You are currently viewing a new version of our website. To view the old version click .
Molbank
  • Short Note
  • Open Access

7 November 2008

Synthesis and Characterization of N,N’-(propane-1,2 diyldicarbamothioyl)dibenzamide

and
Department of Chemistry, Faculty of Education, Selcuk University, Meram 42099 Konya, Turkey
*
Author to whom correspondence should be addressed.
Molbank 2008 m578 i001
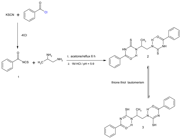
Benzoylthioureas have found some interest due to their biological activity [], spectroscopic and structural properties [,], or as synthetic building blocks []. Here, we report the convenient preparation of a new representative of this type of compounds. Benzoyl isothiocyanate (1) was prepared by known methods reported in the literature []. Benzoyl isothiocyanate (21 ml) was added to a solution of 1,2-diaminopropane (17 ml) in anhydrous acetone. The resulting mixture was refluxed for 6 h. Finally, the mixture was cooled in an ice bath and 1M HCl (250 ml) was added. The yellow precipitate was collected by filtration and it was washed with diethyl ether. The title compound 2 thus obtained was recrystallized from EtOH/CH2Cl2.
Color: yellow.
Mp 162-163°C.
Elemental analysis: Found: C, 57.5; H, 5.1; N, 13.9; S, 16.0. Calc. for C19H20N4S2O2: C, 57.0; H, 5.0; N, 14.0; S, 16.0.
1H NMR: δ (CDCl3, 400.1 MHz): 11.00 (s, 1H, NH-CO); 10.96 (d, 1H, NH-CO); 9.04 (s, 1H, NH); 8.99 (s, 1H, NH); 7.84–7. 52 (m, 10H, PhH); 5.03–4.98 (m, 1H, CH); 4.19–3.99 (m, 2H, CH2); 1,46–1,44 (d, 3H, CH3).
13C NMR: δ (CDCl3, 100.0 MHz): 185.2 (C=S); 164.0 (C=O); 135.6–127.2 (C=Carom); 47.5 (CH); 46.9 (CH2); 18.7 (CH3).
IR (KBr) νmax/cm-1: 3350–3300 (N-H), 3161 (C-Haromatic), 3038 (CH3), 2935–2859 (C-Haliphatic), 1980–1835 (C=C), 1677 (C=O), 1540–1258 (C-N), 1189, 1162 (C=S).
UV-vis (CH2Cl2, abs): 240; 400.

Supplementary materials

Supplementary File 1Supplementary File 2Supplementary File 3

References

  1. Xu, X.Y.; Qian, X.H.; Li, Z.; Huang, Q.C.; Chen, G. J. Fluorine Chem. 2003, 121, 51–54. [CrossRef]
  2. Zhou, W.Q.; Yang, W.; Qiu, L.H.; Zhang, Y.; Yu, Z.F. J. Mol. Struct. 2005, 749, 89–95.
  3. Arslan, H.; Külcü, N.; Flörke, U. Spectrochim. Acta Pt. A 2006, 64, 1065–1071. [CrossRef] [PubMed]
  4. Kodomari, M.; Suzuki, M.; Tanigawa, K.; Aoyama, T. Tetrahedron Lett. 2005, 46, 5841–5843.
  5. Binzet, G.; Arslan, H.; Flörke, U.; Külcü, N.; Duran, N. J. Coordination Chem. 2006, 59, 1395–1406. [CrossRef]

Article Metrics

Citations

Article Access Statistics

Multiple requests from the same IP address are counted as one view.