Blockchain-Based Lightweight Trust Management in Mobile Ad-Hoc Networks
Abstract
1. Introduction
- We design a trust evaluation system that can fulfill the objectives of MANETs based on blockchain technology.
- The blockchain implementation is described based on a series of steps, transaction validation, block configuration, block validation, and block chaining and maintenance in MANETs. Furthermore, a suitable consensus mechanism for MANETs called DPoT is successfully embedded in OLSR for the validation of blockchains.
- We designate several principles to determine if nodes can implement a particular security mechanism to mitigate attacks in a collaborative manner to reduce energy consumption and network vulnerability.
2. Background and Related Work
2.1. Overview of OLSR
2.2. DCFM: Representative Attack Mitigation Scheme in OLSR
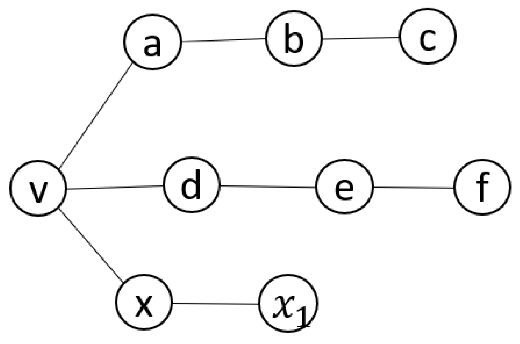
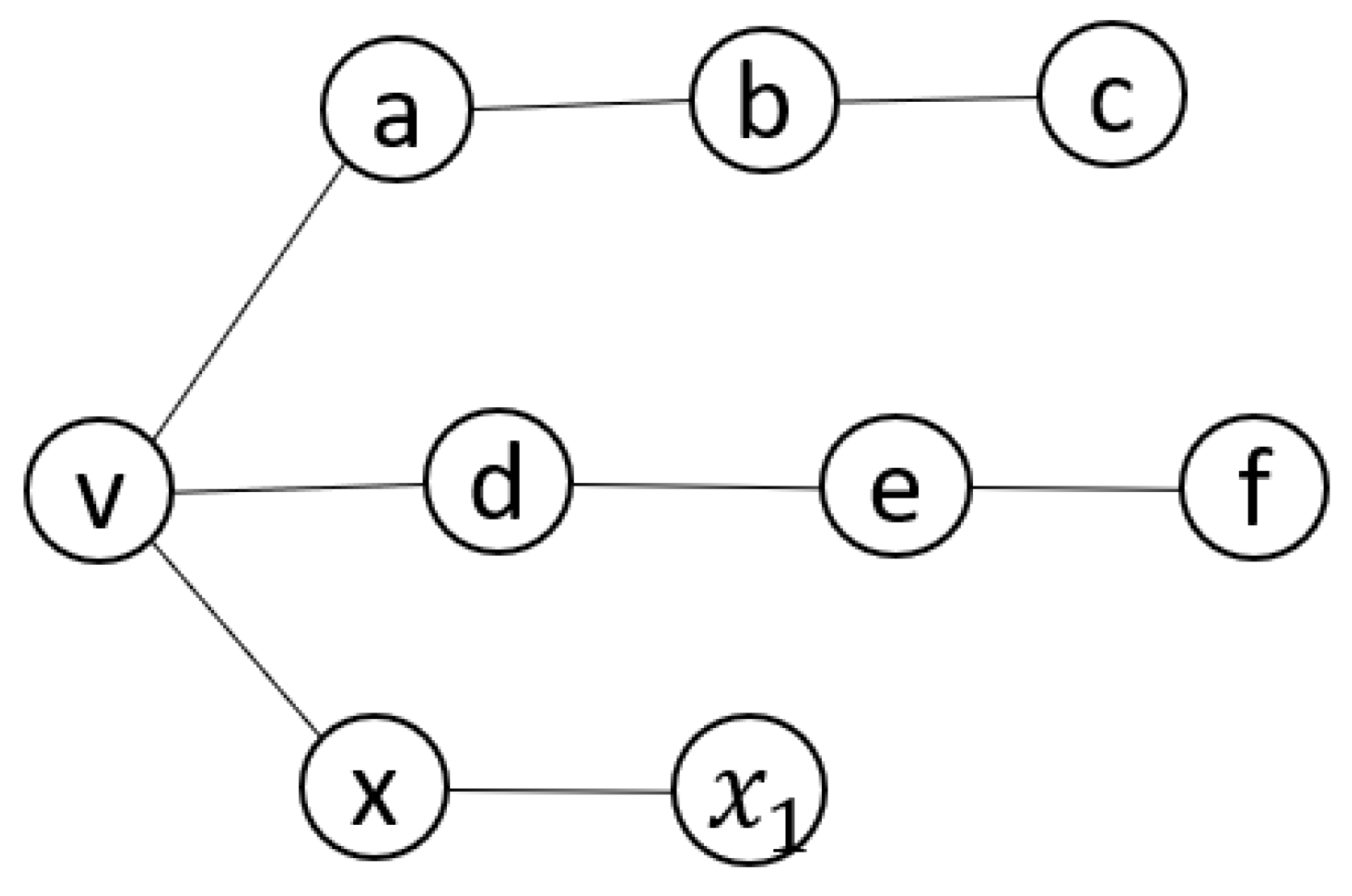
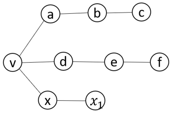
- N is the set of all nodes in the network.
- n; are the victim and the attacker nodes, respectively.
- is a fictitious node advertised by x.
- is the set of all one-hop neighbors of n.
- is the set of all two-hop neighbors of n.
- is the set of one-hop nodes of n who have appointed v as their MPR.
- is the set of one-hop nodes who were selected by n as MPRs.
2.3. Trust Management in MANETs
2.4. Blockchain-Based Trust Management
3. Proposed Solution
3.1. Design Objectives
- Decentralization: Based on the flexible nature of MANETs, where nodes continuously enter and leave a network without administrative action, trust evaluation for resident nodes is an essential component. However, it is impractical to assess nodes within multi-hop distance using only a centralized node or set of nodes. Therefore, decentralized trust evaluation is crucial for MANETs, meaning the nodes in a MANET should perform mutual assessment that is decentralized and straightforward.
- Availability & Consistency: For decentralized systems, such as MANETs, the availability of data is an important factor that must be considered. Each node should have trust values (TVs) for its relay nodes, even when they exist at multi-hop distance, so it can select the optimal nodes for forwarding data. Additionally, the data accessed by all nodes should be consistent for each node.
- Tamper-Proofing: Based on some of the aforementioned design goals, such as decentralization and availability, all available information will be accessed by all nodes in the network. Even with reliable support from the proposed scheme, critical information should not be tampered with by malicious nodes in the network. In other words, the system should be resilient to a small set of collaborative adversaries.
- Lightweight performance: Based on strong security goals, it is important that any trust solution provide reasonable performance, even with the complex computations required for authentication. However, for MANETs with limited resources, it is desirable to use a straightforward and effective solution, rather than a strongly secure, but complicated mechanism.
- Efficiency of security model in MANETs: To the best of our knowledge, most trust solutions require repetitive processes to be performed based on the dynamic nature of MANETs. Moreover, a network is vulnerable to repeated attacks from the same attacker when there is no collaboration between individual nodes. Therefore, a trust solution with greater efficiency must be developed for MANETs.
3.2. Blockchain-Based Lightweight Trust Management in MANETs
3.2.1. Phase 1—Trust Value Calculation
- TV = Trust Value,
- = additive factor
- = multiplicative factor
- = number at which node i chooses node j as its MPR node to forward packets for k iterations (starting from when j begins to have a connection with i to when i calculates j’s TV
- , , , … = residential nodes in the network,
- , , … = number of nodes in the neighbor set of , , …, respectively,
- = the initial checking interval (same as the hello interval, typically 2 s),
- = the increased detection interval when collaboration can be performed,
- f = multiplicative factor used for increasing the detection interval
- At least three nodes should have mutual connections (i.e., nodes , , and are exchanging control messages with each other). A collaborating node should not be a node that just joined the network.
- For determining the length of the interval, a node should consider the number of nodes involved in the hello messages with other neighbors (see Equations (4) and (5) for the calculation of a new detection interval).
- After determining the new detection interval, task assignment will be performed based on the order of node addresses (e.g., IP addresses of nodes). The assigned order increases from the smallest to the largest address. For example, among three nodes , and , the detection-duty order = [].
3.2.2. Phase 2—Consensus Algorithm (Delegated Proof-of-Trust)
Validator Election
Delegation Process
- Moving away from the network: If the validator node is moving away from the network, it must elect another delegate node to act as a new validator node. Based on Equation 6, the validator node can determine when it must elect a delegate node.where n is the number of neighbors, d is the distance between each neighbor, and is the transmission range.
- The validator node is a very rich node, meaning it has been the MPR node for a long time and accumulated a very high TV (its trust value is already one, which is the maximum value). Therefore, it should give opportunities to other trusted nodes by delegating the block generation process.
- The validator node is in power-saving mode. In this case, the validator node does not have sufficient energy to perform additional tasks.
3.2.3. Phase 3—Transaction Validation & Block Generation
Block Configuration
3.2.4. Phase 4—Block Maintenance
4. Performance Evaluation
4.1. Simulation Environment
4.2. Simulation Results
4.2.1. Effectiveness (Vulnerability Detection)
4.2.2. Network Overhead
4.2.3. Efficiency (Block Generation Latency)
5. Conclusions
Author Contributions
Funding
Conflicts of Interest
References
- Da Silva, E.; dos Santos, A.L.; Albini, L.C.P.; Lima, M.N. Identitybased key management in mobile ad hoc networks: Techniques and applications. IEEE Wirel. Commun. 2008, 15, 46–52. [Google Scholar] [CrossRef]
- Wu, B.; Wu, J.; Fernandez, E.B.; Magliveras, S. Secure and efficient key management in mobile ad hoc networks. In Proceedings of the 19th IEEE International Parallel and Distributed Processing Symposium, Washington, DC, USA, 4–8 April 2005. [Google Scholar]
- Huhtonen, A. Comparing AODV and OLSR routing protocols. Telecommun. Softw. Multimed. 2004, 26, 1–9. [Google Scholar]
- Zhang, Y.; Lazos, L.; Kozma, W. Amd: Audit-based misbehavior detection in wireless ad hoc networks. IEEE Trans. Mob. Comput. 2012, 15, 1893–1907. [Google Scholar] [CrossRef]
- Raja, L.; Baboo, S.S. An overview of MANET: Applications, attacks and challenges. Int. J. Comput. Sci. Mob. Comput. 2014, 3, 408–417. [Google Scholar]
- Sivakami, R.; Nawaz, G.K. Secured communication for MANETS in military. In Proceedings of the 2011 International Conference on Computer, Communication and Electrical Technology (ICCCET), Tirunelveli, Tamilnadu, India, 18–19 March 2011; pp. 146–151. [Google Scholar]
- Bakar, A.A.; Ghapar, A.A.; Ismail, R. Access control and privacy in MANET emergency environment. In Proceedings of the 2014 International Conference on Computer and Information Sciences (ICCOINS), Kuala Lumpur, Malaysia, 3–5 June 2014; pp. 1–6. [Google Scholar]
- Cho, J.-H.; Swami, A.; Chen, R. A survey on trust management for mobile ad hoc networks. IEEE Commun. Surv. Tutor. 2010, 13, 562–583. [Google Scholar] [CrossRef]
- Plesse, T.; Adjih, C.; Minet, P.; Laouiti, A.; Plakoo, A.; Badel, M.; Muhlethaler, P.; Jacquet, P.; Lecomte, J. Olsr performance measurement in a military mobile ad hoc network. Ad Hoc Netw. 2005, 3, 575–588. [Google Scholar] [CrossRef]
- Kartha, G.K.; Neeba, E.A. Trust Establishment in Mobile Ad Hoc Networks. In Proceedings of the 2014 3rd International Conference on Eco-Friendly Computing and Communication Systems, Mangalore, India, 18–21 December 2014; pp. 133–137. [Google Scholar]
- Omar, M.; Challal, Y.; Bouabdallah, A. Certification-based trust models in mobile ad hoc networks: A survey and taxonomy. J. Netw. Comput. Appl. 2012, 35, 268–286. [Google Scholar] [CrossRef]
- Eschenauer, L.; Gligor, V.D.; Baras, J. On trust establishment in mobile ad-hoc networks. In Proceedings of the International Workshop on Security Protocols, Cambridge, UK, 17–19 April 2002; pp. 47–66. [Google Scholar]
- Yang, J.; He, S.; Xu, Y.; Chen, L.; Ren, J. A Trusted Routing Scheme Using Blockchain and Reinforcement Learning for Wireless Sensor Networks. Sensors 2019, 19, 970. [Google Scholar] [CrossRef] [PubMed]
- Clausen, T.; Jacquet, P. Rfc3626: Optimized Link State Routing Protocol (Olsr), Experimental. Available online: http://www.ietf.org/rfc/rfc3626.txt (accessed on 9 October 2003).
- Schweitzer, N.; Stulman, A.; Shabtai, A.; Margalit, R.D. Mitigating denial of service attacks in olsr protocol using fictitious nodes. IEEE Trans. Mob. Comput. 2015, 15, 163–172. [Google Scholar] [CrossRef]
- Kannhavong, B.; Nakayama, H.; Kato, N.; Nemoto, Y.; Jamalipour, A. Analysis of the node isolation attack against olsr-based mobile ad hoc networks. In Proceedings of the 2006 International Symposium on Computer Networks, Istanbul, Turkey, 16–18 June 2006; pp. 30–35. [Google Scholar]
- Banerjee, A.; Neogy, S.; Chowdhury, C. Reputation based trust management system for MANET. In Proceedings of the 2012 Third International Conference on Emerging Applications of Information Technology, Kolkata, India, 29 November–1 December 2012; pp. 376–381. [Google Scholar]
- Feng, Y. Adaptive trust management in MANET. In Proceedings of the 2007 International Conference on Computational Intelligence and Security (CIS 2007), Harbin, China, 15–19 December 2007; pp. 804–808. [Google Scholar]
- Goka, S.; Shigeno, H. Distributed management system for trust and reward in mobile ad hoc networks. In Proceedings of the 2018 15th IEEE Annual Consumer Communications & Networking Conference (CCNC), Las Vegas, NV, USA, 12–15 January 2018; pp. 1–6. [Google Scholar]
- Yang, Z.; Yang, K.; Lei, L.; Zheng, K.; Leung, V.C. Blockchain-based decentralized trust management in vehicular networks. IEEE Internet Things J. 2018, 6, 1495–1505. [Google Scholar] [CrossRef]
- Marti, S.; Giuli, T.J.; Lai, K.; Baker, M. Mitigating routing misbehavior in mobile ad hoc networks. In Proceedings of the 6th Annual International Conference on Mobile Computing and Networking, Boston, MA, USA, 6–11 August 2000; pp. 255–265. [Google Scholar]
- Hernndez-Orallo, E.; Olmos, M.D.S.; Cano, J.; Calafate, C.T.; Manzoni, P. Cocowa: A collaborative contact-based watchdog for detecting selfish nodes. IEEE Trans. Mob. Comput. 2015, 14, 1162–1175. [Google Scholar] [CrossRef]
- Garcia-Molina, H. Elections in a distributed computing system. IEEE Trans. Comput. 1982, C-31, 48–59. [Google Scholar] [CrossRef]













| MANET Layers | Attacks | 
|---|---|
| Application Layer | Malicious code, Repudiation | 
| Transport Layer | Session hijacking, SYN Flooding | 
| Network Layer | Flooding, Blackhole, Geryhole, Wormhole, Link Spoofing, etc. | 
| Data Link Layer | Traffic analysis and monitoring | 
| Physical Layer | Traffic jamming, Eavesdropping | 
| Parameters | Values | 
|---|---|
| Simulator | NS-3 | 
| Number of nodes | 30 mobile nodes | 
| Mobility model | Random Waypoint Mobility Model | 
| Simulation range | 1 km × 1 km | 
| Movement speed | 3 m/s | 
| Transmission range | 250 m | 
| Simulation time | 200 s | 
| Block | No | No | Yes | Yes | 
|---|---|---|---|---|
| DCFM | Off | On | Off | On | 
| With Attack | 21.7 | 66.45 | 66.51 | 66.51 | 
| Without Attack | 66.51 | 66.51 | 66.51 | 66.51 | 
| - | A | B | B | C | A | C | 
|---|---|---|---|---|---|---|
| DCFM | O() | O() | O() | O() | O() | O() | 
| Proposed Scheme | O() | O() | O(1) | O() | O(1) | O(1) | 
© 2020 by the authors. Licensee MDPI, Basel, Switzerland. This article is an open access article distributed under the terms and conditions of the Creative Commons Attribution (CC BY) license (http://creativecommons.org/licenses/by/4.0/).
Share and Cite
Lwin, M.T.; Yim, J.; Ko, Y.-B. Blockchain-Based Lightweight Trust Management in Mobile Ad-Hoc Networks. Sensors 2020, 20, 698. https://doi.org/10.3390/s20030698
Lwin MT, Yim J, Ko Y-B. Blockchain-Based Lightweight Trust Management in Mobile Ad-Hoc Networks. Sensors. 2020; 20(3):698. https://doi.org/10.3390/s20030698
Chicago/Turabian StyleLwin, May Thura, Jinhyuk Yim, and Young-Bae Ko. 2020. "Blockchain-Based Lightweight Trust Management in Mobile Ad-Hoc Networks" Sensors 20, no. 3: 698. https://doi.org/10.3390/s20030698
APA StyleLwin, M. T., Yim, J., & Ko, Y.-B. (2020). Blockchain-Based Lightweight Trust Management in Mobile Ad-Hoc Networks. Sensors, 20(3), 698. https://doi.org/10.3390/s20030698
 
        


 
       