Abstract
Steroid hormones play a crucial role in several aspects of human life, and steroidogenesis is the process by which hormones are produced from cholesterol using several enzymes that work in concert to obtain the appropriate levels of each hormone at the right time. Unfortunately, many diseases, such as cancer, endometriosis, and osteoporosis as examples, are caused by an increase in the production of certain hormones. For these diseases, the use of an inhibitor to block the activity of an enzyme and, in doing so, the production of a key hormone is a proven therapeutic strategy whose development continues. This account-type article focuses on seven inhibitors (compounds 1–7) and an activator (compound 8) of six enzymes involved in steroidogenesis, namely steroid sulfatase, aldo-keto reductase 1C3, types 1, 2, 3, and 12 of the 17β-hydroxysteroid dehydrogenases. For these steroid derivatives, three topics will be addressed: (1) Their chemical synthesis from the same starting material, estrone, (2) their structural characterization using nuclear magnetic resonance, and (3) their in vitro or in vivo biological activities. These bioactive molecules constitute potential therapeutic or mechanistic tools that could be used to better understand the role of certain hormones in steroidogenesis.
1. Introduction
The use of a small molecule to block the activity of a key enzyme involved in the biosynthesis of certain hormones producing a beneficial or sometimes harmful effect, is a well-known therapeutic strategy in the biomedical field. Among the different families of hormones, the sex steroid hormones (glucocorticoids, mineralocorticoids, progestogens, androgens, and estrogens) are produced from cholesterol (Figure 1) obtained from exogenous (food) and endogenous (biosynthesis) sources [,,]. The synthesis of these hormones is a multi-enzyme process called steroidogenesis and constitutes fertile ground for the identification of therapeutic targets, such as steroid sulfatase (STS), 17α-hydroxylase-C17,20-lyase (CYP17A1), the family of 17β-hydroxysteroid dehydrogenases (17β-HSDs), aldo-keto reductase (AKR)1C3, aromatase, and the 5α-reductase (5α-R) family. The development of inhibitors of aromatase and 5α-R, and more recently of CYP17A1, have given rise to drugs to treat certain hormone-dependent diseases [,,,,,], while the development of inhibitors of STS, AKR1C3, and some 17β-HSDs have not yet reached the drug stage, despite significant work in the last years [,,,,,,,,,,]. Much less known, however, is the development of enzymatic activity enhancers to upwardly modulate hormone levels. Although few, activators constitute a new therapeutic approach that is complementary to that of inhibitors [].
Figure 1.
Crucial role of some enzymes involved in the synthesis of steroid hormones (steroidogenesis). CHOL—Cholesterol; CHOLS—Cholesterol sulfate; DHEA—Dehydroepiandrosterone; DHEAS—Dehydroepiandrosterone sulfate; 5-DIOL—Androst-5-ene-3β,17β-diol; 4-DIONE—Androst-4-ene-3,17-dione; E1—Estrone; E1S—Estrone sulfate; E2—Estradiol; E2S—Estradiol sulfate; PREG—Pregnenolone; PREGS—Pregnenolone sulfate; T—Testosterone. 1: Steroid sulfatase; 2: SULT—Sulfotransferase; 3: CYP11A1; 4: CYP17A1; 5: 3β-HSDs; 6: 17β-HSD1; 7: 17β-HSD5 or AKR1C3; 8: 17β-HSD12; 9: 17β-HSD2; 10: Aromatase; 11: 17β-HSD3; 12: 5α-Reductase.
This account-type article aims to summarize our work which has made it possible to obtain, from a commercially available and affordable steroid, estrone (E1), inhibitors of the STS, 17β-HSD1, 17β-HSD2, 17β-HSD3, 17β-HSD5 (AKR1C3), and 17β-HSD12, as well as an activator of 17β-HSD12 (Figure 2). Having reached an advanced stage of development, these bioactive molecules constitute potential therapeutic or mechanistic tools that could be used to better understand the role of certain hormones in steroidogenesis. To facilitate their use by the scientific community, seven inhibitors (compounds 1–7) and one activator (compound 8) were then selected to discuss three important aspects of their development, namely, chemical synthesis, characterization, and identification of NMR markers, as well as the biological results generated by these bioactive steroid derivatives.
Figure 2.
Key inhibitors (Inh) and activator (Act) of different enzymes involved in the biosynthesis (steroidogenesis) of steroid hormones, all synthesized from C18-steroid estrone (E1). STS—Steroid sulfatase; 17β-HSD—17β-hydroxysteroid dehydrogenase.
2. Chemical Synthesis of Inhibitors 1–7 and Activator 8
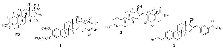
Inhibitor 1: The first part of the chemical synthesis of STS inhibitor 1 consisted of introducing a methoxy group at position C-2 of E1 (9) and generating the key intermediate 13 where the A-ring OH group was protected as a benzylic ether (Scheme 1). The ortho-formylation of 9, according to the method of Casiraghi et al. [], which uses tin tetrachloride and paraformaldehyde, generated 2-formyl-E1 (10). After the protection of the OH group by benzyl bromide in the presence of cesium carbonate as a base to obtain the benzylic derivative 11, a selective Bayer–Villiger-type oxidation made it possible to transform the formyl at C-2 into an aryl ester. This intermediate was hydrolyzed under acidic conditions in methanol. The resulting phenolic derivative 12 was then methylated with an excess of methyl iodide to obtain 13. The last part of the synthesis began with an alkylation at position 17α. Despite the presence of a hindered ketone, such as for steroid 13, the introduction of the benzyl group was achieved using a Grignard reaction []. Indeed, this reaction works very well for a benzylic derivative not having a β-hydrogen, unlike the alkyl Grignard reagents, which have a β-hydrogen []. Moreover, the presence of the axial methyl-18 in the alpha of the carbonyl favors an attack that takes place stereoselectively by the α-face of the steroid to obtain the 17α-benzyl derivative 14. Under the conditions of catalytic hydrogenation, the debenzylation of the ether 14 made it possible to obtain the phenolic derivative 15. Finally, since the inhibitory potential of aryl sulfamates for STS was abundantly documented [,,,,,,,], we then used sulfamoyl chloride in the presence of 2,6-di-t-butyl-4-methyl pyridine to obtain the STS inhibitor 1 [].
Scheme 1.
Synthesis of STS inhibitor 1 from estrone (9). Reagents and conditions: (a) SnCl4, Bu3N, paraformaldehyde, ClCH2CH2Cl, reflux, 6 h (71%); (b) Cs2CO3, BnBr, CH3CN, reflux, 16 h (72%); (c) (i) m-CPBA, p-TSA, CH2Cl2, RT, 3 h; (ii) H2SO4 (cat), MeOH, reflux, 1 h (95%); (d) K2CO3, MeI, DMF, reflux, 6 h (89%); (e) PhCH2MgCl, THF, 0 °C, 12 h (60%); (f) 20% Pd(OH)2/C, RT, 12 h (95%); (g) 2,6-DBMP, H2NSO2Cl, CH2Cl2, RT, 4 h (32%).
Inhibitor 2: The chemical synthesis of 17β-HSD1 reversible inhibitor 2 begins with an aldol condensation of m-carboxamidobenzaldehyde and estrone (9) to obtain the α,β-unsaturated ketone 16 (Scheme 2). The m-carboxamidobenzaldehyde building block is not commercially available, but it is easily obtained by acid hydrolysis from m-cyanobenzaldehyde []. Stereoselective reduction of the hindered ketone by the presence of a tertiary carbon and an axial methyl on the β-face of steroid 16 directs the hydride attack on the α-face to generate 17β-alcohol 17. Given the steric hindrance of the β-face of compound 17, the catalytic hydrogenation of the exo-alkene at C-16 takes place via the addition of hydrogen via the α-face, which leads to the formation of the 17β-HSD1 reversible inhibitor 2 [].
Scheme 2.
Synthesis of reversible 17β-HSD1 inhibitor 2 from estrone (9). Reagents and conditions: (a) m-carboxamidobenzaldehyde, 10% KOH, EtOH, 110 °C, 0.5 h (80%); (b) NaBH4, CH2Cl2, MeOH, 0 °C, 2–4 h (86%); (c) H2, 10% Pd/C, EtOH, RT, 12 h (98%).
Inhibitor 3: Several synthetic routes have been developed to reduce the number of chemical reactions (from 10 to 6 steps) necessary for the preparation of 17β-HSD1 irreversible inhibitor 3, which has allowed to maximize the overall yield by limiting the purification work []. The reaction sequence optimized for the synthesis of 3 is shown in Scheme 3. E1 (9) is first treated with trifluoromethanesulfonic anhydride to obtain E1-triflate (18). Then, a Suzuki-Miyaura coupling between 18 and potassium (2-benzyloxyethyl)trifluoroborate, prepared in one step using a published procedure [], made it possible to introduce the 2-benzyloxyethyl chain in position 3 and to obtain 19. From 19, and following the sequence of three steps (aldol condensation, carbonyl reduction, and double-bond hydrogenation) previously reported for the synthesis of inhibitor 2 [], the 16β-benzylcarboxamide side chain was introduced. The last two steps were, however, modified by (1) using NaBH4 at −40 °C rather than at room temperature to maximize the selective reduction of enone derivative 20 with the formation of 17β-OH derivative 21 and (2) changing palladium 10% on charcoal (Pd/C) for palladium hydroxide (20%) on charcoal (Pearlman’s catalyst) [] to reduce the reaction time during the catalytic hydrogenation of 21 to 22. In addition to providing a compound with the right C16β-stereochemistry, the palladium catalytic hydrogenation conditions had the advantage of removing the benzyl ether protecting group, thus generating diol 22. Since the classic Appel reaction conditions (CBr4 and PPh3) provided an unselective bromination reaction of the primary alcohol of 22 over carboxamide and 17β-OH functionalities, we used the bromination reaction conditions developed by Chen et al. [] for the deoxygenation of alcohols with tetrabutylammonium iodide and PPh3 in heated dibromoethane. Under these conditions, we obtained a satisfactory yield (83%) for the bromination of primary alcohol 22 to the 17β-HSD1 irreversible inhibitor 3 [].
Scheme 3.
Synthesis of 17β-HSD1 irreversible inhibitor 3 from estrone (9). Reagents and conditions: (a) trifluoromethanesulfonic anhydride, Et3N, CH2Cl2, RT (83–92%); (b) Potassium (2-benzyloxyethyl)trifluoroborate, PPh3, PdCl2, Cs2CO3, THF/H2O (9:1), 90 °C (52–62%); (c) 3-carboxamide-benzaldehyde, 10% NaOH, EtOH/DCM (9:1) (71–85%); (d) NaBH4, MeOH, CH2Cl2, −40 °C, 2 h (92%); (e) H2, 10% Pd(OH)2/C, EtOH, RT, 4 days (69–86%); (f) PPh3, TBAI, BrCH2CH2Br, 60 °C, 1 h (83%).
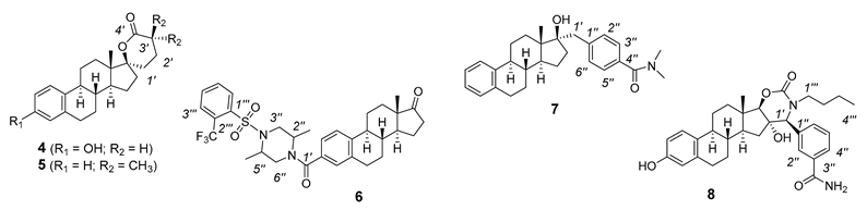
Inhibitor 4: The chemical synthesis of 17β-HSD2 inhibitor 4 begins with the protection of the phenol of E1 (9) with t-butyldimethylsilyl (TBDMS) chloride to form the silyl ether 23 (Scheme 4). But-4-yn-1-ol is then protected in the form of a tetrahydropyrane (THP) derivative and then reacted with n-BuLi to generate the corresponding lithium acetylenide. The latter is then added to the carbonyl of TBDMS-E1 (23) at a very low temperature to promote the attack by the less hindered α-face and, thus, obtain alcohol 24. Catalytic hydrogenation to reduce the triple bond and the subsequent hydrolysis of the THP group generated the diol 25. Oxidation of the primary alcohol using Jones’ reagent yielded a carboxylic acid which did not cyclize to form the expected spiro-δ-lactone 26. TBDMS group of 26 was cleaved by Bu4NF treatment to obtain the 17β-HSD2 inhibitor 4 [].
Scheme 4.
Synthesis of 17β-HSD2 inhibitor 4 from estrone (9). Reagent and conditions: (a) TBDMS-Cl, imidazole, DMF, RT (69–97%); (b) HC≡C(CH2)2OTHP, THF, n-BuLi, 0 °C and addition at −78 °C (68%); (c) H2, 10% Pd/C, EtOAc, RT; (d) p-TSA, MeOH, RT (71%, 2 steps); (e) Jones’ reagent (2.7 M), acetone, 0 °C to RT (75%); (f) Bu4NF, THF, 0 °C to RT (98%).
Inhibitor 5: The chemical synthesis of 17β-HSD5 inhibitor 5 is similar to inhibitor 4, except for the first and last steps (Scheme 5). The E1 (9) hydroxy group was first esterified with trifluoromethanesulfonic anhydride and pyridine to the corresponding E1-triflate (18), which was reduced in the presence of triethylamine, formic acid, PPh3, and palladium diacetate to obtain the deoxygenated compound 27. The next four steps were previously described for the synthesis of 4 and consisted of (1) an alkylation with the appropriate lithium acetylenide, (2) a triple-bond hydrogenation, (3) a hydrolysis of THP protecting group, and (4) an oxidation to carboxylic acid that underwent an intramolecular cyclization with the tertiary alcohol. Using lithium diisopropylamide (LDA) as a base and methyl iodide in excess, the spiro-δ-lactone 30 was methylated in the α-position of the carbonyl. After the separation of the mono and dimethylated compounds by chromatography, compound 5 (diCH3) was isolated in moderate yield []; however, it was possible to increase this yield by methylation of the mono-methylated compound, obtaining 17β-HSD5 inhibitor 5.
Scheme 5.
Synthesis of 17β-HSD5 inhibitor 5 from estrone (9). Reagents and conditions: (a) Tf2O, pyridine, THF, 0 °C or RT (83–92%); (b) HCOOH, Et3N, PPh3, Pd(OAc)2, THF, RT (85%); (c) (i) HC≡C(CH2)2OTHP, THF, n-BuLi, 0 °C, (ii) ketone 33, THF, −78 °C to RT (68%); (d) H2, 10% Pd/C, EtOAc, RT; (e) p-TSA, MeOH, RT; (f) Jone’s reagent (2.7 M), acetone, 0 °C to RT (70%, 3 steps); (g) LDA, MeI, THF, −78 °C to RT (40%).
Inhibitor 6: 17β-HSD3 inhibitor 6 was synthesized in three steps, as reported in Scheme 6. E1 (9) was first transformed into E1-triflate (18) with trifluoromethanesulfonic anhydride and pyridine. The carboxylic derivative 31 was generated by palladium-catalyzed hydrocarbonylation of aryl triflate 18 with Pd(OAc)2, KOAc, 1,1′-bis(diphenylphosphino)ferrocene (dppf) in DMSO under an atmosphere of carbon monoxide, as reported by Cacchi and Lupi []. On the other hand, amine 32 was obtained in one step by reacting 2-(trifluoromethyl)benzenesulfonyl chloride with an excess of trans-2,5-dimethylpiperazine. Finally, the formation of an amide bond between the carboxylic acid 31 and the amine 32 using hexafluorophosphate benzotriazole tetramethyl uronium (HBTU) as a coupling agent provided 17β-HSD3 inhibitor 6 [].
Scheme 6.
Synthesis of 17β-HSD3 inhibitor 6 from estrone (9). Reagents and conditions: (a) Tf2O, pyridine, THF, 0 °C or RT (83–92%); (b) Pd(OAc)2, AcOK, dppf, CO, DMSO, 60 °C (79%); (c) CH2Cl2, RT (66%); (d) HBTU, DIPEA, DMF, RT (87%).
Inhibitor 7: 17β-HSD12 inhibitor 7 was synthesized in four steps, as reported in Scheme 7. After the transformation of E1 (9) into E1-triflate (18), followed by reductive deoxygenation to provide the deoxygenated compound 27, a Samarium-Barbier reductive alkylation using 4-iodobenzyl bromide, samarium metal, and catalytic HgCl2 allowed to obtain the 17α-p-iodophenyl derivative 33. Herein, the classic Grignard reaction was not appropriate to synthesize 33 because the formation of the needed magnesium species is not possible in the presence of the aromatic iodide. Since the palladium-catalyzed amidocarbonylation of aryl halides is a highly efficient, selective, and useful method for the direct synthesis of amide via coupling aryl halides with primary and secondary amines [], the amidocarbonylation reaction of aryl iodide 33 and dimethylamine with high-density microwave was used to obtain compound 7. The reaction carried out at 170 °C for 25 min using Mo(CO)6 as the CO source and palladacycle as the catalytic system provided a moderate yield of 17β-HSD7 inhibitor 7 [].
Scheme 7.
Synthesis of 17β-HSD12 inhibitor 7 from estrone (9). Reagents and conditions: (a) Tf2O, pyridine, THF, 0 °C or RT (83–92%); (b) HCOOH, Et3N, PPh3, Pd(OAc)2, THF, RT (85%); (c) (i) Sm, HgCl2, 4-iodo-benzylbromide, THF, (ii) 10% HCl (72%); (d) [(tBu)3PH]BF4, palladacycle, Mo(CO)6, DBU, (Me)2NH, MW, 170 °C (35%).
Activator 8: 17β-HSD12 activator 8 was obtained as reported in Scheme 8 by adapting a diversity-oriented synthesis (DOS) methodology reported for synthesizing various fused steroidal azacycles []. The 3-methoxymethyl-O-E1 (34), synthesized from E1 (9), was submitted to an aldol condensation with 3-formyl-benzonitrile to obtain the intermediate enone 35. As previously reported for other steroidal-conjugated ketones, the carbonyl of 35 was stereoselectively reduced with sodium borohydride to obtain the 17β-OH derivative, which was treated with a solution of m-chloroperbenzoic acid in chloroform. After separating both epoxide derivatives by chromatography, the major α-epoxide 36 was heated under microwave at a high temperature with butylamine to afford the aminodiol intermediate 37. Finally, the cyclization between the secondary amine and the OH group using triphosgene provided the carbamate E-ring derivative 38, which after acid hydrolysis of the 3-methoxymethylether protecting group, provided 17β-HSD12 activator 8 [].
Scheme 8.
Synthesis of 17β-HSD12 activator 8 from estrone (9). Reagents and conditions: (a) methoxymethylchloride, DIPEA, CH2Cl2, RT (85%); (b) 3-CN-benzaldehyde, KOH, EtOH, 100 °C (79%); (c) NaBH4, MeOH, RT (98%); (d) m-CPBA, CH2Cl2, RT (22%); (e) butylamine, EtOH, microwave, 180 °C (37%); (f) triphosgene, DIPEA, DCM, RT (80%); (g) 10% HCl in MeOH, 50 °C (70%).
3. NMR Characterization of Inhibitors 1–7 and Activator 8
Confirmation of the structure of compounds 1–8 was carried out using infrared (IR), mass (MS), and nuclear magnetic resonance (NMR) spectroscopies; however, the analysis of NMR data provided much more information. Indeed, although the IR data allowed the identification of the key functional groups and the exact high-resolution MS data confirmed the molecular formula of the desired steroid derivatives, NMR data made it possible to confirm the structural arrangement of all compounds. In addition, the presence of an E2 nucleus, whose NMR spectral data are very well known [,] (Table 1), facilitated the characterization work. Finally, in some cases, the use of two-dimensional (2D)-NMR experiments, such as COSY, NOESY, HSQC, and HMBC, proved crucial for identifying all the signals from which excellent markers were identified (Table 1 and Table 2). In this section, we will emphasize the addition of the chemical groups required for the development of the various inhibitors 1–7 and activator 8 by identifying their characteristic NMR (1H/13C) signals.
Table 1.
13C/1H-NMR data in ppm for estradiol (E2) and estrane-based steroid inhibitors 1–3.
Table 2.
NMR data for estrane-based steroid inhibitors 4–7 and activator 8.
Inhibitor 1: For STS inhibitor 1, the signals at 3.89 (1H) and 56.4 (13C) ppm confirm the presence of a methoxy group on the aromatic ring of the steroid A ring (Table 1). Moreover, the presence of only two aromatic CH in the form of two singlets indicates its positioning in C-2. In the NOESY and HSQC spectra, correlations with CH2-6 (2.82 ppm) make it possible to identify CH-4 (6.96/124.1 ppm) and, thereby, CH-1 (7.06/110.4 ppm). On the other hand, the protons of the sulfamate group (ArOSO2NH2) at 4.96 ppm, although present, are of little significance, given that they are labile and their intensity is variable. However, using known 13C NMR data from 2-methoxy-E2 shows that adding a sulfamate group at C-3 induces a shielding effect of ~5 ppm at C-3 and a deshielding effect of 6–9 ppm at C-2, C-4, and C-10 []; it was possible to identify the same effect for compound 1. Finally, the presence of a benzyl group is confirmed in 1H NMR by the multiplet (5 CH) in the aromatic region (7.33 ppm) and in 13C NMR by the presence of four additional aromatic CHs (C-1″ to C-6″) and a CH2 at 42.3 ppm (C-1′). In 1H NMR, two benzylic protons (CH2-1′) are magnetically different and appear in the form of an AB system, i.e., 2 doublets (d) at 2.68 and 2.94 ppm. In 13C NMR, the replacement of the signal at 220 ppm characteristic of a carbonyl by another at 83.0 ppm (C-17) of a tertiary carbon carrying an alcohol is in line with the expected result of the Grignard reaction. Finally, the analysis of the HMBC spectrum makes it possible to observe key correlations between CH3-18 (s, 0.98 ppm) and C-17 (3J), as well as between CH2-1′ and C-17 (2J). Moreover, and in agreement with the addition of a Grignard reagent on the hindered carbonyl at steroid position C-17, the absence of a correlation between CH3-18 and CH2-1′ in the NOESY spectrum confirms the 17α-orientation of the benzyl group.
Inhibitor 2: For the reversible 17β-HSD1 inhibitor 2, the NMR data slightly differ from those of E2, with the only significant difference being the presence of the m-carbamoylbenzyl group at position C-16β (Table 1). In 1H NMR, the addition of this group is supported by the presence of four new aromatic CHs (CH-2″, 4″, 5″ and 6″) and the signals of CH2-1′ appearing in a region that superimposes certain protons of the steroid nucleus. These signals, as well as those of labile CONH2, are, therefore, not very characteristic. More characteristic is the signal at 3.81 ppm (CH-17) in the form of a doublet, which confirms the presence of a C-16 substituent. Among other things, in the NOESY spectrum, the absence of a correlation between CH3-18 (0.89 ppm) and CH-17 confirms the 17α-orientation of CH, while a correlation between CH-17α and CH-16 (identified in the COSY spectrum at 3.14 ppm) confirms the 16β-orientation of the m-carbamoylbenzyl group. The coupling constant for CH-17α (J = 9.6 Hz) is also consistent with the small angle between CH-17α and CH-16α. The analysis of the 13C NMR spectrum combined with those of the HMBC and HSQC spectra made it possible to easily identify CH2-1′ (38.9 ppm), CH-17α (83.0 ppm), and CH-16α (43.3 ppm), as well as the influence of a C-16 group on ring D carbons. In agreement with an NMR (1H and 13C) study for the 17-, 16-, and 15-allyl-E2 derivatives [], signals at 3.81 (doublet) and 83.0 ppm are excellent markers for 17β-OH/16β-R stereochemistry. Furthermore, four CH and two C aromatic signals (129.1–144.3 ppm), as well as the amide signal at 272.7 ppm, showed characteristic correlations in (2D)-NMR spectra, confirming the presence of the m-carbamoylbenzyl group.
Inhibitor 3: For the irreversible 17β-HSD1 inhibitor 3, the only difference with compound 2 is the replacement of the OH at C3 of steroid A-ring by a short 2-bromoethyl side chain. The spectral data are, therefore, identical for B, C, and D-rings, as well as for the m-carbamoylbenzyl group at C-16β (Table 1). In 1H and 13C NMR, the signals at 3.55/33.9 ppm and 3.06/40.1 ppm, whose HMBC, HSQC, and NOESY spectra analyses allowed the assignment of BrCH2-2‴ and CH2-1‴, respectively, are key markers. In 1H NMR, the replacement of OH at C-3 by the bromoethyl chain caused a deshielding effect on the three CH of A-ring (+0.52, 0.50, and 0.16 ppm for CH-4, CH-2, and CH-1, respectively). In 13C NMR, a strong shielding effect is observed on ipso C-3 (−18.2 ppm), while non-significant effects are observed on meta-positioned C-1 and C-5. For C-2 and C-4 located in ortho, the deshielding effect is significant (+14.5 and 15.2 ppm, respectively), while the effect is weaker (+9.6 ppm) for the C-10 in para.
Inhibitor 4: For the 17β-HSD2 inhibitor 4, the 13C NMR data of A and B-rings (Table 2) are identical to those of E2 (Table 1); however, the introduction of a spiro-δ-lactone at position C-17 affects the chemical shifts of the D-ring. As expected, the most affected carbon is C-17 (92.4/+12.4 ppm), while C-13, C-16, and C-18 are less affected (−3.9, 3.5, and 2.9 ppm, respectively). Conversely, a deshielding effect was observable for C-12 (+5.1 ppm) and C-14 (−3.0 ppm). From the singlet easily attributable to CH3-18 (0.90 ppm) and thanks to the correlations observed in the HMBC and HSQC spectra, it was possible to confirm the chemical shifts of CH2-12 (3J), CH-14 (3J), C-17 (3J) and C-13 (2J). Four new signals were also present in the 13C NMR spectrum, namely the carbonyl characteristic of a lactone (171.1 ppm), as well as three methylene groups. Using the carbonyl signal (C-4″) and the correlations in the HMBC and COSY spectra, it was possible to assign these last signals as CH2-1″, 2″, and 3″.
Inhibitor 5: For the 17β-HSD5 inhibitor 5, there are two main structural differences compared to inhibitor 4 discussed above. The first, in the right portion of the molecule, is due to the presence of two methyl groups on the C-3′ in alpha to the carbonyl of the spiro-δ-lactone. These two CH3 appear as a singlet at 1.28 ppm in 1H NMR and two signals at 27.5 and 27.8 ppm in 13C NMR (Table 2). Their presence causes a deshielding effect at C-4″ (177.8/+6.7 ppm), C-3″ (37.8/+8.8 ppm), and C-2″ (34.8/+19.5 ppm). The second difference, in the left portion of the molecule, is due to the replacement of the OH at C3 by an H to obtain a deoxygenated steroid A-ring. This modification is easily confirmed by the presence of a new aromatic CH whose chemical shifts (7.13 and 125.2 ppm) in 1H and 13C NMR are identical to those of CH-1 and CH-2.
Inhibitor 6: For the 17β-HSD3 inhibitor 6, the basic nucleus is E1 (17-C=O), unlike that of E2 (17β-OH) used for the other inhibitors and the activator. The comparison of 13C NMR data (Table 2) for C and D-rings is, therefore, in agreement with those reported in the literature for E1 []. A functionalized side chain linked at position C-3 of the steroid by an amide bond influences the chemical shifts of the A-ring signals, mainly in 13C NMR. Thus, deshielding effects are observed on the carbons in ortho (C-2/+13.3 ppm and C-4/+12.0 ppm) and para (C-10/+6.0 ppm), as well as a shielding effect on the carbon carrying the chain (C-3/−13.3 ppm) compared to the data of C-1 to C-5 and C-10 of E2 (Table 1). The presence of the o-trifluoromethylphenylsulfonamide-trans-dimethylpiperazinoamide chain is confirmed by the appearance of several characteristic but complex signals, except for the carbonyl (C-1′) of the amide at 171.5 ppm. Thus, due to the presence of amide and sulfonamide bonds, as well as possible conformations, the substituted piperazine ring gives rise to several signals between 40.5 and 50.0 ppm (CH2 and CH) and 15.8 and 14.4/14.6 ppm (CH3) in 13C NMR, as well as broad signals between 3.30 and 4.90 ppm (CH2, CH) and 1.06 and 1.19 ppm (CH3) in 1H NMR. The phenyl ring of the side chain gives rise to four aromatic CHs (7.70–8.18 ppm) in 1H NMR in addition to their corresponding CH and C signals (C-1‴ to CH-6‴) in 13C NMR. The presence of three fluorine atoms (CF3) causes the characteristic splitting of carbons carrying or neighboring the fluorine atom in the form of a quadruplet (q). Among other things, CF3, therefore, appears at 122.5 (q, 2JCF = 274 Hz), C-2‴ at 127.2 (q, 3JCF = 32 Hz), and C-3‴ at 128.6 (q, 4JCF = 6.4 Hz).
Inhibitor 7: For the 17β-HSD12 inhibitor 7, the characteristic signals of its 3-desoxy E2-nucleus are the same as those of inhibitor 5. In 1H NMR, the addition of the p-dimethylamidobenzyl group is confirmed by two doublets (AB system) of 17α-CH2 (C-1′), two singlets at 3.05/3.13 ppm (N(CH3)2), and a doublet at 7.39 ppm of four aromatic CHs. In 13C NMR, the signals at 35.4 and 39.7 ppm are associated with the N-dimethyl amide group but are very weak. The signal at 83.2 ppm is attributed to C-17, identical to the one observed for inhibitor 1, which has a 17α-benzyl group. Moreover, the lack of correlations between CH3-18 and CH2-1’ in the NOESY spectrum supports the 17α-orientation of the benzyl substituent.
Activator 8: For the 17β-HSD12 activator 8, the signals associated with the A, B, and C-rings (Table 2) are the same as those of E2 and inhibitors 2 and 4 (Table 1 and Table 2). Although the expected signals are found for the m-carbamoylphenyl group (127.5–139.6 and 167.1/168.7 ppm), as well as the N-butyl chain (49.2, 30.1, 20.5, and 14.1 ppm), the substitutions at positions C-16 and C-17 greatly affect the chemical shifts in D-ring. Three markers have been identified: C-16, which is strongly deshielded at 82.8 ppm due to the presence of tertiary OH, as well as CH2-15 and C-17, deshielded by an alpha substitution at 38.6 and 97.9 ppm, respectively. Two other interesting markers are associated with the new E-ring: carbamate carbonyl (OCON) at 156.4 ppm and CH-1′ at 72.0 ppm. In 1H NMR, singlets at 4.12 ppm (CH-17) and 4.77 ppm (CH-1′) are also characteristic and have been used for the assignment of stereochemistry at positions C-17 and C-16.
4. Biological Activity of Inhibitors 1–7 and Activator 8
Inhibitor 1: Steroid sulfatase (STS) is a widely distributed microsomal enzyme in human tissues that catalyzes the hydrolysis (desulfation) of sulfated 3-hydroxy steroids, the inactive form of steroid hormone, or steroid precursor, to the corresponding free active 3-hydroxy steroids [,,]. STS plays a crucial role in the formation of steroid hormones, and its inhibition constitutes a therapeutic approach envisaged to better control blood and tissue hormone levels, thus opening the door to potential new therapies [,,,,,].
The STS irreversible inhibitor 1 stems from work showing that the presence of a hydrophobic group, such as the benzyl group, added to position C-17α of E2 induced a reversible inhibition of STS [,]. Since it was known from the work of Reed and collaborators that the addition of a sulfamate group (NH2SO3) at C-3 of E1 generated EMATE, a potent reversible inhibitor of STS [], 17α-benzyl-E2 was sulfamoylated to obtain an irreversible STS inhibitor, which is very effective in inhibiting the formation of E1 and DHEA from E1S and DHEAS []. In addition, using the 2-methoxy-E2 ring then made it possible to block the undesirable residual estrogenic activity of this family of STS inhibitors and obtain the STS irreversible inhibitor 1 []. In fact, 1 strongly inhibited (IC50 = 0.024 nM) the transformation of E1S into E1 when tested in homogenized HEK-293 cells overexpressing STS (Table 3). It did not show estrogenic and antiestrogenic effects in the uterus (an ER+ tissue) of ovariectomized mice, but when given subcutaneously (sc) or orally (po), it reversed the estrogenic effect caused by E1S []. Similarly, it showed no androgenic effect in the ventral prostate and seminal vesicles (two AR+ tissues) of castrated rats and reversed the androgenic effect caused by DHEAS []. In addition, inhibitor 1 completely blocked the growth of E2S-stimulated breast cancer tumors in mice, thus demonstrating its potential as an anticancer agent [].
Inhibitors 2 and 3: 17β-Hydroxysteroid dehydrogenase type 1 (17β-HSD1) is a cytosolic enzyme involved in the last step of the biosynthesis of E2, the most potent estrogen, from E1 [,,]. Using DHEA as substrate, this enzyme is also involved in the formation of 5-diol, a weak estrogen that becomes more important at menopause, when the ovaries no longer produce E2. Inhibitor 2 (CC-156) effectively blocks the conversion of E1 to E2 by purified human 17β-HSD1 (Ki = 0.9 nM), as well as by the 17β-HSD1 activity present in human T47D cancer cells (IC50 = 27–44 nM) [], and this by competing with E1 in the catalytic site, as shown by the 3D analysis of the 17β-HSD1/CC-156 complex [] (Table 3). Despite its ability to reverse the proliferation of ER+ T47D cells induced by E1, inhibitor 2 also exerts an estrogenic effect when tested alone in this cell model, as well as in mice []. Since this residual estrogenic activity of reversible competitive inhibitor 2 is not compatible with its intended therapeutic use, a structure-activity relationship (SAR) study subsequently made it possible to identify inhibitor 3 (PBRM) []. Here, the replacement of the 3-OH of 2 (CC-156) by a short 2-bromoethyl chain made it possible to obtain the irreversible competitive inhibitor 3, as shown beyond all doubt by the 3D analysis of the 17β-HSD1/PBRM complex (Figure 3) []. Indeed, we observed the formation of a covalent bond between a nitrogen atom of histidine-221 of human 17β-HSD1 and the methylene group (CH2) of the short side chain (displacement of Br). It is, therefore, an irreversible inhibitor (Ki = 368 nM and Kinact = 0.087 min−1) when tested in pure human enzyme but selective for 17β-HSD1 (mild alkylating agent) []. Inhibitor 3 is less potent than inhibitor 2 in T47D cells (IC50 = 68 and 27 nM, respectively), but unlike its reversible analog 2, it did not show estrogenic activity in mice []. Thanks to these characteristics, inhibitor 3 was able to effectively block the growth of tumors (xenografts of T47D human cancer cells in nude mice) induced by two precursors of E2, namely E1 and DHEA [], and has also shown its efficacy in a monkey model of endometriosis [].
Figure 3.
X-ray analysis of the complex between 17β-HSD1 and inhibitor 1 (PBRM) shows the formation of a covalent bond with histidine-221.
Inhibitor 4: 17β-Hydroxysteroid dehydrogenase type 2 (17β-HSD2) is a membranar enzyme involved in the oxidation of key hydroxysteroids, such as E2, 5-diol, T, DHT, and 20α-DHP, to less active corresponding ketosteroids []. Blocking 17β-HSD2 activity would keep the levels of certain steroid hormones high enough to benefit from desirable estrogenic or androgenic effects to treat some hormonal deficiencies, as in the case of osteoporosis. The predominant activity of 17β-HSD2 is mainly the oxidation in whole cells; however, both oxidative and reductive activities were observed in homogenized transfected HEK-293 cells according to the cofactor used, NAD(P)+ or NADP(H), respectively. From a SAR study using the reductive activity of 17β-HSD2, the spiro-δ-lactone-E2 compound 4 was identified as the most potent inhibitor for the transformation of 4-dione to T (IC50 = 6 nM; Ki = 29 nM) in a non-competitive and reversible manner (Table 3) []. When tested against the oxidase activity of 17β-HSD2, compound 4 was also able to inhibit the transformations of both T to 4-dione and E2 into E1 (65% at 1 μM).
Inhibitor 5: 17β-Hydroxysteroid dehydrogenase type 5 (17β-HSD5), or aldo-keto reductase (AKR) 1C3, catalyzes the conversion of 4-dione into T, DHEA into 5-diol, and E1 into E2; consequently, its inhibition could be a strategy to lower the level of androgen T and estrogens E2 and 5-diol [,,,,]. Inhibitor 5 was obtained by modifying 17β-HSD2 inhibitor 4. To make the latter selective for 17β-HSD5, two modifications were necessary: adding two methyl groups in alpha to the carbonyl of the spiro-δ-lactone and using a deoxy-E2 ring. Compound 5 thus inhibited the reduction of 4-dione to T (IC50 = 2.9 nM) by transfected 17β-HSD5 in whole HEK-293 cells, but without inhibiting at 0.1 and 1 μM the oxidative and reductive activities of 17β-HSD2 present in homogenized transfected HEK-293 cells (Table 3) [].
Inhibitor 6: 17β-Hydroxysteroid dehydrogenase type 3 (17β-HSD3), or testicular 17β-HSD, is expressed in the microsomal fraction of testes and is involved mainly in the oxidation of the androgenic hormone T to inactive 4-dione [,,,]. Compound 6 inhibited the transformation of 4-dione into T in both whole LNCaP cells overexpressing 17β-HSD3 (IC50 = 0.10 μM), as well as in a preparation of homogenized rat testes (IC50 = 0.11 μM) (Table 3). This inhibitor also reduced the proliferation of androgen-dependent (AR+) prostate cancer LAPC-4 cells but not the proliferation of (AR-) prostate cancer PC-3 cells, suggesting an effect mediated via the reduction of the production of androgens []. When injected sc in mice, inhibitor 6 was found to be more abundant (4 times) in plasma than the previous lead inhibitor RM-532-105, built around a C19-steroid backbone [,], thus suggesting a better metabolic stability of the E1 (C18-steroid)-type 17β-HSD3 inhibitor 6.
Inhibitor 7: 17β-Hydroxysteroid dehydrogenase type 12 (17β-HSD12) was initially reported as 3-ketoacyl-CoA reductase for its essential role in fatty acid elongation cascade [] but was later found to be able to reduce E1 into E2 []. Although its physiological role remains a matter of debate, inhibiting 17β-HSD12 could be a potential strategy to reduce the E2 levels where the enzyme is present. Inhibitor 7 originated from a SAR study showing that a side chain in position C-17α and the absence of an OH group at position C-3 of E2 are important for the inhibition of 17β-HSD12 activity []. Thus, at 1 and 10 μM, respectively, the dimethylamidobenzyl derivative 7 inhibited 71 and 82% of the transformation of E1 into E2 by 17β-HSD12 overexpressed in whole HEK-293 cells (Table 3) []. Having shown selectivity for type 12 over types 1, 2, 5, and 7 17β-HSDs, inhibitor 7 was used in a study to investigate the role of certain 17β-HSDs in the proliferation of breast cancer cells [].
Activator 8: Medicinal chemists designed numerous enzyme inhibitors; however, the discovery of small molecule activators that interact with an enzyme to enhance its activity is a rather rare event. In fact, to date, only 12 enzymes have well-known synthetic activators []. By testing a series of steroid derivatives as 17β-HSD12 inhibitors, E2 derivatives with an [1,3]oxazinan-2-one E-ring were found to increase the E1 to E2 conversion basal activity when tested in intact and homogenized stably transfected HEK-293 cells. Thus, for compound 8 tested in transfected HEK-293 cells, a dose-dependent stimulation of E1 to E2 conversion was observed in homogenized cells (microsomal fraction) (EC50 = 7.5 μM), while a stimulation of 281% was measured at 20 μM in intact cells (Table 3). The exact mechanism of action of activator 8 is not yet known, but results using a microsomal fraction suggest an allosteric binding of 8 to 17β-HSD12. Stimulation of E1 to E2 conversion was also observed in T47D breast cancer cells which are known to highly express 17β-HSD12 [].
Table 3.
Summary of biological activities for compounds 1–8.
Table 3.
Summary of biological activities for compounds 1–8.
| Cpd | Type | Enzyme | IC50 (Ki) in nM | EC50 in nM | Other 1 | Ref |
|---|---|---|---|---|---|---|
| 1 | Inh | STS | 0.024 2 | -- | Irreversible Inh; Not estrogenic and not androgenic in mice and rats; Blocks E1S, E2S, and DHEAS transformations in cells and mouse/rat tissues | [,,] |
| 2 | Inh | 17β-HSD1 | 27–44 3 (0.9) | -- | Reversible Inh; Weakly estrogenic in cells and mice | [,] |
| 3 | Inh | 17β-HSD1 | 68–83 3 (368) | -- | Irreversible Inh (Kinact = 0.087 min−1); Not estrogenic in cells and mice; Blocks E1- and DHEA-tumor growth in mice; Orally active | [,,,,,] |
| 4 | Inh | 17β-HSD2 | 63 4 (29) | -- | Reversible Inh; Potentially estrogenic; NTAM | [] |
| 5 | Inh | 17β-HSD5 (AKR1C3) | 2.9 5 | -- | Not androgenic and weakly estrogenic in cells; NTAM | [] |
| 6 | Inh | 17β-HSD3 | 100–110 6 | -- | Reduces androgen (AR+)-dependent cells; NTAM | [] |
| 7 | Inh | 17β-HSD12 | 560 7 | -- | NTAM | [] |
| 8 | Act | 17β-HSD12 | -- | 7500 8 | NTAM | [] |
1 Inh—Inhibitor; Act—Activator; NTAM—Not tested in an animal model; 2 Inhibition of E1S to E1 in homogenized transfected HEK-293[STS] cells. 3 Inhibition of E1 to E2 in whole breast cancer T47D cells. 4 Inhibition of 4-dione to T in homogenized HEK-293[17β-HSD2] cells; 65% of inhibition at 1 µM for T to 4-dione transformation. 5 Inhibition of 4-dione to T in whole HEK-293[17β-HSD5] cells. 6 Inhibition of 4-dione to T in both whole LNCaP[17β-HSD3] cells and homogenized rat testes. 7 Inhibition of E1 to E2 in whole HEK-293[17β-HSD12] cells. 8 Stimulation of E1 to E2 transformation in homogenized (microsomal fraction) of HEK-293[17β-HSD12] cells.
5. Conclusions
From the C18-steroid estrone (E1) as a starting material and using a short sequence of reactions, the introduction of a functionalized side chain at key positions, such as positions C-3, C-16, C-17, or both C-16 and C-17, made it possible to generate seven inhibitors (compounds 1–7) and one activator (compound 8) of steroidogenic enzymes [STS, 17β-HSDs 1, 2, 3, and 12, and AKR1C3 (17β-HSD5)], all involved in the biosynthesis of estrogens and androgens. Irreversible STS inhibitor 1 combines three important elements, namely, a hydrophobic group at C-17α, a sulfamate group at C-3, and a methoxy group at C-2 of estradiol (E2), resulting in a very potent and non-estrogenic inhibitor. The 17β-HSD1 inhibitors were obtained by adding an m-carbamoylbenzyl chain at C-16β of E2, while a judicious modification of the C-3 position (from OH to BrCH2CH2) made it possible to obtain inhibitor 2 (reversible) and inhibitor 3 (irreversible), the latter of which proved effective when tested in cancer and endometriosis animal models. 17β-HSD2 and 17β-HSD5 (AKR1C3) inhibitors share the common element of a spiro-δ-lactone ring at C-17 of E2, but the addition of two methyl groups at C-3′ and the absence of the OH at C-3 make inhibitor 5 selective for 17β-HSD5, unlike inhibitor 4. The introduction at position C-3 of E1 of an arylsulfonamidodimethylpiperazine chain optimized during SAR studies led to 17β-HSD3 inhibitor 6. For 17β-HSD12, a first family of inhibitors represented by compound 7 was obtained by adding a p-amido-benzyl chain in position C-17α of desoxy-E2, while diversification of the positions C-16 and C-17 made it possible to obtain compound 8, a first activator of an enzyme involved in steroidogenesis.
In summary, the bioactive compounds 1–8, for which chemical synthesis, NMR characterization, and biological activities have been described, constitute potential therapeutic or mechanistic tools that could be used to better understand the role of certain hormones in steroidogenesis and potentially contribute to the development of new drugs.
Funding
This research received no external funding.
Institutional Review Board Statement
Not applicable.
Informed Consent Statement
Not applicable.
Data Availability Statement
Not applicable.
Acknowledgments
Micheline Harvey, for careful reading of this manuscript.
Conflicts of Interest
The author is the owner of patents on 17β-HSD1 and 17β-HSD7 inhibitors.
Sample Availability
Certain inhibitor samples are available from the author upon request.
References
- Baulieu, E.E. Hormones, a complexe communication network. In Hormones, from Molecules to Disease; Baulieu, E.E., Kelly, P.A., Eds.; Hermann, Publishers in Arts and Science: Paris, France, 1990; pp. 3–149. [Google Scholar]
- Payne, A.H.; Hales, D.B. Overview of steroidogenic enzymes in the pathway from cholesterol to active steroid hormones. Endocr. Rev. 2004, 25, 947–970. [Google Scholar] [CrossRef]
- Luu-The, V. Assessment of steroidogenesis and steroidogenic enzyme functions. J. Steroid Biochem. Mol. Biol. 2013, 137, 176–182. [Google Scholar] [CrossRef] [PubMed]
- Li, J.J. Aromatase Inhibitors for Breast Cancer: Exemestane (Aromasin), Anastrozole (Arimidex), and Letrozole (Femara). In The Art of Drug Synthesis; Johnson, D.S., Li, J.J., Eds.; John Wiley & Sons: Hoboken, NJ, USA, 2007; pp. 31–38. [Google Scholar] [CrossRef]
- Eisen, A.; Trudeau, M.; Shelley, W.; Messersmith, H.; Pritchard, K.I. Aromatase inhibitors in adjuvant therapy for hormone receptor positive breast cancer: A systematic review. Cancer Treat. Rev. 2008, 34, 157–174. [Google Scholar] [CrossRef] [PubMed]
- Salvador, J.A.R.; Pinto, R.M.A.; Silvestre, S.M. Steroidal 5α-reductase and 17α-hydroxylase/17,20-lyase (CYP17) inhibitors useful in the treatment of prostatic diseases. J. Steroid Biochem. Mol. Biol. 2013, 137, 199–222. [Google Scholar] [CrossRef] [PubMed]
- Aggarwal, S.; Thareja, S.; Verma, A.; Bhardwaj, T.R.; Kumar, M. An overview on 5α-reductase inhibitors. Steroids 2010, 75, 109–153. [Google Scholar] [CrossRef]
- Moreira, V.M.; Salvador, J.A.R.; Vasaitis, T.S.; Njar, V.C.O. CYP17 Inhibitors for prostate cancer treatment—An update. Curr. Med. Chem. 2008, 15, 868–899. [Google Scholar] [CrossRef]
- Fizazi, K.; Scher, H.I.; Molina, A.; Logothetis, C.J.; Chi, K.N.; Jones, R.J.; Staffurth, J.N.; North, S.; Vogelzang, N.J.; Saad, F.; et al. Abiraterone acetate for treatment of metastatic castration-resistant prostate cancer: Final overall survival analysis of the COU-AA-301 randomised, double-blind, placebo-controlled phase 3 study. Lancet Oncol. 2012, 13, 983–992. [Google Scholar] [CrossRef]
- Potter, B.V.L. SULFATION PATHWAYS: Steroid sulphatase inhibition via aryl sulphamates: Clinical progress, mechanism and future prospects. J. Mol. Endocrinol. 2018, 61, T233–T252. [Google Scholar] [CrossRef]
- Palmieri, C.; Stein, R.C.; Liu, X.; Hudson, E.; Nicholas, H.; Sasano, H.; Guestini, F.; Holcombe, C.; Barrett, S.; Kenny, L.; et al. IRIS study: A phase II study of the steroid sulfatase inhibitor Irosustat when added to an aromatase inhibitor in ER-positive breast cancer patients. Breast Cancer Res. Treat. 2017, 165, 343–353. [Google Scholar] [CrossRef]
- Shah, R.; Singh, J.; Singh, D.; Jaggi, A.S.; Singh, N. Sulfatase inhibitors for recidivist breast cancer treatment: A chemical review. Eur. J. Med. Chem. 2016, 114, 170–190. [Google Scholar] [CrossRef]
- Mostafa, Y.A.; Taylor, S.D. Steroid derivatives as inhibitors of steroid sulfatase. J. Steroid Biochem. Mol. Biol. 2013, 137, 183–198. [Google Scholar] [CrossRef] [PubMed]
- Purohit, A.; Foster, P.A. Steroid sulfatase inhibitors for estrogen- and androgen-dependent cancers. J. Endocrinol. 2012, 212, 99–110. [Google Scholar] [CrossRef] [PubMed]
- Maltais, R.; Poirier, D. Steroid sulfatase inhibitors: A review covering the promising 2000–2010 decade. Steroids 2011, 76, 929–948. [Google Scholar] [CrossRef] [PubMed]
- Marchais-Oberwinkler, S.; Henn, C.; Möller, G.; Klein, T.; Negri, M.; Oster, A.; Spadaro, A.; Werth, R.; Wetzel, M.; Xu, K.; et al. 17β-Hydroxysteroid dehydrogenases (17β-HSDs) as therapeutic targets: Protein structures, functions, and recent progress in inhibitor development. J. Steroid Biochem. Mol. Biol. 2011, 125, 66–82. [Google Scholar] [CrossRef]
- Day, J.M.; Tutill, H.J.; Purohit, A. 17β-hydroxysteroid dehydrogenase inhibitors. Minerva Endocrinol. 2010, 35, 87–108. [Google Scholar]
- Poirier, D. 17β-Hydroxysteroid dehydrogenase inhibitors: A patent review. Expert Opin. Ther. Patents 2010, 20, 1123–1145. [Google Scholar] [CrossRef]
- Byrns, M.C.; Jin, Y.; Penning, T.M. Inhibitors of type 5 17β-hydroxysteroid dehydrogenase (AKR1C3): Overview and structural insights. J. Steroid Biochem. Mol. Biol. 2011, 125, 95–104. [Google Scholar] [CrossRef]
- Rižner, T.L.; Penning, T.M. Aldo-keto reductase 1C3—Assessment as a new target for the treatment of endometriosis. Pharmacol. Res. 2020, 152, 104446. [Google Scholar] [CrossRef]
- Zorn, J.; Wells, J. Turning enzymes ON with small molecules. Nat. Chem. Biol. 2010, 6, 179–188. [Google Scholar] [CrossRef]
- Casiraghi, G.; Casnati, G.; Puglia, G.; Sartori, G.; Terenghi, G. Selective reactions between phenols and formaldehyde. A novel route to salicylaldehydes. J. Chem. Soc. Perkin Trans. 1 1980, 1862–1865. [Google Scholar] [CrossRef]
- Boivin, R.P.; Luu-The, V.; Lachance, R.; Labrie, F.; Poirier, D. Structure−activity relationships of 17α-derivatives of estradiol as inhibitors of steroid sulfatase. J. Med. Chem. 2000, 43, 4465–4478. [Google Scholar] [CrossRef] [PubMed]
- Li, X.; Singh, S.M.; Labrie, F. Highly efficient nucleophilic addition of alkyl Grignard reagents to 17-ketosteroids in the presence of cerium(III) chloride: Synthesis of 17α-propyl-17β-hydroxy-4-androsten-3-one, an androgen receptor antagonist. Tetrahedron Lett. 1994, 35, 1157–1160. [Google Scholar] [CrossRef]
- Winum, J.-Y.; Scozzafava, A.; Montero, J.-L.; Supuran, C.T. Sulfamates and their therapeutic potential. Med. Res. Rev. 2004, 25, 186–228. [Google Scholar] [CrossRef]
- Anbar, H.S.; Isa, Z.; Elounais, J.J.; Jameel, M.A.; Zib, J.H.; Samer, A.M.; Jawad, A.F.; El-Gamal, M.I. Steroid sulfatase inhibitors: The current landscape. Expert Opin. Ther. Patents 2021, 31, 453–472. [Google Scholar] [CrossRef]
- Ciobanu, L.C.; Luu-The, V.; Martel, C.; Labrie, F.; Poirier, D. Inhibition of estrone sulfate-induced uterine growth by potent non-estrogenic steroidal inhibitors of steroid sulfatase. Cancer Res. 2003, 63, 6442–6446. [Google Scholar]
- Sharifi, A.; Mohsenzadeh, F.; Mojtahedi, M.M.; Saidi, M.R.; Balalaie, S. Microwave-promoted transformation of nitriles to amides with aqueous sodium perborate. Synth. Commun. 2001, 31, 431–434. [Google Scholar] [CrossRef]
- Laplante, Y.; Cadot, C.; Fournier, M.-A.; Poirier, D. Estradiol and estrone C-16 derivatives as inhibitors of type 1 17β-hydroxysteroid dehydrogenase: Blocking of ER+ breast cancer cell proliferation induced by estrone. Bioorg. Med. Chem. 2008, 16, 1849–1860. [Google Scholar] [CrossRef] [PubMed]
- Maltais, R.; Poirier, D. Development of a gram-scale synthesis of PBRM, an irreversible inhibitor of 17β-hydroxysteroid dehydrogenase type 1. Org. Process. Res. Dev. 2019, 23, 2323–2335. [Google Scholar] [CrossRef]
- Fleury-Brégeot, N.; Presset, M.; Beaumard, F.; Colombel, V.; Oehlrich, D.; Rombouts, F.; Molander, G.A. Suzuki–Miyaura cross-coupling of potassium alkoxyethyltrifluoroborates: Access to aryl/heteroarylethyloxy motifs. J. Org. Chem. 2012, 77, 10399–10408. [Google Scholar] [CrossRef]
- Pearlman, W.M. Noble metal hydroxides on carbon nonpyrophoric dry catalysts. Tetrahedron Lett. 1967, 8, 1663–1664. [Google Scholar] [CrossRef]
- Chen, J.; Lin, J.-H.; Xiao, J.-C. Halogenation through deoxygenation of alcohols and aldehydes. Org. Lett. 2018, 20, 3061–3064. [Google Scholar] [CrossRef] [PubMed]
- Maltais, R.; Ayan, D.; Poirier, D. Crucial role of 3-bromoethyl in removing the estrogenic activity of 17β-HSD1 inhibitor 16β-(m-carbamoylbenzyl)estradiol. ACS Med. Chem. Lett. 2011, 2, 678–681. [Google Scholar] [CrossRef] [PubMed]
- Bydal, P.; Auger, S.; Poirier, D. Inhibition of type 2 17β-hydroxysteroid dehydrogenase by estradiol derivatives bearing a lactone on the D-ring: Structure–activity relationships. Steroids 2004, 69, 325–342. [Google Scholar] [CrossRef] [PubMed]
- Bydal, P.; Luu-The, V.; Labrie, F.; Poirier, D. Steroidal lactones as inhibitors of 17β-hydroxysteroid dehydrogenase type 5: Chemical synthesis, enzyme inhibitory activity, and assessment of estrogenic and androgenic activities. Eur. J. Med. Chem. 2009, 44, 632–644. [Google Scholar] [CrossRef]
- Cacchi, S.; Lupi, A. Palladium-catalysed hydroxycarbonylation of vinyl and aryl triflates: Synthesis of α,β-unsaturated and aromatic carboxylic acids. Tetrahedron Lett. 1992, 33, 3939–3942. [Google Scholar] [CrossRef]
- Cortés-Benítez, F.; Roy, J.; Perreault, M.; Maltais, R.; Poirier, D. A- and D-ring structural modifications of an androsterone derivative inhibiting 17β-hydroxysteroid dehydrogenase type 3: Chemical synthesis and structure–activity relationships. J. Med. Chem. 2019, 62, 7070–7088. [Google Scholar] [CrossRef]
- Wannberg, J.; Larhed, M. Microwave-Promoted Carbonylations. In Modern Carbonylation Methods; Kollar, L., Ed.; John Wiley & Sons: Weinheim, Germany, 2008; pp. 95–114. [Google Scholar] [CrossRef]
- Fournier, M.-A.; Poirier, D. Synthesis and evaluation of amido-deoxyestradiol derivatives as inhibitors of 17β-hydroxysteroid dehydrogenase type 12. Curr. Enzym. Inhib. 2011, 7, 134–146. [Google Scholar] [CrossRef]
- Maltais, R.; Poirier, D. Diversity-oriented synthesis of spiro- and fused azacycles from ketone molecular templates. Eur. J. Org. Chem. 2012, 2012, 5435–5439. [Google Scholar] [CrossRef]
- Trottier, A.; Maltais, R.; Poirier, D. Identification of a first enzymatic activator of a 17β-hydroxysteroid dehydrogenase. ACS Chem. Biol. 2014, 9, 1668–1673. [Google Scholar] [CrossRef]
- Blunt, J.W.; Stothers, J.B. 13C n.m.r. spectra of steroids—A survey and commentary. Org. Magn. Reson. 1977, 9, 439–464. [Google Scholar] [CrossRef]
- Guo, J.; Duclos, R.I.; Vemuri, V.K.; Makriyannis, A. The conformations of 17β-estradiol (E2) and 17α-estradiol as determined by solution NMR. Tetrahedron Lett. 2010, 51, 3465–3469. [Google Scholar] [CrossRef] [PubMed]
- Dionne, P.; Ngatcha, B.T.; Poirier, D. D-ring allyl derivatives of 17β- and 17α-estradiols: Chemical synthesis and 13C NMR data. Steroids 1997, 62, 674–681. [Google Scholar] [CrossRef] [PubMed]
- Ghosh, D. Human sulfatases: A structural perspective to catalysis. Cell. Mol. Life Sci. 2007, 64, 2013–2022. [Google Scholar] [CrossRef] [PubMed]
- Hanson, S.R.; Best, M.D.; Wong, C.-H. Sulfatases: Structure, mechanism, biological activity, inhibition, and synthetic utility. Angew. Chem. Int. Ed. 2004, 43, 5736–5763. [Google Scholar] [CrossRef] [PubMed]
- Rižner, T.L. The important roles of steroid sulfatase and sulfotransferases in gynecological diseases. Front. Pharmacol. 2016, 7, 30. [Google Scholar] [CrossRef]
- Maltais, R.; Fournier, D.; Poirier, D. Quantitative structure-activity relationship (QSAR) study with a series of 17α-derivatives of estradiol: Model for the development of reversible steroid sulfatase inhibitors. QSAR Comb. Sci. 2009, 28, 1284–1299. [Google Scholar] [CrossRef]
- Thomas, M.P.; Potter, B.V.L. Discovery and development of the aryl O-sulfamate pharmacophore for oncology and women’s health. J. Med. Chem. 2015, 58, 7634–7658. [Google Scholar] [CrossRef]
- Ciobanu, L.C.; Boivin, R.P.; Luu-The, V.; Labrie, F.; Poirier, D. Potent inhibition of steroid sulfatase activity by 3-O-sulfamate 17α-benzyl(or 4‘-tert-butylbenzyl)estra-1,3,5(10)-trienes: Combination of two substituents at positions C3 and C17α of estradiol. J. Med. Chem. 1999, 42, 2280–2286. [Google Scholar] [CrossRef]
- Roy, J.; Lefebvre, J.; Maltais, R.; Poirier, D. Inhibition of dehydroepiandrosterone sulfate action in androgen-sensitive tissues by EM-1913, an inhibitor of steroid sulfatase. Mol. Cell. Endocrinol. 2013, 376, 148–155. [Google Scholar] [CrossRef]
- Poirier, D.; Roy, J.; Maltais, R.; Ayan, D. A Potent inhibitor of steroid sulfatase (EM-1913) blocks tumor growth in nude mice (MCF-7 xenograft). Curr. Enzym. Inhib. 2015, 11, 65–73. [Google Scholar] [CrossRef]
- Tremblay, M.R.; Poirier, D. Overview of a rational approach to design type I 17β-hydroxysteroid dehydrogenase inhibitors without estrogenic activity: Chemical synthesis and biological evaluation. J. Steroid Biochem. Mol. Biol. 1998, 66, 179–191. [Google Scholar] [CrossRef] [PubMed]
- Gobec, S.; Brozic, P.; Rizner, T. Inhibitors of 17β-hydroxysteroid dehydrogenase type 1. Curr. Med. Chem. 2008, 15, 137–150. [Google Scholar] [CrossRef] [PubMed]
- Lin, S.-X.; Poirier, D.; Adamski, J. A challenge for medicinal chemistry by the 17-hydroxysteroid dehydrogenase superfamily: An integrated biological function and inhibition study. Curr. Top. Med. Chem. 2013, 13, 1164–1171. [Google Scholar] [CrossRef] [PubMed]
- Mazumdar, M.; Fournier, D.; Zhu, D.-W.; Cadot, C.; Poirier, D.; Lin, S.-X. Binary and ternary crystal structure analyses of a novel inhibitor with 17β-HSD type 1: A lead compound for breast cancer therapy. Biochem. J. 2009, 424, 357–366. [Google Scholar] [CrossRef] [PubMed]
- Ayan, D.; Maltais, R.; Roy, J.; Poirier, D. A New Nonestrogenic steroidal inhibitor of 17β-hydroxysteroid dehydrogenase type I blocks the estrogen-dependent breast cancer tumor growth induced by estrone. Mol. Cancer Ther. 2012, 11, 2096–2104. [Google Scholar] [CrossRef] [PubMed]
- Maltais, R.; Ayan, D.; Trottier, A.; Barbeau, X.; Lagüe, P.; Bouchard, J.-E.; Poirier, D. Discovery of a non-estrogenic irreversible inhibitor of 17β-hydroxysteroid dehydrogenase type 1 from 3-substituted-16β-(m-carbamoylbenzyl)-estradiol derivatives. J. Med. Chem. 2014, 57, 204–222. [Google Scholar] [CrossRef]
- Li, T.; Maltais, R.; Poirier, D.; Lin, S.-X. Combined biophysical chemistry reveals a new covalent inhibitor with a low-reactivity alkyl halide. J. Phys. Chem. Lett. 2018, 9, 5275–5280. [Google Scholar] [CrossRef]
- Trottier, A.; Maltais, R.; Ayan, D.; Barbeau, X.; Roy, J.; Perreault, M.; Poulin, R.; Lagüe, P.; Poirier, D. Insight into the mode of action and selectivity of PBRM, a covalent steroidal inhibitor of 17β-hydroxysteroid dehydrogenase type 1. Biochem. Pharmacol. 2017, 144, 149–161. [Google Scholar] [CrossRef] [PubMed]
- Poirier, D.; Roy, J.; Maltais, R. A Targeted-covalent inhibitor of 17β-HSD1 blocks two estrogen-biosynthesis pathways: In vitro (metabolism) and in vivo (xenograft) studies in T-47D breast cancer models. Cancers 2021, 13, 1841. [Google Scholar] [CrossRef]
- Poirier, D.; Nyachieo, A.; Romano, A.; Roy, J.; Maltais, R.; Chai, D.; Delvoux, B.; Tomassetti, C.; Vanhie, A. An irreversible inhibitor of 17β-hydroxysteroid dehydrogenase type 1 inhibits estradiol synthesis in human endometriosis lesions and induces regression of the non-human primate endometriosis. J. Steroid Biochem. Mol. Biol. 2022, 222, 106136. [Google Scholar] [CrossRef]
- Poirier, D.; Bydal, P.; Tremblay, M.R.; Sam, K.-M.; Luu-The, V. Inhibitors of type II 17β-hydroxysteroid dehydrogenase. Mol. Cell. Endocrinol. 2001, 171, 119–128. [Google Scholar] [CrossRef] [PubMed]
- Adeniji, A.O.; Chen, M.; Penning, T.M. AKR1C3 as a target in castrate resistant prostate cancer. J. Steroid Biochem. Mol. Biol. 2013, 137, 136–149. [Google Scholar] [CrossRef] [PubMed]
- Detlefsen, A.J.; Paulukinas, R.D.; Penning, T.M. Germline mutations in steroid metabolizing enzymes: A focus on steroid transforming aldo-keto reductases. Int. J. Mol. Sci. 2023, 24, 1873. [Google Scholar] [CrossRef] [PubMed]
- Mohler, M.L.; Narayanan, R.; He, Y.; Miller, D.D.; Dalton, J.T. Hydroxysteroid dehydrogenase (17β-HSD3, 17β-HSD5, and 3α-HSD3) inhibitors: Extragonadal regulation of intracellular sex steroid hormone levels. Recent Pat. Endocr. Metab. Immun. Drug Discov. 2007, 1, 103–118. [Google Scholar] [CrossRef]
- Geissler, W.M.; Davis, D.L.; Wu, L.; Bradshaw, K.D.; Patel, S.; Mendonca, B.; Elliston, K.; Wilson, J.D.; Russell, D.; Andersson, S. Male pseudohermaphroditism caused by mutations of testicular 17β–hydroxysteroid dehydrogenase 3. Nat. Genet. 1994, 7, 34–39. [Google Scholar] [CrossRef] [PubMed]
- Moghrabi, N.; Andersson, S. 17β-Hydroxysteroid dehydrogenases: Physiological roles in health and disease. Trends Endocrinol. Metab. 1998, 9, 265–270. [Google Scholar] [CrossRef]
- Ning, X.; Yang, Y.; Deng, H.; Zhang, Q.; Huang, Y.; Su, Z.; Fu, Y.; Xiang, Q.; Zhang, S. Development of 17β-hydroxysteroid dehydrogenase type 3 as a target in hormone-dependent prostate cancer therapy. Steroids 2017, 121, 10–16. [Google Scholar] [CrossRef]
- Roy, J.; Fournier, M.-A.; Maltais, R.; Kenmogne, L.C.; Poirier, D. In vitro and in vivo evaluation of a 3β-androsterone derivative as inhibitor of 17β-hydroxysteroid dehydrogenase type 3. J. Steroid Biochem. Mol. Biol. 2014, 141, 44–51. [Google Scholar] [CrossRef]
- Maltais, R.; Fournier, M.-A.; Poirier, D. Development of 3-substituted-androsterone derivatives as potent inhibitors of 17β-hydroxysteroid dehydrogenase type 3. Bioorg. Med. Chem. 2011, 19, 4652–4668. [Google Scholar] [CrossRef]
- Moon, Y.-A.; Horton, J.D. Identification of two mammalian reductases involved in the two-carbon fatty acyl elongation cascade. J. Biol. Chem. 2003, 278, 7335–7343. [Google Scholar] [CrossRef]
- Luu-The, V.; Tremblay, P.; Labrie, F. Characterization of type 12 17β-hydroxysteroid dehydrogenase, an isoform of type 3 17β-hydroxysteroid dehydrogenase responsible for estradiol formation in women. Mol. Endocrinol. 2006, 20, 437–443. [Google Scholar] [CrossRef] [PubMed]
- Farhane, S. Synthèse de Lactones, de Furanes et D’amides à Noyau Estratriène Comme Inhibiteurs des 17β-Hydroxystéroïdes Déshydrogénases Type 1 et Type 12. Ph.D. Thesis, Université Laval, Québec, QC, Canada, 2009. Available online: https://corpus.ulaval.ca/entities/publication/47dc367e-bcd7-4a8f-aa1c-3908998c6644 (accessed on 8 April 2023).
- Laplante, Y.; Rancourt, C.; Poirier, D. Relative involvement of three 17β-hydroxysteroid dehydrogenases (types 1, 7 and 12) in the formation of estradiol in various breast cancer cell lines using selective inhibitors. Mol. Cell. Endocrinol. 2009, 301, 146–153. [Google Scholar] [CrossRef] [PubMed]
Disclaimer/Publisher’s Note: The statements, opinions and data contained in all publications are solely those of the individual author(s) and contributor(s) and not of MDPI and/or the editor(s). MDPI and/or the editor(s) disclaim responsibility for any injury to people or property resulting from any ideas, methods, instructions or products referred to in the content. |
© 2023 by the author. Licensee MDPI, Basel, Switzerland. This article is an open access article distributed under the terms and conditions of the Creative Commons Attribution (CC BY) license (https://creativecommons.org/licenses/by/4.0/).

