Abstract
One of the hallmarks of Alzheimer’s disease (AD) is the deposition of amyloid plaques in the brain parenchyma, which occurs 7–15 years before the onset of cognitive symptoms of the pathology. Timely diagnostics of amyloid formations allows identifying AD at an early stage and initiating inhibitor therapy, delaying the progression of the disease. However, clinically used radiopharmaceuticals based on 11C and 18F are synchrotron-dependent and short-lived. The design of new metal-containing radiopharmaceuticals for AD visualization is of interest. The development of coordination compounds capable of effectively crossing the blood-brain barrier (BBB) requires careful selection of a ligand moiety, a metal chelating scaffold, and a metal cation, defining the method of supposed Aβ visualization. In this review, we have summarized metal-containing drugs for positron emission tomography (PET), magnetic resonance imaging (MRI), and single-photon emission computed tomography (SPECT) imaging of Alzheimer’s disease. The obtained data allow assessing the structure-ability to cross the BBB ratio.
1. Introduction
Alzheimer’s disease is the most common form of neurodegenerative disease. This pathology is characterized by the presence of extracellular amyloid plaques and intracellular neurofibrillary tangles (NFTs) in the brain [1]. One of the hallmarks is the extracellular amyloid plaques in aggregated forms of a peptide called amyloid-β (Aβ), appearing years before the onset of symptoms [2,3,4,5].
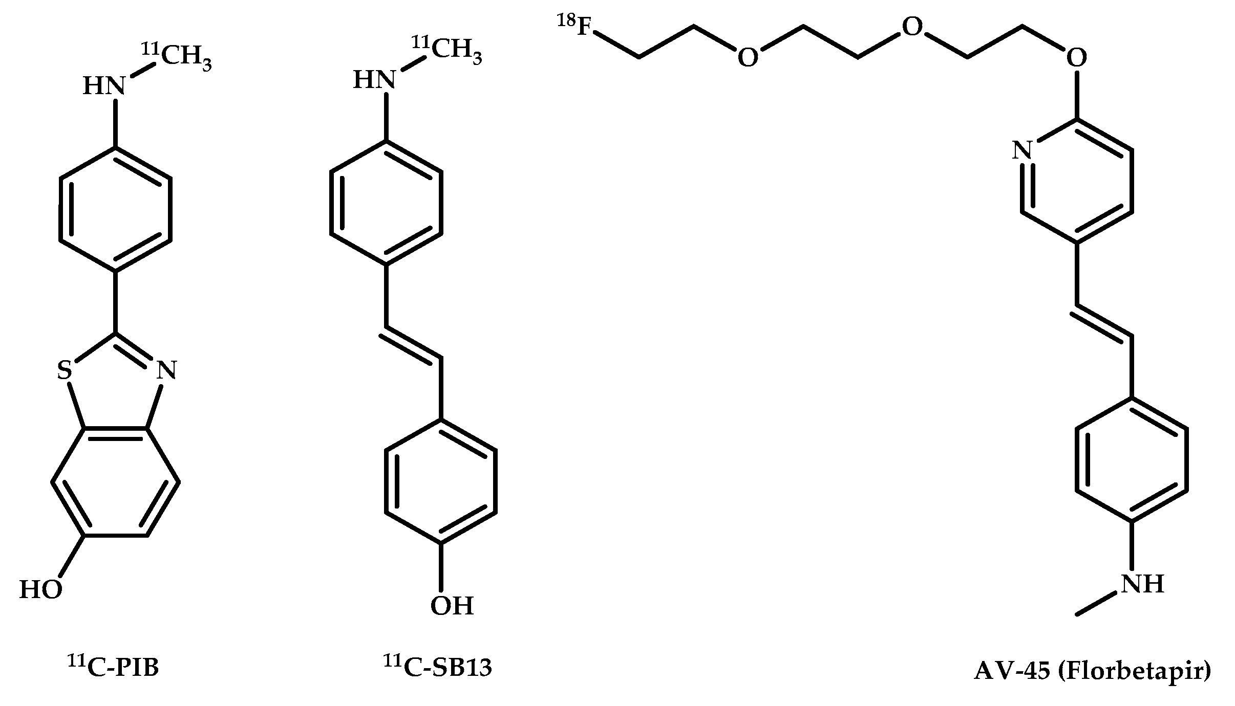
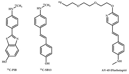
Timely diagnostic imaging plays an important role in managing AD. Several positron emission tomography (PET) imaging agents have been developed that bind to different amyloids, such as 2-(1,1-dicyanopropen-2-yl)-6-(2-[18F]-fluoroethyl)-methylamino-naphthalene [18F]FDDNP, [11C]Pittsburgh Compound-B (PiB), [18F]Florbetapir, [18F]Florbetaben, and [18F]Flutemetamol, allow obtaining semiquantitative information about amyloid deposition in patients, which allows presaging the development of clinical symptoms of AD 7–15 years before their occurrence [6,7,8,9,10] (Figure 1). But using these drugs requires an expensive laborious synthesis with confirmation of radio purity at each stage. The short half-lives of the currently used radionuclides 11C (20.4 min) and 18F (109.8 min) may also limit the widespread use of these imaging agents [11,12].
Figure 1.
Pittsburgh compound B (PiB), [11C]4-N-Methylamino-4′-hydroxystilbene (SB-13), and Florbetair (AV-45), AD PET imaging agents.
Although metal cations such as Cu(II), Zn(II), and Fe(III) proved to coordinate undesirably with histidine residues at the N-terminus of Aβ, promoting Aβ aggregation and stabilization of Aβ oligomers [13], an increased accumulation of these metals in Aβ-amyloids raises the possibility of designing Cu(II)-, Zn(II)-, and Fe(III)-based metal complexes for the diagnosis and theranostics of AD. AD diagnostic agents radiolabeled with 64Cu are attractive not only due to the simple and fast introduction of radionuclide at the last stage of non-radioactive synthesis, but also due to the 12.7 h half-life of 64Cu radionuclide, ideal for PET imaging [14].
Another promising PET radionuclide is 68Ga. Positron-emitting 68Ga can be obtained from a 68Ge/68Ga generator, which would allow a cyclotron-independent distribution of PET. The parent nuclide, 68Ge, has a half-life of 271 days, and the generators can provide sufficient quantities of 68Ga for up to one year, resulting in a relatively inexpensive and reliable source of a positron-emitting radionuclide [15,16].
In addition to PET imaging of amyloids, single-photon emission computed tomography (SPECT) and magnetic resonance imaging (MRI) are alternative diagnostic tools for AD visualization, able to overcome the limitations of PET imaging in terms of cost and broad accessibility [17]. The technetium-99 m (99mTc) radioisotope for SPECT imaging can be cyclotron-independently prepared by a 99Mo/99mTc generator [18]. The MRI imaging allows nonradioactive diagnostics and is also cheaper and faster than PET imaging. The Gd3+ PET imaging agents for Aβ visualization are also of interest [19].
The development of effective diagnostic and therapeutic agents targeting amyloid is not a trivial task. The blood-brain barrier (BBB) is a highly selective, semipermeable barrier, consistent of cerebrovascular endothelial cells, surrounded by extracellular matrix, astrocytes, and pericytes [20], which prevents potential therapeutics from reaching the cerebral target, thus limiting their efficacy [21]. Various approaches to effective brain delivery are developed, such as chemical drug delivery systems [22], e.g., a drug conjugation with dihydropyridine, mannitol, or aromatic substances [23], physical methods, such as focused ultrasound [24] or sonophoresis [25], and biological methods, e.g., drug conjugation with polycationic proteins or amino acids [26].
The complexity of the architecture of the blood-brain barrier, as well as the significant difficulties accompanying the development of drugs capable of overcoming it, prompts the creation of in vitro models of the BBB, such as microfluidic models [27], brain organoids [28], and microvascular systems [29].
The BBB permeability of a compound is related to its lipophilicity, expressed by the water/octanol partition coefficient, log Poct/water, molecular weight (MW), and plasma pharmacokinetics [30]. Low-MW amphiphilic molecules with log Poct/water ≈ 2 have optimal BBB penetration [31]. Conjugating an Aβ-affinity moiety, a metal-chelating moiety, and a metal cation in one scaffold is often difficult, and the resulting drugs are often unable to cross the BBB.
Sedgwick et al. summarized metal-based imaging agents for neurodegenerative disease diagnostics [32]. Gomes et al. also summarized an interaction of metal complexes with the Aβ peptide [33]. Liu et al. reported potential applications of metal-based agents in therapy, diagnosis, and theranosis of AD [34].
In this review, we summarize various solutions in the design of amyloid-affinity drugs capable of effectively crossing the BBB, and different approaches for designing Aβ-affinity drugs for diagnosing AD. Three summary tables can be conveniently used to evaluate the structure of the ligand and the result of brain penetration by the coordination compound based on it, noting the successful and unsuccessful attempts to create drugs for diagnosing AD. This review will be useful to researchers for developing approaches for designing Aβ-affinity drugs for both the therapy and diagnostics of AD.
2. Copper Coordination Compounds for PET Imaging of Alzheimer Disease
PET diagnostics is based on registering a pair of gamma quanta resulting from the annihilation of electrons and positrons that arise during the positron-beta decay of a radionuclide. Annihilation of the positron, which remained in the tissue, with one of the electrons of the medium, generates two gamma quanta with the same energy, scattering in opposite directions along one straight line. A set of detectors makes it possible to obtain a three-dimensional reconstruction of the distribution of the radionuclide in the body tissue [35].
The radionuclide 64Cu has a long half-life (t1/2 = 12.7 h, β+ = 17%, β− = 39%, e-capture decay EC = 43%, Emax = 0.656 MeV) and can be considered an ideal PET tracer [36]. Copper-coordination compounds are promising for PET diagnostics of AD because of not only the emission properties but also the increased affinity of amyloids for copper cations, which would further increase the accumulation of copper-containing drugs in the therapeutic target [37].
A standard approach in developing Aβ PET imaging drugs is a conjugation of an Aβ-binding benzothiazole, benzofuran, or stilbene scaffold, with a metal-chelating moiety. Thiosemicarbazone derivatives are often used as a metal-chelating agent, based on the diacetylbis(N(4)-methylthiosemicarbazonato Cu-ATSM drug [38].
Lim et al. [39] developed a bis(thiosemicarbazonato)copper(II) complex 1 (all numbers of coordination compounds are bold through all the manuscript) conjugated with a stilbene functional group (Figure 2). A fluorescent assay with thioflavin-T (Th-T) showed a drop in the fluorescence (485 nm) after an addition of coordination compound 1, meaning a displacement of thioflavin. Also, examination by transmission electron microscopy (TEM) of the structural morphology of the Aβ fibrils pre-treated with coordination compound 1 showed significant changes in morphology. Epi-fluorescence microscopy of AD human brain sections with E18 antibody revealed a co-localization of the immunostained and epi-fluorescent images. Biodistribution of radiolabeled 64Cu-1 in wild-type mice and APP/PS1 transgenic mice (Tg-mice) after intravenous tail vein injection (85 MBq) showed a significantly higher brain uptake in APP/PS1 Tg-mice compared with their wild type (Table 1).
Figure 2.
64Cu(II)-ATSM derivative 1 conjugated with stilbene functional group, designed for Aβ fibrils visualization.
Table 1.
Cu(II)-based coordination compounds for positron emission tomography (PET) imagining of Alzheimer disease.
The same Donnelly group reported a copper radiopharmaceutical Cu(II)-ATSM with an appended styrylpyridine functional group for Aβ plaque imaging [40] (Figure 3). Binding of 3 and 4 (coordination compound 2 was quite insoluble) to Aβ plaques was clearly evident, as demonstrated by epi-fluorescence microscopy. The Aβ-specific 1E8 antibody was used as a control. The biodistribution of coordination compounds 3 and 4 radiolabeled with 64Cu in wild-type mice after intravenous tail injection (∼13 MBq) displayed good brain uptake of coordination compound 4 in 1.1%.
Figure 3.
64Cu(II)-ATSM derivatives conjugated 2–4 with benzothiazole/styrylpyrydine functional group, designed for Aβ fibrils visualization.
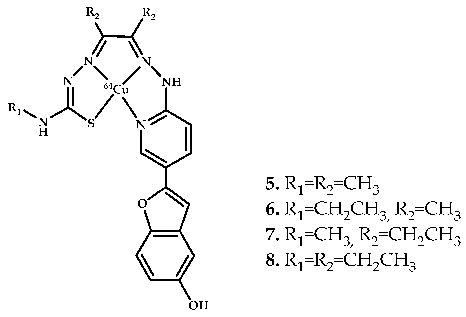
In 2019 [41], the Donnely group reported a synthesis of four hybrid thiosemicarbazonato-benzofuran ligands and their copper complexes (Figure 4). Addition of either 6 or 8 to Aβ1−42 results in dramatic changes in the structural morphology, as identified by the TEM images. The AD human brain tissue samples treated with 8 were analyzed for elemental composition using the laser ablation inductively coupled plasma mass spectrometry (LA-ICP-MS) assay by tracking the change in the ratio 65Cu/63Cu. A sample of nonradioactive isotopically enriched 65Cu-8 was used to distinguish biologically present copper from the complex. Coordination compound 3 was used as a control. The benzofuran-containing complex 65Cu-8 appears to bind with improved differentiation compared with the styryl-pyridine-containing complex 65Cu-3 and potentially offers better sensitivity for amyloid. The complex preferentially binds to areas of the brain enriched with Aβ plaques, which was confirmed by immunohistochemistry with an aged-match control. The biodistribution of coordination compounds 5–8 radiolabeled with 64Cu in wild-type mice showed the best brain uptake results for coordination compound 8 (1.54% of injected dose (ID)/g at 2 min after injection, dropping to 0.77% ID/g at 30 min).
Figure 4.
64Cu(II)-ATSM derivatives 5–8 conjugated with benzofuran functional group, designed for Aβ fibrils visualization.
McInne [42] incorporated a 4-vinylpyridine functional group to investigate whether the complex 9 binds to Aβ plaques with an additional pyridyl hydrogen bond acceptor at the expense of the electron-donating dimethlylamino and hydroxy groups (Figure 5). Comparing the fluorescence from the 9-treated AD human brain tissue with (1E8)-treated brain tissue revealed good co-localization.
Figure 5.
Cu(II)-ATSM derivative conjugated with piridylstilbene functional group 9, designed for Aβ fibrils visualization.
This research group recently presented several structural analogues (10–15) of coordination compound 3, where the bis-(thiosemicarbazone) moiety is conjugated to stilbene functional groups [44] (Figure 6). All coordination compounds significantly alter the emission intensity of the ThT/Aβ conjugate. Compounds 11 and 15 were selected as lead compounds because of the ease of synthesis. The TEM of Aβ1−40 fibrils preincubated with 11 and 15 reveal a dramatic change in fibril morphology. Epi-fluorescence microscopy on human AD brain tissue proved an ability of 11 and 15 to bind amyloid-β plaques, which was also confirmed by Aβ-specific antibody (1E8) staining. Experiments with wild-type mice showed high brain uptake for both 11 and 15 at 2 min after the injection (2.2% and 1.1%, respectively), followed by rapid removal after 1 h.
Figure 6.
Cu(II)-ATSM derivatives conjugated with stilbene functional groups 10–15, designed for Aβ fibrils visualization.
Observing the various design steps of the PET binding agents developed under Donnelly’s leadership, we note that they achieved significant improvements in brain uptake (Table 1, lines 3–7).
Paterson et al. [44] developed a series bis(thiosemicarbazones) 16–25 with amine and polyamine functional groups in order to increase the BBB permeability of the complexes (Figure 7). Intracellular uptake of the complexes was measured by inductively coupled plasma mass spectrometry (ICP-MS). Intracellular accumulation decreased in the order 17 > [19 + 2H]2+ > [21 + H]+ > [23 + H]+ > [25 + 3H]3+. Biodistribution studies were performed using small-animal micro-PET imaging. The complexes with a secondary amine, 21, and a primary amine functional group, 23, showed little to no radioactivity in the brain. The complex with a pendent secondary amine, 17, had a relatively high level of brain uptake.
Figure 7.
Cu(II)-ATSM derivatives conjugated with polyamines 16–25, designed for Aβ fibrils visualization.
The authors designed these complexes not as PET imaging agents for amyloids, but as hypoxia-sensitive agents capable of accumulating in malignant tumors. But the impressive results of brain penetration shown by complex 17 (injected activity/per gramm IA/g at 23 h after injection was 2.43%) again convince us of the promising potential of copper-containing preparations as diagnostic agents for imaging brain pathologies. Ex vivo biodistribution analysis of 17-preinjected BALB/C mice bearing EMT6 tumors showed a 4.17% ± 1.03% injected activity per gram of tissue at 40 min post-injection, and 4.41% ± 0.23% injected activity per gram of tissue in the brain.
Therefore, Cu-ATSM-based agents are interesting both as redox-active agents sensitive to hypoxia, capable of accumulation in solid tumors, and as highly penetrating agents for therapy and diagnostics of brain pathologies.
Conjugates containing Aβ-binding and metal-chelating moieties were found to modulate the aggregation of Aβ42 species [49,50]. Therefore, 64Cu coordination compounds based on them are expected to bind Aβ effectively.
Watanabe et al. designed and synthesized two novel 64Cu-labeled benzofuran derivatives 26 and 27 with cyclen (1,4,7,10-tetraazacyclododecane) or DOTA (1,4,7,10- tetraazacyclododecane-1,4,7,10-tetraacetic acid) as chelators [45] (Figure 8).
Figure 8.
Benzofuran moiety, conjugated with metal-chelating cyclen 26 or 1,4,7,10-tetraazacyclododecane-1,4,7,10-tetraacetic acid (DOTA) 27, designed for Aβ fibrils visualization.
An in vitro binding assay with ([125I]6-iodo-2-(40-dimethylamino)-phenyl-imidazo [1,2-a]pyridine) [125I] IMPY as the competitive ligand showed dose-dependent inhibition with Ki 33.7 ± 14.6, 243.5 ± 88.2. Fluorescent staining using Tg2576 mice brain sections proved the amyloid-binding ability of 26 to a greater extent than 27. Unfortunately, biodistribution studies revealed quite low brain uptake equal to 0.33% and 0.36%, respectively.
Sharma et al. designed a series of copper-coordination compounds based on an Aβ-binding 2-phenylbenzothiazole moiety, conjugated with metal-chelating macrocyclic 1,4,7-triazacyclononane (tacn) and 2,11-diaza [3.3]-(2,6)pyridinophane (N4H2) 29–33 [46,47] (Figure 9). The ThT fluorescence competition assay suggests a good affinity L29–L33 for Aβ40 fibrils. Fluorescence microscopy studies on Tg2576 APP Tg-mice brain sections, with amyloid-binding Congo Red as a control, showed a specific binding for organic ligands L29–L33. The ThT competition assays with copper complexes 29–33 also revealed a strong Aβ binding affinity for 32. A specific binding of the 64Cu-labeled L29–L33 to Aβ plagues was proven using ex vivo autoradiography studies on brain sections of Tg2576 mice and wild-type mice as a control in the absence and presence of a known Aβ-specific blocking agent (B1). Coordination compounds 29–33 showed a significant Aβ binding: the autoradiography intensity markedly decreased in the presence of B1 blocking agent. Biodistribution studies in normal CD-1 mice showed the highest brain uptake of 1.33% ± 0.27% ID/g at 2 min post-injection for 29. The PET/CT imaging of the Tg2576 mice showed a radiotracer accumulation in the head and neck area for 29, 31, and 32. Coordination compound 29 shows the highest brain uptake of 0.57% ± 0.05% ID/g in post-PET biodistribution analysis.
Figure 9.
Benzothiazole moieties, conjugated with metal-chelating 1,4,7-triazacyclononane and 2,11-diaza[3.3]-(2,6)pyridinophane L29–L33, designed for Aβ fibrils binding, and model ligand L28 without benzotiazole moiety.
Huang et al. developed a series of compounds based on classical amyloid-binding moiety Pittsburg compound B and used fragments 1,4-dimethyl-1,4,7-triazacyclononane (tacn) as the metal-chelating group [48] (Figure 10). The ThT fluorescence competition assays showed nanomolar affinities for the Aβ1–40 for organic ligands L34 and L35. Staining with 5xFAD mice brain sections showed significant Aβ-binding affinity of the organic ligands L34–36 and L39. The Cu2+ complexes 35, 36, and 39 also showed significant Aβ binding. The MTT (3-(4,5-dimethylthiazol-2-yl)-2,5-diphenyl-2H-tetrazolium bromide) cell viability assays on mice neuroblastoma (N2a) cells showed that coordination compounds 35, 37, and 38 exhibit no appreciable cell toxicity. Unfortunately, determination of the octanol/phosphate-buffered saline (PBS) partition coefficient values revealed that 64Cu-labeled complexes 37 and 38 exhibit log Doct values of 0.6, suggesting that 2-pyridyl-benzothiazole derivatives may be too hydrophilic to cross the BBB.
Figure 10.
Pittsburg compound B derivatives, conjugated with metal-chelating 1,4-dimethyl-1,4,7-triazacyclononane L34–L39, designed for Aβ fibrils binding.
Ex vivo autoradiography studies using brain sections of 5xFAD Tg-mice confirmed an amyloid-binding specificity of radiolabeled coordination compounds 35, 36, and 39, but 64Cu-labeled 34 also exhibits nonspecific binding. The MW of 36 was found to be too large for efficient brain uptake. Biodistribution studies in normal CD-1 mice proved 39 to cross the BBB, while 35 showed low brain uptake.
3. Gd3+ and Ga3+ Coordination Compounds for Aβ Visualization
Another promising emerging radionuclide for PET is 68Ga. Positron-emitting 68Ga can be obtained from a 68Ge/68Ga generator, which would facilitate cyclotron-independent distribution of PET. The parent nuclide 68Ge has a half-life of 271 days, and the generators can provide sufficient quantities of 68Ga for up to one year, resulting in a relatively inexpensive and reliable source of a positron-emitting radionuclide [51]. Ga3+ is a hard acid metal that can make strong bonds with hard base ligands such as carboxylic acids, amino nitrogen hydroxamates, and phenolates [52], which leads to the tendency to use rigid oxygen-containing chelating structures in 68Ga-based drug candidates, such as 1,4,7,10-tetraazacyclododecane-1,4,7,10-tetraacetic acid DOTA.
MRI is an imaging technique based on the physical phenomenon of nuclear magnetic resonance. Various structural and functional changes including atrophy, vascular dysfunction, or changes in the volume of the hippocampus can be quantified using anatomical MRI [53]. Gadolinium(III) is the constituent of most MRI contrast agents due to a large magnetic moment (spin only effective magnetic moment μeff ¼ 7.94 BM, from seven half-filled f-orbitals) and a long electron-spin relaxation time (108 to 109 s, from the symmetric S electronic state) [54]. Table 2 summarizes the coordination compounds for magnetic resonance imaging (MRI) and single-photon emission computed tomography (SPECT) diagnostics of Alzheimer’s disease, based on amyloid-affinity ligands conjugated with various metal chelating moieties:
Table 2.
Gd3+, Ga3+ coordination compounds for magnetic resonance imaging (MRI) and single-photon emission computed tomography (SPECT) imaging of AD.
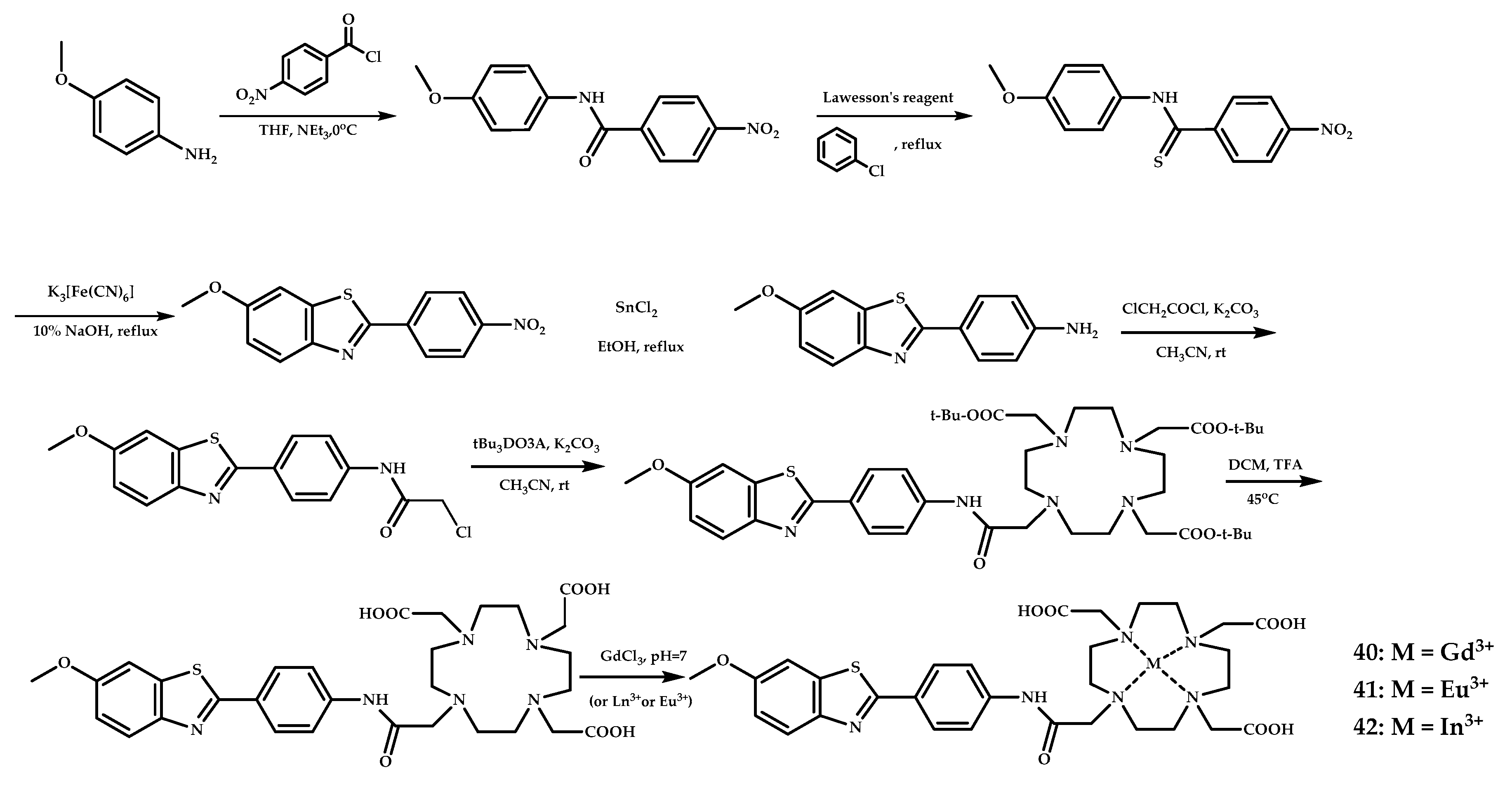
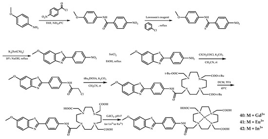
Martins et al. have designed an amyloid-targeted ligand that can efficiently complex different metal ions for various imaging modalities, including Gd3+ for MRI and 111In3+ for SPECT imaging by a conjugation of a cyclen-based macrocycle DO3A (1,4,7,10-tetraazacyclododecane-1,4,7-triacetic acid) with a benzothiazole moiety [55]. Ligand L40-based complexes of Gd3+, Eu3+, and 111In3+ were obtained (Figure 11).
Figure 11.
Synthesis of Aβ-specific DO3A-benzothiazole ligand L40 and coordination compounds 40 (Gd3+), 41 (Eu3+), and 42 (In3+) based on it, designed for MRI and SPECT Aβ fibrils visualization.
Upon binding of 40 to Aβ plaques, higher relaxivity in nuclear magnetic relaxation dispersion (NMRD) profiles was observed due to the complex becoming immobilized during plaque binding. A binding affinity of 40 to Aβ1−40 was evaluated by surface plasmon resonance measurements and yielded Kd = (180 ± 10) μM, and similar Kd values were also expected for the Eu3+ and In3+ analogues 41 and 42. The binding affinity of 40 to HSA was assessed by proton relaxation enhancement measurements and yielded Kd = 110 ± 20 μM. A specific binding of 41 to Aβ deposits was proved on postmortem human brain tissue of AD patients using fluorescence staining with PiB and thioflavin-S as controls. Unfortunately, the log P oct/water −0.15 value for 40 and also the high MW = 842 shows that the complex is not optimized to cross the BBB. In vivo biodistribution experiments with the radiolabeled 111In-analogue 42 in adult male Swiss mice showed that cortex and cerebellum penetration ID/g at 2 min was 0.36% and 0.5%, respectively.
Martins et al. subsequently presented two novel DO3A monoamide derivative ligands conjugated to the PiB moiety, 43 and 44, via linkers differing in length and chemical structure to improve the log P-value and to enhance BBB penetration of the complexes [56] (Figure 12).
Figure 12.
DO3A-PiB-based Gd3+ coordination compounds 43 and 44, designed for MRI visualization of Aβ plagues.
The amphiphilic compounds 43 and 44 were found to form micelles in solution. Analysis of the rotational dynamics for micelles formed using the Lipari-Szabo approach indicated highly flexible large aggregates. The coordination compounds 43 and 44 were unable to cross the BBB, and the amount detected was found to be insufficient for MRI detection.
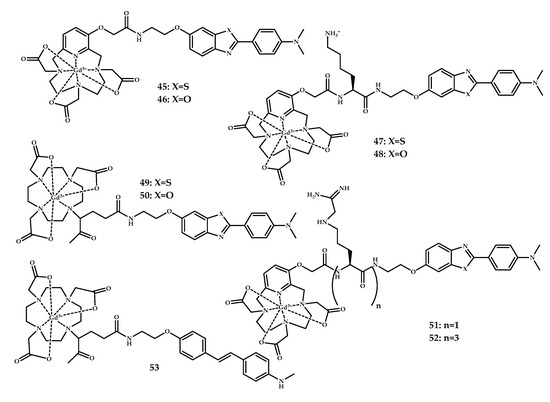
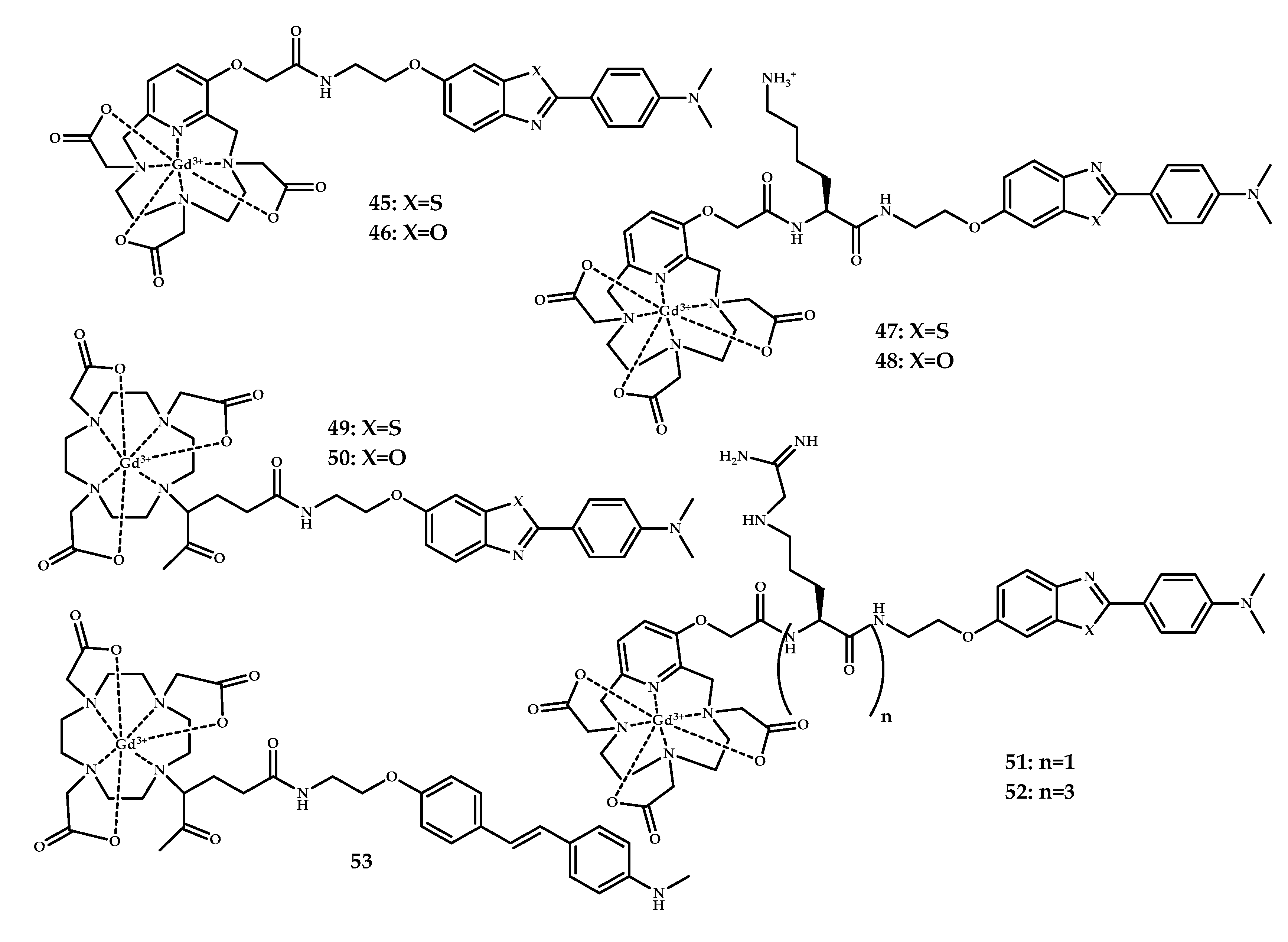
Bort et al. reported amyloid-targeted hydroxybenzothiazole, hydroxybenzoxazole, and hydroxy-trans-stilbene moieties conjugated via neutral and positive-charged linkers with PCTA (3,6,9,15-tetraaza bicyclo[9.3.1]-pentadeca1(15),11,13-triene-3,6,9-triacetic acid) and DOTA (1,4,7,10-tetraazacyclododecane-1,4,7,10-tetraacetic acid) as metal-chelates, and Gd(III) complexes 45–60 based on them [57] (Figure 13).

Figure 13.
PCTA/DOTA-benzothiazole/benzoxazole/stilbene-based Gd3+ coordination compounds 45–60 designed for MRI visualization of Aβ plagues.
The affinity of the coordination compounds 45–60 for amyloid aggregates was determined in vitro using [125I]IMPY ([125I]6-iodo-2-(40-dimethylamino)-phenyl-imidazo [1,2-a]pyridine)-binding competition experiments on synthetic Aβ1–42 aggregates, with DOTA-(Lys)3-BTA being the most potent. To assess the BBB permeability of the coordination compounds, an in vitro model of BBB constituted of a co-culture of rat primary brain capillary endothelial cells and rat glial cells was used. Unfortunately, none of the designed complexes showed BBB penetration ability.
Watanabe et al. designed and synthesized 68Ga-labeled benzofuran derivative 61 with 1,4,7,10-tetraazacyclododecane-1,4,7,10-tetraacetic acid (DOTA) as the metal-chelating agent [58] (Figure 14). A competitive Aβ1–42 binding experiment of 61 (with [125I] (IMPY) as the competitive ligand) showed a dose-dependent inhibition and values close to the clinically applied IMPY. Neuropathological fluorescent staining of Tg2576 mice brain sections treated with coordination compound 61 with Thioflavin S as a control proved a specific binding of the coordination compound to Aβ plaques. A biodistribution experiment in normal mice showed brain uptake of the coordination compound 61 (0.45% ID/g), which is too low for the compound to serve as an MRI agent.
Figure 14.
DOTA-benzofuran-based Gd3+ coordination compound 61 designed for MRI visualization of Aβ plagues.
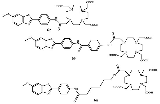
Cressier et al. reported 68Ga-labeled complexes conjugated to Pittsburgh Compound B, 2-(4′-[11C]methylaminophenyl)-6-hydroxybenzothiazole (PIB) and DOTA via aromatic or alkyl pacers L62–L64 [59] (Figure 15). The BBB permeability of the complexes was insufficient, as shown by µPET. Moreover, the evaluation of the complexes 62–64 through an autoradiographic approach with human brain tissues failed to detect amyloid deposits.
Figure 15.
DOTA-Pib-based ligands L62–L64.
Zha et al. reported 68Ga-labeled styrylpyridine derivatives 65–70 with high MW based on an N,N’-bis[2-hydroxy-5-(carboxyethyl)benzyl]ethylenediamine-N,N’-diacetic acid (HBED-CC) core for Ga3+ complexation derivatized with styrylpyridinyl groups [60] (Figure 16). An in vitro competitive binding assay was conducted to measure the inhibition of [125I]IMPY Aβ binding by coordination compounds 65–70. The monovalent conjugate 69 showed a low binding affinity. The in vitro autoradiography on AD brain sections showed a high binding affinity of 65–70 to Aβ plaques, but in vivo biodistribution studies in CD-1 mice showed low brain penetration. This may allow a selective labeling of Aβ plaques deposited on the walls of cerebral blood vessels, which could be a useful tool for diagnosing cerebral amyloid angiopathy (CAA), but not in the Aβ plaques in the parenchymal brain tissues.
Figure 16.
HBED-CC-styrilpiridine coordination compounds 65–70, designed for PET imaging of Aβ plaques.
Curcumin (C21), (1E,6E)-1,7-bis(4-hydroxy-3-methoxyphenyl)-1,6-heptadiene-3,5-dione, is a promising organic motif for designing biologically active coordination compounds. Curcumin demonstrated high antiproliferative activity in vitro and in vivo [67] and is also known to accumulate in tumor cells, presumably due to the ability to bind the vitamin-D receptor [68].
Curcumin and its derivatives are widely studied as agents for diagnosis, prevention, and treatment of AD [69,70], and also proved to be an amyloid-specific dye [71,72]. It binds to soluble Aβ plagues [73] and is reported to have sufficient brain permeability and favorable amyloid-binding in APPsw Tg-mice [74]. Curcumin is currently regarded as a specific organic core for AD therapy and diagnostic drug development. Several curcumin-based fluorescent probes for Aβ imaging have been designed [75]. A number of research works are devoted to a curcumin-based metal-containing agent for MRI, SPECT, and PET diagnostics [76].
The affinity of curcumin for amyloid plaques has raised interest in chalcone derivatives as organic core for the development of Aβ-affinity diagnostic agents. In 2007, Ono et al. reported chalcone-based probes for in vivo imaging of Aβ plaques in Alzheimer’s brains [77]. Chauhan et al. reported a bis-chalcone Ga3+-based coordination compound 71 [61] (Figure 17). The stability of coordination compound 69 in HSA was proven using ITLC-SG. Also, the high Aβ-binding affinity of 69 to HAS was proven in a protein-binding assay. Aβ-binding studies on aggregated Aβ42 were performed, and Scatchard plots suggest one-site binding with a Kd of 3.46 ± 0.41 nM.
Figure 17.
Chalchone-based ligand L71, designed for Aβ plaques binding.
Blood kinetics studies of coordination compound 71 in normal rabbits showed a fast clearance during the initial time period of 30 min. Biodistribution studies showed a high uptake level of 1.24% ± 0.31% with rapid excretion within an hour. Also, PET images in a normal adult male BALB/C mice during 2–30 m intravenous post-injection exhibited a significant activity in the brain at 2 min post-injection and rapid washout from the healthy brain. Thus, coordination compound 71 showed no specific binding or prolonged retention in the healthy brain, due to the absence of Aβ plagues.
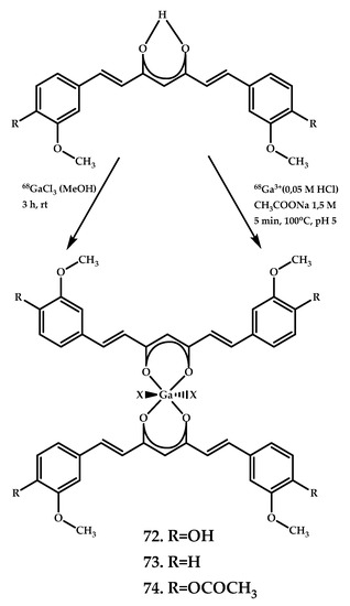
Asti et al. reported 68Ga-labeled complexes based on curcumin, diacetyl-curcumin (DAC), and bis(dehydroxy)curcumin (bDHC) 72–74 [62] (Figure 18). The affinity of nat/68Ga-Curcuminoid complexes 72–74 for Aβ1−40 amyloid synthetic fibrils was evaluated by measuring the radioactivity of synthetic Aβ fibrils preincubated with complexes 72–74 and also using fluorescence microscopy with untreated fibrils as a negative control. A fluorescence microscopy study of drug-preincubated A-549 tumor cells confirmed an internalization of Ga3+-curcuminoid complexes in lung cancer cells.
Figure 18.
Curcumin-based Ga3+ coordination compounds 72–74, designed for PET imaging of Aβ plaques.
Continuing the study, Rubagotti et al. reported [63] an in vitro and in vivo investigation of the biological properties of coordination compounds 72–74. The in vivo brain uptake was assessed using a Tg2576 mice model. Although Aβ plagues were clearly visualized after brain section staining with coordination compounds, no brain uptake in vivo was observed. These results indicate a high Aβ-affinity of gallium complexes 72–74 along with an inability of the coordination compounds to cross the BBB in vivo.
Lange et al. reported [64] a six-coordinate Ga3+ complex 75 based on an N2O2 Schiff-base ligand and β-diketone curcumin, which is known to bind to Aβ plagues because of the structural similarity to Congo Red [78] (Figure 19). The ability of 75 to bind to Aβ plaques was assessed using epi-fluorescence microscopy (λex = 359 nm, λem = 461 nm) on AD and age-matched human brain samples with an 1E8-antibody as control. The obtained results allow suggesting some degree of specificity of 73 for Aβ plaques.
Figure 19.
Curcumin-based Ga3+ coordination compound 75 with a Schiff-based metal-chelating moiety, designed for PET imaging of Aβ plaques.
Orteca et al. recently reported curcumin scaffolds conjugated with 1,4,7-triazacyclononane,1-glutaric acid-4,7-acetic acid (NODAGA) and 1,4-bis(carboxymethyl)-6-[bis(carboxymethyl)]amino-6-methylperhydro-1,4-diazepine (AAZTA) as metal chelators L76 and L77 [65] (Figure 20).
Figure 20.
Curcumin-based Ga3+ coordination compounds 76 and 77 with NODAGA and AAZTA metal-chelating moieties, designed for PET imaging of Aβ plaques.
Gniazdowska et al. designed a series of tacrine analogues, acetylcholinesterase (AChE) and butyrylcholinesterase (BuChE) inhibitor [79], the enzymes responsible for the degeneration of the neurotransmitter acetylcholine and labeled with diagnostic radionuclides technetium-99m using bifunctional ligand Hynic [80] 78–85, and gallium-68, using macrocyclic ligand DOTA 84–86 [80] (Figure 21). The Log D values for the coordination compounds are presented in Table 3. Coordination compounds 82 and 86 with the highest Log D values were selected as lead compounds.
Figure 21.
Tacrine-based 99mTc3+ coordination compounds 78–85 and Ga3+ coordination compounds 86–88 with Hynic and DOTA metal-chelating moieties, designed for PET imaging of Aβ plaques.
Table 3.
Log D values for coordination compounds 78–88.
An ability of coordination compounds 82 and 86 to inhibit acetylcholinesterase (AChE) and butyrylcholinesterase (BuChE) was estimated using Ellman’s colorimetric assay. The half maximal inhibitory concentration IC50 values for the tested derivatives are presented in Table 4. Tacrine was used as the reference inhibitor.
Table 4.
The activity of 82 and 86 against two cholinesterases.
An in vivo pharmacodynamic study of coordination compound 86 allowed only a qualitative view because the brain penetration was low, 0.21%. The pharmacodynamic study of coordination compound 82 was incomplete due to the low activity of the compound, and the result was therefore omitted. But the ex vivo radioactivity measurement showed that both complexes can penetrate the BBB.
4. 99mTc3+-Based Coordination Compounds for SPECT Visualization of Aβ
To overcome the limitations of PET imaging in terms of cost and broad accessibility, SPECT was proposed as alternative diagnostic tool [81]. Technetium-99m (99mTc) is a desirable radioisotope for the preparation of SPECT radiopharmaceuticals because it has a rich chemistry, unique nuclear properties (T1/2 = 6 h, E = 140 keV), and an easy cost-effective availability. 99mTc can be readily prepared by a 99Mo/99mTc generator [82]. The development of a 99mTc-radiotracer for imaging Aβ plaques with SPECT is strongly expected to provide a low cost, broadly accessible diagnostic tool for AD. Table 5 summarizes the coordination compounds for single-photon emission computed tomography (SPECT) diagnostics of Alzheimer’s disease:
Table 5.
99mTc coordination compounds for single-photon emission computed tomography (SPECT) visualization of AD.
Liu et al. designed and synthesized novel chalcone-mimic Re/99mTc Re-89–91/[99mTc]87–91 complexes [83] (Figure 22). Ferrocene complexes were synthesized as precursors for 99mTc coordination compounds. Complexes Re-90 and Re-91 demonstrated a high affinity to Aβ plaques in brain tissue sections from AD patients and Tg-mice (APPswe/PSEN1), while demonstrating no apparent labeling in both normal mice C57BL6 and normal adult brain sections. The Ki value ranges established using an Aβ1−42 binding assay ranged from 899 to 108 nM. As an extension of the conjugated π system, complex Re-91 demonstrated the highest affinity. The in vitro autoradiography of [99mTc]89–91 on Tg-mice brains confirmed the Aβ affinity of [99mTc]91 (Ki = 108 nM). In the biodistribution studies, [99mTc]89 and [99mTc]90 showed excellent initial uptakes and fast clearance (respectively 4.10% and 2.30%) in the brain, while [99mTc]91 showed moderate brain uptake (1.11%).
Figure 22.
[99mTc] coordination compounds [99mTc]89–91 based on chalchone-mimic scaffolds and their Re analogues 89–91.
A biodistribution in permeability-glycoprotein blocked by cyclosporin A (an immunosuppressant drug) revealed an increase of BBB-penetrating abilities of the coordination compounds [99mTc]89–91. This result may reveal [99mTc]89–91 to be substrates for the rodent PgP transporter.
Yang et al. reported four 99mTc-labeled dibenzylideneacetone derivatives [99mTc]92–95 and corresponding rhenium complexes 92–95 [84] (Figure 23).
Figure 23.
Coordination compounds Re/99mTc 92–95 based on dibenzylideneacetone scaffolds with BAT (92, 93/[99mTc]92, [99mTc]93) and MAMA (94, 95/[99mTc]94, [99mTc]95) designed for SPECT imaging of Aβ plaques.
The binding affinities of rhenium complexes 92–95 for Aβ1–42 aggregates were evaluated by competition binding assay using [125I]IMPY. Coordination compounds 92 and 93 with the BAT chelating moiety showed better Aβ1–42 affinity (Ki = 24.7 and 13.6 nM) compared with coordination compounds 94 and 95 with the MAMA chelating moiety (Ki = 120.9 and 59.1 nM). Increasing the length of the spacer was found to promote Aβ1–42 binding. All four rhenium complexes, 92–95, displayed excellent labeling of Aβ plaques in in vitro fluorescent staining on sections of brain tissue from a Tg-mice (C57BL6, APPswe/PSEN1) and age-matched control mice. Biodistribution experiments of 99mTc-labeled coordination compounds [99mTc]92–95 in normal ICR mice showed the highest initial uptake at 2 min post-injection (respectively 0.49%, 0.47%, 0.48%, and 0.31% ID/g), followed by rapid washout from the brain.
Iikuni et al. designed five novel 99mTc-Ham complexes [99mTc]96–99 with a bivalent amyloid ligand based on stilbene/benzothiazole moieties and HAM as chelating agent [85] (Figure 24).
Figure 24.
99mTc–HAM complexes based on stilbene and benzothiazole moieties [99mTc]96–99, designed for SPECT imaging of Aβ plaques, and model coordination compound 100.
Coordination compounds [99mTc]96–99 displayed moderate affinity for amyloid aggregates (respectively 22.2%, 42.6%, 4.6%, 38.7%), while model compound [99mTc]100, which does not include any amyloid ligands, showed no affinity. In vitro autoradiography of Tg2576 mice brain section assay proved an ability of [99mTc]96, [99mTc]97, and [99mTc]99 to bind Aβ plaques. A biodistribution experiment of [99mTc]97 with the highest binding affinity in the inhibition assay in normal mice showed very low brain uptake (0.28% ID/g).
Further, the authors of Reference [86] applied coordination compounds [99mTc]96–99 to CAA-specific imaging probes and evaluated their utility for CAA-specific imaging. An in vitro inhibition assay using Aβ1–40 aggregates deposited mainly in CAA showed a high binding affinity of coordination compounds [99mTc]96–99. In vitro autoradiography of human CAA brain sections and ex vivo autoradiography of Tg2576 mice displayed excellent labeling of Aβ depositions in human CAA brain sections and high affinity and selectivity to CAA in Tg-mice of coordination compounds [99mTc]97 and [99mTc]99.
Hayne et al. reported [87] tridentate ligands L101–L104 designed to bind to the [M(CO)3]+ core (M = Tc/Re) conjugated with a stilbene Aβ-binding moiety (Figure 25). The complexes 101 and 103 showed little to no plaque binding in brain tissue from AD-positive subjects. Epi-fluorescence microscopy of tissue sections of the frontal cortex of an AD-affected brain treated with 102 and 104 bearing an electron-donating dimethylamino functional group revealed good correlation of the complexes to Aβ plaques, and the E18 antibody was used as a control.
Figure 25.
Tridentate ligands L101–L104 conjugated with a stilbene Aβ-binding moiety designed for Aβ plaques binding, and the proposed structure of coordination compound 101.
The biodistribution of the radiolabeled coordination compound [99mTc]103 was investigated in both wild-type and APP/PS1 Tg-mice. Low brain uptake (~0.25%) was registered in both cases, and no statistically significant difference between wild-type and Tg-mice was observed.
Wang et al. reported four neutral Re/99mTc-labeled coordination compounds 105–108/[99mTc]105–108 based on arylbenzoxazole moieties conjugated with bis(aminoethanethiol) (BAT) as a chelating moiety [88] (Figure 26).
Figure 26.
Re3+ (105–108) 99mTc3+ ([99mTc]105–108) complexes based on arylbenzoxazole with a BAT metal-chelating moiety, designed for SPECT imaging of Aβ plaques.
In vitro fluorescent staining with rhenium complexes 105–108 with Aβ plaques, neuropathological staining with the brain sections of a Tg-mice and an AD patient showed specific Aβ-binding of the complexes. An in vitro competition binding assay was performed using [125I] IMPY as the competing radioligand. A moderate Aβ-binding affinity of 105 and 106 (Ki = 128.21 and 393.18 nM) and a high affinity of complexes 107 and 108 (Ki = 15.86 and 37.19 nM) with N,N-dimethyl amino group was estimated. 99mTc-labeled complexes were prepared by a ligand exchange reaction from the intermediate 99mTc-glucoheptonate. In vitro autoradiography in Tg-mice brain tissue showed labeling of cortex, hippocampus, and cerebellum regions by [99mTc]107. Biodistribution studies of coordination compounds displayed higher initial brain uptake of N,N-dimethylated derivatives and brain2min/brain60min ratio than the N-monomethylated analogs ([99mTc]105 vs [99mTc]107 and [99mTc]106 vs [99mTc]108).
Jia et al. reported a design and biological evaluation of a series of negatively charged imaging probes with limited BBB penetration for the selective detection of vascular Aβ deposition [89]. Eight 99mTc(CO)3-labeled benzothiazole derivatives [99mTc]109–116 and their Re(III) analogues 109–116 were designed as potential SPECT imaging probes for cerebrovascular Aβ deposition (Figure 27). Rhenium surrogates 109–116 displayed high affinities to Aβ aggregates with Ki values ranging from 42 to 106 nM, rhenium complex 116 with the longest carbon linker length (n = 6) displayed the highest affinity to Aβ1−42 aggregates (Ki = 42.2 nM). Complex 115 also demonstrated unambiguous and specific labeling of Aβ plaques in brain sections from Tg-mice. 99mTc-labeled coordination compounds [99mTc]109–116 were obtained by ligand exchange reactions with fac–[99mTc(CO)3(H2O)3]+.
Figure 27.
Negatively charged imaging probes [99mTc]109–116 designed for the selective detection of vascular Aβ deposition, and their Re3+ analogues 109–116.
Autoradiography studies in AD human brain tissue proved the ability of coordination compound [99mTc]116 to bind Aβ deposits in blood vessels but not in cerebral parenchyma on brain sections of an AD patient, while [125I]IMP labeled both. Ex vivo autoradiography studies in Tg-mice and wild-type mice were also performed. The radioactive spots were found to concentrate at the site of the blood vessels in the Tg-mice brain tissue, as identified by in vitro fluorescence staining using thioflavin-S. Biodistribution studies of [99mTc]116 show a relatively low brain uptake equal to 1.21% ± 0.22% ID/g at 2 min post-injection and rapid blood washout with an approximately 23-fold decline in blood radioactivity at 60 min post-injection. Other complexes showed worse brain uptake. The authors claimed that coordination compounds [99mTc]109–116 are prospective as cerebrovascular Aβ-visualization agents.
Zhang et al. designed a series of sixteen 99mTc-labeled imaging probes [99mTc]117–132 for Aβ plaques based on 2-arylbenzothiazoles conjugated with a bis(aminoethanethiol) (BAT) chelating moiety and their Re(III) analogues 117–132 [90] (Figure 28). An in vitro binding affinity of rhenium complexes 117–132 to aggregated Aβ1−42 peptide was estimated by a competitive binding assay using [125I]IMPY as a reference ligand. The results obtained proved that both the introduction of a dimethylamine group and an increase in the length of the linker between the amyloid affinity and the metal-chelating moiety promotes Aβ binding of the resulting coordination compounds. Compounds 120 and 122 showed a binding affinity (respectively 8.4 and 8.8 nM) surpassing that of IMPY, a widely used imaging agent. Binding of the coordination compound to Aβ plaques in Tg-mice and AD brain tissue samples was also proven using in vitro fluorescent staining with thioflavin-S as a control.
Figure 28.
Re(III) coordination compounds 117–132 based on 2-arylbenzothiazoles conjugated with a BAT chelating moiety.
99mTc-labeled probes [99mTc]117–132 were obtained using a ligand exchange reaction with 99mTc−glucoheptonate. The ability of the purified 99mTc-labeled probes [99mTc]118–134 to bind Aβ plaques was tested in brain slices from Tg-mice. Biodistribution studies of 99mTc-labeled complexes were conducted. [99mTc]124 indicated its suitability as a diagnostic probe. 99mTc-labeled coordination compound [99mTc]124 showed relatively high initial brain uptake (2.11% ID/g at 2 min) and a reasonable clearance rate (0.62% ID/g at 60 min), in contrast to other complexes, which exhibited poor brain uptake (less than 1% ID/ g at 2 min) and slow clearance, presumably because of their higher lipophilicity and nonspecific binding to plasma proteins.
SPECT images of coordination compound [99mTc]122 in rhesus monkeys were registered, and the images revealed radioactivity accumulation in the brain, indicating permeation of [99mTc]121 through the BBB (Table 6). This is the first assessment of a 99mTc-labeled Aβ probe in nonhuman primates.
Table 6.
[99mTc]122 brain accumulation in rhesus monkeys (M04: 4-year-old, male; F27: 27-year-old, female).
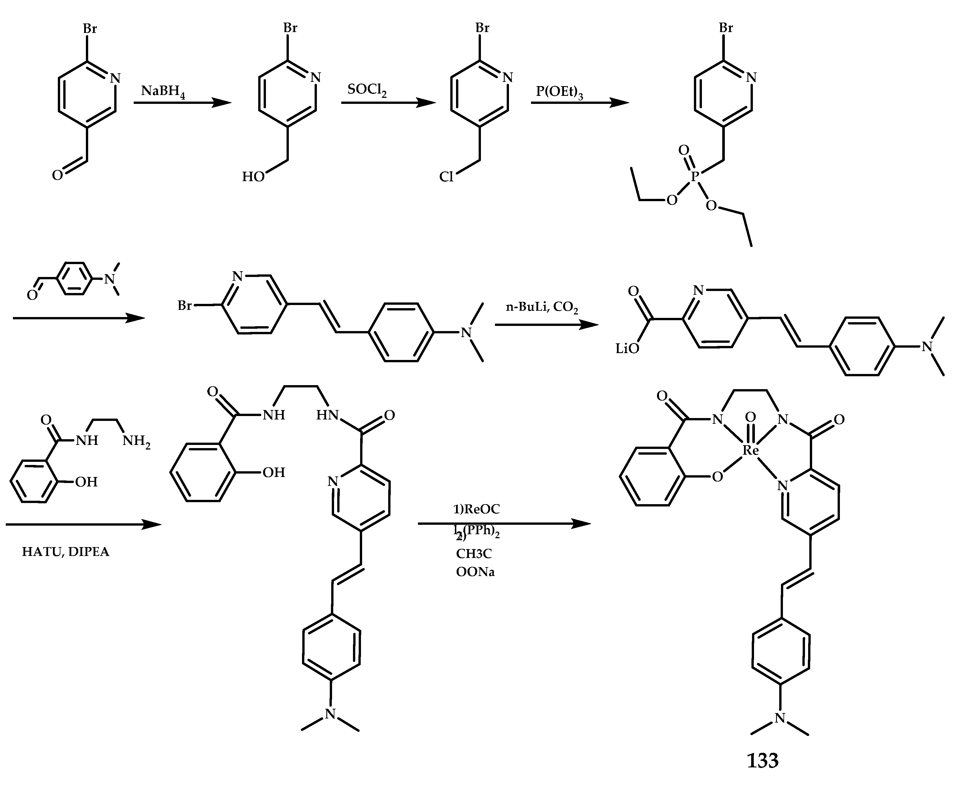
Hayne et al. reported oxotechentium(V) and oxorhenium(V) complexes [99mTc]133 and 133 based on a styrylpyridyl functional group with 2-aminoethyl-2-hydroxybenzamide as a chelating moiety [91] (Figure 29). The affinity of 133 for Aβ1−42 fibrils was estimated to be Ki = 855 nM using a fluorescence competition assay against Thioflavin T. It was also shown that 133 binds to Aβ plaques in human brain tissue using human AD brain sections.
Figure 29.
Oxorhenium(V) complexes 133 based on a styrylpyridyl functional group with 2-aminoethyl-2-hydroxybenzamide as a chelating moiety, designed for SPECT imaging of Aβ plaques.
Kiritsis et al. reported a 2-(4′-aminophenyl)benzothiazole-based 99mTc-radioagent [99mTc]134 and its Re(III) analogue 134 [92] (Figure 30). A strong affinity of 134 for Aβ plaques in brain sections from an AD patient was proven using confocal microscopy. The binding affinity of 134 for Aβ42 was measured in vitro by competition binding assay between the stable 134 and its radioactive 99mTc-labeled analogue [99mTc]134, and the obtained Ki was 13.6 ± 4.8 nM.
Figure 30.
2-(4′-aminophenyl)benzothiazole-based 99mTc-radioagent [99mTc]134 and its Re(III) analogue 134, designed for SPECT imaging of Aβ plaques.
Biodistribution experiments of [99mTc]134 in Swiss albino mice revealed a moderate initial brain uptake of 0.53% ID/g at 2 min and slow clearance of radioactivity from the brain with a brain2min/brain90min ratio of 2.1. Administration of [99mTc]134 in 5xFAD Tg-mice showed that 0.52% ID/g of radioactivity is recorded in the brain at 2 min, a result similar to that in healthy mice. But the significant increase of radioactivity in the brain of 5xFAD Tg-mice with time (1.94% ID/g at 90 min post-injection) is consistent with retention of [99mTc]134 through binding to Aβ plaques.
Iikuni et al. reported three novel 99mTc complexes [99mTc]135–137 based on a phenylquinoxaline scaffold and their model Re(III) analogues 135–137 [93] (Figure 31).
Figure 31.
99mTc complexes [99mTc]135–137 based on a phenylquinoxaline scaffold and their model Re(III) analogues 135–137, designed for SPECT imaging of Aβ plaques.
An in vitro binding experiment in solution showed promising Aβ affinity for complex 135 and average binding affinity for complex 136. The affinity increased in the order of the N,N-dimethylated derivative > N-monomethylated derivative > primary amino derivative.
The brain uptake for 99mTc-labeled complex [99mTc]135 was found to be 0.88%, and the brain2min/brain60min ratio was 3.52. An ex vivo autoradiographic examination was also performed using a Tg2576 mice, and [99mTc]135 showed intensive radioactive spots in sections from the Tg2576 mice but not from the age-matched mice. In addition, these spots corresponded with Aβ depositions confirmed by fluorescent staining in the same sections with thioflavin-S.
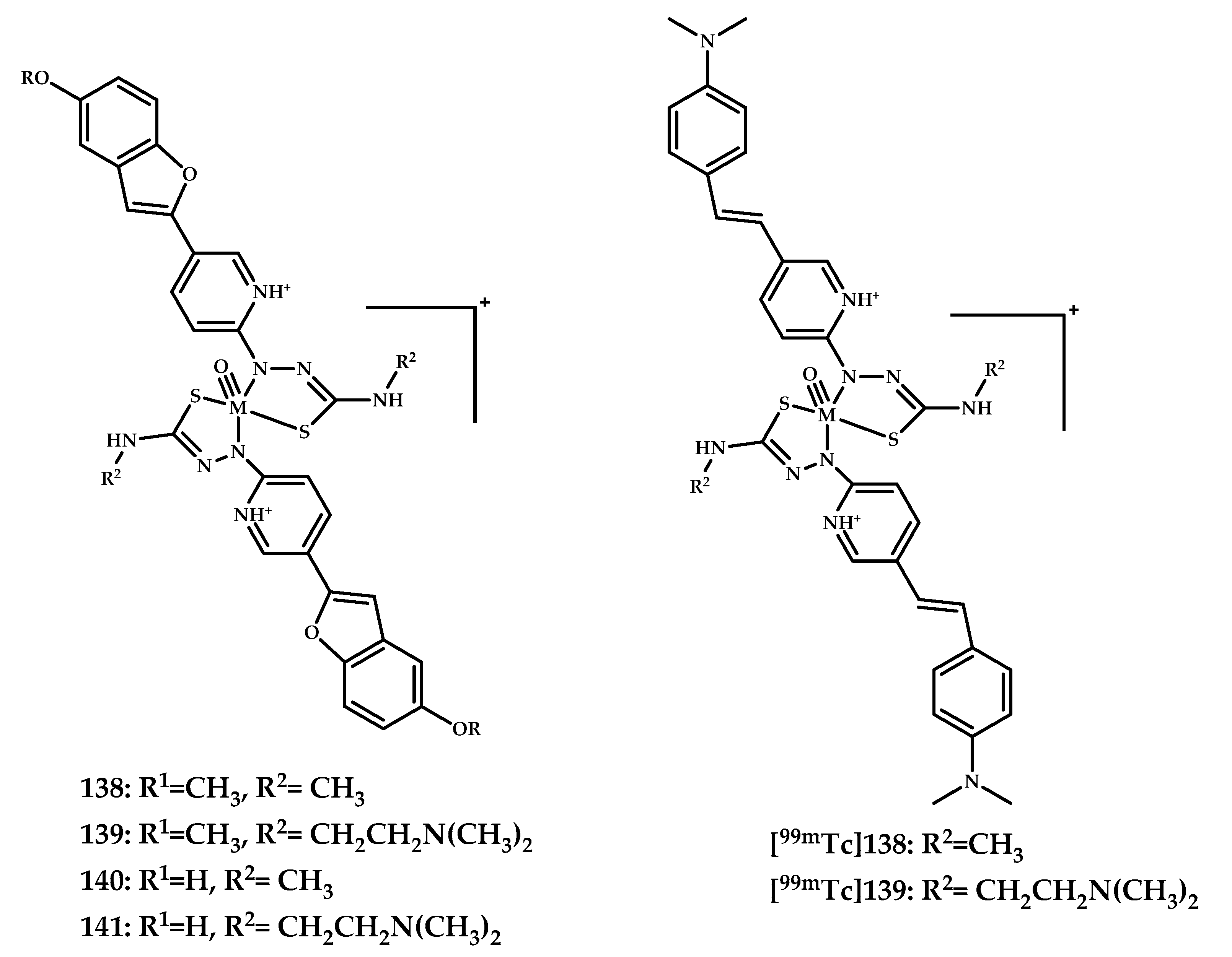
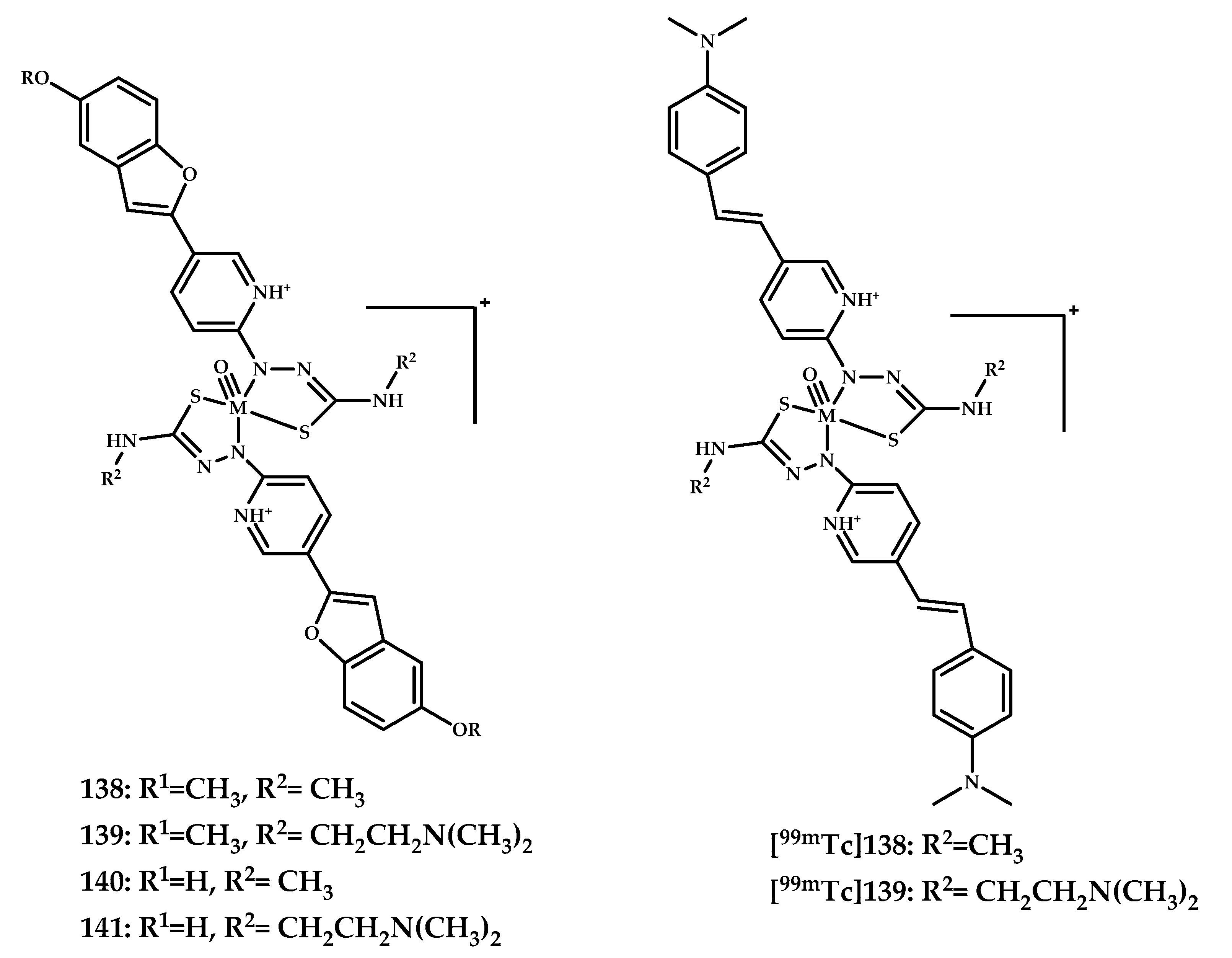
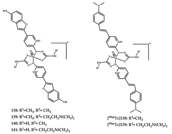
Fletcher et al. reported six Re(III) complexes 138–142 based on styrilpyridyl and benzofuran moieties [94] (Figure 32). An affinity to Aβ plagues was investigated using a ThT assay, and the obtained results suggested that the complexes either bind competitively with ThT to Aβ1–42 fibrils or inhibit fibril formation. 99mTc-labeled coordination compounds [99mTc]138 and [99mTc]139 were also obtained.
Figure 32.
Re(III) complexes 138–142 based on styrilpyridyl and benzofuran moieties, and 99mTc labeled coordination compounds [99mTc]138 and [99mTc]139, designed for SPECT imaging of Aβ plaques.
Molavipordanjani et al. reported two novel radiolabeled 2-arylimidazo[2,1-b]benzothiazoles 143 and 144 [95] (Figure 33). The affinity of the coordination compounds for Aβ1–42 aggregates was evaluated, and both radiolabeled complexes showed a significant Aβ binding. Tissue staining and autoradiography with Congo Red as a control proved an ability of the obtained complexes 143 and 144 to bind to Aβ plaques in the brain sections of the rat AD model. Biodistribution studies in normal BALB/C mice showed an initial brain uptake of 0.78% and 0.86% ID/g respectively, for 143 and 144 in normal mice, followed by a nearly complete washout within an hour.
Figure 33.
Radiolabeled 2-arylimidazo[2,1-b]benzothiazoles 143 and 144, designed for SPECT imaging of Aβ plaques.
Sagnou et al. reported synthesis of three novel 99mTc complexes [99mTc]145–[99mTc]147 and their corresponding Re analogues 145–147, in which the phenyl ring of the classical Aβ-binding structures 2-phenylbenzothiazole or 2-phenylbenzimidazole is replaced by cyclopentadienyl tricarbonyl [Cp99mTc(CO)3] [96] (Figure 34).
Figure 34.
99mTc complexes [99mTc]145–[99mTc]147 and their corresponding Re analogues 145–147 designed for SPECT imaging of Aβ plaques.
The affinity of complexes 145–147 for Aβ plaques was evaluated with confocal microscopy on human AD brain sections. All three complexes bind selectively to the Aβ plaques. Competition binding assays between the stable Re complexes 145–147 and their radioactive 99mTc counterparts [99mTc]145–[99mTc]147 showed Ki values of 65.8 ± 21.3, 7.0 ± 2.9, and 5.7 ± 2.9 nM. Biodistribution experiments showed brain uptake of [99mTc]145 (7.94 ± 1.46%) comparable to that of 18F-florbetapir (7.33% ID/g at 2 min), fast blood clearance, and lack of retention in brain tissue.
Biodistribution of [99mTc]145 in 5xFAD Tg-mice showed AD brain accumulation of 3.90 ± 0.19 for Tg-mice and 2.68 ± 0.06 for wild-type mice (15 min post-injection). The Re complexes 145–147 also showed an anti-amyloid therapeutic potential.
Jokar et al. designed a 99mTc agent 148 with a lipophilic peptide scaffold, 99mTc-Cp-GABA-D-(FPLIAIMA)-NH2 [97] (Figure 35).
Figure 35.
99mTc-Cp-GABA-D-(FPLIAIMA)-NH2148 based on an Aβ-affinitive peptide scaffold, designed for SPECT imaging of Aβ plaques.
Binding affinity studies were carried out on Aβ aggregation, and the respective observed values of Kd and Bmax were 20.22 ± 7.26 μM and 201,700 ± 8750.89 bound molecules/plaque. In vitro autoradiography studies, scintigraphy, and fluorescence staining were performed on the brain sections of AD and normal rats and also on brain sections of AD, normal, and schizophrenia patients for better confirmation. The radiopeptide displayed a good binding affinity for the Aβ plaques on brain sections of AD rats and a significant binding affinity for Aβ plaques in human brain sections. Brain uptake in AD and normal rats was respectively 0.38% and 0.35%, and brain uptake of radiopeptide on AD brain increased 2 min post-injection and slowly dropped at 30 min, as compared with normal ones. Biodistribution studies in the presence of a p-glycoprotein (PgP) blocker and SPECT/CT imaging studies were also performed following intravenous administration of the probe. The analyzed images showed significant radioactivity uptake in the AD brains compared with uptake in normal rats.
5. Conclusions
Among various strategies utilized to obtain copper-based AD imaging agents, compound 1 with a low molecular mass and ATSM chelating moiety demonstrated the highest level of brain uptake at 2 min post-injection. We note that modification of the ATSM moiety with polyamine led to a significant increase in brain uptake. Other Cu-chelating fragments such as DOTA lead to a decrease in brain uptake compared with Cu-ATSM-based complexes.
Gd/Ga complexes designed for MRI and PET imaging of Aβ showed good in vitro activity, but when tested in vivo, those compounds showed little to no BBB penetration, which can result from the presence of rigid DOTA/DO3A, etc., scaffolds used to chelate Gd/Ga. The most potent compound 71 demonstrated a brain uptake of 1.24% ID/g at 2 min post-injection despite a MW ≈ 1000, which is far beyond the optimal mass for BBB penetration.
Some of the 99mTc-based coordination compounds demonstrated promising in vitro and in vivo activity. The most potent complexes for SPECT imaging were compounds 145–147 with piano stool moieties coupled with Aβ-binding benzothiazole scaffolds, with 145 showing a brain uptake of 7.94% at 2 min post-injection. When rigid chelating structures, long linkers, and heavy Aβ-binding fragments are used, the BBB penetrability of the resulting coordination compounds decreases dramatically, as shown for 92–95 and 107–132.
Metal-based imaging agents for AD allow noninvasive imaging of Aβ plaques, a crucial procedure for successful AD diagnosis and therapy. There is a strong need for new efficient AD imaging probes, and this area of research is therefore thriving. The radioisotopes 64Cu, 68Ga, and 99mTc are promising and can be obtained either by cyclotrons or by radioisotope generators. They also have half-lives much longer than do 18F and 11C, which are currently used for imaging. Radioactive metal isotopes can be introduced at the last step of synthesizing an imaging agent, which reduces the potential activity loss.
Among the vast variety of compounds considered in this review, the most promising results were shown by Cu2+-based coordination compounds 1 and 11 for PET imaging, Gd3+-based coordination compound 40 for MRI, and 99mTc-based coordination compound 145 for SPECT imaging, demonstrating the best Aβ-binding affinity and brain uptake at 2 min post-injection while being light-weight complexes with small Aβ-binding fragments.
Author Contributions
Conceptualization, O.K. and D.S.; Writing—Original Draft Preparation, O.K. and D.S.; Writing—Review & Editing, O.K., D.S., A.Z., K.P., P.G., A.E.; Visualization, D.S., A.Z., K.P.; Supervision, P.G., A.E.; Project Administration, E.B. A.M.; Funding Acquisition, P.G., A.E., A.M. All authors have read and agreed to the published version of the manuscript.
Funding
This research was funded by the Ministry of Education and Science of the Russian Federation implemented by governmental decree No. 211 dated 16 March 2013, and by the Russian Science Foundation, Grant No. 20-14-00312.
Conflicts of Interest
The authors declare no conflict of interest.
Abbreviations
| [125I]IMPY | ([125I]6-iodo-2-(40-dimethylamino)-phenyl-imidazo [1,2-a]pyridine) |
| ICP-MS | inductively coupled plasma mass spectrometry |
| [18F]FDDNP | (1,1-dicyanopropen-2-yl)-6-(2-[18F]-fluoroethyl)-methylamino-naphthalene |
| SPECT | single-photon emission computed tomography |
| PET | positron emission tomography |
| MRI | magnetic resonance imaging |
| AD | Alzheimer’s disease |
| BBB | Blood-brain barrier |
| CAA | cerebral amyloid angiopathy |
| PgP | P-glycoprotein |
| TEM | transmission electron microscopy |
| Tg-mice | transgenic mice |
| ThT | Thioflavin-T |
| DOTA | 1,4,7,10-tetraazacyclododecane-1,4,7,10-tetraacetic acid |
| DO3A | 1,4,7,10-tetraazacyclododecane-1,4,7-triacetic acid |
| PCTA | 3,6,9,15-tetraaza bicyclo[9.3.1]-pentadeca1(15),11,13-triene-3,6,9-triacetic acid |
| HBED-CC | N,N’-bis[2-hydroxy-5-(carboxyethyl)benzyl]ethylenediamine-N,N’-diacetic acid |
| NODAGA | 1,4,7-triazacyclononane,1-glutaric acid-4,7-acetic acid |
| AAZTA | 1,4-bis(carboxymethyl)-6-[bis(carboxymethyl)]amino-6-methylperhydro-1,4-diazepine |
| BAT- | Bis-amino bis-thiol |
| MAMA | Monoamine-monoamide dithiols |
| IC50 | The half maximal inhibitory concentration |
| MTT | (3-(4,5-dimethylthiazol-2-yl)-2,5-diphenyltetrazolium bromide |
| PIB | 2-(4′-[11C]methylaminophenyl)-6-hydroxybenzothiazole |
References
- Penke, B.; Szűcs, M.; Bogár, F. Oligomerization and Conformational Change Turn Monomeric β-Amyloid and Tau Proteins Toxic: Their Role in Alzheimer’s Pathogenesis. Molecules 2020, 25, 1659. [Google Scholar] [CrossRef]
- Chen, G.-F.; Xu, T.-H.; Yan, Y.; Zhou, Y.-R.; Jiang, Y.; Melcher, K.; Xu, H.E. Amyloid beta: Structure, biology and structure-based therapeutic development. Acta Pharmacol. Sin. 2017, 38, 1205–1235. [Google Scholar] [CrossRef]
- Savelieff, M.G.; Lee, S.; Liu, Y.; Lim, M.H. Untangling Amyloid-β, Tau, and Metals in Alzheimer’s Disease. ACS Chem. Biol. 2013, 8, 856–865. [Google Scholar] [CrossRef]
- LaFerla, F.M.; Green, K.N.; Oddo, S. Intracellular amyloid-β in Alzheimer’s disease. Nat. Rev. Neurosci. 2007, 8, 499–509. [Google Scholar] [CrossRef]
- Verhoeff, N.P.; Wilson, A.A.; Takeshita, S.; Trop, L.; Hussey, D.; Singh, K.; Kung, H.F.; Kung, M.P.; Houle, S. In-vivo imaging of Alzheimer disease beta-amyloid with [11C]SB-13 PET. Am. J. Geriatr. Psychiatry 2004, 12, 584–595. [Google Scholar]
- Rowe, C.C.; Villemagne, V.L. Brain Amyloid Imaging. J. Nucl. Med. Technol. 2013, 41, 11–18. [Google Scholar] [CrossRef]
- Roe, C.M.; Fagan, A.M.; Grant, E.A.; Hassenstab, J.; Moulder, K.L.; Dreyfus, D.M.; Sutphen, C.L.; Benzinger, T.L.S.; Mintun, M.A.; Holtzman, D.M.; et al. Amyloid imaging and CSF biomarkers in predicting cognitive impairment up to 7.5 years later. Neurology 2013, 80, 1784–1791. [Google Scholar] [CrossRef]
- Therriault, J.; Benedet, A.; Pascoal, T.A.; Savard, M.; Ashton, N.; Chamoun, M.; Tissot, C.; Lussier, F.; Kang, M.S.P.; Bezgin, G.; et al. Determining Amyloid-β positivity using [18F]AZD4694 PET imaging. J. Nucl. Med. 2020, 120, 245209. [Google Scholar]
- Chang, Y.; Li, C.; Yang, H.; Wu, Y.; Xu, B.; Zhang, J.; Wang, R. 18F-Florbetaben Amyloid PET Imaging: A Chinese Study in Cognitive Normal Controls, Mild Cognitive Impairment, and Alzheimer’s Disease Patients. Front. Neurosci. 2020, 14, 745. [Google Scholar] [CrossRef]
- Cohen, A.D.; Rabinovici, G.D.; Mathis, C.A.; Jagust, W.J.; Klunk, W.E.; Ikonomovic, M.D. Using Pittsburgh Compound B for In Vivo PET Imaging of Fibrillar Amyloid-Beta. Adv. Pharmacol. 2012, 64, 27–81. [Google Scholar]
- Carotenuto, A.; Giordano, B.; Dervenoulas, G.; Wilson, H.; Veronese, M.; Chappell, Z.; Polychronis, S.; Pagano, G.; Mackewn, J.; Turkheimer, F.E.; et al. [18F] Florbetapir PET/MR imaging to assess demyelination in multiple sclerosis. Eur. J. Nucl. Med. Mol. Imaging 2020, 47, 366–378. [Google Scholar] [CrossRef] [PubMed]
- Chételat, G.; Arbizu, J.; Barthel, H.; Garibotto, V.; Law, I.; Morbelli, S.; van de Giessen, E.; Agosta, F.; Barkhof, F.; Brooks, D.J.; et al. Amyloid-PET and 18F-FDG-PET in the diagnostic investigation of Alzheimer’s disease and other dementias. Lancet Neurol. 2020, 19, 951–962. [Google Scholar] [CrossRef]
- Moynier, F.; Creech, J.; Dallas, J.; Le Borgne, M. Serum and brain natural copper stable isotopes in a mice model of Alzheimer’s disease. Sci. Rep. 2019, 9, 1–7. [Google Scholar] [CrossRef]
- Lau, J.; Rousseau, E.; Kwon, D.; Lin, K.-S.; Bénard, F.; Chen, X. Insight into the Development of PET Radiopharmaceuticals for Oncology. Cancers 2020, 12, 1312. [Google Scholar] [CrossRef] [PubMed]
- Meisenheimer, M.; Saenko, Y.; Eppard, E. Gallium-68: Radiolabeling of Radiopharmaceuticals for PET Imaging—A Lot to Consider. Med Isot. 2019. [Google Scholar] [CrossRef]
- Romero, E.; Martínez, A.; Oteo, M.; Ibañez, M.; Santos, M.; Morcillo, M.Á. Development and long-term evaluation of a new 68Ge/68Ga generator based on nano-SnO2 for PET imaging. Sci. Rep. 2020, 10, 12756. [Google Scholar] [CrossRef]
- Dash, A.; Chakravarty, R. Radionuclide generators: The prospect of availing PET radiotracers to meet current clinical needs and future research demands. Am. J. Nucl. Med. Mol. Imaging 2019, 9, 30–66. [Google Scholar]
- Boschi, A.; Uccelli, L.; Martini, P. A Picture of Modern Tc-99m Radiopharmaceuticals: Production, Chemistry, and Applications in Molecular Imaging. Appl. Sci. 2019, 9, 2526. [Google Scholar] [CrossRef]
- Wang, C.; Wang, X.; Chan, H.; Chan, H.-N.; Liu, G.; Wang, Z.; Li, H.; Li, H.-W.; Wong, M.S. Amyloid-β Oligomer-Targeted Gadolinium-Based NIR/MR Dual-Modal Theranostic Nanoprobe for Alzheimer’s Disease. Adv. Funct. Mater. 2020, 30, 1909529. [Google Scholar] [CrossRef]
- Abbott, N.J.; Patabendige, A.A.K.; Dolman, D.E.M.; Yusof, S.R.; Begley, D.J. Structure and function of the blood-brain barrier. Neurobiol. Dis. 2010, 37, 13–25. [Google Scholar] [CrossRef]
- Daneman, R.; Prat, A. The Blood-Brain Barrier. Cold Spring Harb. Perspect. Biol. 2015, 7, a020412. [Google Scholar] [CrossRef]
- He, Q.; Liu, J.; Liang, J.; Liu, X.; Li, W.; Liu, Z.; Ding, Z.; Tuo, D. Towards improvements for penetrating the blood-brain barrier—Recent progress from a material and pharmaceutical perspective. Cells 2018, 7, 24. [Google Scholar] [CrossRef]
- Rautio, J.; Laine, K.; Gynther, M.; Savolainen, J. Prodrug approaches for CNS delivery. AAPS J. 2008, 10, 92–102. [Google Scholar] [CrossRef]
- Aryal, M.; Arvanitis, C.D.; Alexander, P.M.; McDannold, N. Ultrasound-mediated blood-brain barrier disruption for targeted drug delivery in the central nervous system. Adv. Drug Deliv. Rev. 2014, 72, 94–109. [Google Scholar] [CrossRef]
- Polat, B.E.; Blankschtein, D.; Langer, R. Low-frequency sonophoresis: Application to the transdermal delivery of macromolecules and hydrophilic drugs. Expert Opin. Drug Deliv. 2010, 7, 1415–1432. [Google Scholar] [CrossRef]
- Wood, I.S.; Trayhurn, P. Glucose transporters (GLUT and SGLT): Expanded families of sugar transport proteins. Br. J. Nutr. 2007, 89, 3–9. [Google Scholar] [CrossRef] [PubMed]
- Oddo, A.; Peng, B.; Tong, Z.; Wei, Y.; Tong, W.Y.; Thissen, H.; Voelcker, N.H. Advances in Microfluidic Blood-Brain Barrier (BBB) Models. Trends Biotechnol. 2019, 12, 1295–1314. [Google Scholar] [CrossRef]
- Di Lullo, E.; Kriegstein, A.R. The use of brain organoids to investigate neural development and disease. Nat. Rev. Neurosci. 2017, 18, 573–584. [Google Scholar] [CrossRef]
- Salman, M.M.; Marsh, G.; Kusters, I.; Delincé, M.; Di Caprio, G.; Upadhyayula, S.; de Nola, G.; Hunt, R.; Ohashi, K.G.; Gray, T.; et al. Design and Validation of a Human Brain Endothelial Microvessel-on-a-Chip Open Microfluidic Model Enabling Advanced Optical Imaging. Front. Bioeng. Biotechnol. 2020, 8, 1077. [Google Scholar] [CrossRef]
- Mensch, J.; Oyarzabal, J.; Mackie, C.; Augustijns, P. In vivo, in vitro and in silico methods for small molecule transfer across the BBB. J. Pharm. Sci. 2009, 98, 4429–4468. [Google Scholar] [CrossRef]
- Van de Waterbeemd, H.; Camenisch, G.; Folkers, G.; Chretien, J.R.; Raevsky, O.A. Estimation of blood-brain barrier crossing of drugs using molecular size and shape, and H-bonding descriptors. J.Drug Target 1998, 6, 151–165. [Google Scholar] [CrossRef]
- Sedgwick, A.C.; Brewster II, J.T.; Harvey, P.; Iovan, D.A.; Smith, G.; He, X.-P.; Tian, H.; Sessler, J.L.; James, T.D. Metal-based imaging agents: Progress towards interrogating neurodegenerative disease. Chem. Soc. Rev. 2020, 49, 2886–2915. [Google Scholar] [CrossRef]
- Gomes, L.M.F.; Bataglioli, J.C.; Storr, T. Metal complexes that bind to the amyloid-β peptide of relevance to Alzheimer’s disease. Coord. Chem. Rev. 2020, 412, 213255. [Google Scholar] [CrossRef]
- Liu, H.; Qu, Y.; Wang, X. Amyloid β-targeted metal complexes for potential applications in Alzheimer’s disease. Future Med. Chem. 2018, 10, 679–701. [Google Scholar] [CrossRef]
- Daghighian, F.; Sumida, R.; Phelps, M.E. PET Imaging: An Overview and Instrumentation. J. Nucl. Med. Technol. 1990, 18, 5–15. [Google Scholar]
- Sin, I.; Kang, C.S.; Bandara, N.; Sun, X.; Zhong, Y.L.; Rogers, B.E.; Chong, H.S. Novel hexadentate and pentadentate chelators for 64Cu-based targeted PET imaging. Bioorg. Med. Chem. 2014, 22, 2553–2562. [Google Scholar] [CrossRef]
- Kim, D.-K.; Song, J.-W.; Park, J.-D.; Choi, B.-S. Copper induces the accumulation of amyloid-beta in the brain. Mol. Cell. Toxicol. 2013, 9, 57–66. [Google Scholar] [CrossRef]
- Liu, T.; Karlsen, M.; Karlberg, A.M.; Redalen, K.R. Hypoxia imaging and theranostic potential of [64Cu][Cu(ATSM)] and ionic Cu(II) salts: A review of current evidence and discussion of the retention mechanisms. Eur. J. Nucl. Med. Mol. Imaging 2020, 10, 33. [Google Scholar] [CrossRef]
- Sharma, A.K.; Schultz, J.W.; Prior, J.T.; Rath, N.P.; Mirica, L.M. Coordination Chemistry of Bifunctional Chemical Agents Designed for Applications in 64Cu PET Imaging for Alzheimer’s Disease. Inorg. Chem. 2017, 56, 13801–13814. [Google Scholar] [CrossRef]
- Lim, S.; Paterson, B.M.; Fodero-Tavoletti, M.T.; O’Keefe, G.J.; Cappai, R.; Barmham, K.J.; Villemagne, V.L.; Donnelly, P.S. A copper radiopharmaceutical for diagnostic imaging of Alzheimer’s disease: A bis(thiosemicarbazonato)copper(II) complex that binds to amyloid-β plaques. Chem. Commun. 2010, 46, 5437–5439. [Google Scholar] [CrossRef]
- Hickey, J.L.; Lim, S.; Hayne, D.J.; Paterson, B.M.; White, J.M.; Villemagne, V.L.; Roselt, P.; Binns, D.; Cullinane, C.; Jeffery, C.M.; et al. Diagnostic Imaging Agents for Alzheimer’s Disease: Copper Radiopharmaceuticals that Target Aβ Plaques. J. Am. Chem. Soc. 2013, 135, 16120–16132. [Google Scholar] [CrossRef] [PubMed]
- McInnes, L.E.; Noor, A.; Kysenius, K.; Cullinane, C.; Roselt, P.; McLean, C.A.; Chiu, F.C.K.; Powell, A.K.; Crouch, P.J.; White, J.M.; et al. Potential Diagnostic Imaging of Alzheimer’s Disease with Copper-64 Complexes That Bind to Amyloid-β Plaques. Inorg. Chem. 2019, 58, 3382–3395. [Google Scholar] [CrossRef] [PubMed]
- McInnes, L.E.; Noor, A.; Roselt, P.D.; McLean, C.A.; White, J.M.; Donnelly, P.S. A Copper Complex of a Thiosemicarbazone-Pyridylhydrazone Ligand Containing a Vinylpyridine Functional Group as a Potential Imaging Agent for Amyloid-β Plaques. Aust. J. Chem. 2019, 72, 827. [Google Scholar] [CrossRef]
- Noor, A.; Hayne, D.J.; Lim, S.; Van Zuylekom, J.K.; Cullinane, C.; Roselt, P.D.; McLean, C.A.; White, J.M.; Donnelly, P.S. Copper Bis(thiosemicarbazonato)-stilbenyl Complexes That Bind to Amyloid-β Plaques. Inorg. Chem. 2020, 59, 11658–11669. [Google Scholar] [CrossRef] [PubMed]
- Paterson, B.M.; Cullinane, C.; Crouch, P.J.; White, A.R.; Barnham, K.J.; Roselt, P.D.; Noonan, W.; Binns, D.; Hicks, R.J.; Donnelly, P.S. Modification of Biodistribution and Brain Uptake of Copper Bis(thiosemicarbazonato) Complexes by the Incorporation of Amine and Polyamine Functional Groups. Inorg. Chem. 2019, 58, 4540–4552. [Google Scholar] [CrossRef]
- Watanabe, H.; Kawasaki, A.; Sano, K.; Ono, M.; Saji, H. Synthesis and evaluation of copper-64 labeled benzofuran derivatives targeting β-amyloid aggregates. Bioorg. Med. Chem. 2016, 24, 3618–3623. [Google Scholar] [CrossRef]
- Bandara, N.; Sharma, A.K.; Krieger, S.; Schultz, J.W.; Han, B.H.; Rogers, B.E.; Mirica, L.M. Evaluation of 64Cu-Based Radiopharmaceuticals that Target Aβ Peptide Aggregates as Diagnostic Tools for Alzheimer’s Disease. J. Am. Chem. Soc. 2017, 139, 12550–12558. [Google Scholar] [CrossRef]
- Huang, Y.; Cho, H.-J.; Bandara, N.; Sun, L.; Tran, D.; Rogers, B.E.; Mirica, L.M. Metal-chelating benzothiazole multifunctional compounds for the modulation and 64Cu PET imaging of Aβ aggregation. Chem. Sci. 2020, 11, 7789–7799. [Google Scholar] [CrossRef]
- Sharma, A.K.; Pavlova, S.T.; Kim, J.; Finkelstein, D.; Hawco, N.J.; Rath, N.P.; Kim, J.; Mirica, L.M. Bifunctional Compounds for Controlling Metal-Mediated Aggregation of the Aβ42 Peptide. J. Am. Chem. Soc. 2012, 134, 6625–6636. [Google Scholar] [CrossRef]
- Sharma, A.K.; Kim, J.; Prior, J.T.; Hawco, N.J.; Rath, N.P.; Kim, J.; Mirica, L.M. Small Bifunctional Chelators That Do Not Disaggregate Amyloid β Fibrils Exhibit Reduced Cellular Toxicity. Inorg. Chem. 2014, 53, 11367–11376. [Google Scholar] [CrossRef]
- Banerjee, S.R.; Pomper, M.G. Clinical applications of Gallium-68. Appl. Radiat. Isot. 2013, 76, 2–13. [Google Scholar] [CrossRef] [PubMed]
- Moerlein, S.M.; Welch, M.J. The chemistry of gallium and indium as related to radiopharmaceutical production. Int. J. Nucl. Med. Biol. 1981, 8, 277–287. [Google Scholar] [CrossRef]
- Zhou, Z.; Lu, Z.-R. Gadolinium-based contrast agents for magnetic resonance cancer imaging. Wiley Interdiscip. Rev. Nanomed. Nanobiotechnol. 2013, 5, 1–18. [Google Scholar] [CrossRef] [PubMed]
- Caravan, P.; Ellison, J.J.; McMurry, T.J.; Lauffer, R.B. Gadolinium(III) Chelates as MRI Contrast Agents: Structure, Dynamics, and Applications. Chem. Rev. 1999, 99, 2293–2352. [Google Scholar] [CrossRef]
- Martins, A.F.; Morfin, J.-F.; Kubíčková, A.; Kubíček, V.; Buron, F.; Suzenet, F.; Salerno, M.; Lazar, A.N.; Duyckaerts, C.; Arlicot, N.; et al. PiB-Conjugated, Metal-Based Imaging Probes: Multimodal Approaches for the Visualization of β-Amyloid Plaques. ACS Med. Chem. Lett. 2013, 4, 436–440. [Google Scholar] [CrossRef]
- Martins, A.F.; Morfin, J.-F.; Geraldes, C.F.G.C.; Tóth, É. Gd3+ complexes conjugated to Pittsburgh compound B: Potential MRI markers of β-amyloid plaques. J. Biol. Inorg. Chem. 2014, 19, 281–295. [Google Scholar] [CrossRef]
- Bort, G.; Catoen, S.; Borderies, H.; Kebsi, A.; Ballet, S.; Louin, G.; Port, M.; Ferroud, C. Gadolinium-based contrast agents targeted to amyloid aggregates for the early diagnosis of Alzheimer’s disease by MRI. Eur. J. Med. Chem. 2014, 87, 843–861. [Google Scholar] [CrossRef]
- Watanabe, H.; Ono, M.; Iikuni, S.; Yoshimura, M.; Matsumura, K.; Kimura, H.; Saji, H. A 68Ga complex based on benzofuran scaffold for the detection of β-amyloid plaques. Bioorg. Med. Chem. Lett. 2014, 24, 4834–4837. [Google Scholar] [CrossRef]
- Cressier, D.; Dhilly, M.; Cao Pham, T.T.; Fillesoye, F.; Gourand, F.; Maïza, A.; Martins, A.F.; Morfin, J.-F.; Geraldes, C.F.G.C.; Tóth, É.; et al. Gallium-68 Complexes Conjugated to Pittsburgh Compound B: Radiolabeling and Biological Evaluation. Mol. Imaging Biol. 2016, 18, 334–343. [Google Scholar] [CrossRef]
- Zha, Z.; Song, J.; Choi, S.R.; Wu, Z.; Ploessl, K.; Smith, M.; Kung, H. 68Ga-Bivalent Polypegylated Styrylpyridine Conjugates for Imaging Aβ Plaques in Cerebral Amyloid Angiopathy. Bioconjug. Chem. 2016, 27, 1314–1323. [Google Scholar] [CrossRef]
- Chauhan, K.; Datta, A.; Adhikari, A.; Chuttani, K.; Singh, A.K.; Mishra, A.K. 68Ga based probe for Alzheimer’s disease: Synthesis and preclinical evaluation of homodimeric chalcone in β-amyloid imaging. Org. Biomol. Chem. 2014, 12, 7328. [Google Scholar] [CrossRef] [PubMed]
- Asti, M.; Ferrar, E.; Croci, S.; Atti, G.; Rubagotti, S.; Iori, M.; Capponi, P.C.; Zerbini, A.; Saladini, M.; Versari, A. Synthesis and Characterization of 68Ga-Labeled Curcumin and Curcuminoid Complexes as Potential Radiotracers for Imaging of Cancer and Alzheimer’s Disease. Inorg. Chem. 2014, 53, 4922–4933. [Google Scholar] [CrossRef] [PubMed]
- Rubagotti, S.; Croci, S.; Ferrari, E.; Iori, M.; Capponi, P.C.; Lorenzini, L.; Calzà, L.; Versari, A.; Asti, M. Affinity of (nat/68)Ga-Labelled Curcumin and Curcuminoid Complexes for β-Amyloid Plaques: Towards the Development of New Metal-Curcumin Based Radiotracers. Int. J. Mol. Sci. 2016, 17, 1480. [Google Scholar] [CrossRef] [PubMed]
- Lange, J.L.; Hayne, D.J.; Roselt, P.; McLean, C.A.; White, J.M.; Donnelly, P.S. A gallium(III) Schiff base-curcumin complex that binds to amyloid-β plaques. J. Inorg. Biochem. 2016, 162, 274–279. [Google Scholar] [CrossRef]
- Orteca, G.; Sinnes, J.-P.; Rubagotti, S.; Iori, M.; Capponi, P.C.; Piel, M.; Rösch, F.; Ferrari, E.; Asti, M. Gallium-68 and scandium-44 labelled radiotracers based on curcumin structure linked to bifunctional chelators: Synthesis and characterization of potential PET radiotracers. J. Inorg. Biochem. 2020, 204, 110954. [Google Scholar]
- Gniazdowska, E.; Koźmiński, P.; Halik, P.; Bajda, M.; Czarnecka, K.; Mikiciuk-Olasik, E.; Masłowska, K.; Rogulski, Z.; Cheda, Ł.; Kilian, K.; et al. Synthesis, physicochemical and biological evaluation of tacrine derivative labeled with technetium-99m and gallium-68 as a prospective diagnostic tool for early diagnosis of Alzheimer’s disease. Bioorg. Chem. 2019, 91, 103136. [Google Scholar] [CrossRef]
- Singh, S.; Khar, A. Biological Effects of Curcumin and Its Role in Cancer Chemoprevention and Therapy. AntiCancer Agents Med. Chem. 2006, 6, 933–946. [Google Scholar] [CrossRef]
- Bartik, L.; Whitfield, G.K.; Kaczmarska, M.; Lowmiller, C.L.; Moffet, E.W.; Furmick, J.K.; Hernandez, Z.; Haussler, C.A.; Haussler, M.R.; Jurutka, P.W. Curcumin: A novel nutritionally derived ligand of the vitamin D receptor with implications for colon cancer chemoprevention. J. Nutr. Biochem. 2010, 21, 1153–1161. [Google Scholar] [CrossRef]
- Chen, M.; Du, Z.Y.; Zheng, X.; Li, D.L.; Zhou, R.P.; Zhang, K. Use of curcumin in diagnosis, prevention, and treatment of Alzheimer’s disease. Neural Regen. Res. 2018, 13, 742–752. [Google Scholar]
- Sidiqi, A.; Wahl, D.; Lee, S.; Ma, D.; To, E.; Cui, J.; To, E.; Beg, M.F.; Sarunic, M.; Matsubara, J.A. In vivo Retinal Fluorescence Imaging with Curcumin in an Alzheimer Mice Model. Front. Neurosci. 2020, 14, 713. [Google Scholar] [CrossRef]
- McCrate, O.A.; Zhou, X.; Cegelski, L. Curcumin as an amyloid-indicatordye in E. coli. Chem. Commun. 2013, 49, 4193–4195. [Google Scholar] [CrossRef] [PubMed]
- Thapa, A.; Jett, S.D.; Chi, E.Y. Curcumin Attenuates Amyloid-β Aggregate Toxicity and Modulates Amyloid-β Aggregation Pathway. ACS Chem. Neurosci. 2016, 7, 56–68. [Google Scholar] [CrossRef] [PubMed]
- Teoh, C.L.; Su, D.; Sahu, S.; Yun, S.-W.; Drummond, E.; Prelli, F.; Lim, S.; Cho, S.; Ham, S.; Wisniewski, T.; et al. Chemical Fluorescent Probe for Detection of Aβ Oligomers. J. Am. Chem. Soc. 2015, 137, 13503–13509. [Google Scholar] [CrossRef] [PubMed]
- Ono, K.; Hasegawa, K.; Naiki, H.; Yamada, M.J. Curcumin has potent anti-amyloidogenic effects for Alzheimer’s β-amyloid fibrils in vitro. Neurosci. Res. 2004, 75, 742–750. [Google Scholar] [CrossRef] [PubMed]
- Yang, J.; Cheng, R.; Fu, H.; Yang, J.; Kumar, M.; Lu, J.; Xu, Y.; Liang, S.H.; Cui, M.; Ran, C. Half-curcumin analogues as PET imaging probes for amyloid beta species. Chem. Comm. 2019, 55, 3630–3633. [Google Scholar] [CrossRef] [PubMed]
- Sherin, S.; Balachandran, S.; Abraham, A. Curcumin incorporated titanium dioxide nanoparticles as MRI contrasting agent for early diagnosis of atherosclerosis- rat model. Vet. Anim. Sci. 2020, 10, 100090. [Google Scholar] [CrossRef] [PubMed]
- Ono, M.; Haratake, M.; Mori, H.; Nakayama, M. Novel chalcones as probes for in vivo imaging of beta-amyloid plaques in Alzheimer’s brains. Bioorg. Med. Chem. 2007, 15, 6802–6809. [Google Scholar] [CrossRef]
- Yang, F.; Lim, G.P.; Begum, A.N.; Ubeda, O.J.; Simmons, M.R.; Ambegaokar, S.S.; Chen, P.P.; Kayed, R.; Glabe, C.G.; Frautschy, S.A.; et al. Curcumin Inhibits Formation of Amyloid β Oligomers and Fibrils, Binds Plaques, and Reduces Amyloid in Vivo. J. Biol. Chem. 2005, 280, 5892–5901. [Google Scholar] [CrossRef]
- Jeyarasasingam, G.; Yeluashvili, M.; Quik, M. Tacrine, a reversible acetylcholinesterase inhibitor, induces myopathy. NeuroReport 2000, 11, 1173–1176. [Google Scholar] [CrossRef]
- Meszaros, L.K.; Dose, A.; Biagini, S.C.G.; Blower, P.J. Synthesis and evaluation of analogues of HYNIC as bifunctional chelators for technetium. Dalton Trans. 2011, 40, 6260–6267. [Google Scholar] [CrossRef]
- Fissers, J.; Waldron, A.-M.; De Vijlder, T.; Van Broeck, B.; Pemberton, D.J.; Mercken, M.; Van Der Veken, P.; Joossens, J.; Augustyns, K.; Dedeurwaerdere, S.; et al. Synthesis and Evaluation of a Zr-89-Labeled Monoclonal Antibody for Immuno-PET Imaging of Amyloid-β Deposition in the Brain. Mol. Imaging Biol. 2016, 18, 598–605. [Google Scholar] [PubMed]
- Jia, J.; Cui, M.; Dai, J.; Wang, X.; Ding, Y.-S.; Jia, H.; Liu, B. 99mTc-labeled benzothiazole and stilbene derivatives as imaging agents for Aβ plaques in cerebral amyloid angiopathy. Med. Chem. Comm. 2014, 5, 153–158. [Google Scholar] [CrossRef]
- Li, Z.; Cui, M.; Dai, J.; Wang, X.; Yu, P.; Yang, Y.; Jia, J.; Fu, H.; Ono, M.; Jia, H.; et al. Novel Cyclopentadienyl Tricarbonyl Complexes of 99mTc Mimicking Chalcone as Potential Single-Photon Emission Computed Tomography Imaging Probes for β-Amyloid Plaques in Brain. J. Med. Chem. 2013, 56, 471–482. [Google Scholar] [CrossRef] [PubMed]
- Yang, Y.; Cui, M.; Jin, B.; Wang, X.; Li, Z.; Yu, P.; Jia, J.; Fu, H.; Jia, H.; Liu, B. 99mTc-labeled dibenzylideneacetone derivatives as potential SPECT probes for in vivo imaging of β-amyloid plaque. Eur. J. Med. Chem. 2013, 64, 90–98. [Google Scholar] [CrossRef] [PubMed]
- Iikuni, S.; Ono, M.; Watanabe, H.; Matsumura, K.; Yoshimura, M.; Harada, N.; Kimura, H.; Nakayama, M.; Saji, H. Enhancement of Binding Affinity for Amyloid Aggregates by Multivalent Interactions of 99mTc-Hydroxamamide Complexes. Mol. Pharm. 2014, 11, 1132–1139. [Google Scholar] [CrossRef]
- Iikuni, S.; Ono, M.; Watanabe, H.; Matsumura, K.; Yoshimura, M.; Kimura, H.; Ishibashi-Ueda, H.; Okamoto, Y.; Ihara, M.; Saji, H. Imaging of Cerebral Amyloid Angiopathy with Bivalent 99mTc-Hydroxamamide Complexes. Sci. Rep. 2016, 6, 25990. [Google Scholar] [CrossRef]
- Hayne, D.J.; North, A.J.; Fodero-Tavoletti, M.; White, J.M.; Hung, L.W.; Rigopoulos, A.; McLean, C.A.; Adlard, P.A.; Ackermann, U.; Tochon-Danguy, H.; et al. Rhenium and technetium complexes that bind to amyloid-β plaques. Dalton Trans. 2015, 44, 4933–4944. [Google Scholar] [CrossRef]
- Wang, X.; Cui, M.; Jia, J.; Liu, B. 99mTc-labeled-2-arylbenzoxazole derivatives as potential Aβ imaging probes for single-photon emission computed tomography. Eur. J. Med. Chem. 2015, 89, 331–339. [Google Scholar] [CrossRef]
- Jia, J.; Cui, M.; Dai, J.; Liu, B. 99mTc(CO)3-Labeled Benzothiazole Derivatives Preferentially Bind Cerebrovascular Amyloid: Potential Use as Imaging Agents for Cerebral Amyloid Angiopathy. Mol. Pharm. 2015, 12, 2937–2946. [Google Scholar] [CrossRef]
- Zhang, X.; Yu, P.; Yang, Y.; Hou, Y.; Peng, C.; Liang, Z.; Lu, J.; Chen, B.; Dai, J.; Liu, B.; et al. 99mTc-Labeled 2-Arylbenzothiazoles: Aβ Imaging Probes with Favorable Brain Pharmacokinetics for Single-Photon Emission Computed Tomography. Bioconj. Chem. 2016, 27, 2493–2504. [Google Scholar] [CrossRef]
- Hayne, D.J.; White, J.M.; McLean, C.A.; Villemagne, V.L.; Barnham, K.J.; Donnelly, P.S. Synthesis of Oxorhenium(V) and Oxotechnetium(V) Complexes That Bind to Amyloid-β Plaques. Inorg. Chem. 2016, 55, 7944–7953. [Google Scholar] [CrossRef] [PubMed]
- Kiritsis, C.; Mavroidi, B.; Shegani, A.; Palamaris, L.; Loudos, G.; Sagnou, M.; Pirmettis, I.; Papadopoulos, M.; Pelecanou, M. 2-(4′-Aminophenyl)benzothiazole Labeled with 99mTc-Cyclopentadienyl for Imaging β-Amyloid Plaques. ACS Med. Chem. Lett. 2017, 8, 1089–1092. [Google Scholar] [CrossRef] [PubMed]
- Iikuni, S.; Ono, M.; Tanimura, K.; Watanabe, H.; Yoshimuraa, M.; Sajia, H. Synthesis and biological evaluation of novel technetium-99m-labeled phenylquinoxaline derivatives as single photon emission computed tomography imaging probes targeting β-amyloid plaques in Alzheimer’s disease. RSC Adv. 2017, 7, 20582–20590. [Google Scholar] [CrossRef]
- Fletcher, S.P.; Noor, A.; Hickey, J.L.; McLean, C.A.; White, J.M.; Donnelly, P.S. Rhenium and technetium complexes of thioamide derivatives of pyridylhydrazine that bind to amyloid-β plaques. J. Biol. Inorg. Chem. 2018, 23, 1139–1151. [Google Scholar] [CrossRef] [PubMed]
- Molavipordanjani, S.; Emami, S.; Mardanshahi, A.; Amiri, F.T.; Noaparast, Z.; Hosseinimehr, S.J. Novel 99m Tc-2-arylimidazo[2,1-b]benzothiazole derivatives as SPECT imaging agents for amyloid-β plaques. Eur. J. Med. Chem. 2019, 175, 149–161. [Google Scholar] [CrossRef] [PubMed]
- Sagnou, M.; Mavroidi, B.; Shegani, A.; Paravatou-Petsotas, M.; Raptopoulou, C.; Psycharis, V.; Pirmettis, I.; Papadopoulos, M.S.; Pelecanou, M. Remarkable Brain Penetration of Cyclopentadienyl M(CO)3+ (M = 99mTc, Re) Derivatives of Benzothiazole and Benzimidazole Paves the Way for Their Application as Diagnostic, with Single-Photon-Emission Computed Tomography (SPECT), and Therapeutic Agents for Alzheimer’s Disease. J. Med. Chem. 2019, 62, 2638–2650. [Google Scholar] [PubMed]
- Jokar, S.; Behnammanesh, H.; Erfani, M.; Sharifzadeh, M.; Gholami, M.; Sabzevari, O.; Amini, M.; Geramifae, P.; Hajiramezanali, M.; Beiki, D. Synthesis, biological evaluation and preclinical study of a novel 99mTc-peptide: A targeting probe of amyloid-β plaques as a possible diagnostic agent for Alzheimer’s disease. Bioorg. Chem. 2020, 99, 103857. [Google Scholar] [CrossRef]
Publisher’s Note: MDPI stays neutral with regard to jurisdictional claims in published maps and institutional affiliations. |
© 2020 by the authors. Licensee MDPI, Basel, Switzerland. This article is an open access article distributed under the terms and conditions of the Creative Commons Attribution (CC BY) license (http://creativecommons.org/licenses/by/4.0/).



































