Comparative Analysis of Artificial Intelligence Models for Accurate Estimation of Groundwater Nitrate Concentration
Abstract
1. Introduction
2. Materials and Methods
2.1. Description of the Study Area
2.2. Methodology
2.3. Dataset Preparation
2.4. VIF
2.5. Machine Learning Methods
2.5.1. Cubist
2.5.2. Support Vector Machine (SVM)
2.5.3. Random Forest (RF)
2.5.4. Bayesian Artificial Neural Network (Bayesian ANN)
2.6. Validation and Accuracy Assessment
3. Results
3.1. Exploratory Data Analysis and Data Statistic Analysis
3.2. Correlation Analysis
3.3. Multi-Collinearity Analysis
3.4. Validation of the Models
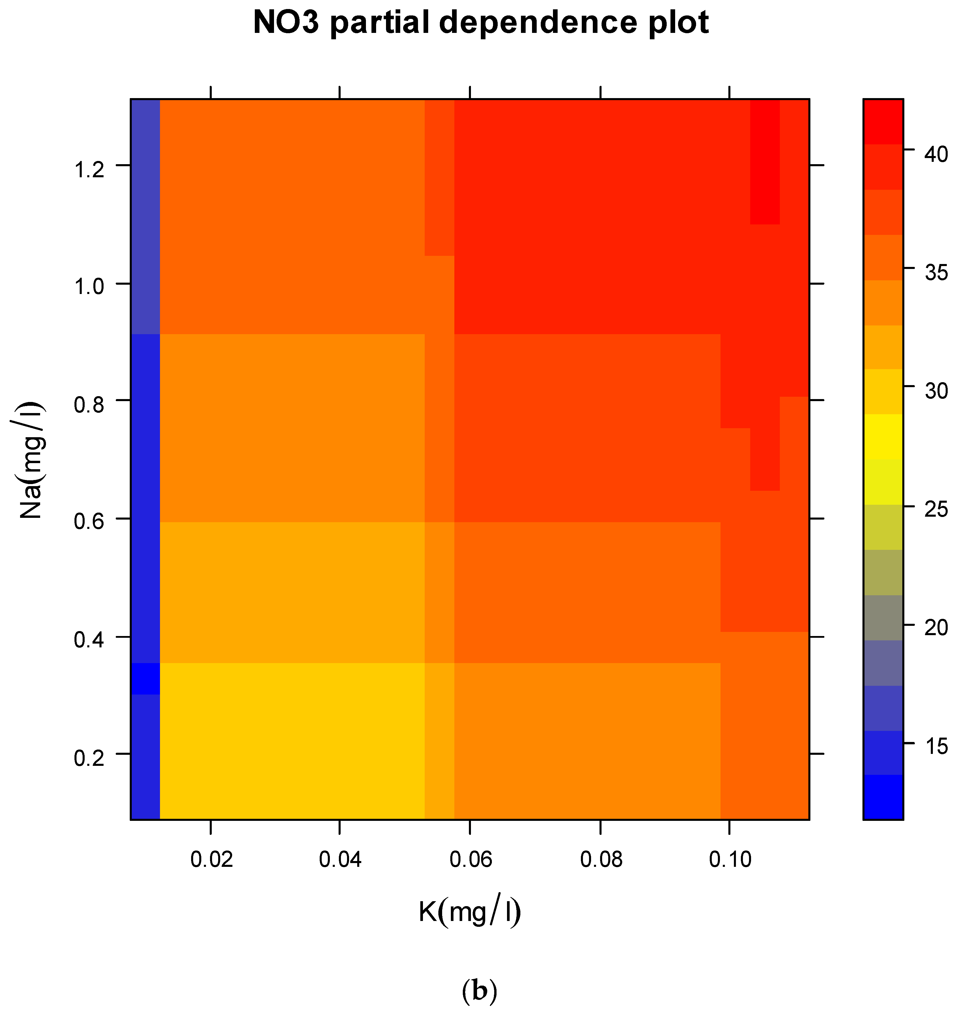
3.5. Spatial Groundwater Nitrate Susceptibility
3.6. Importance Value
4. Discussion
5. Conclusions
Author Contributions
Funding
Acknowledgments
Conflicts of Interest
References
- Nampak, H.; Pradhan, B.; Manap, M.A. Application of GIS based data driven evidential belief function model to predict groundwater potential zonation. J. Hydrol. 2014, 513, 283–300. [Google Scholar] [CrossRef]
- Hansen, B.; Thorling, L.; Schullehner, J.; Termansen, M.; Dalgaard, T. Groundwater nitrate response to sustainable nitrogen management. Sci. Rep. 2017, 7, 1–12. [Google Scholar] [CrossRef] [PubMed]
- Jia, X.; O’Connor, D.; Hou, D.; Jin, Y.; Li, G.; Zheng, C.; Ok, Y.S.; Tsang, D.C.; Luo, J. Groundwater depletion and contamination: Spatial distribution of groundwater resources sustainability in China. Sci. Total Environ. 2019, 672, 551–562. [Google Scholar] [CrossRef] [PubMed]
- Hasiniaina, F.; Zhou, J.; Guoyi, L. Regional assessment of groundwater vulnerability in Tamtsag basin, Mongolia using drastic model. J. Am. Sci. 2010, 6, 65–78. [Google Scholar]
- Lahjouj, A.; El Hmaidi, A.; Bouhafa, K.; Boufala, M. Mapping specific groundwater vulnerability to nitrate using random forest: Case of Sais basin, Morocco. Model. Earth Syst. Environ. 2020, 6, 1451–1466. [Google Scholar] [CrossRef]
- Laftouhi, N.-E.; Vanclooster, M.; Jalal, M.; Witam, O.; Aboufirassi, M.; Bahir, M.; Persoons, E. Groundwater nitrate pollution in the Essaouira Basin (Morocco). Comptes Rendus Geosci. 2003, 335, 307–317. [Google Scholar] [CrossRef]
- Moore, K.B.; Ekwurzel, B.; Esser, B.K.; Hudson, G.B.; Moran, J.E. Sources of groundwater nitrate revealed using residence time and isotope methods. Appl. Geochem. 2006, 21, 1016–1029. [Google Scholar] [CrossRef]
- Nolan, B.T. Relating Nitrogen Sources and Aquifer Susceptibility to Nitrate in Shallow Ground Waters of the United States. Ground Water 2001, 39, 290–299. [Google Scholar] [CrossRef]
- Puckett, L.J.; Tesoriero, A.J.; Dubrovsky, N. Nitrogen Contamination of Surficial Aquifers—A Growing Legacy†. Environ. Sci. Technol. 2011, 45, 839–844. [Google Scholar] [CrossRef]
- Ki, M.-G.; Koh, D.-C.; Yoon, H.; Kim, H.-S. Temporal variability of nitrate concentration in groundwater affected by intensive agricultural activities in a rural area of Hongseong, South Korea. Environ. Earth Sci. 2015, 74, 6147–6161. [Google Scholar] [CrossRef]
- Wick, K.; Heumesser, C.; Schmid, E. Groundwater nitrate contamination: Factors and indicators. J. Environ. Manag. 2012, 111, 178–186. [Google Scholar] [CrossRef] [PubMed]
- Juntakut, P.; Haacker, E.M.K.; Snow, D.D. Others Risk and Cost Assessment of Nitrate Contamination in Domestic Wells. Water 2020, 12, 428. [Google Scholar] [CrossRef]
- Ward, M.H.; DeKok, T.M.; Levallois, P.; Brender, J.; Gulis, G.; Nolan, B.T.; Vanderslice, J. Workgroup Report: Drinking-Water Nitrate and Health—Recent Findings and Research Needs. Environ. Heal. Perspect. 2005, 113, 1607–1614. [Google Scholar] [CrossRef] [PubMed]
- Yu, G.; Wang, J.; Liu, L.; Li, Y.; Zhang, Y.; Wang, S. The analysis of groundwater nitrate pollution and health risk assessment in rural areas of Yantai, China. BMC Public Health 2020, 20, 1–6. [Google Scholar] [CrossRef] [PubMed]
- Almasri, M.N. Assessment of intrinsic vulnerability to contamination for Gaza coastal aquifer, Palestine. J. Environ. Manag. 2008, 88, 577–593. [Google Scholar] [CrossRef]
- Takizawa, S. Groundwater Management in Asian Cities: Technology and Policy for Sustainability; Springer Science & Business Media: Berlin, Germany, 2008; Volume 2. [Google Scholar]
- Locatelli, L.; Binning, P.J.; Sanchez-Vila, X.; Søndergaard, G.L.; Rosenberg, L.; Bjerg, P.L. A simple contaminant fate and transport modelling tool for management and risk assessment of groundwater pollution from contaminated sites. J. Contam. Hydrol. 2019, 221, 35–49. [Google Scholar] [CrossRef]
- Teles, G.; Rodrigues, J.J.P.C.; Rabêlo, R.A.L.; Kozlov, S.A. Comparative study of support vector machines and random forests machine learning algorithms on credit operation. Softw. Pract. Exp. 2020, 45. [Google Scholar] [CrossRef]
- Liaw, A.; Wiener, M. Others Classification and regression by randomForest. R News 2002, 2, 18–22. [Google Scholar]
- Nolan, B.T.; Fienen, M.N.; Lorenz, D.L. A statistical learning framework for groundwater nitrate models of the Central Valley, California, USA. J. Hydrol. 2015, 531, 902–911. [Google Scholar] [CrossRef]
- Hosseini, F.S.; Choubin, B.; Solaimani, K.; Cerdà, A.; Kavian, A. Spatial prediction of soil erosion susceptibility using a fuzzy analytical network process: Application of the fuzzy decision making trial and evaluation laboratory approach. Land Degrad. Dev. 2018, 29, 3092–3103. [Google Scholar] [CrossRef]
- Loosvelt, L.; Peters, J.; Skriver, H.; Lievens, H.; Van Coillie, F.M.; De Baets, B.; Verhoest, N.E.C. Random Forests as a tool for estimating uncertainty at pixel-level in SAR image classification. Int. J. Appl. Earth Obs. Geoinf. 2012, 19, 173–184. [Google Scholar] [CrossRef]
- Rodriguez-Galiano, V.F.; Luque-Espinar, J.A.; Chica-Olmo, M.; Mendes, M.P. Feature selection approaches for predictive modelling of groundwater nitrate pollution: An evaluation of filters, embedded and wrapper methods. Sci. Total Environ. 2018, 624, 661–672. [Google Scholar] [CrossRef] [PubMed]
- Rahmati, O.; Pourghasemi, H.R.; Melesse, A.M. Application of GIS-based data driven random forest and maximum entropy models for groundwater potential mapping: A case study at Mehran Region, Iran. Catena 2016, 137, 360–372. [Google Scholar] [CrossRef]
- Hosseini, S.M.; Mahjouri, N. Integrating Support Vector Regression and a geomorphologic Artificial Neural Network for daily rainfall-runoff modeling. Appl. Soft Comput. 2016, 38, 329–345. [Google Scholar] [CrossRef]
- Ouedraogo, I.; Defourny, P.; Vanclooster, M. Mapping the groundwater vulnerability for pollution at the pan African scale. Sci. Total Environ. 2016, 544, 939–953. [Google Scholar] [CrossRef]
- Prasad, A.M.; Iverson, L.R.; Liaw, A. Newer Classification and Regression Tree Techniques: Bagging and Random Forests for Ecological Prediction. Ecosystems 2006, 9, 181–199. [Google Scholar] [CrossRef]
- Quinlan, J.R. The Morgan Kaufmann Series in Machine Learning; San Mateo; Morgan Kaufmann Pub: Burlington, MA, USA, 1993. [Google Scholar]
- Appelhans, T.; Mwangomo, E.; Hardy, D.R.; Hemp, A.; Nauss, T. Evaluating machine learning approaches for the interpolation of monthly air temperature at Mt. Kilimanjaro, Tanzania. Spat. Stat. 2015, 14, 91–113. [Google Scholar] [CrossRef]
- Noi, P.T.; Degener, J.; Kappas, M. Comparison of Multiple Linear Regression, Cubist Regression, and Random Forest Algorithms to Estimate Daily Air Surface Temperature from Dynamic Combinations of MODIS LST Data. Remote. Sens. 2017, 9, 398. [Google Scholar] [CrossRef]
- Neal, R.M. Bayesian Learning for Neural Networks; Springer: Berlin/Heidelberg, Germany, 1996; Volume 118. [Google Scholar]
- Sahoo, M.M.; Patra, K.C.; Swain, J.B.; Khatua, K.K. Evaluation of water quality with application of Bayes’ rule and entropy weight method. Eur. J. Environ. Civ. Eng. 2016, 21, 730–752. [Google Scholar] [CrossRef]
- Messier, K.P.; Wheeler, D.C.; Flory, A.R.; Jones, R.R.; Patel, D.; Nolan, B.T.; Ward, M.H. Modeling groundwater nitrate exposure in private wells of North Carolina for the Agricultural Health Study. Sci. Total Environ. 2018, 655, 512–519. [Google Scholar] [CrossRef]
- Rahmati, O.; Choubin, B.; Fathabadi, A.; Coulon, F.; Soltani, E.; Shahabi, H.; Mollaefar, E.; Tiefenbacher, J.; Cipullo, S.; Bin Ahmad, B.; et al. Predicting uncertainty of machine learning models for modelling nitrate pollution of groundwater using quantile regression and UNEEC methods. Sci. Total Environ. 2019, 688, 855–866. [Google Scholar] [CrossRef] [PubMed]
- Knoll, L.; Breuer, L.; Bach, M. Large scale prediction of groundwater nitrate concentrations from spatial data using machine learning. Sci. Total Environ. 2019, 668, 1317–1327. [Google Scholar] [CrossRef] [PubMed]
- Uddameri, V.; Silva, A.L.B.; Singaraju, S.; Mohammadi, G.; Hernandez, E. Tree-Based Modeling Methods to Predict Nitrate Exceedances in the Ogallala Aquifer in Texas. Water 2020, 12, 1023. [Google Scholar] [CrossRef]
- Jenness, J. Dem Surface Tools for ARCGIS; Jenness Enterprises: Flagstaff, AZ, USA, 2013. [Google Scholar]
- Coda, S.; Tessitore, S.; Di Martire, D.; Calcaterra, D.; De Vita, P.; Allocca, V. Coupled ground uplift and groundwater rebound in the metropolitan city of Naples (southern Italy). J. Hydrol. 2019, 569, 470–482. [Google Scholar] [CrossRef]
- Celico, P.; Esposito, L.; de Gennaro, M.; Mastrangelo, E. La falda ad Oriente della città di Napoli: Idrodinamica e qualità delle acque. Geol. Rom. 1994, 30, 653–660. [Google Scholar]
- Allocca, V.; Coda, S.; De Vita, P.; Viola, R. Rising groundwater levels and impacts in urban and semirural are around Naples (southern Italy). Rend. Online Soc. Geol. Ital. 2016, 41, 14–17. [Google Scholar] [CrossRef]
- Stigter, T.; Ribeiro, L.; Dill, A.C. Evaluation of an intrinsic and a specific vulnerability assessment method in comparison with groundwater salinisation and nitrate contamination levels in two agricultural regions in the south of Portugal. Hydrogeol. J. 2005, 14, 79–99. [Google Scholar] [CrossRef]
- Mas-Pla, J.; Menció, A. Groundwater nitrate pollution and climate change: Learnings from a water balance-based analysis of several aquifers in a western Mediterranean region (Catalonia). Environ. Sci. Pollut. Res. 2018, 26, 2184–2202. [Google Scholar] [CrossRef]
- Aslam, R.A.; Shrestha, S.; Pandey, V.P. Groundwater vulnerability to climate change: A review of the assessment methodology. Sci. Total Environ. 2018, 612, 853–875. [Google Scholar] [CrossRef]
- Sayyed, J.A.; Bhosle, A.B. Analysis of chloride, sodium and potassium in groundwater samples of Nanded City in Mahabharata, India. Eur. J. Exp. Biol. 2011, 1, 74–82. [Google Scholar]
- Mattivi, P.; Franci, F.; Lambertini, A.; Bitelli, G. TWI computation: A comparison of different open source GISs. Open Geospat. Data Softw. Stand. 2019, 4, 1–12. [Google Scholar] [CrossRef]
- Saha, S. Groundwater potential mapping using analytical hierarchical process: A study on Md. Bazar Block of Birbhum District, West Bengal. Spat. Inf. Res. 2017, 25, 615–626. [Google Scholar] [CrossRef]
- Avand, M.; Janizadeh, S.; Bui, D.T.; Pham, V.H.; Ngo, P.T.T.; Nhu, V.-H. A tree-based intelligence ensemble approach for spatial prediction of potential groundwater. Int. J. Digit. Earth 2020, 1–22. [Google Scholar] [CrossRef]
- Yariyan, P.; Janizadeh, S.; Van Phong, T.; Nguyen, H.D.; Costache, R.; Van Le, H.; Pham, B.T.; Pradhan, B.; Tiefenbacher, J.P. Improvement of Best First Decision Trees Using Bagging and Dagging Ensembles for Flood Probability Mapping. Water Resour. Manag. 2020, 1–17. [Google Scholar] [CrossRef]
- Kuhn, M.; Johnson, K. A Short Tour of the Predictive Modeling Process. In Applied Predictive Modeling; Springer: Berlin/Heidelberg, Germany, 2013; pp. 19–26. [Google Scholar]
- Kuhn, M.; Weston, S.; Keefer, C.; Coulter, N.; Quinlan, R. Cubist: Rule-and Instance-Based Regression Modeling, R Package Version 0.0. 18 2013; R Foundation for Statistical Computing: Vienna, Austria, 2013. [Google Scholar]
- Vapnik, V.N. The Nature of Statistical Learning Theory; Springer: New York, NY, USA, 1995. [Google Scholar]
- Kavzoglu, T.; Colkesen, I. A kernel functions analysis for support vector machines for land cover classification. Int. J. Appl. Earth Obs. Geoinf. 2009, 11, 352–359. [Google Scholar] [CrossRef]
- Naghibi, S.A.; Moghaddam, D.D.; Kalantar, B.; Pradhan, B.; Kisi, O. A comparative assessment of GIS-based data mining models and a novel ensemble model in groundwater well potential mapping. J. Hydrol. 2017, 548, 471–483. [Google Scholar] [CrossRef]
- Youssef, A.M.; Pourghasemi, H.R.; Pourtaghi, Z.S.; Al-Katheeri, M.M. Landslide susceptibility mapping using random forest, boosted regression tree, classification and regression tree, and general linear models and comparison of their performance at Wadi Tayyah Basin, Asir Region, Saudi Arabia. Landslides 2015, 13, 839–856. [Google Scholar] [CrossRef]
- Moradi, H.; Avand, M.T.; Janizadeh, S. Landslide Susceptibility Survey Using Modeling Methods. In Spatial Modeling in GIS and R for Earth and Environmental Sciences; Elsevier: Amsterdam, The Netherlands, 2019; pp. 259–275. [Google Scholar] [CrossRef]
- Siroky, D.S. Others Navigating random forests and related advances in algorithmic modeling. Stat. Surv. 2009, 3, 147–163. [Google Scholar] [CrossRef]
- Elith, J.; Leathwick, J.R.; Hastie, T. A working guide to boosted regression trees. J. Anim. Ecol. 2008, 77, 802–813. [Google Scholar] [CrossRef]
- Khan, M.S.; Coulibaly, P. Bayesian neural network for rainfall-runoff modeling. Water Resour. Res. 2006, 42, 42. [Google Scholar] [CrossRef]
- Santhi, C.; Arnold, J.G.; Williams, J.R.; Dugas, W.A.; Srinivasan, R.; Hauck, L.M. Validation of the Swat Model on a Large Rwer Basin with Point and Nonpoint Sources. JAWRA J. Am. Water Resour. Assoc. 2001, 37, 1169–1188. [Google Scholar] [CrossRef]
- Van Liew, M.W.; Veith, T.L.; Bosch, D.D.; Arnold, J. Suitability of SWAT for the Conservation Effects Assessment Project: Comparison on USDA Agricultural Research Service Watersheds. J. Hydrol. Eng. 2007, 12, 173–189. [Google Scholar] [CrossRef]
- Nash, J.E.; Sutcliffe, J. V River flow forecasting through conceptual models part I—A discussion of principles. J. Hydrol. 1970, 10, 282–290. [Google Scholar] [CrossRef]
- Chu, T.W.; Shirmohammadi, A. Evaluation of the Swat Model’s Hydrology Component in the Piedmont Physiographic Region of Maryland. Trans. ASAE 2004, 47, 1057–1073. [Google Scholar] [CrossRef]
- Wang, W.-C.; Chau, K.-W.; Cheng, C.-T.; Qiu, L. A comparison of performance of several artificial intelligence methods for forecasting monthly discharge time series. J. Hydrol. 2009, 374, 294–306. [Google Scholar] [CrossRef]
- Pham, B.T.; Jaafari, A.; Prakash, I.; Singh, S.K.; Quoc, N.K.; Bui, D.T. Hybrid computational intelligence models for groundwater potential mapping. Catena 2019, 182, 104101. [Google Scholar] [CrossRef]
- Kim, H.-R.; Yu, S.; Oh, J.; Kim, K.-H.; Oh, Y.-Y.; Kim, H.K.; Park, S.; Yun, S.-T. Assessment of nitrogen application limits in agro-livestock farming areas using quantile regression between nitrogen loadings and groundwater nitrate levels. Agric. Ecosyst. Environ. 2019, 286, 106660. [Google Scholar] [CrossRef]
- Scanlon, B.; Reedy, R.; Kier, K. Evaluation of Nitrate Contamination in Major Porous Media Aquifers in Texas. Available online: https://www.beg.utexas.edu/files/publications/cr/CR2003-Scanlon-1_QAe6972.pdf (accessed on 28 September 2020).
- DeVito, K.; Fitzgerald, D.; Hill, A.R.; Aravena, R. Nitrate Dynamics in Relation to Lithology and Hydrologic Flow Path in a River Riparian Zone. J. Environ. Qual. 2000, 29, 1075–1084. [Google Scholar] [CrossRef]
- Vazquez, N.; Pardo, A.; Suso, M.; Quemada, H.D. Drainage and nitrate leaching under processing tomato growth with drip irrigation and plastic mulching. Agric. Ecosyst. Environ. 2006, 112, 313–323. [Google Scholar] [CrossRef]
- Kumar, P.J.S.; Jegathambal, P.; James, E.J. Chemometric evaluation of nitrate contamination in the groundwater of a hard rock area in Dharapuram, south India. Appl. Water Sci. 2014, 4, 397–405. [Google Scholar] [CrossRef]
- Cheong, J.-Y.; Hamm, S.-Y.; Lee, J.-H.; Lee, K.-S.; Woo, N.-C. Groundwater nitrate contamination and risk assessment in an agricultural area, South Korea. Environ. Earth Sci. 2011, 66, 1127–1136. [Google Scholar] [CrossRef]
- Kalita, P.K.; Kanwar, R.S. Effect of Water-table Management Practices on the Transport of Nitrate-N to Shallow Groundwater. Trans. ASAE 1993, 36, 413–422. [Google Scholar] [CrossRef]
- Alin, A. Multicollinearity. Wiley Interdiscip. Rev. Comput. Stat. 2010, 2, 370–374. [Google Scholar] [CrossRef]
- Kavzoglu, T.; Sahin, E.K.; Colkesen, I. Landslide susceptibility mapping using GIS-based multi-criteria decision analysis, support vector machines, and logistic regression. Landslides 2013, 11, 425–439. [Google Scholar] [CrossRef]
- Taylor, K.E. Summarizing multiple aspects of model performance in a single diagram. J. Geophys. Res. Space Phys. 2001, 106, 7183–7192. [Google Scholar] [CrossRef]
- Chakrabortty, R.; Pal, S.C.; Malik, S.; Das, B. Modeling and mapping of groundwater potentiality zones using AHP and GIS technique: A case study of Raniganj Block, Paschim Bardhaman, West Bengal. Model. Earth Syst. Environ. 2018, 4, 1085–1110. [Google Scholar] [CrossRef]
- Rizeei, H.M.; Azeez, O.S.; Pradhan, B.; Khamees, H.H. Assessment of groundwater nitrate contamination hazard in a semi-arid region by using integrated parametric IPNOA and data-driven logistic regression models. Environ. Monit. Assess. 2018, 190, 633. [Google Scholar] [CrossRef] [PubMed]
- Saidi, S.; Bouri, S.; Ben Dhia, H.; Anselme, B. A GIS-based susceptibility indexing method for irrigation and drinking water management planning: Application to Chebba–Mellouleche Aquifer, Tunisia. Agric. Water Manag. 2009, 96, 1683–1690. [Google Scholar] [CrossRef]
- Yoo, K.; Shukla, S.K.; Ahn, J.J.; Oh, K.; Park, J. Decision tree-based data mining and rule induction for identifying hydrogeological parameters that influence groundwater pollution sensitivity. J. Clean. Prod. 2016, 122, 277–286. [Google Scholar] [CrossRef]
- Hosseini, F.S.; Malekian, A.; Choubin, B.; Rahmati, O.; Cipullo, S.; Coulon, F.; Pradhan, B. A novel machine learning-based approach for the risk assessment of nitrate groundwater contamination. Sci. Total Environ. 2018, 644, 954–962. [Google Scholar] [CrossRef]
- Chen, W.; Li, H.; Hou, E.; Wang, S.; Wang, G.; Panahi, M.; Li, T.; Peng, T.; Guo, C.; Niu, C.; et al. GIS-based groundwater potential analysis using novel ensemble weights-of-evidence with logistic regression and functional tree models. Sci. Total Environ. 2018, 634, 853–867. [Google Scholar] [CrossRef] [PubMed]
- Saha, S.; Saha, A.; Hembram, T.K.; Pradhan, B.; Alamri, A.M. Evaluating the Performance of Individual and Novel Ensemble of Machine Learning and Statistical Models for Landslide Susceptibility Assessment at Rudraprayag District of Garhwal Himalaya. Appl. Sci. 2020, 10, 3772. [Google Scholar] [CrossRef]
- Ouedraogo, I.; Defourny, P.; Vanclooster, M. Application of random forest regression and comparison of its performance to multiple linear regression in modeling groundwater nitrate concentration at the African continent scale. Hydrogeol. J. 2018, 27, 1081–1098. [Google Scholar] [CrossRef]
- Honarbakhsh, A.; Tahmoures, M.; Tashayo, B.; Mousazadeh, M.; Ingram, B.; Ostovari, Y. GIS-based assessment of groundwater quality for drinking purpose in northern part of Fars province, Marvdasht. J. Water Supply Res. Technol. 2019, 68, 187–196. [Google Scholar] [CrossRef]
- Tian, H.; Liang, X.; Gong, Y.; Qi, L.; Liu, Q.; Kang, Z.; Sun, Q.; Jin, H. Health Risk Assessment of Nitrate Pollution in Shallow Groundwater: A Case Study in China. Pol. J. Environ. Stud. 2019, 8, 827–839. [Google Scholar] [CrossRef]
- NejatiJahromi, Z.; Nassery, H.R.; Hosono, T.; Nakhaei, M.; Alijani, F.; Okumura, A. Groundwater nitrate contamination in an area using urban wastewaters for agricultural irrigation under arid climate condition, southeast of Tehran, Iran. Agric. Water Manag. 2019, 221, 397–414. [Google Scholar] [CrossRef]













| Number of Wells | Mean | Minimum | Maximum | Standard Deviation |
|---|---|---|---|---|
| 67 | 20.029 | 2.23 | 56.74 | 15.50 |
| Variables | Train Data | Test Data | ||||||
|---|---|---|---|---|---|---|---|---|
| Mean | SD | Min | Max | Mean | SD | Min | Max | |
| Altitude (m) | 1616.13 | 33.28 | 1568.00 | 1694.00 | 1615.15 | 26.36 | 1567.00 | 1663.00 |
| K (mg/lit) | 0.03 | 0.04 | 0.01 | 0.11 | 0.02 | 0.03 | 0.01 | 0.10 |
| Na (mg/lit) | 0.44 | 0.29 | 0.10 | 1.30 | 0.39 | 0.25 | 0.10 | 1.10 |
| Plan curvature | −0.03 | 0.30 | −1.13 | 0.64 | −0.02 | 0.35 | −0.85 | 0.82 |
| Profile curvature | 0.05 | 0.31 | −0.58 | 1.09 | −0.06 | 0.31 | −0.73 | 0.56 |
| Pizometric depth (m) | 55.04 | 33.95 | 12.58 | 171.04 | 57.72 | 29.31 | 6.84 | 110.34 |
| Rainfall (mm) | 381.97 | 81.26 | 254.10 | 503.02 | 383.03 | 73.45 | 267.03 | 498.84 |
| Distance from residential (m) | 1025.03 | 710.90 | 30.00 | 3777.74 | 956.73 | 675.58 | 42.43 | 3606.24 |
| Distance from river (m) | 1568.35 | 1399.89 | 0.00 | 5193.12 | 1559.50 | 1555.95 | 84.85 | 5730.08 |
| Slope (%) | 6.36 | 4.27 | 1.32 | 21.29 | 6.91 | 4.92 | 1.32 | 18.49 |
| TWI | 6.90 | 2.40 | 3.84 | 15.64 | 6.95 | 1.30 | 4.75 | 9.69 |
| NO3 (mg/lit) | 20.99 | 16.62 | 2.23 | 56.74 | 18.23 | 12.23 | 4.82 | 49.83 |
| Row | Variables | VIF | Tolerance |
|---|---|---|---|
| 1 | Altitude | 3.72 | 0.27 |
| 2 | Slope | 1.12 | 0.89 |
| 3 | Plan curvature | 1.95 | 0.51 |
| 4 | Profile curvature | 2.01 | 0.49 |
| 5 | Rainfall | 4.44 | 0.22 |
| 6 | Piezometric depth | 1.39 | 0.72 |
| 7 | Distance from residential | 1.18 | 0.84 |
| 8 | Distance from river | 1.22 | 0.82 |
| 9 | K | 2.58 | 0.39 |
| 10 | Na | 2.24 | 0.45 |
| 11 | TWI | 1.25 | 0.67 |
| Models | Stage | Parameters | |||
|---|---|---|---|---|---|
| R2 | RMSE | MAE | NSE | ||
| Cubist | Training | 0.96 | 3.52 | 2.52 | 0.95 |
| Validation | 0.87 | 5.18 | 4.06 | 0.81 | |
| SVM | Training | 0.94 | 4.24 | 2.73 | 0.94 |
| Validation | 0.74 | 6.07 | 5.07 | 0.74 | |
| RF | Training | 0.96 | 3.66 | 2.72 | 0.95 |
| Validation | 0.89 | 4.24 | 3.55 | 0.87 | |
| Bayesian ANN | Training | 0.88 | 5.89 | 4.56 | 0.88 |
| Validation | 0.79 | 5.91 | 4.67 | 0.75 | |
| Row | Variables | Importance Value |
|---|---|---|
| 1 | Altitude | 2.35 |
| 2 | Slope | 0.91 |
| 3 | Plan curvature | 0.74 |
| 4 | Profile curvature | 0.67 |
| 5 | Rainfall | 3.15 |
| 6 | Piezometric depth | 1.09 |
| 7 | Distance from residential | 0.86 |
| 8 | Distance from river | 0.98 |
| 9 | K | 6.09 |
| 10 | Na | 1.84 |
| 11 | TWI | 1.01 |
© 2020 by the authors. Licensee MDPI, Basel, Switzerland. This article is an open access article distributed under the terms and conditions of the Creative Commons Attribution (CC BY) license (http://creativecommons.org/licenses/by/4.0/).
Share and Cite
Band, S.S.; Janizadeh, S.; Pal, S.C.; Chowdhuri, I.; Siabi, Z.; Norouzi, A.; Melesse, A.M.; Shokri, M.; Mosavi, A. Comparative Analysis of Artificial Intelligence Models for Accurate Estimation of Groundwater Nitrate Concentration. Sensors 2020, 20, 5763. https://doi.org/10.3390/s20205763
Band SS, Janizadeh S, Pal SC, Chowdhuri I, Siabi Z, Norouzi A, Melesse AM, Shokri M, Mosavi A. Comparative Analysis of Artificial Intelligence Models for Accurate Estimation of Groundwater Nitrate Concentration. Sensors. 2020; 20(20):5763. https://doi.org/10.3390/s20205763
Chicago/Turabian StyleBand, Shahab S., Saeid Janizadeh, Subodh Chandra Pal, Indrajit Chowdhuri, Zhaleh Siabi, Akbar Norouzi, Assefa M. Melesse, Manouchehr Shokri, and Amirhosein Mosavi. 2020. "Comparative Analysis of Artificial Intelligence Models for Accurate Estimation of Groundwater Nitrate Concentration" Sensors 20, no. 20: 5763. https://doi.org/10.3390/s20205763
APA StyleBand, S. S., Janizadeh, S., Pal, S. C., Chowdhuri, I., Siabi, Z., Norouzi, A., Melesse, A. M., Shokri, M., & Mosavi, A. (2020). Comparative Analysis of Artificial Intelligence Models for Accurate Estimation of Groundwater Nitrate Concentration. Sensors, 20(20), 5763. https://doi.org/10.3390/s20205763

