Adaptive Exposure Control for Line-Structured Light Sensors Based on Global Grayscale Statistics
Abstract
1. Introduction
2. Measurement Principle
2.1. Measurement Principle of LSLS
2.2. Evaluation of Stripe Images
2.3. Adaptive Control of Exposure Time
3. Experiment and Discussion
3.1. Relationship Between Exposure Time and Stripe Quality
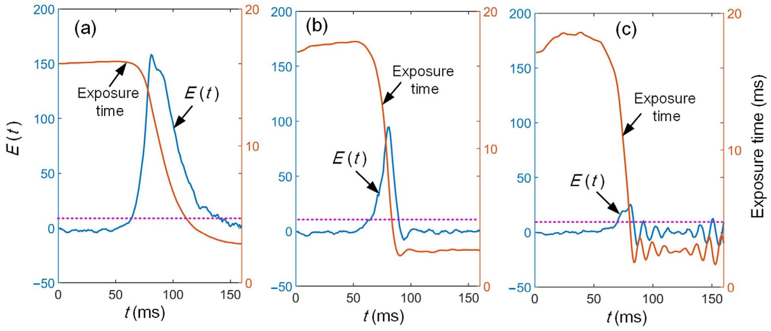
3.2. Control Performance Analysis
3.3. Occlusion
3.4. Plane Measurement
3.5. Measurement and Analysis of Complex Surfaces
4. Conclusions
Author Contributions
Funding
Institutional Review Board Statement
Informed Consent Statement
Data Availability Statement
Conflicts of Interest
References
- Guo, D.; Cui, J.; Chen, Y.; Wu, Y. Line structured light calibration based on a freely placed single cylindrical object. Opt. Lasers Eng. 2024, 178, 108326. [Google Scholar] [CrossRef]
- Lin, H.; Zhang, H.; Huo, J.; Li, J.; Zhang, H.; Li, Y. High-precision 3D reconstruction of underwater concrete using integrated line structured light and stereo vision. Autom. Constr. 2025, 169, 105883. [Google Scholar] [CrossRef]
- Mao, Q.; Cui, H.; Hu, Q.; Ren, X. A rigorous fastener inspection approach for high-speed railway from structured light sensors. ISPRS J. Photogramm. Remote Sens. 2018, 143, 249–267. [Google Scholar] [CrossRef]
- Cheng, A.; Lu, S.; Gao, F. Anomaly detection of tire tiny text: Mechanism and method. IEEE Trans. Autom. Sci. Eng. 2024, 21, 1911–1928. [Google Scholar] [CrossRef]
- Wan, Z.; Lai, L.; Yin, X.; Mao, J.; Zhu, L. Robot line structured light vision measurement system: Light strip center extraction and system calibration. Opt. Eng. 2021, 60, 114102. [Google Scholar] [CrossRef]
- Wang, Z.; Fu, Y.; Zhong, K.; Li, Y.; Bao, W. A direct calibration method for line structured light measurement system based on parallel lines. Opt. Commun. 2022, 508, 127699. [Google Scholar] [CrossRef]
- Wang, Z.; Zhang, X.; Shen, Y.; Zheng, Z. Pose calibration of line structured light probe based on ball bar target in cylindrical coordinate measuring machines. Measurement 2021, 171, 108760. [Google Scholar] [CrossRef]
- Liu, C.; Fu, X.; Duan, F.; Li, T.; Li, J.; Wang, R. A novel method to calibrate the rotation axis of a line-structured light 3-dimensional measurement system. Opt. Lasers Eng. 2023, 164, 107524. [Google Scholar] [CrossRef]
- Li, Y.; Zhou, J.; Liu, L. Research progress of the line structured light measurement technique. J. Hebei Univ. Sci. Technol. 2018, 39, 115–124. [Google Scholar]
- Liu, Z.; Li, M.; Lu, X.; Zhang, M. On-machine detection technology and application progress of high dynamic range fringe structured light. Chin. Opt. 2024, 17, 1–18. [Google Scholar]
- Waddington, C.; Kofman, J. Camera-independent saturation avoidance in measuring high-reflectivity-variation surfaces using pixel-wise composed images from projected patterns of different maximum gray level. Opt. Commun. 2014, 333, 32–37. [Google Scholar] [CrossRef]
- Babaie, G.; Abolbashari, M.; Farahi, F. Dynamics range enhancement in digital fringe projection technique. Precis. Eng. 2015, 39, 243–251. [Google Scholar] [CrossRef]
- Ekstrand, L.; Zhang, S. Autoexposure for three-dimensional shape measurement using a digital-light-processing projector. Opt. Eng. 2011, 50, 123603. [Google Scholar] [CrossRef]
- Jiang, H.; Zhao, H.; Li, X. High dynamic range fringe acquisition: A novel 3-D scanning technique for high-reflective surfaces. Opt. Lasers Eng. 2012, 50, 1484–1493. [Google Scholar] [CrossRef]
- Song, Z.; Jiang, H.; Lin, H.; Tang, S. A high dynamic range structured light means for the 3D measurement of specular surface. Opt. Lasers Eng. 2017, 95, 8–16. [Google Scholar] [CrossRef]
- Feng, S.; Zhang, Y.; Chen, Q.; Zuo, C.; Li, R.; Shen, G. General solution for high dynamic range three-dimensional shape measurement using the fringe projection technique. Opt. Lasers Eng. 2014, 59, 56–71. [Google Scholar] [CrossRef]
- Lin, H.; Gao, J.; Mei, Q.; He, Y.; Liu, J.; Wang, X. Adaptive digital fringe projection technique for high dynamic range three-dimensional shape measurement. Opt. Express 2016, 24, 7703–7718. [Google Scholar] [CrossRef]
- Wang, J.; Yang, Y.; Xu, P.; Liu, J. Adaptive fringe projection algorithm for image saturation suppression. Precis. Eng. 2023, 82, 140–155. [Google Scholar] [CrossRef]
- Hu, J.; Zhu, J.; Zhou, P. Efficient 3D measurement of a HDR surface based on adaptive fringe projection. Appl. Opt. 2022, 61, 9028–9036. [Google Scholar] [CrossRef] [PubMed]
- Chen, C.; Gao, N.; Wang, X.; Zhang, Z. Adaptive projection intensity adjustment for avoiding saturation in three-dimensional shape measurement. Opt. Commun. 2018, 410, 694–702. [Google Scholar] [CrossRef]
- Fu, Y.; Fan, J.; Jing, F.; Tan, M. High Dynamic Range Structured Light 3-D Measurement Based on Region Adaptive Fringe Brightness. IEEE Trans. Ind. Electron. 2024, 71, 8080–8090. [Google Scholar] [CrossRef]
- Xu, P.; Liu, J.; Wang, J. High dynamic range 3D measurement technique based on adaptive fringe projection and curve fitting. Appl. Opt. 2023, 62, 3265–3274. [Google Scholar] [CrossRef]
- Wang, J.; Yang, Y. A new method for high dynamic range 3D measurement combining adaptive fringe projection and original-inverse fringe projection. Opt. Lasers Eng. 2023, 163, 107490. [Google Scholar] [CrossRef]
- Schnee, J.; Futterlieb, J. Laser Line Segmentation with Dynamic Line Models. In Proceedings of the Computer Analysis of Images and Patterns—14th International Conference, Seville, Spain, 29–31 August 2011; Part I (2011). pp. 126–134. [Google Scholar]
- Du, J.; Xiong, W.; Chen, W.; Cheng, J.; Wang, Y.; Gu, Y.; Chia, S.C. Robust Laser Stripe Extraction Using Ridge Segmentation and Region Ranking for 3D Reconstruction of Reflective and Uneven Surface. In Proceedings of the 2015 IEEE International Conference on Image Processing, Quebec City, QC, Canada, 27–30 September 2015; pp. 27–30. [Google Scholar]
- Li, F.; Li, X.; Liu, Z. A multi-scale analysis based method for extracting coordinates of laser light stripe centers. Acta Opt. Sin. 2014, 34, 1110002. [Google Scholar]
- Song, J.; Sun, C.; Wang, P. Techniques of light intensity adaptive adjusting for the 3D measurement system of the solder paste. Chin. J. Sens. Actuators 2012, 25, 1166–1171. [Google Scholar]
- Tang, R.Y.; Shen, H.H.; Hong-Kun, H.E.; Gao, F. Adaptive intensity of laser control based on dual-tree complex wavelet transform. Laser 2015, 7, 113–116. [Google Scholar]
- Li, X.; Sun, C.; Wang, P. The image adaptive method for solder paste 3D measurement system. Opt. Lasers Eng. 2015, 66, 41–51. [Google Scholar]
- Zhou, J.; Pan, L.; Li, Y.; Liu, P.; Liu, L. Real-time stripe width computation using back propagation neural network for adaptive control of line structured light sensors. Sensors 2020, 20, 2618. [Google Scholar] [CrossRef]
- Zhou, J.; Wang, K.; Yang, G.; Liu, X.; Du, R.; Li, Y. Real-time uncertainty estimation of stripe center extraction results using adaptive BP neural network. Measurement 2022, 194, 111022. [Google Scholar] [CrossRef]














| Kp | 0.2 | 0.6 | 1.0 | 1.6 | 2.0 | 3.0 | 4.0 | 
|---|---|---|---|---|---|---|---|
| MD | 157.3 | 117.9 | 80.0 | 59.6 | 47.9 | 34.7 | 25.4 | 
| Stable time (ms) | 76 | 36 | 25 | 26 | 23 | 20 | 18 | 
| Exposure Time | 1 ms | 2 ms | 6 ms | 10 ms | 14 ms | 18 ms | Optimal | 
|---|---|---|---|---|---|---|---|
| PV | 0.2608 | 0.2630 | 0.4494 | 0.6056 | 0.6265 | 0.7407 | 0.3112 | 
| AVR | 0.0236 | 0.0225 | 0.0239 | 0.0326 | 0.0417 | 0.0502 | 0.0218 | 
| RMS | 0.0297 | 0.0287 | 0.0313 | 0.0444 | 0.0563 | 0.0689 | 0.0283 | 
| Exposure Time | 1 ms | 2 ms | 6 ms | 10 ms | 14 ms | 18 ms | Optimal | 
|---|---|---|---|---|---|---|---|
| PV | 0.3260 | 0.2202 | 0.1897 | 0.2257 | 0.2840 | 0.3213 | 0.1859 | 
| AVR | 0.0263 | 0.0212 | 0.0182 | 0.0201 | 0.0257 | 0.0286 | 0.0181 | 
| RMS | 0.0336 | 0.0267 | 0.0230 | 0.0253 | 0.0322 | 0.0361 | 0.0227 | 
| Exposure Time | 1 ms | 2 ms | 6 ms | 10 ms | 14 ms | 18 ms | Optimal | 
|---|---|---|---|---|---|---|---|
| PV | 0.1652 | 0.1866 | 0.2598 | 0.3225 | 0.3697 | 0.4875 | 0.1788 | 
| AVR | 0.0144 | 0.0136 | 0.0221 | 0.0282 | 0.0384 | 0.0489 | 0.0126 | 
| RMS | 0.0182 | 0.0172 | 0.0277 | 0.0355 | 0.0482 | 0.0609 | 0.0158 | 
| Parts with Different Materials | Polyurethane | Aluminum | Ceramic | 
|---|---|---|---|
| Without adaptive control | 79.2% | 75.4% | 68.6% | 
| With adaptive control | 82.9% | 80.2% | 70.5% | 
| Disclaimer/Publisher’s Note: The statements, opinions and data contained in all publications are solely those of the individual author(s) and contributor(s) and not of MDPI and/or the editor(s). MDPI and/or the editor(s) disclaim responsibility for any injury to people or property resulting from any ideas, methods, instructions or products referred to in the content. | 
© 2025 by the authors. Licensee MDPI, Basel, Switzerland. This article is an open access article distributed under the terms and conditions of the Creative Commons Attribution (CC BY) license (https://creativecommons.org/licenses/by/4.0/).
Share and Cite
Li, Y.; Zhao, Q.; Hu, P.; Zhang, H.; Zhang, Z.; Liu, X.; Zhou, J. Adaptive Exposure Control for Line-Structured Light Sensors Based on Global Grayscale Statistics. Sensors 2025, 25, 1195. https://doi.org/10.3390/s25041195
Li Y, Zhao Q, Hu P, Zhang H, Zhang Z, Liu X, Zhou J. Adaptive Exposure Control for Line-Structured Light Sensors Based on Global Grayscale Statistics. Sensors. 2025; 25(4):1195. https://doi.org/10.3390/s25041195
Chicago/Turabian StyleLi, Yuehua, Qingfeng Zhao, Po Hu, Hao Zhang, Ziheng Zhang, Xiaohong Liu, and Jingbo Zhou. 2025. "Adaptive Exposure Control for Line-Structured Light Sensors Based on Global Grayscale Statistics" Sensors 25, no. 4: 1195. https://doi.org/10.3390/s25041195
APA StyleLi, Y., Zhao, Q., Hu, P., Zhang, H., Zhang, Z., Liu, X., & Zhou, J. (2025). Adaptive Exposure Control for Line-Structured Light Sensors Based on Global Grayscale Statistics. Sensors, 25(4), 1195. https://doi.org/10.3390/s25041195
 
        


 
       