A Transferable Lidar-Based Method to Conduct Contactless Assessments of Gait Parameters in Diverse Home-like Environments
Abstract
1. Introduction
2. Materials and Methods
2.1. Participants and Setting
2.2. Experimental Procedure
2.3. Data Collection Systems
2.4. Gait Parameter Computation
2.4.1. Sensor Alignment

2.4.2. Motion Segmentation
2.4.3. Leg Tracking
- If exactly two clusters remained, the k-means algorithm was employed to determine the new centroids of these clusters.
- If fewer than two clusters remained, this indicated a failure to track one or both legs. This was addressed by predicting the missing leg’s position by analyzing its location in preceding frames. This involved calculating the finite difference between a frame and the one before it, and using these trajectory patterns to estimate the leg’s current position based on its last known position. These estimated positions were used as the centroids in the current frame.
- If more than two clusters remained, clusters in close proximity were merged until a maximum of two remained. The merging criterion was based on the distance between their centroids, calculated as the aggregate of all points within each cluster. If the distance between two centroids was less than or equal to 25 cm (i.e., approximately the maximum diameter of a leg), they were considered too close and were merged. After merging, a new centroid for the resulting cluster was calculated.
2.4.4. Gait Analysis
2.5. Statistical Analysis
3. Results
3.1. Descriptive Analysis of Step Length and Velocity
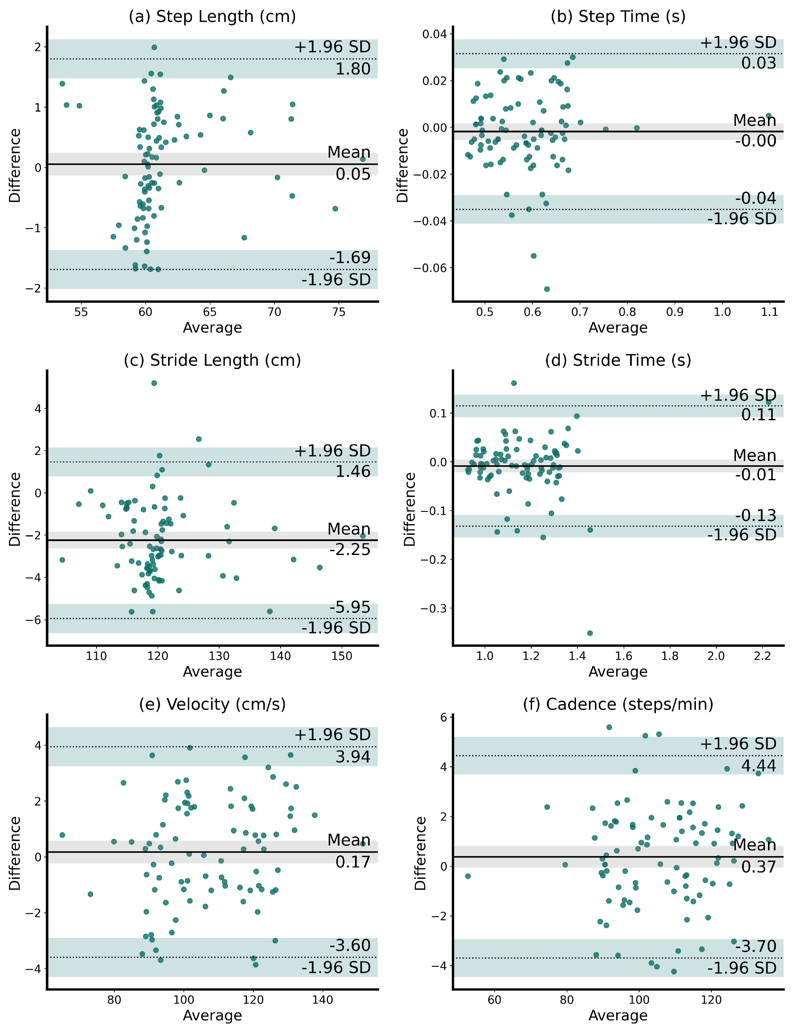
3.2. Comparison of Gait Parameters between Lidar Sensors and Pressure-Sensitive Walkway


3.3. Comparison between Lidar and Accelerometer Measurements
4. Discussion
5. Conclusions
Author Contributions
Funding
Institutional Review Board Statement
Informed Consent Statement
Data Availability Statement
Acknowledgments
Conflicts of Interest
Abbreviations
| IMU | Inertial measurement unit |
| Lidar | Light detection and ranging |
| M | Mean value |
| RMSE | Root-mean-square error |
| SD | Standard deviation |
| SE | Standard error |
Appendix A. Mathematical Morphologies
Appendix B. Rigid Transformations
References
- Verghese, J.; LeValley, A.; Hall, C.B.; Katz, M.J.; Ambrose, A.F.; Lipton, R.B. Epidemiology of gait disorders in community-residing older adults. J. Am. Geriatr. Soc. 2006, 54, 255–261. [Google Scholar] [CrossRef]
- Osoba, M.Y.; Rao, A.K.; Agrawal, S.K.; Lalwani, A.K. Balance and gait in the elderly: A contemporary review. Laryngoscope Investig. Otolaryngol. 2019, 4, 143–153. [Google Scholar] [CrossRef]
- Schütz, N.; Saner, H.; Rudin, B.; Botros, A.; Pais, B.; Santschi, V.; Buluschek, P.; Gatica-Perez, D.; Urwyler, P.; Marchal-Crespo, L.; et al. Validity of pervasive computing based continuous physical activity assessment in community-dwelling old and oldest-old. Sci. Rep. 2019, 9, 9662. [Google Scholar] [CrossRef] [PubMed]
- Bourgarel, E.; Risser, C.; Blanc, F.; Vogel, T.; Kaltenbach, G.; Meyer, M.; Schmitt, E. Spatio-temporal gait parameters of hospitalized older patients: Comparison of fallers and non-fallers. Int. J. Environ. Res. Public Health 2023, 20, 4563. [Google Scholar] [CrossRef] [PubMed]
- GAITRite Platinum Plus Classic. Available online: https://www.gaitrite.com/ (accessed on 12 December 2023).
- Riley, P.O.; Paylo, K.W.; Kerrigan, D.C. Mobility and gait assessment technologies. In Eldercare Technology for Clinical Practitioners; Alwan, M., Felder, R.A., Eds.; Humana Press: Totowa, NJ, USA, 2008; pp. 33–51. [Google Scholar] [CrossRef]
- Kressig, R.W.; Herrmann, F.R.; Grandjean, R.; Michel, J.P.; Beauchet, O. Gait variability while dual-tasking: Fall predictor in older inpatients? Aging Clin. Exp. Res. 2008, 20, 123–130. [Google Scholar] [CrossRef] [PubMed]
- Liu, L.; Stroulia, E.; Nikolaidis, I.; Miguel-Cruz, A.; Rincon, A.R. Smart homes and home health monitoring technologies for older adults: A systematic review. Int. J. Med. Inform. 2016, 91, 44–59. [Google Scholar] [CrossRef] [PubMed]
- Van Ancum, J.M.; van Schooten, K.S.; Jonkman, N.H.; Huijben, B.; van Lummel, R.C.; Meskers, C.G.; Maier, A.B.; Pijnappels, M. Gait speed assessed by a 4-m walk test is not representative of daily-life gait speed in community-dwelling adults. Maturitas 2019, 121, 28–34. [Google Scholar] [CrossRef]
- Warmerdam, E.; Hausdorff, J.M.; Atrsaei, A.; Zhou, Y.; Mirelman, A.; Aminian, K.; Espay, A.J.; Hansen, C.; Evers, L.J.; Keller, A.; et al. Long-term unsupervised mobility assessment in movement disorders. Lancet Neurol. 2020, 19, 462–470. [Google Scholar] [CrossRef]
- Rubenstein, L.Z.; Josephson, K.R. The epidemiology of falls and syncope. Clin. Geriatr. Med. 2002, 18, 141–158. [Google Scholar] [CrossRef]
- Bloem, B.R.; Hausdorff, J.M.; Visser, J.E.; Giladi, N. Falls and freezing of gait in Parkinson’s disease: A review of two interconnected, episodic phenomena. Mov. Disord. 2004, 19, 871–884. [Google Scholar] [CrossRef]
- Liu, Y.; Zhang, G.; Tarolli, C.G.; Hristov, R.; Jensen-Roberts, S.; Waddell, E.M.; Myers, T.L.; Pawlik, M.E.; Soto, J.M.; Wilson, R.M.; et al. Monitoring gait at home with radio waves in Parkinson’s disease: A marker of severity, progression, and medication response. Sci. Transl. Med. 2022, 14, eadc9669. [Google Scholar] [CrossRef] [PubMed]
- Tinetti, M.E.; Baker, D.I.; McAvay, G.; Claus, E.B.; Garrett, P.; Gottschalk, M.; Koch, M.L.; Trainor, K.; Horwitz, R.I. A multifactorial intervention to reduce the risk of falling among elderly people living in the community. N. Engl. J. Med. 1994, 331, 821–827. [Google Scholar] [CrossRef] [PubMed]
- Scheurer, S.; Koch, J.; Kucera, M.; Bryn, H.; Bärtschi, M.; Meerstetter, T.; Nef, T.; Urwyler, P. Optimization and technical validation of the AIDE-MOI fall detection algorithm in a real-life setting with older adults. Sensors 2019, 19, 1357. [Google Scholar] [CrossRef] [PubMed]
- Ganz, D.A.; Bao, Y.; Shekelle, P.G.; Rubenstein, L.Z. Will my patient fall? JAMA 2007, 297, 77–86. [Google Scholar] [CrossRef] [PubMed]
- Brodie, M.A.; Lord, S.R.; Coppens, M.J.; Annegarn, J.; Delbaere, K. Eight-week remote monitoring using a freely worn device reveals unstable gait patterns in older fallers. IEEE Trans. Biomed. Eng. 2015, 62, 2588–2594. [Google Scholar] [CrossRef]
- Botros, A.; Schütz, N.; Camenzind, M.; Urwyler, P.; Bolliger, D.; Vanbellingen, T.; Kistler, R.; Bohlhalter, S.; Müri, R.M.; Mosimann, U.P.; et al. Long-term home-monitoring sensor technology in patients with Parkinson’s disease—Acceptance and adherence. Sensors 2019, 19, 5169. [Google Scholar] [CrossRef]
- Khandelwal, S.; Wickström, N. Gait event detection in real-world environment for long-term applications: Incorporating domain knowledge into time-frequency analysis. IEEE Trans. Neural Syst. Rehabil. Eng. 2016, 24, 1363–1372. [Google Scholar] [CrossRef]
- Piau, A.; Mattek, N.; Crissey, R.; Beattie, Z.; Dodge, H.; Kaye, J. When will my patient fall? Sensor-based in-home walking speed identifies future falls in older adults. J. Gerontol. A Biol. Sci. Med. Sci. 2020, 75, 968–973. [Google Scholar] [CrossRef]
- Shah, V.V.; McNames, J.; Mancini, M.; Carlson-Kuhta, P.; Spain, R.I.; Nutt, J.G.; El-Gohary, M.; Curtze, C.; Horak, F.B. Laboratory versus daily life gait characteristics in patients with multiple sclerosis, Parkinson’s disease, and matched controls. J. Neuroeng. Rehabil. 2020, 17, 1–12. [Google Scholar] [CrossRef] [PubMed]
- Cicirelli, G.; Impedovo, D.; Dentamaro, V.; Marani, R.; Pirlo, G.; D’Orazio, T.R. Human gait analysis in neurodegenerative diseases: A review. IEEE J. Biomed. Health Inform. 2021, 26, 229–242. [Google Scholar] [CrossRef]
- ElSayed, M.; Alsebai, A.; Salaheldin, A.; El Gayar, N.; ElHelw, M. Ambient and wearable sensing for gait classification in pervasive healthcare environments. In Proceedings of the The 12th IEEE International Conference on e-Health Networking, Applications and Services, Lyon, France, 1–3 July 2010; pp. 240–245. [Google Scholar] [CrossRef]
- Stenum, J.; Rossi, C.; Roemmich, R.T. Two-dimensional video-based analysis of human gait using pose estimation. PLoS Comput. Biol. 2021, 17, e1008935. [Google Scholar] [CrossRef]
- Zhou, H.; Hu, H. Human motion tracking for rehabilitation—A survey. Biomed. Signal Process. Control 2008, 3, 1–18. [Google Scholar] [CrossRef]
- Zhou, L.; Tunca, C.; Fischer, E.; Brahms, C.M.; Ersoy, C.; Granacher, U.; Arnrich, B. Validation of an IMU gait analysis algorithm for gait monitoring in daily life situations. In Proceedings of the 2020 42nd Annual International Conference of the IEEE Engineering in Medicine & Biology Society (EMBC), Montreal, QC, Canada, 20–24 July 2020; pp. 4229–4232. [Google Scholar] [CrossRef]
- Fischer, S.H.; David, D.; Crotty, B.H.; Dierks, M.; Safran, C. Acceptance and use of health information technology by community-dwelling elders. Int. J. Med. Inform. 2014, 83, 624–635. [Google Scholar] [CrossRef]
- Shin, G.; Jarrahi, M.H.; Fei, Y.; Karami, A.; Gafinowitz, N.; Byun, A.; Lu, X. Wearable activity trackers, accuracy, adoption, acceptance and health impact: A systematic literature review. J. Biomed. Inform. 2019, 93, 15. [Google Scholar] [CrossRef] [PubMed]
- Wang, J.; Spicher, N.; Warnecke, J.M.; Haghi, M.; Schwartze, J.; Deserno, T.M. Unobtrusive health monitoring in private spaces: The smart home. Sensors 2021, 21, 864. [Google Scholar] [CrossRef]
- Muresan, M.P.; Nedevschi, S. Multimodal sparse LIDAR object tracking in clutter. In Proceedings of the 2018 IEEE 14th International Conference on Intelligent Computer Communication and Processing (ICCP), Cluj-Napoca, Romania, 6–8 September 2018; pp. 215–221. [Google Scholar] [CrossRef]
- Gálai, B.; Benedek, C. Feature selection for Lidar-based gait recognition. In Proceedings of the 2015 International Workshop on Computational Intelligence for Multimedia Understanding (IWCIM), Prague, Czech Republic, 29–30 October 2015; pp. 1–5. [Google Scholar] [CrossRef]
- Benedek, C.; Gálai, B.; Nagy, B.; Jankó, Z. Lidar-based gait analysis and activity recognition in a 4D surveillance system. IEEE Trans. Circuits Syst. Video Technol. 2018, 28, 101–113. [Google Scholar] [CrossRef]
- Yoon, S.; Jung, H.W.; Jung, H.; Kim, K.; Hong, S.K.; Roh, H.; Oh, B.M. Development and validation of 2D-LiDAR-based gait analysis instrument and algorithm. Sensors 2021, 21, 414. [Google Scholar] [CrossRef] [PubMed]
- Duong, H.T.; Suh, Y.S. Human gait tracking for normal people and walker users using a 2D LiDAR. IEEE Sens. J. 2020, 20, 6191–6199. [Google Scholar] [CrossRef]
- Botros, A.; Gyger, N.; Schütz, N.; Single, M.; Nef, T.; Gerber, S.M. Contactless gait assessment in home-like environments. Sensors 2021, 21, 6205. [Google Scholar] [CrossRef] [PubMed]
- Gordon, C.C.; Churchill, T.; Clauser, C.E.; Bradtmiller, B.; McConville, J.T.; Tebbetts, I.; Walker, R.A. Anthropometric Survey of US Army Personnel: Summary Statistics, Interim Report for 1988; Technical report; Anthropology Research Project Inc.: Yellow Springs, OH, USA, 1989. [Google Scholar]
- Dadashi, F.; Mariani, B.; Rochat, S.; Büla, C.J.; Santos-Eggimann, B.; Aminian, K. Gait and foot clearance parameters obtained using shoe-worn inertial sensors in a large-population sample of older adults. Sensors 2013, 14, 443–457. [Google Scholar] [CrossRef] [PubMed]
- Frenken, T.; Gövercin, M.; Mersmann, S.; Hein, A. Precise assessment of self-selected gait velocity in domestic environments. In Proceedings of the 2010 4th International Conference on Pervasive Computing Technologies for Healthcare, Munchen, Germany, 22–25 March 2010; pp. 1–8. [Google Scholar] [CrossRef]
- Yorozu, A.; Takahashi, M. Development of gait measurement robot using laser range sensor for evaluating long-distance walking ability in the elderly. In Proceedings of the 2015 IEEE/RSJ International Conference on Intelligent Robots and Systems (IROS), Hamburg, Germany, 28 September–2 October 2015; pp. 4888–4893. [Google Scholar] [CrossRef]
- Single, M.; Bruhin, L.C.; Schütz, N.; Naef, A.C.; Hegi, H.; Reuse, P.; Schindler, K.A.; Krack, P.; Wiest, R.; Chan, A.; et al. Development of an open-source and lightweight sensor recording software system for conducting biomedical research: Technical report. JMIR Form. Res. 2023, 7, 20. [Google Scholar] [CrossRef]
- Bakar, S.A.; Hitam, M.S.; Yussof, W.N.J.H.W. Content-based image retrieval using SIFT for binary and greyscale images. In Proceedings of the 2013 IEEE International Conference on Signal and Image Processing Applications, Melaka, Malaysia, 8–10 October 2013; pp. 83–88. [Google Scholar] [CrossRef]
- Murtagh, F.; Contreras, P. Algorithms for hierarchical clustering: An overview. Wiley Interdiscip. Rev. Data Min. Knowl. Discov. 2012, 2, 86–97. [Google Scholar] [CrossRef]
- Single, M.; Bruhin, L. Gait From Lidar. 2023. Available online: https://github.com/simplay/gait-from-lidar (accessed on 1 January 2024).
- Schober, P.; Boer, C.; Schwarte, L.A. Correlation coefficients: Appropriate use and interpretation. Anesth. Analg. 2018, 126, 1763–1768. [Google Scholar] [CrossRef]
- Müller, B.; Ilg, W.; Giese, M.A.; Ludolph, N. Validation of enhanced kinect sensor based motion capturing for gait assessment. PLoS ONE 2017, 12, e0175813. [Google Scholar] [CrossRef]
- JudgeRoy, J.O.; Davis III, B.; Õunpuu, S. Step length reductions in advanced age: The role of ankle and hip kinetics. J. Gerontol. A Biol. Sci. Med. Sci. 1996, 51, M303–M312. [Google Scholar] [CrossRef]
- Toro, B.; Nester, C.; Farren, P. A review of observational gait assessment in clinical practice. Physiother. Theory Pract. 2003, 19, 137–149. [Google Scholar] [CrossRef]
- Thong, Y.; Woolfson, M.; Crowe, J.; Hayes-Gill, B.; Jones, D. Numerical double integration of acceleration measurements in noise. Measurement 2004, 36, 73–92. [Google Scholar] [CrossRef]
- Youdas, J.W.; Hollman, J.H.; Aalbers, M.J.; Ahrenholz, H.N.; Aten, R.A.; Cremers, J.J. Agreement between the GAITRite walkway system and a stopwatch–footfall count method for measurement of temporal and spatial gait parameters. Arch. Phys. Med. Rehabil. 2006, 87, 1648–1652. [Google Scholar] [CrossRef]
- Meldrum, D.; Shouldice, C.; Conroy, R.; Jones, K.; Forward, M. Test–retest reliability of three dimensional gait analysis: Including a novel approach to visualising agreement of gait cycle waveforms with Bland and Altman plots. Gait Posture 2014, 39, 265–271. [Google Scholar] [CrossRef] [PubMed]
- Pantelopoulos, A.; Bourbakis, N.G. A survey on wearable sensor-based systems for health monitoring and prognosis. IEEE Trans. Syst. Man Cybern. C Appl. Rev. 2009, 40, 1–12. [Google Scholar] [CrossRef]
- Kazemi, K.; Laitala, J.; Azimi, I.; Liljeberg, P.; Rahmani, A.M. Robust ppg peak detection using dilated convolutional neural networks. Sensors 2022, 22, 6054. [Google Scholar] [CrossRef] [PubMed]
- Álvarez-Aparicio, C.; Guerrero-Higueras, A.M.; Rodríguez-Lera, F.J.; Ginés Clavero, J.; Martín Rico, F.; Matellán, V. People detection and tracking using LIDAR sensors. Robotics 2019, 8, 75. [Google Scholar] [CrossRef]
- Haralick, R.M.; Sternberg, S.R.; Zhuang, X. Image analysis using mathematical morphology. IEEE Trans. Pattern Anal. Mach. Intell. 1987, PAMI-9, 532–550. [Google Scholar] [CrossRef]





| Gait Parameter | Computation (per Ambulation) |
|---|---|
| Step Length (cm) | The distance between two consecutive heel strike events of contralateral legs found by extracting leg position at the time of the two heel strikes |
| Step Time (s) | The time between two consecutive steps of contralateral legs |
| Stride Length (cm) | The distance between two consecutive steps of the same leg |
| Stride Time (s) | The time between two consecutive steps of the same leg |
| Cadence (1/min) | The number of steps per minute |
| Velocity (cm/s) | The distance in centimeters per second |
| Gait Parameter | Walkway | Lidar | t(90) | p | d | ||
|---|---|---|---|---|---|---|---|
| M | SD | M | SD | ||||
| Step Length (cm) | 61.433 | 3.769 | 61.487 | 3.861 | 0.570 | 0.570 | 0.014 |
| Step Time (s) | 0.586 | 0.090 | 0.584 | 0.091 | −1.020 | 0.311 | 0.020 |
| Stride Length (cm) | 121.791 | 7.607 | 119.544 | 7.473 | −111.279 | <0.01 | 0.296 |
| Stride Time (s) | 1.169 | 0.180 | 1.160 | 0.181 | −11.320 | 0.190 | 0.048 |
| Velocity (cm/s) | 107.289 | 15.834 | 107.462 | 16.141 | 0.854 | 0.395 | 0.011 |
| Cadence (steps/min) | 105.210 | 14.269 | 105.581 | 14.397 | 1.695 | 0.094 | 0.026 |
| Gait Parameter | r(90) | Mean | SE | RMSE | 95% CI | p | |
|---|---|---|---|---|---|---|---|
| LL | UL | ||||||
| Step Length (cm) | 0.973 | 0.054 | 0.024 | 0.888 | −0.13 | 0.24 | <0.001 |
| Step Time (s) | 0.983 | −0.002 | 0.020 | 0.017 | −0.01 | 0.0 | <0.001 |
| Stride Length (cm) | 0.969 | −2.246 | 0.027 | 2.928 | −2.64 | −1.85 | <0.001 |
| Stride Time (s) | 0.940 | −0.009 | 0.036 | 0.063 | −0.02 | 0.0 | <0.001 |
| Velocity (cm/s) | 0.993 | 0.173 | 0.012 | 1.921 | −0.23 | 0.58 | <0.001 |
| Cadence (steps/min) | 0.990 | 0.371 | 0.015 | 2.100 | −0.06 | 0.81 | <0.001 |
Disclaimer/Publisher’s Note: The statements, opinions and data contained in all publications are solely those of the individual author(s) and contributor(s) and not of MDPI and/or the editor(s). MDPI and/or the editor(s) disclaim responsibility for any injury to people or property resulting from any ideas, methods, instructions or products referred to in the content. |
© 2024 by the authors. Licensee MDPI, Basel, Switzerland. This article is an open access article distributed under the terms and conditions of the Creative Commons Attribution (CC BY) license (https://creativecommons.org/licenses/by/4.0/).
Share and Cite
Single, M.; Bruhin, L.C.; Colombo, A.; Möri, K.; Gerber, S.M.; Lahr, J.; Krack, P.; Klöppel, S.; Müri, R.M.; Mosimann, U.P.; et al. A Transferable Lidar-Based Method to Conduct Contactless Assessments of Gait Parameters in Diverse Home-like Environments. Sensors 2024, 24, 1172. https://doi.org/10.3390/s24041172
Single M, Bruhin LC, Colombo A, Möri K, Gerber SM, Lahr J, Krack P, Klöppel S, Müri RM, Mosimann UP, et al. A Transferable Lidar-Based Method to Conduct Contactless Assessments of Gait Parameters in Diverse Home-like Environments. Sensors. 2024; 24(4):1172. https://doi.org/10.3390/s24041172
Chicago/Turabian StyleSingle, Michael, Lena C. Bruhin, Aaron Colombo, Kevin Möri, Stephan M. Gerber, Jacob Lahr, Paul Krack, Stefan Klöppel, René M. Müri, Urs P. Mosimann, and et al. 2024. "A Transferable Lidar-Based Method to Conduct Contactless Assessments of Gait Parameters in Diverse Home-like Environments" Sensors 24, no. 4: 1172. https://doi.org/10.3390/s24041172
APA StyleSingle, M., Bruhin, L. C., Colombo, A., Möri, K., Gerber, S. M., Lahr, J., Krack, P., Klöppel, S., Müri, R. M., Mosimann, U. P., & Nef, T. (2024). A Transferable Lidar-Based Method to Conduct Contactless Assessments of Gait Parameters in Diverse Home-like Environments. Sensors, 24(4), 1172. https://doi.org/10.3390/s24041172

