Dental Treatment in Special Needs Patients and Uncooperative Young Children: A Retrospective Study
Abstract
1. Introduction
2. Materials and Methods
Statistical Analysis
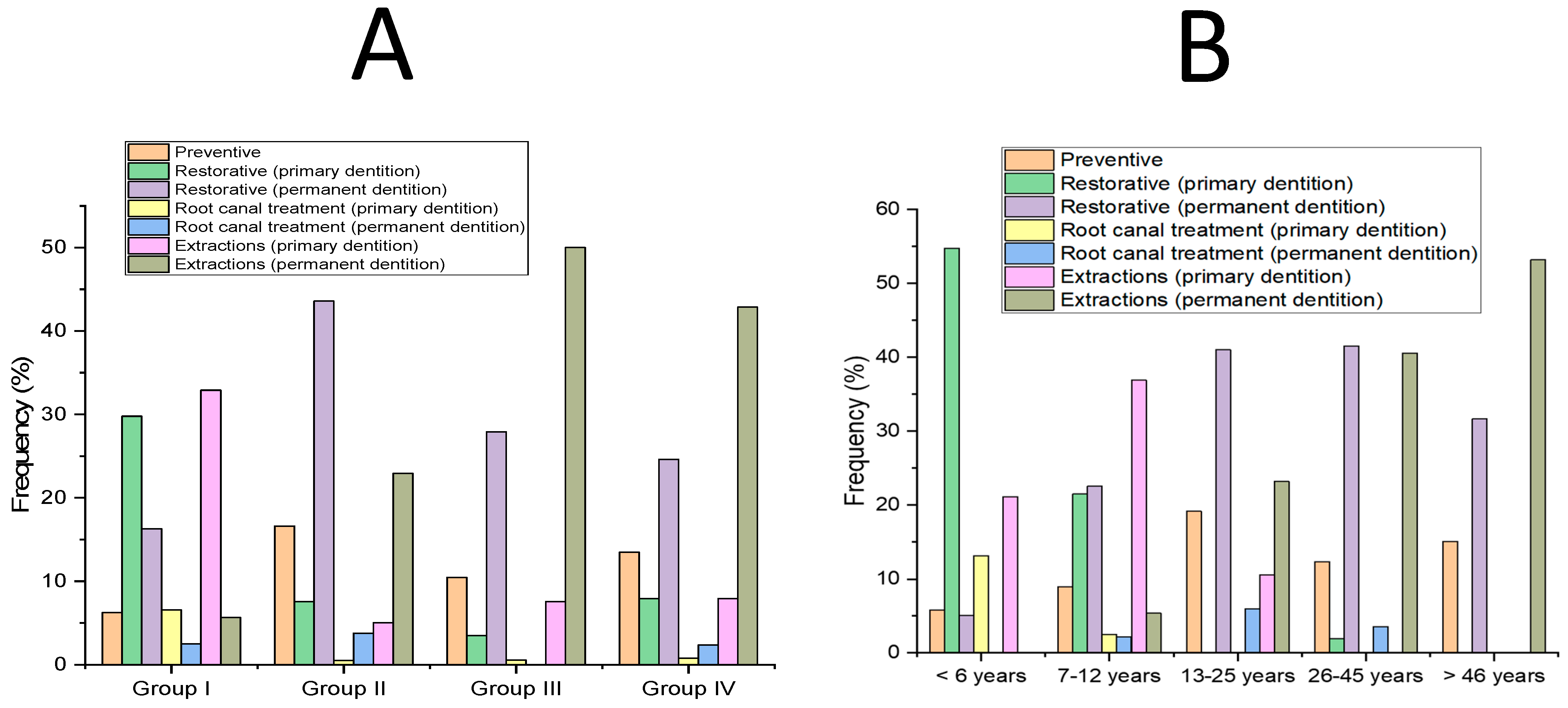
3. Results
- Significantly different
4. Discussion
5. Conclusions
Author Contributions
Funding
Institutional Review Board Statement
Informed Consent Statement
Data Availability Statement
Conflicts of Interest
References
- American Academy of Pediatric Dentistry; Council on Clinical Affairs. Guideline on management of dental patients with special health care needs. Pediatr. Dent. 2012, 34, 160–165. [Google Scholar]
- Morgan, J.P.; Minihan, P.M.; Stark, P.C.; Finkelman, M.D.; Yantsides, K.E.; Park, A.; Nobles, C.J.; Tao, W.; Must, A. The oral health status of 4732 adults with intellectual and developmental disabilities. J. Am. Dent. Assoc. 2012, 143, 838–846. [Google Scholar] [CrossRef] [PubMed]
- Auerbacher, M.; Gebetsberger, L.; Hickel, R.; Kaisarly, D. Chairside oral prophylaxis for people with profound intellectual or multiple disabilities-a retrospective feasibility study. Clin. Oral Investig. 2023, 27, 6747–6756. [Google Scholar] [CrossRef] [PubMed]
- Vozza, I.; Cavallè, E.; Corridore, D.; Ripari, F.; Spota, A.; Brugnoletti, O.; Guerra, F. Preventive strategies in oral health for special needs patients. Ann. Stomatol. 2016, 6, 96–99. [Google Scholar] [CrossRef] [PubMed]
- Edward, K.L.; Felstead, B.; Mahoney, A.M. Hospitalized mental health patients and oral health. J. Psychiatr. Ment. Health Nurs. 2012, 19, 419–425. [Google Scholar] [CrossRef] [PubMed]
- Faheem, M.; Moheb, D.; Bahgat, S.; Splieth, C.; Bekes, K. Changes in Oral-Health-Related Quality of Life of Egyptian Children Treated under Dental General Anesthesia: A Prospective Study. J. Clin. Med. 2023, 12, 5792. [Google Scholar] [CrossRef] [PubMed]
- Behavior Guidance for the Pediatric Dental Patient. The Reference Manual of Pediatric Dentistry 2019–2020/P. 266–279. Available online: https://www.aapd.org/globalassets/media/policies_guidelines/bp_behavguide.pdf (accessed on 13 November 2023).
- Doyle, D.J.; Hendrix, J.M.; Garmon, E.H. American Society of Anesthesiologists Classification. In StatPearls; StatPearls Publishing: Treasure Island, FL, USA, 2023. [Google Scholar]
- World Health Organization. International Statistical Classification of Diseases and Related Health Problems 11th Revision. 2019. Available online: https://www.who.int/standards/classifications/classification-of-diseases (accessed on 15 September 2023).
- Choi, J.; Doh, R.M. Dental treatment under general anesthesia for patients with severe disabilities. J. Dent. Anesth. Pain Med. 2021, 21, 87–98. [Google Scholar] [CrossRef]
- Manley, M.C.; Skelly, A.M.; Hamilton, A.G. Dental treatment for people with challenging behaviour: General anaesthesia or sedation? Br. Dent. J. 2000, 188, 358–360. [Google Scholar] [CrossRef]
- Geddis-Regan, A.R.; Gray, D.; Buckingham, S.; Misra, U.; Boyle, C.; British Society for Disability and Oral Health. The use of general anaesthesia in special care dentistry: A clinical guideline from the British Society for Disability and Oral Health. Spec. Care Dentist. 2022, 42, 3–32. [Google Scholar] [CrossRef]
- McGeown, D.; Mac Giolla Phadraig, C.; Van Harten, M.; Stapleton, S.; Nunn, J. Dental extractions do not predict further use of dental general anesthesia in people with disabilities: A longitudinal analysis. Spec. Care Dent. 2023. epub ahead of print. [Google Scholar] [CrossRef]
- Peck, C.C. Putting the Mouth into Health: The Importance of Oral Health for General Health. In Interface Oral Health Science 2016; Sasaki, K., Suzuki, O., Takahashi, N., Eds.; Springer: Singapore, 2017. [Google Scholar] [CrossRef]
- Mallineni, S.K.; Yiu, C.K. Dental treatment under general anesthesia for special-needs patients: Analysis of the literature. J. Investig. Clin. Dent. 2016, 7, 325–331. [Google Scholar] [CrossRef] [PubMed]
- Mallineni, S.K.; Yiu, C.K.Y. A Retrospective Audit of Dental Treatment Provided to Special Needs Patients under General Anesthesia During a Ten-Year Period. J. Clin. Pediatr. Dent. 2018, 42, 155–160. [Google Scholar] [CrossRef] [PubMed]
- Robertson, J.R.; Ball, H.C. Dental treatment with general anaesthesia for handicapped patients. Br. Dent. J. 1973, 134, 151–153. [Google Scholar] [CrossRef] [PubMed]
- Watson, A.O. Treatment of cerebral palsied patients. A report on 33 years of treatment from 1946 to 1978. Aust. Dent. J. 1979, 24, 290–300. [Google Scholar] [CrossRef] [PubMed]
- Del Machuca Portillo, M.C.; Hanke Herrero, R.; del López Valle, L.; Machuca Portillo, G.; Bullón Fernández, P. General anesthesia: As a challenge and treatment need option in pediatric dentistry. Puerto Rico Health Sci. J. 2005, 24, 291–296. [Google Scholar]
- Rothmaier, K.; Bücher, K.; Metz, I.; Pitchika, V.; Hickel, R.; Heinrich-Weltzien, R.; Kühnisch, J. Preventive and invasive treatment in special needs patients: A German retrospective study. Clin. Oral Investig. 2017, 21, 1343–1350. [Google Scholar] [CrossRef]
- Wu, K.Y.; Wu, D.T.; Nguyen, T.T.; Tran, S.D. COVID-19’s impact on private practice and academic dentistry in North America. Oral Dis. 2021, 27 (Suppl. 3), 684–687. [Google Scholar] [CrossRef] [PubMed]
- Chang, J.; Kim, H.Y. Prognostic factors of single-visit endodontic and restorative treatment under general anaesthesia for special needs patients. J. Oral Rehabil. 2017, 44, 96–104. [Google Scholar] [CrossRef]
- Schnabl, D.; Guarda, A.; Guarda, M.; von Spreckelsen, L.M.I.; Riedmann, M.; Steiner, R.; Dumfahrt, H. Dental treatment under general anesthesia in adults with special needs at the University Hospital of Dental Prosthetics and Restorative Dentistry of Innsbruck, Austria: A retrospective study of 12 years. Clin. Oral Investig. 2019, 23, 4157–4162. [Google Scholar] [CrossRef]
- Roeters, J.; Burgersdijk, R. The need for general anesthesia for the dental treatment of mentally handicapped patients: A follow-up study. ASDC J. Dent. Child. 1985, 52, 344–346. [Google Scholar]
- Bücher, K.; Rothmaier, K.; Hickel, R.; Heinrich-Weltzien, R.; Kühnisch, J. The need for repeated dental care under general anaesthesia in children. Eur. J. Paediatr. Dent. 2016, 17, 129–135. [Google Scholar] [PubMed]
- Albadri, S.S.; Jarad, F.D.; Lee, G.T.; Mackie, I.C. The frequency of repeat general anaesthesia for teeth extractions in children. Int. J. Paediatr. Dent. 2006, 16, 45–48. [Google Scholar] [CrossRef] [PubMed]
- Almeida, A.G.; Roseman, M.M.; Sheff, M.; Huntington, N.; Hughes, C.V. Future caries susceptibility in children with early childhood caries following treatment under general anesthesia. Pediatr. Dent. 2000, 22, 302–306. [Google Scholar] [PubMed]
- Sheller, B.; Williams, B.J.; Hays, K.; Mancl, L. Reasons for repeat dental treatment under general anesthesia for the healthy child. Pediatr. Dent. 2003, 25, 546–552. [Google Scholar] [PubMed]
- Li, J.Y.; He, S.Y.; Wang, P.X.; Dai, S.S.; Zhang, S.Q.; Li, Z.Y.; Guo, Q.Y.; Liu, F. Incidence and risk factors of unplanned retreatment following dental general anesthesia in children with severe early childhood caries. Front. Pediatr. 2023, 11, 1163368. [Google Scholar] [CrossRef]
- D’Addazio, G.; Santilli, M.; Sinjari, B.; Xhajanka, E.; Rexhepi, I.; Mangifesta, R.; Caputi, S. Access to Dental Care-A Survey from Dentists, People with Disabilities and Caregivers. Int. J. Environ. Res. Public. Health 2021, 18, 1556. [Google Scholar] [CrossRef]
- Abdo, M.; Al Halabi, M.; Hussein, I.; Salami, A.; Khamis, A.H.; Kowash, M. Characteristics of Pediatric Dental Treatment Provided under General Anesthesia in Dubai, United Arab Emirates: A Retrospective Analysis. Int. J. Dent. 2022, 2022, 9900775. [Google Scholar] [CrossRef]
- Star, J.M.; Flores, A.; Leyva, E.; Foertsch, C. Barriers to routine dental care for children with special health care needs. Spec. Care Dent. 2023. epub ahead of print. [Google Scholar] [CrossRef]






| Study Group | ICD Category | Description |
|---|---|---|
| Group 1 | / | Uncooperative and patients with dental phobia |
| Group 2 | ICD-6 | Mental, behavioral, and neurological disorders |
| Group 3 | ICD-8 | Diseases of the nervous system |
| Group 4 | ICD-20 | Developmental anomalies |
| Dental Treatment | Number of Procedures | Mean Number of Procedures Per Patient |
|---|---|---|
| Preventive | 121 | 1.2 ± 0.5 |
| Restorative | 445 | 3.4 ± 1.8 |
| Root canal treatment | 51 | 0.4 ± 0.4 |
| Extractions | 397 | 3.0 ± 1.8 |
| Age | Group | Number of Patients | Primary Dentition | Permanent Dentition | |||||
|---|---|---|---|---|---|---|---|---|---|
| Preventive | Restorative | Endodontic | Extraction | Restorative | Endodontic | Extraction | |||
| Less than 6 years | 1 | 9 | 0.6 (4.8) | 5.8 (49.5) | 1.7 (14.3) | 3 (25.7) | 0.7 (5.7) | - | - |
| 2 | 3 | 1 (11.5) | 6 (69.2) | 0.7 (7.7) | 0.7 (7.7) | 0.3 (3.9) | - | - | |
| 3 | 1 | - | 5 (83.3) | 1 (16.7) | - | - | - | - | |
| 4 | - | - | - | - | - | - | - | - | |
| 7–12 years | 1 | 23 | 0.6 (6.8) | 1.9 (22.4) | 0.3 (3.1) | 3.4 (40.6) | 1.7 (20.3) | 0.2 (2.6) | 0.3 (4.2) |
| 2 | 5 | 0.6 (7.5) | 1.2 (15) | - | 1.6 (20) | 3.4 (42.5) | 0.2 (2.5) | 1 (12.5) | |
| 3 | 3 | 0.7 (16.7) ° | 0.3 (8.3) ° | - | 2.3 (58.3) ° | 0.7 (16.7) ° | - | - | |
| 4 | 4 | 1.8 (20) | 2.5 (28.6) | 0.3 (2.8) | 2.5 (28.6) | 1.3 (14.3) | - | 0.5 (5.7) | |
| 13–25 years | 1 | 1 | 1 (33.3) § | - | - | - | 1 (33.3) § | 1 (33.3) § | - |
| 2 | 15 | 1.6 (21.0) | - | - | 0.7 (8.8) | 3.3 (43) | 0.3 (4.4) | 1.7 (22.8) | |
| 3 | 3 | 0.7 (10.0) ° | - | - | 2 (30) ° | 2.3 (35) ° | - | 1.7 (25) ° | |
| 4 | 2 | 1 (14.3) | - | - | - | 2.5 (35.7) | 1.5 (21.4) | 2 (28.6) | |
| 26–45 years | 1 | 2 | 0.5 (5.3) ***§§ | - | - | - | 3 (31.6) ***§§ | 1 (10.5) ***§§ | 5 (52.6) ***§§ |
| 2 | 24 | 1.1 (17.1) * | 0.3 (3.8) * | - | - | 3.5 (52.5) * | 0.4 (5.7) * | 1.4 (20.9) * | |
| 3 | 10 | 0.7 (6.4) * | - | - | - | 3.5 (31.8) * | - | 6.8 (61.8) * | |
| 4 | 3 | 1 (14.3) **°° | - | - | - | 1.3 (19) **°° | - | 4.7 (66.7) **°° | |
| More than 46 years | 1 | - | - | - | - | - | - | - | - |
| 2 | 10 | 0.9 (15.2) §§§ | - | - | - | 2.3 (39) §§§ | - | 2.7 (45.8) §§§ | |
| 3 | 7 | 1 (29.1) ° | - | - | - | 0.6 (16.7) ° | - | 1.9 (54.2) ° | |
| 4 | 6 | 0.8 (8.9) °° | - | - | - | 2.8 (30.4) °° | - | 5.7 (60.7) °° | |
| Group | Age at Second Intervention (Years) | Time Interval (Months) | First Intervention | Second Intervention | |||||||
|---|---|---|---|---|---|---|---|---|---|---|---|
| Preventive | Restorative | Endodontic | Extraction | Preventive | Restorative | Endodontic | Extraction | ||||
| ID_1 | 4 | 23,2 | 45 | 1 | 4 | 3 | - | 1 | 1 | 0 | 4 |
| ID_2 | 2 | 25,5 | 36 | 1 | 6 | 1 | 0 | 1 | 3 | - | - |
| ID_3 | 1 | 32,8 | 13 | 1 | 2 | - | 1 | 1 | 10 | 2 | - |
| ID_4 | 3 | 15,8 | 5 | 1 | - | - | 5 | 1 | 1 | - | 2 |
| ID_5 | 2 | 14,0 | 23 | 1 | 10 | 5 | 1 | 1 | 8 | - | 2 |
| ID_6 | 1 | 10,5 | 18 | 1 | 3 | 1 | - | 1 | 3 | - | 1 |
| ID_7 | 2 | 32,7 | 17 | 1 | 17 | - | 1 | 1 | 6 | - | 1 |
Disclaimer/Publisher’s Note: The statements, opinions and data contained in all publications are solely those of the individual author(s) and contributor(s) and not of MDPI and/or the editor(s). MDPI and/or the editor(s) disclaim responsibility for any injury to people or property resulting from any ideas, methods, instructions or products referred to in the content. |
© 2024 by the authors. Licensee MDPI, Basel, Switzerland. This article is an open access article distributed under the terms and conditions of the Creative Commons Attribution (CC BY) license (https://creativecommons.org/licenses/by/4.0/).
Share and Cite
Biasotto, M.; Poropat, A.; Porrelli, D.; Ottaviani, G.; Rupel, K.; Preda, M.T.B.; Di Lenarda, R.; Gobbo, M. Dental Treatment in Special Needs Patients and Uncooperative Young Children: A Retrospective Study. Medicina 2024, 60, 91. https://doi.org/10.3390/medicina60010091
Biasotto M, Poropat A, Porrelli D, Ottaviani G, Rupel K, Preda MTB, Di Lenarda R, Gobbo M. Dental Treatment in Special Needs Patients and Uncooperative Young Children: A Retrospective Study. Medicina. 2024; 60(1):91. https://doi.org/10.3390/medicina60010091
Chicago/Turabian StyleBiasotto, Matteo, Augusto Poropat, Davide Porrelli, Giulia Ottaviani, Katia Rupel, Magdalena Theodora Bogdan Preda, Roberto Di Lenarda, and Margherita Gobbo. 2024. "Dental Treatment in Special Needs Patients and Uncooperative Young Children: A Retrospective Study" Medicina 60, no. 1: 91. https://doi.org/10.3390/medicina60010091
APA StyleBiasotto, M., Poropat, A., Porrelli, D., Ottaviani, G., Rupel, K., Preda, M. T. B., Di Lenarda, R., & Gobbo, M. (2024). Dental Treatment in Special Needs Patients and Uncooperative Young Children: A Retrospective Study. Medicina, 60(1), 91. https://doi.org/10.3390/medicina60010091

