Next Article in Journal
Characterizing Cavities in Model Inclusion Fullerenes: A Comparative Study
Previous Article in Journal
Improved Molecular Descriptors Based on the Optimization of Correlation Weights of Local Graph Invariants
 
 
Font Type:
Arial Georgia Verdana
Font Size:
Aa Aa Aa
Line Spacing:
Column Width:
Background:
Article

A Quantum Theory of Thermodynamic Relaxation

Department of Physical Chemistry, University of Sofia, Bulgaria
Int. J. Mol. Sci. 2001, 2(2), 66-71; https://doi.org/10.3390/i2020066
Submission received: 19 March 2001 / Accepted: 16 May 2001 / Published: 23 May 2001

Abstract

:
A new approach to quantum Markov processes is developed and the corresponding Fokker-Planck-like equation is derived. The latter was examined to reproduce known results from classical and quantum physics. It was also applied to the phase-space description of a mechanical system thus leading to a new treatment of this problem different from the Wigner presentation. The equilibrium probability density obtained in the mixed coordinate-momentum space is a reasonable extension of the Gibbs canonical distribution.

Despite the great progress in contemporary quantum statistical physics [1], there are still problems in the applicability of the developed concept to complex systems such as in chemistry. As a rule, the theory of quantum relaxation is much less elaborated than that of the equilibrium. This fact is not surprising since the same situation holds in classical physics. In the latter, the most powerful theory of relaxation phenomena is due to the Markov approximation of processes in Nature. There are some attempts to develop a corresponding quantum idealization [2], e.g. Glauber-Sudarshan [3] and Husimi [4] presentations, but they are less universal. The most general approach to quantum dissipation consists in the projection of the Universe dynamics to those of a system and environment. This means that after integration along the environment variables of the rigorous von Neuman equation one can yield equations for the system evolution. Due to obvious mathematical complications it is only applied to coupled harmonic oscillators [5,6]. A way to slide over the many-particle problems is to introduce dissipative Schrödinger equations [7,8,9]. In the literature, other methods are also reported which are based either on the stochastic treatment of the Schrödinger equation [10,11] or on the Langevin-like description of quantum dynamics in the Heisenberg time-dependent operator formalism [12,13].
The present paper aims to generalize our previous approach to the Markov quantum theory [14,15,16], which, suffering from a rigorous derivation, yields good results. Last but not the least advantage of our theory is its physical transparency and relative universality. To make the consideration plausible, let us start with a brief review of the quantum formalism. Suppose there is a mechanical system isolated from all the rest in the world (in fact, the only example we have is the Universe). According to quantum mechanics, the system wave function in a a -representation (a can be either momentum or coordinate) obeys the Schrödinger equation
Ijms 02 00066 i001
where Ijms 02 00066 i002 is the system Hamiltonian operator. The solution of the Schrödinger equation is a set of eigenvalues and normalized eigenfunctions {En, ϕn} of the system Hamiltonian. Therefore, if the energy of the system is known, one is able to determine the corresponding state and probability density. System energy, however, is not an experimentally accessible parameter and, for this reason, the above program is not a working one. One can measure only energy difference, which is sufficient for description of the involved process only. For instance, the energy levels of a harmonic oscillator are equidistant and there is no experimental way to guess which state the system occupies at present.
The most popular system in chemistry is that exchanging energy with the surrounding medium at constant temperature T . It is a particular example for a system-environment division and the temperature is the basic characteristic of the environment. After Gibbs, there is no difficulty in obtaining the equilibrium probability density via the canonical expression
Ijms 02 00066 i003
where Z = ∑exp(−βEn), β= (kT)−1 and k is the Boltzmann constant. However, as mentioned before, there is no general description of the non-equilibrium dynamics of the isothermic system, yet. The rigorous way involves so many integrals of the exact von Neuman equation, which are out of the limits even for computers of our century. For this reason, the existing kinetic theories [1,2,3] are applicable only to some simple model systems with unrealistic coupling interaction between system and environment [17,18,19]. In the present study, a new model of irreversible dynamics in an isothermic quantum system is developed which is based on a linear non-equilibrium thermodynamic treatment of the problem. One can easily prove that distribution (1) is the solution of the following stationary Schrödinger equation
Ijms 02 00066 i004
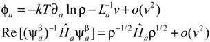
with a modified Hamiltonian operator Ijms 02 00066 i005 (the superscript + indicates Hermitian conjugation). Here Ijms 02 00066 i006 is the temperature dependent wave function and the probability density is defined as the square of the wave function. The modified Schrödinger equation can be rewritten in the form
Ijms 02 00066 i007
thus representing the static force balance between the system and its environment. The thermal force functional φa = −kTa ln ρe plays a key role in the description of thermodynamic relaxation [2,20,21].
Let us consider now the irreversible dynamics of the isothermic system. The time evolution of the probability density should necessarily satisfy the continuity equation
tρ + ∂av) = 0
which follows from the von Neuman equation and can be adopted as definition of the velocity v in the system probability space. For the sake of simplicity we shall restrict the further approach to the range of slow propagating processes, a necessary condition for a Markov idealization. Hence, in the frame of linear non-equilibrium thermodynamics [2], the following two equations hold
Ijms 02 00066 i008
where La is the matrix of kinetic coefficients. The second relation presumes no existence of imaginary terms in the system Hamiltonian and for this reason there is no term linear in v there. Substituting these relations in (2) and integrating the result once over β, one obtains an expression for the velocity in the probability space
v = −LaaFa
where the integral
Ijms 02 00066 i009
represents the characteristic thermodynamic functional of the system free energy [2] and possesses a minimum at the equilibrium state. In the latter case we have Ijms 02 00066 i010, which provides as equilibrium solution the Gibbs distribution (1). It should be noted that the force balance (2) is employed without addition of any inertial term because of the restriction to slow variables. Now, introducing (4) in the continuity equation (3) yields an equation governing the evolution of the probability density
tρ = ∂aLaaFa)
This Fokker-Planck-like equation [9] is the basic result of the present Markov theory.
To demonstrate the correctness of (5), we can compare its predictions with some known results. If one is interested in the evolution of the probability density in the momentum space, a = p, the corresponding kinetic coefficient matrix Lp is equal [2,3] to that of the friction coefficients B. For a system of a free ideal gas the Hamiltonian is given by Ijms 02 00066 i011, where M is the mass matrix. In this case (5) transforms to
tρ = ∂pBM−1p + kTBpρ)
This is the well-known Fokker-Planck equation in the momentum space [3]. Note that the generalized Fokker-Planck equation for the momentum space always reduces to (6) in the classical limit. The second interesting case is the evolution in the configuration space, a = q , where Lp = B−1. In the classical limit ℏ → 0 the corresponding equation (5) reduces to equation in the position space
tρ = ∂qB−1qU + kTB−1qρ)
where U is the potential energy of the system. Equation (7) is known in the literature after the name of Smoluchowski [2].
To illustrate the correctness of (5) in the quantum case, we shall briefly present here results for a harmonic oscillator with Hamiltonian operator Ijms 02 00066 i012, where f is an external force. The solution of (5) for this case is a normal distribution density [14]. At large times, stationary state is established with oscillations’ dispersion σ2 = (ℏ/2mω)coth z with z = βℏω/2. Then, the evolution of the mean value Ijms 02 00066 i013 obeys the following equation [14]
Ijms 02 00066 i014
In the classical limit, this equation acquires the well-known form
Ijms 02 00066 i015
In the opposite case of low temperatures, according to the transition state theory, the friction coefficient b is inversely proportional to the oscillator partition function, b−1 ~ z / sinh z . Using this relation and a new variable Ijms 02 00066 i016, equation (8) can be rewritten as
bz coth zty + mω2y = f
As is seen, the friction term here differs from that in the classical case; the expression bz coth z for the friction coefficient is known in the literature as the quantum fluctuation-dissipation relation [12].
Finally, we are tempted to examine (5) in the system phase-space a = (p,q). Apart from the Wigner function there are many other distributions proposed to describe the quantum systems in their phase-space [4]. A natural extension for the kinetic coefficient matrix from the previous two cases is a super-matrix with elements Ijms 02 00066 i017 and Lpq = −Lqp = I, where I is the unit tensor. This presentation is consistent with the Onsager symmetry rule [2] and the corresponding equation (5) has the form
tρ + (∂pFp)∂qρ − (∂qFq)∂pρ = ∂pBpFp) + ∂qB−1qFq)
Since Fa is invariant of the sign of ρ , the above equation provides only non-negative solutions and thus eliminates the basic shortcoming of the Wigner function method. In contrast to other methods [17,18,19,22], (9) is an integro-differential equation of finite order and in this way it is a simpler mathematical problem. To find the general solution of (9) is not trivial. It shows, however, that the equilibrium distribution obeys simultaneously the following system of two equations Ijms 02 00066 i018 and Ijms 02 00066 i019. Hence, the equilibrium probability density in the system phase-space is
Ijms 02 00066 i020
which seems to be a reasonable extension of the canonical Gibbs distribution (1). This equation demonstrates statistical independence of the momentum and coordinate in the frames of a given quantum state. Using (10) one can calculate the average value of any function of q and p. The classical analogue of (9) yielded in the limit ℏ → 0 is
tρ + pM−1qρ − (∂qU)∂pρ = ∂pBM−1p + kTBpρ) + ∂qB−1qU + kTB−1qρ)
The equilibrium solution of this equation is the Maxwell-Boltzmann distribution. In the large friction limit the last term omits and the result is known in the literature as the Kramers equation.

References

  1. Kramer, B. (Ed.) Quantum Processes and Dissipation; VCH: New York, 1997.
  2. de Groot, S.; Mazur, P. Non-equilibrium Thermodynamics; NH: Amsterdam, 1962. [Google Scholar]
  3. Gardiner, C. W. Handbook of Stochastic Methods; Springer: Berlin, 1985. [Google Scholar]
  4. Takahashi, K. Prog. Theor. Phys. 1989, 98, 109.
  5. Haake, F.; Reibold, R. Phys. Rev. A 1985, 32, 2462. [CrossRef]
  6. Patriarca, M. Nuovo Cimento B 1996, 111, 61.
  7. Fredrichs, V.; Schenzle, A. Phys. Rev. A 1991, 44, 1962.
  8. Crescimanno, M. Ann. Phys. (New York) 1993, 223, 229. [CrossRef]
  9. O’Connell, R. F. Int. J. Quant. Chem. 1996, 58, 569.
  10. Gisin, N.; Percival, I. Phys. Lett. A 1992, 167, 315. [CrossRef]
  11. Haba, Z. Int. J. Theor. Phys. 1996, 35, 2461. [CrossRef]
  12. Lindenberg, K.; West, B. J. Phys. Rev. A 1984, 30, 568. [CrossRef]
  13. Romero-Salazar, L.; Velasco, R. M. Physica A 1997, 234, 792.
  14. Tsekov, R. J. Phys. A: Math. Gen. 1995, 28, L557. [CrossRef]
  15. Tsekov, R. Bulg. Chem. Commun. 1995, 28, 483.
  16. Tsekov, R. Ann. Univ. Sofia, Fac. Chem. 1997, 89, 39.
  17. Javanainen, J. Phys. Rev. A 1992, 46, 5819. [CrossRef]
  18. Illuminati, F.; Patriarca, M.; Sodano, P. Physica A 1994, 211, 449.
  19. Lee, H. Phys. Rep. 1995, 259, 147. [CrossRef]
  20. Tsekov, R. Ann. Univ. Sofia, Fac. Chem. 1995, 88, 57.
  21. Tsekov, R. J. Chem. Soc., Faraday Trans. 1997, 93, 1751. [CrossRef]
  22. Hillery, M.; O’Connell, R. F.; Scully, M. O.; Wigner, E. Phys. Rep. 1984, 106, 123.
  • Sample Availability: Not available.

Share and Cite

MDPI and ACS Style

Tsekov, R. A Quantum Theory of Thermodynamic Relaxation. Int. J. Mol. Sci. 2001, 2, 66-71. https://doi.org/10.3390/i2020066

AMA Style

Tsekov R. A Quantum Theory of Thermodynamic Relaxation. International Journal of Molecular Sciences. 2001; 2(2):66-71. https://doi.org/10.3390/i2020066

Chicago/Turabian Style

Tsekov, Roumen. 2001. "A Quantum Theory of Thermodynamic Relaxation" International Journal of Molecular Sciences 2, no. 2: 66-71. https://doi.org/10.3390/i2020066

APA Style

Tsekov, R. (2001). A Quantum Theory of Thermodynamic Relaxation. International Journal of Molecular Sciences, 2(2), 66-71. https://doi.org/10.3390/i2020066

Article Metrics

Back to TopTop