Characterization of Response Frequency for the Pressure-Sensitive Paint Based on Fluorine-Containing Polymer Matrixes Using Oscillating Sound Wave Technique
Abstract
1. Introduction
2. Materials and Methods
2.1. Materials
2.1.1. Chemical Reagents
2.1.2. Experimental Instruments
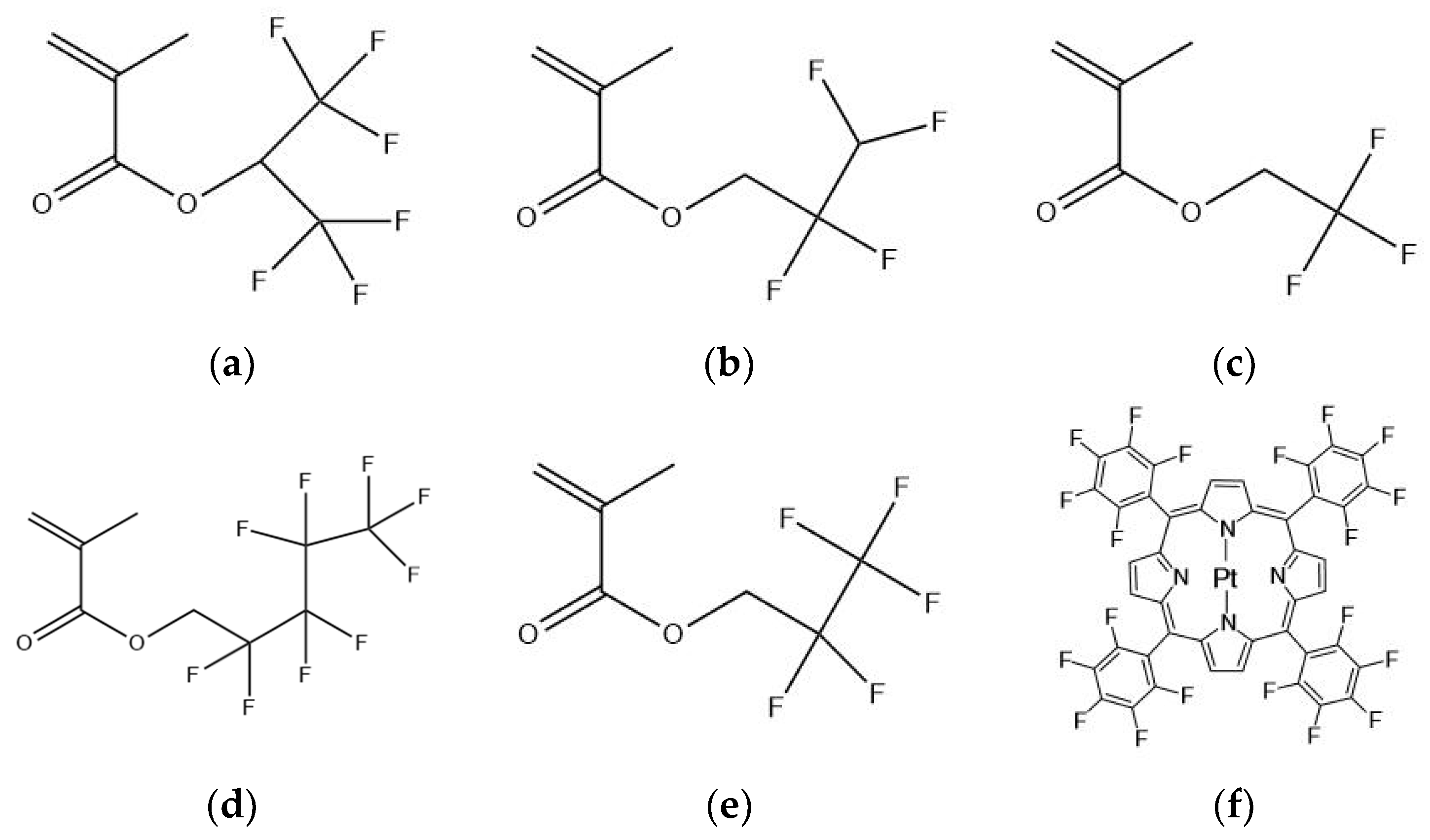
2.2. Synthesis of Methacrylate Polymerswith Fluorine-ContainingEster Group
2.3. Preparation of PSP Samples
3. Results and Discussion
3.1. Characterization and Basic Structure and Properties of the Polymers
3.2. Measurement of Fluorescence Spectra
3.3. Effect of Polymer Composition on the Pressure Sensitivity of PSP
3.4. Effect of Polymer Composition on Response Frequency
4. Conclusions
Author Contributions
Funding
Acknowledgments
Conflicts of Interest
References
- Skoog, D.A.; West, D.M.; Holler, F.J. Fundamentals of Analytical Chemistry, 5th ed.; Saunders: Philadephia, PA, USA, 1988; p. 344. [Google Scholar]
- Freeman, T.M.; Seitz, W.R. Oxygen probe based on tetrakis(alkylamino)ethylene chemiluminescence. Anal. Chem. 1981, 53, 98–102. [Google Scholar] [CrossRef]
- Liu, T.; Sullivan, J.P. Pressure and Temperature Sensitive Paints; Springer: Berlin/Heidelberg, Germany; New York, NY, USA, 2005; pp. 33–58. [Google Scholar]
- Bell, J.H.; Schairer, E.T.; Hand, L.A.; Mehta, D.M. Surface pressure measurements using luminescent coatings. Annu. Rev. Fluid Mech. 2001, 33, 155–206. [Google Scholar] [CrossRef]
- Quinn, M.K.; Orozco, N.G.; Kontis, K.; Ireland, P. Application of pressure-sensitive paint to low-speed flow around a U-bend of strong curvature. Exp. Therm. Fluid Sci. 2013, 48, 58–66. [Google Scholar] [CrossRef]
- Zare-Behtash, H.; Lo, K.H.; Yang, L.; Kontis, K. Pressure sensitive paint measurements at high Mach numbers. Flow Meas. Instrum. 2016, 52, 10–16. [Google Scholar] [CrossRef]
- Sakaue, H.; Kakisako, T. Characterization and optimization of polymer-ceramic pressure-sensitive paint by controlling polymer content. Sensors 2011, 11, 6967–6977. [Google Scholar] [CrossRef]
- Li, S.-J.; Yang, S.-F.; Han, J.-C. Effect of coolant density on leading edge showerhead film cooling using PSP measurement technique. J. Turbomach. 2014, 136, 051011. [Google Scholar] [CrossRef]
- Matsuda, Y.; Uchida, K.; Egami, Y.; Yamaguchi, H.; Niimi, T. Polymer-particle pressure-sensitive paint with high photostability. Sensors 2016, 16, 550. [Google Scholar] [CrossRef] [PubMed]
- Chen, L.; Zhou, Q.; Jin, X.; Zhang, Y. Pressure-sensitive paint and its measuring technique. Acta Aeronaut. Astronaut. Sin. 2009, 30, 2435–2448. [Google Scholar]
- Gregory, J.W.; Asai, K.; Kameda, M.; Liu, T.; Sullivan, J.P. A review of pressure-sensitive paint for high-speed and unsteady aerodynamics. J. Aerosp. Eng. 2008, 222, 249–290. [Google Scholar] [CrossRef]
- Pandey, A.; Gregory, J.W. Step response characteristics of polymer/ceramic pressure-sensitive paint. Sensors 2015, 15, 22304–22324. [Google Scholar] [CrossRef] [PubMed]
- Wen, X.; Liu, Y.; Li, Z.; Chen, Y.; Peng, D. Data mining of a clean signal from highly noisy data based on compressed data fusion: A fast-responding pressure-sensitive paint application. Phys. Fluids 2018, 30, 097103. [Google Scholar] [CrossRef]
- Xiang, X.; Xiong, L.; Yuan, M.; Yu, J.; Chen, L.; Wang, Z. Unsteady pressure measurement around circular cylinder in hypersonic flows using fast response PSP. J. Exp. Fluid Mech. 2015, 29, 54–61. [Google Scholar]
- Liu, T.; Teduka, N.; Kameda, M.; Asai, K. Diffusion time-scale of porous pressure-sensitive paint. AIAA J. 2001, 39, 2400–2402. [Google Scholar] [CrossRef]
- Basu, B.J.; Thirumurugan, A.; Dinesh, A.R.; Anandan, C.; Rajam, K.S. Optical oxygen sensor coating based on the fluorescence quenching of a new pyrene derivative. Sens. Actuators B Chem. 2005, 104, 15–22. [Google Scholar] [CrossRef]
- Shi, L.; Li, B.; Yue, S.; Fan, D. Synthesis, photophysical and oxygen-sensing properties of a novel bluish-green emission Cu(I) complex. Sens. Actuators B Chem. 2009, 137, 386–392. [Google Scholar] [CrossRef]
- Fujiwara, Y.; Ishikawa, Y. Properties of an optical sensor based on luminescence quenching of platinum porphyrin and perylene immobilized in a polystyrene film. Nippon Kagaku Kaishi 2002, 2, 261–264. [Google Scholar] [CrossRef]
- Masoumi, Z.; Stovea, V.; Yekta, A.; Winnik, M.A.; Menners, I. Polymers and Organic Solids; Shi, L., Zhu, D., Eds.; Science Press: Beijing, China, 1997; pp. 157–168. [Google Scholar]
- Barrer, R.M. Diffusion in and Through Solids; Cambridge University Press: New York, NY, USA, 1951. [Google Scholar]
- Jordan, J.D.; Watkins, A.N.; Weaver, W.L.; Trump, D.D.; Sarka, B.; Goss, L.P.; Navarra, K.R. Extending PSP technology for the investigation of HCF-related phenomena. In Proceedings of the 45th International Instrumentation Symposium, Indianapolis, IN, USA, 27–28 September 2004. [Google Scholar]
- Boerrigter, H.L.; Charbonnier, J.M. Design and calibration of an unsteady pressure measurement system. In Proceedings of the 17th International Congress on Instrumentation in Aerospace Simulation Facilities, Pacific Grove, CA, USA, 29 September–2 October 1997. [Google Scholar]
- Bencic, T. Dynamic calibration rig for pressure sensitive paints at NASA glenn research center. In Proceedings of the 8th Annual Pressure Sensitive Paint Workshop, NASA Langley Research Center, Hampton, VA, USA, 6–8 October 2000. [Google Scholar]
- Lee, S.K.; Okura, I. Photostable optical oxygen sensing material: Platinum tetrakis (pentafluorophenyl) porphyrin immobilized in polystyrene. Anal. Commun. 1997, 32, 185–188. [Google Scholar] [CrossRef]
- Gao, L.; Jiang, H.; Zheng, T. Sinusoidal Dynamic Pressure Calibration Chamber for Optical Pressure Sensitive Paints. CN 109269720A, 25 January 2019. [Google Scholar]
- Li, R.; Gao, L.; Zheng, T. Experimental investigation on static/dynamic characteristics of a fast-response pressure sensitive paint. Chin. J. Aeronaut. 2018, 31, 1198–1205. [Google Scholar] [CrossRef]
- Puklin, E.; Carlson, B.; Gouin, S.; Costin, C. Ideality of pressure-sensitive paint. I. Platinum tetra (pentafluorophenyl) porphine in fluoroacrylic polymer. J. Appl. Polym. Sci. 2000, 77, 2795–2804. [Google Scholar] [CrossRef]
- Jayarajah, C.N.; Yekta, A.; Manners, I.; Winnik, M.A. Oxygen diffusion and permeability in alkylaminothionylphosphazene films intended for phosphorescence barometry applications. Macromolecules 2000, 33, 5693–5701. [Google Scholar] [CrossRef]
- Lakowicz, J.R. Principles of Fluorescence Spectroscopy, 2nd ed.; Kluwer Academic Plenum Pub: New York, NY, USA, 1999; pp. 185–207, 238–249. [Google Scholar]
- Guillet, J.E.; Winnik, M.A. Photophysical and Photochemical Tools in Polymer Science: Conformation Dynamics, Morphology; D. Reidel Publishing Company: Dordrecht, Holland, 1986; pp. 467–494. [Google Scholar]







| Polymer. | Mw | Mn | Mw/Mn | Tg |
|---|---|---|---|---|
| P(HFIPMA) | 67,962 | 33,986 | 2.00 | 78 °C |
| P(HFIPMA -co-TFEMA) | 122,493 | 86,773 | 1.41 | 81 °C |
| P(HFIPMA-co-PFPMA) | 69,491 | 39,401 | 1.76 | 79 °C |
| P(HFIPMA -co-TFPMA) | 84,264 | 44,669 | 1.87 | 78 °C |
| P(HFIPMA-co-NFHMA) | 49,609 | 29,512 | 1.68 | 61 °C |
| Film Sample (%/atm) | 10 °C | 20 °C | 30 °C | 40 °C | 50 °C |
|---|---|---|---|---|---|
| P(HFIPMA) | 0.74 | 0.80 | 0.87 | 0.94 | 0.99 |
| Co(TFPMA) | 0.67 | 0.75 | 0.85 | 0.95 | 1.05 |
| Co(TFEMA) | 0.69 | 0.76 | 0.81 | 0.85 | 0.92 |
| Co(NFHMA) | 0.71 | 0.76 | 0.83 | 0.90 | 1.02 |
| Co(PFPMA) | 0.73 | 0.76 | 0.83 | 0.86 | 0.91 |
| Film Sample | Frequency (kHz) | Response Time (us) |
|---|---|---|
| P(HFIPMA) | 16 | 62.5 |
| Co(NFHMA) | 20 | 50 |
| Co(TFPMA) | 19 | 52.6 |
| Co(PFPMA) | 18 | 55.6 |
| Co(TFEMA) | 9.6 | 104.2 |
Publisher’s Note: MDPI stays neutral with regard to jurisdictional claims in published maps and institutional affiliations. |
© 2020 by the authors. Licensee MDPI, Basel, Switzerland. This article is an open access article distributed under the terms and conditions of the Creative Commons Attribution (CC BY) license (http://creativecommons.org/licenses/by/4.0/).
Share and Cite
Shao, Y.; Chen, L.; Liao, Q.; Jiang, H.; Liu, Z.; Jin, X.; Gao, L. Characterization of Response Frequency for the Pressure-Sensitive Paint Based on Fluorine-Containing Polymer Matrixes Using Oscillating Sound Wave Technique. Sensors 2020, 20, 6310. https://doi.org/10.3390/s20216310
Shao Y, Chen L, Liao Q, Jiang H, Liu Z, Jin X, Gao L. Characterization of Response Frequency for the Pressure-Sensitive Paint Based on Fluorine-Containing Polymer Matrixes Using Oscillating Sound Wave Technique. Sensors. 2020; 20(21):6310. https://doi.org/10.3390/s20216310
Chicago/Turabian StyleShao, Yun, Liusheng Chen, Qi Liao, Heng Jiang, Zhitian Liu, Xigao Jin, and Limin Gao. 2020. "Characterization of Response Frequency for the Pressure-Sensitive Paint Based on Fluorine-Containing Polymer Matrixes Using Oscillating Sound Wave Technique" Sensors 20, no. 21: 6310. https://doi.org/10.3390/s20216310
APA StyleShao, Y., Chen, L., Liao, Q., Jiang, H., Liu, Z., Jin, X., & Gao, L. (2020). Characterization of Response Frequency for the Pressure-Sensitive Paint Based on Fluorine-Containing Polymer Matrixes Using Oscillating Sound Wave Technique. Sensors, 20(21), 6310. https://doi.org/10.3390/s20216310

