Structure-Guided Design of Novel Diarylpyrimidine-Based NNRTIs Through a Comprehensive In Silico Approach: 3D-QSAR, ADMET Evaluation, Molecular Docking, and Molecular Dynamics
Abstract
1. Introduction
2. Results
2.1. Molecular Alignment
2.2. 3D-QSAR Models
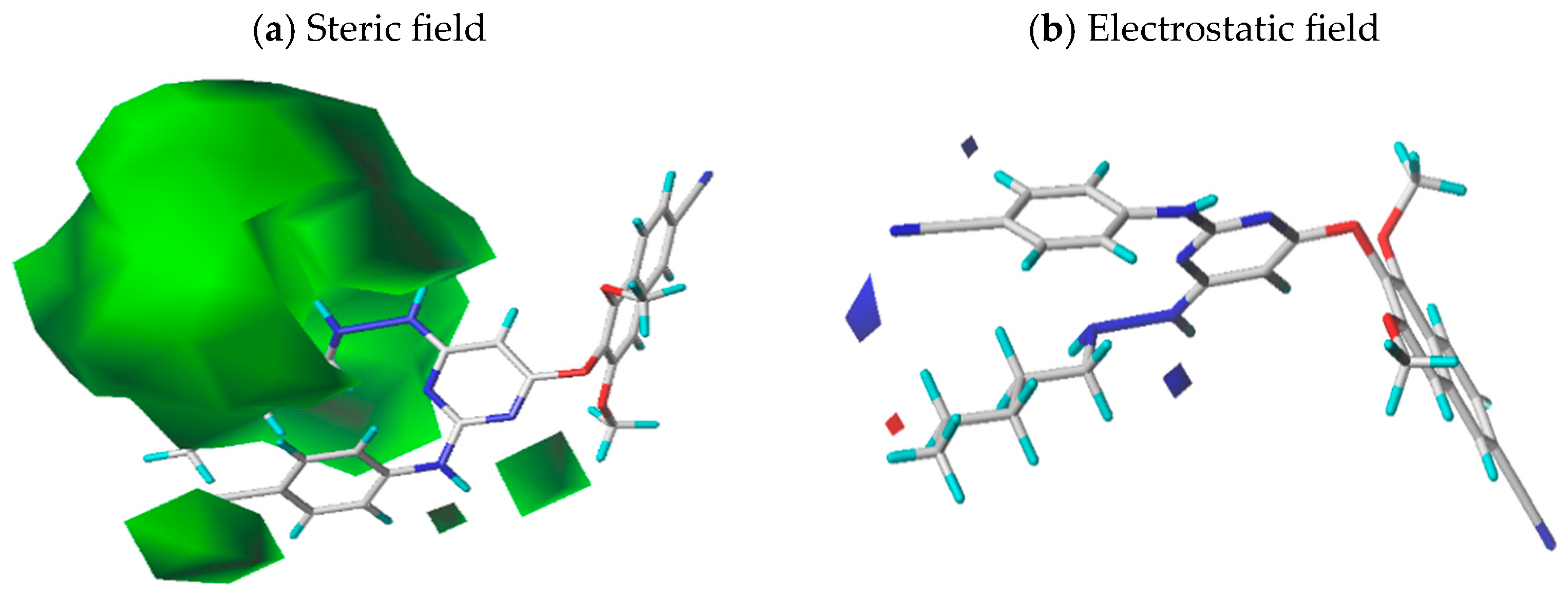
2.3. COMSIA and COMFA Contour Map Analysis
2.3.1. CoMFA Contour Maps
2.3.2. CoMSIA Contour Maps
2.4. Design of New Naphthyl-Diarylpyrimidines Derivatives
2.5. ADMET Prediction
2.5.1. Absorption Parameters
2.5.2. Distribution Parameters
2.5.3. Enzymatic Metabolism
2.5.4. Excretion and Total Clearance
2.5.5. Toxicity Assessment
2.6. Drug-likeness Evaluation
2.7. Molecular Docking Study
2.8. Molecular Dynamics Simulation Analysis
2.8.1. Wild-Type Native Protein
2.8.2. Mutant-Type Native Protein
2.9. Surface Area Analysis: SASA and MolSA
2.9.1. Wild-Type Native Protein
2.9.2. Mutant-Type Native Protein
3. Discussion
3.1. Molecular Alignment
3.2. Interpretation of QSAR Model Performance
3.3. Insights from CoMFA/CoMSIA Contour Maps and Their Implications for the Drug Design
3.4. Interpretation of ADMET Profiles
3.4.1. Absorption Parameters
3.4.2. Distribution Parameters
3.4.3. Enzymatic Metabolism
3.4.4. Excretion and Total Clearance
3.4.5. Toxicity Assessment
3.5. Drug-likeness Evaluation
3.6. Relevance of Docking Results
3.7. Molecular Dynamics Simulation Insights
3.7.1. Wild-Type Native Protein
3.7.2. Mutant-Type Native Protein
3.7.3. Comparative Summary of Molecular Dynamics Simulation Across WT-RT and MT-RT Complexes
3.8. Surface Area Analysis: SASA and MolSA
3.8.1. Wild-Type Native Protein
3.8.2. Mutant-Type Native Protein
3.8.3. Comparative Summary of Surface Area Profiles Across WT-RT and MT-RT Complexes
3.9. Overall Structural Dynamics and Surface Behavior Correlation
4. Materials and Methods
4.1. Experimental Databases
4.2. Molecular Minimization and Alignment
4.3. Elaboration of 3D-QSAR Models
4.4. Partial Least Squares (PLS) Analysis
4.5. ADMET and Drug-likeness Prediction
4.6. Molecular Docking Analysis
4.7. Molecular Dynamics Simulations
4.8. SASA and MolSA Analysis
5. Conclusions
Author Contributions
Funding
Institutional Review Board Statement
Informed Consent Statement
Data Availability Statement
Acknowledgments
Conflicts of Interest
References
- Ananthaswamy, N.; Fang, Q.; AlSalmi, W.; Jain, S.; Chen, Z.; Klose, T.; Sun, Y.; Liu, Y.; Mahalingam, M.; Chand, S.; et al. A sequestered fusion peptide in the structure of an HIV-1 transmitted founder envelope trimer. Nat. Commun. 2019, 10, 873. [Google Scholar] [CrossRef]
- Zhuang, C.; Pannecouque, C.; De Clercq, E.; Chen, F. Development of non-nucleoside reverse transcriptase inhibitors (NNRTIs): Our past twenty years. Acta Pharm. Sin. B 2020, 10, 961–978. [Google Scholar] [CrossRef] [PubMed]
- Ding, L.; Zhuang, C.; Chen, F. Druggability modification strategies of the diarylpyrimidine-type non-nucleoside reverse transcriptase inhibitors. Med. Res. Rev. 2021, 41, 1255–1290. [Google Scholar] [CrossRef] [PubMed]
- Sarafianos, S.G.; Hughes, S.H.; Arnold, E. Designing anti-AIDS drugs targeting the major mechanism of HIV-1 RT resistance to nucleoside analog drugs. Int. J. Biochem. Cell Biol. 2004, 36, 1706–1715. [Google Scholar] [CrossRef] [PubMed]
- Shafer, R.W.; Vuitton, D.A. Highly active antiretroviral therapy (HAART) for the treatment of infection with human immunodeficiency virus type 1. Biomed. Pharmacother. 1999, 53, 73–86. [Google Scholar] [CrossRef]
- De Clercq, E. Antiviral drugs in current clinical use. J. Clin. Virol. 2004, 30, 115–133. [Google Scholar] [CrossRef]
- Zhang, H.; Zhang, T.; Kong, J.; Luo, K.; Chang, Y. Effects of earthworm and housefly larva on growth and white spot syndrome virus anti-infection of Fenneropenaeus chinensis. J. Fish. China 2009, 33, 503–510. [Google Scholar]
- Shirvani, M.; Hosseini, S.; Maalhagh, M.; Afarid, M.; Mirza-Khanlooi, A.; Mohaghegh, S. Unilateral endogenous Candida endophthalmitis after extracorporeal shock wave lithotripsy for a renal stone in an immunocompetent woman: A case report. J. Ophthalmic Inflamm. Infect. 2019, 9, 5–9. [Google Scholar] [CrossRef]
- Singh, A.K.; Kumar, A.; Arora, S.; Kumar, R.; Verma, A.; Khalilullah, H.; Jaremko, M.; Emwas, A.H.; Kumar, P. Current insights and molecular docking studies of HIV-1 reverse transcriptase inhibitors. Chem. Biol. Drug Des. 2024, 103, e14372. [Google Scholar] [CrossRef]
- Clark, M.; Cramer, R.D.; Van Opdenbosch, N. Validation of the general purpose tripos 5.2 force field. J. Comput. Chem. 1989, 10, 982–1012. [Google Scholar] [CrossRef]
- Purcell, W.P.; Singer, J.A. A Brief Review and Table of Semiempirical Parameters Used in The Hueckel Molecular Orbital Method. J. Chem. Eng. Data 1967, 12, 235–246. [Google Scholar] [CrossRef]
- Azvudine|Reverse Transcriptase|HBV|HCV Protease|TargetMol, (n.d.). Available online: https://www.targetmol.com/compound/Azvudine (accessed on 30 March 2025).
- Zalcitabine|Reverse Transcriptase|HIV Protease|TargetMol, (n.d.). Available online: https://www.targetmol.com/compound/Zalcitabine (accessed on 30 March 2025).
- Nevirapine|HIV Protease|Reverse Transcriptase|TargetMol, (n.d.). Available online: https://www.targetmol.com/compound/Nevirapine (accessed on 30 March 2025).
- pkCSM. (n.d.). Available online: https://biosig.lab.uq.edu.au/pkcsm/theory (accessed on 30 March 2025).
- Pires, D.E.V.; Blundell, T.L.; Ascher, D.B. pkCSM: Predicting Small-Molecule Pharmacokinetic and Toxicity Properties Using Graph-Based Signatures. J. Med. Chem. 2015, 58, 4066–4072. [Google Scholar] [CrossRef] [PubMed]
- Reznicek, J.; Ceckova, M.; Ptackova, Z.; Martinec, O.; Tupova, L.; Cerveny, L.; Staud, F. MDR1 and BCRP transporter-mediated drug-drug interaction between rilpivirine and abacavir and effect on intestinal absorption. Antimicrob. Agents Chemother. 2017, 61, 10–1128. [Google Scholar] [CrossRef]
- Drake, S.M. NNRTIs—A new class of drugs for HIV. J. Antimicrob. Chemother. 2000, 45, 417–420. [Google Scholar] [CrossRef] [PubMed]
- Cáceres, E.L.; Tudor, M.; Cheng, A.C. Deep learning approaches in predicting ADMET properties. Future Med. Chem. 2023, 12, 1995–1999. [Google Scholar] [CrossRef]
- Department of Health and Human Services. Panel on Antiretroviral Guidelines for Adults and Adolescents Guidelines for the Use of Antiretroviral Agents in Adults and Adolescents with HIV. 2024; pp. 1–334. Available online: https://clinicalinfo.hiv.gov/ (accessed on 30 April 2025).
- Moussaoui, M.; Baassi, M.; Baammi, S.; Soufi, H.; Salah, M.; Daoud, R.; EL Allali, A.; Belghiti, M.E.; Belaaouad, S. In silico design of novel CDK2 inhibitors through QSAR, ADMET, molecular docking and molecular dynamics simulation studies. J. Biomol. Struct. Dyn. 2023, 41, 13646–13662. [Google Scholar] [CrossRef] [PubMed]
- Moussaoui, M.; Baammi, S.; Soufi, H.; Baassi, M.; Salah, M.; Allali, A.E.L.; Mohammed, B.E.; Daoud, R.; Belaaouad, S. Design and Optimization of Quinazoline Derivatives as Potent EGFR 2 Inhibitors for Lung Cancer Treatment: A Comprehensive QSAR, 3 ADMET, and Molecular Modeling Investigation. ACS Omega 2024, 9, 45842–45857. [Google Scholar] [CrossRef]
- Zanger, U.M.; Schwab, M. Cytochrome P450 enzymes in drug metabolism: Regulation of gene expression, enzyme activities, and impact of genetic variation. Pharmacol. Ther. 2013, 138, 103–141. [Google Scholar] [CrossRef]
- Moussaoui, M.; Baammi, S.; Soufi, H.; Baassi, M.; El Allali, A.; Belghiti, M.E.; Daoud, R.; Belaaouad, S. QSAR, ADMET, molecular docking, and dynamics studies of 1,2,4-triazine-3(2H)-one derivatives as tubulin inhibitors for breast cancer therapy. Sci. Rep. 2024, 14, 16418. [Google Scholar] [CrossRef]
- Chen, L.; Zhang, Y.; Wang, Z.; Jiang, H.; Xu, J.; Xiong, F. Drug Design, Molecular Docking and Molecular Dynamics Simulations of Indole Class HIV-1 NNRTIs Explored with QSAR and Topomer Search. ChemistrySelect 2023, 8, e202300759. [Google Scholar] [CrossRef]
- Jiang, H.; Li, Y.; Wang, Z.; Li, S.; Wu, T.; Xiong, F. 3D-QSAR, molecular docking, and molecular dynamics analysis of novel biphenyl-substituted pyridone derivatives as potent HIV-1 NNRTIs. J. Biomol. Struct. Dyn. 2024, 42, 13603–13618. [Google Scholar] [CrossRef] [PubMed]
- Istrate, D.; Crisan, L. Natural Compounds as DPP-4 Inhibitors: 3D-Similarity Search, ADME Toxicity, and Molecular Docking Approaches. Symmetry 2022, 14, 1842. [Google Scholar] [CrossRef]
- Zhang, Y.; Chen, L.; Wang, Z.; Zhu, Y.; Jiang, H.; Xu, J.; Xiong, F. Design of novel DABO derivatives as HIV-1 RT inhibitors using molecular docking, molecular dynamics simulations and ADMET properties. J. Biomol. Struct. Dyn. 2023, 42, 4196–4213. [Google Scholar] [CrossRef] [PubMed]
- Dorababu, A. Development of diarylpyrimidine derivatives (& other heterocycles) as HIV-1 and WT RT inhibitors. RSC Med. Chem. 2025, 16, 545–560. [Google Scholar] [CrossRef]
- Aungst, B.J. Optimizing Oral Bioavailability in Drug Discovery: An Overview of Design and Testing Strategies and Formulation Options. J. Pharm. Sci. 2017, 106, 921–929. [Google Scholar] [CrossRef] [PubMed]
- Schauer, G.; Leuba, S.; Sluis-Cremer, N. Biophysical Insights into the Inhibitory Mechanism of Non-Nucleoside HIV-1 Reverse Transcriptase Inhibitors. Biomolecules 2013, 3, 889–904. [Google Scholar] [CrossRef]
- Singh, K.; Marchand, B.; Kirby, K.A.; Michailidis, E.; Sarafianos, S.G. Structural aspects of drug resistance and inhibition of HIV-1 reverse transcriptase. Viruses 2010, 2, 606–638. [Google Scholar] [CrossRef]
- Madanagopal, P.; Ramprabhu, N.; Jagadeesan, R. In silico prediction and structure-based multitargeted molecular docking analysis of selected bioactive compounds against mucormycosis. Bull. Natl. Res. Cent. 2022, 46, 24. [Google Scholar] [CrossRef]
- Côté, B.; Burch, J.D.; Asante-Appiah, E.; Bayly, C.; Bédard, L.; Blouin, M.; Campeau, L.C.; Cauchon, E.; Chan, M.; Chefson, A.; et al. Discovery of MK-1439, an orally bioavailable non-nucleoside reverse transcriptase inhibitor potent against a wide range of resistant mutant HIV viruses. Bioorganic Med. Chem. Lett. 2014, 24, 917–922. [Google Scholar] [CrossRef]
- Xiong, F.; Chen, L.; Zhang, Y.J.; Zhu, Y.R.; Sun, C.; Ma, C.; Zhang, S.J.; Wang, Z.H. Molecular Modeling and Docking Studies of 2,4,5-Trisubstituted Pyrimidines as HIV-1 Non-Nucleoside Reverse Transcriptase Inhibitors. Polycycl. Aromat. Compd. 2023, 43, 7870–7889. [Google Scholar] [CrossRef]
- Jin, X.; Piao, H.R.; Pannecouque, C.; De Clercq, E.; Zhuang, C.; Chen, F.E. Design of the naphthyl-diarylpyrimidines as potent non-nucleoside reverse transcriptase inhibitors (NNRTIs) via structure-based extension into the entrance channel. Eur. J. Med. Chem. 2021, 226, 113868. [Google Scholar] [CrossRef]
- Golbraikh, A.; Tropsha, A. Predictive QSAR modeling based on diversity sampling of experimental datasets for the training and test set selection. J. Comput. Aided. Mol. Des. 2002, 16, 357–369. [Google Scholar] [CrossRef]
- Tong, J.; Zhang, X.; Luo, D.; Bian, S. Chinese Journal of Analytical Chemistry Molecular design, molecular docking and ADMET study of cyclic sulfonamide derivatives as SARS-CoV-2 inhibitors. Chinese J. Anal. Chem. 2021, 49, 63–73. [Google Scholar] [CrossRef]
- Tropsha, A.; Gramatica, P.; Gombar, V.K. The Importance of Being Earnest: Validation is the Absolute Essential for Successful Application and Interpretation of QSPR Models. QSAR Comb. Sci. 2003, 22, 69–77. [Google Scholar] [CrossRef]
- Jia, C.Y.; Li, J.Y.; Hao, G.F.; Yang, G.F. A drug-likeness toolbox facilitates ADMET study in drug discovery. Drug Discov. Today 2020, 25, 248–258. [Google Scholar] [CrossRef] [PubMed]
- Rudrapal, M.; Gogoi, N.; Chetia, D.; Khan, J.; Banwas, S.; Alshehri, B.; Alaidarous, M.A.; Laddha, U.D.; Khairnar, S.J.; Walode, S.G. Repurposing of phytomedicine-derived bioactive compounds with promising anti-SARS-CoV-2 potential: Molecular docking, MD simulation and drug-likeness/ADMET studies. Saudi J. Biol. Sci. 2022, 29, 2432–2446. [Google Scholar] [CrossRef] [PubMed]
- Ghosh, S.; Chetia, D.; Gogoi, N.; Rudrapal, M. Design, molecular docking, drug-likeness, and molecular dynamics studies of 1,2,4-trioxane derivatives as novel plasmodium falciparum falcipain-2 (Fp-2) inhibitors. Biotechnologia 2021, 102, 257–275. [Google Scholar] [CrossRef] [PubMed]
- pkCSM. (n.d.). Available online: https://biosig.lab.uq.edu.au/pkcsm/prediction (accessed on 2 November 2023).
- Baassi, M.; Moussaoui, M.; Soufi, H.; Rajkhowa, S.; Sharma, A.; Sinha, S.; Belaaouad, S. Towards designing of a potential new HIV-1 protease inhibitor using QSAR study in combination with Molecular docking and Molecular dynamics simulations. PLoS ONE 2023, 18, e0284539. [Google Scholar] [CrossRef]
- Soufi, H.; Moussaoui, M.; Baammi, S.; Baassi, M.; Salah, M.; Daoud, R.; El Allali, A.; Belghiti, M.E.; Moutaabbid, M.; Belaaouad, S. Multi-combined QSAR, molecular docking, molecular dynamics simulation, and ADMET of Flavonoid derivatives as potent cholinesterase inhibitors. J. Biomol. Struct. Dyn. 2023, 42, 6027–6041. [Google Scholar] [CrossRef]
- Li, T.E.; Cui, B.; Subotnik, J.E.; Nitzan, A. Molecular Polaritonics: Chemical Dynamics under Strong Light-Matter Coupling. Annu. Rev. Phys. Chem. 2022, 73, 43–71. [Google Scholar] [CrossRef]



















| Model | Q2 | R2 | SEE | N | R2test | F | Fractions (%) | ||||
|---|---|---|---|---|---|---|---|---|---|---|---|
| Steric | Electrostatic | Donor | Acceptor | Hydrophobic | |||||||
| CoMFA | 0.643 | 0.979 | 0.067 | 5 | 0.747 | 200.37 | 63.7 | 36.3 | ------------- | ------------ | -------------------- |
| CoMSIA | 0.546 | 0.920 | 0.126 | 4 | 0.603 | 66.51 | 47.0 | 30.4 | 22.6 | ------------ | -------------------- |
| Compounds No | Observed pIC50 | CoMFA | CoMSIA | ||
|---|---|---|---|---|---|
| Predicted | Residuals | Predicted | Residuals | ||
| 7 | 7.70 | 7.70 | 0.00 | 7.68 | −0.02 |
| 9 | 7.22 | 7.07 | −0.15 | 7.14 | −0.08 |
| 10 | 6.96 | 7.12 | 0.16 | 7.20 | 0.24 |
| 12 | 7.70 | 7.69 | −0.01 | 7.41 | −0.29 |
| 13 | 6.85 | 6.93 | 0.08 | 7.02 | 0.17 |
| 15 | 6.51 | 6.46 | −0.05 | 6.56 | 0.05 |
| 16 | 6.59 | 6.56 | −0.03 | 6.53 | −0.06 |
| 17 | 6.22 | 6.33 | 0.11 | 6.39 | 0.17 |
| 18 | 6.40 | 6.36 | −0.04 | 6.33 | −0.07 |
| 20 | 6.57 | 6.59 | 0.02 | 6.43 | −0.14 |
| 21 | 5.92 | 5.95 | 0.03 | 5.97 | 0.04 |
| 22 | 6.21 | 6.21 | 0.00 | 6.10 | −0.11 |
| 23 | 6.49 | 6.47 | −0.02 | 6.53 | 0.04 |
| 24 | 6.60 | 6.58 | −0.02 | 6.76 | 0.16 |
| 25 | 6.85 | 6.83 | −0.02 | 6.90 | 0.05 |
| 26 | 7.10 | 7.13 | 0.03 | 7.11 | 0.01 |
| 27 | 7.05 | 7.04 | −0.01 | 7.00 | −0.05 |
| 28 | 6.96 | 6.92 | −0.04 | 7.04 | 0.08 |
| 29 | 6.68 | 6.64 | −0.04 | 6.72 | 0.04 |
| 30 | 6.36 | 6.40 | 0.04 | 6.38 | 0.02 |
| 31 | 6.55 | 6.57 | 0.02 | 6.46 | −0.09 |
| 32 | 6.52 | 6.48 | −0.04 | 6.44 | −0.08 |
| 34 | 6.80 | 6.90 | 0.10 | 6.75 | −0.05 |
| 35 | 6.74 | 6.74 | 0.00 | 6.86 | 0.12 |
| 36 | 7.22 | 7.20 | −0.02 | 7.01 | −0.21 |
| 37 | 6.72 | 6.65 | −0.07 | 6.70 | −0.02 |
| 38 | 7.10 | 7.08 | −0.02 | 7.12 | 0.02 |
| 39 | 7.00 | 7.01 | 0.01 | 7.05 | 0.05 |
| 8 * | 6.62 | 7.11 | 0.49 | 7.22 | 0.60 |
| 11 * | 6.77 | 7.41 | 0.64 | 7.32 | 0.55 |
| 14 * | 6.60 | 6.95 | 0.35 | 7.01 | 0.41 |
| 19 * | 6.29 | 6.71 | 0.42 | 6.49 | 0.20 |
| 33 * | 6.70 | 7.00 | 0.30 | 6.77 | 0.07 |
![]() | ||||||||||
|---|---|---|---|---|---|---|---|---|---|---|
| R1 | R2 | R3 | R4 | R5 | R6 | R7 | R8 | pIC50pred | ||
| CoMFA | CoMSIA | |||||||||
| P101 | C(CH3)3 | H | OH | H | OH | NH2 | NH2 | C(CH3)3 | 7.745 | 7.832 |
| P103 | OH | H | C(CH3)3 | H | NH2 | OH | C(CH3)3 | C(CH3)3 | 7.774 | 7.992 |
| P104 | C(CH3)3 | H | NH2 | C(CH3)3 | OH | Cl | H | NH2 | 7.747 | 8.005 |
| P107 | C(CH3)3 | H | NH2 | C(CH3)3 | OH | Cl | COR | NH2 | 7.786 | 7.992 |
| P108 | OH | H | C(CH3)3 | H | NH2 | COOH | OH | NH2 | 7.819 | 7.963 |
| P109 | C(CH3)3 | H | NH2 | C(CH3)3 | OH | COR | OH | NH2 | 7.802 | 8.108 |
| P110 | OH | H | C(CH3)3 | H | NH2 | Cl | COR | NH2 | 7.777 | 7.863 |
| P111 | C(CH3)3 | H | NH2 | C(CH3)3 | OH | NH2 | OH | COOH | 7.827 | 7.975 |
| P113 | C(CH3)3 | H | NH2 | C(CH3)3 | OH | Cl | OH | COR | 7.805 | 8.052 |
| P115 | C(CH3)3 | H | NH2 | C(CH3)3 | OH | NH2 | COR | COR | 7.856 | 7.989 |
| P116 | C(CH3)3 | NH2 | NH2 | C(CH3)3 | OH | Cl | COR | NH2 | 7.782 | 7.932 |
| P118 | C(CH3)3 | NH2 | NH2 | C(CH3)3 | OH | COR | OH | NH2 | 7.795 | 7.954 |
| P120 | C(CH3)3 | NH2 | NH2 | C(CH3)3 | OH | NH2 | OH | COOH | 7.796 | 7.773 |
| P121 | OH | NH2 | C(CH3)3 | NH2 | NH2 | OH | COOH | NH2 | 7.741 | 7.709 |
| P122 | C(CH3)3 | NH2 | NH2 | C(CH3)3 | OH | Cl | OH | COR | 7.734 | 7.966 |
| P124 | C(CH3)3 | NH2 | NH2 | C(CH3)3 | OH | NH2 | COR | COR | 7.754 | 8.003 |
| P125 | C(CH3)3 | OH | NH2 | C(CH3)3 | OH | Cl | COR | NH2 | 7.805 | 7.998 |
| P127 | C(CH3)3 | OH | NH2 | C(CH3)3 | OH | COR | OH | NH2 | 7.722 | 7.994 |
| P129 | C(CH3)3 | OH | NH2 | C(CH3)3 | OH | NH2 | OH | COOH | 7.829 | 7.865 |
| P131 | C(CH3)3 | OH | NH2 | C(CH3)3 | OH | Cl | OH | COR | 7.733 | 8.056 |
| P134 | C(CH3)3 | Cl | NH2 | C(CH3)3 | OH | Cl | COR | NH2 | 7.843 | 8.018 |
| P136 | C(CH3)3 | Cl | NH2 | C(CH3)3 | OH | COR | OH | NH2 | 7.765 | 7.971 |
| P138 | C(CH3)3 | Cl | NH2 | C(CH3)3 | OH | NH2 | OH | COOH | 7.764 | 7.968 |
| P14 | OH | OH | OH | H | OH | H | H | H | 7.733 | 8.217 |
| P140 | C(CH3)3 | Cl | NH2 | C(CH3)3 | OH | Cl | OH | COR | 7.763 | 8.099 |
| P142 | C(CH3)3 | Cl | NH2 | C(CH3)3 | OH | NH2 | COR | COR | 7.724 | 8.050 |
| P143 | C(CH3)3 | COR | NH2 | C(CH3)3 | OH | Cl | COR | NH2 | 7.827 | 8.137 |
| P147 | C(CH3)3 | COR | NH2 | C(CH3)3 | OH | NH2 | OH | COOH | 7.790 | 7.984 |
| P148 | OH | COR | C(CH3)3 | COR | NH2 | OH | COOH | NH2 | 7.758 | 7.738 |
| P149 | C(CH3)3 | COR | NH2 | C(CH3)3 | OH | Cl | OH | COR | 7.758 | 8.157 |
| P151 | C(CH3)3 | COR | NH2 | C(CH3)3 | OH | NH2 | COR | COR | 7.853 | 7.914 |
| P40 | OH | OH | H | H | OH | H | H | H | 7.729 | 7.716 |
| P43 | OH | OH | OH | H | NH2 | H | H | H | 7.721 | 8.145 |
| P86 | OH | OH | H | H | OH | NH2 | H | Cl | 7.710 | 7.957 |
| P90 | NH2 | OH | H | H | H | C(CH3)3 | H | H | 7.724 | 7.823 |
| Absorption | Distribution | Metabolism | Excretion | Toxicity | ||||||||||
|---|---|---|---|---|---|---|---|---|---|---|---|---|---|---|
| Best Picks | Water Solubility Log mol/L | Intestinal Absorption (Human) % | BBB Permeability LogBB | CNS Permeability Log PS | CYP | Inhibitor | Total Clearance mL/min/Kg | AMES Toxicity | Hepatotoxicity | |||||
| Substrate | 1A2 | 2C19 | 2C9 | 2D6 | 3A4 | |||||||||
| 2D6 | 3A4 | |||||||||||||
| P14 | −3.04 | 46.86 | −2.32 | −4.38 | No | Yes | No | No | No | No | No | 0.47 | No | No |
| P40 | −3.22 | 70.17 | −2.33 | −4.16 | No | No | No | No | No | No | Yes | 0.48 | No | No |
| P43 | −2.94 | 60.37 | −2.70 | −4.67 | No | Yes | No | No | No | No | No | 0.45 | No | No |
| P86 | −3.00 | 66.54 | −2.26 | −4.28 | No | No | No | No | No | No | No | 0.36 | No | No |
| P118 | −2.89 | 54.94 | −3.00 | −4.10 | No | Yes | No | No | No | No | Yes | −0.24 | No | No |
| P120 | −2.89 | 39.20 | −2.95 | −4.05 | No | Yes | No | No | No | No | No | −0.31 | No | No |
| P121 | −2.89 | 23.23 | −3.21 | −4.74 | No | No | No | No | No | No | No | −0.25 | No | No |
| P124 | −2.90 | 64.35 | −2.73 | −3.71 | No | Yes | No | No | No | No | No | 0.02 | No | No |
| P129 | −2.89 | 43.84 | −2.98 | −4.04 | No | No | No | No | No | No | No | −0.18 | No | No |
| P148 | −2.89 | 30.46 | −2.57 | −4.15 | No | No | No | No | No | No | No | −0.24 | No | No |
| Compounds | Molecular Weight (g/mol) | Log P | Rotatable Bonds | H-Bond Acceptors | H-Bond Donors | Bioavailability Score |
|---|---|---|---|---|---|---|
| P14 | 587.58 | 1.87 | 13 | 12 | 7 | 0.17 |
| P40 | 571.58 | 2.65 | 13 | 11 | 6 | 0.17 |
| P43 | 586.60 | 1.53 | 13 | 12 | 7 | 0.17 |
| P86 | 621.04 | 2.71 | 13 | 11 | 7 | 0.17 |
| P118 | 769.89 | 3.23 | 16 | 14 | 9 | 0.17 |
| P120 | 756.85 | 2.81 | 16 | 14 | 9 | 0.17 |
| P121 | 712.80 | 2.84 | 15 | 13 | 8 | 0.17 |
| P124 | 780.91 | 4.07 | 17 | 13 | 7 | 0.17 |
| P129 | 757.84 | 2.73 | 16 | 14 | 9 | 0.17 |
| P148 | 769.80 | 2.25 | 17 | 15 | 8 | 0.17 |
| WT | MT | |
|---|---|---|
| NVP | −9.1 | −10.0 |
| P14 | −12.5 | −10.5 |
| P40 | −12.5 | −9.2 |
| P43 | −13.0 | −10.7 |
| P86 | −12.1 | −10.5 |
| P118 | −11.1 | −10.1 |
| P120 | −11.6 | −9.2 |
| P129 | −12.4 | −9.8 |
| P148 | −9.5 | −9.5 |
| Compounds | SphereObject Attributes (XYZ) | |||
|---|---|---|---|---|
| X | Y | Z | ||
| WT | WT + NVP | 143.342190 | −23.723619 | 72.781571 |
| WT + P14 | 140.065080 | −20.230380 | 68.564120 | |
| WT + P43 | 139.728078 | −19.907275 | 68.630824 | |
| MT | MT + NVP | 41.220810 | 52.715143 | 49.583619 |
| MT + P14 | 39.756720 | 45.312020 | 49.723920 | |
| MT + P43 | 39.390137 | 44.873216 | 49.682137 | |
| Hydrogen Bonds | Electrostatic Interactions | Hydrophobic Interactions | Pi-Pi Stacking Interactions | |||||||||||||
|---|---|---|---|---|---|---|---|---|---|---|---|---|---|---|---|---|
| Conventional Hydrogen Bonds | Carbon Hydrogen Bonds | Pi-Cation | Pi-Alkyl | Pi-Sigma | Pi-Pi Stacked | Pi-Pi T-Shaped | ||||||||||
| Proteins | Ligands | Binding Affinities | Nbre | Amino Acids | Nbre | Amino Acids | Nbre | Amino Acids | Nbre | Amino Acids | Nbre | Amino Acids | Nbre | Amino Acids | Nbre | Amino Acids |
| WT | NVP | −9.1 | 0 | ----------------------------- | 0 | -------------------- | 0 | --------- | 6 | LYS103 LEU100 VAL106(2) LEU234(2) | 1 | LEU100 | 2 | TYR188 TRP229 | 2 | TYR188 TRP229 |
| P14 | −12.5 | 2 | GLY99(2) | 1 | GLY190 | 0 | --------- | 1 | LEU100 | 1 | LEU100 | 0 | -------- | 0 | -------- | |
| P43 | −13 | 4 | GLY99(2), VAL381, ILE382 | 1 | GLY190 | 0 | --------- | 1 | LEU100 | 1 | LEU100 | 1 | TYR181 | 0 | -------- | |
| MT | NVP | −10 | 0 | ----------------------------- | 1 | LYS101 | 0 | --------- | 4 | LYS103 VAL179 LEU100 PRO95 | 2 | LEU100 VAL106 | 2 | TYR181 TRP229 | 2 | TYR181 TRP229 |
| P14 | −10.5 | 4 | GLY99, VAL381, LYS101, ILE382 | 0 | --------------------- | 1 | LYS101 | 2 | VAL179 VAL106 | 2 | LEU100 | 0 | -------- | 0 | -------- | |
| P43 | −10.7 | 3 | GLY99, LYS101, ILE382 | 1 | PRO95 | 1 | LYS101 | 2 | VAL179 LYS103 | 2 | LEU100 | 0 | -------- | 0 | -------- | |
| RMSD (nm) | RMSF (nm) | Rg (nm) | |
|---|---|---|---|
| WT-native | 0.5–1.1 | 0.2–0.8 | 3.2–3.4 |
| WT-NVP | 0.6–1.2 | 0.2–0.8 | 3.1–3.4 |
| WT-P14 | 0.6–1.4 | 0.2–0.8 | 3.3–3.7 |
| WT-P43 | 0.5–1.0 | 0.2–0.8 | 3.0–3.3 |
| RMSD (nm) | RMSF (nm) | Rg (nm) | |
|---|---|---|---|
| MT-native | 0.5–1.5 | ~1.2 | 3.2–3.3 |
| MT-NVP | 0.4–0.7 | <1.2 | 3.1–3.3 |
| MT-P14 | 0.5–1.0 | <1.2 | 3.4–3.6 |
| MT-P43 | 0.5–1.2 | <1.2 | 3.5–3.7 |
| Time (ns) | WT + NVP | WT + P14 | WT + P43 |
|---|---|---|---|
| 0 | 31,700 | 32,200 | 31,800 |
| 20 | 31,500 | 31,900 | 31,100 |
| 40 | 32,000 | 31,800 | 31,000 |
| 60 | 31,700 | 31,600 | 30,400 |
| 80 | 31,600 | 31,800 | 30,800 |
| 100 | 31,500 | 31,400 | 30,300 |
| Time (ns) | WT + NVP | WT + P14 | WT + P43 |
|---|---|---|---|
| 0 | 31,300 | 32,100 | 31,900 |
| 20 | 28,900 | 30,600 | 30,700 |
| 40 | 30,000 | 39,900 | 30,100 |
| 60 | 29,700 | 29,700 | 29,600 |
| 80 | 29,600 | 30,000 | 29,500 |
| 100 | 29,700 | 30,100 | 28,800 |
| Time (ns) | MT + NVP | MT + P14 | MT + P43 |
|---|---|---|---|
| 0 | 32,200 | 32,800 | 33,200 |
| 20 | 30,700 | 30,200 | 30,900 |
| 40 | 30,800 | 30,800 | 30,800 |
| 60 | 30,600 | 31,200 | 31,500 |
| 80 | 30,600 | 30,800 | 31,000 |
| 100 | 29,800 | 31,100 | 31,000 |
| Time (ns) | MT + NVP | MT + P14 | MT + P43 |
|---|---|---|---|
| 0 | 30,700 | 31,700 | 32,000 |
| 20 | 29,200 | 28,800 | 29,800 |
| 40 | 29,600 | 29,300 | 29,800 |
| 60 | 28,900 | 29,500 | 30,000 |
| 80 | 28,900 | 28,900 | 29,700 |
| 100 | 28,900 | 29,300 | 29,200 |
| Ligand | WT-RT Stability (MD) | WT-RT Surface Behavior | MT-RT Stability (MD) | MT-RT Surface Behavior | Overall Interpretation |
|---|---|---|---|---|---|
| NVP | High stability | Gradual compaction | High stability | Progressive compaction | Stable in both WT and MT |
| P14 | Moderate stability | Stable compaction | Highest stability | Initial drop, stable later | Moderate in both, better in MT |
| P43 | Highest stability | Strongest compaction | Variable stability | Gradual compaction | Strong in WT, weaker in MT |
Disclaimer/Publisher’s Note: The statements, opinions and data contained in all publications are solely those of the individual author(s) and contributor(s) and not of MDPI and/or the editor(s). MDPI and/or the editor(s) disclaim responsibility for any injury to people or property resulting from any ideas, methods, instructions or products referred to in the content. |
© 2025 by the authors. Licensee MDPI, Basel, Switzerland. This article is an open access article distributed under the terms and conditions of the Creative Commons Attribution (CC BY) license (https://creativecommons.org/licenses/by/4.0/).
Share and Cite
Baassi, M.; Moussaoui, M.; Rajkhowa, S.; Soufi, H.; Daoud, R.; Belaaouad, S. Structure-Guided Design of Novel Diarylpyrimidine-Based NNRTIs Through a Comprehensive In Silico Approach: 3D-QSAR, ADMET Evaluation, Molecular Docking, and Molecular Dynamics. Pharmaceuticals 2025, 18, 1854. https://doi.org/10.3390/ph18121854
Baassi M, Moussaoui M, Rajkhowa S, Soufi H, Daoud R, Belaaouad S. Structure-Guided Design of Novel Diarylpyrimidine-Based NNRTIs Through a Comprehensive In Silico Approach: 3D-QSAR, ADMET Evaluation, Molecular Docking, and Molecular Dynamics. Pharmaceuticals. 2025; 18(12):1854. https://doi.org/10.3390/ph18121854
Chicago/Turabian StyleBaassi, Mouna, Mohamed Moussaoui, Sanchaita Rajkhowa, Hatim Soufi, Rachid Daoud, and Said Belaaouad. 2025. "Structure-Guided Design of Novel Diarylpyrimidine-Based NNRTIs Through a Comprehensive In Silico Approach: 3D-QSAR, ADMET Evaluation, Molecular Docking, and Molecular Dynamics" Pharmaceuticals 18, no. 12: 1854. https://doi.org/10.3390/ph18121854
APA StyleBaassi, M., Moussaoui, M., Rajkhowa, S., Soufi, H., Daoud, R., & Belaaouad, S. (2025). Structure-Guided Design of Novel Diarylpyrimidine-Based NNRTIs Through a Comprehensive In Silico Approach: 3D-QSAR, ADMET Evaluation, Molecular Docking, and Molecular Dynamics. Pharmaceuticals, 18(12), 1854. https://doi.org/10.3390/ph18121854


