Abstract
Asian cultivated rice (Oryza sativa L.), domesticated from Asian wild rice, is a staple food crop for populations around the world. Asian cultivated rice has undergone physiological changes in the process of its evolution from Asian wild rice, and the closely related rhizosphere microorganisms may have changed in the process of plant domestication. However, the rhizosphere microorganisms of different Asian wild rice species and their related indica and japonica cultivated rice have not yet been illustrated clearly. This study aimed to illustrate the microbial community structures in the rhizosphere of Asian wild rice (common wild rice, nivara wild rice, medicinal wild rice, and spotted wild rice) and Asian cultivated rice (indica and japonica accessions) through the high-throughput sequencing of 16S rDNA, ITS amplifiers and metagenomic data. The results showed that there were significant differences between wild and cultivated rice in their rhizosphere microbial community structures. In view of the indica and japonica rice, the bacterial and fungal community structures of indica rice with the nivara wild rice and medicinal wild rice were more similar than the japonica rice species. The indica and japonica rice had the lowest proportion of Actinobacteria than the wild rice species, and indica rice has the highest relative abundance of Nitrospira. As for the microbial functions, methane metabolism and pyruvate metabolism were found to be the common pathway enriched in the rhizosphere of common and nivara wild rice in comparison with the indica and japonica rice; in addition, though it was found that the relative abundances of the pathogenic fungi in the rhizosphere soil of indica and japonica rice were significantly lower than that of the wild rice, the relative abundances of Magnaporthales and Ustilaginales were significantly higher in indica and japonica rice than that of the wild rice. This study is expected to provide a theoretical basis for the development and utilization of rhizosphere microbial resources for wild and cultivated rice.
1. Introduction
Rice, which supports more than 50% of the world’s population, is one of the most important food crops [1,2,3]. Scholars have divided the 23 species of Oryza into 10 different genomic types. These Oryza species include six kinds of diploids and four kinds of allotetraploids [4]. Among them, common wild rice (Oryza rufipogon) and nivara wild rice (O. nivara), species that are widely distributed in the tropics and subtropics of Asia, are considered to be the ancestors of Asian cultivated rice [5]. Medicinal wild rice (O. officinalis) is the largest species group in Oryza, which belongs to the CC genome species. This type of rice has both diploids and allotetraploids and is found in Asia and Africa. Moreover, medicinal wild rice can be utilized in breeding programs for the improvement of cultivated rice. Spotted wild rice (O. punctata) is the only type of diploid wild rice belonging to the BB genome species. O. punctata is a type of medicinal wild rice and prefers a high temperature. This variety of rice is mainly distributed in Africa and has many excellent agronomic characteristics [6,7,8]. The evolution of Asian wild rice occurred through the following three main steps: first, the perennial and annual ecotypes of wild rice and Asian cultivated rice (O. sativa) became differentiated; after that, cultivated rice varieties differentiated into indica and japonica types [9]. Indica rice is mainly distributed in the tropics, while japonica rice is mainly distributed in temperate regions, with narrow leaves, a dense green color, short and thick grains, few tillers (while remaining relatively cold tolerant), and good edible quality compared to indica rice [10]. Wild rice contains many excellent genes providing disease resistance, insect resistance, stress resistance, high yield, and high quality in long-term natural selection, which is an important germplasm process for improving the variety of cultivated rice [2,11,12]. Many studies have shown the genomic differences between wild rice and cultivated rice. Researchers also analyzed the differences in the genetics, mitochondria, and chloroplasts between wild and cultivated rice [13]. The inter-spacer length polymorphism of the ribosomal DNA (rDNA) gene was also investigated, which revealed the origin and evolution of cultivated rice and the genetic and molecular evolution mechanism of the rDNA gene spacer in rice [14]. Studies also showed that the rhizomicrobiomes play important roles in plant growth, evolution and adapting to the environment [15,16]. The plants’ genotypes and traits are closely related with their rhizosphere microbiomes [17]. It is suggested that the beneficial rhizobacteria were present in the wild plant as well as the beneficial traits presented [12,18,19,20,21,22], and the rhizobacteria may regulate the plant growth and metabolism directly or indirectly [12,20]. It was proved that the mutual relationship between wild plant and arbuscular mycorrhizal fungi (AMF) was closer than the domesticated plant [22]. However, few studies showed the effects of rice domestication on rhizosphere microorganisms. Shi et al. (2019) found that the relationship between fungi and bacteria in cultivated crops was stronger than that in wild relatives [23]. Their research also showed that wild varieties had higher beneficial symbiote content and lower pathogen content than cultivated varieties [23]. Many studies have found that microorganisms such as endophytic AMF and rhizobium, which interact closely with their host plants, also play important roles in the evolution of their host plant species [24,25,26,27]. Study also proved that the domestication of Phaseolus vulgaris changed the abundance of the Actinobacteria and Bacteroidetes in the plant rhizosphere [19]. Some of these beneficial microbes can also improve the stress resistance of plants by interacting with host plants, especially in wild species [24,25,26,27,28].
Furthermore, the deposition and secretion of roots can affect the composition of microbial communities in the rhizosphere; inversely, microbial activities will affect the growth and health of the host plants [15,20]. Different host plant genotypes can also lead to differences in microbial communities [17], and the rhizomicrobiomes can help plant in resisting abiotic or biotic stresses [15]. The effects of domestication and breeding on plant physiology and development will change the microhabitats where root-related microorganisms live [29]. In the transition from wild species to modern varieties, some ideal microorganisms, such as rhizosphere growth-promoting bacteria, which are beneficial to plant stress resistance, may be lost, and this change may affect the microbial population related to rice roots.
Using the high-throughput sequencing technique, the purpose of this study was to determine the differences between the rhizosphere microflora of Asian wild rice and cultivated rice. We hypothesized that (1) there are differences between the rhizosphere microbial communities in different species of Asian wild rice and cultivated rice and that these differences reflect the directional selection of crops to microorganisms, and that (2) wild rice has stronger selectivity than cultivated rice to functional microorganisms.
2. Materials and Methods
2.1. Research Materials
We used four wild rice varieties, nivara wild rice (Oryza nivara), medicinal wild rice (O. officinalis), common wild rice (O. rufipogon), spotted wild rice (O. punctata), and two varieties of cultivated rice Meitezhen indica rice (O. sativa subsp. indica) and Daohuaxiang japonica rice (O. saliva subsp. japonica) in the experiment. The seeds were provided by the Northeast Institute of Geography and Agriculture, Chinese Academy of Sciences.
2.2. Pot Experiments
A pot experiment was set up in the greenhouse of the research institution of the corresponding author (125°23′44″ E and 43°59′58″ N, Jilin Province, China). Black soil, perlite, and ruby were used as substrates with a volume ratio of 2 to 1. The black soil was planted with nivara wild rice, medicinal wild rice, common wild rice, spotted wild rice, Meitzhen indica rice, and Daohuaxiang japonica rice, respectively. There was no significant difference in the soil physical and chemical indexes for pot cultivation, and there were 4 repeats in each group. The seeds were soaked in 70% alcohol for 5 min and then washed with distilled water 3 times. Then, the seeds were soaked in 1% sodium hypochlorite for 10 min. After that, the seeds were rinsed thoroughly using deionized water and separated in a Petri dish containing wet filter paper for germinating at 25 °C in dark for 3 days. Lastly, the germinated seeds were then transplanted into pots under appropriate growth conditions. Each pot contained 3 seedlings.
2.3. Extraction of Soil DNA and High-Throughput Sequencing
The plants were extracted from the pots at the flowering stage. Then, the rhizosphere soil of the plants was obtained by shaking off the soil near the rhizosphere and peeling off the soil attached to the roots with brushes and small brushes. Next, the soil was placed on clean filter paper. The DNA of rhizosphere microorganisms was extracted from 0.5 g soil in each sample using a FastDNA Spin Kit (MPBioLaboratory, Carlsad, CA, USA) and then dissolved in sterilized distilled water. The DNA concentration was qualitatively and quantitatively detected using a NanoDrop2000 device (Thermo-Science, Waltham, MA, USA). For bacteria, the V3–V4 region of the 16S rRNA gene was selected for detection (the sequences of the paired primers are 341F with the sequence 5′-ACTCCTACGGGAGGCAGCA-3′ and 785R with the sequence 5′-GGACTACHVGGGTWTCTAAT-3′). For fungi, the ITS1 region was selected (paired primer sequences were ITS1F 5′-CTTGGTCATTAGAGGAAGTAA-3′ and ITS2R 5′-GCTGCGTTCTTCATCGATGC-3′). The PCR-amplified fragments were then used to construct the library and sequenced on the HiSeq platform (lllumina, San Diego, CA, USA). The original sequencing data were qualified, and the bar codes and primers were removed using the QIIME software (http://qiime.org/, accessed on 19 November 2018). The sequences of the clean data were classified by the ribosomal database project (RDP) classifier (https://sourceforge.net/jects/rdp-classfier/, accessed on 19 November 2018) (confidence estimation > 50). USEARCH (http://www.drive5.com/usearch/, accessed on 19 November 2018) was used to classify the operational taxon units (OTUs) after removing a single read based on similarity of 97%.
2.4. Comparisons of Bacterial Functions of the Wild and Cultivated Rice
To analyze the bacterial functions of the rhizosphere in indica, japonica, common wild rice and nivara wild rice, we cited the metagenomic data from Tian et al., 2022 [30]. Additionally, the data was stored in NCBI with the accession number SRP279403. The functional comparisons of the rhizosphere bacteria of wild and cultivated rice were as follows: nivara wild rice vs. indica rice (On vs. Osi), nivara wild rice vs. japonica rice (On vs. Osj), common wild rice vs. indica rice (Or vs. Osi), and common wild rice vs. japonica rice (Or vs. Osj).
2.5. Data Analysis
Considering the UniFrac distance, the vegan and ape packages in the R software (version 4.0.3) were used to analyze the principal-coordinate analysis (PCoA) by comparing the phylogenetic relationships based on unique OTUs. Then, we used the R software to carry out permutational multivariate ANOVA (PERMANOVA). Linear discriminant analysis of effect size (LEfSe) based on the linear discriminant analysis (LDA) threshold 3.0 was used for the difference of the taxa in the samples as the website (http://huttenhower.sph.harvard.edu/galaxy/, accessed on 19 October 2021). The alpha diversity indexes (Simpson, Chao1, and Shannon) of the richness and diversity of bacterial and fungal communities were calculated via QIIME (http://qiime.org/, accessed on 19 November 2018), and the fungal function after annotation was predicted using FUNGuild (website: http://www.stbates.org/cuds/app.php, accessed on 19 October 2021). To explore the differences in microorganisms between different rice varieties, the levels of bacteria and fungi were quantified using the R software, and the significant differences between each group were compared via IBM SPSS statistics 26.0 based on single-factor analysis of variance (ANOVA).
3. Result
3.1. Raw Sequencing Data and Alpha Diversity
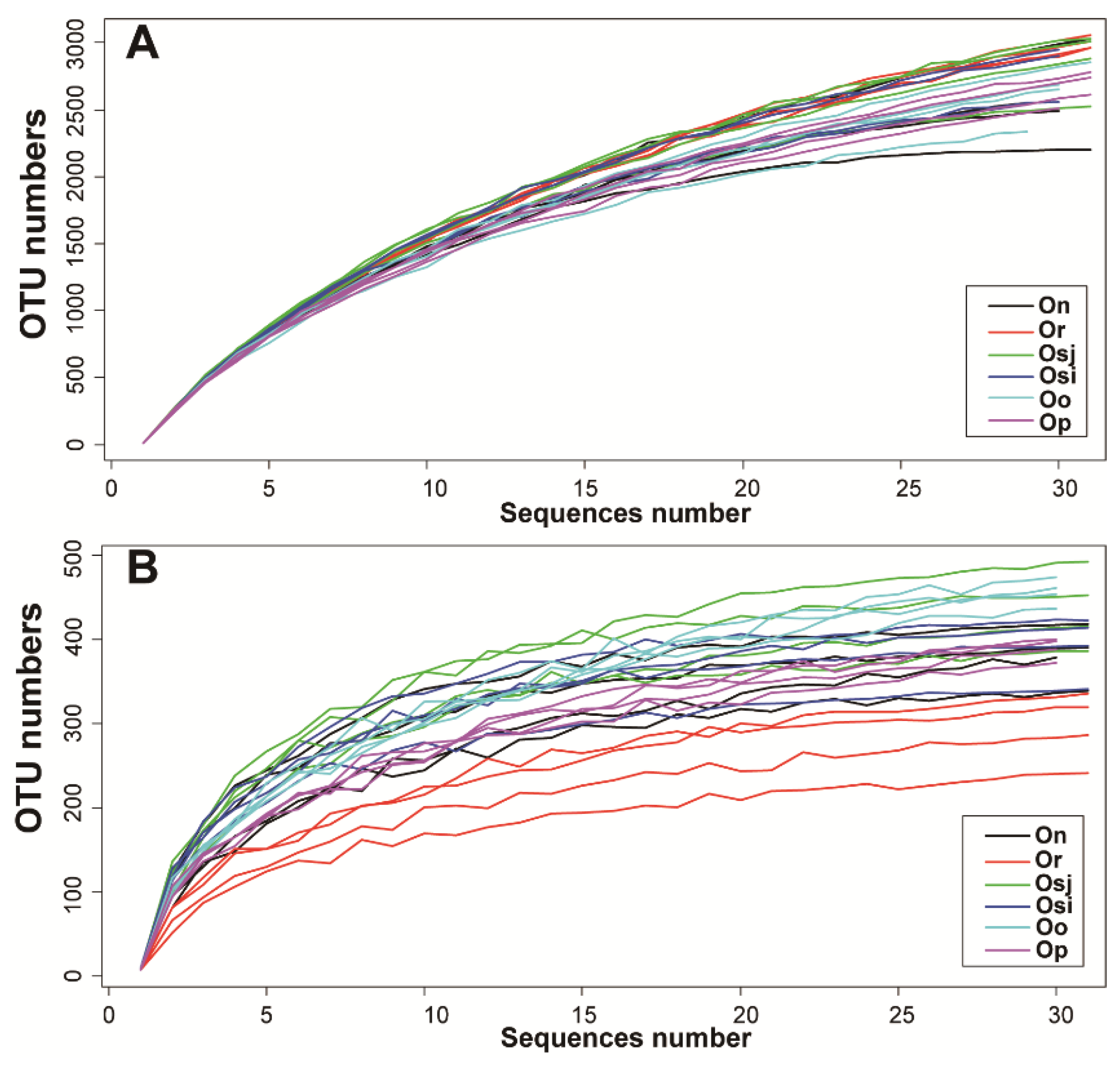
High throughput sequencing for the bacterial 16S rRNA gene initially obtained about 1,060,196 original paired readings, and the remaining 927,289 readings were selected by QIIME1.9.1 (http://Qiime.org/, accessed on 19 November 2018) (Table 1). For fungal ITS amplification sequencing, a clean read of 1,107,813 was obtained from the filtered original sequence data (Table 1). Here, although the bacterial dilution curve still shows an upward trend, the curve is nearly flat; thus, the curve can be estimated to reach saturation (Figure 1A). In the fungal dilution curve, the curves of all samples basically reached a steady state, indicating that the sequence achieved saturation for all OTUs (Figure 1B).
Table 1.
Read sequences of fungal and bacterial samples in the On, Or, Osi, Osj, Oo, and Op group. On, nivara wild rice; Or, common wild rice; Osi, Meitezhen indica rice; Osj, Daohuaxiang japonica rice; Oo, medicinal wild rice; Op, spotted wild rice.
Figure 1.
The sparse curve of bacterial (A) and fungal (B) communities in the rhizospheres of the On, Or, Osi, Osj, Oo, and Op groups; each group had 4 repeats (1, 2, 3, 4) (n = 4). On, nivara wild rice; Or, common wild rice; Osi, Meitezhen indica rice; Osj, Daohuaxiang japonica rice; Oo, medicinal wild rice; Op, spotted wild rice; OTU, operational taxon unit.
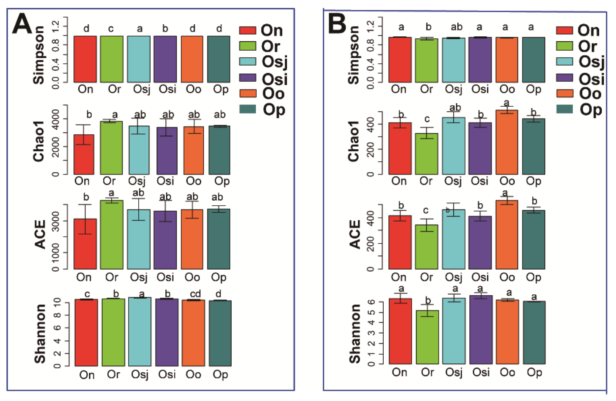
The results of the bacterial alpha diversity analysis showed that the difference in the Chao1 index among the groups was significant, and the value of Oo was the highest (Figure 2). Based on a comparison of the Shannon index, we found that the bacterial Shannon indexes in the Or, Osj and Osi groups were higher than those in the On, Oo and Op groups (Figure 2A). Additionally, the Simpson index was significantly higher in Osj and Osi groups than that in Or, On, Oo and Op (Figure 2A). The Ace index is often used to evaluate the richness and evenness of species composition in samples; no significant differences were observed among Osj, Or, Osi, Oo, and Op groups (Figure 2A). The community abundance of fungi was found to be much smaller than that of bacteria (Figure 2A,B). In terms of fungal alpha diversity, the Shannon and Simpson indexes were significant lower in Or than other groups, while there was no significant difference among On, Osj, Osi, Oo, and Op groups (Figure 2B); while the Chao1 index presented a trend of (Oo, Osj) > (On, Osi, Op) > Or (Figure 2B), the ACE index of the Oo group was much higher than that of the other groups (Figure 2B).
Figure 2.
Alpha diversity analysis of the bacterial (A) and fungal (B) communities in the rhizospheres of the On, Or, Osi, Osj, Oo, and Op groups. There were 4 repeats (1, 2, 3, 4) in each group (n = 4). On, nivara wild rice; Or, common wild rice; Osi, Meitezhen indica rice; Osj, Daohuaxiang japonica rice; Oo, medicinal wild rice; Op, spotted wild rice. The significant differences among samples at p < 0.05 were represented with different letters above the error bars.
3.2. Study on the Beta Diversity of Microorganisms in the Plants’ Rhizospheres
The results for the PCoA analysis of the community structures of bacteria and fungi showed that the four repeats of the On, Or, Osi, Osj, Oo, and Op groups clustered together in their respective groups (Figure 3A,B), indicating that samples of the same group were similar in their bacterial and fungal community structures. According to the results of the PCoA and PERMANOVA analyses, there were significant differences in β diversity among the groups, indicating that the rhizosphere communities of bacteria and fungi were significantly different in different groups (Figure 3C,D). Results showed that the rhizosphere bacterial community structures of On, Or, and Oo were similar (Figure 3A), while the rhizosphere fungal community structure of On, and Oo were similar (Figure 3B). However, compared to Osj, the bacterial and fungal community structures of Osi were more similar with On and Oo than that of Osj (Figure 3). This result suggests that indica rice retained more similar rhizomicrobial communities compared to japonica and medicinal wild rice in its domestication process, while the rhizomicrobial communities of indica rice changed significantly through the domestication process.
Figure 3.
PCoA analysis of bacterial (A) and fungal (B) communities in the rhizospheres of the On, Or, Osi, Osj, Oo, and Op groups, and PERMANOVA of the Bray–Curtis distance between bacterial (C) and fungal (D) communities in the rhizospheres of the On, Or, Osi, Osj, Oo, and Op groups. PCoA (principal coordinate analysis) was based on the weighted UniFrac distance between the bacteria and fungi, with 4 repeats in each group (1, 2, 3, 4). On, nivara wild rice; Or, common wild rice; Osi, Meitezhen indica rice; Osj, Daohuaxiang japonica rice; Oo, medicinal wild rice; Op, spotted wild rice.
3.3. Differences between Bacteria and Fungi at the Phylum Level
Acidobacteria, Chloroflexi, Proteobacteria, and Actinobacteria account for a large proportion of bacteria (Figure 4A), and Firmicutes, Cyanobacteria, Bacteroidetes, Planctomycetes, Nitrospirae, and Gemmatimonadetes are the second most common (Figure 4A). In terms of fungi, Ascomycota was the most abundant in each group, with a total proportion of 72.77%, followed by Basidiomycota, Chytridiomycota, Glomeromycota, and Zygomycota (Figure 4B). The results also showed that the distribution of bacteria and fungi differed in the rhizospheres of the six different rice varieties. Specifically, the abundance of Cyanobacteria in the On group (1.12%) was significantly higher than that in the other groups (Oo 0.49%) and was present in a very low proportion in the Osj, Oo, and Op groups (0.01%). Moreover, Firmicutes bacteria preferred to colonize in the rhizosphere of the Op group (2.07%) (Figure 4C). Unlike the dominant position of Actinobacteria in the On, Or, Osi, Osj, and Oo groups, the largest proportion of Op was Proteobacteria (37.24%), which was significantly higher than the proportion of the other groups (23.10–27.36%) (Figure 4C). Based on a comparison of the 10 main types of bacterial phyla, Osj and Oo, the similarity of the bacteriophyte level was found to be high, and there may be a genetic relationship between them. The fungal abundance of the Osi group was significantly different than that of the other groups. Relatively speaking, Ascomycota was the dominant phylum in the Osj group, accounting for 93.95% of the detectable abundance in this group (Figure 4D), and had no significant difference compared to the On, Or, Oo, and Op groups (Figure 4D). It was observed that the abundance of Basidiomycota in the Osj group was much lower than that of the other rice varieties. Moreover, the difference in the microbial community between Osi and Osj also reflects the great difference between japonica rice and indica rice. The relative abundance of Rozellomycota was higher in the On group than in the other groups, and the Oo and Op groups had greater similarities at the level of fungal phyla. For example, Ascomycota, Basidiomycota, Chytridiomycota, Glomeromycota, and Rozellomycota had similar abundance. The On and Or groups both presented similarly high Chytridiomycota abundance, but there was no significant difference among other fungal phyla (Figure 4D). It can thus be inferred that there may be homology between Oo and Op groups, and between On and Or groups. The differences of the bacterial and fungal relative abundances in the samples were analyzed based Lefse analysis. For bacteria, result showed that the taxa in phylum level Chloroflexi, Cyanobacteria and Bacteroidetes, class level Alphaproteobacteria, Deltaproteobacteria, Anaerolineae and Solibacteres, order level Anaerolineales, Myxococcales, Solibacterales, Rhizobiales and Sphingobacteriales, family level Anaerolineaceae, and genus level Bryobacter were in higher relative abundance in Osj than in other groups; phylum level Nitrospirae, class level Nitrospira, order level Nitrospirales, family level Nitrospiraceae, order level Chloroflexales, and genus level Roseiflexus were in higher relative abundance in Osi than in other groups; phylum level Acidobacteria, order level Micromonosporales, and family level Micromonosporaceae were in higher relative abundances in Or than in other groups; phylum level Firmicutes, class level Gammaproteobacteria, Betaproteobacteria, and Cytophagia, order level Pseudomonadales, Rhodocyclales, Xanthomonadales and Cytophagales, family level Comamonadaceae, Pseudomonadaceae and Rhodocyclaceae, and genus level Pseudomonas, and Burkholderiales were in higher relative abundances in Op than in other groups; phylum level Actinobacteria, Gemmatimonadetes; class level Thermoleophilia, and Gemmatimonadetes, order level Gaiellales, Solirubrobacterales, Rhodocyclales, and Gemmatimonadales, and family level Rhodocyclaceae were in higher relative abundances in Oo than in other groups; phylum level Actinobacteria, class level Thermomicrobia, Rubrobacteria, order level Rubrobacterales, Frankiales and Micromonosporales, family level Micromonosporaceae and Geodermatophilaceae, and genus level Rubrobacter and Blastococcus were in higher relative abundances in On than in other groups (Figure 5A).
Figure 4.
The relative abundances of fungi (A) and bacteria (B) in the rhizosphere microorganisms of the On, Or, Osi, Osj, Oo, and Op groups and the bacterial (C) and fungal (D) phylum levels in each group. There were 4 repeats in each group (n = 4). On, nivara wild rice; Or, common wild rice; Osi, Meitezhen indica rice; Osj, Daohuaxiang japonica rice; Oo, medicinal wild rice; Op, spotted wild rice. The significant differences among samples at p < 0.05 were represented with different letters above the error bars.
Figure 5.
The Lefse analysis based on relative abundances of fungi (A) and bacteria (B) in the rhizosphere microorganisms of the On, Or, Osi, Osj, Oo, and Op groups. There were 4 repeats in each group (n = 4). On, nivara wild rice; Or, common wild rice; Osi, Meitezhen indica rice; Osj, Daohuaxiang japonica rice; Oo, medicinal wild rice; Op, spotted wild rice.
For fungi, result showed that class level Lecanoromycetes, family level Sporormiaceae, and genus level Podospora and Dendroclathra were in higher relative abundances in Osj than in other groups; class level Dothideomycetes, Leotiomycetes, and Saccharomycetes, order level Pleosporales, Chaetosphaeriales, Saccharomycetales, and Helotiales, family level Chaetomiaceae, Myxotrichaceae, and Amanitaceae, and genus level Amanita were in higher relative abundances in Osi than in other groups; phylum level Chytridiomycota, class level Chytridiomycetes and Sordariomycetes, order level Sordariales and Olpidiales, family level Lasiosphaeriaceae and Olpidiaceae, and genus level Zopfiella, and Rhizopus were in higher relative abundances in Or than in other groups; phylum level Basidiomycota, class level Agaricomycetes, order level Hypocreales, Auriculariales, and Sebacinales, family level Glomerellaceae, and genus level Colletotrichum, Phoma, Ilyonectria, and Staphylotrichum were in higher relative abundances in Op than in other groups; order level Agaricales, Cantharellales, Russulales, and Mortierellales, family level Nectriaceae, Psathyrellaceae, Mortierellaceae, Bondarzewiaceae, and Chaetomiaceae, and genus level Talaromyces, Mortierella, Gloiodon, and Pseudogymnoascus were in higher relative abundances in Oo than in other groups; phylum level Rozellomycota, class level Eurotiomycetes, order level Eurotiales, Xylariales, and Lecanorales, family level Trichocomaceae, Ophiocordycipitaceae, and Corynesporascaceae, and genus level Penicillium, Monographella, Purpureocillium, Myrothecium, and Corynespora were in higher relative abundances in On than in other groups (Figure 5B).
3.4. Functional Analysis of Rhizosphere Bacteria of the Wild and Cultivated Rice
To analyze the bacterial functions of the rhizosphere in indica, japonica, common wild rice and nivara wild rice, we cited the metagenomic data from Tian et al., 2022 [30]. Additionally, the data was stored in NCBI with the accession number SRP279403. The functional comparisons of the rhizosphere bacteria of wild and cultivated rice were as follows: nivara wild rice vs. indica rice, nivara wild rice vs. japonica rice, common wild rice vs. indica rice, and common wild rice vs. japonica rice. The predicted genes based on metagenomics data were annotated in KEGG. KEGG enrichments of the different represented genes (Figure 6) showed that the pathways methane metabolism, pyruvate metabolism, glycolysis/gluconeogenesis, purine metabolism, etc. are enriched in nivara wild rice rhizobacteria versus indica rice rhizobacteria (Figure 6A); methane metabolism, carbon fixation pathways in prokaryotes, phenylalanine, tyrosine and tryptophan biosynthesis, glycolysis/gluconeogenesis, etc. are enriched in common wild rice rhizobacteria versus japonica rice rhizobacteria (Or vs. Osj) (Figure 6B); pyruvate metabolism, methane metabolism, glycolysis/gluconeogenesis, purine metabolism, etc. are enriched in nivara wild rice rhizobacteria versus japonica rice rhizobacteria (On vs. Osj) (Figure 6C); methane metabolism, ABC transporters, pyruvate metabolism, etc. are enriched in common wild rice rhizobacteria versus indica rice rhizobacteria (Or vs. Osi) (Figure 6D). Furthermore, methane metabolism and pyruvate metabolism were found to be the common pathway among the comparison of wild rice rhizobacteria and their cultivated rice rhizobacteria (Figure 6).
Figure 6.
KEGG enrichment analysis of wild rice versus cultivated rice based on up-regulated genes of rhizosphere microbiomes. Nivara wild rice versus indica (On vs. Osi) (A), common wild rice versus japonica (Or vs. Osj) (B), nivara wild rice versus japonica (On vs. Osj) (C), common wild rice versus indica (Or vs. Osi) (D). There were 4 repeats in each group (n = 4). On, nivara wild rice; Or, common wild rice; Osi, Meitezhen indica rice; Osj, Daohuaxiang japonica rice.
The prediction results of fungal function in the On, Or, Osi, Osj, Oo, and Op groups showed no significant difference in fungal OTU abundance between each group. The proportions of pathotroph fungi in the Or and On groups were the highest (Figure 7) than other plants. Saprotroph fungi were more abundant in the Op group and higher than the totals of pathotroph, saprotroph, and symbiotroph fungi in the other five Op groups; and the relative abundance of symbiotroph fungi was higher in Osj group that that of other groups. In general, though it was found that the relative abundances of the pathogenic fungi in the rhizosphere soil of indica and japonica rice were significantly lower than that of the wild rice, the relative abundances of Magnaporthales and Ustilaginales were significantly higher in indica and japonica rice than that of the wild rice.
Figure 7.
The proportion of pathotroph, saprotroph, and symbiotroph fungi (A) and the relative abundance of Magnaporthales and Ustilaginales (B) in the On, Or, Osi, Osj, Oo, and Op groups. On, nivara wild rice; Or, common wild rice; Osi, Meitezhen indica rice; Osj, Daohuaxiang japonica rice; Oo, medicinal wild rice; Op, spotted wild rice. The significant differences among samples at p < 0.05 were represented with different letters above the error bars.
4. Discussion
4.1. Diversity of Bacteria and Fungi between Different Rice Varieties
It is well known that wild rice has accumulated rich genetic diversity and possesses higher saline–alkali tolerance, drought tolerance, and disease resistance than cultivated rice [31]. Studying the characteristics of wild rice is beneficial to the improvement of cultivated rice. There are currently many reports on the differences between wild and cultivated rice genes [13]. Researchers have analyzed the differences between the mitochondria and chloroplasts in wild and cultivated rice and explained the differences in genetic differentiation between wild rice and cultivated rice [13]. Along with the domestication of the rice, the selection and mutual relationship of the plant and rhizomicrobiomes also evolved together [19]. Additionally, the microorganisms are the most basic form of life on Earth. In the growth and development of plants, microorganisms will accompany them through the whole life cycle, including plant metabolism and nutrient absorption, which require the help of microorganisms [15,16,28]. Plant–microbial interactions play a vital role in maintaining plant and soil productivity under stress [32]. The different growth environments and varieties of rice not only lead to different selectivity to microorganisms but also determine the differences of microorganisms in the rhizosphere of rice [33,34,35,36]. In this study, we compared the rhizosphere microbial communities of different rice varieties and found significant differences between wild and cultivated rice in the alpha diversity and composition of rhizosphere bacteria and fungi. Shenton et al. (2016) showed that root-related bacterial communities have small but significant differences depending on the plant genotypes [37]. The authors found that the differences in bacteria related to different plant genotypes were only weakly related to the phylogenetic distance between wild species and cultivated varieties of Oryza. This indicates that the root traits selected during domestication may have a significant impact on the composition of rhizosphere microflora. Shi et al. (2019) showed that the relationship between fungi and bacteria in cultivated crops is stronger than that in wild relatives [23]. The research also showed that wild varieties have higher beneficial symbiote content and lower pathogen content than cultivated varieties. The effect of crop domestication on the fungal community was greater than that on the bacterial community and improved the microbial relationship in the rhizosphere of cultivated crops. It can be reasonably assumed that the rhizosphere microflora of wild crops is more effective than their cultivated relatives in promoting the growth and survival of host plants under biotic and abiotic stress. However, in this study, we showed that the rhizosphere bacterial community structures of nivara wild rice, common wild rice, medicinal wild rice, and indica rice were similar (Figure 3A), while the rhizosphere fungal community structure of nivara wild rice, medicinal wild rice, and indica rice were similar (Figure 3B). In general, the bacterial and fungal community structures of nivara wild rice, medicinal wild rice, and indica rice were found to be more similar than those of other wild rice species and japonica rice (Figure 3). This result suggests that japonica rice retained more similar rhizomicrobial communities compared to nivara and medicinal wild rice in its domestication process, while the rhizomicrobial communities of indica rice changed significantly through the domestication process.
4.2. Potential Functions of Bacteria and Fungi in Cultivated and Wild Rice
The results showed that Actinobacteria and Proteobacteria accounted for a large proportion in each group, which was also observed in Aslam’s experiment [38]. In addition to rice, Actinobacteria also occupies a major position in soybeans [39]. In this study, Ascomycota, Basidiomycota, and Chytridiomycota were shown to be the dominant fungi in both wild and cultivated rice groups, and Ascomycota accounted for the largest proportion in each group (Figure 4A). Although the relative abundance was low, Zygomycota could still be detected in each group (Figure 4B). Comparing the microbial differences in each group indicates that the microbial communities of medicinal wild rice and nivara wild rice were similar (Figure 4A,B). It is speculated that these differences are due to the close genetic relationship between the two samples [7].
In this study, it was found that Actinobacteria accounted for the largest proportion of bacteria in six kinds of rice (Figure 4A). This study showed that Actinobacteria is a common microbial community in terrestrial and marine environments [40]. Most endophytic Actinobacteria showed the potential to promote plant growth, including antibacterial activity against test bacteria and plant pathogenic fungi, the dissolution of phosphates, and the production of biological stimulants (ammonia, indole-3-acetic acid, and iron carriers) and biocatalysts (amylase, cellulase, chitinase, lipase, and protease) [41]. In our study, indica and japonica rice had the lowest proportion of Actinobacteria than the wild rice species. It can thus be inferred that japonica and indica rice, in its natural evolution, have decreased the abundance of the beneficial Actinobacteria possessed by wild varieties. It may indicate that the domestication has decreased the abundance of Actinobacteria. However, Pérez-Jaramillo et al. (2017) showed that the domestication of Phaseolus vulgaris decreased the abundance of Actinobacteria. The inconsistency of the result may be due to the plant genus not being the same as the selection for the rhizomicrobiomes along with the domestication. The relative abundance of Frankiales, an order that can fix nitrogen from the air [42], was in highest relative abundance in nivara wild rice. This result may suggest that the diazotrophs with beneficial bacteria may help nivara wild rice in nitrogen utilization. However, indica rice has the highest relative abundance of Nitrospira, the genus that can help plant utilize nitrogen more effectively [43]. This result may help to illustrate that why indica plant can use nitrogen more effectively that japonica [44]. Furthermore, methane metabolism and pyruvate metabolism were found to be the common pathway enriched among the comparisons of wild rice rhizobacteria and their cultivated rice rhizobacteria (Figure 6), which indicated that the methane metabolism in the rhizobacteria of the common and nivara wild rice were more active than that of indica and japonica. Additionally, this result can certify the result of Tian et al. (2022) [30].
Similarly, the largest group of fungi, Ascomycota, maintained the highest proportion in japonica rice. Experiments showed that Ascomycota would be enriched continuously with long-term rice planting. Because of the high proportion of humic fungi in Ascomycota, these fungi may be more beneficial to the improvement of soil fertility [45]. They were also more beneficial to plant growth, which further indicates that wild rice has retained good genetic quality under ongoing natural and human-directed domestication. Furthermore, it showed that the pathogenic fungi were more enriched in nivara and common wild rice than other Oryza species. However, by comparing the most important pathogenic fungi, it showed that Magnaporthales and Ustilaginales were more enriched in the rhizosphere of japonica and indica rice. This result indicated that cultivated rice has enriched their pathogenic fungi Magnaporthales and Ustilaginales when they were growing in the soil, which may cause rice disease in the field.
5. Conclusions
In this study, we found that the rhizosphere microbial community structures of the Asian wild rice species and their related indica and japonica cultivated rice were different. The bacterial and fungal community structures of indica rice were more similar with the nivara wild rice than japonica rice does, which indicated that the indica rice has a closer relationship with nivara wild rice in the domestication. The relative abundances of Actinobacteria in the rhizosphere of indica and japonica rice were significantly lower than that of the wild rice species. Furthermore, the relative abundance of Magnaporthales and Ustilaginales were significantly higher in indica and japonica rice than that of the wild rice.
Author Contributions
Conceptualization, L.T.; methodology, J.Z. (Jianfeng Zhang) and Z.Y.; validation; Y.C., J.Z. (Jiafan Zhang), S.L. and C.T.; formal analysis, L.T.; investigation, L.T. and J.Z. (Jianfeng Zhang); resources, L.T. and C.T.; data curation, L.T., J.Z. (Jianfeng Zhang) and Z.Y.; writing—original draft preparation, J.Z. (Jianfeng Zhang) and Z.Y.; writing—review and editing, L.T.; visualization, J.Z. (Jianfeng Zhang) and Z.Y.; supervision, L.T.; project administration, L.T.; funding acquisition, L.T. All authors have read and agreed to the published version of the manuscript.
Funding
This work was financially supported by the National Natural Science Foundation of China (42007043, 41920104008), Science and Technology Project for Black Soil Granary (XDA28020400, XDA28080200), Key Laboratory Foundation of Mollisols Agroecology (2020ZKHT-02), and Special Foundation for Basic Research Program in Wild China of CAS (XDA23070501).
Institutional Review Board Statement
Not applicable.
Informed Consent Statement
Not applicable.
Data Availability Statement
All raw and processed data are available on NCBI under the BioProject number PRJNA742474.
Acknowledgments
We would like to thank the staff at Shanghai Personal Biotechnology Co., Ltd. for advice on the data analysis.
Conflicts of Interest
The authors declare no conflict of interest.
References
- Wang, E.; Lin, X.; Tian, L.; Wang, X.; Ji, L.; Jin, F.; Tian, C. Effects of Short-Term Rice Straw Return on the Soil Microbial Community. Agriculture 2021, 11, 561. [Google Scholar] [CrossRef]
- Chang, J.; Shi, S.; Tian, L.; Leite, M.F.A.; Chang, C.; Ji, L.; Ma, L.; Tian, C.; Kuramae, E.E. Self-Crossing Leads to Weak Co-Variation of the Bacterial and Fungal Communities in the Rice Rhizosphere. Microorganisms 2021, 9, 175. [Google Scholar] [CrossRef]
- Ngalimat, M.S.; Mohd Hata, E.; Zulperi, D.; Ismail, S.I.; Ismail, M.R.; Mohd Zainudin, N.A.I.; Saidi, N.B.; Yusof, M.T. Plant Growth-Promoting Bacteria as an Emerging Tool to Manage Bacterial Rice Pathogens. Microorganisms 2021, 9, 682. [Google Scholar] [CrossRef]
- Aggarwal, S.K.; Neelam, K.; Jain, J.; Kaur, R.; Pannu, P.P.S.; Lenka, S.K.; Lore, J.S.; Singh, K. Identification of promising resistance sources against sheath blight from the annual wild species of rice Oryza nivara (Sharma et Shastry). Plant Genet. Resour. Charact. Util. 2019, 17, 554–558. [Google Scholar] [CrossRef]
- Gao, L.; Wei, C.; Yang, Q.; Hong, D.; Ge, S. Intra-Population Genetic Structure of Oryza rufipogon Griff. in Yunnan, China. J. Plant Res. 2001, 114, 107–113. [Google Scholar] [CrossRef]
- Jena, K.K.; Ballesfin, M.L.E.; Vinarao, R.B. Development of Oryza sativa L. by Oryza punctata Kotschy ex Steud. monosomic addition lines with high value traits by interspecific hybridization. Theor. Appl. Genet. 2016, 129, 1873–1886. [Google Scholar] [CrossRef] [PubMed]
- Kim, H.; Miguel, P.S.; Nelson, W.; Collura, K.; Wissotski, M.; Walling, J.G.; Kim, J.P.; Jackson, S.A.; Soderlund, C.; Wing, R.A. Comparative physical mapping between Oryza sativa (AA genome type) and O. punctata (BB genome type). Genetics 2007, 176, 379–390. [Google Scholar] [CrossRef]
- Kumar, K.; Neelam, K.; Singh, G.; Mathan, J.; Ranjan, A.; Brar, D.S.; Singh, K. Production and cytological characterization of a synthetic amphiploid derived from a cross between Oryza sativa and Oryza punctata. Genome 2019, 62, 705–714. [Google Scholar] [CrossRef] [PubMed]
- Uga, Y.; Fukuta, Y.; Ohsawa, R.; Fujimura, T. Variations of floral traits in Asian cultivated rice (Oryza sativa L.) and its wild relatives (O. rufipogon Griff.). Breed. Sci. 2003, 53, 345–352. [Google Scholar] [CrossRef]
- Zhang, D.-L.; Wang, M.-X.; Qi, Y.-W.; Sun, J.-L.; Wang, F.-M.; Li, J.-J.; Zhang, H.-L.; Li, Z.-C. Genetic Structure and Eco-Geographical Differentiation of Cultivated Keng Rice (Oryza sativa L. subsp. japonica) in China Revealed by Microsatellites. J. Integr. Agric. 2012, 11, 1755–1766. [Google Scholar] [CrossRef]
- Zheng, X.-M.; Ge, S. Ecological divergence in the presence of gene flow in two closely related Oryza species (Oryza rufipogon and O. nivara). Mol. Ecol. 2010, 19, 2439–2454. [Google Scholar] [CrossRef]
- Tian, L.; Lin, X.; Tian, J.; Ji, L.; Chen, Y.; Tran, L.-S.P.; Tian, C. Research Advances of Beneficial Microbiota Associated with Crop Plants. Int. J. Mol. Sci. 2020, 21, 1792. [Google Scholar] [CrossRef] [PubMed]
- Sun, C.; Wang, X.; Yoshimura, A.; Doi, K. Genetic differentiation for nuclear, mitochondrial and chloroplast genomes in common wild rice (Oryza rufipogon Griff.) and cultivated rice (Oryza sativa L.). Theor. Appl. Genet. 2002, 104, 1335–1345. [Google Scholar] [CrossRef]
- Liu, K.; Zhang, Q.; Yang, G.; Maroof, M.S.; Zhu, S.; Wang, X. Extraordinarily polymorphic ribosomal DNA in wild and cultivated rice. Genome 1996, 39, 1109–1116. [Google Scholar] [CrossRef]
- Zhang, Q.; Araya, M.M.; Astorga-Eló, M.; Velasquez, G.; Rilling, J.I.; Campos, M.; Sadowsky, M.J.; Jorquera, M.A.; Acuña, J.J. Composition and Potential Functions of Rhizobacterial Communities in a Pioneer Plant from Andean Altiplano. Diversity 2022, 14, 14. [Google Scholar] [CrossRef]
- Zapata, T.; Galindo, D.M.; Corrales-Ducuara, A.R.; Ocampo-Ibáñez, I.D. The Diversity of Culture-Dependent Gram-Negative Rhizobacteria Associated with Manihot esculenta Crantz Plants Subjected to Water-Deficit Stress. Diversity 2021, 13, 366. [Google Scholar] [CrossRef]
- Emmett, B.D.; Youngblut, N.D.; Buckley, D.H.; Drinkwater, L.E. Plant Phylogeny and Life History Shape Rhizosphere Bacterial Microbiome of Summer Annuals in an Agricultural Field. Front. Microbiol. 2017, 8, 2414. [Google Scholar] [CrossRef]
- Lugtenberg, B.; Kamilova, F. Plant-Growth-Promoting Rhizobacteria. Annu. Rev. Microbiol. 2009, 63, 541–556. [Google Scholar] [CrossRef]
- Pérez-Jaramillo, J.E.; Carrión, V.J.; Bosse, M.; Ferrão, L.F.V.; de Hollander, M.; Garcia, A.A.F.; Ramírez, C.A.; Mendes, R.; Raaijmakers, J.M. Linking rhizosphere microbiome composition of wild and domesticated Phaseolus vulgaris to genotypic and root phenotypic traits. ISME J. 2017, 11, 2244–2257. [Google Scholar] [CrossRef]
- Lucke, M.; Correa, M.G.; Levy, A. The Role of Secretion Systems, Effectors, and Secondary Metabolites of Beneficial Rhizobacteria in Interactions with Plants and Microbes. Front. Plant Sci. 2020, 11, 1718. [Google Scholar] [CrossRef]
- Muleta, D.; Assefa, F.; Hjort, K.; Roos, S.; Granhall, U. Characterization of Rhizobacteria Isolated from Wild Coffea arabica L. Eng. Life Sci. 2009, 9, 100–108. [Google Scholar] [CrossRef]
- Martín-Robles, N.; Lehmann, A.; Seco, E.; Aroca, R.; Rillig, M.C.; Milla, R. Impacts of domestication on the arbuscular mycorrhizal symbiosis of 27 crop species. New Phytol. 2018, 218, 322–334. [Google Scholar] [CrossRef]
- Shi, S.; Chang, J.; Tian, L.; Nasir, F.; Ji, L.; Li, X.; Tian, C. Comparative analysis of the rhizomicrobiome of the wild versus cultivated crop: Insights from rice and soybean. Arch. Microbiol. 2019, 201, 879–888. [Google Scholar] [CrossRef]
- Dalmastri, C.; Chiarini, L.; Cantale, C.; Bevivino, A.; Tabacchioni, S. Soil type and maize cultivar affect the genetic diversity of maize root–associated Burkholderia cepacia populations. Microb. Ecol. 1999, 38, 273–284. [Google Scholar] [CrossRef] [PubMed]
- Hardoim, P.R.; van Overbeek, L.S.; van Elsas, J.D. Properties of bacterial endophytes and their proposed role in plant growth. Trends Microbiol. 2008, 16, 463–471. [Google Scholar] [CrossRef]
- Kuklinsky-Sobral, J.; Araújo, W.L.; Mendes, R.; Geraldi, I.O.; Pizzirani-Kleiner, A.A.; Azevedo, J.L. Isolation and characterization of soybean-associated bacteria and their potential for plant growth promotion. Environ. Microbiol. 2004, 6, 1244–1251. [Google Scholar] [CrossRef]
- Tian, L.; Chang, C.; Ma, L.; Nasir, F.; Zhang, J.; Li, W.; Tran, L.-S.P.; Tian, C. Comparative study of the mycorrhizal root transcriptomes of wild and cultivated rice in response to the pathogen Magnaporthe oryzae. Rice 2019, 12, 35. [Google Scholar] [CrossRef] [PubMed]
- Alawiye, T.T.; Babalola, O.O. Bacterial Diversity and Community Structure in Typical Plant Rhizosphere. Diversity 2019, 11, 179. [Google Scholar] [CrossRef]
- Sawers, R.J.H.; Ramirez-Flores, M.R.; Olalde-Portugal, V.; Paszkowski, U. The impact of domestication and crop improvement on arbuscular mycorrhizal symbiosis in cereals: Insights from genetics and genomics. New Phytol. 2018, 220, 1135–1140. [Google Scholar] [CrossRef]
- Tian, L.; Chang, J.; Shi, S.; Ji, L.; Zhang, J.; Sun, Y.; Li, X.; Li, X.; Xie, H.; Cai, Y.; et al. Comparison of methane metabolism in the rhizomicrobiomes of wild and related cultivated rice accessions reveals a strong impact of crop domestication. Sci. Total Environ. 2022, 803, 150131. [Google Scholar] [CrossRef]
- Song, Z.; Li, B.; Chen, J.; Lu, B.R. Genetic diversity and conservation of common wild rice (Oryza rufipogon) in China. Plant Species Biol. 2005, 20, 83–92. [Google Scholar] [CrossRef]
- Vimal, S.R.; Singh, J.S.; Arora, N.K.; Singh, S. Soil-plant-microbe interactions in stressed agriculture management: A review. Pedosphere 2017, 27, 177–192. [Google Scholar] [CrossRef]
- Maguire, V.G.; Bordenave, C.D.; Nieva, A.S.; Llames, M.E.; Colavolpe, M.B.; Gárriz, A.; Ruiz, O.A. Soil bacterial and fungal community structure of a rice monoculture and rice-pasture rotation systems. Appl. Soil Ecol. 2020, 151, 103535. [Google Scholar] [CrossRef]
- Takahashi, H.; Sekiguchi, H.; Ito, T.; Sasahara, M.; Hatanaka, N.; Ohba, A.; Hase, S.; Ando, S.; Hasegawa, H.; Takenaka, S. Microbial community profiles in intercellular fluid of rice. J. Gen. Plant Pathol. 2011, 77, 121–131. [Google Scholar] [CrossRef]
- Wang, P.; Kong, C.; Sun, B.; Xu, X. Allantoin-induced changes of microbial diversity and community in rice soil. Plant Soil 2010, 332, 357–368. [Google Scholar] [CrossRef]
- Zhang, X.; Zhang, R.; Gao, J.; Wang, X.; Fan, F.; Ma, X.; Yin, H.; Zhang, C.; Feng, K.; Deng, Y. Thirty-one years of rice-rice-green manure rotations shape the rhizosphere microbial community and enrich beneficial bacteria. Soil Biol. Biochem. 2017, 104, 208–217. [Google Scholar] [CrossRef]
- Shenton, M.; Iwamoto, C.; Kurata, N.; Ikeo, K. Effect of wild and cultivated rice genotypes on rhizosphere bacterial community composition. Rice 2016, 9, 42. [Google Scholar] [CrossRef]
- Aslam, Z.; Yasir, M.; Yoon, H.S.; Jeon, C.O.; Chung, Y.R. Diversity of the bacterial community in the rice rhizosphere managed under conventional and no-tillage practices. J. Microbiol. 2013, 51, 747–756. [Google Scholar] [CrossRef] [PubMed]
- Wang, F.; Wang, H.; Wang, D.; Fang, F.; Lai, J.; Wu, T.; Tsao, R. Isoflavone, γ-aminobutyric acid contents and antioxidant activities are significantly increased during germination of three Chinese soybean cultivars. J. Funct. Foods 2015, 14, 596–604. [Google Scholar] [CrossRef]
- Rheims, H.; Spröer, C.; Rainey, F.A.; Stackebrandt, E. Molecular biological evidence for the occurrence of uncultured members of the actinomycete line of descent in different environments and geographical locations. Microbiology 1996, 142, 2863–2870. [Google Scholar] [CrossRef]
- Nakaew, N.; Sungthong, R. Seed phytochemicals shape the community structures of cultivable actinobacteria-inhabiting plant interiors of Thai pigmented rice. Microbiologyopen 2018, 7, e00591. [Google Scholar] [CrossRef] [PubMed]
- Sen, A.; Daubin, V.; Abrouk, D.; Gifford, I.; Berry, A.M.; Normand, P. Phylogeny of the class Actinobacteria revisited in the light of complete genomes. The orders ‘Frankiales’ and Micrococcales should be split into coherent entities: Proposal of Frankiales ord. nov., Geodermatophilales ord. nov., Acidothermales ord. nov. and Nakamurellales ord. nov. Int. J. Syst. Evol. Microbiol. 2014, 64, 3821–3832. [Google Scholar] [CrossRef] [PubMed]
- Sato, Y.; Tanaka, E.; Hori, T.; Futamata, H.; Murofushi, K.; Takagi, H.; Akachi, T.; Miwa, T.; Inaba, T.; Aoyagi, T.; et al. Efficient conversion of organic nitrogenous wastewater to nitrate solution driven by comammox Nitrospira. Water Res. 2021, 197, 117088. [Google Scholar] [CrossRef]
- Zhang, J.; Liu, Y.X.; Zhang, N.; Hu, B.; Jin, T.; Xu, H.; Qin, Y.; Yan, P.; Zhang, X.; Guo, X.; et al. NRT1.1B is associated with root microbiota composition and nitrogen use in field-grown rice. Nat. Biotechnol 2019, 37, 676–684. [Google Scholar] [CrossRef] [PubMed]
- Zhang, Y.; Li, Q.; Chen, Y.; Dai, Q.; Hu, J. Mudflat reclamation causes change in the composition of fungal communities under long-term rice cultivation. Can. J. Microbiol. 2019, 65, 530–537. [Google Scholar] [CrossRef] [PubMed]
Publisher’s Note: MDPI stays neutral with regard to jurisdictional claims in published maps and institutional affiliations. |
© 2022 by the authors. Licensee MDPI, Basel, Switzerland. This article is an open access article distributed under the terms and conditions of the Creative Commons Attribution (CC BY) license (https://creativecommons.org/licenses/by/4.0/).






