An Efficient Pareto Optimal Resource Allocation Scheme in Cognitive Radio-Based Internet of Things Networks
Abstract
:1. Introduction
- Propose an optimization algorithm for conflicting optimization objectives.
- Analyze the performance of proposed model with different performance metrics and compare with other optimization approaches.
2. System Model
3. Proposed Hybrid Simulated-Tabu-Based Resource Optimization Algorithm
3.1. Simulated Annealing (SA)
3.2. Tabu Search (TS)
3.3. Hybrid Tabu Simulated Algorithms (HTSA)
| Algorithm 1: HTSA Procedure. |
Generate the initial solution randomly and Repeat ) do Calculate the values the objective functions defined in Equations (3)–(5) and then obtain no dominating fronts based on Equations (7)–(9) ) then ; ) then ; Until (T > ) |
3.4. Fuzzy-Based Final Decision Making
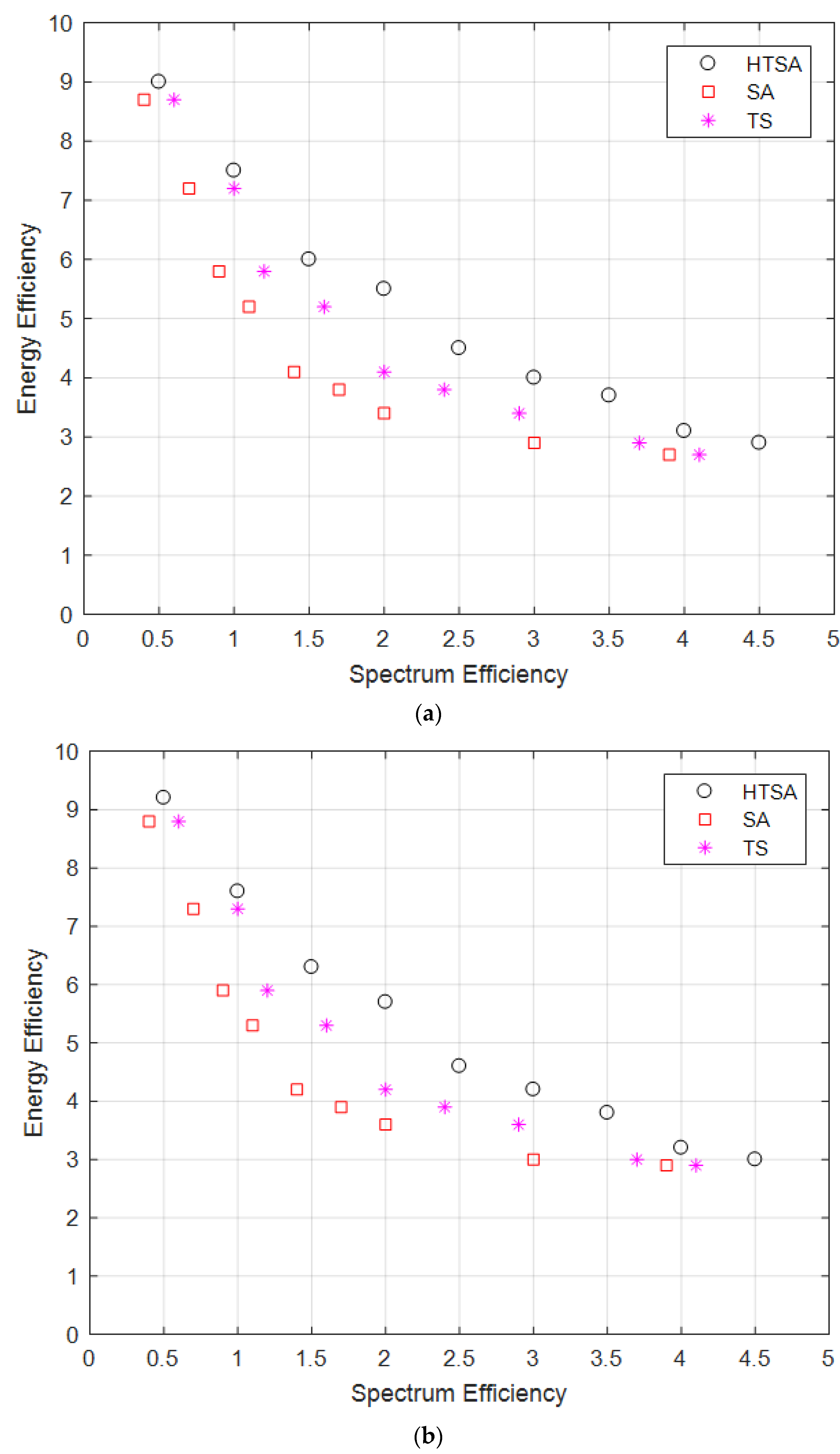
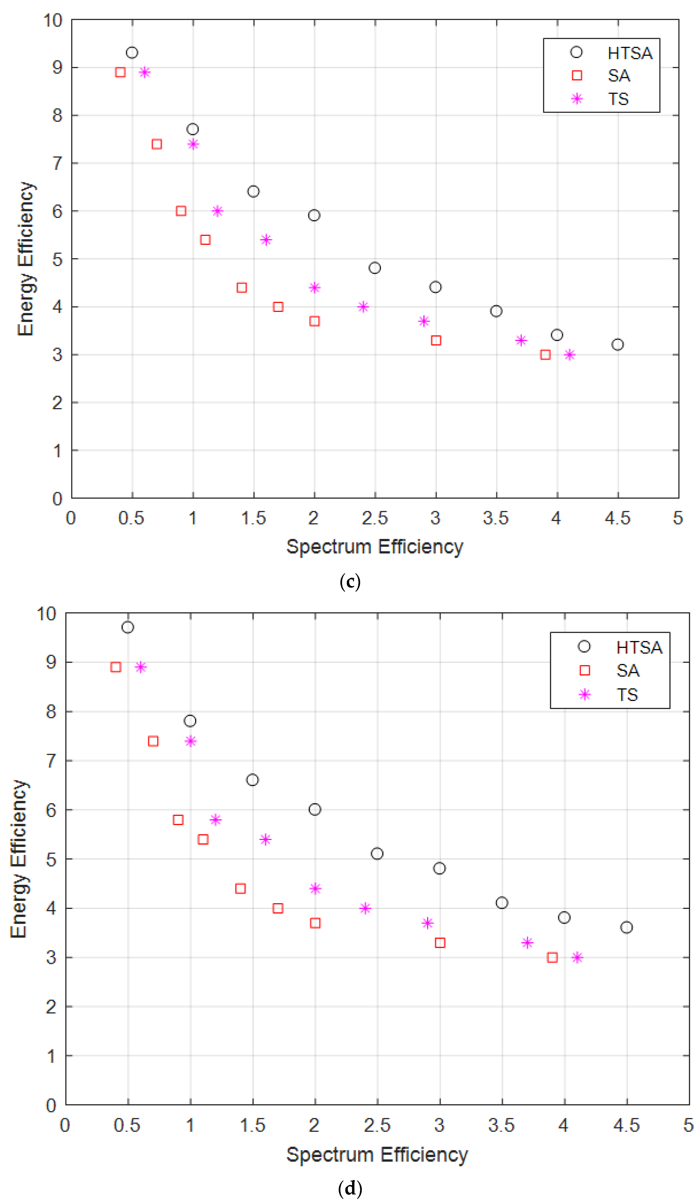
4. Results and Discussion
5. Conclusions
Author Contributions
Funding
Institutional Review Board Statement
Informed Consent Statement
Data Availability Statement
Conflicts of Interest
References
- Zaki, M.; Choi, Y. Energy-Efficient Optimal Power Allocation for SWIPT Based IoT-Enabled Smart Meter. Sensors 2021, 21, 7857. [Google Scholar]
- Zarzo, M.; Perles, A.; Mercado, R.; García-Diego, F.J. Multivariate Characterization of Temperature Fluctuations in a Historical Building Using Energy-Efficient IoT Wireless Sensors. Sensors 2021, 21, 7795. [Google Scholar] [CrossRef]
- Ashraf, M.; Hassan, S.; Rubab, S. Energy-efficient dynamic channel allocation algorithm in wireless body area network. Environ. Dev. Sustain. 2022, 2, 1–20. [Google Scholar] [CrossRef]
- Riaz, M.; Hanif, A.; Masood, H.; Afaq, K.; Kang, B.-G.; Nam, Y. An Optimal Power Flow Solution of a System Integrated with Renewable Sources Using a Hybrid Optimizer. Sustainability 2021, 13, 13382. [Google Scholar] [CrossRef]
- Kafeel, A.; Aziz, S.; Awais, M.; Khan, M.A.; Afaq, K.; Idris, S.A.; Alshazly, H.; Mostafa, S.M. An Expert System for Rotating Machine Fault Detection Using Vibration Signal Analysis. Sensors 2021, 21, 7587. [Google Scholar] [CrossRef] [PubMed]
- Alharbi, A.; Alosaimi, W.; Alyami, H.; Rauf, H.T.; Damaševičius, R. Botnet Attack Detection Using Local Global Best Bat Algorithm for Industrial Internet of Things. Electronics 2021, 10, 1341. [Google Scholar] [CrossRef]
- Srivastava, A.; Gupta, M.S.; Kaur, G. Energy efficient transmission trends towards future green cognitive radio networks (5G): Progress, taxonomy and open challenges. J. Netw. Comput. Appl. 2020, 168, 102760. [Google Scholar] [CrossRef]
- Sultan, S.; Javaid, Q.; Malik, A.J.; Al-Turjman, F.; Attique, M. Collaborative-trust approach toward malicious node detection in vehicular ad hoc networks. Environ. Dev. Sustain. 2021, 1–19. [Google Scholar] [CrossRef]
- Yunana, K.; Alfa, A.A.; Misra, S.; Damasevicius, R.; Maskeliunas, R.; Jonathan, O. Internet of Things: Applications, Adoptions and Components-A Conceptual Overview. In International Conference on Hybrid Intelligent Systems; Springer: Cham, Switzerland, 2020; pp. 494–504. [Google Scholar]
- An, J.; Zhang, Y.; Gao, X.; Yang, K. Energy-efficient base station association and beamforming for multi-cell multiuser systems. IEEE Trans. Wirel. Commun. 2020, 19, 2841–2854. [Google Scholar] [CrossRef]
- Ahmed, A.H.; Al-Heety, A.T.; Al-Khateeb, B.; Mohammed, A.H. Energy Efficiency in 5G Massive MIMO for Mobile Wireless Network. In Proceedings of the 2020 International Congress on Human-Computer Interaction, Optimization and Robotic Applications (HORA), Ankara, Turkey, 26–28 June 2020; pp. 1–6. [Google Scholar]
- You, L.; Xiong, J.; Yi, X.; Wang, J.; Wang, W.; Gao, X. Energy efficiency optimization for downlink massive MIMO with statistical CSIT. IEEE Trans. Wirel. Commun. 2020, 19, 2684–2698. [Google Scholar] [CrossRef]
- Wang, N.; Han, S.; Lu, Y.; Zhu, J.; Xu, W. Distributed energy efficiency optimization for multi-user cognitive radio networks over MIMO interference channels: A non-cooperative game approach. IEEE Access 2020, 8, 26701–26714. [Google Scholar] [CrossRef]
- Etim, I.E.; Lota, J. Power control in cognitive radios, Internet-of Things (IoT) for factories and industrial automation. In Proceedings of the IECON 2016-42nd Annual Conference of the IEEE Industrial Electronics Society, Florence, Italy, 23–26 October 2017; pp. 4701–4705. [Google Scholar]
- Ahmad, M.; Orakzai, F.A.; Ahmed, A.; Naeem, M.; Iqbal, M.; Umer, T. Energy efficiency in cognitive radio assisted D2D communication networks. Telecommun. Syst. 2019, 71, 167–180. [Google Scholar] [CrossRef]
- Cui, M.; Hu, B.-J.; Tang, J.; Wang, Y. Energy-efficient joint power allocation in uplink massive MIMO cognitive radio networks with imperfect CSI. IEEE Access 2017, 5, 27611–27621. [Google Scholar] [CrossRef]
- Latif, S.; Akraam, S.; Saleem, M.A. Channel assignment using differential evolution algorithm in cognitive radio networks. Int. J. Adv. Appl. Sci. 2017, 4, 160–166. [Google Scholar] [CrossRef]
- Cho, J.-H.; Wang, Y.; Chen, R.; Chan, K.S.; Swami, A. A survey on modeling and optimizing multi-objective systems. IEEE Commun. Surv. Tutor. 2017, 19, 1867–1901. [Google Scholar] [CrossRef]
- Alzahrani, B.; Ejaz, W. Resource management for cognitive IoT systems with RF energy harvesting in smart cities. IEEE Access 2018, 6, 62717–62727. [Google Scholar] [CrossRef]
- Vimal, S.; Khari, M.; Crespo, R.N.G.l.; Kalaivani, L.; Dey, N.; Kaliappan, M. Energy enhancement using Multiobjective Ant colony optimization with Double Q learning algorithm for IoT based cognitive radio networks. Comput. Commun. 2020, 154, 481–490. [Google Scholar] [CrossRef]
- Kaur, A.; Kaur, A.; Sharma, S. Cognitive decision engine design for CR based IoTs using differential evolution and bat algorithm. In Proceedings of the 2018 5th International Conference on Signal Processing and Integrated Networks (SPIN), Noida, India, 22–23 February 2018; pp. 130–135. [Google Scholar]
- Wang, Y.; Yang, K.; Wan, W.; Zhang, Y.; Liu, Q. Energy efficient data and energy integrated management strategy for IoT devices based on RF energy harvesting. IEEE Internet Things J. 2021, 8, 13640–13651. [Google Scholar] [CrossRef]
- Latif, S.; Akraam, S.; Malik, A.J.; Abbasi, A.A.; Habib, M.; Lim, S. Improved Channel Allocation Scheme for Cognitive Radio Networks. Intell. Autom. Soft Comput. 2021, 27, 103–114. [Google Scholar] [CrossRef]
- Pham, Q.-V.; Mirjalili, S.; Kumar, N.; Alazab, M.; Hwang, W.-J. Whale optimization algorithm with applications to resource allocation in wireless networks. IEEE Trans. Veh. Technol. 2020, 69, 4285–4297. [Google Scholar] [CrossRef]
- Lal, S.; Rehman, S.U.; Shah, J.H.; Meraj, T.; Rauf, H.T.; Damaševičius, R.; Mohammed, M.A.; Abdulkareem, K.H. Adversarial Attack and Defence through Adversarial Training and Feature Fusion for Diabetic Retinopathy Recognition. Sensors 2021, 21, 3922. [Google Scholar] [CrossRef]
- Sheng, Z.; Tuan, H.D.; Nasir, A.A.; Duong, T.Q.; Poor, H.V. Power allocation for energy efficiency and secrecy of wireless interference networks. IEEE Trans. Wirel. Commun. 2018, 17, 3737–3775. [Google Scholar] [CrossRef]
- Bhardwaj, P.; Panwar, A.; Ozdemir, O.; Masazade, E.; Kasperovich, I.; Drozd, A.L.; Mohan, C.K.; Varshney, P.K. Enhanced dynamic spectrum access in multiband cognitive radio networks via optimized resource allocation. IEEE Trans. Wirel. Commun. 2016, 15, 8093–8106. [Google Scholar] [CrossRef]
- Zhou, A.; Qu, B.-Y.; Li, H.; Zhao, S.-Z.; Suganthan, P.N.; Zhang, Q. Multiobjective evolutionary algorithms: A survey of the state of the art. Swarm Evol. Comput. 2011, 1, 32–49. [Google Scholar] [CrossRef]
- Sarfraz, M. Vectorizing outlines of generic shapes by cubic spline using simulated annealing. Int. J. Comput. Math. 2010, 87, 1736–1751. [Google Scholar] [CrossRef]
- Gallego, R.A.; Romero, R.N.; Monticelli, A.J. Tabu search algorithm for network synthesis. IEEE Trans. Power Syst. 2000, 15, 490–495. [Google Scholar] [CrossRef]
- Chiu, W.-Y.; Yen, G.G.; Juan, T.-K. Minimum manhattan distance approach to multiple criteria decision making in multiobjective optimization problems. IEEE Trans. Evol. Comput. 2016, 20, 972–985. [Google Scholar] [CrossRef] [Green Version]
- Pradhan, P.M.; Panda, G. Pareto optimization of cognitive radio parameters using multiobjective evolutionary algorithms and fuzzy decision making. Swarm Evol. Comput. 2012, 7, 7–20. [Google Scholar] [CrossRef]
- Kanwal, S.; Iqbal, Z.; Al-Turjman, F.; Irtaza, A. Multiphase fault tolerance genetic algorithm for vm and task scheduling in datacenter. Inf. Process. Manag. 2021, 58, 102676. [Google Scholar] [CrossRef]
- Sharif, A.; Li, J.P.; Saleem, M.A.; Manogran, G.; Kadry, S.; Basit, A. A dynamic clustering technique based on deep reinforcement learning for Internet of vehicles. J. Intell. Manuf. 2021, 32, 757–768. [Google Scholar] [CrossRef]
- Mittal, M.; Goyal, L.M.; Roy, S. A deep survey on supervised learning based human detection and activity classification methods. Multimed. Tools Appl. 2021, 80, 27867–27923. [Google Scholar]








| Initial Temperature | 3 |
| Final Temperature | 0.000001 |
| Size of Tabu List | 12 |
| Cooling Factor | 0.90 |
| Population Size | 50 |
| Number of Iterations | 100 |
| Number of Nodes | 60 |
| Number of Data Flows | 5 |
| Number of Links | 55 |
| Bandwidth | 5 MHz |
| Number of channels | (5,25) |
| 10 mW | |
| 30 mW | |
| Path Loss Exponent () | 3 |
| Path loss constant | 1 |
Publisher’s Note: MDPI stays neutral with regard to jurisdictional claims in published maps and institutional affiliations. |
© 2022 by the authors. Licensee MDPI, Basel, Switzerland. This article is an open access article distributed under the terms and conditions of the Creative Commons Attribution (CC BY) license (https://creativecommons.org/licenses/by/4.0/).
Share and Cite
Latif, S.; Akraam, S.; Karamat, T.; Khan, M.A.; Altrjman, C.; Mey, S.; Nam, Y. An Efficient Pareto Optimal Resource Allocation Scheme in Cognitive Radio-Based Internet of Things Networks. Sensors 2022, 22, 451. https://doi.org/10.3390/s22020451
Latif S, Akraam S, Karamat T, Khan MA, Altrjman C, Mey S, Nam Y. An Efficient Pareto Optimal Resource Allocation Scheme in Cognitive Radio-Based Internet of Things Networks. Sensors. 2022; 22(2):451. https://doi.org/10.3390/s22020451
Chicago/Turabian StyleLatif, Shahzad, Suhail Akraam, Tehmina Karamat, Muhammad Attique Khan, Chadi Altrjman, Senghour Mey, and Yunyoung Nam. 2022. "An Efficient Pareto Optimal Resource Allocation Scheme in Cognitive Radio-Based Internet of Things Networks" Sensors 22, no. 2: 451. https://doi.org/10.3390/s22020451
APA StyleLatif, S., Akraam, S., Karamat, T., Khan, M. A., Altrjman, C., Mey, S., & Nam, Y. (2022). An Efficient Pareto Optimal Resource Allocation Scheme in Cognitive Radio-Based Internet of Things Networks. Sensors, 22(2), 451. https://doi.org/10.3390/s22020451

