Plantago Ovata Husk: An Investigation of Raw Aqueous Extracts. Osmotic, Hydrodynamic and Complex Rheological Characterisation
Abstract
1. Introduction
2. Results
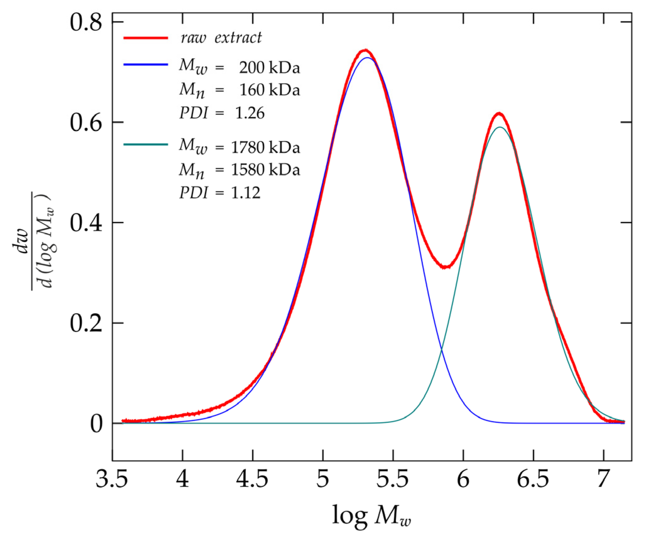
2.1. Composition and Molecular Characterisation of the Raw Extract
2.2. Testing the Osmotic and Hydrodynamic Properties of Dilute Solutions
2.3. Determination of the First Critical Concentration
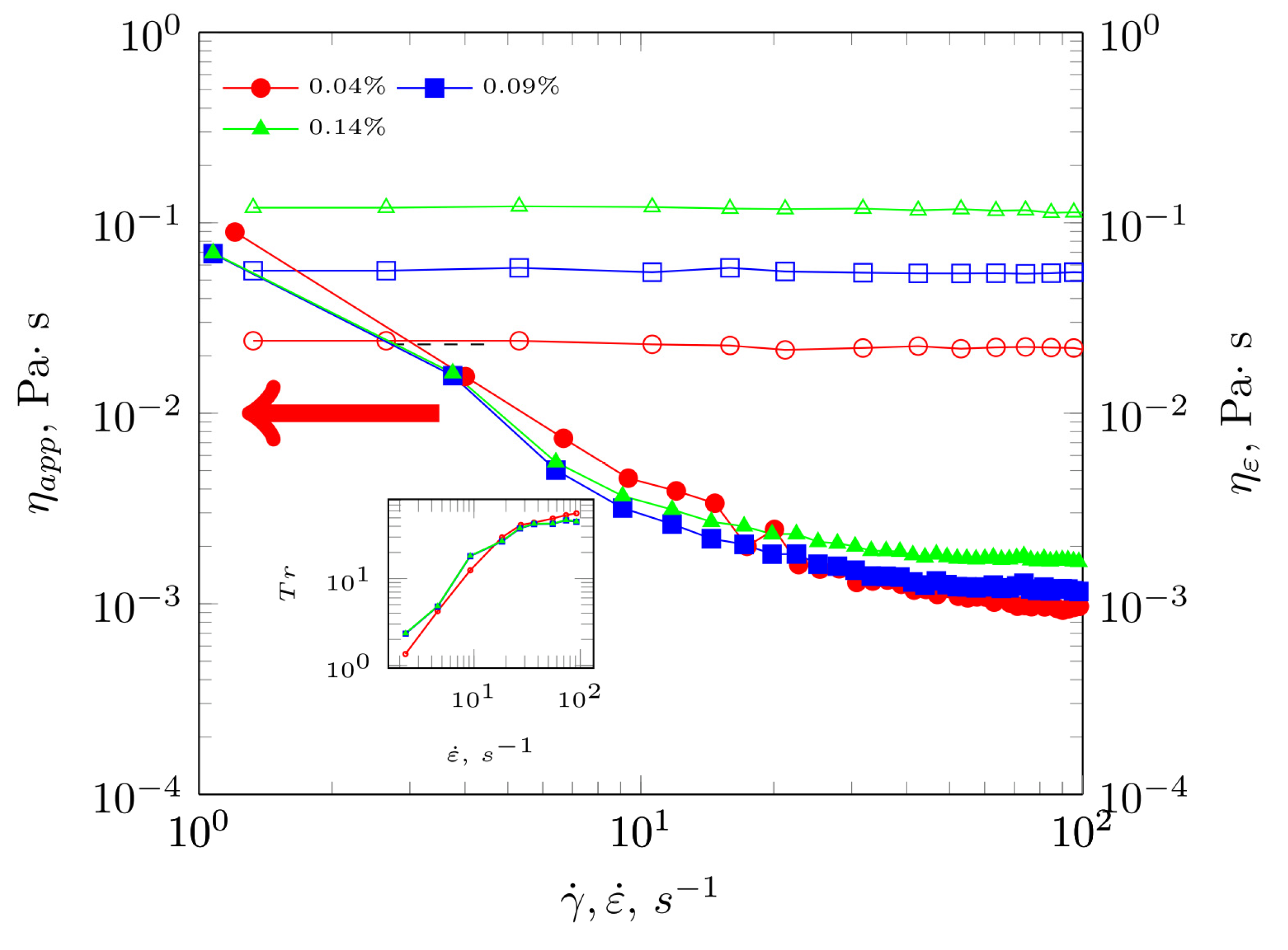
2.4. Extensional Viscosity and Shear Viscosity Comparision of Dilute Solutions
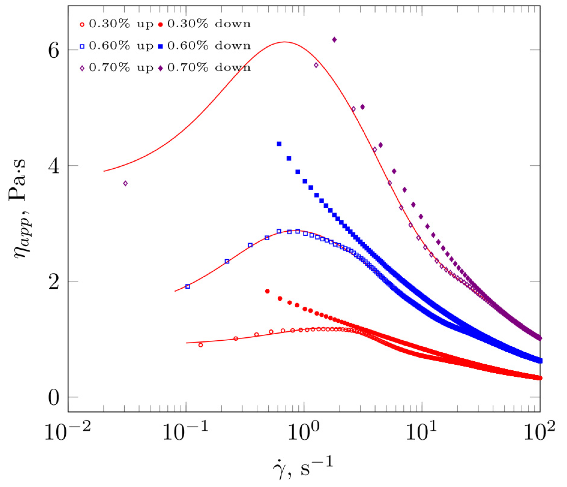
2.5. Rheological Properties of Raw Extracts in the Semi-Dilute Regime
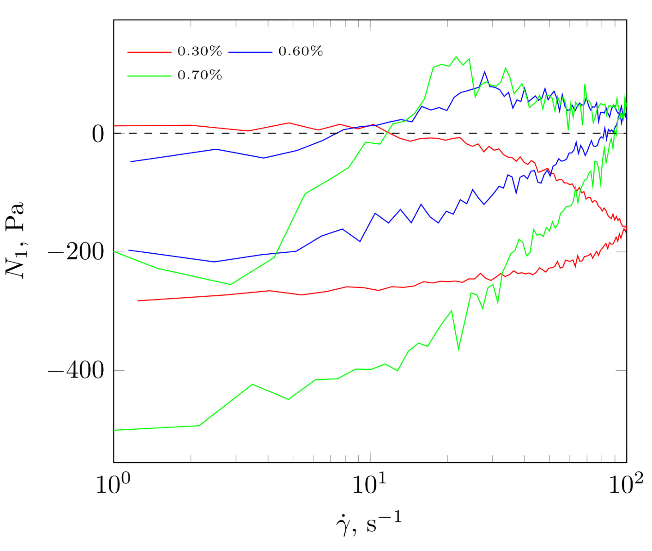
2.6. Normal Force and First Normal Stress Difference
3. Discussion
4. Materials and Methods
4.1. Materials
4.2. Methods
4.2.1. Molecular Characterization of Husk Extract and Protein Concentration in Raw Extract
4.2.2. Extract Preparation
4.2.3. Osmotic Pressure Measurements
4.2.4. Dynamic Light Scattering Measurements (DLS)
4.2.5. Rheological Measurements
Determination of First Critical Overlap Concentration
Extensional Rheology
Rotational Rheology
Extensional and Shear Viscosity Comparison—Trouton Ratio
5. Conclusions
Author Contributions
Funding
Institutional Review Board Statement
Informed Consent Statement
Data Availability Statement
Acknowledgments
Conflicts of Interest
References
- Soukoulis, C.; Gaiani, C.; Hoffmann, L. Plant seed mucilage as emerging biopolymer in food industry applications. Curr. Opin. Food Sci. 2018, 22, 28–42. [Google Scholar] [CrossRef]
- Rao, M.R.P.; Khambete, M.P.; Lunavat, H.N. Study of Rheological properties of Psyllium polysaccharide and its evaluation as Suspending agent. Int. J. PharmTech Res. 2011, 3, 1191–1197. [Google Scholar]
- Pawar, H.; Varkhade, C. Isolation, characterization and investigation of Plantago ovata husk polysaccharide as superdisintegrant. Int. J. Biol. Macromol. 2014, 69, 52–58. [Google Scholar] [CrossRef] [PubMed]
- Fischer, M.H.; Yu, N.; Gray, G.R.; Ralph, J.; Anderson, L.; Marlett, J.A. The gel-forming polysaccharide of psyllium husk (Plantago ovata Forsk). Carbohydr. Res. 2004, 339, 2009–2017. [Google Scholar] [CrossRef] [PubMed]
- Guo, Q.; Cui, S.W.; Wang, Q.; Young, J.C. Fractionation and physicochemical characterization of psyllium gum. Carbohydr. Polym. 2008, 73, 35–43. [Google Scholar] [CrossRef]
- Guo, Q.; Cui, S.W.; Wang, Q.; Goff, H.D.; Smith, A. Microstructure and rheological properties of psyllium polysaccharide gel. Food Hydrocoll. 2009, 23, 1542–1547. [Google Scholar] [CrossRef]
- Yu, L.; Yakubov, G.E.; Zeng, W.; Xing, X.; Stenson, J.; Bulone, V.; Stokes, J.R. Multi-layer mucilage of Plantago ovata seeds: Rheological differences arise from variations in arabinoxylan side chains. Carbohydr. Polym. 2017, 165, 132–141. [Google Scholar] [CrossRef]
- Dervilly-Pinel, G.; Thibault, J.-F.; Saulnier, L. Experimental evidence for a semi-flexible conformation for arabinoxylans. Carbohydr. Res. 2001, 330, 365–372. [Google Scholar] [CrossRef]
- Adams, E.L.; Kroon, P.A.; Williamson, G.; Morris, V.J. Characterisation of heterogeneous arabinoxylans by direct imaging of individual molecules by atomic force microscopy. Carbohydr. Res. 2003, 338, 771–780. [Google Scholar] [CrossRef]
- Pitkänen, L.; Virkki, L.; Tenkanen, M.; Tuomainen, P. Comprehensive Multidetector HPSEC Study on Solution Properties of Cereal Arabinoxylans in Aqueous and DMSO Solutions. Biomacromolecules 2009, 10, 1962–1969. [Google Scholar] [CrossRef]
- Shelat, K.J.; Vilaplana, F.; Nicholson, T.M.; Wong, K.H.; Gidley, M.J.; Gilbert, R.G. Diffusion and viscosity in arabinoxylan solutions: Implications for nutrition. Carbohydr. Polym. 2010, 82, 46–53. [Google Scholar] [CrossRef]
- Farahnaky, A.; Askari, H.; Majzoobi, M.; Mesbahi, G. The impact of concentration, temperature and pH on dynamic rheology of psyllium gels. J. Food Eng. 2010, 100, 294–301. [Google Scholar] [CrossRef]
- Hesarinejad, M.A.; Jokandan, M.S.; Mohammadifar, M.A.; Koocheki, A.; Razavi, S.M.A.; Ale, M.T.; Attar, F.R. The effects of concentration and heating-cooling rate on rheological properties of Plantago lanceolata seed mucilage. Int. J. Biol. Macromol. 2018, 115, 1260–1266. [Google Scholar] [CrossRef] [PubMed]
- Patel, M.K.; Tanna, B.; Gupta, H.; Mishra, A.; Jha, B. Physicochemical, scavenging and anti-proliferative analyses of polysaccharides extracted from psyllium (Plantago ovata Forssk) husk and seeds. Int. J. Biol. Macromol. 2019, 133, 190–201. [Google Scholar] [CrossRef]
- Ren, Y.; Yakubov, G.E.; Linter, B.R.; MacNaughtan, W.; Foster, T.J. Temperature fractionation, physicochemical and rheological analysis of psyllium seed husk heteroxylan. Food Hydrocoll. 2020, 104, 105737. [Google Scholar] [CrossRef]
- Yu, L.; Yakubov, G.E.; Martínez-Sanz, M.; Gilbert, E.P.; Stokes, J.R. Rheological and structural properties of complex arabinoxylans from Plantago ovata seed mucilage under non-gelled conditions. Carbohydr. Polym. 2018, 193, 179–188. [Google Scholar] [CrossRef]
- Benaoun, F.; Delattre, C.; Boual, Z.; Ursu, A.; Vial, C.; Gardarin, C.; Wadouachi, A.; Le Cerf, D.; Varacavoudin, T.; El-Hadj, M.D.O.; et al. Structural characterization and rheological behaviour of a heteroxylan extracted from Plantago notata Lagasca (Plantaginaceae) seeds. Carbohydr. Polym. 2017, 175, 96–104. [Google Scholar] [CrossRef]
- Addoun, N.; Boual, Z.; Delattre, C.; Ursu, A.V.; Desbrières, J.; Le Cerf, D.; Gardarin, C.; Hentati, F.; Didi Ould El-Hadj, M.; Michaud, P.; et al. Structural features and rheological behaviour of a water-soluble polysaccharide extracted from the seeds of Plantago ciliata Desf. Int. J. Biol. Macromol. 2020, 155, 1333–1341. [Google Scholar] [CrossRef]
- Souza, G.S.; Bergamasco, R.d.C.; Stafussa, A.P.; Madrona, G.S. Ultrasound-Assisted Extraction of Psyllium Mucilage: Evaluation of Functional and Technological Properties. Emir. J. Food Agric. 2020, 32, 238–244. [Google Scholar] [CrossRef]
- Patel, M.K.; Tanna, B.; Mishra, A.; Jha, B. Physicochemical characterization, antioxidant and anti-proliferative activities of a polysaccharide extracted from psyllium (P. ovata) leaves. Int. J. Biol. Macromol. 2018, 118, 976–987. [Google Scholar] [CrossRef]
- Antigo, J.L.D.; Bergamasco, R.d.C.; Madrona, G.S. How drying methods can influence the characteristics of mucilage obtained from chia seed and psyllium husk. Food Technol. 2020, 50, e20190913. [Google Scholar] [CrossRef]
- Hadde, E.K.; Cichero, J.A.Y.; Zhao, S.; Chen, W.; Chen, J. The Importance of Extensional Rheology in Bolus Control during Swallowing. Sci. Rep. 2019, 9, 16106. [Google Scholar] [CrossRef]
- Marconati, M.; Ramaioli, M. The role of extensional rheology in the oral phase of swallowing: An in vitro stud. Food Funct. 2020, 11, 4363–4375. [Google Scholar] [CrossRef]
- Ptaszek, A. The role of characteristic times in rheological description of structure forming food additives. J. Food Eng. 2012, 111, 272–278. [Google Scholar] [CrossRef]
- Yui, T.; Imada, K.; Shibuya, N.; Ogawa, K. Conformation of an Arabinoxylan Isolated from the Rice Endosperm Cell Wall by X-ray Diffraction and a Conformational Analysis. Biosci. Biotechnol. Biochem. 1995, 59, 965–968. [Google Scholar] [CrossRef]
- Marcin, L.; Szczepan, B.; Anna, P. Environmental friendly polysaccharide modification—Microwave-assisted oxidation of starch. Starch-Stärke 2011, 63, 268–273. [Google Scholar] [CrossRef]
- ISO 1871:2009; Food and Feed Products—General Guidelines for the Determination of Nitrogen by the Kjeldahl Method. International Organization for Standardization: Geneve, Switzerland, 2009. Available online: https://www.iso.org/standard/41320.html (accessed on 10 November 2021).
- Shibayama, M.; Tsujimoto, M.; Ikkai, F. Static inhomogeneities in physical gels: Comparison of temperature-induced and concentration-induced sol-gel transition. Macromolecules 2000, 33, 7868–7876. [Google Scholar] [CrossRef]
- Kjøniksen, A.-L.; Hiorth, M.; Nyström, B. Temperature-induced association and gelation of aqueous solutions of pectin. A dynamic light scattering study. Eur. Polym. J. 2004, 40, 2427–2435. [Google Scholar] [CrossRef]
- Lima, A.M.F.; Soldi, V.; Borsali, R. Dynamic light scattering and viscosimetry of aqueous solutions of pectin, sodium alginate and their mixtures: Effects of added salt, concentration, counterions, temperature and chelating agent. J. Braz. Chem. Soc. 2009, 20, 1705–1714. [Google Scholar] [CrossRef]
- Wagoner, T.B.; Çakır-Fuller, E.; Drake, M.A.; Foegeding, E.A. Sweetness perception in protein-polysaccharide beverages is not explained by viscosity or critical overlap concentration. Food Hydrocoll. 2019, 94, 229–237. [Google Scholar] [CrossRef]
- Macosko, C. Rheology: Principles, Measurements, and Applications; Wiley-VCH: Weinheim, Germany, 1996; ISBN 978-0-471-18575-8. [Google Scholar]
- Morris, E.R.; Cutler, A.N.; Ross-Murphy, S.B.; Rees, D.A.; Price, J. Concentration and shear rate dependence of viscosity in random coil polysaccharide solutions. Carbohydr. Polym. 1981, 1, 5–21. [Google Scholar] [CrossRef]
- Fuller, G.G.; Cathey, C.A.; Hubbard, B.; Zebrowski, B.E. Extensional Viscosity Measurements for Low-Viscosity Fluids. J. Rheol. 1987, 31, 235–249. [Google Scholar] [CrossRef]
- De Ké, D.; Turcotte, G. Viscosity of biomaterials. Chem. Eng. Commun. 1980, 6, 273–282. [Google Scholar] [CrossRef]
- Papanastasiou, A.C.; Scriven, L.E.; Macosko, C.W. An Integral Constitutive Equation for Mixed Flows: Viscoelastic Characterization. J. Rheol. 1983, 27, 387–410. [Google Scholar] [CrossRef]
- Ptaszek, A. Rheological equation of state for shear-thickening food systems. J. Food Eng. 2010, 100, 322–328. [Google Scholar] [CrossRef]
- Trouton, F.T. On the Coefficient of Viscous Traction and Its Relation to that of Viscosity. Proc. Math. Phys. Eng. Sci. 1906, 77, 426–440. [Google Scholar] [CrossRef]







| Dilute Solutions | Semi-Dilute Solutions | |||||||
|---|---|---|---|---|---|---|---|---|
| T | B2 ·10−6 | A | Rf | Rs | A | Rf | Rs | |
| °C | kg·mol−1 | cm3·mol−1·g−2 | nm | nm | nm | nm | ||
| 0.03–0.10 g·dL−1 | 0.04 g·dL−1 | 0.14 g·dL−1 | ||||||
| 25 | 1 347 ± 5% | −10.1 ± 11% | 0.08 | 5 | 74 | - | - | |
| 30 | 2 765 ± 11% | −6.4 ± 11% | 0.11 | 5 | 67 | - | - | |
| 40 | 3 003 ± 12% | −6.0 ± 10% | 0.92 | 69 | >600 | 0.80 | 152 | >600 |
| Concentration g·dL−1 | |||||||
|---|---|---|---|---|---|---|---|
| dilute | 0.04 | - | 0.15 (1.66%) | 0.93 (0.77%) | - | 1.81 10−7 | - |
| 0.09 | - | 0.10 (8.25%) | 0.60 (1.57%) | - | 8.29 10−8 | - | |
| semi-dilute | 0.30 | 0.31 (0.29%) | 0.03 (0.77%) | 0.46 (4.60%) | 0.71 (5.20%) | 2.25 10−5 | 492 |
| 0.60 | 0.51 (0.49%) | 0.02 (0.81%) | 0.22 (0.46%) | 3.50 (1.05%) | 4.03 10−5 | 739 | |
| 0.70 | 0.79 (0.89%) | 0.02 (1.18%) | 0.24 (0.51%) | 3.85 (1.80%) | 4.03 10−4 | 970 |
Disclaimer/Publisher’s Note: The statements, opinions and data contained in all publications are solely those of the individual author(s) and contributor(s) and not of MDPI and/or the editor(s). MDPI and/or the editor(s) disclaim responsibility for any injury to people or property resulting from any ideas, methods, instructions or products referred to in the content. |
© 2023 by the authors. Licensee MDPI, Basel, Switzerland. This article is an open access article distributed under the terms and conditions of the Creative Commons Attribution (CC BY) license (https://creativecommons.org/licenses/by/4.0/).
Share and Cite
Kaczmarczyk, K.; Kruk, J.; Ptaszek, P.; Ptaszek, A. Plantago Ovata Husk: An Investigation of Raw Aqueous Extracts. Osmotic, Hydrodynamic and Complex Rheological Characterisation. Molecules 2023, 28, 1660. https://doi.org/10.3390/molecules28041660
Kaczmarczyk K, Kruk J, Ptaszek P, Ptaszek A. Plantago Ovata Husk: An Investigation of Raw Aqueous Extracts. Osmotic, Hydrodynamic and Complex Rheological Characterisation. Molecules. 2023; 28(4):1660. https://doi.org/10.3390/molecules28041660
Chicago/Turabian StyleKaczmarczyk, Kacper, Joanna Kruk, Paweł Ptaszek, and Anna Ptaszek. 2023. "Plantago Ovata Husk: An Investigation of Raw Aqueous Extracts. Osmotic, Hydrodynamic and Complex Rheological Characterisation" Molecules 28, no. 4: 1660. https://doi.org/10.3390/molecules28041660
APA StyleKaczmarczyk, K., Kruk, J., Ptaszek, P., & Ptaszek, A. (2023). Plantago Ovata Husk: An Investigation of Raw Aqueous Extracts. Osmotic, Hydrodynamic and Complex Rheological Characterisation. Molecules, 28(4), 1660. https://doi.org/10.3390/molecules28041660

