci. 1998, 47, 465–477. [Google Scholar] [CrossRef]
- Reddy, K.V.R.; Yedery, R.D.; Aranha, C. Antimicrobial Peptides: Premises and Promises. Int. J. Antimicrob. Agents 2004, 24, 536–547. [Google Scholar] [CrossRef]
- Srivastava, S.; Dashora, K.; Ameta, K.L.; Singh, N.P.; El-Enshasy, H.A.; Pagano, M.C.; Hesham, A.E.; Sharma, G.D.; Sharma, M.; Bhargava, A. Cysteine-rich Antimicrobial Peptides from Plants: The Future of Antimicrobial Therapy. Phytother. Res. 2021, 35, 256–277. [Google Scholar] [CrossRef] [PubMed]
- Smith, V.J.; Fernandes, J.M.O.; Kemp, G.D.; Hauton, C. Crustins: Enigmatic WAP Domain-Containing Antibacterial Proteins from Crustaceans. Dev. Comp. Immunol. 2008, 32, 758–772. [Google Scholar] [CrossRef] [PubMed]
- Ma, H.; Feng, Y.; Cao, Q.; Jia, J.; Ali, M.; Shah, D.; Meyers, B.C.; He, H.; Zhang, Y. Evolution of Antimicrobial Cysteine-Rich Peptides in Plants. Plant Cell Rep. 2023, 42, 1517–1527. [Google Scholar] [CrossRef] [PubMed]
- Holzknecht, J.; Marx, F. Navigating the Fungal Battlefield: Cysteine-Rich Antifungal Proteins and Peptides from Eurotiales. Front. Fungal Biol. 2024, 5, 1451455. [Google Scholar] [CrossRef]
- Jeong, C.-B.; Lee, B.-Y.; Choi, B.-S.; Kim, M.-S.; Park, J.C.; Kim, D.-H.; Wang, M.; Park, H.G.; Lee, J.-S. The Genome of the Harpacticoid Copepod Tigriopus Japonicus: Potential for Its Use in Marine Molecular Ecotoxicology. Aquat. Toxicol. 2020, 222, 105462. [Google Scholar] [CrossRef]
- Tang, K.W.; Turk, V.; Grossart, H.-P. Linkage between Crustacean Zooplankton and Aquatic Bacteria. Aquat. Microb. Ecol. 2010, 61, 261–277. [Google Scholar] [CrossRef]
- He, Z.; Fei, Z.; Shi, H.; Huang, M.; Wei, L.; Wang, J.; He, P.; Zhang, W. Heterologous Expression and Antimicrobial Mechanism of a Cysteine-Rich Peptide from Barnacle Pollicipes Pollicipes. Microorganisms 2025, 13, 1381. [Google Scholar] [CrossRef]
- Seyfi, R.; Kahaki, F.A.; Ebrahimi, T.; Montazersaheb, S.; Eyvazi, S.; Babaeipour, V.; Tarhriz, V. Antimicrobial Peptides (AMPs): Roles, Functions and Mechanism of Action. Int. J. Pept. Res. Ther. 2020, 26, 1451–1463. [Google Scholar] [CrossRef]
- Zhang, W.; Xu, X.; Zhang, J.; Ye, T.; Zhou, Q.; Xu, Y.; Li, W.; Hu, Z.; Shang, C. Discovery and Characterization of a New Crustin Antimicrobial Peptide from Amphibalanus Amphitrite. Pharmaceutics 2022, 14, 413. [Google Scholar] [CrossRef]
- Zhang, W.; Wei, L.; Chen, P.; Ning, B.; Wang, J.; He, P.; Shang, C.; Yu, D. Discovery and Characterization of an Atypical Crustin Antimicrobial Peptide from Pollicipes Pollicipes. Mar. Drugs 2024, 22, 526. [Google Scholar] [CrossRef] [PubMed]
- Cao, Q.; Ge, C.; Wang, X.; Harvey, P.J.; Zhang, Z.; Ma, Y.; Wang, X.; Jia, X.; Mobli, M.; Craik, D.J. Designing Antimicrobial Peptides Using Deep Learning and Molecular Dynamic Simulations. Brief. Bioinform. 2023, 24, bbad058. [Google Scholar]
- Wang, Y.; Zhao, T.; Wei, D.; Strandberg, E.; Ulrich, A.S.; Ulmschneider, J.P. How Reliable Are Molecular Dynamics Simulations of Membrane Active Antimicrobial Peptides? Biochim. Biophys. Acta (BBA)-Biomembr. 2014, 1838, 2280–2288. [Google Scholar] [CrossRef] [PubMed]
- Ulmschneider, J.P.; Ulmschneider, M.B. Molecular Dynamics Simulations Are Redefining Our View of Peptides Interacting with Biological Membranes. Acc. Chem. Res. 2018, 51, 1106–1116. [Google Scholar] [CrossRef]
- Zhang, L.; Li, X.; Wei, D.; Wang, J.; Shan, A.; Li, Z. Expression of Plectasin in Bacillus Subtilis Using SUMO Technology by a Maltose-Inducible Vector. J. Ind. Microbiol. Biotechnol. 2015, 42, 1369–1376. [Google Scholar] [CrossRef]
- Xu, Y.; Dong, M.; Wang, Q.; Sun, Y.; Hang, B.; Zhang, H.; Hu, J.; Zhang, G. Soluble Expression of Antimicrobial Peptide BSN-37 from Escherichia coli by SUMO Fusion Technology. Protein J. 2023, 42, 563–574. [Google Scholar] [CrossRef]
- Volchenboum, S.L.; Kristjansdottir, K.; Wolfgeher, D.; Kron, S.J. Rapid Validation of Mascot Search Results via Stable Isotope Labeling, Pair Picking, and Deconvolution of Fragmentation Patterns*. Mol. Cell. Proteom. 2009, 8, 2011–2022. [Google Scholar] [CrossRef]
- Luo, Y.; Song, Y. Mechanism of Antimicrobial Peptides: Antimicrobial, Anti-Inflammatory and Antibiofilm Activities. Int. J. Mol. Sci. 2021, 22, 11401. [Google Scholar] [CrossRef]
- Han, F.-F.; Liu, Y.-F.; Xie, Y.-G.; Gao, Y.-H.; Luan, C.; Wang, Y.-Z. Antimicrobial Peptides Derived from Different Animals: Comparative Studies of Antimicrobial Properties, Cytotoxicity and Mechanism of Action. World J. Microbiol. Biotechnol. 2011, 27, 1847–1857. [Google Scholar] [CrossRef]
- Chen, N.; Jiang, C. Antimicrobial Peptides: Structure, Mechanism, and Modification. Eur. J. Med. Chem. 2023, 255, 115377. [Google Scholar] [CrossRef]
- Yuan, H.; Lyu, Y.; Cui, X.; Zhang, C.; Meng, Q. How Antimicrobial Peptide Indolicidin and Its Derivatives Interact with Phospholipid Membranes: Molecular Dynamics Simulation. J. Mol. Struct. 2024, 1312, 138625. [Google Scholar] [CrossRef]
- Palmer, N.; Maasch, J.R.M.A.; Torres, M.D.T.; de la Fuente-Nunez, C. Molecular Dynamics for Antimicrobial Peptide Discovery. Infect. Immun. 2021, 89, 10–1128. [Google Scholar] [CrossRef] [PubMed]
- Fang, Y.; Fan, D.; Feng, B.; Zhu, Y.; Xie, R.; Tan, X.; Liu, Q.; Dong, J.; Zeng, W. Harnessing Advanced Computational Approaches to Design Novel Antimicrobial Peptides against Intracellular Bacterial Infections. Bioact. Mater. 2025, 50, 510–524. [Google Scholar] [CrossRef] [PubMed]
- Freudl, R. Signal Peptides for Recombinant Protein Secretion in Bacterial Expression Systems. Microb. Cell Fact. 2018, 17, 52. [Google Scholar] [CrossRef]
- Heinrich, J.; Drewniok, C.; Neugebauer, E.; Kellner, H.; Wiegert, T. The YoaW Signal Peptide Directs Efficient Secretion of Different Heterologous Proteins Fused to a StrepII-SUMO Tag in Bacillus Subtilis. Microb. Cell Fact. 2019, 18, 31. [Google Scholar] [CrossRef]
- Park, A.R.; Kim, S.W.; Kim, S.Y.; Kwon, K.-C. Expression of Antimicrobial Peptide (AMP), Cecropin B, in a Fused Form to SUMO Tag with or without Three-Glycine Linker in Escherichia coli and Evaluation of Bacteriolytic Activity of the Purified AMP. Probiotics Antimicrob. Proteins 2021, 13, 1780–1789. [Google Scholar] [CrossRef]
- Lumangtad, L.A.; Bell, T.W. The Signal Peptide as a New Target for Drug Design. Bioorg Med. Chem. Lett. 2020, 30, 127115. [Google Scholar] [CrossRef]
- Rohde, M. The Gram-Positive Bacterial Cell Wall. Microbiol. Spectr. 2019, 7, 10–1128. [Google Scholar] [CrossRef]
- Malanovic, N.; Lohner, K. Antimicrobial Peptides Targeting Gram-Positive Bacteria. Pharmaceuticals 2016, 9, 59. [Google Scholar] [CrossRef]
- Gong, H.; Hu, X.; Liao, M.; Fa, K.; Ciumac, D.; Clifton, L.A.; Sani, M.-A.; King, S.M.; Maestro, A.; Separovic, F. Structural Disruptions of the Outer Membranes of Gram-Negative Bacteria by Rationally Designed Amphiphilic Antimicrobial Peptides. ACS Appl. Mater. Interfaces 2021, 13, 16062–16074. [Google Scholar] [CrossRef]
- Band, V.I.; Weiss, D.S. Mechanisms of Antimicrobial Peptide Resistance in Gram-Negative Bacteria. Antibiotics 2014, 4, 18–41. [Google Scholar] [CrossRef]
- Clejan, S.; Krulwich, T.A.; Mondrus, K.R.; Seto-Young, D. Membrane Lipid Composition of Obligately and Facultatively Alkalophilic Strains of Bacillus Spp. J. Bacteriol. 1986, 168, 334–340. [Google Scholar] [CrossRef] [PubMed]
- Foster, T.J. The Staphylococcus Aureus “Superbug”. J. Clin. Invest. 2004, 114, 1693–1696. [Google Scholar] [CrossRef] [PubMed]
- Taheri-Araghi, S.; Ha, B.-Y. Cationic Antimicrobial Peptides: A Physical Basis for Their Selective Membrane-Disrupting Activity. Soft Matter 2010, 6, 1933–1940. [Google Scholar] [CrossRef]
- Chen, C.; Chen, J.; Yu, Q.; Zhang, J.; Niu, X.; Hao, L.; Yang, L.; Zhao, Y. Effects of Salts on the Self-Assembly Behavior and Antibacterial Activity of a Surfactant-like Peptide. Soft Matter 2020, 16, 9758–9768. [Google Scholar] [CrossRef]
- Yu, Q.; Zhang, Z.; Sun, J.; Xia, Y.; Du, Q.; Liang, D. Effects of Chain Length and Hydrophobicity/Charge Ratio of AMP on Its Antimicrobial Activity. Sci. China Chem. 2017, 60, 385–395. [Google Scholar] [CrossRef]
- Gagat, P.; Ostrówka, M.; Duda-Madej, A.; Mackiewicz, P. Enhancing Antimicrobial Peptide Activity through Modifications of Charge, Hydrophobicity, and Structure. Int. J. Mol. Sci. 2024, 25, 10821. [Google Scholar] [CrossRef]
- Schmidtchen, A.; Pasupuleti, M.; Malmsten, M. Effect of Hydrophobic Modifications in Antimicrobial Peptides. Adv. Colloid. Interface Sci. 2014, 205, 265–274. [Google Scholar] [CrossRef]
- Slezina, M.P.; Istomina, E.A.; Korostyleva, T.V.; Odintsova, T.I. The γ-Core Motif Peptides of Plant AMPs as Novel Antimicrobials for Medicine and Agriculture. Int. J. Mol. Sci. 2022, 24, 483. [Google Scholar] [CrossRef]
- Yount, N.Y.; Yeaman, M.R. Multidimensional Signatures in Antimicrobial Peptides. Proc. Natl. Acad. Sci. USA 2004, 101, 7363–7368. [Google Scholar] [CrossRef]
- Perrin, B.S., Jr.; Tian, Y.; Fu, R.; Grant, C.V.; Chekmenev, E.Y.; Wieczorek, W.E.; Dao, A.E.; Hayden, R.M.; Burzynski, C.M.; Venable, R.M.; et al. High-Resolution Structures and Orientations of Antimicrobial Peptides Piscidin 1 and Piscidin 3 in Fluid Bilayers Reveal Tilting, Kinking, and Bilayer Immersion. J. Am. Chem. Soc. 2014, 136, 3491–3504. [Google Scholar] [CrossRef] [PubMed]
- Shahriar, S.; Ahsan, T.; Khan, A.; Akhteruzzaman, S.; Shehreen, S.; Sajib, A.A. Aspartame, Acesulfame K and Sucralose-Influence on the Metabolism of Escherichia coli. Metabol. Open 2020, 8, 100072. [Google Scholar] [CrossRef] [PubMed]
- Song, X.; Hou, C.; Yang, Y.; Ai, L.; Xia, Y.; Wang, G.; Yi, H.; Xiong, Z. Effects of Different Carbon Sources on Metabolic Profiles of Carbohydrates in Streptococcus Thermophilus during Fermentation. J. Sci. Food Agric. 2022, 102, 4820–4829. [Google Scholar] [CrossRef]
- Kaczanowska, M.; Rydén-Aulin, M. Ribosome Biogenesis and the Translation Process in Escherichia coli. Microbiol. Mol. Biol. Rev. 2007, 71, 477–494. [Google Scholar] [CrossRef]
- Xia, Z.; Zhou, X.; Li, J.; Li, L.; Ma, Y.; Wu, Y.; Huang, Z.; Li, X.; Xu, P.; Xue, M. Multiple-Omics Techniques Reveal the Role of Glycerophospholipid Metabolic Pathway in the Response of Saccharomyces Cerevisiae Against Hypoxic Stress. Front. Microbiol. 2019, 10, 1398. [Google Scholar] [CrossRef]
- Kilstrup, M.; Hammer, K.; Ruhdal Jensen, P.; Martinussen, J. Nucleotide Metabolism and Its Control in Lactic Acid Bacteria. FEMS Microbiol. Rev. 2005, 29, 555–590. [Google Scholar] [CrossRef]
- Omardien, S.; Brul, S.; Zaat, S.A.J. Antimicrobial Activity of Cationic Antimicrobial Peptides against Gram-Positives: Current Progress Made in Understanding the Mode of Action and the Response of Bacteria. Front. Cell Dev. Biol. 2016, 4, 111. [Google Scholar] [CrossRef] [PubMed]
- Chan, Y.R.; Gallo, R.L. PR-39, a Syndecan-Inducing Antimicrobial Peptide, Binds and Affects P130Cas. J. Biol. Chem. 1998, 273, 28978–28985. [Google Scholar] [CrossRef]
- Boman, H.G.; Agerberth, B.; Boman, A. Mechanisms of Action on Escherichia coli of Cecropin P1 and PR-39, Two Antibacterial Peptides from Pig Intestine. Infect. Immun. 1993, 61, 2978–2984. [Google Scholar] [CrossRef]
- Carmen Chifiriuc, M.; Mihai Grumezescu, A.; Lazar, V.; Bolocan, A.; Triaridis, S.; Grigore, R.; Bertesteanu, S. Contribution of Antimicrobial Peptides to the Development of New and Efficient Antimicrobial Strategies. Curr. Proteom. 2014, 11, 98–107. [Google Scholar] [CrossRef]
- Xiong, Y.-Q.; Bayer, A.S.; Yeaman, M.R. Inhibition of Intracellular Macromolecular Synthesis in Staphylococcus Aureus by Thrombin-Induced Platelet Microbicidal Proteins. J. Infect. Dis. 2002, 185, 348–356. [Google Scholar] [CrossRef] [PubMed]
- Scocchi, M.; Tossi, A.; Gennaro, R. Proline-Rich Antimicrobial Peptides: Converging to a Non-Lytic Mechanism of Action. Cell. Mol. Life Sci. 2011, 68, 2317–2330. [Google Scholar] [CrossRef]
- Jean-François, F.; Castano, S.; Desbat, B.; Odaert, B.; Roux, M.; Metz-Boutigue, M.-H.; Dufourc, E.J. Aggregation of Cateslytin β-Sheets on Negatively Charged Lipids Promotes Rigid Membrane Domains. A New Mode of Action for Antimicrobial Peptides? Biochemistry 2008, 47, 6394–6402. [Google Scholar] [CrossRef] [PubMed]
- Epand, R.M.; Epand, R.F. Lipid Domains in Bacterial Membranes and the Action of Antimicrobial Agents. Biochim. Biophys. Acta (BBA)-Biomembr. 2009, 1788, 289–294. [Google Scholar] [CrossRef] [PubMed]
- Nagy, K.; Végh, A.G.; Kereszt, A.; Kondorosi, É.; Váró, G.; Szegletes, Z. Interaction of Cysteine-Rich Cationic Antimicrobial Peptides with Intact Bacteria and Model Membranes. Gen. Physiol. Biophys. 2015, 34, 135–144. [Google Scholar] [CrossRef]
- Li, Y. Recombinant Production of Antimicrobial Peptides in Escherichia coli: A Review. Protein Expr. Purif. 2011, 80, 260–267. [Google Scholar] [CrossRef]
- Koch, P.; Schmitt, S.; Heynisch, A.; Gumpinger, A.; Wüthrich, I.; Gysin, M.; Shcherbakov, D.; Hobbie, S.N.; Panke, S.; Held, M. Optimization of the Antimicrobial Peptide Bac7 by Deep Mutational Scanning. BMC Biol. 2022, 20, 114. [Google Scholar] [CrossRef]
- Li, G.; Yuan, X.; Chen, H.; Li, B.; Shao, C.; Zhu, Y.; Lai, Z.; Shan, A. Optimization of Antibacterial Activity in Tibetan Swine α-Helix Peptide Tp by Site-Directed Mutagenesis. Front. Microbiol. 2022, 13, 864374. [Google Scholar] [CrossRef]
- Duong, L.; Gross, S.P.; Siryaporn, A. Developing Antimicrobial Synergy with AMPs. Front. Med. Technol. 2021, 3, 640981. [Google Scholar] [CrossRef]
- Yang, H.; Li, S.; Li, F.; Xiang, J. Structure and Bioactivity of a Modified Peptide Derived from the LPS-Binding Domain of an Anti-Lipopolysaccharide Factor (ALF) of Shrimp. Mar. Drugs 2016, 14, 96. [Google Scholar] [CrossRef] [PubMed]
- Baindara, P.; Kapoor, A.; Korpole, S.; Grover, V. Cysteine-Rich Low Molecular Weight Antimicrobial Peptides from Brevibacillus and Related Genera for Biotechnological Applications. World J. Microbiol. Biotechnol. 2017, 33, 124. [Google Scholar] [CrossRef]
- Jo, S.; Kim, T.; Iyer, V.G.; Im, W. CHARMM-GUI: A Web-based Graphical User Interface for CHARMM. J. Comput. Chem. 2008, 29, 1859–1865. [Google Scholar] [CrossRef] [PubMed]
- Abraham, M.J.; Murtola, T.; Schulz, R.; Páll, S.; Smith, J.C.; Hess, B.; Lindahl, E. GROMACS: High Performance Molecular Simulations through Multi-Level Parallelism from Laptops to Supercomputers. SoftwareX 2015, 1, 19–25. [Google Scholar] [CrossRef]
- Best, R.B.; Zhu, X.; Shim, J.; Lopes, P.E.M.; Mittal, J.; Feig, M.; MacKerell, A.D., Jr. Optimization of the Additive CHARMM All-Atom Protein Force Field Targeting Improved Sampling of the Backbone ϕ, ψ and Side-Chain Χ1 and Χ2 Dihedral Angles. J. Chem. Theory Comput. 2012, 8, 3257–3273. [Google Scholar] [CrossRef]
- MacKerell, A.D., Jr.; Bashford, D.; Bellott, M.; Dunbrack, R.L., Jr.; Evanseck, J.D.; Field, M.J.; Fischer, S.; Gao, J.; Guo, H.; Ha, S.; et al. All-Atom Empirical Potential for Molecular Modeling and Dynamics Studies of Proteins. J. Phys. Chem. B 1998, 102, 3586–3616. [Google Scholar] [CrossRef]
- Bussi, G.; Donadio, D.; Parrinello, M. Canonical Sampling through Velocity Rescaling. J. Chem. Phys. 2007, 126, 014101. [Google Scholar] [CrossRef]
- Bernetti, M.; Bussi, G. Pressure Control Using Stochastic Cell Rescaling. J. Chem. Phys. 2020, 153, 114107. [Google Scholar] [CrossRef]
- Essmann, U.; Perera, L.; Berkowitz, M.L.; Darden, T.; Lee, H.; Pedersen, L.G. A Smooth Particle Mesh Ewald Method. J. Chem. Phys. 1995, 103, 8577–8593. [Google Scholar] [CrossRef]
- Darden, T.; York, D. An N⋅ Log (N) Method for Ewald Sums in Large Systems. J. Chem. Phys. 1993, 98, 10089–10092. [Google Scholar] [CrossRef]
- Humphrey, W.; Dalke, A.; Schulten, K. VMD: Visual Molecular Dynamics. J. Mol. Graph. 1996, 14, 33–38. [Google Scholar] [CrossRef] [PubMed]
- Humphries, R.; Bobenchik, A.M.; Hindler, J.A.; Schuetz, A.N. Overview of Changes to the Clinical and Laboratory Standards Institute Performance Standards for Antimicrobial Susceptibility Testing, M100. J. Clin. Microbiol. 2021, 59, 10–1128. [Google Scholar] [CrossRef] [PubMed]
- Tao, M.; Sun, A.; Shao, H.; Ye, H.; Yu, G.; Chen, D.; Zhang, W. Heterologous Expression and Antimicrobial Targets of a Novel Glycine-Rich Antimicrobial Peptide from Artemia Franciscana. Mar. Drugs 2025, 23, 330. [Google Scholar] [CrossRef]
- Zhou, L.; Li, G.; Jiao, Y.; Huang, D.; Li, A.; Chen, H.; Liu, Y.; Li, S.; Li, H.; Wang, C. Molecular and Antimicrobial Characterization of a Group G Anti-Lipopolysaccharide Factor (ALF) from Penaeus Monodon. Fish Shellfish Immunol. 2019, 94, 149–156. [Google Scholar] [CrossRef]
- Cornett, J.B.; Shockman, G.D. Cellular Lysis of Streptococcus Faecalis Induced with Triton X-100. J. Bacteriol. 1978, 135, 153–160. [Google Scholar] [CrossRef]
- Chen, S.; Zhou, Y.; Chen, Y.; Gu, J. Fastp: An Ultra-Fast All-in-One FASTQ Preprocessor. Bioinformatics 2018, 34, i884–i890. [Google Scholar] [CrossRef]
- Langdon, W.B. Performance of Genetic Programming Optimised Bowtie2 on Genome Comparison and Analytic Testing (GCAT) Benchmarks. BioData Min. 2015, 8, 1. [Google Scholar] [CrossRef] [PubMed]
- Liao, Y.; Smyth, G.K.; Shi, W. FeatureCounts: An Efficient General Purpose Program for Assigning Sequence Reads to Genomic Features. Bioinformatics 2014, 30, 923–930. [Google Scholar] [CrossRef]
- Love, M.; Anders, S.; Huber, W. Differential Analysis of Count Data–the DESeq2 Package. Genome Biol. 2014, 15, 10–1186. [Google Scholar]
- Wu, T.; Hu, E.; Xu, S.; Chen, M.; Guo, P.; Dai, Z.; Feng, T.; Zhou, L.; Tang, W.; Zhan, L.I. ClusterProfiler 4.0: A Universal Enrichment Tool for Interpreting Omics Data. Innovation 2021, 2, 100141. [Google Scholar] [CrossRef] [PubMed]







| Microorganism | MIC (μM) | ||
|---|---|---|---|
| rTjRcys1 | rPpRcys1 | ||
| Gram-positive bacteria | S. aureus | 64 | 8 |
| Bacillus sp. T2 | 64 | 8 | |
| Gram-negative bacteria | A. hydrophila | – | 32 |
| K. pneumoniae | – | 64 | |
| E. coli | – | 16 | |
| V. alginolyticus | – | 16 | |
Disclaimer/Publisher’s Note: The statements, opinions and data contained in all publications are solely those of the individual author(s) and contributor(s) and not of MDPI and/or the editor(s). MDPI and/or the editor(s) disclaim responsibility for any injury to people or property resulting from any ideas, methods, instructions or products referred to in the content. |
© 2026 by the authors. Licensee MDPI, Basel, Switzerland. This article is an open access article distributed under the terms and conditions of the Creative Commons Attribution (CC BY) license.
Share and Cite
Pu, D.; Tao, H.; Pang, J.; Shi, H.; Wang, J.; Zhang, W. Recombinant Expression and Antimicrobial Mechanism of Cysteine-Rich Antimicrobial Peptides from Tigriopus japonicus Genome. Mar. Drugs 2026, 24, 45. https://doi.org/10.3390/md24010045
Pu D, Tao H, Pang J, Shi H, Wang J, Zhang W. Recombinant Expression and Antimicrobial Mechanism of Cysteine-Rich Antimicrobial Peptides from Tigriopus japonicus Genome. Marine Drugs. 2026; 24(1):45. https://doi.org/10.3390/md24010045
Chicago/Turabian StylePu, Dan, Hongwei Tao, Jingwei Pang, Huishao Shi, Junjian Wang, and Wei Zhang. 2026. "Recombinant Expression and Antimicrobial Mechanism of Cysteine-Rich Antimicrobial Peptides from Tigriopus japonicus Genome" Marine Drugs 24, no. 1: 45. https://doi.org/10.3390/md24010045
APA StylePu, D., Tao, H., Pang, J., Shi, H., Wang, J., & Zhang, W. (2026). Recombinant Expression and Antimicrobial Mechanism of Cysteine-Rich Antimicrobial Peptides from Tigriopus japonicus Genome. Marine Drugs, 24(1), 45. https://doi.org/10.3390/md24010045

