Next Article in Journal
The Marine-Derived Fungus Clonostachys rosea, Source of a Rare Conjugated 4-Me-6E,8E-hexadecadienoic Acid Reducing Viability of MCF-7 Breast Cancer Cells and Gene Expression of Lipogenic Enzymes
Next Article in Special Issue
Hormaomycins B and C: New Antibiotic Cyclic Depsipeptides from a Marine Mudflat-Derived Streptomyces sp.
Previous Article in Journal / Special Issue
Marine Indole Alkaloids
 
 
Font Type:
Arial Georgia Verdana
Font Size:
Aa Aa Aa
Line Spacing:
Column Width:
Background:
Article

Chemistry of Renieramycins. Part 14: Total Synthesis of Renieramycin I and Practical Synthesis of Cribrostatin 4 (Renieramycin H)

Graduate School of Pharmaceutical Sciences, Meiji Pharmaceutical University, 2-522-1 Noshio, Kiyose, Tokyo 204-8588, Japan
*
Author to whom correspondence should be addressed.
Mar. Drugs 2015, 13(8), 4915-4933; https://doi.org/10.3390/md13084915
Submission received: 27 June 2015 / Revised: 21 July 2015 / Accepted: 22 July 2015 / Published: 6 August 2015
(This article belongs to the Special Issue Marine Secondary Metabolites)

Abstract

:
The first total synthesis of (±)-renieramycin I, which was isolated from the Indian bright blue sponge Haliclona cribricutis, is described. The key step is the selenium oxide oxidation of pentacyclic bis-p-quinone derivative (3) stereo- and regioselectively. We also report a large-scale synthesis of cribrostatin 4 (renieramycin H) via the C3-C4 double bond formation in an early stage based on the Avendaño’s protocol, from readily available 1-acetyl-3-(3-methyl-2,4,5-trimethylphenyl)methyl-piperazine-2,5-dione (8) in 18 steps (8.3% overall yield). The synthesis provides unambiguous evidence supporting the original structure of renieramycin I.

Graphical Abstract

1. Introduction

Many tetrahydroisoquinoline antitumor natural products, such as renieramycins, saframycins, and ecteinascidins, have attracted considerable interest due to their extraordinary structures and meager availability in nature, as well as their potent antitumor activity [1,2]. Among them, renieramycins H (1h) and I (1i) were isolated from the methanol extract of the Indian bright blue sponge Haliclona cribricutis collected from the intertidal region of Okha, Gujarat, in 1988 [3]. Original structures 1h and 1i were given the names renieramycins H and I, respectively. Thereafter, we revised the structure of renieramycin H to that of cribrostatin 4 (2) [4,5,6], which was independently isolated from the blue sponge Cribrochalina sp. collected from reef passages in the Republic of Maldives, based on 13C NMR studies of several semi-synthetic models (Figure 1) [7,8]. Cribrostatin 4 (2) has attracted the interest of several medicinal chemistry experts because of its unique structure and cytotoxicity despite the lack of the hemiaminal or aminonitrile function at C-21. Three total syntheses of 2 have been reported [9,10,11]. Recently, we completed a 21-step stereocontrolled total synthesis of (±)-2 from 1-acetyl-3-(3-methyl-2,4,5-trimethylphenyl)methyl-piperazine-2,5-dione (8) in 3.4% overall yield [12,13]. Furthermore, we have accomplished the total synthesis of renieramycin G (1g) [14,15]. The availability of 1g and 2 has enabled us to prepare several renieramycin derivatives having a lactam carbonyl to understand the molecular basis of their impressive cytotoxicity profiles. We present herein an alternative large-scale approach for the total synthesis of 2. This approach might yield a variety of novel analogs of cribrostatin 4 (2), as well as C3-C4 unsaturated bis-p-quinone derivatives, such as renieramycin I (1i), for detailed studies of structure activity relationships (SARs) of these classes of antitumor marine natural products.
Figure 1. Structures of bis-1,2,3,4-tetrahydroisoquinoline marine natural products.
Figure 1. Structures of bis-1,2,3,4-tetrahydroisoquinoline marine natural products.
Marinedrugs 13 04915 g001

2. Results

The most serious problem in our previous cribrostatin 4 (2) synthesis was that 1-epi-pentacyclic alcohol (4) (Chart 1) might be formed, and the undesired stereochemistry had to be converted into the natural one at C-1 position via enolate formation through several cycles. Avendaño et al. reported that the stereocenter at C-3 of 1,3-trans-compound 5 [16] could be transformed into corresponding 1,3-cis-compound 7 via unsaturated compound 6 through regioselective radical bromination, followed by hydrogenation from the less hindered α-face in good yield [17]. They applied this protocol to the preparation of pentacyclic phthalascidin analogs [18]. We were very interested in this procedure for constructing the 1,3-cis relationships of renieramycins (Scheme 1) [19].
Chart 1. Structure of 1-epi-pentacyclic alcohol.
Chart 1. Structure of 1-epi-pentacyclic alcohol.
Marinedrugs 13 04915 g002
Scheme 1. Epimerization at C-3 through regioselective bromination at C-3 position and reduction sequences by Avendaño and co-workers.
Scheme 1. Epimerization at C-3 through regioselective bromination at C-3 position and reduction sequences by Avendaño and co-workers.
Marinedrugs 13 04915 g003
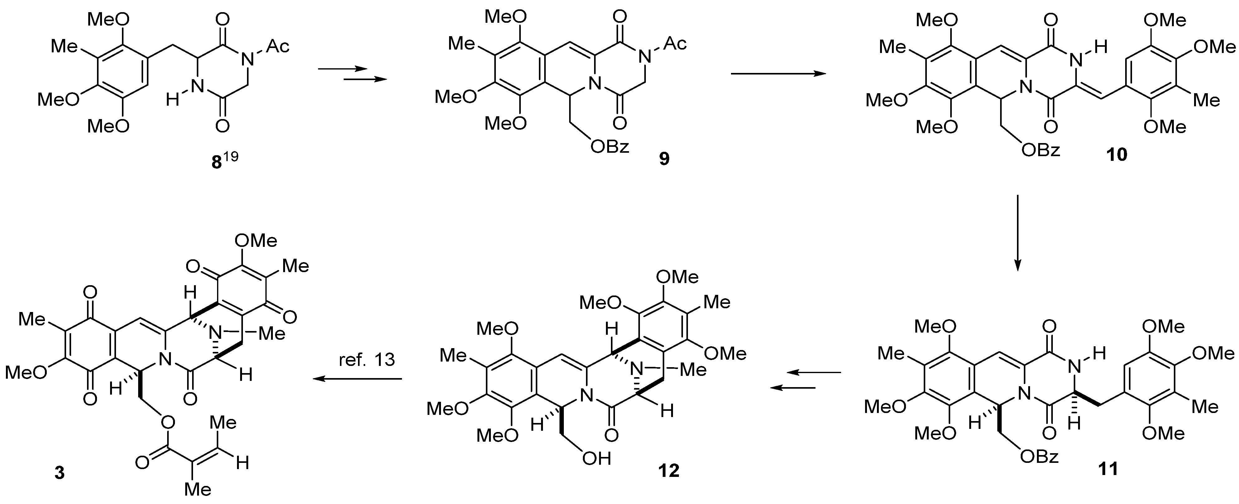
Based on Avendaño’s protocol, we designed an alternative synthetic plan that involves the key transformations outlined in Scheme 2: (1) construction of tricyclic compound 9 having an α,β-unsaturated amide carbonyl from readily available compound 8 [20]; (2) condensation of 9 with benzaldehyde derivative and subsequent regio- and stereospecific hydrogenation leading to compound 11; (3) construction of pentacyclic framework and conversion of ester into our intermediate 12, which can be transformed into cribrostatin 4 intermediate 3 [13] (Scheme 2).
Scheme 2. Strategy for practical synthesis of compound 3, which will be converted into 1i and 2.
Scheme 2. Strategy for practical synthesis of compound 3, which will be converted into 1i and 2.
Marinedrugs 13 04915 g004
According to the results of our previous studies [21,22], treatment of 8 with trimethylsilyl chloride (TMSCl) in the presence of triethylamine (TEA) in CH2Cl2 gave O-trimethylsilyl lactim intermediate 14, which was treated with 2,2-diethoxyethyl benzoate in the presence of trimethylsilyl triflate (TMSOTf) and acetic anhydride to give 15 as an inseparable mixture of diastereomers (15a:15b = 10:3) in 92% yield. After exerting a great deal of effort to separate this mixture by column chromatography several times, we obtained both isomers in their pure forms, and detailed 2D NMR studies confirmed the structures of 15a (minor) and 15b (major). The NMR spectrum of 15a displayed H-1 and H-3 proton signals at δ 6.20 and δ 4.70, respectively, whereas the NMR spectrum of 15b showed H-1 and H-3 proton signals appearing at δ 6.15 and δ 4.07, respectively. An observable nuclear Overhauser enhancement (NOE) between H-3 and H-22 revealed that compound 15a has the trans form (Scheme 3).
Scheme 3. 89: (1) TMSCl, TEA, CH2Cl2; (2) (EtO)2CHCH2OBz, TMSOTf, Ac2O, CH2Cl2; (3) NBS, CCl4, 60 °C, 3 h; (4) H2, Pd/C, iPrOH/DMF, 25 °C, 11 h.
Scheme 3. 89: (1) TMSCl, TEA, CH2Cl2; (2) (EtO)2CHCH2OBz, TMSOTf, Ac2O, CH2Cl2; (3) NBS, CCl4, 60 °C, 3 h; (4) H2, Pd/C, iPrOH/DMF, 25 °C, 11 h.
Marinedrugs 13 04915 g005
We then studied the conversion of 15 into unsaturated compound 9, which is the first key step of our synthesis. A preliminary experiment was carried out using major isomer 15a. According to the typical conditions of Avendaño et al. [17], 15a was treated with N-bromosuccinimide (NBS: 1.0 equiv.) and 2,2′-azobisisobutyronitrile (AIBN: 0.1 equiv.) in CCl4 at 80 °C for 6 h to generate 9 (55%) and 16 (4%) plus unreacted 15a (33%). The 1H NMR spectrum of 9 showed an H-4 olefinic proton signal that appeared as a singlet at δ 7.47. The 1H NMR spectrum of 16 showed characteristic AB type doublet proton signals at δ 4.60 and δ 4.57 along with the H-4 olefinic singlet proton signal at δ 7.41. Accordingly, 16 might be a product of over-reaction product at C-6 aromatic methyl group. After extensive investigation of the reaction conditions, we found that the yield of our target 9 could be improved by slightly lowering the reaction temperature (60 °C) and excluding AIBN. Thus, the reaction of 15a with NBS (2 equiv.) in CCl4 at 60 °C for 6 h gave 9 (69%) and 16 (13%). It was extremely difficult to separate 9 and 16 in a large scale using silica gel column chromatography. However, catalytic reduction of the above mixture using 10% Pd/C in 2-propanol and DMF at 25 °C for 11 h gave 9 as the sole product in 82% overall yield. Accordingly, the transformation of 15a into 9 without any purification of the intermediates was found to be the best choice in terms of overall yield (9 in 71% yield in four steps).
With key intermediate 9 in hand, we next looked into ways to design a practical transformation of 9 into 12, which was the key intermediate in our previous total synthesis of cribrostatin 4 (2) (Scheme 4 and Scheme 5). Condensation of 9 with benzaldehyde derivative 17 [20] in the presence of potassium tert-butoxide gave (Z)-arylidenepiperazinedione 10 in 70% yield. Catalytic hydrogenation of the trisubstituted double bond of 10 over 10% Pd on carbon in MeOH at 25 °C proceeded chemoselectively to give desired 11a (72%) along with 11b (21%). Detailed 2D NMR studies were performed to confirm the structures of 11a and 11b. The NMR spectrum of 11a displayed H-1 and H-13 proton signals at δ 6.53 and δ 4.34, respectively, whereas the NMR spectrum of 11b had H-1 and H-13 proton signals appearing δ 6.43 and δ 4.45, respectively. An NOE between H-1 and H-13 proton signals was observed in 11a but not 11b. Thus, the hydrogenation of 10 obviously occurred stereoselectively from the α-face to generate H-1 and H-13 cis isomer 11a. It is proposed that the steric hindrance due to the C-8 methoxy group and the C-21 carbonyl group was responsible for the β-axial orientation of C-1 substituent as shown in conformer X of 10.
Scheme 4. Preparation of key intermediate 11a.
Scheme 4. Preparation of key intermediate 11a.
Marinedrugs 13 04915 g006
The piperazinedione ring of 11a was activated by introducing a 2-propyloxycarbonyl group to give imide 18 in 96% yield. Chemoselective reduction of 18 in the conventional manner afforded a hemiaminal, which was treated with formic acid at 25 °C for 0.5 h to afford 19 [23] in 82% yield. Deprotection of 19 with TFA and H2SO4 gave secondary amine 20, which was transformed into 21 by reductive methylation in high yield. Hydrolysis of 21 with 10 N aqueous LiOH in THF/MeOH at 25 °C for 8 h gave primary alcohol 12 in 97% yield, which is identical to the intermediate in our previous total synthesis [13].
Scheme 5. Construction of pentacyclic primary alcohol 12.
Scheme 5. Construction of pentacyclic primary alcohol 12.
Marinedrugs 13 04915 g007
The conversion of 12 into 22 was accomplished by partial demethylation with boron tribromide (BBr3), followed by oxidative demethylation to give bis-p-quinone 22 in 67% yield (Scheme 6). Acylation of 22 with in situ prepared angeloyl chloride in dichloromethane gave common intermediate 23 in 84% yield. Encouraged by the results of our extensive model studies, including the transformation of several natural products [24,25,26], the introduction of a methoxy group to the C-14 position of 23 was achieved using 10 equiv. of SeO2 in a mixture of methanol and dioxane at 100 °C for six days to give 1i in 43% yield along with secondary alcohol 24 in 29% yield. The orientation of the methoxy group of 1i was assigned on the basis of the signal of 14-H (δ 4.34, d, J = 1.4 Hz). The spectroscopic properties of synthetic 1i were in complete accord with those of natural renieramycin I (1i) [27].
Scheme 6. Transformation of compound 12 into renieramycin I (1i) and cribrostatin 4 (2) through compound 23.
Scheme 6. Transformation of compound 12 into renieramycin I (1i) and cribrostatin 4 (2) through compound 23.
Marinedrugs 13 04915 g008

3. Experimental Section

IR spectra were obtained with a Shimadzu Prestige 21/IRAffinity-1 FT-IR spectrometer. 1H- and 13C-NMR spectra were recorded on a JEOL JNM-ECA 500 FT NMR spectrometer at 500 MHz for 1H and 125 MHz for 13C; a JEOL JNM-AL 400 NMR spectrometer at 400 MHz for 1H and 100 MHz for 13C; and a JEOL JNM-AL 300 NMR spectrometer at 300 MHz for 1H and 75 MHz for 13C (ppm, J in Hz with TMS as internal standard). All proton and carbon signals were assigned by extensive NMR measurements using COSY, HMBC, and HMQC techniques. Mass spectra were recorded on a JEOL JMS 700 instrument with a direct inlet system operating at 70 eV. Elemental analyses were conducted on a YANACO MT-6 CHN CORDER elemental analyzer.

3.1. ((6R*,11aR*)-2-Acetyl-7,8,10-trimethoxy-9-methyl-1,4-dioxo-1,3,4,6,11,11a-hexahydro-2H-pyrazino-(1,2-b)isoquinolin-6-yl)methyl Benzoate (15a) and ((6R*,11aS*)-2-acetyl-7,8,10-trimethoxy-9-methyl- 1,4-dioxo-1,3,4,6,11,11a-hexahydro-2H-pyrazino(1,2-b)isoquinolin-6-yl)methyl Benzoate (15b)

TMSCl (498 μL, 3.9 mmol) was added to a stirred solution of 8 (1.05 g, 3.0 mmol) in dichloromethane (18 mL) and TEA (544 μL, 3.9 mmol), and stirring was continued at 25 °C for 2 h. A solution of 2,2-diethoxyethyl benzoate [28] (785.8 mg, 3.3 mmol) in dichloromethane (12 mL) followed by TMSOTf (2.71 mL, 15 mmol) was added dropwise for 5 min each, and then Ac2O (283.6 μL, 3.0 mmol) was added in one portion at 25 °C and the reaction mixture was stirred for 4 h. The reaction mixture was diluted with saturated NaHCO3 solution (100 mL) and extracted with CHCl3 (100 mL × 3). The combined extracts were washed with brine (100 mL), dried, and concentrated in vacuo. The residue was subjected to column chromatography with ethyl acetate–hexane (1:2) to give 15 (1.37 g, 92%, 15a:15b = 10:3) as a colorless amorphous powder, which was an inseparable mixture of diastereomers. Each authentic sample was obtained by chromatography on preparative layer silica gel plates (Merck 5715).
Compound 15a: 1H-NMR (400 MHz, CDCl3) δ: 7.99 (2H, m, Ar-H), 7.57 (1H, m, Ar-H), 7.44 (2H, m, Ar-H), 6.20 (1H, dd, J = 9.5, 3.9 Hz, C6-H), 4.75 (1H, dd, J = 11.7, 9.5 Hz, C12-H), 4.70 (1H, dd, J = 9.8, 5.4 Hz, C11a-H), 4.52 (1H, dd, J = 11.7, 3.9 Hz, C12-H), 4.36 (1H, d, J = 18.0 Hz, C3-H), 4.31 (1H, d, J = 18.0, C3-H), 3.95 (3H, s, C7-OMe), 3.80 (3H, s, C8-OMe), 3.72 (3H, s, C10-OMe), 3.40 (1H, dd, J = 16.6, 5.4 Hz, C11-Hα), 3.14 (1H, dd, J = 16.6, 9.8 Hz, C11-Hβ), 2.59 (3H, s, COCH3), 2.21 (3H, s, C9-Me). 13C-NMR (100 MHz, CDCl3) δ: 171.7 (s, COCH3), 167.9 (s, C1), 166.6 (s, OCOPh), 163.2 (s, C4), 152.4 (s, C10), 150.6 (s, C8), 146.2 (s, C7), 133.3 (d, Ph), 129.7 (d, Ph × 2), 129.6 (s, Ph), 128.5 (d, Ph × 2), 125.9 (s, C9), 122.6 (s, C6a), 121.4 (s, C10a), 63.6 (t, C12), 60.6 (q, C7-OCH3), 60.3 (q, C10-OCH3), 60.0 (q, C8-OCH3), 54.0 (d, C11a), 48.3 (d, C6), 45.7 (t, C3), 27.2 (q, COCH3), 26.0 (t, C11), 9.5 (q, C9-CH3). FT-IR (KBr) cm−1: 1717, 1686, 1672, 1275, 714. EI-MS m/z (%): 496 (M+, 11), 361 (100), 319 (13), 234 (15), 204 (8), 105 (7). HR-EI-MS: calcd for C26H28N2O8, 496.1846, found: 496.1841.
Compound 15b: 1H-NMR (400 MHz, CDCl3) δ: 7.93 (2H, m, Ar-H), 7.54 (1H, m, Ar-H), 7.42 (2H, m, Ar-H), 6.15 (1H, dd, J = 7.0, 4.6 Hz, C6-H), 5.10 (1H, d, J = 16.0 Hz, C3-H), 4.55 (1H, dd, J = 11.5, 7.0 Hz, C12-H), 4.37 (1H, dd, J = 11.5, 4.6 Hz, C12-H), 4.07 (1H, dd, J = 12.2, 4.9 Hz, C11a-H), 3.94 (3H, s, C7-OMe), 3.79 (3H, s, C8-OMe), 3.78 (1H, d, J =16.0 Hz, C3-H), 3.68 (1H, dd, J =15.9, 4.9 Hz, C11-Hα), 3.64 (3H, s, C10-OMe), 3.05 (1H, dd, J = 15.9, 12.2 Hz, C11-Hβ), 2.59 (3H, s, COMe), 2.22 (3H, s, C9-Me). 13C-NMR (100 MHz, CDCl3) δ: 170.9 (s, COCH3), 168.7 (s, C1), 166.4 (s, OCOPh), 166.1 (s, C4), 151.7 (s, C10), 150.6 (s, C8), 146.2 (s, C7), 133.2 (d, Ph × 2), 129.7 (s, Ph), 129.6 (d, Ph), 128.4 (d, Ph × 2), 126.1 (s, C9), 123.6 (s, C6a), 121.8 (s, C10a), 66.1 (t, C12), 61.0 (q, C10-OCH3), 60.7 (q, C7-OCH3), 60.0 (q, C8-OCH3), 56.3 (d, C11a), 48.5 (d, C6), 45.6 (t, C3), 26.9 (q, COCH3), 22.8 (t, C11), 9.4 (q, C9-CH3). FT-IR (KBr) cm−1: 1721, 1707, 1692, 1412, 1368, 1273. EI-MS m/z (%): 496 (M+, 10), 361 (100), 319 (11), 234 (13), 204 (7), 105 (7). HR-EI-MS: calcd for C26H28N2O8, 496.1846, found: 496.1841.

3.2. (2-Acetyl-7,8,10-trimethyl-1,4-dioxo-1,3,4,6-tetrahydro-2H-pyrazino(1,2-b)Isoquinoline-6-yl)methyl Beozoate (9) and (2-acetyl-9-(bromomethyl)-,7,8,10-trimethoxy-1,4-dioxo-1,3,4,6-tetrahydro-2H-pyrazino(1,2-b)isoquinolin-6-yl)methyl Beozoate (16)

NBS (106.8 mg, 0.6 mmol) was added to a stirred solution of 15a (150.0 mg, 0.3 mmol) in dry CCl4, and the reaction mixture was heated at 60 °C for 6 h. The reaction mixture was filtered through a short pad of Celite, and the filtrate was washed with CCl4. The combined filtrates were concentrated in vacuo, and the residue was purified by flash chromatography on silica gel with ethyl acetate–hexane (1:3) as solvent to give 9 (102.0 mg, 69%) and 16 (17.7 mg, 13%).
Compound 9: 1H-NMR (400 MHz, CDCl3) δ: 7.91 (2H, m, Ar-H), 7.55 (1H, m, Ar-H), 7.47 (1H, s, C11-H), 7.42 (2H, m, Ar-H), 6.47 (1H, dd, J = 7.7, 3.8 Hz, C6-H), 4.93 (1H, d, J = 17.6 Hz, C3-H), 4.52 (1H, dd, J = 11.7, 7.7 Hz, C12-H), 4.27 (1H, dd, J = 11.7, 3.8 Hz, C12-H), 3.96 (3H, s, C7-OMe), 3.92 (1H, d, J =17.6 Hz, C3-H), 3.85 (3H, s, C8-OMe), 3.71 (3H, s, C10-OMe), 2.61 (3H, s, COMe), 2.21 (3H, s, C9-Me). 13C-NMR (100 MHz, CDCl3) δ: 171.8 (s, COCH3), 166.3 (s, OCOPh), 162.7 (s, C4), 160.7 (s, C1), 154.1 (s, C8), 152.4 (s, C10), 146.0 (s, C7), 133.3 (d, Ph), 129.6 (d, Ph × 2), 129.4 (s, Ph), 128.5 (d, Ph × 2), 126.7 (s, C9), 125.8 (s, C11a or C10a), 121.5 (s, C6a), 118.9 (s, C11a or C10a), 114.7 (d, C11), 64.3 (t, C12), 62.1 (q, C10-OCH3), 60.8 (q, C7-OCH3), 60.2 (q, C8-OCH3), 47.9 (d, C6), 45.2 (t, C3), 26.7 (q, COCH3), 9.4 (q, C9-CH3). FT-IR (KBr) cm−1: 1701, 1416, 1393, 1368, 1269, 1211, 1088, 1072, 1043, 1028, 1007, 964, 459. EI-MS m/z (%): 494 (M+, 14), 359 (100), 260 (84), 232 (38), 217 (6), 202 (5), 105 (6). HR-EI-MS: calcd for C26H26N2O8, 494.1689, found: 494.1686.
Compound 16: 1H-NMR (400 MHz, CDCl3) δ: 7.90 (2H, m, Ar-H), 7.55 (1H, m, Ar-H), 7.42 (2H, m, Ar-H), 7.41 (1H, s, C11-H), 6.49 (1H, dd, J = 7.7 Hz, 3.8 Hz, C6-H), 4.94 (1H, d, J =17.6 Hz, C3-H), 4.60 (1H, d, J =9.1 Hz, C9-CH2Br), 4.57 (1H, d, J = 9.1, C9-CH2Br), 4.55 (1H, dd, J = 11.6 Hz, 7.7 Hz, C12-H), 4.30 (1H, dd, J = 11.6 Hz, 3.8 Hz, C12-H), 4.03 (3H, s, C8-OMe), 3.97 (3H, s, C7-OMe), 3.90~3.95 (1H, overlapped, C3-H), 3.90 (3H, s, C10-OMe), 2.62 (3H, s, COCH3). 13C-NMR (100 MHz, CDCl3) δ: 171.8 (s, COCH3), 166.3 (s, OCOPh), 162.7 (s, C4), 160.4 (s, C1), 153.9 (s, C8), 152.1 (s, C10), 146.0 (s, C7), 133.4 (d, Ph), 129.6 (d, Ph × 2), 129.3 (s, Ph), 128.5 (d, Ph × 2), 127.3 (s, C9), 126.3 (s, C10a or C11a), 125.1 (s, C6a), 119.4 (s, C10a or C11a), 113.6 (d, C11), 64.2 (t, C12), 63.4 (q, C10-OCH3), 60.7 (q, C7-OCH3 and C8-OCH3), 47.9 (d, C6), 45.2 (t, C3), 26.7 (q, COCH3), 21.5 (t, C9-CH2Br). FT-IR (KBr) cm−1: 1701, 1368, 1292, 1269, 1215. EI-MS m/z (%): 572 (M+, 15), 493 (9), 439 (100), 417 (14), 393 (13), 375 (5), 371 (8), 364 (8), 359 (24), 339 (11), 310 (21), 274 (9), 260 (27), 231 (10), 105 (21). HR-EI-MS: calcd for C26H25BrN2O8, 572.0794, found: 572.0796.

3.3. (2-Acetyl-7,8-10-trimethyl-1,4-dioxo-1,3,4,6-tetrahydro-2H-pyrazino(1,2-b)isoquinolin-6-yl)methyl Benzoate (9) from 8 in Four Steps

TMSCl (498 μL, 3.9 mmol) was added to a stirred solution of 8 (1.05 g, 3.0 mmol) in dichloromethane (18 mL) and TEA (544 μL, 3.9 mmol), and stirring was continued at 25 °C for 2 h. A solution of 2,2-diethoxyethyl benzoate (785.8 mg, 3.3 mmol) in dichloromethane (12 mL) followed by TMSOTf (2.71 mL, 15 mmol) was added dropwise respectively over 5 min. Then, Ac2O (283.6 μL, 3.0 mmol) was added at 25 °C and the reaction mixture was stirred for 4 h. The reaction mixture was diluted with saturated NaHCO3 solution (100 mL) and extracted with CHCl3 (100 mL × 3). The combined extracts were washed with brine (100 mL), dried, and concentrated in vacuo. The residue was subjected to column chromatography with ethyl acetate–hexane (1:2) to give 15 (1.37 g, 92%, 15a:15b = 10:3) as a colorless amorphous powder. Diastereomeric mixture 15 was dissolved in CCl4 (90 mL) and NBS (106.8 mg, 5.46 nmol) was added at 25 °C, and the reaction mixture was heated at 60 °C for 3 h. The reaction mixture was filtered through a short pad of Celite, and the filtrate was washed with CCl4. The combined filtrates were concentrated in vacuo, and the residue was used in the next step without further purification. The above residue was dissolved in 2-propanol/ DMF (1:0.2) (72 mL) and was hydrogenated over 10% Pd/C (980 mg) at 25 °C for 11 h. The catalyst was removed by filtration and washed with CHCl3 and MeOH. The combined filtrates were diluted with H2O (100 mL) and extracted with CHCl3 (100 mL × 3). The combined extracts were washed with brine (100 mL), dried, and concentrated in vacuo. The residue was subjected to column chromatography with ethyl acetate–hexane (1:4) to give 9 (1.05 g, 71% overall yield, 4 steps) as a colorless amorphous powder.

3.4. (Z)-(7,8,10-Trimethoxy-9-methyl-1,4-dioxo-3-(2,4,5-trimethoxy-3-methylbenzylidene)-1,3,4,6-tetra-hydro-2H-pyrazino(1,2-b)isoquinolin-6-yl)methyl Benzoate (10)

A solution of t-BuOK in t-BuOH (1 M, 2.4 mL, 2.4 mmol) was added to a solution of 9 (988 mg, 2.0 mmol) and 2,4,5-trimethoxybenzaldehyde (17) (420 mg, 2.0 mmol) in CH2Cl2 (20 mL) over 1 h at 0 °C, and the reaction mixture was stirred at 25 °C for 2 h. The reaction mixture was diluted with saturated NH4Cl (100 mL) and extracted with CH2Cl2 (100 mL × 3). The combined extracts were washed with brine (100 mL), dried, and concentrated in vacuo. The residue was subjected to column chromatography with ethyl acetate–hexane (1:2) to give 10 (901 mg, 70%) as a pale yellow amorphous powder.
Compound 10: 1H-NMR (400 MHz, CDCl3) δ: 9.40 (1H, s, N-H), 7.93 (2H, m, Ar-H), 7.49 (1H, m, Ar-H), 7.36 (2H, m, Ar-H), 7.31 (1H, s, C11-H), 6.94 (1H, s, C3a-H), 6.68 (1H, dd, J = 6.8, 3.9 Hz, C6-H), 6.62 (1H, s, C6′-H), 4.52 (1H, dd, J = 11.7, 6.8 Hz, C12-H), 4.45 (1H, dd, J = 11.7, 3.9 Hz, C12-H), 3.98 (3H, s, C7-OMe), 3.84 (3H, s, C8-OMe), 3.83 (3H, s, C4′-OMe), 3.83 (3H, s, C5′-OMe), 3.69 (3H, s, C10-OMe), 3.58 (3H, s, C2′-OMe), 2.24 (3H, s, C3′-Me), 2.19 (3H, s, C9-Me). 13C-NMR (100 MHz, CDCl3) δ: 166.1 (s, OCOPh), 157.4 (s, C4), 156.5 (s, C1), 153.3 (s, C8), 151.8 (s, C10), 149.6 (s, C5′), 149.2 (s, C2′), 149.0 (s, C4′), 146.0 (s, C7), 132.9 (d, Ph), 129.7 (s, Ph), 129.7 (d, Ph × 2), 128.2 (d, Ph × 2), 126.6 (s, C3′), 126.4 (s, C9), 126.2 (s, C11a), 125.4 (s, C3), 121.6 (s, C1′), 120.6 (s, C6a), 119.1 (s, C10a), 114.0 (d, C3a), 111.9 (d, C6′), 110.8 (d, C11), 65.0 (t, C12), 62.0 (q, C10-OCH3), 60.9 (q, C2′-OCH3), 60.7 (q, C7-OCH3), 60.4 (q, C4′-OCH3), 60.1 (q, C8-OCH3), 55.9 (q, C5′-OCH3), 48.7 (d, C6), 9.5 (q, C3′-CH3), 9.3 (q, C9-CH3). FT-IR (KBr) cm−1: 3246, 1724, 1688, 1628, 1489, 1468, 1452, 1414, 1387, 1369, 1323, 1269, 1248, 1090, 1067, 1003, 712. EI-MS m/z (%): 644 (M+, 7), 509 (100), 481 (5), 232 (10). HR-EI-MS: calcd for C35H36N2O10, 644.2370, found: 644.2369.

3.5. ((3S*,6R*)-7,8,10-Trimethoxy-9-methyl-1,4-dioxo-3-(2,4,5-trimethoxy-3-methylbenzyl)-1,3,4,6-tetrahydro-2H-pyrazino(1,2-b)isoquinolin-6-yl)methyl Benzoate (11a) and ((3R*,6R*)-7,8,10-trimethoxy-9-methyl-1,4-dioxo-3-(2,4,5-trimethoxy-3-methylbenzyl)-1,3,4,6-tetrahydro-2H-pyrazino-(1,2-b)isoquinolin-6-yl)methyl Benzoate (11b)

A solution of 10 (644.0 mg, 1.0 mmol) in MeOH (50 mL) was hydrogenated over 10% Pd/C (213.0 mg) at 25 °C for 22 h. The catalyst was removed by filtration and washed with CHCl3 and MeOH. The combined filtrate was concentrated in vacuo. The residue was subjected to column chromatography with ethyl acetate–hexane (1:2) to give 11b (137.0 mg, 21%) as a pale yellow amorphous powder, and with ethyl acetate–hexane (2:1) to give 11a (463.0 mg, 72%) as a pale yellow amorphous powder.
Compound 11a: 1H-NMR (400 MHz, CDCl3) δ: 8.00 (2H, m, Ar-H), 7.53 (1H, m, Ar-H), 7.42 (2H, m, Ar-H), 7.25 (1H, s, C11-H), 6.53 (1H, dd, J = 7.5, 4.2 Hz, C6-H), 6.51 (1H, s, C6′-H), 6.22 (1H, s, N-H), 4.45 (1H, dd, J = 11.4, 7.5 Hz, C12-H), 4.34 (1H, dd, J = 10.3, 3.3 Hz, C3-H), 4.31 (1H, dd, J =11.4, 4.2 Hz, C12-H), 3.97 (3H, s, C7-OMe), 3.82 (3H, s, C8-OMe), 3.80 (3H, s, C5′-OMe), 3.78 (3H, s, C4′-OMe), 3.67 (3H, s, C10-OMe), 3.64 (3H, s, C2′-OMe), 3.52 (1H, dd, J =13.8, 3.3 Hz, C3a-H), 2.73 (1H, dd, J =13.8, 10.3 Hz, C3a-H), 2.20 (3H, s, C3′-Me), 2.19 (3H, s, C9-Me). 13C-NMR (100 MHz, CDCl3) δ: 166.1 (s, OCOPh), 165.4 (s, C4), 160.7 (s, C1), 153.2 (s, C8), 151.8 (s, C10), 150.9 (s, C2′), 149.7 (s, C5′), 147.6 (s, C4′), 146.0 (s, C7), 133.1 (d, Ph), 129.9 (d, Ph × 2), 129.8 (s, Ph), 128.3 (d, Ph × 2), 126.4 (s, C9), 126.3 (s, C3′), 126.3 (s, C11a), 123.7 (s, C1′), 121.2 (s, C6a), 119.1 (s, C10a), 111.5 (d, C6′), 110.7 (d, C11), 64.6 (t, C12), 62.0 (q, C10-OCH3), 60.8 (q, C7-OCH3), 60.6 (q, C2′-OCH3), 60.2 (q, C4′-OCH3), 60.1 (q, C8-OCH3), 56.0 (q, C5′-OCH3) 55.3 (d, C3), 47.8 (d, C6), 33.5 (t, C3a), 9.7 (q, C3′-CH3), 9.4 (q, C9-CH3).
FT-IR (KBr) cm−1: 3391, 1724, 1690, 1628, 1489, 1468, 1458, 1414, 1368, 1337, 1269, 1240, 1121, 1088. EI-MS m/z (%): 646 (M+, 14), 511 (100), 509 (13), 483 (36), 260 (8), 232 (17), 195 (10). HR-EI-MS: calcd for C35H38N2O10, 646.2527, found: 646.2523.
Compound 11b: 1H-NMR (400 MHz, CDCl3) δ: 7.93 (2H, m, Ar-H), 7.52 (1H, m, Ar-H), 7.39 (2H, m, Ar-H), 6.91 (1H, s, C11-H), 6.43 (1H, dd, J = 7.1, 4.4 Hz, C6-H), 6.39 (1H, s, C6′-H), 4.45 (1H, dd, J = 8.9, 5.2 Hz, C3-H), 4.36 (1H, dd, J = 11.7, 7.1 Hz, C12-H), 4.31 (1H, dd, J =11.7, 4.4 Hz, C12-H), 3.98 (3H, s, C7-OMe), 3.83 (3H, s, C8-OMe), 3.66 (3H, s, C4′-OMe), 3.62 (3H, s, C5′-OMe), 3.61 (3H, s, C10-OMe), 3.57 (3H, s, C2′-OMe), 3.08 (1H, dd, J = 14.5, 8.9 Hz, C3a-H), 3.06 (1H, dd, J = 14.5, 5.2 Hz, C3a-H), 2.17 (3H, s, C9-Me), 2.05 (3H, s, C3′-Me). 13C-NMR (100 MHz, CDCl3) δ: 166.2 (s, OCOPh), 165.0 (s, C4), 160.6 (s, C1), 153.0 (s, C8), 151.5 (s, C10), 151.5 (s, C2′), 149.1 (s, C5′), 147.7 (s, C4′), 145.9 (s, C7), 133.0 (d, Ph), 129.7 (s, Ph), 129.7 (d, Ph × 2), 128.3 (d, Ph × 2), 126.2 (s, C9), 125.8 (s, C3′), 125.4 (s, C11a or C10a), 121.9 (s, C1′), 120.7 (s, C6a), 119.0 (s, C11a or C10a), 112.0 (d, C6′), 109.3 (d, C11), 64.9 (t, C12), 61.9 (q, C10-OCH3), 60.7 (q, C7-OCH3), 60.5 (q, C2′-OCH3), 60.2 (q, C4′-OCH3), 60.1 (q, C8-OCH3), 57.0 (d, C3), 55.8 (q, C5′-OCH3), 47.9 (d, C6), 36.5 (t, C3a), 9.2 (q, C9-CH3 and C3′-CH3). FT-IR (KBr) cm−1: 3300, 1724, 1692, 1628, 1487, 1468, 1414, 1379, 1321, 1271, 1119, 1088. EI-MS m/z (%): 646 (M+, 11), 511 (100), 483 (39), 232 (16), 195 (9). HR-EI-MS: calcd for C35H38N2O10, 646.2527, found: 646.2521.

3.6. Isopropyl ((3S*,6R*)-7,8,10-Trimethoxy-9-methyl-1,4-dioxo-3-(2,4,5-trimethoxy-3-methylbenzyl)-1,3,4,6-tetrahydro-2H-pyrazino(1,2-b)isoquinolin-6-yl)methyl Benzoate (18)

A solution of 11a (16.47 g, 25 mmol), TEA (28.10 mL, 200 mmol), and DMAP (12.21 g, 100 mmol) in dichloromethane (400 mL) was cooled with ice water, and isopropyl chloroformate (40.08 mL, 350 mmol) was added dropwise over 30 min. The reaction mixture was stirred at 25 °C for 4 h. The organic layer was diluted with dichloromethane (500 mL), washed with 1 M aqueous HCl (500 mL ×2) and then water (500 mL), dried, and concentrated in vacuo to give a residue. The residue was subjected to column chromatography with ethyl acetate–hexane (2:5) to give 18 (17.5 g, 96%) as a yellow amorphous powder.
Compound 18: 1H-NMR (400 MHz, CDCl3) δ: 8.00 (2H, m, Ar-H), 7.48 (1H, m, Ar-H), 7.34 (2H, m, Ar-H), 7.19 (1H, s, C11-H), 6.53 (1H, t, J = 3.4 Hz, C6-H), 5.24 (1H, t, J = 6.1 Hz, C3-H), 4.96 (1H, sept, J = 6.3 Hz, CO2CH(CH3)2), 4.65 (1H, dd, J = 11.5, 3.4 Hz, C12-H), 4.36 (1H, dd, J = 11.5, 3.4 Hz, C12-H), 3.92 (3H, s, C7-OMe), 3.80 (3H, s, C4′-OMe or C5′-OMe), 3.78 (3H, s, C8-OMe), 3.63 (3H, s, C4′-OMe or C5′-OMe), 3.59 (3H, s, C2′-OMe), 3.44 (3H, s, C10-OMe), 3.34 (1H, dd, J = 13.7, 6.1 Hz, C3a-H), 3.17 (1H, dd, J = 13.7, 6.1 Hz, C3a-H), 2.10 (3H, s, C9-Me), 2.09 (3H, s, C3′-Me), 1.28 (3H, d, J = 6.3 Hz, CO2CH(CH3)2), 1.20 (3H, d, J = 6.3 Hz, CO2CH(CH3)2). 13C-NMR (100 MHz, CDCl3) δ: 165.7 (s, OCOPh), 163.4 (s, C4), 157.6 (s, C1), 153.4 (s, C8), 151.7 (s, CO2CH(CH3)2), 151.6 (s, C10), 151.4 (s, C2′), 149.0 (s, C4′ or C5′), 147.4 (s, C4′ or C5′), 145.8 (s, C7), 133.0 (d, Ph), 129.7 (d, Ph × 2), 129.6 (s, Ph), 128.3 (d, Ph × 2), 126.8 (s, C11a or C10a), 126.2 (s, C9), 125.6 (s, C3′), 122.5 (s, C1′), 120.0 (s, C6a), 119.3 (s, C11a or C12), 112.0 (d, C6′), 111.6 (d, C11), 71.8 (d, CO2CH(CH3)2), 66.3 (t, C12), 61.8 (q, C10-OCH3), 60.6 (q, C2′-OCH3), 60.5 (q, C7-OCH3), 60.0 (q, C4′-OCH3 or C5′-OCH3), 60.0 (q, C8-OCH3), 59.4 (d, C3), 55.9 (q, C4′-OCH3 or C5′-OCH3), 49.9 (d, C6), 35.8 (t, C3a), 21.6 (q, CO2CH(CH3)2), 21.5 (q, CO2CH(CH3)2), 9.7 (q, C3′-CH3), 9.2 (q, C9-CH3). FT-IR (KBr) cm−1: 2938, 1722, 1684, 1468, 1418, 1391, 1375, 1344, 1271, 1252, 1107, 1092, 1072, 712. EI-MS m/z (%): 732 (M+, 12), 597 (100), 569 (19), 555 (6), 511 (8), 483 (21), 415 (9), 260 (13), 232 (19), 195 (13). HR-EI-MS: calcd for C39H44N2O12, 732.2894, found: 732.2889.

3.7. Isopropyl (6S*,9R*,15R*)-9-((benzoyloxy)methyl)-1,2,4,10,11,13-hexamethoxy-3,12-dimethyl-7-oxo-6,7,9,15-tetrahydro-5H-6,15-epiminobenzo(4,5)azocino(1,2-b)isoquinoline-16-carboxylate (19)

A stirred solution of 18 (402.3 mg, 0.55 mmol) in THF (36 mL) was cooled with ice water and lithium tri-tert-butoxyaluminohydride (1.12 g, 4.4 mmol) was added over 10 min. After continued stirring at 25 °C for 30 min, anhydrous Na2SO4 (2 g) was added and the reaction mixture was quenched with water. The reaction mixture was filtered through Celite pad and then, the filtrate was diluted with brine (200 mL) and extracted with CHCl3 (3 × 200 mL). The combined extracts were washed with brine (200 mL), dried, and concentrated in vacuo to give a residue, which was used in the next step without further purification. A solution of the residue as above in formic acid (36 mL) was stirred at 25 °C for 30 min. The reaction mixture was concentrated in vacuo, and the residue was diluted with saturated aqueous NaHCO3 solution (80 mL) and extracted with CHCl3 (3 × 80 mL). The combined extracts were washed with brine (80 mL), dried, and concentrated in vacuo to give a residue. The residue was subjected to column chromatography with ethyl acetate–hexane (1:3) to give 19 (322.7 mg, 82%) as a pale yellow amorphous powder.
Compound 19: 1H-NMR (400 MHz, DMSO, 140 °C) δ: 7.58 (2H, m, Ar-H), 7.54 (1H, m, Ar-H), 7.41 (2H, m, Ar-H), 6.26 (1H, s, C14-H), 6.22 (1H, dd, J = 8.1, 4.2 Hz, C9-H), 5.93 (1H, d, J = 1.5, C15-H), 4.98 (1H, m, 1.5 Hz, C6-H), 4.86 (1H, sept, J = 6.2 Hz, CO2CH(CH3)), 3.92 (1H, dd, J = 11.5, 4.2 Hz, C16-H), 3.87 (3H, s, C2-OMe or C11-OMe), 3.87 (3H, s, C10-OMe), 3.85 (1H, dd, J = 11.5, 8.1 Hz, C16-H), 3.75 (3H, s, C4-OMe or C13-OMe), 3.73 (3H, s, C2-OMe or C11-OMe), 3.67 (3H, s, C4-OMe or C13-OMe), 3.51 (3H, s, C1-OMe), 3.09 (1H, br d, J =17.6 Hz, C5-H), 3.04 (1H, dd, J =17.6, 3.9 Hz, C5-H), 2.15 (3H, s, C3-Me or C12-Me), 1.98 (3H, s, C3-Me or C12-Me), 1.23 (3H, d, J = 6.2 Hz, CO2CH(CH3)2), 1.21 (3H, d, J = 6.2 Hz, CO2CH(CH3)2). 13C-NMR (100 MHz, DMSO, 140 °C) δ: 165.4 (s, C7), 164.4 (s, OCOPh), 152.1 (s, CO2CH(CH3)2), 151.7 (s, C1), 150.2 (s, C2 or C11), 149.2 (s, C4 and C13), 145.0 (s, C2 or C11), 144.7 (s, C10), 132.3 (s, C14a), 131.9 (d, Ph), 128.7 (s, Ph), 128.3 (d, Ph × 2), 127.5 (d, Ph × 2), 124.5 (s, C3 or C12), 124.0 (s, C3 or C12), 123.7 (s, C4a), 119.9 (s, C15a), 118.8 (s, C13a), 118.2 (s, C9a), 100.0 (d, C14), 68.8 (d, CO2CH(CH3)2), 62.6 (t, C16), 60.3 (q, C4-OCH3 or C13-OCH3), 59.8 (q, C2-OCH3 or C10-OCH3 or C11-OCH3), 59.2 (q, C2-OCH3 or C10-OCH3 or C11-OCH3), 59.1 (q, q, C2-OCH3 or C10-OCH3 or C11-OCH3), 58.9 (q, C4-OCH3 or C13-OCH3), 58.6 (q, C1-OCH3), 52.5 (d, C6), 48.9 (d, C15), 45.5 (d, C9), 26.9 (t, C5), 20.9 (q, CO2CH(CH3)2), 20.9 (q, CO2CH(CH3)2), 8.24 (q, C3-CH3 or C12-CH3), 8.18 (q, C3-CH3 or C12-CH3). FT-IR (KBr) cm−1: 1717, 1707, 1686, 1647, 1466, 1414, 1362, 1344, 1298, 1269, 1109, 1070, 1007, 964, 712. EI-MS m/z (%): 716 (M+, 22), 581 (100), 553 (67), 234 (21). HR-EI-MS: calcd for C39H44N2O11, 716.2945, found: 716.2942.

3.8. ((6S*,9R*,15R*)-1,2,4,10,11,13-hexamethoxy-3,12-dimethyl-7-oxo-6,7,9,15-tetrahydro-5H-6,15-epiminobenzo(4,5)azocino(1,2-b)isoquinolin-9-yl)methyl Benzoate (20)

Concentrated H2SO4 (1.7 mL) was added to a stirred solution of 19 (322.7 mg, 0.45 mmol) in TFA (34 mL) at 0 °C over 5 min, and the reaction mixture was stirred at 25 °C for 4 h. The reaction mixture was poured into water (40 mL) at 0 °C, basified with concentrated NH4OH, and then extracted with CHCl3 (3 × 100 mL). The combined extracts were washed brine (100 mL), dried, and concentrated in vacuo to give a residue. The residue was subjected to column chromatography with ethyl acetate–hexane (1:3) to give 20 (267.6 mg, 94%) as a pale yellow amorphous powder.
Compound 20: 1H-NMR (400 MHz, CDCl3) δ: 7.70 (2H, m, Ar-H), 7.49 (1H, m, Ar-H), 7.38 (2H, m, Ar-H), 6.41 (1H, dd, J = 8.1, 5.2 Hz, C9-H), 6.26 (1H, s, C14-H), 4.99 (1H, s, C15-H), 4.12 (1H, br d, J = 6.3 Hz, C6-H), 3.95~3.89 (2H, overlapped, C16-H), 3.90 (3H, s, C10-OMe), 3.87 (3H, s, C1-OMe), 3.76 (3H, s, C13-OMe), 3.76 (3H, s, C11-OMe), 3.67 (3H, s, C2-OMe), 3.44 (3H, s, C4-OMe), 3.19 (1H, dd, J = 17.0, 1.3 Hz, C5-H), 3.07 (1H, dd, J = 17.0, 6.3 Hz, C5-H), 2.19 (3H, s, C12-Me), 1.88 (3H, s, C3-Me). 13C-NMR (100 MHz, CDCl3) δ: 168.5 (s, C7), 166.0 (s, OCOPh), 152.5 (s, C4), 150.8 (s, C11), 149.9 (s, C2), 149.8 (s, C13), 146.3 (s, C1), 146.0 (s, C10), 136.1 (s, C13a or C14a), 132.5 (d, Ph), 129.6 (d, Ph), 129.4 (s, Ph), 128.3 (d, Ph), 125.7 (s, C12), 125.3 (s, C15a), 125.0 (s, C3), 121.5 (s, C4a), 120.4 (s, C13a or C14a), 119.5 (s, C9a), 99.8 (d, C14), 63.4 (t, C16), 61.4 (q, C13-OCH3), 60.8 (q, C10-OCH3), 60.2 (q, C1-OCH3), 60.1 (q, C11-OCH3), 59.9 (q, C2-OCH3), 59.3 (q, C4-OCH3), 53.9 (d, C6), 50.1 (d, C15), 45.7 (d, C9), 29.0 (t, C5), 9.3 (q, C12-CH3), 9.1 (q, C3-CH3). FT-IR (KBr) cm−1: 2938, 1722, 1680, 1638, 1466, 1412, 1362, 1271, 1248, 1115, 1070, 1009, 964, 712. EI-MS m/z (%): 630 (M+, 22), 495 (48), 467 (100), 234 (39), 204 (18). HR-EI-MS: calcd for C35H38N2O9, 630.2577, found: 630.2581.

3.9. ((6S*,9R*,15R*)-1,2,4,10,11,13-hexamethoxy-3,12,16-trimethyl-7-oxo-6,7,9,15-tetrahydro-5H-6,15-epiminobenzo(4,5)azocino(1,2-b)isoquinolin-9-yl)methyl Benzoate (21)

A 37% aqueous solution of formaldehyde (6 mL) was added to a stirred solution of 20 (251.2 mg, 0.4 mmol) in formic acid (7.0 mL) at 60 °C, and the reaction mixture was heated at 70 °C for 1 h. The reaction mixture was diluted with 5% aqueous NaHCO3 solution (80 mL) and extracted with CHCl3 (3 × 80 mL). The combined extracts were washed brine (80 mL), dried, and concentrated in vacuo to give a residue. The residue was subjected to column chromatography with ethyl acetate–hexane (1:1) to give 21 (247.3 mg, 96%) as a colorless amorphous powder.
Compound 21: 1H-NMR (400 MHz, CDCl3) δ: 7.71 (2H, m, Ar-H), 7.49 (1H, m, Ar-H), 7.38 (2H, m, Ar-H), 6.43 (1H, t, J = 6.4 Hz, C9-H), 6.30 (1H, s, C14-H), 4.63 (1H, s, C15-H), 3.92 (3H, s, C10-OMe), 3.91 (2H, d, J = 6.4 Hz, C17-H), 3.87 (3H, s, C1-OMe), 3.76 (6H, s, C11-OMe and C13-OMe), 3.68 (1H, overlapped, C6-H), 3.67 (3H, s, C2-OMe), 3.43 (3H, s, C4-OMe), 3.15 (1H, dd, J = 17.6, 4.1 Hz, C5-H), 3.11 (1H, br d, J = 17.6 Hz, C5-H), 2.55 (3H, s, N-Me), 2.20 (3H, s, C12-Me), 1.89 (3H, s, C3-Me). 13C-NMR (100 MHz, CDCl3) δ: 168.1 (s, C7), 166.0 (s, OCOPh), 152.4 (s, C4), 150.7 (s, C11), 149.8 (s, C2), 149.5 (s, C13), 146.1 (s, C1), 145.9 (s, C10), 132.7 (s, C14a), 132.5 (d, Ph), 129.6 (d, Ph × 2), 129.3 (s, Ph), 128.3 (d, Ph × 2), 126.0 (s, C15a), 125.7 (s, C12), 124.7 (s, C3), 121.1 (s, C4a), 119.9 (s, C13a), 119.6 (s, C9a), 102.7 (d, C14), 63.6 (t, C17), 61.3 (q, C11-OCH3 or C13-OCH3), 60.7 (q, C10-OCH3), 60.5 (d, C6), 60.1 (q, C1-OCH3), 60.0 (q, C11-OCH3 or C13-OCH3), 59.8 (q, C2-OCH3), 59.2 (q, C4-OCH3), 56.8 (d, C15), 45.5 (d, C9), 41.6 (q, N-CH3), 29.2 (t, C5), 9.2 (q, C12-CH3), 9.0 (q, C3-CH3). FT-IR (KBr) cm−1: 1722, 1678, 1638, 1464, 1412, 1358, 1341, 1271, 1126, 1113, 1099, 1067, 1007, 712. EI-MS m/z (%): 644 (M+, 17), 509 (20), 481 (100), 248 (37), 218 (15). HR-EI-MS: calcd for C36H40N2O9, 644.2734, found: 644.2733.

3.10. (6S*,9R*,15R*)-9-(hydroxymethyl)-1,2,4,10,11,13-hexamethoxy-3,12,16-trimethyl-5,6,9,15-tetrahydro-7H-6,15-epiminobenzo(4,5)azocino(1,2-b)isoquinolin-7-one (12)

A 10 M aqueous solution of lithium hydroxide monohydrate (77 μL, 0.77 mmol) was added to a stirred solution of 21 (226.3 mg, 0.35 mmol) in THF (2.0 mL) and MeOH (0.7 mL), and stirring was continued at 25 °C for 8 h. The reaction mixture was diluted with water (80 mL), and the mixture was extracted with CHCl3 (3 × 80 mL). The combined extracts were washed with brine (80 mL), dried, and concentrated in vacuo to give a residue. The residue was subjected to column chromatography with ethyl acetate–hexane (2:1) to give 12 (184.1 mg, 97%) as a colorless amorphous powder.
Compound 12: 1H-NMR (400 MHz, CDCl3) δ: 6.27 (1H, s, C14-H), 6.08 (1H, dd, J = 7.9, 5.1 Hz, C9-H), 4.70 (1H, brs, C15-H), 3.88 (3H, s, OMe), 3.86 (3H, s, OMe), 3.78 (3H, s, OMe), 3.77 (3H, s, OMe), 3.75 (3H, s, OMe) 3.72 (1H, br t, C6-H), 3.66 (3H, s, OMe), 3.32 (1H, dt, J = 11.5, 5.1 Hz, C17-H), 3.22 (1H, dt, J = 11.5, 7.9 Hz, C17-H), 3.21 (2H, d, J = 4.4 Hz, C5-H), 2.57 (3H, s, N-Me), 2.19 (3H, s, C12-Me), 2.18 (3H, s, C3-Me), 1.37 (1H, t, J = 6.1 Hz, -OH). 13C-NMR (100 MHz, CDCl3) δ: 169.1 (C7), 152.6 (C4), 150.7 (C11), 150.1 (C2), 149.7 (C13), 146.3 (C1), 145.8 (C10), 132.8 (C14a), 126.0 (C15a), 125.4 (C12), 125.1 (C3), 121.1 (C4a), 120.6 (C9a), 119.5 (C13a), 102.9 (14), 64.6 (C17), 61.3 (-OCH3), 60.6 (-OCH3), 60.6 (C6), 60.1 (-OCH3), 60.1 (-OCH3), 60.0 (-OCH3), 59.8 (-OCH3), 56.5 (C15), 49.1 (C9), 41.6 (N-CH3), 29.3 (C5), 9.4 (-CH3), 9.2 (-CH3). FT-IR (KBr) cm−1: 3468, 2940, 1672, 1636, 1466, 1412, 1341, 1248, 1113, 1065, 1007, 964. EI-MS m/z (%): 540 (M+, 9), 509 (27), 481 (100), 248 (51). HR-EI-MS: calcd for C29H36N2O8, 540.2472, found: 540.2473.

3.11. ((6S*,9R*,15R*)-1,2,4,10,11,13-hexamethoxy-3,12,16-trimethyl-7-oxo-6,7,9,15-tetrahydro-5H-6,15-epiminobenzo(4,5)azocino(1,2-b)isoquinolin-9-yl)methyl Benzoate (22)

To a stirred solution of 12 (216.0 mg, 0.4 mmol) in CH2Cl2 (24 mL) at −78 °C was added a CH2Cl2 solution of BBr3 (1.0 M, 2.40 mL, 2.4 mmol) over 5 min. Stirring was continued at the same temperature for 1 h, and then at −20 °C for 14.5 h. The reaction mixture was diluted with water (200 mL) and extracted with 5% MeOH in CHCl3 (4 × 200 mL). The combined extracts were washed with 5% NaHCO3 solution (200 mL), dried, and concentrated in vacuo to give a residue. A solution of the above residue in 10 N HNO3 (5.0 mL) was stirred at 25 °C for 30 min. The reaction mixture was diluted with water (150 mL) and extracted with ethyl acetate (3 × 200 mL). The combined extracts were washed with brine (200 mL), dried, and concentrated in vacuo. The residue was subjected to purification by silica gel chromatography with ethyl acetate to give 22 (130.0 mg, 67%) as a dark purple amorphous powder.
Compound 22: 1H-NMR (500 MHz, CDCl3) δ: 6.26 (1H, s, 14-H), 5.96 (1H, dd, J = 7.1, 4.5 Hz, 9-H), 4.55 (1H, s, 15-H), 4.02 (3H, s, OCH3), 3.97 (3H, s, OCH3), 3.74 (1H, dt, J = 6.5, 1.5 Hz, 6-H), 3.50 (1H, dd, J = 11.4, 4.5 Hz, 17-H), 3.36 (1H, dd, J = 11.4, 7.1 Hz, 17-H), 2.96 (1H, dd, J = 19.8, 6.5 Hz, 5-Hα), 2.89 (1H, dd, J = 19.8, 1.5 Hz, C5-Hβ), 2.51 (3H, s, N-CH3), 1.96 (3H, s, 3-CH3 or 12-CH3), 1.94 (3H, s, 3-CH3 or 12-CH3), 1.62 (1H, br s, OH). 13C-NMR (125 MHz, CDCl3) δ: 186.6 (s, C-4), 185.0 (s, C-13), 180.5 (s, C-10 and C-1), 168.0 (s, C-7), 156.0 (s, C-11), 155.4 (s, C-2), 140.7 (s, C-14a), 140.0 (s, C-4a), 136.5 (s, C-15a), 134.5 (s, C-13a), 129.1 (s, C-3), 127.6 (s, C-12), 125.0 (s, C-9a), 101.8 (d, C-14), 62.9 (t, C-17), 61.1 (q, OCH3), 61.0 (q, OCH3), 59.6 (d, C-6), 54.4 (d, C-15), 48.4 (d, C-9), 41.2 (q, N-CH3), 28.7 (t, C-5), 8.8 (q, Ar-CH3), 8.7 (q, Ar-CH3). FT-IR (KBr) cm−1: 3347, 2951, 2855, 1654, 1616, 1568, 1450, 1373, 1310. LR-MS (FAB+): 481 [M + H]+. HR-MS (FAB+): calcd for C25H25N2O8, 481.1611, found: 481.1623.

3.12. ((6S*,9R*,15R*)-2,11-dimethoxy-3,12,16-trimethyl-1,4,7,10,13-pentaoxo-1,5,6,7,9,10,13,15-octa-hydro-4H-6,15-epiminobenzo(4,5)azocino(1,2-b)isoquinolin-9-yl)methyl (Z)-2-methylbut-2-enoate (23)

A solution of angelic acid (601.0 mg, 6.0 mmol) in ether (30 mL) was cooled with ice water, and a solution of oxalyl chloride (0.5 mL, 5.9 mmol) in DMF (46.0 μL, 592 mmol) was added dropwise over 5 min. The resulting solution was stirred at 25 °C for 2 h. Then, a solution of 22 (142.0 mg, 0.3 mmol) in CH2Cl2 (15 mL) was added over 5 min. The reaction mixture was concentrated to approximately 3.0 mL with a stream of argon, and CH2Cl2 (8.0 mL) was added. The resulting mixture was stirred at 25 °C for 21 h. The reaction mixture was directly purified by silica gel chromatography with ethyl acetate–hexane (2:1) to afford 23 (139.0 mg, 84%) as a dark purple film.
Compound 23: 1H-NMR (500 MHz, CDCl3) δ: 6.24 (1H, s, 14-H), 6.12 (1H, dd, J = 5.7, 2.9 Hz, 9-H), 5.92 (1H, qq, J = 7.4, 1.4 Hz, 21-H), 4.50 (1H, br s, 15-H), 4.21 (1H, dd, J = 11.9, 5.7 Hz, 17-H), 4.05 (3H, s, C11-OCH3), 4.01 (3H, s, 2-OCH3), 4.01 (1H, dd, J = 11.9, 2.9 Hz, 17-H), 3.72 (1H, dt, J = 6.8, 1.4 Hz, 6-H), 2.95 (1H, dd, J = 19.8, 6.8 Hz, 5-Hβ), 2.84 (1H, dd, J = 19.8, 1.4 Hz, 5-H), 2.47 (3H, s, N-CH3), 1.96 (3H, s, 12-CH3), 1.92 (3H, s, 3-CH3), 1.75 (3H, dq, J = 7.4, 1.4 Hz, 21-CH3), 1.57 (1H, quint, J = 1.4 Hz, 20-CH3). 13C-NMR (125 MHz, CDCl3) δ: 186.5 (s, C-4), 184.9 (s, C-13), 180.5 (s, C-1), 180.1 (s, C-10), 167.1 (s, C-7 and C-19), 156.2 (s, C-11), 155.2 (s, C-2), 140.6 (s, C-14a), 139.8 (s, C-4a), 139.3 (d, C-21), 136.2 (s, C-15a), 134.6 (s, C-13a), 128.5 (s, C-3), 127.3 (s, C-12), 126.8 (s, C-20), 124.2 (s, C-9a), 101.3 (d, C-14), 62.4 (t, C-17), 61.1 (q, 11-OCH3), 61.0 (q, 2-OCH3), 59.5 (d, C-6), 54.3 (d, C-15), 47.1 (d, C-9), 41.1 (q, N-CH3), 28.3 (t, C-5), 20.2 (q, C-23), 15.5 (q, C-22), 8.7 (q, 3-CH3), 8.6 (q, 12-CH3). FT-IR (KBr) cm−1: 2949, 1653, 1616, 1570, 1458, 1309, 1228, 1153. EI-MS m/z (%): 562 (M+, 5), 421 (100), 218 (40). HR-EI-MS: calcd for C30H30N2O9, 562.1951, found: 562.1952.

3.13. Renieramycin I (1i)

A suspension of 23 (15.0 mg, 0.027 mmol) and SeO2 (29.6 mg, 0.27 mmol) in dioxane (3.0 mL) and MeOH (1.0 mL) was heated at 100 °C for 6 days. The reaction mixture was filtered and the filter cake was washed with ethyl acetate. The combined filtrates were concentrated in vacuo to give a residue. Flash column chromatography on silica gel with ethyl acetate–hexane (2:3) afforded 1i (6.8 mg, 43%) as a dark red film and 24 (4.4 mg, 29%).
Renieramycin I (1i): 1H-NMR (400 MHz, CDCl3) δ: 6.26 (1H, s, 4-H), 6.07 (1H, dd, J = 5.5, 2.7 Hz, 1-H), 5.92 (1H, qq, J = 7.3, 1.4 Hz, 26-H), 4.54 (1H, d, J = 0.9 Hz, 11-H), 4.34 (1H, d, J = 1.4 Hz, 14-H), 4.16 (1H, dd, J = 12.1, 5.5 Hz, 22-H), 4.06 (3H, s, 7-OCH3), 4.02 (1H, dd, J = 12.1, 2.7 Hz, 22-H), 3.98 (3H, s, 17-OCH3), 3.74 (1H, br t, J = 1.4 Hz, 13-H), 3.62 (3H, s, 14-OCH3), 2.55 (3H, s, N-CH3), 1.96 (3H, s, 6-CH3), 1.94 (3H, s, 16-CH3), 1.73 (3H, dq, J = 7.3, 1.4 Hz, 26-CH3), 1.55 (3H, quint, J = 1.4 Hz, 25-CH3). 13C-NMR (100 MHz, CDCl3) δ: 185.8 (s, C-15), 184.7 (s, C-5), 180.9 (s, C-18), 180.1 (s, C-8), 167.1 (s, C-24), 164.1 (s, C-21), 156.1 (s, C-7), 155.2 (s, C-17), 139.2 (d, C-26), 138.6 (s, C-3), 137.4 (s, C-19), 137.0 (s, C-20), 134.2 (s, C-10), 129.3 (s, C-16), 127.4 (s, C-6), 126.7 (s, C-25), 124.9 (s, C-9), 102.2 (d, C-4), 73.4 (d, C-14), 64.7 (d, C-13), 62.6 (t, C-22), 61.2 (q, 7-OCH3), 60.9 (q, 17-OCH3), 59.4 (q, 14-OCH3), 54.5 (d, C-11), 47.3 (d, C-1), 41.7 (q, N-CH3), 20.2 (q, 25-CH3), 15.5 (q, 26-CH3), 8.9 (q, Ar-CH3), 8.7 (q, Ar-CH3). FT-IR (KBr) cm−1: 3429, 2949, 1717, 1684, 1655, 1614, 1570, 1454, 1342, 1306, 1233, 1209, 1153, 1096. EI-MS m/z (%): 594 ([M + 2H]+, 0.7), 593 ([M + H]+, 2), 592 (M+, 6), 479 (19), 452 (26), 451 (100), 421 (20), 248 (25), 218 (11). HR-EI-MS: calcd for C30H30N2O10, 592.2057, found: 592.2056.

3.14. ((6S*,9R*,15R*)-5-hydroxy-2,11-dimethoxy-3,12,16-trimethyl-1,4,7,10,13-pentaoxo-1,5,6,7,9,10,13,15-octahydro-4H-6,15-epiminobenzo(4,5)azocino(1,2-b)isoquinolin-9-yl)methyl (Z)-2-methylbut-2-enoate (24)

1H-NMR (500 MHz, CDCl3) δ: 6.28 (1H, s, 4-H), 6.09 (1H, dd, J = 6.0, 2.9 Hz, 1-H), 5.93 (1H, qq, J = 7.3, 1.5 Hz, 26-H), 4.86 (1H, br d, J = 7.0 Hz, 14-H), 4.52 (1H, d, J = 1.1 Hz, 11-H), 4.19 (1H, dd, J = 12.0, 6.0 Hz, 22-H), 4.06 (3H, s, 7-OCH3), 4.01 (3H, s, 17-OCH3), 3.99 (1H, dd, J = 12.0, 2.9 Hz, 22-H), 3.75 (1H, dd, J = 1.7, 1.1 Hz, 13-H), 2.88 (1H, br d, J = 7.0 Hz, OH), 2.55 (3H, s, N-CH3), 1.96 (3H, s, 6-CH3), 1.93 (3H, s, 16-CH3), 1.75 (3H, dq, J = 7.3, 1.5 Hz, 26-CH3), 1.56 (3H, quint, J = 1.5 Hz, 25-CH3). 13C-NMR (125 MHz, CDCl3) δ: 186.7 (s, C-15), 184.7 (s, C-5), 181.0 (s, C-18), 180.0 (s, C-8), 167.1 (s, C-24), 163.9 (s, C-21), 156.1 (s, C-7), 155.4 (s, C-17), 139.3 (d, C-26), 138.4 (s, C-10 or C-20), 138.3 (s, C-10 or C-20), 136.9 (s, C-19), 134.3 (s, C-3), 128.8 (s, C-16), 127.4 (s, C-6), 126.7 (s, C-25), 124.8 (s, C-9), 102.2 (d, C-4), 67.1 (d, C-13), 64.8 (d, C-14), 62.3 (t, C-22), 61.1 (q, OCH3), 61.0 (q, OCH3), 54.7 (d, C-11), 47.2 (d, C-1), 41.5 (q, N-CH3), 20.2 (q, 25-CH3), 15.5 (q, 26-CH3), 8.7 (q, Ar-CH3), 8.7 (q, Ar-CH3). FT-IR (KBr) cm−1: 3446, 2930, 2857, 1654, 1616, 1570, 1456, 1307, 1233, 1211, 1153. EI-MS m/z (%): 578 (M+, 5), 437 (100), 421 (48), 218 (20). HR-EI-MS: calcd for C30H30N2O10, 578.1900, found: 578.1899.

3.15. Cribrostatin 4 (2) via 24

A suspension of 23 (112.4 mg, 0.2 mmol) and SeO2 (110.9 mg, 1.0 mmol) in dioxane (30 mL) and water (3.0 mL) was heated at 80 °C for 6 h. The reaction mixture was filtered and the filter cake was washed with ethyl acetate (200 mL). The combined filtrates were concentrated in vacuo to give a residue (248.3 mg). Flash column chromatography on silica gel (70 g) with hexane–ethyl acetate (1:1) afforded 24 (72.5 mg, 63%) along with recovered 23 (16.2 mg, 14%). Dess-Martin periodinane (DMP, 445.3 mg, 1.05 mmol) was added to a stirred solution of 24 (57.8 mg, 0.1 mmol) in dichloromethane (15 mL), and the mixture was stirred at 25 °C for 3 h. The reaction mixture was diluted with THF (50 mL), saturated aqueous Na2S2O3 solution (50 mL) was added, and the mixture was stirred at 25 °C for 2 h. The reaction mixture was diluted with water (100 mL) and extracted with ethyl acetate (100 mL × 3). The combined extracts were washed with brine (100 mL), dried, and concentrated in vacuo. The residue (230 mg) was purified by silica gel (9 g) flash column chromatography with hexane–ethyl acetate (1:2) to give cribrostatin 4 (2: 81.0 mg, 70.0% from 23) as a dark red film. 1H-, 13C NMR, and also IR spectral charts of synthetic renieramycin I and cribrostatin 4 are available in the supplementary information.

4. Conclusions

In summary, we have succeeded in reducing the number of steps in our first version of the total synthesis of cribrostatin 4 through key intermediate 12, from 21 steps in 3.4% overall yield to 18 steps in 8.3% overall yield. The main point of this alternative total synthesis is based on the Avendano’s protocol introducing C3-C4 double bond in the early stage. We have completed the first total synthesis of renieramycin I (1i), and the spectroscopic data provide unambiguous evidence that supports the original structure of the natural product. The development of ways to utilize this approach for the synthesis of other members of the C3-C4 unsaturated renieramycin family, and the examination of their biological activities to evaluate the mechanism of action, are undergoing in our laboratory.

Supplementary Files

Supplementary File 1

Acknowledgments

This work supported by Japan Society for the Promotion of Science (JSPS) Grant-in Aid for Scientific Research (C) (No. 15K07873).

Author Contributions

Masashi Yokoya Keiichiro Kobayashi, and Mitsuhiro Sato: conducted the experimental. Naoki Saito and Masashi Yokoya: wrote the manuscript.

Conflicts of Interest

The authors declare no conflict of interest.

References and Notes

  1. Scott, J.D.; Williams, R.M. Chemistry and Biology of the Tetrahydroisoquinoline Antitumor Antibiotics. Chem. Rev. 2002, 102, 1669–1730. [Google Scholar] [CrossRef] [PubMed]
  2. Avendaño, C.; de la Cuesta, E. Synthetic Chemistry with N-Acyliminium Ions Derived from Piperazine-2,5-Diones and Related Compounds. Curr. Org. Synth. 2009, 6, 143–168. [Google Scholar] [CrossRef]
  3. Parameswaran, P.S.; Naik, C.G.; Kamat, S.Y.; Pramanik, B.N. Renieramycins H and I, Two Novel Alkaloids from the Sponge Haliclona cribricutis Dendy. Indian J. Chem. 1998, 37B, 1258–1263. [Google Scholar]
  4. Pettit, G.R.; Collins, J.C.; Herald, D.L.; Doubek, D.L.; Boyd, M.R.; Schmidt, J.M.; Hooper, J.N.A.; Tackett, L.P. Isolation and Structure of Cribrostatins 1 and 2 from the Blue Marine Sponge Cribrochalina sp. Can. J. Chem. 1992, 70, 1170–1175. [Google Scholar] [CrossRef]
  5. Pettit, G.R.; Knight, J.C.; Collins, J.C.; Herald, D.L.; Pettit, R.K.; Boyd, M.R.; Young, V.G. Antineoplastic Agents 430. Isolation and Structure of Cribrostatins 3, 4, and 5 from the Republic of Maldives Cribrochalina Species. J. Nat. Prod. 2000, 63, 793–798. [Google Scholar] [CrossRef] [PubMed]
  6. Pettit, G.R.; Collins, J.C.; Knight, J.C.; Herald, D.L.; Nieman, R.A.; Williams, M.D.; Pettit, R.K. Antineoplastic Agents. 485. Isolation and Structure of Cribrostatin 6, a Dark Blue Cancer Cell Growth Inhibitor from the Marine Sponge Cribrochalina sp. J. Nat. Prod. 2003, 66, 544–547. [Google Scholar] [CrossRef] [PubMed]
  7. Kubo, A.; Saito, N.; Sakai, H.; Takai, E.; Muranaka, R.; Itabashi, M.; Yazawa, K.; Mikami, Y. Synthesis and Antitumor Evaluation of Octahydro-5-hydroxy-1,5-imino-3-benzazocin-4,7,10-triones. Heterocycles 1997, 46, 309–320. [Google Scholar] [CrossRef]
  8. Saito, N.; Sakai, H.; Suwanborirux, K.; Pummangura, S.; Kubo, A. 13C-NMR Spectral Assignment of 5-Hydroxy-1,5-imino-3-benzazocin-4,7,10-trione Derivatives: The Revised Structure of Renieramycin H. Heterocycles 2001, 55, 21–28. [Google Scholar] [CrossRef]
  9. Chan, C.; Heid, R.; Zheng, S.; Guo, J.; Zhou, B.; Furuuchi, T.; Danishefsky, S.J. Total Synthesis of Cribrostatin IV: Fine-tuning the Character of an Amide Bond by Remote Control. J. Am. Chem. Soc. 2005, 127, 4596–4598. [Google Scholar] [CrossRef] [PubMed]
  10. Vincent, G.; Williams, R.M. Asymmetric Total Synthesis of (−)-Cribrostatin 4 (Renieramycin H). Angew. Chem. Int. Ed. 2007, 46, 1517–1520. [Google Scholar] [CrossRef] [PubMed]
  11. Chen, X.; Zhu, J. Total Synthesis of the Marine Natural Product (−)-Cribrostatin 4 (Renieramycin H). Angew. Chem. Int. Ed. 2007, 46, 3962–3965. [Google Scholar] [CrossRef] [PubMed]
  12. Yokoya, M.; Ito, H.; Saito, N. Synthesis of Renieramycins: Construction of the Core Ring System of Cribrostatin 4 through Modified Pictet-Spengler Cyclization of 3,6-Bisarylpiperazine-2,5-diones with Diethoxyethyl Benzoate. Chem. Pharm. Bull. 2011, 59, 787–792. [Google Scholar] [CrossRef] [PubMed]
  13. Yokoya, M.; Ito, H.; Saito, N. Chemistry of Renieramycins. Part 11: Total Synthesis of (±)-Cribrostatin 4. Tetrahedron 2011, 67, 9185–9192. [Google Scholar] [CrossRef]
  14. Yokoya, M.; Shinada-Fujino, K.; Saito, N. Chemistry of Renieramycins. Part 9: Stereocontrolled Total Synthesis of (±)-Renieramycin G. Tetrahedron Lett. 2011, 52, 2446–2449. [Google Scholar] [CrossRef]
  15. Yokoya, M.; Shinada-Fujino, K.; Yoshida, S.; Mimura, M.; Takada, H.; Saito, N. Chemistry of Renieramycins. Part 12: An Improved Total Synthesis of (±)-Renieramycin G. Tetrahedron 2012, 68, 4166–4181. [Google Scholar] [CrossRef]
  16. For simplicity, natural product numbering was used in the manuscript, but IUPAC names and numbers were used in the Experimental.
  17. González, J.F.; de la Cuesta, E.; Avendaño, C. Short Stereocontrolled Synthesis of trans and cis-Tetrahydro-pyrazinoisoquinolinediones. Tetrahedron Lett. 2003, 44, 4395–4398. [Google Scholar] [CrossRef]
  18. González, J.F.; Salazar, L.; de la Cuesta, E.; Avendaño, C. Synthesis of Phthalascidin Analogs. Tetrahedron 2005, 61, 7447–7455. [Google Scholar] [CrossRef]
  19. Ortín, I.; González, J.F.; de la Cuesta, E.; Avendaño, C. Reactions Promoted by (Hydroxy(tosyloxy)iodo)benzene in Pyrazino(1,2-b)isoquinolines. Tetrahedron 2010, 66, 646–652. [Google Scholar] [CrossRef]
  20. Kubo, A.; Saito, N.; Yamato, H.; Yamauchi, R.; Hiruma, K.; Inoue, S. Synthesis of Saframycins. II. Preparations and Reactions of N-Methyl-2,5-piperazinediones. Chem. Pharm. Bull. 1988, 36, 2607–2614. [Google Scholar] [CrossRef] [PubMed]
  21. Yokoya, M.; Kawachi, O.; Saito, N. Synthesis of Tetrahydroisoquinoline Antitumor Natural Products: Construction of Tricyclic Lactams through Pictet-Spengler-type Cyclization of N-methyl-3-arylmethylpiperazine-2,5-dione with Ethyl diethoxyacetate. Heterocycles 2008, 76, 1497–1509. [Google Scholar] [CrossRef]
  22. Nakai, K.; Kubo, K.; Yokoya, M.; Saito, N. Preparation of Renieramycin Left-half Model Compounds. Tetrahedron 2014, 70, 6529–6545. [Google Scholar] [CrossRef]
  23. The signal in the NMR spectrum (CDCl3, at 20 °C) of 19 was not split, which was a mixture of two rotational isomers.
  24. Saito, N.; Ōhira, Y.; Wada, N.; Kubo, A. Synthesis of saframycins. V. Selenium Oxide Oxidation of Hexahydro-1,5-imino-3-benzazocin-7,10-dione; a Useful Method for Constructing Saframycins C and D from Saframycin B. Tetrahedron 1990, 46, 7711–7728. [Google Scholar] [CrossRef]
  25. Saito, N.; Harada, S.; Inouye, I.; Yamaguchi, K.; Kubo, A. Synthesis of Saframycins. XII. Total Synthesis of (−)-N-Acetylsaframycin Mx 2 and its epi-(+)-Enantiomer. Tetrahedron 1995, 51, 8231–8246. [Google Scholar] [CrossRef]
  26. Mori, M.; Daikuhara, N.; Yamada, J.; Saito, N. Selenium Oxide Oxidation of Hexahydro-1,5-imino-3-benzazocine-7,10-dione in Aliphatic Alcohol for Conversion of Renieramycin Marine Natural Products. Heterocycles 2012, 86, 317–330. [Google Scholar]
  27. We cannot obtain any 13C NMR spectral data of natural renieramycin I (1i); see reference [3].
  28. Du, J.; Watanabe, K.A. Facile Preparation of α-Acyloxyacetaldehyde, a Versatile Intermediate in the Synthesis of Antiviral Nucleosides. Synth. Commun. 2004, 34, 1925–1930. [Google Scholar] [CrossRef]

Share and Cite

MDPI and ACS Style

Yokoya, M.; Kobayashi, K.; Sato, M.; Saito, N. Chemistry of Renieramycins. Part 14: Total Synthesis of Renieramycin I and Practical Synthesis of Cribrostatin 4 (Renieramycin H). Mar. Drugs 2015, 13, 4915-4933. https://doi.org/10.3390/md13084915

AMA Style

Yokoya M, Kobayashi K, Sato M, Saito N. Chemistry of Renieramycins. Part 14: Total Synthesis of Renieramycin I and Practical Synthesis of Cribrostatin 4 (Renieramycin H). Marine Drugs. 2015; 13(8):4915-4933. https://doi.org/10.3390/md13084915

Chicago/Turabian Style

Yokoya, Masashi, Keiichiro Kobayashi, Mitsuhiro Sato, and Naoki Saito. 2015. "Chemistry of Renieramycins. Part 14: Total Synthesis of Renieramycin I and Practical Synthesis of Cribrostatin 4 (Renieramycin H)" Marine Drugs 13, no. 8: 4915-4933. https://doi.org/10.3390/md13084915

APA Style

Yokoya, M., Kobayashi, K., Sato, M., & Saito, N. (2015). Chemistry of Renieramycins. Part 14: Total Synthesis of Renieramycin I and Practical Synthesis of Cribrostatin 4 (Renieramycin H). Marine Drugs, 13(8), 4915-4933. https://doi.org/10.3390/md13084915

Article Metrics

Back to TopTop