Evaluation of Prognosis in Cirrhotic Patients with Esophageal Variceal Bleeding Using Non-Invasive Scores
Abstract
1. Introduction
2. Materials and Methods
Statistical Analysis
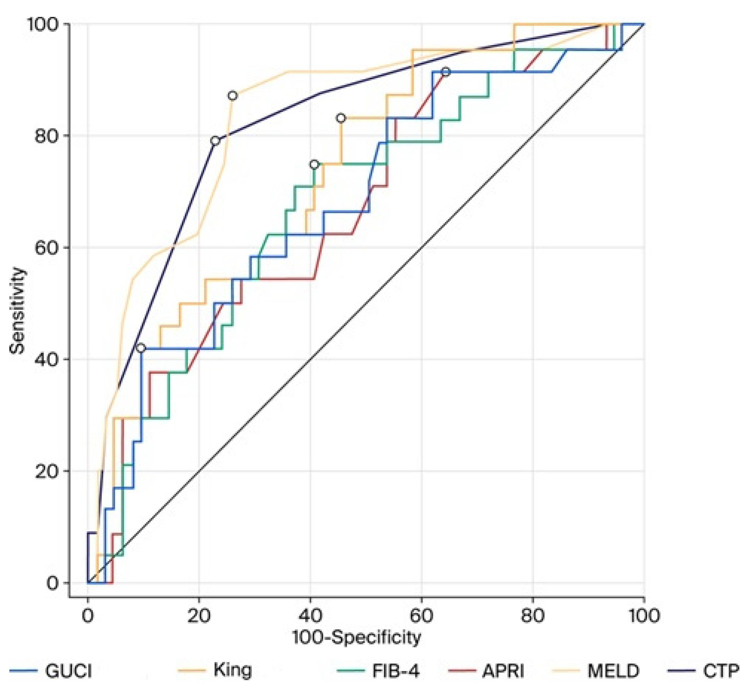
3. Results
4. Discussion
5. Conclusions
Author Contributions
Funding
Institutional Review Board Statement
Informed Consent Statement
Data Availability Statement
Conflicts of Interest
Abbreviations
| AUC | Area Under the Receiver Operating Characteristic Curve |
| ALT | Alanine Aminotransferase |
| ALP | Alkaline Phosphatase |
| APRI | Aspartate Aminotransferase to Platelet Ratio Index |
| AST | Aspartate Aminotransferase |
| CT | Computed Tomography |
| CTP | Child–Turcotte–Pugh |
| Cr | Creatinine |
| CRP | C-Reactive Protein |
| DM | Diabetes Mellitus |
| EBL | Endoscopic Band Ligation |
| EVB | Esophageal Variceal Bleeding |
| FIB-4 | Fibrosis-4 |
| GGT | Gamma-Glutamyl Transferase |
| GUCI | Göteborg University Cirrhosis Index |
| Hb | Hemoglobin |
| HBV | Hepatitis B Virus |
| HCV | Hepatitis C Virus |
| HCC | Hepatocellular Carcinoma |
| HE | Hepatic Encephalopathy |
| HRS | Hepatorenal Syndrome |
| INR | International Normalized Ratio |
| LDH | Lactate Dehydrogenase |
| MELD | Model for End-Stage Liver Disease |
| Na | Sodium |
| NASH | Nonalcoholic Steatohepatitis |
| NPV | Negative Predictive Value |
| PPV | Positive Predictive Value |
| PLT | Platelet Count |
| ROC | Receiver Operating Characteristic |
| SD | Standard Deviation |
| ULN | Upper Limit of Normal |
| WBC | White Blood Cell Count |
References
- Jakab, S.S.; Garcia-Tsao, G. Evaluation and Management of Esophageal and Gastric Varices in Patients with Cirrhosis. Clin. Liver Dis. 2020, 24, 335–350. [Google Scholar] [CrossRef]
- Al-Obaid, L.N.; Bazarbashi, A.N.; Ryou, M. Variceal Bleeding: Beyond Banding. Dig. Dis. Sci. 2022, 67, 1442–1454. [Google Scholar] [CrossRef]
- Villanueva, C.; Piqueras, M.; Aracil, C.; Gomez, C.; Lopez-Balaguer, J.M.; Gonzalez, B.; Gallego, A.; Torras, X.; Soriano, G.; Sainz, S.; et al. A randomized controlled trial comparing ligation and sclerotherapy as emergency endoscopic treatment added to somatostatin in acute variceal bleeding. J. Hepatol. 2006, 45, 560–567. [Google Scholar] [CrossRef] [PubMed]
- Abraldes, J.G.; Villanueva, C.; Banares, R.; Aracil, C.; Catalina, M.V.; Garci, A.P.J.C.; Bosch, J.; Variceal, B.; Spanish Cooperative Group for Portal Hypertension and Variceal Bleeding. Hepatic venous pressure gradient and prognosis in patients with acute variceal bleeding treated with pharmacologic and endoscopic therapy. J. Hepatol. 2008, 48, 229–236. [Google Scholar] [CrossRef] [PubMed]
- Aluizio, C.L.S.; Montes, C.G.; Reis, G.; Nagasako, C.K. Risk stratification in acute variceal bleeding: Far from an ideal score. Clinics 2021, 76, e2921. [Google Scholar] [CrossRef] [PubMed]
- Das, V.; Boelle, P.Y.; Galbois, A.; Guidet, B.; Maury, E.; Carbonell, N.; Moreau, R.; Offenstadt, G. Cirrhotic patients in the medical intensive care unit: Early prognosis and long-term survival. Crit. Care Med. 2010, 38, 2108–2116. [Google Scholar] [CrossRef]
- Durand, F.; Valla, D. Assessment of the prognosis of cirrhosis: Child-Pugh versus MELD. J. Hepatol. 2005, 42, S100–S107. [Google Scholar] [CrossRef]
- Fragaki, M.; Sifaki-Pistolla, D.; Orfanoudaki, E.; Kouroumalis, E. Comparative evaluation of ALBI, MELD, and Child-Pugh scores in prognosis of cirrhosis: Is ALBI the new alternative? Ann. Gastroenterol. 2019, 32, 626–632. [Google Scholar] [CrossRef]
- Botta, F.; Giannini, E.; Romagnoli, P.; Fasoli, A.; Malfatti, F.; Chiarbonello, B.; Testa, E.; Risso, D.; Colla, G.; Testa, R. MELD scoring system is useful for predicting prognosis in patients with liver cirrhosis and is correlated with residual liver function: A European study. Gut 2003, 52, 134–139. [Google Scholar] [CrossRef]
- Sterling, R.K.; Duarte-Rojo, A.; Patel, K.; Asrani, S.K.; Alsawas, M.; Dranoff, J.A.; Fiel, M.I.; Murad, M.H.; Leung, D.H.; Levine, D.; et al. AASLD Practice Guideline on imaging-based noninvasive liver disease assessment of hepatic fibrosis and steatosis. Hepatology 2025, 81, 672–724. [Google Scholar] [CrossRef]
- European Association for Study of Liver; Asociacion Latinoamericana para el Estudio del Higado. EASL-ALEH Clinical Practice Guidelines: Non-invasive tests for evaluation of liver disease severity and prognosis. J. Hepatol. 2015, 63, 237–264. [Google Scholar] [CrossRef]
- Cifci, S.; Ekmen, N. Evaluation of Non-invasive Fibrosis Markers in Predicting Esophageal Variceal Bleeding. Clin. Endosc. 2021, 54, 857–863. [Google Scholar] [CrossRef]
- Tian, Q.; Liu, Y.; Cao, Q.; Cheng, M.; Zhang, M.; Zhu, F.; He, Y. Clinical Value of APRI and FIB-4 on Bleeding Risk and 30-Day Prognosis in Patients with Liver Cirrhosis Complicated with Esophagogastric Varices. Int. J. Gen. Med. 2025, 18, 6153–6167. [Google Scholar] [CrossRef]
- Glisic, T.; Stojkovic Lalosevic, M.; Milovanovic, T.; Rankovic, I.; Stojanovic, M.; Toplicanin, A.; Aleksic, M.; Milivojevic, V.; Martinov Nestorov, J.; Lolic, I.; et al. Diagnostic Value of Non-invasive Scoring Systems in the Prediction of Esophageal Varices in Patients with Liver Cirrhosis-Single Center Experience. Medicina 2022, 58, 158. [Google Scholar] [CrossRef] [PubMed]
- Yokoyama, S.; Honda, T.; Ishizu, Y.; Imai, N.; Ito, T.; Yamamoto, K.; Mizuno, K.; Nakamura, M.; Kawashima, H. Predicting early rebleeding and mortality after endoscopic hemostasis of esophagogastric varices: Diagnostic performance of aspartate aminotransferase-to-platelet ratio index and model for end-stage liver disease-Na score. J. Hepatobiliary Pancreat. Sci. 2024, 31, 830–839. [Google Scholar] [CrossRef] [PubMed]
- Vogel, A.; Chan, S.L.; Dawson, L.A.; Kelley, R.K.; Llovet, J.M.; Meyer, T.; Ricke, J.; Rimassa, L.; Sapisochin, G.; Vilgrain, V.; et al. Hepatocellular carcinoma: ESMO Clinical Practice Guideline for diagnosis, treatment and follow-up. Ann. Oncol. 2025, 36, 491–506. [Google Scholar] [CrossRef] [PubMed]
- Rudler, M.; Weiss, N.; Bouzbib, C.; Thabut, D. Diagnosis and Management of Hepatic Encephalopathy. Clin. Liver Dis. 2021, 25, 393–417. [Google Scholar] [CrossRef]
- Gupta, K.; Bhurwal, A.; Law, C.; Ventre, S.; Minacapelli, C.D.; Kabaria, S.; Li, Y.; Tait, C.; Catalano, C.; Rustgi, V.K. Acute kidney injury and hepatorenal syndrome in cirrhosis. World J. Gastroenterol. 2021, 27, 3984–4003. [Google Scholar] [CrossRef]
- Westin, J.; Ydreborg, M.; Islam, S.; Alsio, A.; Dhillon, A.P.; Pawlotsky, J.M.; Zeuzem, S.; Schalm, S.W.; Ferrari, C.; Neumann, A.U.; et al. A non-invasive fibrosis score predicts treatment outcome in chronic hepatitis C virus infection. Scand. J. Gastroenterol. 2008, 43, 73–80. [Google Scholar] [CrossRef]
- Cross, T.J.; Rizzi, P.; Berry, P.A.; Bruce, M.; Portmann, B.; Harrison, P.M. King’s Score: An accurate marker of cirrhosis in chronic hepatitis C. Eur. J. Gastroenterol. Hepatol. 2009, 21, 730–738. [Google Scholar] [CrossRef]
- Wiesner, R.; Edwards, E.; Freeman, R.; Harper, A.; Kim, R.; Kamath, P.; Kremers, W.; Lake, J.; Howard, T.; Merion, R.M.; et al. Model for end-stage liver disease (MELD) and allocation of donor livers. Gastroenterology 2003, 124, 91–96. [Google Scholar] [CrossRef]
- Shaheen, A.A.; Myers, R.P. Diagnostic accuracy of the aspartate aminotransferase-to-platelet ratio index for the prediction of hepatitis C-related fibrosis: A systematic review. Hepatology 2007, 46, 912–921. [Google Scholar] [CrossRef] [PubMed]
- Blanco-Grau, A.; Gabriel-Medina, P.; Rodriguez-Algarra, F.; Villena, Y.; Lopez-Martinez, R.; Augustin, S.; Pons, M.; Cruz, L.M.; Rando-Segura, A.; Enfedaque, B.; et al. Assessing Liver Fibrosis Using the FIB4 Index in the Community Setting. Diagnostics 2021, 11, 2236. [Google Scholar] [CrossRef] [PubMed]
- Singh, S.; Chandan, S.; Vinayek, R.; Aswath, G.; Facciorusso, A.; Maida, M. Comprehensive approach to esophageal variceal bleeding: From prevention to treatment. World J. Gastroenterol. 2024, 30, 4602–4608. [Google Scholar] [CrossRef]
- Wang, J.; Chen, S.; Naga, Y.M.; Liu, J.; Dai, M.; Yang, S.; Wang, L.; Ye, B. Esophageal Variceal Ligation Monotherapy versus Combined Ligation and Sclerotherapy for the Treatment of Esophageal Varices. Can. J. Gastroenterol. Hepatol. 2021, 2021, 8856048. [Google Scholar] [CrossRef] [PubMed]
- European Association for the Study of the Liver. EASL Clinical Practice Guidelines for the management of patients with decompensated cirrhosis. J. Hepatol. 2018, 69, 406–460. [Google Scholar] [CrossRef]
- Jepsen, P. Comorbidity in cirrhosis. World J. Gastroenterol. 2014, 20, 7223–7230. [Google Scholar] [CrossRef]
- de Franchis, R.; Bosch, J.; Garcia-Tsao, G.; Reiberger, T.; Ripoll, C.; Baveno, V.I.I.F. Baveno VII—Renewing consensus in portal hypertension. J. Hepatol. 2022, 76, 959–974. [Google Scholar] [CrossRef]
- Gralnek, I.M.; Garcia-Pagan, J.C.; Hernandez-Gea, V. Challenges in the Management of Esophagogastric Varices and Variceal Hemorrhage in Cirrhosis—A Narrative Review. Am. J. Med. 2024, 137, 210–217. [Google Scholar] [CrossRef]
- Sebastiani, G.; Tempesta, D.; Fattovich, G.; Castera, L.; Halfon, P.; Bourliere, M.; Noventa, F.; Angeli, P.; Saggioro, A.; Alberti, A. Prediction of oesophageal varices in hepatic cirrhosis by simple serum non-invasive markers: Results of a multicenter, large-scale study. J. Hepatol. 2010, 53, 630–638. [Google Scholar] [CrossRef]
- Ekin, N.; Ucmak, F.; Ebik, B.; Tugba Tuncel, E.; Kacmaz, H.; Arpa, M.; Engin Atay, A. GPR, King’s Score and S-Index are superior to other non-invasive fibrosis markers in predicting the liver fibrosis in chronic Hepatitis B patients. Acta Gastroenterol. Belg. 2022, 85, 62–68. [Google Scholar] [CrossRef] [PubMed]
- Yosry, A.; Fouad, R.; Alem, S.A.; Elsharkawy, A.; El-Sayed, M.; Asem, N.; Hassan, E.; Ismail, A.; Esmat, G. FibroScan, APRI, FIB4, and GUCI: Role in prediction of fibrosis and response to therapy in Egyptian patients with HCV infection. Arab. J. Gastroenterol. 2016, 17, 78–83. [Google Scholar] [CrossRef] [PubMed]
- Stasi, C.; Milani, S. Non-invasive assessment of liver fibrosis: Between prediction/prevention of outcomes and cost-effectiveness. World J. Gastroenterol. 2016, 22, 1711–1720. [Google Scholar] [CrossRef] [PubMed]
- Catanzaro, R.; Aleo, A.; Sciuto, M.; Zanoli, L.; Balakrishnan, B.; Marotta, F. FIB-4 and APRI scores for predicting severe liver fibrosis in chronic hepatitis HCV patients: A monocentric retrospective study. Clin. Exp. Hepatol. 2021, 7, 111–116. [Google Scholar] [CrossRef]
- Kothari, H.G.; Gupta, S.J.; Gaikwad, N.R.; Sankalecha, T.H.; Samarth, A.R. Role of non-invasive markers in prediction of esophageal varices and variceal bleeding in patients of alcoholic liver cirrhosis from central India. Turk. J. Gastroenterol. 2019, 30, 1036–1043. [Google Scholar] [CrossRef]
- Hassan, E.A.; Abd El, A.S.E.D.; Sayed, Z.E.A.A.; Ashmawy, A.M.; Kholef, E.F.M.; Sabry, A.; Elsewify, W.A.E. Noninvasive fibrosis scores as prognostic markers for varices needing treatment in advanced compensated liver cirrhosis. Open J. Gastroenterol. 2017, 7, 230–242. [Google Scholar]
- Kraja, B.; Mone, I.; Akshija, I.; Kocollari, A.; Prifti, S.; Burazeri, G. Predictors of esophageal varices and first variceal bleeding in liver cirrhosis patients. World J. Gastroenterol. 2017, 23, 4806–4814. [Google Scholar] [CrossRef]
- Pandey, R.; Pathak, R.; Gnawali, A.; Khadga, P.; Sharma, S.; Jha, A.; Hamal, R.; Koirala, D.; Parajuli, P. Diagnostic Accuracy of Non-invasive Laboratory-Based Fibrosis Scores in Predicting the Presence of Esophageal Varices in Liver Cirrhosis. J. Adv. Intern. Med. 2020, 9, 54–59. [Google Scholar] [CrossRef]
- Zhang, F.; Liu, T.; Gao, P.; Fei, S. Predictive Value of a Noninvasive Serological Hepatic Fibrosis Scoring System in Cirrhosis Combined with Oesophageal Varices. Can. J. Gastroenterol. Hepatol. 2018, 2018, 7671508. [Google Scholar] [CrossRef]
- Kang, W.; Kim, S.U.; Ahn, S.H. Non-invasive prediction of forthcoming cirrhosis-related complications. World J. Gastroenterol. 2014, 20, 2613–2623. [Google Scholar] [CrossRef]
- Wang, F.; Cui, S.; Wang, F.; Li, F.; Tang, F.; Zhang, X.; Gao, Y.; Lv, H. Different scoring systems to predict 6-week mortality in cirrhosis patients with acute variceal bleeding: A retrospective analysis of 202 patients. Scand. J. Gastroenterol. 2018, 53, 885–890. [Google Scholar] [CrossRef]
- Mohammad, A.N.; Morsy, K.H.; Ali, M.A. Variceal bleeding in cirrhotic patients: What is the best prognostic score? Turk. J. Gastroenterol. 2016, 27, 464–469. [Google Scholar] [CrossRef]
- Acharya, G.; Kaushik, R.M.; Gupta, R.; Kaushik, R. Child-Turcotte-Pugh Score, MELD Score and MELD-Na Score as Predictors of Short-Term Mortality among Patients with End-Stage Liver Disease in Northern India. Inflamm. Intest. Dis. 2020, 5, 1–10. [Google Scholar] [CrossRef]
- Huy, D.Q.; Van Chung, N.; Dong, D.T. Value of Some Scoring Systems for the Prognosis of Rebleeding and In-Hospital Mortality in Liver Cirrhosis with Acute Variceal Bleeding. Gastroenterol. Insights 2023, 14, 144–155. [Google Scholar] [CrossRef]
- Reverter, E.; Tandon, P.; Augustin, S.; Turon, F.; Casu, S.; Bastiampillai, R.; Keough, A.; Llop, E.; Gonzalez, A.; Seijo, S.; et al. A MELD-based model to determine risk of mortality among patients with acute variceal bleeding. Gastroenterology 2014, 146, 412–419 e413. [Google Scholar] [CrossRef]
- Altamirano, J.; Zapata, L.; Agustin, S.; Muntaner, L.; Gonzalez-Angulo, A.; Ortiz, A.L.; Degiau, L.; Garibay, J.; Camargo, L.; Genesca, J. Predicting 6-week mortality after acute variceal bleeding: Role of Classification and Regression Tree analysis. Ann. Hepatol. 2009, 8, 308–315. [Google Scholar] [CrossRef]
- Wong, M.W.; Chen, M.J.; Chen, H.L.; Kuo, Y.C.; Lin, I.T.; Wu, C.H.; Lee, Y.K.; Cheng, C.H.; Bair, M.J. Application of chronic liver failure-sequential organ failure assessment score for the predication of mortality after esophageal variceal hemorrhage post endoscopic ligation. PLoS ONE 2017, 12, e0182529. [Google Scholar] [CrossRef] [PubMed]
- Yamana, H.; Imai, S.; Yamasaki, K.; Horiguchi, H.; Ario, K.; Komatsu, T.; Sugimoto, R.; Katsushima, S.; Naganuma, A.; Mano, Y.; et al. Prognosis of patients with liver cirrhosis: A multi-center retrospective observational study. Hepatol. Res. 2021, 51, 1196–1206. [Google Scholar] [CrossRef] [PubMed]


| Age | 59.4 ± 13.9 (22–85) |
| Gender, n (%) | |
| Male | 55 (64.7%) |
| Female | 30 (35.3%) |
| Duration of cirrhosis (years) | 5.12 ± 4.1 (1–25) |
| Accompanying diseases, n (%) | |
| Diabetes mellitus | 35 (41.2%) |
| Hypertension | 25 (29.4%) |
| Atherosclerotic heart disease | 9 (10.6%) |
| Heart failure | 5 (5.9%) |
| Etiology, n (%) | |
| HBV | 23 (27.1%) |
| HCV | 14 (16.5%) |
| Alcohol | 11 (12.9%) |
| NASH | 7 (8.2%) |
| Other | 9 (10.6%) |
| Cryptogenic | 21 (24.7%) |
| CTP class, n (%) | |
| A | 19 (22.4%) |
| B | 47 (55.2%) |
| C | 19 (22.4%) |
| CTP score | 8.04 ± 1.9 (5–13) |
| MELD score | 13.02 ± 4.7 (6–29) |
| Complications, n (%) | |
| Ascites | 63 (74.1%) |
| Encephalopathy | 11 (12.9%) |
| HCC | 10 (11.8%) |
| HRS | 1 (1.2%) |
| Infections | 9 (10.6%) |
| Portal vein thrombosis | 5 (5.9%) |
| History of variceal bleeding, n (%) | 27 (31.8%) |
| Presentations, n (%) | |
| Hematemesis | 53 (62.4%) |
| Hematemesis and melena | 11 (12.9%) |
| Melena | 9 (10.6%) |
| Hematemesis + hematochezia | 8 (9.4%) |
| Hematochezia | 3 (3.5%) |
| Syncope | 1 (1.2%) |
| Time to endoscopy (h) ± SD | 5.36 ± 10.3 (1–72%) |
| Blood transfusion, n (%) | |
| Yes | 66 (77.6%) |
| No | 19 (22.4%) |
| Transfusion number (units) ± SD | 3.30 ± 2.8 (1–17) |
| Medical Treatment | n (%) |
|---|---|
| Somatostatin | 36 (42.3%) |
| Octreotide | 26 (30.6%) |
| Terlipressin | 19 (22.4%) |
| Untreated | 4 (4.7%) |
| Endoscopic treatment | |
| EBL | 79 (92.9%) |
| Sclerotherapy | 3 (3.5%) |
| Combined therapy (EBL + sclerotherapy) | 1 (1.2%) |
| Endoclips | 1(1.2%) |
| Unable to undergo endoscopic therapy | 1(1.2%) |
| Mortality rate | |
| 6-week mortality | 18 (21.2%) |
| 6-month mortality | 24 (28.2%) |
| Survivors (n: 67) | Non-Survivors (n: 18) | p | |
|---|---|---|---|
| WBC (/μL) | 8711.6 ± 4734.5 | 9933.3 ± 3116.7 | 0.304 a |
| Hb (gr/dL) | 8.7 ± 2.1 | 9.2 ± 2.8 | 0.333 b |
| PLT (/μL) | 129.8 ± 60.2 | 125.2 ± 28.6 | 0.751 a |
| INR | 1.38 ± 0.3 | 1.64 ± 0.4 | 0.001 **.a |
| Glucose (mg/dL) | 198.4 ± 105.0 | 201.9 ± 161.9 | 0.491 b |
| Albumin (gr/dL) | 2.97 ± 0.5 | 2.52 ± 0.5 | 0.001 **.a |
| Protein (gr/dL) | 6.13 ± 0.8 | 5.76 ± 0.9 | 0.150 a |
| Total bilirubin (mg/dL) | 1.44 ± 1.6 | 3.59 ± 3.1 | 0.025 *.b |
| AST (U/L) | 42.6 ± 27.6 | 91.6 ± 83.2 | 0.002 **.b |
| ALT (U/L) | 26.6 ± 16.9 | 46.2 ± 40.2 | 0.022 **.b |
| ALP (U/L) | 110.0 ± 98.9 | 111.9 ± 44.9 | 0.947 a |
| GGT (U/L) | 110.5 ± 151.8 | 180.6 ± 277.1 | 0.138 b |
| LDH (U/L) | 251.7 ± 105.1 | 360.4 ± 251.5 | 0.014 *.b |
| Urea (mg/dL) | 64.3 ± 32.8 | 92.7 ± 83.3 | 0.029 *.a |
| Cr (mg/dL) | 0.82 ± 0.4 | 1.27 ± 0.7 | 0.001 **.b |
| Na (mmol/L) | 137.5 ± 4.2 | 135.1 ± 3.1 | 0.030 *.a |
| K (mmol/L) | 4.52 ± 0.6 | 4.58 ± 0.7 | 0.788 b |
| Lactate (mg/dL) | 30.5 ± 24.1 | 52.6 ± 38.6 | 0.001 **.b |
| CRP (mg/L) | 13.3 ± 25.6 | 32 ± 43.9 | 0.003 **.b |
| Procalcitonin (μg/L) | 0.28 ± 0.2 | 4.02 ± 7.9 | 0.018 *.b |
| Survivors (n: 67) | Non-Survivors (n: 24) | p | |
|---|---|---|---|
| WBC (/μL) | 9006.2 ± 4856.4 | 8879.2 ± 3299.4 | 0.907 a |
| Hb (gr/dL) | 8.65 ± 2.2 | 9.23 ± 2.5 | 0.289 b |
| PLT (/μL) | 129.8 ± 61.1 | 126.5 ± 35.9 | 0.803 a |
| INR | 1.38 ± 0.3 | 1.57 ± 0.4 | 0.009 **.a |
| Glucose (mg/dL) | 200 ± 108.1 | 196.7 ± 142.6 | 0.597 b |
| Albumin (gr/dL) | 2.96 ± 0.5 | 2.64 ± 0.5 | 0.009 **.a |
| Protein (gr/dL) | 6.07 ± 0.8 | 6.04 ± 0.9 | 0.914 a |
| Total bilirubin (mg/dL) | 1.28 ± 1.2 | 3.46 ± 3.1 | <0.001 **.b |
| AST (U/L) | 44.2 ± 39.8 | 75.2 ± 62.7 | 0.002 **.b |
| ALT (U/L) | 27.1 ± 19.3 | 40.2 ± 34.0 | 0.035 *.b |
| ALP (U/L) | 93.1 ± 50.2 | 148.7 ± 136.7 | 0.020 *.a |
| GGT (U/L) | 100.2 ± 143.8 | 187.9 ± 257.6 | 0.073 a |
| LDH (U/L) | 251.7 ± 07.8 | 330.2 ± 220.6 | 0.027 *.b |
| Urea (mg/dL) | 65.0 ± 32.8 | 83.3 ± 74.7 | 0.122 a |
| Cr (mg/dL) | 0.84 ± 0.4 | 1.12 ± 0.7 | 0.042 *.b |
| Na (mmol/L) | 137.6 ± 4.3 | 135.4 ± 3.1 | 0.025 *.a |
| K (mmol/L) | 4.53 ± 0.6 | 4.53 ± 0.7 | 0.838 b |
| Lactate (mg/dL) | 31.7 ± 24.9 | 44.9 ± 36.7 | 0.060 b |
| CRP (mg/dL) | 11.9 ± 25.3 | 30.6 ± 39.9 | <0.001 **.b |
| Procalcitonin (μg/L) | 0.26 ± 0.2 | 3.03 ± 6.9 | 0.019 *.b |
| Survivors (n: 67) | Non-Survivors (n: 18) | p | |
|---|---|---|---|
| CTP stage n (%) | |||
| CTP A | 19 (28.4%) | - | <0.001 **.a |
| CTP B | 40 (59.7%) | 7 (38.9%) | |
| CTP C | 8 (11.9%) | 11 (61.1%) | |
| CTP score | 7.53 ± 1.6 | 9.94 ± 1.6 | <0.001 **.b |
| MELD score | 11.6 ± 3.8 | 18.3 ± 4.3 | <0.001 **.b |
| MELD classification | |||
| ≤12 | 48 (71.6%) | 1(5.6%) | <0.001 ** a |
| >12 | 19 (28.4%) | 17 (94.4%) | |
| APRI | 0.94 ± 0.8 | 1.67 ± 1.4 | 0.027 *.b |
| FIB-4 score | 4.59 ± 3.7 | 6.59 ± 3.6 | 0.008 *.b |
| King’s score | 31.6 ± 24.7 | 69.7 ± 49.2 | <0.001 **.b |
| GUCI score | 1.33 ± 1.3 | 2.72 ± 2.2 | 0.013 **.b |
| Survivors (n: 61) | Non-Survivors (n: 24) | p | |
|---|---|---|---|
| CTP stage, n (%) | |||
| CTP A | 18 (29.5%) | 1 (4.2%) | <0.001 **.a |
| CTP B | 36 (59.0%) | 11 (45.8%) | |
| CTP C | 7 (11.5%) | 12 (50.0%) | |
| CTP score | 7.44 ± 1.5 | 9.58 ± 1.7 | <0.001 **.b |
| MELD score | 11.49 ± 3.9 | 16.91 ± 4.6 | <0.001 **.b |
| MELD classification | |||
| ≤12 | 46 (75.4%) | 3 (12.5%) | <0.001 ** a |
| >12 | 15 (24.6%) | 21 (87.5%) | |
| APRI | 0.98 ± 0.9 | 1.41 ± 1.0 | 0.018 **.b |
| FIB-4 score | 4.63 ± 3.9 | 6.0 ± 3.2 | 0.012 **.b |
| King’s score | 32.8 ± 31.0 | 57.1 ± 38.5 | 0.001 *.b |
| GUCI score | 1.38 ± 1.5 | 2.24 ± 1.8 | 0.010 **.b |
| CTP | MELD | APRI | FIB-4 | King’s | GUCI | |
|---|---|---|---|---|---|---|
| AUC 95%–Cl (%) | 0.857 (0.764–0.923) | 0.888 (0.801–0.946) | 0.670 (0.560–0.769) | 0.704 (0.596–0.798) | 0.770 (0.666–0.855) | 0.692 (0.583–0.788) |
| Cut-off | 8 | 12 | 0.98 | 3.95 | 51.38 | 2.6 |
| Sensitivity (%) 95%-Cl (%) | 83.33 (58.6–96.4) | 94.44 (72.7–99.9) | 61.11 (35.7–82.7) | 77.78 (52.4–93.6) | 61.11 (35.7–82.7) | 44.44 (21.5–69.2) |
| Specificity 95%-Cl (%) | 73.13 (60.9–83.2) | 70.15 (57.7–80.7) | 71.64 (59.3–82) | 56.72 (44–68.8) | 83.58 (72.5–91.5) | 91.04 (81.5–96.6) |
| PPV 95%-Cl (%) | 45.5 (34.8–56.5) | 45.9 (36.7–55.5) | 36.7 (25.4–49.6) | 32.6 (25–41.1) | 50 (34.2–65.8) | 57.1 (34.7–77) |
| NPV 95%-Cl (%) | 94.2 (85.2–97.9) | 97.9 (87.4–99.7) | 87.3 (79–92.6) | 90.5 (79.6–95.9) | 88.9 (81.6–93.5) | 85.9 (80–90.3) |
| p | <0.001 ** | <0.001 ** | 0.026 * | 0.005 * | <0.001 ** | 0.014 * |
| CTP | MELD | APRI | FIB-4 | King’s | GUCI | |
|---|---|---|---|---|---|---|
| AUC 95%-Cl (%) | 0.823 (0.725–0.897) | 0.835 (0.738–0.906) | 0.666 (0.555–0.764) | 0.676 (0.566–0.773) | 0.734 (0.627–0.824) | 0.681 (0.571–0.778) |
| Cut-off | 8 | 12 | 0.52 | 3.95 | 22.01 | 2.57 |
| Sensitivity (%) 95%-Cl (%) | 79.17 (57.8–92.9) | 87.50 (67.6–97.3) | 91.67 (73–99) | 75 (53.3–90.2) | 83.33 (62.6–95.3) | 41.67 (22.1–63.4) |
| Specificity 95%-Cl (%) | 77.05 (64.5–86.8) | 73.77 (60.9–84.2) | 36.07 (24.2–49.4) | 59.02 (45.7–71.4) | 54.1 (40.8–66.9) | 90.16 (79.8–96.3) |
| PPV 95%-Cl (%) | 57.6 (45.1–69.2) | 56.8 (45.6–67.2) | 36.1 (31.1–41.4) | 41.9 (33–51.3) | 41.7 (34–49.7) | 62.5 (40.5–80.3) |
| NPV 95%-Cl (%) | 90.4 (81–95.4) | 93.7 (83.7–97.8) | 91.7 (73.7–97.7) | 85.7 (74.4–92.5) | 89.2 (76.6–95.4) | 79.7 (73.5–84.8) |
| p | <0.001 ** | <0.001 ** | 0.010 * | 0.006 * | <0.001 ** | 0.005 ** |
Disclaimer/Publisher’s Note: The statements, opinions and data contained in all publications are solely those of the individual author(s) and contributor(s) and not of MDPI and/or the editor(s). MDPI and/or the editor(s) disclaim responsibility for any injury to people or property resulting from any ideas, methods, instructions or products referred to in the content. |
© 2025 by the authors. Published by MDPI on behalf of the Lithuanian University of Health Sciences. Licensee MDPI, Basel, Switzerland. This article is an open access article distributed under the terms and conditions of the Creative Commons Attribution (CC BY) license (https://creativecommons.org/licenses/by/4.0/).
Share and Cite
Kırdar, M.; Sarıtaş, B.; İlhan, A.; Ölmez, Ş. Evaluation of Prognosis in Cirrhotic Patients with Esophageal Variceal Bleeding Using Non-Invasive Scores. Medicina 2025, 61, 2194. https://doi.org/10.3390/medicina61122194
Kırdar M, Sarıtaş B, İlhan A, Ölmez Ş. Evaluation of Prognosis in Cirrhotic Patients with Esophageal Variceal Bleeding Using Non-Invasive Scores. Medicina. 2025; 61(12):2194. https://doi.org/10.3390/medicina61122194
Chicago/Turabian StyleKırdar, Murat, Bünyamin Sarıtaş, Abdullah İlhan, and Şehmus Ölmez. 2025. "Evaluation of Prognosis in Cirrhotic Patients with Esophageal Variceal Bleeding Using Non-Invasive Scores" Medicina 61, no. 12: 2194. https://doi.org/10.3390/medicina61122194
APA StyleKırdar, M., Sarıtaş, B., İlhan, A., & Ölmez, Ş. (2025). Evaluation of Prognosis in Cirrhotic Patients with Esophageal Variceal Bleeding Using Non-Invasive Scores. Medicina, 61(12), 2194. https://doi.org/10.3390/medicina61122194

