The Plastidial Glyceraldehyde-3-Phosphate Dehydrogenase Is Critical for Abiotic Stress Response in Wheat
Abstract
1. Introduction
2. Results
2.1. Identification and Sequence Analysis of TaGAPCp1 Gene in Wheat
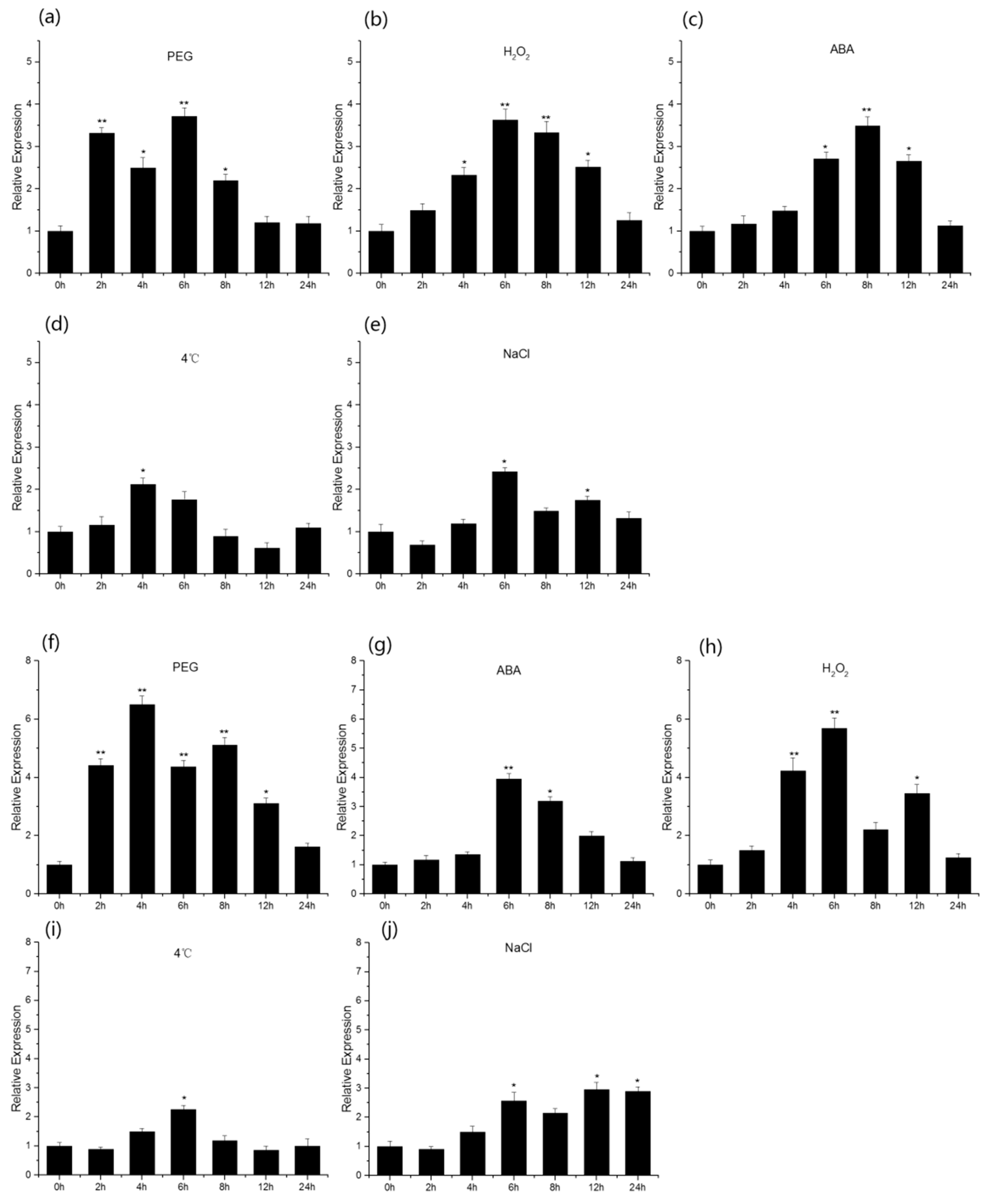
2.2. TaGAPCp1 Responds to Abiotic Stresses
2.3. TaGAPCp1 Is Localized to the Plastid
2.4. Screening for the Interacting Proteins of TaGAPCp1
2.5. Verify the Interaction between TaGAPCp1 and the Interacting Proteins
2.6. Analysis of the Interacting Protein Cytb6f
3. Discussion
3.1. TaGAPCp1 Plays a Key Role in Abiotic Stresses
3.2. The Interaction Protein Cyt b6f of TaGAPCp1 Has Peroxidase Activity
3.3. The Role of TaGAPCp1 in Drought Resistance Is Largely Dependent on H2O2-Mediated ABA Signaling Pathway
4. Materials and Methods
4.1. Plant Materials and Abiotic Stresses
4.2. Identification and Sequence Analysis of TaGAPCp1
4.3. Transcript Level of TaGAPCp1
4.4. Stomatal Aperture Measurement
4.5. Subcellular Localization of TaGAPCp1
4.6. Screening of Proteins Interacting with TaGAPCp1 by Yeast Two-Hybrid Assay
4.7. Analysis of the Positive Preys
4.8. Identification of Prey Proteins Interacting with TaGAPCp1
4.9. Identification and Sequence Analysis of Cyt b6f
5. Conclusions
Supplementary Materials
Author Contributions
Funding
Acknowledgments
Conflicts of Interest
Abbreviations
| GAPCp | plastidial glyceraldehyde-3-phosphate dehydrogenase | 
| qRT-PCR | quantitative real-time PCR | 
| Cyt b6f | cytochrome b6-f complex iron sulfite subunit | 
| Y2H | yeast two-hybrid | 
| BiFC | bimolecular fluorescence complementation assay | 
| ABA | abscisic acid | 
| TPT | triose phosphate transporter | 
| OE | overexpressed | 
| WT | wild type | 
| RH | relative humidity | 
| DMTU | dimethylthiourea | 
| CDS | coding sequence | 
| SDO | SD/-Trp | 
| SDO/X | SD/-Trp/X-α-Gal | 
| SDO/X/A | SD/-Trp/X-α-Gal/AbA | 
| DDO/X/A | SD/-Leu/-Trp/X-α-Gal/AbA | 
| QDO/X/A | SD/-Ade/-His/-Leu/-Trp/X-α-Gal/AbA | 
| ORF | open reading frame | 
| GRAVY | Grand average of hydropathicity | 
| Chl a | chlorophyll a | 
| ROS | reactive oxygen species | 
| BLAST | Basic Local Alignment Search Tool | 
References
- Nezhadahmad, A.; Prodhan, Z.H.; Faruq, G. Drought tolerance in wheat. Sci. World J. 2013, 3, 1–12. [Google Scholar] [CrossRef] [PubMed]
- Shi-Bo, F.; Yue, Q.I.; Guo-Jun, H. Meteorological Drought Trend in Winter and Spring from 1961 to 2010 and Its Possible Impacts on Wheat in Wheat Planting Area of China. Sci. Agric. Sin. 2014, 47, 1754–1763. [Google Scholar]
- Ma, S. On the functional diversity of glyceraldehyde-3-phosphate dehydrogenase: Biochemical mechanisms and regulatory control. Biochim. Biophys. Acta 2011, 1810, 741–751. [Google Scholar] [CrossRef]
- Nicholls, C.; Li, H.; Liu, J.P. GAPDH: A common enzyme with uncommon functions. Clin. Exp. Pharmacol. Physiol. 2012, 39, 674–679. [Google Scholar] [CrossRef] [PubMed]
- Jesús, M.B.; Borja, C.M.; Manuel, A. A critical role of plastidial glycolytic glyceraldehyde-3-phosphate dehydrogenase in the control of plant metabolism and development. Plant Signal. Behav. 2010, 5, 67. [Google Scholar] [CrossRef]
- Jesús, M.B.; Borja, C.M.; Jose, M.M. Plastidial Glyceraldehyde-3-Phosphate Dehydrogenase Deficiency Leads to Altered Root Development and Affects the Sugar and Amino Acid Balance in Arabidopsis. Plant Physiol. 2009, 151, 541–558. [Google Scholar] [CrossRef]
- Kim, J.W.; Dang, C.V. Multifaceted roles of glycolytic enzymes. Trends Biochem. Sci. 2005, 30, 142–150. [Google Scholar] [CrossRef] [PubMed]
- MA, S. Subcellular dynamics of multifunctional protein regulation: Mechanisms of GAPDH intracellular translocation. Cell Biochem. 2012, 113, 2193–2200. [Google Scholar] [CrossRef]
- Tristan, C.; Shahani, N.; Sedlak, T.W.; Sawa, A. The diverse functions of GAPDH: Views from different subcellular compartments Cell Signal. 2011, 23, 317–323. [Google Scholar] [CrossRef] [PubMed]
- Cerff, R.; Chambers, S.E. Subunit structure of higher plant glyceraldehyde-3-phosphate dehydrogenases. Biol. Chem. 1979, 254, 6094–6098. [Google Scholar]
- Martin, W.; Cerff, R. Prokaryotic features of a nucleus-encoded enzyme. cDNA sequences for chloroplast and cytosolic glyceraldehyde-3-phosphate dehydrogenases from mustard (Sinapis alba). Eur. J. Biochem. 1986, 159, 323–331. [Google Scholar] [CrossRef] [PubMed]
- Petersen, J.; Brinkmann, H.; Cerff, R. Origin, evolution, and metabolic role of a novel glycolytic GAPDH enzyme recruited by land plant plastids. Mol. Evol. 2003, 57, 16–26. [Google Scholar] [CrossRef] [PubMed]
- Kwon, H.B.; Park, S.C.; Peng, H.P. Identification of a light-responsive region of the nuclear gene encoding the B subunit of chloroplast glyceraldehyde 3-phosphate dehydrogenase from Arabidopsis thaliana. Plant Physiol. 1994, 105, 357–367. [Google Scholar] [CrossRef] [PubMed]
- Zeng, L.; Deng, R.; Guo, Z.; Yang, S.; Deng, X. Genome-wide identification and characterization of Glyceraldehyde-3-phosphate dehydrogenase genes family in wheat (Triticum aestivum). BMC Genom. 2016, 17, 240. [Google Scholar] [CrossRef] [PubMed]
- Marri, L.; Pesaresi, A.; Valerio, C. In vitro characterization of Arabidopsis CP12 isoforms reveals common biochemical and molecular properties. J. Plant Physiol. 2010, 167, 939–950. [Google Scholar] [CrossRef] [PubMed]
- Flores-Tornero, M.; Anoman, A.D.; Rosa-Tellez, S.; Toujani, W.; Weber, A.P.; Eisenhut, M.; Kurz, S.; Alseekh, S.; Fernie, A.R.; Munoz-Bertomeu, J.; Ros, R. Overexpression of the triose phosphate translocator (TPT) complements the abnormal metabolism and development of plastidial glycolytic glyceraldehyde-3-phosphate dehydrogenase mutants. Plant J. 2017, 89, 1146–1158. [Google Scholar] [CrossRef] [PubMed]
- Zaffagnini, M.; Fermani, S.; Costa, A.; Lemaire, S.D.; Trost, P. Plant cytoplasmic GAPDH: Redox post-translational modifications and moonlighting properties. Front. Plant Sci. 2013, 4, 450. [Google Scholar] [CrossRef] [PubMed]
- Anoman, A.D.; Flores-Tornero, M.; Rosa-Tellez, S.; Munoz-Bertomeu, J.; Segura, J.; Ros, R. The specific role of plastidial glycolysis in photosynthetic and heterotrophic cells under scrutiny through the study of glyceraldehyde-3-phosphate dehydrogenase. Plant Signal. Behav. 2016, 11. [Google Scholar] [CrossRef] [PubMed]
- Anoman, A.D.; Munoz-Bertomeu, J.; Rosa-Tellez, S.; Flores-Tornero, M.; Serrano, R.; Bueso, E.; Fernie, A.R.; Segura, J.; Ros, R. Plastidial Glycolytic Glyceraldehyde-3-Phosphate Dehydrogenase Is an Important Determinant in the Carbon and Nitrogen Metabolism of Heterotrophic Cells in Arabidopsis. Plant Physiol. 2015, 169, 1619–1637. [Google Scholar] [CrossRef] [PubMed]
- Muñozbertomeu, J.; Bermúdez, M.A.; Segura, J. Arabidopsis plants deficient in plastidial glyceraldehyde-3-phosphate dehydrogenase show alterations in abscisic acid (ABA) signal transduction: Interaction between ABA and primary metabolism. J. Exp. Bot. 2010, 62, 1229–1239. [Google Scholar] [CrossRef] [PubMed]
- Winter, D.; Vinegar, B.; Nahal, H. An “Electronic Fluorescent Pictograph” Browser for Exploring and Analyzing Large-Scale Biological Data Sets. PLoS ONE 2007, 2, e718. [Google Scholar] [CrossRef] [PubMed]
- Fields, S.; Song, O. A novel genetic system to detect protein-protein interactions. Nature 1989, 340, 245–246. [Google Scholar] [CrossRef] [PubMed]
- Whitelegge, J.P.; Zhang, H.M.; Aguilera, R.; Taylor, R.M.; Cramer, W.A. Full subunit coverage liquid chromatography electrospray ionization mass spectrometry (LCMS+) of an oligomeric membrane protein: Cytochrome b(6)f complex from spinach and the cyanobacterium Mastigocladus laminosus. Mol. Cell. Proteom. 2002, 1, 816–827. [Google Scholar] [CrossRef]
- Kurisu, G.; Zhang, H.M.; Smith, J.L.; Cramer, W.A. Structure of the cytochrome b6f complex of oxygenic photosynthesis: Tuning the cavity. Science 2003, 302, 1009–1014. [Google Scholar] [CrossRef] [PubMed]
- Stroebel, D.; Choquet, Y.; Popot, J.L.; Picot, D. An atypical haem in the cytochrome b6f complex. Nature 2003, 426, 413–418. [Google Scholar] [CrossRef] [PubMed]
- Toujani, W. Functional Characterization of the Plastidial 3-Phosphoglycerate Dehydrogenase Family in Arabidopsis. Plant Physiol. 2013, 163, 1164–1178. [Google Scholar] [CrossRef] [PubMed]
- Jia, Y.; Li, S.; Allen, G.; Feng, S.; Xue, L. A novel glyceraldehyde-3-phosphate dehydrogenase (GAPDH) promoter for expressing transgenes in the halotolerant alga Dunaliella salina. Curr. Microbiol. 2012, 64, 506–513. [Google Scholar] [CrossRef]
- Voet, D.J.; Voet, J.G. Biochemistry; Wiley, J: New York, NY, USA, 2011; Volume 978, pp. 57091–57095. [Google Scholar]
- Alattala, M.N.; Wang, X.; Abouattia, M.A. A novel TaMYB4 transcription factor involved in the defence response against Puccinia striiformis f. sp. tritici and abiotic stresses. Plant Mol. Biol. 2014, 84, 589. [Google Scholar] [CrossRef] [PubMed]
- Suh, J.Y.; Kim, S.J. Arabidopsis Toxicos en Levadura 78 (AtATL78) mediates ABA-dependent ROS signaling in response to drought stress. Biochem. Biophys. Res. Commun. 2016, 469, 8–14. [Google Scholar] [CrossRef] [PubMed]
- Cramer, W.A.; Yamashita, E.; Baniulis, D. Structure–Function of the Cytochrome b6f Complex of Oxygenic Photosynthesis. Encycl. Biol. Chem. 2013, 84, 329–334. [Google Scholar] [CrossRef]
- Wang, Y.; Xu, C.; Zhang, B. Physiological and proteomic analysis of rice (Oryza sativa L.) in flag leaf during flowering stage and milk stage under drought stress. Plant Growth Regul. 2017, 82, 1–18. [Google Scholar] [CrossRef]
- Zhou, S.; Li, M.; Guan, Q.; Liu, F.; Zhang, S.; Chen, W.; Yin, L.; Qin, Y.; Ma, F. Physiological and proteome analysis suggest critical roles for the photosynthetic system for high water-use efficiency under drought stress in Malus. Plant Sci. 2015, 236, 44–60. [Google Scholar] [CrossRef] [PubMed]
- Liu, P.; Xu, Z.S.; Lu, P.P.; Hu, D.; Chen, M.; Li, L.C.; Ma, Y.Z. A wheat PI4K gene whose product possesses threonine autophophorylation activity confers tolerance to drought and salt in Arabidopsis. Exp. Bot. 2013, 64, 2915–2927. [Google Scholar] [CrossRef] [PubMed]
- Sunil, B.; Saini, D.; Bapatla, R.B. Photorespiration is complemented by cyclic electron flow and the alternative oxidase pathway to optimize photosynthesis and protect against abiotic stress. Photosynthesis Res. 2018, 1–13. [Google Scholar] [CrossRef] [PubMed]
- Wang, H.; Huang, J.; Liang, X.; Bi, Y. Involvement of hydrogen peroxide, calcium, and ethylene in the induction of the alternative pathway in chillingstressed Arabidopsis callus. Planta 2012, 235, 53–67. [Google Scholar] [CrossRef] [PubMed]
- Esteban, R.; Moran, J.F.; Becerril, J.M.; García-Plazaola, J.I. Versatility of carotenoids: An integrated view on diversity, evolution, functional roles and environmental interactions. Environ. Exp. Bot. 2015, 119, 63–75. [Google Scholar] [CrossRef]
- Kim, S.H.; Ahn, Y.O.; Ahn, M.J.; Jeong, J.C.; Lee, H.S.; Kwak, S.S. Cloning and characterization of an Orange gene that increases carotenoid accumulation and salt stress tolerance in transgenic sweetpotato cultures. Plant Physiol. Biochem. 2013, 70, 445–454. [Google Scholar] [CrossRef] [PubMed]
- Kim, H.S.; Ji, C.Y.; Lee, C.J.; Kim, S.E.; Park, S.C.; Kwak, S.S. Orange: A target gene for regulating carotenoid homeostasis and increasing plant tolerance to environmental stress in marginal lands. J. Exp. Bot. 2018, 69, 3393–3400. [Google Scholar] [CrossRef] [PubMed]
- Brunetti, C.; Guidi, L.; Sebastiani, F.; Tattini, M. Isoprenoids and phenylpropanoids are key components of the antioxidant defense system of plants facing severe excess light stress. Environ. Exp. Bot. 2015, 119, 54–62. [Google Scholar] [CrossRef]
- Jiang, M. Effect of Abscisic Acid on Active Oxygen Species, Antioxidative Defence System and Oxidative Damage in Leaves of Maize Seedlings. Plant Cell Physiol. 2001, 42, 1265–1273. [Google Scholar] [CrossRef] [PubMed]
- Kwak, J.M.; Mori, I.C.; Pei, Z.M.; Leonhardt, N.; Torres, M.A.; Dangl, J.L.; Bloom, R.E.; Bodde, S.; Jones, J.D.; Schroeder, J.I. NADPH oxidase Atrbohd and Atrbohf genes function in ROS-dependent ABA signaling in Arabidopsis. EMBO J. 2003, 22, 2623–2633. [Google Scholar] [CrossRef] [PubMed]
- Suhita, D.; Raghavendra, A.S.; Kwak, J.M.; Vavasseur, A. Cytoplasmic alkalization precedes reactive oxygen species production during methyl jasmonate- and abscisic acid-induced stomatal closure. Plant Physiol. 2004, 134, 1536–1545. [Google Scholar] [CrossRef] [PubMed]
- Cai, S.; Chen, G.; Wang, Y. Evolutionary Conservation of ABA Signaling for Stomatal Closure in Ferns. Plant Physiol. 2017, 174, 732–747. [Google Scholar] [CrossRef] [PubMed]
- Nobuhiro, S.; Kazuma, K. Coordination Between ROS Regulatory Systems and Other Pathways Under Heat Stress and Pathogen Attack. Front. Plant Sci. 2018, 9, 490. [Google Scholar]
- Bright, J.; Desikan, R.; Hancock, J.T.; Weir, I.S.; Neill, S.J. ABAinduced NO generation and stomatal closure in Arabidopsis are dependent on H2O2 synthesis. Plant J. 2006, 45, 113–122. [Google Scholar] [CrossRef] [PubMed]
- Li, J.J.; Li, Y.; Yin, Z.G.; Jiang, J.H.; Zhang, M.H.; Guo, X.; Ye, Z.J. OsASR5 enhances drought tolerance through a stomatal closure pathway associated with ABA and H2O2 signalling in rice. Plant Biotechnol. J. 2017, 15, 183–196. [Google Scholar] [CrossRef] [PubMed]
- Kenneth, J.L.; Thomas, D.S. Analysis of Relative Gene Expression Data Using Real-Time Quantitative PCR and the 2−ΔΔCT, Method. Methods A Comp. Methods Enzymol. 2001, 25, 402–408. [Google Scholar] [CrossRef]
- Seo, D.H.; Ryu, M.Y.; Ammes, F. Roles of Four Arabidopsis U-Box E3 Ubiquitin Ligases in Negative Regulation of Abscisic Acid-Mediated Drought Stress Responses. Plant Physiol. 2012, 160, 556–568. [Google Scholar] [CrossRef] [PubMed]
- Ryu, M.Y.; Cho, S.K.; Kim, W.T. The Arabidopsis C3H2C3-Type RING E3 Ubiquitin Ligase AtAIRP1 Is a Positive Regulator of an Abscisic Acid-Dependent Response to Drought Stress. Plant Physiol. 2010, 154, 1983–1997. [Google Scholar] [CrossRef] [PubMed]
- Sheen, J. Signal transduction in maize and Arabidopsis mesophyll protoplasts. Plant Physiol. 2001, 127, 1466–1475. [Google Scholar] [CrossRef] [PubMed]
- Yu, C.; Wang, L.; Chen, C. Protoplast: A more efficient system to study nucleo-cytoplasmic interactions. Biochem. Biophys. Res. Commun. 2014, 450, 1575–1580. [Google Scholar] [CrossRef] [PubMed]
- Liu, J.; Wang, X.; Hu, Y.; Hu, W.; Bi, Y. Glucose-6-phosphate dehydrogenase plays a pivotal role in tolerance to drought stress in soybean roots. Plant Cell Rep. 2013, 32. [Google Scholar] [CrossRef] [PubMed]
- Oh, M.H.; Wang, X.F.; Kota, U.; Goshe, M.B.; Clouse, S.D.; Huber, S.C. Tyrosine phosphorylation of the BRI1 receptor kinase emerges as a component of brassinosteroid signaling in Arabidopsis. Proc. Natl. Acad. Sci. USA 2009, 106, 658–663. [Google Scholar] [CrossRef] [PubMed]









| Clone | Name | Functions | GenBank | 
|---|---|---|---|
| 1,5 | Tauschii dormancy-associated protein homolog, mRNA | Involved in plant stress resistance | XM_020318726.1 | 
| 2 | Tauschii cytochrome b6-f complex iron-sulfur subunit, mRNA (Cyt b6f) | Involved in photoreactive electron transport | XM_020345741.1 | 
| 3,11 | Tauschii ATP-dependent Clp protease proteolytic subunit 6, mRNA | Involved in Stress response | XM_020331538.1 | 
| 4,8,10 | Tauschii ribulose-1,5-bisphosphate carboxylase, complete cds | Involved in Calvin cycle | KT288199.1 | 
| 6 | Tauschii GATA transcription factor, mRNA | Transcription factor with a special zinc finger structure | XM_020324318.1 | 
| 7 | Tauschii probable E3 ubiquitin-protein ligase, mRNA | One of the key enzymes in the ubiquitination process | XM_020328679.1 | 
| 9 | Tauschii protein SGT1, mRNA | Participate in the regulation of plant disease resistance | KJ907387.1 | 
© 2019 by the authors. Licensee MDPI, Basel, Switzerland. This article is an open access article distributed under the terms and conditions of the Creative Commons Attribution (CC BY) license (http://creativecommons.org/licenses/by/4.0/).
Share and Cite
Li, X.; Wei, W.; Li, F.; Zhang, L.; Deng, X.; Liu, Y.; Yang, S. The Plastidial Glyceraldehyde-3-Phosphate Dehydrogenase Is Critical for Abiotic Stress Response in Wheat. Int. J. Mol. Sci. 2019, 20, 1104. https://doi.org/10.3390/ijms20051104
Li X, Wei W, Li F, Zhang L, Deng X, Liu Y, Yang S. The Plastidial Glyceraldehyde-3-Phosphate Dehydrogenase Is Critical for Abiotic Stress Response in Wheat. International Journal of Molecular Sciences. 2019; 20(5):1104. https://doi.org/10.3390/ijms20051104
Chicago/Turabian StyleLi, Xixi, Wenjie Wei, Fangfang Li, Lin Zhang, Xia Deng, Ying Liu, and Shushen Yang. 2019. "The Plastidial Glyceraldehyde-3-Phosphate Dehydrogenase Is Critical for Abiotic Stress Response in Wheat" International Journal of Molecular Sciences 20, no. 5: 1104. https://doi.org/10.3390/ijms20051104
APA StyleLi, X., Wei, W., Li, F., Zhang, L., Deng, X., Liu, Y., & Yang, S. (2019). The Plastidial Glyceraldehyde-3-Phosphate Dehydrogenase Is Critical for Abiotic Stress Response in Wheat. International Journal of Molecular Sciences, 20(5), 1104. https://doi.org/10.3390/ijms20051104
 
        
 
                         
       