Application of Quinoline Ring in Structural Modification of Natural Products
Abstract
:1. Introduction

2. Method
3. Pharmacological Activities
3.1. Anti-Alzheimer’s Disease Activity

| Compd. | Activity | Target | Origin | Ref |
|---|---|---|---|---|
| 1 | AChE IC50 = 324.88 μM | AChE | synthetic | [14] |
| 2a | AChE IC50 = 194 μM BChE IC50 = 255 μM | ACHE BCHE | synthetic | [14] |
| 2b | AChE IC50 = 181.72 μM, selectivity ratio > 2.75 | ACHE | synthetic | [14] |
| 2c | AChE IC50 > 500 μM BChE IC50 > 500 μM | - | synthetic | [14] |
| 2d | AChE IC50 > 500 μM BChE IC50 > 500 μM | - | synthetic | [14] |
| 3 | BChE IC50 = 146.74 μM, selectivity ratio < 0.29 | BCHE | synthetic | [14] |
| 4 | AChE IC50 = 159.53 μM, selectivity ratio > 3.13 | ACHE | synthetic | [14] |
| 5 | AChE IC50 = 64.0 μM BChE IC50 = 0.2 μM | ACHE BCHE | synthetic | [15] |
| 6 | AChE IC50 = 68.3 μM BChE IC50 = 1.0 μM | ACHE BCHE | synthetic | [15] |
| 7a | - | - | synthetic | [16] |
| 7b | AChE IC50 > 10 μM | ACHE | synthetic | [16] |
| 8 | 25% H2O2 damage at 10 μM. | - | synthetic | [17] |
| 9a | AChE IC50 = 2.99 μM BChE IC50 = 0.91 μM | ACHE BCHE | synthetic | [18] |
| 9b | AChE IC50 = 0.32 μM BChE IC50 = 0.90 μM | ACHE BCHE | synthetic | [18] |
| 9c | AChE IC50 = 3.99 μM BChE IC50 = 0.64 μM | ACHE BCHE | synthetic | [18] |
| 9d | AChE IC50 = 3.45 μM BChE IC50 = 0.63 μM | ACHE BCHE | synthetic | [18] |
| 9e | AChE IC50 = 44.46 μM BChE IC50 = 0.56 μM | ACHE BCHE | synthetic | [18] |
| 10a | AChE IC50 = 43.36 μM BChE IC50 = 0.94 μM | ACHE BCHE | synthetic | [18] |
| 10b | AChE IC50 = 46.42 μM BChE IC50 = 0.73 μM | ACHE BCHE | synthetic | [18] |
| 10c | AChE IC50 = 3.91 μM BChE IC50 = 2.15 μM | ACHE BCHE | synthetic | [18] |
| 10d | AChE IC50 = 3.36 μM BChE IC50 = 2.36 μM | ACHE BCHE | synthetic | [18] |
| 10e | AChE IC50 = 40.29 μM BChE IC50 = 1.32 μM | ACHE BCHE | synthetic | [18] |
3.2. Anti-Osteoporosis Activity

| Compd. | Activity | Target | Origin | Ref |
|---|---|---|---|---|
| 11 | 2 μM OCL% = 18.9% 20 μM OCL% = 73.0% | - | synthetic | [19] |
| 12a | 1 pM ALP% = 100% 100 pM ALP% = 85% | ALP, BMP-2, RUNX-2, OCN | synthetic | [20] |
| 12b | 1 pM ALP% = 70% 100 pM ALP% = 60% | ALP | synthetic | [20] |
3.3. Anti-Viral Activity

| Compd. | Activity | Target | Origin | Ref |
|---|---|---|---|---|
| 13 | anti-Zika virus EC50 = 1.3 μM | - | synthetic | [21] |
| 14 | anti-Zika virus EC50 = 4.5 μM | - | synthetic | [21] |
| 15a | anti-Zika virus IC50 < 30 μM | ZIKV NS2B-NS3 protease | synthetic | [22] |
| 15b | anti-Zika virus IC50 < 30 μM | ZIKV NS2B-NS3 protease | synthetic | [22] |
| 16 | anti-HBV IC50 = 15.30 μM | - | synthetic | [23] |
3.4. Anti-Hyperglycemic Activity

| Compd. | Activity | Target | Origin | Ref |
|---|---|---|---|---|
| 17 | Blood cholesterol decreased 27% | triglycerides | synthetic | [24] |
3.5. Anti-Inflammatory Activity

| Compd. | Activity | Target | Origin | Ref |
|---|---|---|---|---|
| 18 | iEI = 3.75 | IL-1β, IL-6 | synthetic | [25] |
| 19 | iEI = 3.18 | IL-1β, IL-6 | synthetic | [25] |
| 20 | iEI = 4.84 | IL-1β, IL-6 | synthetic | [25] |
| 21 | iEI = 2.11 | IL-1β, IL-6 | synthetic | [25] |
| 22 | iEI = 4.27 | IL-1β, IL-6 | synthetic | [25] |
| 23 | IL-6 stronger than that of glycyrrhetinic acid. | IL-6, TNF-α, NO, iNOS, COX-2 | synthetic | [26] |
| 24 | moderate inhibitory effect on NO | Erythroid 2-related factor 2, Heme oxygenase-1 | synthetic | [27] |
| 25 | strong inhibitory effect on NO | Erythroid 2-related factor 2, Heme oxygenase-1 | synthetic | [27] |
3.6. Antithrombotic Activity

| Compd. | Activity | Target | Origin | Ref |
|---|---|---|---|---|
| 26 | antithrombotic Ki = 3.4 nM | FXa | synthetic | [28] |
3.7. Anti-Parasitic Activity



| Compd. | Activity | Target | Origin | Ref |
|---|---|---|---|---|
| 27a | anti-T. brucei IC50 = 0.37 μg/mL anti-L. Mexicana IC50 = 3.86 μg/mL | - | synthetic | [29] |
| 27b | anti-T. brucei IC50 = 0.39 μg/mL anti-L. Mexicana IC50 = 3.39 μg/mL | - | synthetic | [29] |
| 27c | anti-T. brucei IC50 = 0.40 μg/mL anti-L. Mexicana IC50 = 3.45 μg/mL | - | synthetic | [29] |
| 28a | anti-trichomonas IC50 = 22.2 μM | - | synthetic | [30] |
| 28b | - | - | synthetic | [30] |
| 28c | anti-trichomonas IC50 = 11.3 μM | - | synthetic | [30] |
| 29a | Leishmanicidal EC50 = 11.79 μg/mL Trypanocidal EC50 = 35.08 μg/mL | - | synthetic | [30] |
| 29b | Leishmanicidal EC50 = 6.24 μg/mL Trypanocidal EC50 = 17.62 μg/mL | - | synthetic | [31] |
| 29c | Leishmanicidal EC50 = 12.37 μg/mL Trypanocidal EC50 = 15.79 μg/mL | - | synthetic | [31] |
| 29d | Leishmanicidal EC50 = 8.53 μg/mL Trypanocidal EC50 = 37.61 μg/mL | - | synthetic | [31] |
| 29e | Leishmanicidal EC50 = 16.41 μg/mL Trypanocidal EC50 = 15.12 μg/mL | - | synthetic | [31] |
| 29f | Leishmanicidal EC50 = 22.0 μg/mL Trypanocidal EC50 = 54.95 μg/mL | - | synthetic | [31] |
| 30a | Leishmanicidal EC50 = 6.11 μg/mL Trypanocidal EC50 = 4.09 μg/mL | - | synthetic | [31] |
| 30b | Leishmanicidal EC50 = 16.18 μg/mL Trypanocidal EC50 > 20 μg/mL | - | synthetic | [31] |
| 30c | Leishmanicidal EC50 = 2.36 μg/mL Trypanocidal EC50 > 2 μg/mL | - | synthetic | [31] |
| 31a | Corrected mortality rate 48 h FMR 8.7% 72 h FMR 32.7% | - | synthetic | [32] |
| 31b | Corrected mortality rate 48 h FMR 7.8% 72 h FMR 28.0% | - | synthetic | [32] |
| 31c | Corrected mortality rate 48 h FMR 2.8% 72 h FMR 19.2% | - | synthetic | [32] |
| 31d | Corrected mortality rate 48 h FMR 7.5% 72 h FMR 29.5% | - | synthetic | [32] |
| 31e | Corrected mortality rate 48 h FMR 6.9% 72 h FMR 24.4% | - | synthetic | [32] |
| 31f | Corrected mortality rate 48 h FMR 6.9% 72 h FMR 29.6% | - | synthetic | [32] |
| 31g | Corrected mortality rate 48 h FMR 7.7% 72 h FMR 37.1% | - | synthetic | [32] |
| 31h | Corrected mortality rate 48 h FMR 6.3% 72 h FMR 26.6% | - | synthetic | [32] |
| 31i | Corrected mortality rate 48 h FMR 5.0% 72 h FMR 26.0% | - | synthetic | [32] |
| 31j | Corrected mortality rate 48 h FMR 6.5% 72 h FMR 26.9% | - | synthetic | [32] |
| 31k | Corrected mortality rate 48 h FMR 3.8% 72 h FMR 26.5% | - | synthetic | [32] |
| 31l | Corrected mortality rate 48 h FMR 2.9% 72 h FMR 20.6% | - | synthetic | [32] |
| 31m | Corrected mortality rate 48 h FMR 15.5% 72 h FMR 37.1% | - | synthetic | [32] |
| 31n | Corrected mortality rate 48 h FMR 7.2% 72 h FMR 30.7% | - | synthetic | [32] |
| 31o | Corrected mortality rate 48 h FMR 5.9% 72 h FMR 28.7% | - | synthetic | [32] |
| 31p | Corrected mortality rate 48 h FMR 9.6% 72 h FMR 30.9% | - | synthetic | [32] |
| 31q | Corrected mortality rate 48 h FMR 3.2% 72 h FMR 22.5% | - | synthetic | [32] |
| 31r | Corrected mortality rate 48 h FMR 9.5% 72 h FMR 36.1% | - | synthetic | [32] |
| 31s | Corrected mortality rate 48 h FMR 6.4% 72 h FMR 26.7% | - | synthetic | [32] |
| 31t | Corrected mortality rate 48 h FMR 4.8% 72 h FMR 26.6% | - | synthetic | [32] |
| 31u | Corrected mortality rate 48 h FMR 8.6% 72 h FMR 33.2% | - | synthetic | [32] |
| 32a | ACI = 147 | - | synthetic | [33] |
| 32b | ACI = 123 | - | synthetic | [33] |
| 32c | ACI = 133 | - | synthetic | [33] |
| 32d | ACI = 148 | - | synthetic | [33] |
| 33a | T. brucei IC50 > 10 μM L. infantum IC50 = 2.1 μM | FRD | synthetic | [34] |
| 33b | T. brucei IC50 = 2.6 μM L. infantum IC50 > 50 μM | FRD | synthetic | [34] |
| 33c | T. brucei IC50 = 4.9 μM L. infantum IC50 = 11.5 μM | FRD | synthetic | [34] |
| 33d | T. brucei IC50 = 6.5 μM L. infantum IC50 = 28.4 μM | FRD | synthetic | [34] |
| 33e | T. brucei IC50 > 10 μM L. infantum IC50 = 12.7 μM | FRD | synthetic | [34] |
| 33f | T. brucei IC50 = 4.9 μM L. infantum IC50 = 7.5 μM | FRD | synthetic | [34] |
| 33g | T. brucei IC50 = 3.3 μM L. infantum IC50 = 1.3 μM | FRD | synthetic | [34] |
| 33h | T. brucei IC50 > 10 μM L. infantum IC50 = 3.1 μM | FRD | synthetic | [34] |
| 33i | T. brucei IC50 > 10 μM L. infantum IC50 = 26.9 μM | FRD | synthetic | [34] |
| 33j | T. brucei IC50 > 10 μM L. infantum IC50 = 18.4 μM | FRD | synthetic | [34] |
| 34a | T. brucei IC50 > 10 μM L. infantum IC50 > 50 μM | FRD | synthetic | [34] |
| 34b | T. brucei IC50 > 10 μM L. infantum IC50 = 20.0 μM | FRD | synthetic | [34] |
| 35a | T. brucei IC50 > 10 μM L. infantum IC50 = 24.8 μM | FRD | synthetic | [34] |
| 35b | T. brucei IC50 > 10 μM L. infantum IC50 > 50 μM | FRD | synthetic | [34] |
| 35c | T. brucei IC50 = 6.17 μM L. infantum IC50 > 25 μM | FRD | synthetic | [34] |
| 35d | T. brucei IC50 = 5.68 μM L. infantum IC50 > 25 μM | FRD | synthetic | [34] |
| 36a | T. brucei IC50 = 1.46 μM L. infantum IC50 = 13.46 μM | FRD | synthetic | [34] |
| 36b | T. brucei IC50 = 1.43 μM L. infantum IC50 = 0.71 μM | FRD | synthetic | [34] |
| 37 | M. incognita LC50 = 64.0 μmol/L Ditylenchus destructor LC50 = 52.9 μmol/L Bursaphelenchus mucronatus LC50 = 97.9 μmol/L B. xylophilus LC50 = 103.2 μmol/L Aphelenchoides besseyi LC50 = 95.2 μmol/L | - | synthetic | [35] |
| 38 | M. incognita LC50 = 42.4 μmol/L Ditylenchus destructor LC50 = 68.0 μmol/L Bursaphelenchus mucronatus LC50 = 77.8 μmol/L B. xylophilus LC50 = 145.5 μmol/L Aphelenchoides besseyi LC50 = 120.7 μmol/L | - | synthetic | [35] |
| 39 | M. separata on leaves mortality rate 10 days 20.7% 25 days 48.1% 35 days 63.0% | - | synthetic | [36] |
| 40 | inhibition rate of abdominal tachyzoites in mice 55.2% (p < 0.1), 58.3% (p < 0.01) 64.6% (p < 0.001) | - | synthetic | [37] |
| 41 | selectivity index 0.84 | TgCDPK1 | synthetic | [38] |
| 42a | selectivity index 1.02 | TgCDPK1 | synthetic | [38] |
| 42b | selectivity index 0.43 | TgCDPK1 | synthetic | [38] |
| 42c | selectivity index 1.02 | TgCDPK1 | synthetic | [38] |
3.8. Antimalarial Activity


| Compd. | Activity | Origin | Ref |
|---|---|---|---|
| 43 | Anti-plasma parasite IC50 = 8.7 μM | synthetic | [39] |
| 44 | Anti-plasma parasite IC50 = 29.5 μM | synthetic | [39] |
| 45a | Antimalarial activity IC50 = 1.12 μM | synthetic | [40] |
| 45b | Antimalarial activity IC50 = 1.17 μM | synthetic | [40] |
| 45c | Antimalarial activity IC50 = 0.27 μM | synthetic | [40] |
| 45d | Antimalarial activity IC50 = 0.81 μM | synthetic | [40] |
| 45e | Antimalarial activity IC50 = 0.36 μM | synthetic | [40] |
| 46a | Antimalarial activity IC50 > 5 μM | synthetic | [41] |
| 46b | Antimalarial activity IC50 > 5 μM | synthetic | [41] |
| 46c | Antimalarial activity IC50 > 5 μM | synthetic | [41] |
| 46d | Antimalarial activity IC50 > 5 μM | synthetic | [41] |
| 46e | Antimalarial activity IC50 > 5 μM | synthetic | [41] |
| 46f | Antimalarial activity IC50 = 3.07 μM | synthetic | [41] |
| 46g | Antimalarial activity IC50 = 2.30 μM | synthetic | [41] |
| 46h | Antimalarial activity IC50 = 1.37 μM | synthetic | [41] |
| 46i | Antimalarial activity IC50 = 1.73 μM | synthetic | [41] |
| 46j | Antimalarial activity IC50 = 1.63 μM | synthetic | [41] |
| 47a | Antimalarial activity IC50 = 24.9 nM | synthetic | [42] |
| 47b | Antimalarial activity IC50 = 11.8 nM | synthetic | [42] |
| 47c | Antimalarial activity IC50 = 13.5 nM | synthetic | [42] |
| 48 | Antimalarial activity Ki = 0.103 μM | synthetic | [43] |
| 49a | Anti-Trypanosoma brucei IC50 = 1.47 μM | synthetic | [44] |
| 49b | Anti-Trypanosoma brucei IC50 = 0.64 μM | synthetic | [44] |
| 50a | Anti-Trypanosoma brucei IC50 = 0.69 μM | synthetic | [44] |
| 50b | Anti-Trypanosoma brucei IC50 = 0.61 μM | synthetic | [44] |
| 51a | Antimalarial activity IC50 = 9.28 μM | synthetic | [45] |
| 51b | Antimalarial activity IC50 = 4.02 μM | synthetic | [45] |
| 51c | Antimalarial activity IC50 = 0.86 μM | synthetic | [45] |
| 51d | Antimalarial activity IC50 = 0.93 μM | synthetic | [45] |
| 51e | Antimalarial activity IC50 = 0.49 μM | synthetic | [45] |
| 51f | Antimalarial activity IC50 = 1.37 μM | synthetic | [45] |
| 52a | Antimalarial activity IC50 = 4.4 μM | synthetic | [45] |
| 52b | Antimalarial activity IC50 = 1.73 μM | synthetic | [45] |
| 52c | Antimalarial activity IC50 = 5.0 μM | synthetic | [45] |
| 52d | Antimalarial activity IC50 = 3.1 μM | synthetic | [45] |
| 52e | Antimalarial activity IC50 = 2.0 μM | synthetic | [45] |
| 52f | Antimalarial activity IC50 = 3.1 μM | synthetic | [45] |
| 52g | Antimalarial activity IC50 = 3.4 μM | synthetic | [45] |
| 52h | Antimalarial activity IC50 = 2.2 μM | synthetic | [45] |
| 53a | Antimalarial activity IC50 = 1.8 μM | synthetic | [45] |
| 53b | Antimalarial activity IC50 = 0.61 μM | synthetic | [45] |
| 54a | Antimalarial activity IC50 = 0.45 μM | synthetic | [46] |
| 54b | Antimalarial activity IC50 = 0.37 μM | synthetic | [46] |
| 54c | Antimalarial activity IC50 = 0.10 μM | synthetic | [46] |
| 54d | Antimalarial activity IC50 = 0.28 μM | synthetic | [46] |
| 54e | Antimalarial activity IC50 = 0.10 μM | synthetic | [46] |
| 54f | Antimalarial activity IC50 = 0.11 μM | synthetic | [46] |
| 54g | Antimalarial activity IC50 = 0.32 μM | synthetic | [46] |
| 54h | Antimalarial activity IC50 = 0.86 μM | synthetic | [46] |
| 54i | Antimalarial activity IC50 = 0.49 μM | synthetic | [46] |
| 54j | Antimalarial activity IC50 = 0.50 μM | synthetic | [46] |
| 54k | Antimalarial activity IC50 = 4.45 μM | synthetic | [46] |
| 54l | Antimalarial activity IC50 = 0.39 μM | synthetic | [46] |
| 54m | Antimalarial activity IC50 = 1.53 μM | synthetic | [46] |
| 54n | Antimalarial activity IC50 = 0.57 μM | synthetic | [46] |
| 54o | Antimalarial activity IC50 = 0.69 μM | synthetic | [46] |
| 55 | Antimalarial activity IC50 = 5.17 μM | synthetic | [47] |
3.9. Antibacterial Activity



| Compd. | Activity | Origin | Ref |
|---|---|---|---|
| 56a | E. coli MIC = 25.0 μg/mL S. aureus MIC = 12.5 μg/mL C. albicans MIC = 12.5 μg/mL | synthetic | [48] |
| 56b | E. coli MIC = 12.5 μg/mL S. aureus MIC = 25.0 μg/mL C. albicans MIC = 25.0 μg/mL | synthetic | [48] |
| 56c | E. coli MIC = 6.25 μg/mL S. aureus MIC = 12.5 μg/mL C. albicans MIC = 12.5 μg/mL | synthetic | [48] |
| 56d | E. coli MIC = 12.5 μg/mL S. aureus MIC = 12.5 μg/mL C. albicans MIC = 25.0 μg/mL | synthetic | [48] |
| 56e | E. coli MIC = 6.25 μg/mL S. aureus MIC = 12.5 μg/mL C. albicans MIC = 12.5 μg/mL | synthetic | [48] |
| 56f | E. coli MIC = 12.5 μg/mL S. aureus MIC = 12.5 μg/mL C. albicans MIC = 12.5 μg/mL | synthetic | [48] |
| 56g | E. coli MIC = 12.5 μg/mL S. aureus MIC = 12.5 μg/mL C. albicans MIC = 12.5 μg/mL | synthetic | [48] |
| 56h | E. coli MIC = 12.5 μg/mL S. aureus MIC = 25.0 μg/mL C. albicans MIC = 25.0 μg/mL | synthetic | [48] |
| 57a | E. coli MIC = 12.5 μg/mL S. aureus MIC = 12.5 μg/mL C. albicans MIC = 12.5 μg/mL | synthetic | [48] |
| 57b | E. coli MIC = 12.5 μg/mL S. aureus MIC = 25.0 μg/mL C. albicans MIC = 12.5 μg/mL | synthetic | [48] |
| 58a | B.s. MIC = 500 μg/mL S.a. MIC = 250 μg/mL E.c. MIC = 100 μg/mL S.t. MIC = 100 μg/mL A.n. MIC = 500 μg/mL C.a. MIC = 500 μg/mL | synthetic | [49] |
| 58b | B.s. MIC = 250 μg/mL S.a. MIC = 200 μg/mL E.c. MIC = 500 μg/mL S.t. MIC = 250 μg/mL A.n. MIC = 200 μg/mL C.a. MIC = 500 μg/mL | synthetic | [49] |
| 58c | B.s. MIC = 200 μg/mL S.a. MIC = 250 μg/mL E.c. MIC = 62.5 μg/mL S.t. MIC = 100 μg/mL A.n. MIC = 250 μg/mL C.a. MIC = 250 μg/mL | synthetic | [49] |
| 58d | B.s. MIC = 250 μg/mL S.a. MIC = 125 μg/mL E.c. MIC = 62.5 μg/mL S.t. MIC = 100 μg/mL A.n. MIC = 500 μg/mL C.a. MIC = 1000 μg/mL | synthetic | [49] |
| 58e | B.s. MIC = 250 μg/mL S.a. MIC = 125 μg/mL E.c. MIC = 200 μg/mL S.t. MIC = 250 μg/mL A.n. MIC = 500 μg/mL C.a. MIC = 1000 μg/mL | synthetic | [49] |
| 58f | B.s. MIC = 250 μg/mL S.a. MIC = 500 μg/mL E.c. MIC = 100 μg/mL S.t. MIC = 62.5 μg/mL A.n. MIC = 1000 μg/mL C.a. MIC = 250 μg/mL | synthetic | [49] |
| 58g | B.s. MIC = 250 μg/mL S.a. MIC = 200 μg/mL E.c. MIC = 100 μg/mL S.t. MIC = 200 μg/mL A.n. MIC = 1000 μg/mL C.a. MIC = 200 μg/mL | synthetic | [49] |
| 58h | B.s. MIC = 200 μg/mL S.a. MIC = 250 μg/mL E.c. MIC = 100 μg/mL S.t. MIC = 200 μg/mL A.n. MIC = 500 μg/mL C.a. MIC = 250 μg/mL | synthetic | [49] |
| 58i | B.s. MIC = 500 μg/mL S.a. MIC = 250 μg/mL E.c. MIC = 250 μg/mL S.t. MIC = 250 μg/mL A.n. MIC = 1000 μg/mL C.a. MIC = 200 μg/mL | synthetic | [49] |
| 58j | B.s. MIC = 500 μg/mL S.a. MIC = 100 μg/mL E.c. MIC = 62.5 μg/mL S.t. MIC = 100 μg/mL A.n. MIC = 1000 μg/mL C.a. MIC > 1000 μg/mL | synthetic | [49] |
| 58k | B.s. MIC = 200 μg/mL S.a. MIC = 125 μg/mL E.c. MIC = 100 μg/mL S.t. MIC = 200 μg/mL A.n. MIC = 1000 μg/mL C.a. MIC = 1000 μg/mL | synthetic | [49] |
| 58l | B.s. MIC = 250 μg/mL S.a. MIC = 100 μg/mL E.c. MIC = 200 μg/mL S.t. MIC = 250 μg/mL A.n. MIC > 1000 μg/mL C.a. MIC = 1000 μg/mL | synthetic | [49] |
| 59a | MTB MIC50 = 8.7 μg/mL MIC90 = 25.5 μg/mL M. Bovis BCG MIC50 = 12.9 μg/mL MIC90 > 30 μg/mL | synthetic | [50] |
| 59b | MTB MIC50 > 30 μg/mL MIC90 > 30 μg/mL M. Bovis BCG MIC50 = 2.5 μg/mL MIC90 > 30 μg/mL | synthetic | [50] |
| 59c | MTB MIC50 = 2.8 μg/mL MIC90 > 30 μg/mL M. Bovis BCG MIC50 = 1.4 μg/mL MIC90 = 2.7 μg/mL | synthetic | [50] |
| 59d | MTB MIC50 = 27.8 μg/mL MIC90 > 30 μg/mL M. Bovis BCG MIC50 = 19.7 μg/mL MIC90 > 30 μg/mL | synthetic | [50] |
| 60a | MTB MIC50 = 6.7 μg/mL MIC90 = 26.5 μg/mL M. Bovis BCG MIC50 = 6.0 μg/mL MIC90 = 7.3 μg/mL | synthetic | [50] |
| 60b | MTB MIC50 = 7.7 μg/mL MIC90 = 20.0 μg/mL M. Bovis BCG MIC50 = 5.8 μg/mL MIC90 = 15.4 μg/mL | synthetic | [50] |
| 60c | MTB MIC50 = 2.3 μg/mL MIC90 = 7.8 μg/mL M. Bovis BCG MIC50 = 5.8 μg/mL MIC90 = 9.4 μg/mL | synthetic | [50] |
| 60d | MTB MIC50 > 30 μg/mL MIC90 > 30 μg/mL M. Bovis BCG MIC50 = 3.3 μg/mL MIC90 = 21.5 μg/mL | synthetic | [50] |
| 61 | MDR MIC99 = 0.649 μM XDR-TB MIC99 = 0.736 μM | synthetic | [51] |
| 62a | B. subtilis MIC = 0.020 mg/mL S. aureus MIC = 1.25 mg/mL M. smegmatis MIC = 0.625 mg/mL F. oxysporum MIC = 0.625 mg/mL | synthetic | [52] |
| 62b | B. subtilis MIC = 1.25 mg/mL S. aureus MIC = 2.5 mg/mL | synthetic | [52] |
| 62c | B. subtilis MIC = 1.25 mg/mL S. aureus MIC = 1.25 mg/mL K. pneumoniae MIC = 0.625 mg/mL | synthetic | [52] |
| 62d | B. subtilis MIC = 1.25 mg/mL S. aureus MIC = 1.25 mg/mL M. smegmatis MIC = 0.625 mg/mL | synthetic | [52] |
| 62e | B. subtilis MIC = 1.25 mg/mL S. aureus MIC = 1.25 mg/mL M. smegmatis MIC = 0.625 mg/mL C. albicans MIC = 0.156 mg/mL Klebsiella pneumoniae MIC = 0.625 mg/mL | synthetic | [52] |
| 62f | B. subtilis MIC = 1.25 mg/mL S. aureus MIC = 1.25 mg/mL M. smegmatis MIC = 0.625 mg/mL | synthetic | [52] |
| 63 | inhibited EtBr efflux > 65% at 50 μM | synthetic | [53] |
| 64 | inhibited EtBr efflux > 65% at 50 μM | synthetic | [53] |
| 65 | Sclerotinia sclerotiorum EC50 = 1.57 mg/L | synthetic | [54] |
| 66 | V. mali EC50 = 1.56 mg/L B. cinerea EC50 = 1.54 mg/L | synthetic | [54] |
| 67a | - | synthetic | [55] |
| 67b | - | synthetic | [55] |
| 67c | Pseudomonas aeruginosa MIC = 18 μg/mL | synthetic | [55] |
| 67d | - | synthetic | [55] |
| 67e | Staphylococcus aureus MIC = 21 μg/mL Bacillus subtilis MIC = 19 μg/mL | synthetic | [55] |
| 67f | Pseudomonas aeruginosa MIC = 19 μg/mL | synthetic | [55] |
| 67g | Staphylococcus aureus MIC = 28 μg/mL Bacillus subtilis MIC = 26 μg/mL | synthetic | [55] |
| 67h | Staphylococcus aureus MIC = 40 μg/mL Bacillus subtilis MIC = 24 μg/mL | synthetic | [55] |
| 67i | - | synthetic | [55] |
| 67j | StaphylococcusAureus MIC = 24 μg/mL Bacillus subtilis MIC = 40 μg/mL | synthetic | [55] |
| 68a | Escherichia coli MIC = 12.5 μg/mL Pseudomonas aeruginosa MIC = 100 μg/mL Staphylococcus aureus MIC = 12.5 μg/mL | synthetic | [56] |
| 68b | Pseudomonas aeruginosa MIC = 12.5 μg/mL | synthetic | [56] |
| 68c | Escherichia coli MIC = 6.25 μg/mL Meloidogyne litoralis MIC = 100 μg/mL | synthetic | [56] |
| 68d | Escherichia coli MIC = 6.25 μg/mL Pseudomonas aeruginosa MIC = 6.25 μg/mL Bacillus subtilis MIC = 100 μg/mL | synthetic | [56] |
| 68e | Escherichia coli MIC = 100 μg/mL Pseudomonas aeruginosa MIC = 12.5 μg/mL Meloidogyne litoralis MIC = 100 μg/mL Staphylococcus aureus MIC = 50 μg/mL | synthetic | [56] |
| 68f | Pseudomonas aeruginosa MIC = 50 μg/mL Meloidogyne litoralis MIC = 6.25 μg/mL | synthetic | [56] |
| 68g | Escherichia coli MIC = 6.25 μg/mL Pseudomonas aeruginosa MIC = 6.25 μg/mL Staphylococcus aureus MIC = 50 μg/mL | synthetic | [56] |
| 69 | B. subtilis pMICbs = 2.01 | synthetic | [57] |
| 70 | Mycobacterium tuberculosis MIC = 0.09 mg/L | synthetic | [58] |
| 71a | C. glabrata ATCC 90030 MIC = 200 μg/mL | synthetic | [59] |
| 71b | C. glabrata ATCC 90030 MIC = 200 μg/mL | synthetic | [59] |
| 72 | C. glabrata ATCC 90030 MIC = 200 μg/mL | synthetic | [59] |
| 73 | C. glabrata ATCC 90030 MIC = 200 μg/mL | synthetic | [59] |
| 74a | A. alternate inhibition rate = 49.3% A. solani inhibition rate = 61.2% B. cinerea inhibition rate = 63.3% F. oxysporum inhibition rate = 56.4% | synthetic | [60] |
| 74b | A. alternate inhibition rate = 57.6% A. solani inhibition rate = 79.0% B. cinerea inhibition rate = 72.9% F. oxysporum inhibition rate = 89.6% | synthetic | [60] |
| 75 | Mycobacteria MIC = 8 μg/mL | synthetic | [61] |
| 76 | Staphylococcus aureus MIC = 2.0 μg/mL Bacillus subtilis MIC = 1.0 μg/mL | synthetic | [62] |
3.10. Anticancer Activity










| Compd. | Activity | Target | Origin | Ref |
|---|---|---|---|---|
| 43 | Anti- TK10 TGI = 18.5 μM Anti- UACC62 TGI = 17.43 μM Anti- MCF7 TGI = 2.92 μM | - | synthetic | [39] |
| 44 | - | - | synthetic | [39] |
| 71a | Determine growth inhibitory activity = 85% | - | synthetic | [59] |
| 71b | Determine growth inhibitory activity = 77% | - | synthetic | [59] |
| 77 | Anti-melanoma GI50 = 0.134 μM | - | synthetic | [63] |
| 78a | Anti- Ae549 IC50 = 15.4 μM Anti- A375 IC50 = 14.5 μM Anti- MCF-7 IC50 = 13.8 μM Anti- HT-29 IC50 = 12.3 μM Anti- ACHN IC50 = 10.8 μM | DNA topoisomerase-IIa | synthetic | [64] |
| 78b | Anti- Ae549 IC50 = 13.4 μM Anti- A375 IC50 = 7.7 μM Anti- MCF-7 IC50 = 11.2 μM Anti- HT-29 IC50 = 7.75 μM Anti- ACHN IC50 = 15.7 μM | DNA topoisomerase-IIa | synthetic | [64] |
| 79a | Anti- Ae549 IC50 = 10.6 μM Anti- A375 IC50 = 10.3 μM Anti- MCF-7 IC50 = 8.6 μM Anti- HT-29 IC50 = 11.8 μM Anti- ACHN IC50 = 10.7 μM | DNA topoisomerase-IIa | synthetic | [64] |
| 79b | Anti- Ae549 IC50 = 7.7 μM Anti- A375 IC50 = 6.8 μM Anti- MCF-7 IC50 = 2.2 μM Anti- HT-29 IC50 = 8.9 μM Anti- ACHN IC50 = 9.46 μM | DNA topoisomerase-IIa | synthetic | [64] |
| 80 | Anti- angiogenesis inhibition rate ranged between 50 and 60% | - | synthetic | [65] |
| 81 | Anti-A549 GI50 = 2.51 μM | Erk1/2 signaling pathway | synthetic | [66] |
| 82 | Anti-HepG2 IC50 = 16.03 μM Anti-HeLa IC50 = 0.60 μM Anti-A549 IC50 = 10.05 μM Anti-BGC-823 IC50 = 17.41 μM Anti-HL-7702 IC50 = 41.77 μM | Caspase-3 | synthetic | [67] |
| 83 | Anti-HepG2 IC50 = 9.18 μM Anti-HeLa IC50 = 20.53 μM Anti-A549 IC50 = 19.20 μM Anti-BGC-823 IC50 = 28.81 μM Anti-HL-7702 IC50 = 20.09 μM | Caspase-3 | synthetic | [67] |
| 84 | Anti-HL-60 IC50 = 0.1 μM Anti-MCF-7 IC50 = 0.1 μM Anti-T-47D IC50 = 0.1 μM Anti-LNCaP IC50 = 2.0 μM Anti-WEHI-3 IC50 = 1.1 μM | - | synthetic | [68] |
| 85 | Anti-SGC 7901 IC50 = 1 μM | Topoisomerase II | synthetic | [69] |
| 86 | Anti-MCF-7 IC50 = 181.478 μM Anti-MCF-7/ADR IC50 = 96.523 μM Anti-SW1990 IC50 = 111.837 μM Anti-SMMC-7721 IC50 = 75.546 μM | - | synthetic | [70] |
| 87 | Anti-HepG2 IC50 = 8.40 μM Anti-A431 IC50 = 11.56 μM Anti-A549 IC50 = 4.33 μM Anti-MCF 7 IC50 = 5.99 μM Anti-HCT 116 IC50 = 3.48 μM | - | synthetic | [71] |
| 88 | Anti-MDA-MB 468 IC50 = 0.12 μM | Microtubule | synthetic | [72] |
| 89 | Anti-SKOV3 IC50 = 12.8 μM | oxygen species (ROS) | synthetic | [73] |
| 90 | Anti-Bel-7404 IC50 = 28.7 µmol/L Anti-SGC-7901 IC50 = 17.9 µmol/L | - | synthetic | [74] |
| 91 | Anti-HT-29 IC50 = 14.1 μmol/L Anti-HeLa IC50 = 9.1 μmol/L Anti-SGC-7901 IC50 = 8.2 μmol/L | - | synthetic | [75] |
| 92a | Anti-Hela 30 μM IC50 = 59.5 μM | Caspase-3 | synthetic | [76] |
| 92b | Anti-T47D 30 μM IC50 = 48.1 μM | Caspase-3 | synthetic | [76] |
| 92c | Anti-T47D 30 μM IC50 = 63.0 μM | Caspase-3 | synthetic | [76] |
| 93a | Anti- MCF7 30 μM IC50 = 31.5 μM | Caspase-3 | synthetic | [76] |
| 93b | Anti-SiHa 10 μM IC50 = 24.7 μM | Caspase-3 | synthetic | [76] |
| 93c | Anti-MCF7 30 μM IC50 = 35.6 μM | Caspase-3 | synthetic | [76] |
| 93d | Anti- SiHa 30 μM IC50 = 25.6 μM | Caspase-3 | synthetic | [76] |
| 93e | Anti-Hela 30 μM IC50 = 96.6 μM | Caspase-3 | synthetic | [76] |
| 93f | Anti- Hela 30 μM IC50 = 89.4 μM | Caspase-3 | synthetic | [76] |
| 94a | Anti-MCF7 30 μM IC50 = 38.6 μM | Caspase-3 | synthetic | [76] |
| 94b | Anti-C33A 30 μM IC50 = 61.0 μM | Caspase-3 | synthetic | [76] |
| 94c | Anti-MDA-MB-231 30 μM IC50 = 71.2 μM | Caspase-3 | synthetic | [76] |
| 94d | - | Caspase-3 | synthetic | [76] |
| 94e | Anti-MDA-MB-361 30 μM IC50 = 66.0 μM | Caspase-3 | synthetic | [76] |
| 94f | Anti-MDA-MB-361 30 μM IC50 = 68.2 μM | Caspase-3 | synthetic | [76] |
| 94g | Anti-MCF7 30 μM IC50 = 62.9 μM | Caspase-3 | synthetic | [76] |
| 94h | - | Caspase-3 | synthetic | [76] |
| 94i | - | Caspase-3 | synthetic | [76] |
| 95a | Anti-C33A 30 μM IC50 = 93.6 μM | Caspase-3 | synthetic | [76] |
| 95b | Anti- C33A 30 μM IC50 = 71.0 μM | Caspase-3 | synthetic | [76] |
| 95c | Anti-MDA-MB-361 30 μM IC50 = 80.4 μM | Caspase-3 | synthetic | [76] |
| 95d | Anti-C33A 30 μM IC50 = 73.1 μM | Caspase-3 | synthetic | [76] |
| 95e | Anti-C33A 30 μM IC50 = 86.4 μM | Caspase-3 | synthetic | [76] |
| 95f | Anti-C33A 30 μM IC50 = 86.9 μM | Caspase-3 | synthetic | [76] |
| 95g | Anti-C33A 30 μM IC50 = 74.7 μM | Caspase-3 | synthetic | [76] |
| 95h | Anti-MDA-MB-361 30 μM IC50 = 75.2 μM | Caspase-3 | synthetic | [76] |
| 96 | Assembly of purified tubulin IC50 = 1.6 μM | Tubulin | synthetic | [77] |
| 97a | Anti-NIH 3T3 EC50 = 0.9 μM | - | synthetic | [78] |
| 97b | Anti-NIH 3T3 EC50 = 2.2 μM | - | synthetic | [78] |
| 97c | Anti-A2780 EC50 = 2.0 μM | - | synthetic | [78] |
| 97d | Anti-A2780 EC50 = 3.5 μM | - | synthetic | [78] |
| 97e | Anti-A2780 EC50 = 0.7 μM | - | synthetic | [78] |
| 97f | Anti-518A2 EC50 = 2.0 μM | - | synthetic | [78] |
| 97g | Anti-NIH 3T3 EC50 = 0.6 μM | - | synthetic | [78] |
| 97h | Anti-NIH 3T3 EC50 = 0.9 μM | - | synthetic | [78] |
| 97i | Anti- NIH 3T3 EC50 = 0.7 μM | - | synthetic | [78] |
| 97j | Anti- MCF7 EC50 = 1.6 μM | - | synthetic | [78] |
| 97k | Anti-A2780 EC50 = 5.1 μM | - | synthetic | [78] |
| 97l | Anti-A2780 EC50 = 6.7 μM | - | synthetic | [78] |
| 98 | Anti-A2780 EC50 = 1.2 μM | - | synthetic | [78] |
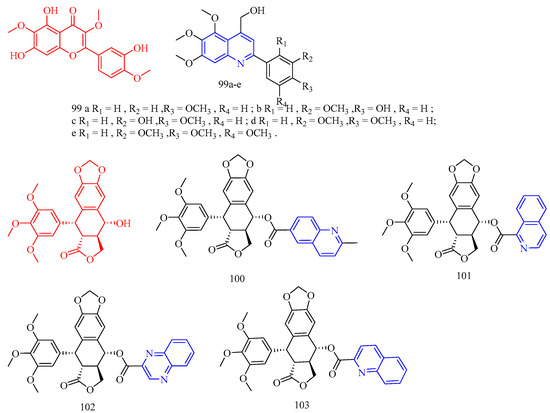
| 99a | Anti-A2780 IC50 = 8.04 μM | Tubulin | synthetic | [79] |
| 99b | Anti-MCF-7/MX IC50 = 21.48 μM | Tubulin | synthetic | [79] |
| 99c | Anti-A2780 IC50 = 9.19 μM | Tubulin | synthetic | [79] |
| 99d | Anti-A2780 IC50 = 7.98 μM | Tubulin | synthetic | [79] |
| 99e | Anti- A2780RCIS IC50 = 8.15 μM | Tubulin | synthetic | [79] |
| 100 | Anti-K562/ADR IC50 = 0.061 μM Anti-K562 IC50 = 0.064 μM | MAPK | synthetic | [80] |
| 101 | Anti-K562/ADR IC50 = 0.177 μM Anti-K562 IC50 = 0.064 μM | MAPK | synthetic | [80] |
| 102 | Anti-K562/ADR IC50 = 0.034 μM Anti-K562 IC50 = 0.022 μM | MAPK | synthetic | [80] |
| 103 | Anti-HL60 IC50 = 8.09 μM Anti-SGC-7901 IC50 = 73.40 μM Anti-MCF-7 IC50 = 19.66 μM Anti-HCT116 IC50 = 14.79 μM Anti-A549 IC50 = 17.61 μM Anti- HaCat IC50 = 11.49 μM | - | synthetic | [81] |
| 104 | Anti-Bel-7402 IC50 = 0.96 μM Anti-K562 IC50 = 1.89 μM Anti-MGC-803 IC50 = 1.03 μM Anti-CaEs-17 IC50 = 1.74 μM | - | synthetic | [62] |
| 105a | Anti-HeLa IC50 = 0.37 μM | - | synthetic | [82] |
| 105b | Anti-HeLa IC50 = 0.36 μM | - | synthetic | [82] |
| 105c | Anti-HeLa IC50 = 1.22 μM | - | synthetic | [82] |
| 105d | Anti-MDA-MB-231 IC50 = 0.90 μM | - | synthetic | [82] |
| 106a | Anti-HeLa IC50 = 19.03 μM | - | synthetic | [82] |
| 106b | Anti-HeLa IC50 = 25.78 μM | - | synthetic | [82] |
| 106c | Anti-MDA-MB-231 IC50 = 13.34 μM | - | synthetic | [82] |
| 106d | Anti-MDA-MB-231 IC50 = 17.44 μM | - | synthetic | [82] |
| 106e | Anti-HeLa IC50 = 21.88 μM | - | synthetic | [82] |
| 106f | Anti-HeLa IC50 = 12.27 μM | - | synthetic | [82] |
| 106g | Anti-HeLa IC50 = 13.13 μM | - | synthetic | [82] |
| 106h | Anti-HeLa IC50 = 23.45 μM | - | synthetic | [82] |
| 106i | Anti-HeLa IC50 = 7.16 μM | - | synthetic | [82] |
| 106j | Anti-HeLa IC50 = 26.87 μM | - | synthetic | [82] |
| 106k | Anti-HeLa IC50 = 30.25 μM | - | synthetic | [82] |
| 106l | Anti-HeLa IC50 = 12.45 μM | - | synthetic | [82] |
| 107a | Anti-MDA-MB-231 IC50 = 22.37 μM | - | synthetic | [82] |
| 107b | Anti-HeLa IC50 = 32.13 μM | - | synthetic | [82] |
| 107c | Anti-HeLa IC50 = 7.11 μM | - | synthetic | [82] |
| 107d | Anti-MDA-MB-231 IC50 = 19.39 μM | - | synthetic | [82] |
| 107e | Anti-HeLa IC50 = 28.12 μM | - | synthetic | [82] |
| 107f | Anti-HeLa IC50 = 12.31 μM | - | synthetic | [82] |
| 107g | Anti-MDA-MB-231 IC50 = 23.35 μM | - | synthetic | [82] |
| 107h | Anti-MDA-MB-231 IC50 > 40 μM | - | synthetic | [82] |
| 107i | Anti-HeLa IC50 = 16.29 μM | - | synthetic | [82] |
| 107j | Anti-HeLa IC50 = 28.29 μM | - | synthetic | [82] |
| 107k | Anti-HeLa IC50 = 32.25 μM | - | synthetic | [82] |
| 107l | Anti-HeLa IC50 = 12.09 μM | - | synthetic | [82] |
| 108 | Anti-HeLa IC50 = 11.2 μM/L Anti-HT-29 IC50 = 21.3 μM/L Anti-Bel 7404 IC50 = 28.9 μM/L Anti-SGC 7901 IC50 = 10.3 μM/L | - | synthetic | [83] |
| 109 | - | - | synthetic | [83] |
| 110 | - | Cysteine protease falcipain-2 | synthetic | [84] |
| 111 | Anti-ERK IC50 = 0.6 μM | ERK2 | synthetic | [85] |
| 112 | Anti-ERK IC50 = 0.16 μM | ERK2 | synthetic | [85] |
| 113 | Anti-PC-3 IC50 = 3.12 μM Anti-DU-145 IC50 = 3.99 μM Anti-NCI-H460 IC50 = 3.96 μM Anti-4 T1 IC50 = 1.81 μM | - | synthetic | [86] |
| 114a | Anti-A2780 IC50 = 25 μg/mL | - | synthetic | [87] |
| 114b | Anti-A2780 IC50 = 62 μg/mL | - | synthetic | [87] |
| 115 | Anti-MCF-7 GI50 = 38.3 Μm | - | synthetic | [88] |
| 116 | Anti-MCF-7 GI50 = 10.5 μM | - | synthetic | [88] |
| 117 | Anti-MCF-7 IC50 = 0.41 μM | p53-MDM2 | synthetic | [89] |
| 118 | Anti-MCF-7 IC50 = 0.89 μM | p53-MDM2 | synthetic | [89] |
| 119 | Anti-MRC-5 IC50 = 70.8 μM | Tubulin | synthetic | [90] |
| 120 | Anti-MCF-7 IC50 = 0.6 μM | Tubulin | synthetic | [90] |
| 121 | Anti-A549 IC50 = 2.3 μM | Tubulin | synthetic | [90] |
| 122 | Anti-MCF-7 IC50 = 1.0 μM | Tubulin | synthetic | [90] |
| 123a | low antitumor activity | Caspase-3 | synthetic | [91] |
| 123b | low antitumor activity | Caspase-3 | synthetic | [91] |
| 123c | low antitumor activity | Caspase-3 | synthetic | [91] |
| 123d | low antitumor activity | Caspase-3 | synthetic | [91] |
| 124a | Anti-HeLa IC50 = 0.37 μM | Ras/Raf/MEK/ERK | synthetic | [92] |
| 124b | Anti-HeLa IC50 = 0.36 μM | Ras/Raf/MEK/ERK | synthetic | [92] |
| 124c | Anti-MDA-MB-231 IC50 = 0.90 μM | Ras/Raf/MEK/ERK | synthetic | [92] |
| 124d | Anti-HeLa IC50 = 1.22 μM | Ras/Raf/MEK/ERK | synthetic | [92] |
| 125a | Anti-HeLa IC50 = 1.18 μM | Ras/Raf/MEK/ERK | synthetic | [92] |
| 125b | Anti-HeLa IC50 = 0.83 μM | Ras/Raf/MEK/ERK | synthetic | [92] |
| 125c | Anti-HeLa IC50 = 0.99 μM | Ras/Raf/MEK/ERK | synthetic | [92] |
| 125d | Anti-HeLa IC50 = 0.08 μM | Ras/Raf/MEK/ERK | synthetic | [92] |
| 125e | Anti-HeLa IC50 > 50 μM | Ras/Raf/MEK/ERK | synthetic | [92] |
| 125f | Anti-HeLa IC50 > 50 μM | Ras/Raf/MEK/ERK | synthetic | [92] |
| 125g | Anti-HeLa IC50 > 50 μM | Ras/Raf/MEK/ERK | synthetic | [92] |
| 125h | Anti-HeLa IC50 = 46.01 μM | Ras/Raf/MEK/ERK | synthetic | [92] |
| 126a | Anti-MDA-MB-231 IC50 = 5.32 μM | Ras/Raf/MEK/ERK | synthetic | [92] |
| 126b | Anti-MDA-MB-231 IC50 = 12.25 μM | Ras/Raf/MEK/ERK | synthetic | [92] |
| 126c | Anti-MDA-MB-231 IC50 = 13.17 μM | Ras/Raf/MEK/ERK | synthetic | [92] |
| 126d | Anti-HeLa IC50 = 4.28 μM | Ras/Raf/MEK/ERK | synthetic | [92] |
| 126e | Anti-HeLa IC50 > 50 μM | Ras/Raf/MEK/ERK | synthetic | [92] |
| 126f | Anti-HeLa IC50 = 30.94 μM | Ras/Raf/MEK/ERK | synthetic | [92] |
| 126g | Anti-HeLa IC50 > 50 μM | Ras/Raf/MEK/ERK | synthetic | [92] |
| 126h | Anti-HeLa IC50 > 50 μM | Ras/Raf/MEK/ERK | synthetic | [92] |
| 127a | Anti-MDA-MB-231 IC50 = 18.75 μM | Ras/Raf/MEK/ERK | synthetic | [92] |
| 127b | Anti-HeLa IC50 = 12.82 μM | Ras/Raf/MEK/ERK | synthetic | [92] |
| 127c | Anti-MDA-MB-231 IC50 = 31.57 μM | Ras/Raf/MEK/ERK | synthetic | [92] |
| 127d | Anti-HeLa IC50 = 10.92 μM | Ras/Raf/MEK/ERK | synthetic | [92] |
| 127e | Anti-HeLa IC50 > 50 μM | Ras/Raf/MEK/ERK | synthetic | [92] |
| 127f | Anti-HeLa IC50 > 50 μM | Ras/Raf/MEK/ERK | synthetic | [92] |
| 127g | Anti-HeLa IC50 > 50 μM | Ras/Raf/MEK/ERK | synthetic | [92] |
| 127h | Anti-HeLa IC50 > 50 μM | Ras/Raf/MEK/ERK | synthetic | [92] |
| 128a | Anti-A549 IC50 = 15.21 μM | - | synthetic | [93] |
| 128b | Anti-A549 IC50 = 12.65 μM | - | synthetic | [93] |
| 128c | Anti-A549 IC50 = 13.34 μM | - | synthetic | [93] |
| 128d | Anti-A549 IC50 = 12.23 μM | - | synthetic | [93] |
| 128e | Anti-A549 IC50 = 8.34 μM | - | synthetic | [93] |
| 128f | Anti-A549 IC50 = 5.34 μM | - | synthetic | [93] |
| 128g | Anti-H1975 IC50 = 12.95 μM | - | synthetic | [93] |
| 128h | Anti-H1975 IC50 = 14.31 μM | - | synthetic | [93] |
| 128i | Anti-A549 IC50 = 10.28 μM | - | synthetic | [93] |
| 128j | Anti-A549 IC50 = 9.01 μM | - | synthetic | [93] |
| 128k | Anti-A549 IC50 = 23.91 μM | - | synthetic | [93] |
| 128l | Anti-A431 IC50 = 12.56 μM | - | synthetic | [93] |
| 129a | Anti-K562 IC50 = 0.850 μM | Tubulin | synthetic | [94] |
| 129b | Anti-K562 IC50 = 0.011 μM | Tubulin | synthetic | [94] |
| 129c | Anti-K562 IC50 = 0.127 μM | Tubulin | synthetic | [94] |
| 129d | Anti-K562 IC50 = 0.009 μM | Tubulin | synthetic | [94] |
| 129e | Anti-K562 IC50 = 0.108 μM | Tubulin | synthetic | [94] |
| 129f | Anti-K562 IC50 = 1.055 μM | Tubulin | synthetic | [94] |
| 129g | Anti-K562 IC50 = 0.069 μM | Tubulin | synthetic | [94] |
| 129h | Anti-K562 IC50 = 0.563 μM | Tubulin | synthetic | [94] |
| 129i | Anti-K562 IC50 > 1 μM | Tubulin | synthetic | [94] |
| 129j | Anti-K562 IC50 > 1 μM | Tubulin | synthetic | [94] |
| 129k | Anti-K562 IC50 > 1 μM | Tubulin | synthetic | [94] |
| 129l | Anti-K562 IC50 = 0.346 μM | Tubulin | synthetic | [94] |
| 129m | Anti-K562 IC50 = 0.074 μM | Tubulin | synthetic | [94] |
| 129n | Anti-K562 IC50 > 1 μM | Tubulin | synthetic | [94] |
| 129o | Anti-K562 IC50 > 1 μM | Tubulin | synthetic | [94] |
| 130a | Anti-K562 IC50 = 0.040 μM | Tubulin | synthetic | [94] |
| 130b | Anti-K562 IC50 = 0.026 μM | Tubulin | synthetic | [94] |
| 130c | Anti-K562 IC50 = 0.015 μM | Tubulin | synthetic | [94] |
| 130d | Anti-K562 IC50 = 1.239 μM | Tubulin | synthetic | [94] |
| 131 | Anti-HCT116 IC50 = 3.31 μM Anti-U87-MG IC50 = 1.47 μM Anti-HepG2 IC50 = 3.66 μM Anti-BGC823 IC50 = 1.77 μM Anti-PC9 IC50 = 3.12 μM | NF-κB | synthetic | [95] |
| 132 | Anti-HepG2 IC50 = 14.3 μM | - | synthetic | [96] |
| 133 | Anti-HepG2 IC50 = 9.2 μM | - | synthetic | [96] |
| 134a | Anti-HepG2 IC50 = 14.3 μM | Hsp90N | synthetic | [97] |
| 134b | Anti-HepG2 IC50 = 9.2 μM | Hsp90N | synthetic | [97] |
| 134c | Anti-HepG2 IC50 = 10.9 μM | Hsp90N | synthetic | [97] |
| 134d | Anti-HepG2 IC50 = 13.1 μM | Hsp90N | synthetic | [97] |
| 134e | Anti-HepG2 IC50 = 6.4 μM | Hsp90N | synthetic | [97] |
| 134f | Anti-Hela IC50 = 6.9 μM | Hsp90N | synthetic | [97] |
| 134g | Anti-HepG2 IC50 = 16.1 μM | Hsp90N | synthetic | [97] |
| 135 | Anti-HCT-116 IC50 = 0.16 μM | HER1, HER2, proteasome, and hTS appear as promising targets for these compounds | synthetic | [98] |
| 136a | Anti-HCT-116 IC50 = 1.55 μM | HER1, HER2, proteasome, and hTS appear as promising targets for these compounds | synthetic | [98] |
| 136b | Anti-RPMI-8226 IC50 = 1.29 μM | HER1, HER2, proteasome, and hTS appear as promising targets for these compounds | synthetic | [98] |
| 136c | Anti-MDA-MB-435 IC50 = 0.30 μM | HER1, HER2, proteasome, and hTS appear as promising targets for these compounds | synthetic | [98] |
| 136d | Anti-HCT-116 IC50 = 0.26 μM | HER1, HER2, proteasome, and hTS appear as promising targets for these compounds | synthetic | [98] |
| 136e | - | HER1, HER2, proteasome, and hTS appear as promising targets for these compounds | synthetic | [98] |
| 136f | - | HER1, HER2, proteasome, and hTS appear as promising targets for these compounds | synthetic | [98] |
| 136g | - | HER1, HER2, proteasome, and hTS appear as promising targets for these compounds | synthetic | [98] |
| 137a | Anti-A549 IC50 = 6.1 μM | EGFR, BRAFV600E | synthetic | [99] |
| 137b | Anti-Panc-1 IC50 = 2.9 μM | EGFR, BRAFV600E | synthetic | [99] |
| 138a | Anti-MCF-7 IC50 = 23.1 μM | EGFR, BRAFV600E | synthetic | [99] |
| 138b | Anti-MCF-7 IC50 = 29.5 μM | EGFR, BRAFV600E | synthetic | [99] |
| 139a | Anti-MCF-7 IC50 = 3.2 μM | EGFR, BRAFV600E | synthetic | [99] |
| 139b | Anti-Panc-1 IC50 = 4.5 μM | EGFR, BRAFV600E | synthetic | [99] |
| 140 | Anti-HCT116 IC50 = 2.11 μM Anti-U87MG IC50 = 2.47 μM Anti-HepG2 IC50 = 4.71 μM Anti-BGC823 IC50 = 5.23 μM Anti-PC9 IC50 = 3.00 μM | NF-κB, STAT3 | synthetic | [100] |
| 141a | Anti-A549 IC50 = 19.24 μM Anti-NCI-H460 IC50 = 24.61 μM | synthetic | [101] | |
| 141b | Anti-A549 IC50 = 18.21 μM | STAT3 | synthetic | [101] |
| 141c | - | STAT3 | synthetic | [101] |
| 142a | Anti-A549 IC50 = 13.78 μM Anti-NCI-H460 IC50 = 17.13 μM | STAT3 | synthetic | [101] |
| 142b | Anti-A549 IC50 = 14.34 μM Anti-NCI-H460 IC50 = 18.32 μM | STAT3 | synthetic | [101] |
| 142c | Anti-A549 IC50 = 12.94 μM | STAT3 | synthetic | [101] |
| 142d | Anti-A549 IC50 = 13.05 μM | STAT3 | synthetic | [101] |
| 143 | Anti-HIF-1a IC50 = 0.05 μM | HIF-1a | synthetic | [102] |
| 144 | Anti-CYP1A1 IC50 = 117.6 μM Anti-CYP1B1 IC50 = 1.0 μM Anti-CYP1A2 IC50 > 1000 μM | CYP1B1 | synthetic | [103] |
| 145a | Anti-MGC-803 IC50 = 1.86 μM | Caspase3/9, cleaved-PARP | synthetic | [104] |
| 145b | Anti-MGC-803 IC50 = 2.39 μM | Caspase3/9, cleaved-PARP | synthetic | [104] |
| 145c | Anti-MGC-803 IC50 = 2.63 μM | Caspase3/9, cleaved-PARP | synthetic | [104] |
| 145d | Anti-MGC-803 IC50 = 1.62 μM | Caspase3/9, cleaved-PARP | synthetic | [104] |
| 145e | Anti-MGC-803 IC50 = 1.38 μM | Caspase3/9, cleaved-PARP | synthetic | [104] |
| 145f | Anti-MGC-803 IC50 = 3.24 μM | Caspase3/9, cleaved-PARP | synthetic | [104] |
| 145g | Anti-MGC-803 IC50 = 3.82 μM | Caspase3/9, cleaved-PARP | synthetic | [104] |
| 145h | Anti-MGC-803 IC50 = 2.28 μM | Caspase3/9, cleaved-PARP | synthetic | [104] |
| 145i | Anti-MGC-803 IC50 = 4.25 μM | Caspase3/9, cleaved-PARP | synthetic | [104] |
| 145j | Anti-MGC-803 IC50 = 3.22 μM | Caspase3/9, cleaved-PARP | synthetic | [104] |
| 146a | Anti-MGC-803 IC50 = 8.26 μM | Caspase3/9, cleaved-PARP | synthetic | [104] |
| 146b | Anti-MGC-803 IC50 = 4.63 μM | Caspase3/9, cleaved-PARP | synthetic | [104] |
| 146c | Anti-MGC-803 IC50 = 4.54 μM | Caspase3/9, cleaved-PARP | synthetic | [104] |
| 146d | Anti-MGC-803 IC50 = 8.25 μM | Caspase3/9, cleaved-PARP | synthetic | [104] |
| 146e | Anti-MGC-803 IC50 = 3.73 μM | Caspase3/9, cleaved-PARP | synthetic | [104] |
| 146f | Anti-MGC-803 IC50 = 10.21 μM | Caspase3/9, cleaved-PARP | synthetic | [104] |
| 147 | 10 μM Anti-MCF-7 Inhibition = 44.76% Anti-A549 Inhibition = 44.26% | Topoisomerase II | synthetic | [105] |
| 148a | Anti-EAC IC50 = 62.25 μM | Vascular Endothelial Growth Factor (VEGF) | synthetic | [106] |
| 148b | Anti-A375 IC50 = 69.52 μM | Vascular Endothelial Growth Factor (VEGF) | synthetic | [106] |
| 148c | Anti-ACHN IC50 = 62.65 μM | Vascular Endothelial Growth Factor (VEGF) | synthetic | [106] |
| 149 | Anti-MOLT-4 EC50 = 33.4 μM | - | synthetic | [107] |
| 150 | Anti-RPMI-8226 EC50 = 23.3 μM | - | synthetic | [107] |
| 151 | Anti-MOLT-4 EC50 = 33.5 μM | - | synthetic | [107] |
| 152 | Anti-RPMI-8226 EC50 = 16.3 μM | - | synthetic | [107] |
| 153 | Anti-MOLT-4 EC50 = 24.4 μM | - | synthetic | [107] |
4. Conclusions
Author Contributions
Funding
Conflicts of Interest
Abbreviations
| 3D7strain | Plasmodium falciparum |
| ACHE | Acetylcholinesterase |
| ACI | Coccidiosis inhibition rate of Eimeria tenella |
| ALP | Alkaline phosphatase |
| ALT | Alanine aminotransferase |
| AST | Aspartate aminotransferase |
| BCHE | Cholinesterase |
| BMP-2 | Bone morphogenetic protein-2 |
| DMSO | Dimethyl sulfoxide |
| FMR | Insecticidal inhibition rate |
| FRD | Fumarate reductase |
| FXa | Activation of X factor |
| HDL-C | High-density lipoprotein cholesterol |
| IL-6 | Interleukin-6 |
| KM mice | Kunming mice |
| LPS | Lipopolysaccharides |
| MR | The mite inhibition rate |
| OA | Oleanolic acid |
| OCLs | Osteoclast-like multinucleated cells |
| OCN | Osteoblast secretory protein |
| PC-3 cells | Human prostate cancer cell line |
| RUNX-2 | Runt-related transcription factor-2 |
| SNB-19 | Human glioma adherent cell line |
| THP1 cells | Human monocytic leukemia |
| U-937 cells | Cell line exhibiting monocyte morphology |
References
- Newman, D.J.; Cragg, G.M. Natural Products as Sources of New Drugs over the Nearly Four Decades from January 1981 to September 2019. J. Nat. Prod. 2020, 83, 770–803. [Google Scholar] [CrossRef]
- Patel, R.V.; Park, S.W. Access to a new class of biologically active quinoline based 1,2,4-triazoles. Eur. J. Med. Chem. 2014, 71, 24–30. [Google Scholar] [CrossRef] [PubMed]
- Narwal, S.; Kumar, S.; Verma, P.K. Synthesis and therapeutic potential of quinoline derivatives. Res. Chem. Inter. 2016, 43, 2765–2798. [Google Scholar] [CrossRef]
- Feng, L.; Lv, K.; Liu, M.; Wang, S.; Zhao, J.; You, X.; Li, S.; Cao, J.; Guo, H. Synthesis and in vitro antibacterial activity of gemifloxacin derivatives containing a substituted benzyloxime moiety. Eur. J. Med. Chem. 2012, 55, 125–136. [Google Scholar] [CrossRef]
- Musiol, R.; Serda, M.; Hensel-Bielowka, S.; Polanski, J. Quinoline-Based Antifungals. Curr. Med. Chem. 2010, 17, 1960–1973. [Google Scholar] [CrossRef] [PubMed]
- Medapi, B.; Renuka, J.; Saxena, S.; Sridevi, J.P.; Medishetti, R.; Kulkarni, P.; Yogeeswari, P.; Sriram, D. Design and synthesis of novel quinoline-aminopiperidine hybrid analogues as Mycobacterium tuberculosis DNA gyraseB inhibitors. Bioorg. Med. Chem. 2015, 23, 2062–2078. [Google Scholar] [CrossRef]
- Ma, X.; Zhou, W.; Brun, R. Synthesis, in vitro antitrypanosomal and antibacterial activity of phenoxy, phenylthio or benzyloxy substituted quinolones. Bioorg. Med. Chem. Lett. 2009, 19, 986–989. [Google Scholar] [CrossRef]
- Rossiter, S.; Peron, J.M.; Whitfield, P.J.; Jones, K. Synthesis and anthelmintic properties of arylquinolines with activity against drug-resistant nematodes. Bioorg. Med. Chem. Lett. 2005, 15, 4806–4808. [Google Scholar] [CrossRef] [PubMed]
- Sun, J.; Zhu, H.; Yang, Z.M.; Zhu, H.L. Synthesis, molecular modeling and biological evaluation of 2-aminomethyl-5-(quinolin-2-yl)-1,3,4-oxadiazole-2(3H)-thione quinolone derivatives as novel anticancer agent. Eur. J. Med. Chem. 2013, 60, 23–28. [Google Scholar] [CrossRef] [PubMed]
- Majerz-Maniecka, K.; Musiol, R.; Skorska-Stania, A.; Tabak, D.; Mazur, P.; Oleksyn, B.J.; Polanski, J. X-ray and molecular modelling in fragment-based design of three small quinoline scaffolds for HIV integrase inhibitors. Bioorg. Med. Chem. 2011, 19, 1606–1612. [Google Scholar] [CrossRef] [PubMed]
- Rano, T.A.; Sieber-McMaster, E.; Pelton, P.D.; Yang, M.; Demarest, K.T.; Kuo, G.H. Design and synthesis of potent inhibitors of cholesteryl ester transfer protein (CETP) exploiting a 1,2,3,4-tetrahydroquinoline platform. Bioorg. Med. Chem. Lett. 2009, 19, 2456–2460. [Google Scholar] [CrossRef] [PubMed]
- Roma, G.; Grossi, G.; Di Braccio, M.; Piras, D.; Ballabeni, V.; Tognolini, M.; Bertoni, S.; Barocelli, E. 1,8-Naphthyridines VII. New substituted 5-amino[1,2,4]triazolo[4,3-a][1,8]naphthyridine-6-carboxamides and their isosteric analogues, exhibiting notable anti-inflammatory and/or analgesic activities, but no acute gastrolesivity. Eur. J. Med. Chem. 2008, 43, 1665–1680. [Google Scholar] [CrossRef]
- Mantoani, S.P.; Chierrito, T.P.; Vilela, A.F.; Cardoso, C.L.; Martinez, A.; Carvalho, I. Novel Triazole-Quinoline Derivatives as Selective Dual Binding Site Acetylcholinesterase Inhibitors. Molecules 2016, 21, 193. [Google Scholar] [CrossRef] [PubMed]
- Duarte, Y.; Fonseca, A.; Gutiérrez, M.; Adasme-Carreño, F.; Muñoz-Gutierrez, C.; Alzate-Morales, J.; Santana, L.; Uriarte, E.; Álvarez, R.; Matos, M.J. Novel Coumarin-Quinoline Hybrids: Design of Multitarget Compounds for Alzheimer’s Disease. Chemistry 2019, 4, 551–558. [Google Scholar] [CrossRef]
- Wang, X.Q.; Xia, C.L.; Chen, S.B.; Tan, J.H.; Ou, T.M.; Huang, S.L.; Li, D.; Gu, L.Q.; Huang, Z.S. Design, synthesis, and biological evaluation of 2-arylethenylquinoline derivatives as multifunctional agents for the treatment of Alzheimer’s disease. Eur. J. Med. Chem. 2015, 89, 349–361. [Google Scholar] [CrossRef] [PubMed]
- Tintas, M.L.; Foucout, L.; Petit, S.; Oudeyer, S.; Gourand, F.; Barre, L.; Papamicael, C.; Levacher, V. New developments in redox chemical delivery systems by means of 1,4-dihydroquinoline-based targetor: Application to galantamine delivery to the brain. Eur. J. Med. Chem. 2014, 81, 218–226. [Google Scholar] [CrossRef] [PubMed]
- Benchekroun, M.; Pachon-Angona, I.; Luzet, V.; Martin, H.; Oset-Gasque, M.J.; Marco-Contelles, J.; Ismaili, L. Synthesis, antioxidant and Abeta anti-aggregation properties of new ferulic, caffeic and lipoic acid derivatives obtained by the Ugi four-component reaction. Bioorg. Chem. 2019, 85, 221–228. [Google Scholar] [CrossRef] [PubMed]
- Shah, M.S.; Najam-Ul-Haq, M.; Shah, H.S.; Farooq Rizvi, S.U.; Iqbal, J. Quinoline containing chalcone derivatives as cholinesterase inhibitors and their in silico modeling studies. Comput. Biol. Chem. 2018, 76, 310–317. [Google Scholar] [CrossRef] [PubMed]
- Li, J.F.; Zhao, Y.; Cai, M.M.; Li, X.F.; Li, J.X. Synthesis and evaluation of a novel series of heterocyclic oleanolic acid derivatives with anti-osteoclast formation activity. Eur. J. Med. Chem. 2009, 44, 2796–2806. [Google Scholar] [CrossRef] [PubMed]
- Maurya, S.W.; Dev, K.; Singh, K.B.; Rai, R.; Siddiqui, I.R.; Singh, D.; Maurya, R. Synthesis and biological evaluation of heterocyclic analogues of pregnenolone as novel anti-osteoporotic agents. Bioorg. Med. Chem. Lett. 2017, 27, 1390–1396. [Google Scholar] [CrossRef]
- Li, F.; Lee, E.M.; Sun, X.; Wang, D.; Tang, H.; Zhou, G.C. Design, synthesis and discovery of andrographolide derivatives against Zika virus infection. Eur. J. Med. Chem. 2020, 187, 111925. [Google Scholar] [CrossRef]
- Baltina, L.A.; Lai, H.C.; Liu, Y.C.; Huang, S.H.; Hour, M.J.; Baltina, L.A.; Nugumanov, T.R.; Borisevich, S.S.; Khalilov, L.M.; Petrova, S.F.; et al. Glycyrrhetinic acid derivatives as Zika virus inhibitors: Synthesis and antiviral activity in vitro. Bioorg. Med. Chem. 2021, 41, 116204. [Google Scholar] [CrossRef] [PubMed]
- Wang, L.J.; Geng, C.A.; Ma, Y.B.; Huang, X.Y.; Luo, J.; Chen, H.; Zhang, X.M.; Chen, J.J. Synthesis, biological evaluation and structure-activity relationships of glycyrrhetinic acid derivatives as novel anti-hepatitis B virus agents. Bioorg. Med. Chem. Lett. 2012, 22, 3473–3479. [Google Scholar] [CrossRef] [PubMed]
- Papi Reddy, K.; Singh, A.B.; Puri, A.; Srivastava, A.K.; Narender, T. Synthesis of novel triterpenoid (lupeol) derivatives and their in vivo antihyperglycemic and antidyslipidemic activity. Bioorg. Med. Chem. Lett. 2009, 19, 4463–4466. [Google Scholar] [CrossRef] [PubMed]
- Nam, K.Y.; Damodar, K.; Jeon, S.H.; Lee, J.T.; Lee, Y. Design and Synthesis of π-Extended Resveratrol Analogues and In Vitro Antioxidant and Anti-Inflammatory Activity Evaluation. Molecules 2021, 26, 646. [Google Scholar] [CrossRef] [PubMed]
- Bian, M.; Zhen, D.; Shen, Q.K.; Du, H.H.; Ma, Q.Q.; Quan, Z.S. Structurally modified glycyrrhetinic acid derivatives as anti-inflammatory agents. Bioorg. Chem. 2021, 107, 104598. [Google Scholar] [CrossRef] [PubMed]
- Ma, Q.; Bian, M.; Gong, G.; Bai, C.; Liu, C.; Wei, C.; Quan, Z.S.; Du, H.H. Synthesis and Evaluation of Bakuchiol Derivatives as Potent Anti-inflammatory Agents In Vitro and In Vivo. J. Nat. Prod. 2022, 85, 15–24. [Google Scholar] [CrossRef] [PubMed]
- Chen, P.; Zhang, D.; Li, M.; Wu, Q.; Lam, Y.P.Y.; Guo, Y.; Chen, C.; Bai, N.; Malhotra, S.; Li, W.; et al. Discovery of novel, potent, isosteviol-based antithrombotic agents. Eur. J. Med. Chem. 2019, 183, 111722. [Google Scholar] [CrossRef] [PubMed]
- Leverrier, A.; Bero, J.; Frederich, M.; Quetin-Leclercq, J.; Palermo, J. Antiparasitic hybrids of Cinchona alkaloids and bile acids. Eur. J. Med. Chem. 2013, 66, 355–363. [Google Scholar] [CrossRef] [PubMed]
- Nisha; Kumar, K.; Bhargava, G.; Land, K.M.; Chang, K.H.; Arora, R.; Sen, S.; Kumar, V. N-Propargylated isatin-Mannich mono- and bis-adducts: Synthesis and preliminary analysis of in vitro activity against Tritrichomonas foetus. Eur. J. Med. Chem. 2014, 74, 657–663. [Google Scholar] [CrossRef]
- Coa, J.C.; García, E.; Carda, M.; Agut, R.; Vélez, I.D.; Muñoz, J.A.; Yepes, L.M.; Robledo, S.M.; Cardona, W.I. Synthesis, leishmanicidal, trypanocidal and cytotoxic activities of quinoline-chalcone and quinoline-chromone hybrids. Med. Chem. Res. 2017, 26, 1405–1414. [Google Scholar] [CrossRef]
- Huang, J.; Lv, M.; Thapa, S.; Xu, H. Synthesis of novel quinolinomatrine derivatives and their insecticidal/acaricidal activities. Bioorg. Med. Chem. Lett. 2018, 28, 1753–1757. [Google Scholar] [CrossRef] [PubMed]
- Wang, Z.; Zhou, L.-J.; Wang, Y.-I.; Weng, Y.-B.; He, J.; Nie, K. Synthesis and anticoccidial activities of substituted ethyl 4-hydroxy-11-oxo-11H-chromeno[2,3-g]quinoline-3-carboxylates. J. Chem. Res. 2011, 42, 373–376. [Google Scholar] [CrossRef]
- Roussaki, M.; Hall, B.; Lima, S.C.; da Silva, A.C.; Wilkinson, S.; Detsi, A. Synthesis and anti-parasitic activity of a novel quinolinone-chalcone series. Bioorg. Med. Chem. Lett. 2013, 23, 6436–6441. [Google Scholar] [CrossRef] [PubMed]
- Pan, L.; Li, X.-Z.; Sun, D.-A.; Jin, H.; Guo, H.-R.; Qin, B. Design and synthesis of novel coumarin analogs and their nematicidal activity against five phytonematodes. Chin. Chem. Lett. 2016, 27, 375–379. [Google Scholar] [CrossRef]
- Guo, Y.; Yan, Y.; Yu, X.; Wang, Y.; Zhi, X.Y.; Hu, Y.; Xu, H. Synthesis and insecticidal activity of some novel fraxinellone-based esters. J. Agric. Food Chem. 2012, 60, 7016–7021. [Google Scholar] [CrossRef] [PubMed]
- Guo, H.Y.; Jin, C.; Zhang, H.M.; Jin, C.M.; Shen, Q.K.; Quan, Z.S. Synthesis and Biological Evaluation of (+)-Usnic Acid Derivatives as Potential Anti-Toxoplasma gondii Agents. J. Agric. Food Chem. 2019, 67, 9630–9642. [Google Scholar] [CrossRef] [PubMed]
- Deng, H.; Huang, X.; Jin, C.; Jin, C.M.; Quan, Z.S. Synthesis, in vitro and in vivo biological evaluation of dihydroartemisinin derivatives with potential anti-Toxoplasma gondii agents. Bioorg. Chem. 2020, 94, 103467. [Google Scholar] [CrossRef]
- Lombard, M.C.; N’Da, D.D.; Breytenbach, J.C.; Kolesnikova, N.I.; Tran Van Ba, C.; Wein, S.; Norman, J.; Denti, P.; Vial, H.; Wiesner, L. Antimalarial and anticancer activities of artemisinin-quinoline hybrid-dimers and pharmacokinetic properties in mice. Eur. J. Pharm. Sci. 2012, 47, 834–841. [Google Scholar] [CrossRef] [PubMed]
- Raj, R.; Biot, C.; Carrere-Kremer, S.; Kremer, L.; Guerardel, Y.; Gut, J.; Rosenthal, P.J.; Forge, D.; Kumar, V. 7-chloroquinoline-isatin conjugates: Antimalarial, antitubercular, and cytotoxic evaluation. Chem. Biol. Drug Des. 2014, 83, 622–629. [Google Scholar] [CrossRef] [PubMed]
- Raj, R.; Singh, P.; Singh, P.; Gut, J.; Rosenthal, P.J.; Kumar, V. Azide-alkyne cycloaddition en route to 1H-1,2,3-triazole-tethered 7-chloroquinoline-isatin chimeras: Synthesis and antimalarial evaluation. Eur. J. Med. Chem. 2013, 62, 590–596. [Google Scholar] [CrossRef]
- Nisha; Gut, J.; Rosenthal, P.J.; Kumar, V. beta-amino-alcohol tethered 4-aminoquinoline-isatin conjugates: Synthesis and antimalarial evaluation. Eur. J. Med. Chem. 2014, 84, 566–573. [Google Scholar] [CrossRef] [PubMed]
- Videnovic, M.; Opsenica, D.M.; Burnett, J.C.; Gomba, L.; Nuss, J.E.; Selakovic, Z.; Konstantinovic, J.; Krstic, M.; Segan, S.; Zlatovic, M.; et al. Second generation steroidal 4-aminoquinolines are potent, dual-target inhibitors of the botulinum neurotoxin serotype A metalloprotease and P. falciparum malaria. J. Med. Chem. 2014, 57, 4134–4153. [Google Scholar] [CrossRef] [PubMed]
- Leverrier, A.; Bero, J.; Cabrera, J.; Frederich, M.; Quetin-Leclercq, J.; Palermo, J.A. Structure-activity relationship of hybrids of Cinchona alkaloids and bile acids with in vitro antiplasmodial and antitrypanosomal activities. Eur. J. Med. Chem. 2015, 100, 10–17. [Google Scholar] [CrossRef] [PubMed]
- Sharma, B.; Kaur, S.; Legac, J.; Rosenthal, P.J.; Kumar, V. Synthesis, anti-plasmodial and cytotoxic evaluation of 1H-1,2,3-triazole/acyl hydrazide integrated tetrahydro-beta-carboline-4-aminoquinoline conjugates. Bioorg. Med. Chem. Lett. 2020, 30, 126810. [Google Scholar] [CrossRef]
- Vinindwa, B.; Dziwornu, G.A.; Masamba, W. Synthesis and Evaluation of Chalcone-Quinoline Based Molecular Hybrids as Potential Anti-Malarial Agents. Molecules 2021, 26, 4093. [Google Scholar] [CrossRef] [PubMed]
- Rodrigues, T.; Ressurreicao, A.S.; da Cruz, F.P.; Albuquerque, I.S.; Gut, J.; Carrasco, M.P.; Goncalves, D.; Guedes, R.C.; dos Santos, D.J.; Mota, M.M.; et al. Flavones as isosteres of 4(1H)-quinolones: Discovery of ligand efficient and dual stage antimalarial lead compounds. Eur. J. Med. Chem. 2013, 69, 872–880. [Google Scholar] [CrossRef]
- Paul, N.; Muthusubramanian, S. Synthesis, antimicrobial, and cytotoxicity studies of novel sulfur-linked quinoline–coumarin bisheterocycles. Med. Chem. Res. 2013, 23, 1612–1621. [Google Scholar] [CrossRef]
- Patel, D.; Brahmbhatt, D.I. A Novel and Efficient Synthesis of Various 7-Hydroxy-9(Furo[2,3-b]Quinolin-2Yl)6H- Benzo[c]Coumarins and Evaluation of their Antimicrobial Activity. Int. J. Pharm. Res. Sch. 2017, 6, 66–75. [Google Scholar]
- Subhedar, D.D.; Shaikh, M.H.; Nawale, L.; Sarkar, D.; Khedkar, V.M.; Shingate, B.B. Quinolidene based monocarbonyl curcumin analogues as promising antimycobacterial agents: Synthesis and molecular docking study. Bioorg. Med. Chem. Lett. 2017, 27, 922–928. [Google Scholar] [CrossRef] [PubMed]
- Campanico, A.; Carrasco, M.P.; Njoroge, M.; Seldon, R.; Chibale, K.; Perdigao, J.; Portugal, I.; Warner, D.F.; Moreira, R.; Lopes, F. Azaaurones as Potent Antimycobacterial Agents Active against MDR- and XDR-TB. ChemMedChem 2019, 14, 1537–1546. [Google Scholar] [CrossRef]
- Kumar, G.; Lathwal, E.; Saroha, B.; Kumar, S.; Kumar, S.; Chauhan, N.S.; Kumar, T. Synthesis and Biological Evaluation of Quinoline-Based Novel Aurones. ChemistrySelect 2020, 5, 3539–3543. [Google Scholar] [CrossRef]
- Sabatini, S.; Gosetto, F.; Manfroni, G.; Tabarrini, O.; Kaatz, G.W.; Patel, D.; Cecchetti, V. Evolution from a natural flavones nucleus to obtain 2-(4-Propoxyphenyl)quinoline derivatives as potent inhibitors of the S. aureus NorA efflux pump. J. Med. Chem. 2011, 54, 5722–5736. [Google Scholar] [CrossRef]
- Wang, W.; Zhang, S.; Wang, J.; Wu, F.; Wang, T.; Xu, G. Bioactivity-Guided Synthesis Accelerates the Discovery of 3-(Iso)quinolinyl-4-chromenones as Potent Fungicide Candidates. J. Agric. Food Chem. 2021, 69, 491–500. [Google Scholar] [CrossRef]
- Gogoi, S.; Shekarrao, K.; Duarah, A.; Bora, T.C.; Gogoi, S.; Boruah, R.C. A microwave promoted solvent-free approach to steroidal quinolines and their in vitro evaluation for antimicrobial activities. Steroids 2012, 77, 1438–1445. [Google Scholar] [CrossRef]
- Balaji, G.L.; Rajesh, K.; Priya, R.; Iniyavan, P.; Siva, R.; Vijayakumar, V. Ultrasound-promoted synthesis, biological evaluation and molecular docking of novel 7-(2-chloroquinolin-4-yloxy)-4-methyl-2H-chromen-2-one derivatives. Med. Chem. Res. 2012, 22, 3185–3192. [Google Scholar] [CrossRef]
- Khatkar, A.; Nanda, A.; Kumar, P.; Narasimhan, B. Synthesis and antimicrobial evaluation of ferulic acid derivatives. Res. Chem. Intermed. 2013, 41, 299–309. [Google Scholar] [CrossRef]
- Makula, S.M.A. Design, Synthesis and Docking Study of Some Novel Isatin-Quinoline Hybrids as Potential Antitubercular Agents. Anti-Infect. Agents 2016, 14, 53–62. [Google Scholar]
- Tabbi, A.; Tebbani, D.; Caporale, A.; Saturninob, C.; Nabavi, S.F.; Nabavic, P.G.; Arrac, C.; Cantürkd, Z.; Turan-Zitounie, G.; Merazigf, H.; et al. New Adamantyl Chalcones: Synthesis, Antimicrobial and Anticancer Activities. Curr. Top. Med. Chem. 2017, 17, 498–506. [Google Scholar] [CrossRef]
- Pan, L.; Li, X.; Jin, H.; Yang, X.; Qin, B. Antifungal activity of umbelliferone derivatives: Synthesis and structure-activity relationships. Microb. Pathog. 2017, 104, 110–115. [Google Scholar] [CrossRef]
- Kalt, M.M.; Schuehly, W.; Saf, R.; Ochensberger, S.; Solnier, J.; Bucar, F.; Kaiser, M.; Presser, A. Palladium-catalysed synthesis of arylnaphthoquinones as antiprotozoal and antimycobacterial agents. Eur. J. Med. Chem. 2020, 207, 112837. [Google Scholar] [CrossRef] [PubMed]
- Li, D.H.; Hu, P.; Xu, S.T.; Fang, C.Y.; Tang, S.; Wang, X.Y.; Sun, X.Y.; Li, H.; Xu, Y.; Gu, X.K.; et al. Lasiokaurin derivatives: Synthesis, antimicrobial and antitumor biological evaluation, and apoptosis-inducing effects. Arch. Pharm. Res. 2017, 40, 796–806. [Google Scholar] [CrossRef] [PubMed]
- Abonia, R.; Insuasty, D.; Castillo, J.; Insuasty, B.; Quiroga, J.; Nogueras, M.; Cobo, J. Synthesis of novel quinoline-2-one based chalcones of potential anti-tumor activity. Eur. J. Med. Chem. 2012, 57, 29–40. [Google Scholar] [CrossRef] [PubMed]
- Kamal, A.; Suresh, P.; Ramaiah, M.J.; Mallareddy, A.; Imthiajali, S.; Pushpavalli, S.N.; Lavanya, A.; Pal-Bhadra, M. Synthesis and biological evaluation of 4beta-sulphonamido and 4beta-[(4′-sulphonamido)benzamide]podophyllotoxins as DNA topoisomerase-IIalpha and apoptosis inducing agents. Bioorg. Med. Chem. 2012, 20, 2054–2066. [Google Scholar] [CrossRef]
- Pudhom, K.; Nuanyai, T.; Matsubara, K.; Vilaivan, T. Antiangiogenic activity of 3,4-seco-cycloartane triterpenes from Thai Gardenia spp. and their semi-synthetic analogs. Bioorg. Med. Chem. Lett. 2012, 22, 512–517. [Google Scholar] [CrossRef]
- Kamal, A.; Mallareddy, A.; Suresh, P.; Lakshma Nayak, V.; Shetti, R.V.; Sankara Rao, N.; Tamboli, J.R.; Shaik, T.B.; Vishnuvardhan, M.V.; Ramakrishna, S. Synthesis and anticancer activity of 4beta-alkylamidochalcone and 4beta-cinnamido linked podophyllotoxins as apoptotic inducing agents. Eur. J. Med. Chem. 2012, 47, 530–545. [Google Scholar] [CrossRef]
- Zhao, W.; Chen, L.; Li, H.M.; Wang, D.J.; Li, D.S.; Chen, T.; Yuan, Z.P.; Tang, Y.J. A rational design strategy of the novel topoisomerase II inhibitors for the synthesis of the 4-O-(2-pyrazinecarboxylic)-4′-demethylepipodophyllotoxin with antitumor activity by diminishing the relaxation reaction of topoisomerase II-DNA decatenation. Bioorg. Med. Chem. 2014, 22, 2998–3007. [Google Scholar] [CrossRef]
- Ayan, D.; Maltais, R.; Hospital, A.; Poirier, D. Chemical synthesis, cytotoxicity, selectivity and bioavailability of 5alpha-androstane-3alpha,17beta-diol derivatives. Bioorg. Med. Chem. 2014, 22, 5847–5859. [Google Scholar] [CrossRef] [PubMed]
- Cui, J.; Liu, L.; Zhao, D.; Gan, C.; Huang, X.; Xiao, Q.; Qi, B.; Yang, L.; Huang, Y. Synthesis, characterization and antitumor activities of some steroidal derivatives with side chain of 17-hydrazone aromatic heterocycle. Steroids 2015, 95, 32–38. [Google Scholar] [CrossRef]
- Jin, X.; Yan, L.; Li, H.-J.; Wang, R.-L.; Hu, Z.-L.; Jiang, Y.-Y.; Cao, Y.-B.; Yan, T.-H.; Sun, Q.-Y. Novel Triazolyl Berberine Derivatives Prepared via CuAAC Click Chemistry: Synthesis, Anticancer Activity and Structure-Activity Relationships. Anti-Cancer Agents Med. Chem. 2015, 15, 89–98. [Google Scholar] [CrossRef]
- Hayat, F.; Park, S.H.; Choi, N.S.; Lee, J.; Park, S.J.; Shin, D. Synthesis and anticancer activity of 4-aza-daurinol derivatives. Arch. Pharm. Res. 2015, 38, 1975–1982. [Google Scholar] [CrossRef]
- Srivastava, V.; Lee, H. Synthesis and bio-evaluation of novel quinolino-stilbene derivatives as potential anticancer agents. Bioorg. Med. Chem. 2015, 23, 7629–7640. [Google Scholar] [CrossRef] [PubMed]
- Raghavan, S.; Manogaran, P.; Gadepalli Narasimha, K.K.; Kalpattu Kuppusami, B.; Mariyappan, P.; Gopalakrishnan, A.; Venkatraman, G. Synthesis and anticancer activity of novel curcumin-quinolone hybrids. Bioorg. Med. Chem. Lett. 2015, 25, 3601–3605. [Google Scholar] [CrossRef]
- Cui, J.; Liu, C.; Liu, L.; Gan, C.; Lu, Y.; Chen, S.; Dong, X.; Huang, Y. Synthesis and Antitumor Activities of Cholestane Derivatives with a Structure of 3-Hydroxy-6-hydrazone or 6-Carbonyl-3-hydrazone. Chin. J. Org. Chem. 2016, 36, 2933. [Google Scholar] [CrossRef]
- He, D.M.; Liu, L.; Zheng, J.H.; Yang, C.H.; Huang, Y.M.; Gan, C.F.; Cui, J.G. Synthesis and antitumor activity of pyrazoline steroidal aromatic heterocyclic compounds. Chin. J. Med. Chem. 2016, 26, 61–64. [Google Scholar]
- Baji, Á.; Gyovai, A.; Wölfling, J.; Minorics, R.; Ocsovszki, I.; Zupkó, I.; Frank, É. Microwave-assisted one-pot synthesis of steroid–quinoline hybrids and an evaluation of their antiproliferative activities on gynecological cancer cell lines. RSC Adv. 2016, 6, 27501–27516. [Google Scholar] [CrossRef]
- Chaudhary, V.; Venghateri, J.B.; Dhaked, H.P.; Bhoyar, A.S.; Guchhait, S.K.; Panda, D. Novel Combretastatin-2-aminoimidazole Analogues as Potent Tubulin Assembly Inhibitors: Exploration of Unique Pharmacophoric Impact of Bridging Skeleton and Aryl Moiety. J. Med. Chem. 2016, 59, 3439–3451. [Google Scholar] [CrossRef]
- Sommerwerk, S.; Heller, L.; Kuhfs, J.; Csuk, R. Selective killing of cancer cells with triterpenoic acid amides—The substantial role of an aromatic moiety alignment. Eur. J. Med. Chem. 2016, 122, 452–464. [Google Scholar] [CrossRef] [PubMed]
- Shobeiri, N.; Rashedi, M.; Mosaffa, F.; Zarghi, A.; Ghandadi, M.; Ghasemi, A.; Ghodsi, R. Synthesis and biological evaluation of quinoline analogues of flavones as potential anticancer agents and tubulin polymerization inhibitors. Eur. J. Med. Chem. 2016, 114, 14–23. [Google Scholar] [CrossRef]
- Zhang, L.; Zhang, Z.; Chen, F.; Chen, Y.; Lin, Y.; Wang, J. Aromatic heterocyclic esters of podophyllotoxin exert anti-MDR activity in human leukemia K562/ADR cells via ROS/MAPK signaling pathways. Eur. J. Med. Chem. 2016, 123, 226–235. [Google Scholar] [CrossRef]
- Li, Z.; Su, H.; Yu, W.; Li, X.; Cheng, H.; Liu, M.; Pang, X.; Zou, X. Design, synthesis and anticancer activities of novel otobain derivatives. Org. Biomol. Chem. 2016, 14, 277–287. [Google Scholar] [CrossRef] [PubMed]
- Gu, W.; Jin, X.Y.; Li, D.D.; Wang, S.F.; Tao, X.B.; Chen, H. Design, synthesis and in vitro anticancer activity of novel quinoline and oxadiazole derivatives of ursolic acid. Bioorg. Med. Chem. Lett. 2017, 27, 4128–4132. [Google Scholar] [CrossRef] [PubMed]
- Gan, C.; Liu, L.; Cui, J.; Liu, Z.; Shi, H.; Lin, Q.; Sheng, H.; Yang, C.; Huang, Y. Synthesis of Some Steroidal Derivatives with Side Chain of 20- and 22- Hydrazone Aromatic Heterocycles and their Antiproliferative Activity. Med. Chem. 2017, 13, 375–383. [Google Scholar] [CrossRef]
- Yao, G.; Chen, H.; Chen, L.; Ge, M.; Yang, J.; Liu, W.; Xia, M.; Hayashi, T.; Guo, C.; Ikejima, T. Autophagy promotes apoptosis induction through repressed nitric oxide generation in the treatment of human breast cancer MCF-7 cells with L-A03, a dihydroartemisinin derivative. Med. Chem. Res. 2017, 26, 1427–1436. [Google Scholar] [CrossRef]
- Aly, A.A.; El-Sheref, E.M.; Bakheet, M.E.M.; Mourad, M.A.E.; Brase, S.; Ibrahim, M.A.A.; Nieger, M.; Garvalov, B.K.; Dalby, K.N.; Kaoud, T.S. Design, synthesis and biological evaluation of fused naphthofuro[3,2-c] quinoline-6,7,12-triones and pyrano[3,2-c]quinoline-6,7,8,13-tetraones derivatives as ERK inhibitors with efficacy in BRAF-mutant melanoma. Bioorg. Chem. 2019, 82, 290–305. [Google Scholar] [CrossRef]
- Sri Ramya, P.V.; Guntuku, L.; Angapelly, S.; Karri, S.; Digwal, C.S.; Babu, B.N.; Naidu, V.G.M.; Kamal, A. Curcumin inspired 2-chloro/phenoxy quinoline analogues: Synthesis and biological evaluation as potential anticancer agents. Bioorg. Med. Chem. Lett. 2018, 28, 892–898. [Google Scholar] [CrossRef]
- Taheri, S.; Nazifi, M.; Mansourian, M.; Hosseinzadeh, L.; Shokoohinia, Y. Ugi efficient synthesis, biological evaluation and molecular docking of coumarin-quinoline hybrids as apoptotic agents through mitochondria-related pathways. Bioorg. Chem. 2019, 91, 103147. [Google Scholar] [CrossRef]
- Lipeeva, A.V.; Zakharov, D.O.; Gatilov, Y.V.; Pokrovskii, M.A.; Pokrovskii, A.G.; Shults, E.E. Design and Synthesis of 3-(N-Substituted)aminocoumarins as Anticancer Agents from 3-Bromopeuruthenicin. ChemistrySelect 2019, 4, 10197–10201. [Google Scholar] [CrossRef]
- Shen, Q.K.; Deng, H.; Wang, S.B.; Tian, Y.S.; Quan, Z.S. Synthesis, and evaluation of in vitro and in vivo anticancer activity of 14-substituted oridonin analogs: A novel and potent cell cycle arrest and apoptosis inducer through the p53-MDM2 pathway. Eur. J. Med. Chem. 2019, 173, 15–31. [Google Scholar] [CrossRef]
- Zhao, W.; He, L.; Xiang, T.L.; Tang, Y.J. Discover 4beta-NH-(6-aminoindole)-4-desoxy-podophyllotoxin with nanomolar-potency antitumor activity by improving the tubulin binding affinity on the basis of a potential binding site nearby colchicine domain. Eur. J. Med. Chem. 2019, 170, 73–86. [Google Scholar] [CrossRef]
- Prashanth, T.; Avin, B.R.V.; Thirusangu, P.; Ranganatha, V.L.; Prabhakar, B.T.; Sharath Chandra, J.N.N.; Khanum, S.A. Synthesis of coumarin analogs appended with quinoline and thiazole moiety and their apoptogenic role against murine ascitic carcinoma. Biomed. Pharmacother. 2019, 112, 108707. [Google Scholar] [CrossRef] [PubMed]
- Jin, X.Y.; Chen, H.; Li, D.D.; Li, A.L.; Wang, W.Y.; Gu, W. Design, synthesis, and anticancer evaluation of novel quinoline derivatives of ursolic acid with hydrazide, oxadiazole, and thiadiazole moieties as potent MEK inhibitors. J. Enzyme Inhib. Med. Chem. 2019, 34, 955–972. [Google Scholar] [CrossRef] [PubMed]
- Yang, Y.T.; Du, S.; Wang, S.; Jia, X.; Wang, X.; Zhang, X. Synthesis of new steroidal quinolines with antitumor properties. Steroids 2019, 151, 108465. [Google Scholar] [CrossRef]
- Li, W.; Xu, F.; Shuai, W.; Sun, H.; Yao, H.; Ma, C.; Xu, S.; Yao, H.; Zhu, Z.; Yang, D.H.; et al. Discovery of Novel Quinoline-Chalcone Derivatives as Potent Antitumor Agents with Microtubule Polymerization Inhibitory Activity. J. Med. Chem. 2019, 62, 993–1013. [Google Scholar] [CrossRef] [PubMed]
- Jia, X.; Liu, Q.; Wang, S.; Zeng, B.; Du, G.; Zhang, C.; Li, Y. Synthesis, cytotoxicity, and in vivo antitumor activity study of parthenolide semicarbazones and thiosemicarbazones. Bioorg. Med. Chem. 2020, 28, 115557. [Google Scholar] [CrossRef]
- Hoenke, S.; Heise, N.V.; Kahnt, M.; Hans-Peter, D.; Rene, C. Betulinic acid derived amides are highly cytotoxic, apoptotic and selective. Eur. J. Med. Chem. 2020, 207, 112815. [Google Scholar] [CrossRef]
- Xu, Y.; Jing, D.; Zhao, D.; Wu, Y.; Lu, X.; Haroon, U.R.; Wang, H.; Wang, L.; Cao, H. New modification strategy of matrine as Hsp90 inhibitors based on its specific L conformation for cancer treatment. Bioorg. Med. Chem. 2020, 28, 115305. [Google Scholar] [CrossRef]
- Insuasty, D.; García, S.; Abonia, R.; Insuasty, B.; Quiroga, J.; Nogueras, M.; Cobo, J.; Borosky, G.L.; Laali, K.K. Design, synthesis, and molecular docking study of novel quinoline-based bis-chalcones as potential antitumor agents. Arch. Der Pharm. 2021, 354, 2100094. [Google Scholar] [CrossRef]
- Mohassab, A.M.; Hassan, H.A.; Abdelhamid, D.; Gouda, A.M.; Youssif, B.G.; Tateishi, H.; Fujita, M.; Otsuka, M.; Abdel-Aziz, M. Design and synthesis of novel quinoline/chalcone/1,2,4-triazole hybrids as potent antiproliferative agent targeting EGFR and BRAFV600E kinases. Bioorg. Chem. 2021, 106, 104510. [Google Scholar] [CrossRef]
- Zeng, B.; Cheng, Y.; Zheng, K.; Liu, S.; Shen, L.; Hu, J.; Li, Y.; Pan, X. Design, synthesis and in vivo anticancer activity of novel parthenolide and micheliolide derivatives as NF-κB and STAT3 inhibitors. Bioorg. Chem. 2021, 111, 104973. [Google Scholar] [CrossRef]
- Song, J.-R.; Li, N.; Li, D.-P. Synthesis and anti-proliferation activity of mogrol derivatives bearing quinoline and triazole moieties. Bioorg. Med. Chem. Lett. 2021, 421, 28090. [Google Scholar] [CrossRef]
- Shang, F.-F.; Wang, J.Y.; Xu, Q.; Deng, H.; Guo, H.-Y.; Jin, X.; Li, X.; Shen, Q.-K.; Quan, Z.-S. Design, synthesis of novel celastrol derivatives and study on their antitumor growth through HIF-1α pathway. Eur. J. Med. Chem. 2021, 220, 113474. [Google Scholar] [CrossRef]
- Dong, J.; Huang, G.; Cui, Q.; Meng, Q.; Li, S.; Cui, J. Discovery of heterocycle-containing α-naphthoflavone derivatives as water-soluble, highly potent and selective CYP1B1 inhibitors. Eur. J. Med. Chem. 2021, 209, 112895. [Google Scholar] [CrossRef] [PubMed]
- Guan, Y.; Liu, X.; Yuan, X.; Liu, W.; Li, Y.; Yu, G.; Tian, X.; Zhang, Y.; Song, J.; Li, W.; et al. Design, Synthesis, and Anticancer Activity Studies of Novel Quinoline-Chalcone Derivatives. Molecules 2021, 26, 4899. [Google Scholar] [CrossRef]
- Thorat, N.M.; Sarkate, A.P.; Lokwani, D.K.; Tiwari, S.V.; Azad, R.; Thopate, S.R. N-Benzylation of 6-aminoflavone by reductive amination and efficient access to some novel anticancer agents via topoisomerase II inhibition. Mol. Divers. 2021, 25, 937–948. [Google Scholar] [CrossRef] [PubMed]
- Jyothi, M.; Sherapura, A.; Khamees, H.A.; Prabhakar, B.T.; Khanum, S.A. Synthesis, structure analysis, DFT calculations and energy frameworks of new coumarin appended oxadiazoles, to regress ascites malignancy by targeting VEGF mediated angiogenesis. J. Mol. Struct. 2022, 1252, 132173. [Google Scholar] [CrossRef]
- Herrmann, L.; Yaremenko, I.A.; Capci, A.; Struwe, J.; Tailor, D.; Dheeraj, A.; Hodek, J.; Belyakova, Y.Y.; Radulov, P.S.; Weber, J.; et al. Synthesis and in vitro Study of Artemisinin/Synthetic Peroxide-Based Hybrid Compounds against SARS-CoV-2 and Cancer. ChemMedChem 2022, 17, e202200005. [Google Scholar] [CrossRef] [PubMed]
Disclaimer/Publisher’s Note: The statements, opinions and data contained in all publications are solely those of the individual author(s) and contributor(s) and not of MDPI and/or the editor(s). MDPI and/or the editor(s) disclaim responsibility for any injury to people or property resulting from any ideas, methods, instructions or products referred to in the content. |
© 2023 by the authors. Licensee MDPI, Basel, Switzerland. This article is an open access article distributed under the terms and conditions of the Creative Commons Attribution (CC BY) license (https://creativecommons.org/licenses/by/4.0/).
Share and Cite
Zhao, Y.-Q.; Li, X.; Guo, H.-Y.; Shen, Q.-K.; Quan, Z.-S.; Luan, T. Application of Quinoline Ring in Structural Modification of Natural Products. Molecules 2023, 28, 6478. https://doi.org/10.3390/molecules28186478
Zhao Y-Q, Li X, Guo H-Y, Shen Q-K, Quan Z-S, Luan T. Application of Quinoline Ring in Structural Modification of Natural Products. Molecules. 2023; 28(18):6478. https://doi.org/10.3390/molecules28186478
Chicago/Turabian StyleZhao, Yu-Qing, Xiaoting Li, Hong-Yan Guo, Qing-Kun Shen, Zhe-Shan Quan, and Tian Luan. 2023. "Application of Quinoline Ring in Structural Modification of Natural Products" Molecules 28, no. 18: 6478. https://doi.org/10.3390/molecules28186478
APA StyleZhao, Y.-Q., Li, X., Guo, H.-Y., Shen, Q.-K., Quan, Z.-S., & Luan, T. (2023). Application of Quinoline Ring in Structural Modification of Natural Products. Molecules, 28(18), 6478. https://doi.org/10.3390/molecules28186478

