Abstract
Nitrite (O=N-O−, NO2−) and nitrate (O=N(O)-O−, NO3−) are ubiquitous in nature. In aerated aqueous solutions, nitrite is considered the major autoxidation product of nitric oxide (●NO). ●NO is an environmental gas but is also endogenously produced from the amino acid L-arginine by the catalytic action of ●NO synthases. It is considered that the autoxidation of ●NO in aqueous solutions and in O2-containing gas phase proceeds via different neutral (e.g., O=N-O-N=O) and radical (e.g., ONOO●) intermediates. In aqueous buffers, endogenous S-nitrosothiols (thionitrites, RSNO) from thiols (RSH) such as L-cysteine (i.e., S-nitroso-L-cysteine, CysSNO) and cysteine-containing peptides such as glutathione (GSH) (i.e., S-nitrosoglutathione, GSNO) may be formed during the autoxidation of ●NO in the presence of thiols and dioxygen (e.g., GSH + O=N-O-N=O → GSNO + O=N-O− + H+; pKaHONO, 3.24). The reaction products of thionitrites in aerated aqueous solutions may be different from those of ●NO. This work describes in vitro GC-MS studies on the reactions of unlabeled (14NO2−) and labeled nitrite (15NO2−) and RSNO (RS15NO, RS15N18O) performed in pH-neutral aqueous buffers of phosphate or tris(hydroxyethylamine) prepared in unlabeled (H216O) or labeled H2O (H218O). Unlabeled and stable-isotope-labeled nitrite and nitrate species were measured by gas chromatography–mass spectrometry (GC-MS) after derivatization with pentafluorobenzyl bromide and negative-ion chemical ionization. The study provides strong indication for the formation of O=N-O-N=O as an intermediate of ●NO autoxidation in pH-neutral aqueous buffers. In high molar excess, HgCl2 accelerates and increases RSNO hydrolysis to nitrite, thereby incorporating 18O from H218O into the SNO group. In aqueous buffers prepared in H218O, synthetic peroxynitrite (ONOO−) decomposes to nitrite without 18O incorporation, indicating water-independent decomposition of peroxynitrite to nitrite. Use of RS15NO and H218O in combination with GC-MS allows generation of definite results and elucidation of reaction mechanisms of oxidation of ●NO and hydrolysis of RSNO.
1. Introduction
Nitric oxide (●NO) is an environmental gas originating from many sources including combustion and thunderstorms. In living organisms, nitric oxide synthases (NOSs) are expressed virtually in all types of cell and convert L-arginine to L-citrulline and ●NO using molecular oxygen (●O●2) as the second substrate and many cofactors [1]. ●NO produced in cells such as endothelial cells needs to reach the soluble guanylyl cyclase in other cells such as the smooth muscle cells or platelets in order to exert biological effects. ●NO is a potent vasodilator and inhibitor of platelet aggregation and functions as a neurotransmitter [1]. ●NO may react with numerous intra- and extra-cellular biomolecules. Autoxidation of ●NO, i.e., its reaction with ●O●2, occurs immediately at the site of its generation, and this decreases the concentration of ●NO. NOS and many other enzymes generate reactive oxygen species (ROS) such as the superoxide anion (O2●−) and hydrogen peroxide (H2O2). O2●− and H2O2 can react with ●NO before it can leave the cell. These reactions do not only decrease the concentration of ●NO, but they moreover produce reactive nitrogen species (RNS) such as peroxynitrite (ONOO−). Peroxynitrite is a strong oxidant and reacts with sulfhydryl (SH) groups in numerous low- and high-molecular-mass biomolecules.
Prior to the recognition of ●NO as an endogenous biomolecule, the oxidation of ●NO has been investigated in the gaseous (g) phase. The gas phase autoxidation of ●NO has the stoichiometry shown by Reaction (1) and Rate Law (2). Upon the recognition of ●NO as an endogenous signaling molecule about 35 years ago, the autoxidation of ●NO has been investigated in aqueous (aq) solutions [2,3,4,5,6,7,8,9]. The stoichiometry of the ●NO autoxidation in aqueous phases is given by Reaction (3) and its rate law by Expression (4) with 4kaq = 9 × 106 M−2s−1 at 25 °C [3]. Despite similar kinetics of the autoxidation of ●NO in the gas phase and in aqueous solutions, the reaction products differ: in aqueous solutions, nitrite is the sole autoxidation product of ●NO, whereas the reaction product formed in the gas phase is most likely ●NO2, which disproportionates upon dilution in aqueous solutions to nitrite and nitrate (5) [3]. In the presence of thiols, such as glutathione (GSH), in aqueous buffered solutions of ●NO and ●O●2, additional reaction products are formed. They include S-nitrosothiols or thionitrites (RSNOs) such as S-nitrosoglutathione (GSNO) and disulfides such as GSSG [10]. In the absence of ●O●2, neither GSNO nor GSSG formation has been observed. It has been hypothesized that not ●NO itself, but a ●NO-derived nitrosating intermediate, is formed, which reacts with GSH to form GSNO. This species has been proposed to be nitrous anhydride (N2O3) [10] (6), yet the structure of N2O3 has not been identified thus far [7], and the mechanisms of its formation in aqueous solutions are elusive. For N2O3, four isomeric structures have been suggested, including O=N-O-N=O and O=N-N+(=O)O− [11]. Further proposed intermediates occurring during the autoxidation of ●NO include O=N-O-O● and O=N-O-O-N=O [6,8,9]. Experiments performed at very low temperatures in non-aqueous systems, such as in glass-like matrixes of 2-methylbutane, suggested formation of yellow-colored (at 90 K, O=N-O-O●/●N=O and/or O=N-O-O●/O=N-O-O●) and red-colored (at 110 K, O=N-O-O-N=O or O=N-O-N(=O)O) intermediates [8,9]. Such species have not been detected in aqueous buffered solutions to date.
In the laboratory, RSNOs are prepared in aqueous solutions by mixing stoichiometric amounts of RSH and nitrite salts and by acidifying them with diluted acids such as HCl acid (Scheme 1) (7). Treatment of aqueous solutions of RSNO with a molar excess of an aqueous solution of HgCl2 leads to formation of nitrite (Scheme 1) (8). Both reactions are performed at room temperature. In cases of labile RSNO such as CysSNO, synthesis is preferably performed in an ice-bath (Scheme 1).
Scheme 1.
Simplified schematic presentation of (A) the chemical synthesis of S-nitroso-cysteinyl thiols (thionitrites, RSNO) from their thiols (RSH) and nitrite in aqueous solutions in the presence of diluted HCl acid and of (B) the HgCl2-induced hydrolysis of RSNO to the thiols and nitrite. CysSH, cysteine; GSH, glutathione; NACET, N-acetyl-cysteine ethyl ester. The corresponding S-nitrosothiols are S-nitroso-cysteine (CysSNO), S-nitroso-glutathione (GSNO), and S-nitroso-N-acetylcysteine ethyl ester (SNACET).
Generally, RSNOs are considered to be ●NO donors, yet this does not apply to every thionitrite. Thus, S-nitroso-L-cysteine (CysSNO) is an abundant “spontaneous” ●NO donor, whereas GSNO is not a ●NO donor. In phosphate buffer of neutral pH, as much as 50% of CysSNO may release ●NO [12], as can be specifically measured by NO-specific electrodes. The underlying mechanisms of ●NO release by RSNO are still incompletely resolved. Redox-active metal ions, most notably Cu2+/Cu1+, are extremely potent catalysts of the release of ●NO from CysSNO (9). Cu2+/Cu1+ are required in catalytic amounts and can be produced by small amounts of CysSH (10). It can, therefore, be assumed that the reaction products of S-nitrosothiols and possibly their intermediates in aqueous solutions may be different from those formed during the autoxidation of authentic ●NO.
2 ●N(II)=O(g) + ●O(±0)●2 → 2 ●N(+IV)O2(g)
−d[●NO]/dt = 2kg × [●NO]2 × [O2]
4 ●N(II)=O(aq) + ●O(±0)●2 + 2 H2O → 4 O=N(III)-O− + 4 H+
−d[●NO]/dt = 4kaq × [●NO]2 × [O2]
2 ●N(II)O2(aq) + H2O → O=N(III)-O− + [O=N(V)(-O)-O]− + 2 H+
GSH + N2O3 → GSNO + O=N-O− + H+
RSH + O=N-O− + H+ → RSNO + H2O
2 RSNO + 2 H2O + HgCl2(aq)+ → Hg(RS)2 + 2 O=N-O− + 2 Cl− + 4 H+
CysSN(III)O + Cu1+ + H2O+ → ●N(II)O + CysSH + Cu2+ + OH
CysS(−II)H + Cu2+ ←→ CysS(−I)● + Cu1+ + H+
In the present work, we investigated the reactions of L-cysteine-based RSNO and nitrite in aqueous buffers of neutral pH value by gas chromatography–mass spectrometry (GC-MS) in combination with the use of stable isotopes of O (natural abundance, 0.2% 18O) and N (natural abundance, 0.37% 15N) in RSNO, nitrite, and water (Scheme 1). The main analytes were unlabeled nitrite ([14N]nitrite), nitrite labeled with 15N ([15N]nitrite), and nitrite labeled with 15N and 18O (i.e., [15N, 18O]nitrite) (Scheme 2). The study provides strong indication for the formation of O=N-O-N=O as an intermediate during the autoxidation of ●NO derived from CysSNO in aqueous buffers of neutral pH value. In H218O, ●NO autoxidizes to 18O-nitrite and 16O-nitrite. In aqueous solutions, HgCl2 mediates the hydrolysis of the SNO groups of CysSNO and GSNO to 18O-nitrite and 16O-nitrite.
Scheme 2.
Simplified schematic of the (A) derivatization of nitrite and nitrate with pentafluorobenzyl (PFB) bromide to their nitro and nitric acid ester derivatives in aqueous solution, respectively, and (B) their negative-ion chemical ionization (NICI) in gas chromatography–mass spectrometry (GC-MS) to generate nitrite and nitrate, respectively. The PFB derivative of nitrate (PFB-ONO2) elutes before the PFB derivative of nitrite (PFB-NO2). Under NICI conditions, PFB-NO2 ionizes to form nitrite, whereas PFB-ONO2 ionizes to form nitrate (99.8%) and nitrite (0.2%) [13]. Methane is used as the reagent gas. m/z, mass-to-charge ratio.
2. Materials and Methods
2.1. Chemicals and Materials
Na15NO2 (98.5 atom% 15N) was from Cambridge Isotope Laboratories (Andover, MA, USA). Na15NO3 (98.5 atom% 15N) was from Sigma (Munich, Germany). 18O-Labeled water (95.5 atom% at 18O) was purchased from Campro-Scientific (Berlin, Germany). Tetramethylammonium peroxynitrite, [Me4N]+[ONOO]–, supplied as 1 mL portions of a 13.5 mM solution in 10 mM KOH (based on ε = 1700 M−1cm−1 at 302 nm in 10 mM KOH), was from Alexis (Grünberg, Germany). The stock solution of Me4N]+[ONOO]– was stored at −80 °C. All peroxynitrite-containing solutions were kept on ice in the dark (aluminum foil). Peroxynitrite solutions were used immediately after thawing [Me4N]+[ONOO]– without renewed refrigerating of the remaining sample. CysSH, GSH, GSSG, HgCl2, and pentafluorobenzyl (PFB) bromide were from Sigma-Aldrich (Munich, Germany). N-Acetylcysteine ethyl ester (NACET) was prepared as reported elsewhere [14]. K2HPO4, tris(hydroxymethyl)amino methane (Tris) and concentrated hydrochloric acid were obtained from Merck (Darmstadt, Germany). These salts were used to prepare 100 mM and 200 mM buffers of pH 7.4, respectively. Stock solutions of S-nitrosothiols were freshly prepared by combining equal volumes of ice-cold 10 mM solutions of nitrite and the thiols in distilled water and acidifying the samples by adding 10 µL aliquots of ice-cold 5 M HCl solutions followed by brief vortex mixing [15]. These samples were stored in an ice-bath in aluminum foil to avoid light-induced decomposition of the S-nitrosothiols and were used on the same day to prepare dilutions in the buffers. Li18OH was prepared by adding a weighed amount of elemental Li (stored in paraffin) to a small volume of H218O.
2.2. Experimental Conditions
All experiments were performed either in 100 mM K2HPO4 buffer or in 200 mM Tris buffer, both of pH 7.4, at room temperature (about 20–23 °C). For the sake of simplicity and comprehensibility, the experiments are described in detail in the Section 3.
2.3. Derivatization Procedure for Nitrite and Nitrate
Unlabeled and labeled nitrite and nitrate species were derivatized simultaneously with PFB bromide as described elsewhere [13] (Scheme 2), except for the sample volumes which varied (see Section 3). A constant sample–acetone volume ratio of 1:4 and a constant volume of toluene (1 mL) were used for the extraction of the PFB derivatives of the nitrite (PFB-NO2) and nitrate (PFB-ONO2) species.
2.4. GC-MS Analyses
Derivatized unlabeled and labeled nitrite and nitrate species were measured by GC-MS on an Agilent system model 5980 based on the quadrupole technology. An Optima 17 (15 m × 0.25 mm i.d., 0.25 µm film thickness) from Macherey-Nagel was used. Helium (70 kPa) and methane (200 Pa) were used as carrier and reactand gas, respectively. Aliquots (1 µL) of toluene extracts were injected in the splitless mode. Oven temperature was held at 70 °C for 1 min and then increased to 280 °C at a rate of 30 °C/min. Constant temperatures were kept at the ion source (180 °C), interface (280 °C), and injector (200 °C). Negative-ion chemical ionization (NICI) was used at an electron energy of 230 eV and an emission current of 300 µA (Scheme 2). Nitrite and nitrate species were analyzed in the selected-ion monitoring (SIM) mode using a dwell time of 50 ms for each ion (Table 1). The sum of peak area values of all ions monitored was set to 100%. Peak area values of selected ions were used to calculate their peak area ratio (PAR).
Table 1.
Pentafluorobenzyl derivatives of nitrite and nitrate species quantitated by selected-ion monitoring of specific mass-to-charge (m/z) ions. The 15N isotope (natural abundance, 0.37%); the 18O isotope (natural abundance, 0.2%).
3. Results
3.1. Hydrolysis of CysSNO and GSNO in H218O
A 200 µL aliquot of 200 mM Tris buffer, pH 7.4, was extensively evaporated to dryness under a stream of nitrogen gas. The solid residue was reconstituted in 200 µL H218O. After vortexing (highest stage), the sample was divided into four 50 µL aliquots. Two samples were spiked with CysSNO to reach a final added concentration of 100 µM (sample A, sample B). Yet another two samples were spiked with GSNO to reach final added concentrations of 100 µM (sample C, sample D). Subsequently, 2 µL aliquots of a 10 mM solution of HgCl2 in deionized water (H216O) were added to sample A and sample C at an approximate final concentration of 1 mM each. To allow complete HgCl2-induced decomposition of CysSNO and GSNO, the samples were incubated for 60 min at room temperature [15]. Samples B and D were incubated at room temperature for 3 h and 24 h, respectively, to allow for spontaneous decomposition of CysSNO and GSNO. At the end of the incubation, all samples were treated with PFB bromide to convert nitrite species to their PFB nitro derivatives. GC-MS analysis was performed by SIM of m/z 46, m/z 48, and m/z 50. The results of this experiment are summarized in Table 2.
Table 2.
Incorporation of 18O from H218O into nitrite upon incubation of unlabeled CysSNO and GSNO in 18O-prepared 200 mM Tris buffer, pH 7.4. Numbers in parentheses indicate the incubation time; the incubation time with HgCl2 was 1 h.
In Tris buffer, the half-life for CysSNO is about 7 min [15]. Immediate treatment of the 100 µM solution of CysSNO (0 h) in 18O-Tris buffer with HgCl2 (sample A) resulted in the formation of 18O=N-O−/O=N-18O− (m/z 48) and 16O=N-O−/O=N-16O− (m/z 46) with a peak area ratio (PAR) of 1:1.4. In this experiment, the formation of 18O=N-18O/18O=N-18O− (m/z 50) amounted to only 1%. This observation suggests that 18O from 18O-Tris buffer is incorporated into the SNO group of CysSNO induced by HgCl2.
In the case of sample B, i.e., in the absence of HgCl2, incubation resulted in the formation of 18O=N-O−/O=N-18O− (m/z 48) and 16O=N-16O (m/z 46) with a PAR of 1:1.4. The formation of 18O=N-18O− (m/z 50) amounted to 22%. This difference is likely to be due to the longer incubation time of 3 h and the absence of HgCl2. The incubation time of 3 h allows for complete decomposition of CysSNO to NO. The formation of m/z 46, m/z 48, and m/z 50 is likely to result in part by hydrolysis of the SNO group of intact CysSNO and in part due to autoxidation of CysSNO-derived to NO.
Incubation of GSNO in 18O-Tris buffer in the absence of HgCl2 (sample D) did not result in formation of 18O=N-O−/O=N-18O− (m/z 48) to an appreciable extent. This observation suggests that GSNO does not release NO nor hydrolyzes to 18O=N-O−/O=N-18O− in 18O-Tris buffer. In contrast, GSNO immediately treated with HgCl2 (sample C) resulted in the formation of 18O=N-O−/O=N-18O− (m/z 48) to an even greater extent compared to unlabeled nitrite (67% vs. 30%). Obviously, HgCl2 is required for the hydrolysis of the SNO group of GSNO to nitrite.
3.2. Hydrolysis of CysS15N18O and GS15N18O in H216O
The experiment described above was repeated with some modifications. Separate solutions (100 µL) of [15N]nitrite, CysSH, and GSH were prepared in 200 mM Tris buffer, pH 7.4. Then, the solvent was evaporated thoroughly under a stream of nitrogen. Subsequently, the [15N]nitrite samples were reconstituted in 100 µL aliquots of H218O, and these solutions were used to reconstitute the CysSH and GSH residues. CysS15N18O and GS15N18O were synthesized separately in these samples by adding 2.5 µL aliquots of 5 M HCl. After incubation for 5 min to complete CysS15N18O and GS15N18O, the samples were neutralized (pH 7 to 8) by adding 2.5 µL aliquots of 5 M Li18OH. Then, the CysS15N18O and GS15N18O samples were each divided into two 50 µL aliquots. Immediately thereafter, one CysS15N18O sample (sample A) and one GS15N18O sample (sample C) were each spiked with 10 µL of a 10 mM solution of HgCl2 prepared in H218O. The second CysS15N18O sample (sample B) and the second GS15N18O sample (sample D) were incubated at room temperature for 3 h and 24 h, respectively, to allow complete decomposition of these RSNOs. In addition, two [15N]nitrite samples were used as controls. One [15N]nitrite sample (sample E) was incubated for 5 min at room temperature in 200 mM 18O-Tris buffer, pH 7.4. The other [15N]nitrite sample (sample F) was incubated at room temperature in acidified (about pH 2) 200 mM 18O-Tris buffer. After PFB bromide derivatization, GC-MS analysis was performed for nitrite species by SIM. The results of this experiment are summarized in Table 3.
Table 3.
Incorporation of 18O from H218O into 15N-nitrite formed from CysS15N18O and GS15N18O in 200 mM Tris buffer, pH 7.4, prepared in H218O.
Immediate treatment of CysS15N18O (sample A) and GS15N18O (sample C) with HgCl2 (H218O) resulted in almost complete hydrolysis of the RSNO and formation of 18O=15N-16O/16O=15N-18O− (m/z 49) and of 18O=15N-18O− (m/z 51) with a PAR m/z 51 to m/z 49 of 1:1 for both RSNOs. Comparable results were obtained from the incubation of CysS15N18O in the absence of HgCl2 (sample B). In the case of sample D, GS15N18O (24 h) resulted in the formation of 18O=15N-16O−/16O=15N-18O− (m/z 49) and of 18O=15N-18O− (m/z 51) with a PAR of 2.3:1, suggesting higher incorporation of 18O into the S15N18O group of GS15N18O compared to CysS15N18O.
For comparison, [15N]nitrite was incubated in non-acidified 18O-Tris buffer (pH 7.4, sample E) and in acidified 18O-Tris buffer (pH 2.0, sample F). In non-acidified 18O-Tris buffer, there was little incorporation of 18O into [15N]nitrite, whereas the incorporation of 18O into [15N]nitrite in acidified 18O-Tris buffer (pH 2, sample F) was almost complete. Thus, in 18O-Tris buffer (pH 7.4) a small incorporation of 18O from Tris buffer into [15N]nitrite is possible, yet it is lower than in RSNO. Nitrite is the conjugate base of nitrous acid (HONO; pKa, 3.2), and HONO and/or its anhydride seems to be more easily accessible for hydrolysis than nitrite and RSNO.
3.3. HgCl2-Induced Hydrolysis of NACCysS14NO and NACCysS15NO in H216O/H218O Mixtures
In a further experiment, the HgCl2-induced hydrolysis of NACCysS14NO and NACCysS15NO was investigated in phosphate buffer of pH 7.4 using HgCl2 prepared in H216O/H218O mixtures.
An equimolar mixture of NACCysS14NO and NACCysS15NO was diluted in 100 mM K2HPO4 buffer, pH 7.4, to reach a final concentration of 238 µM. Aliquots (12.5 µL) of this solution were treated with 12.5 µL aliquots of HgCl2 solutions prepared in H216O/H218O mixtures. The H216O/H218O mixtures varied (v/v) as follows: sample A: 100:0; sample B, 100:5; sample C, 100:25; sample D, 100:100; sample E, 100:75; and sample F, 0:100. The final concentration of HgCl2 was constant at 3.33 mM. All samples were incubated for 10 min at room temperature and then derivatized with PFB bromide. GC-MS analysis was performed in the SIM mode. The results of this experiment are summarized in Table 4.
Table 4.
Incorporation of 18O from H218O into 14N- and 15N-nitrite formed from NACCysS14NO and NACCyS15NO in 100 mM potassium phosphate buffer, pH 7.4, in the presence of a 3.33 mM HgCl2 solution in H216O/H218O mixtures. n.d., not detected.
The 15N- to 14N-nitrite molar ratio (m/z 47 to m/z 46) was independent of the H216O/H218O final volume ratio in the samples and was determined to be 1.070 ± 0.045 (mean ± SD, n = 5). The molar ratios of m/z 48 to m/z 46 and of m/z 49 to m/z 47 increased with an increasing proportion of H218O in the samples. The increase was linear until a proportion of 37.5% of H218O in the sample. These observations suggest that 18O from H218O is incorporated almost to the same extent into 15N- to 14N-nitrite released from NACCysS15NO and NACCysS14NO, respectively.
In a further experiment, separate solutions of 14N-nitrite (500 µM), GS14NO (238 µM), and NACCysS14NO (100 µM) were prepared in 100 mM K2HPO4 buffer, pH 7.4, using H216O. From these solutions, 12.5 µL aliquots were treated with 12.5 µL aliquots of a 5 mM HgCl2 solution prepared in H218O. The final H216O:H218O volume ratio was constant at 1:1 (v/v). Derivatization and GC-MS analyses of these samples resulted in a PAR m/z 46 to m/z 48 of 51:1 for 14N-nitrite, 1.25:1 for GS14NO, and 1.84:1 for NACCysS14NO. These data suggest considerable incorporation of 18O from H218O into 14N-nitrite derived from GS14NO and NACCysS14NO, but not into authentic 14N-nitrite.
3.4. Decomposition and Isomerization of Synthetic Peroxynitrite in H218O
Similar experiments were performed with freshly prepared dilutions of commercially available peroxynitrite (i.e., tetramethylammonium peroxynitrite; 100 µM) in 0.2 M Tris buffer and in 0.1 M potassium phosphate buffer (each of pH 7.4). They resulted in formation of 18O-labeled nitrite and 18O-labeled nitrate to the same very low extent, closely comparable to that obtained using solutions of synthetic nitrite and nitrate (each at 100 µM) in pH-neutral 0.2 M Tris buffer and 0.1 M potassium phosphate buffer. 18O incorporation was very low even in the buffers prepared in 100% H218O for long incubation times (up to 60 min). These results suggest that water is not involved in the decomposition of peroxynitrite to nitrite and isomerization of peroxynitrite to nitrate in aqueous buffers of neutral pH value. Synthetic peroxynitrite was found to decompose to nitrite and to isomerize to nitrate with a stoichiometry of 1:1 [16] (11). Decomposition of peroxynitrite to nitrite and dioxygen with a stoichiometry of 2:1 been reported by others [17].
4 [O=N(III)-O(−I)-O(−I)]− → 2 [O=N(III)-O(−II)]− + 2 [O=N(V)(-O(−II))-O(−II)]− + O(±0)2
3.5. Effects of GSH on Reaction of Synthetic Peroxynitrite in H218O
GSH and other thiols such as CysSH react with peroxynitrite [15]. Known reaction products of peroxynitrite and GSH are GSNO, oxidized GSH, i.e., GSH disulfide (GSSG), nitrite, and nitrate. As shown above, in the absence of GSH, peroxynitrite decomposes to nitrite and isomerizes to nitrate. In the presence of GSH, peroxynitrite increasingly decomposes to nitrite at the cost of its isomerization product nitrate (11).
The reaction of peroxynitrite with GSH was investigated in aqueous buffers prepared in H218O. At a concentration of 5 mM GSH, no incorporation of 18O from H218O into nitrite or nitrate from decomposed peroxynitrite (100 µM) was observed. For comparison, the same experiment was performed with nitrite (100 µM) instead of peroxynitrite. Linear regression analysis between the PAR of m/z 48 to m/z 46 (y1) or the PAR of m/z 50 to m/z 46 (y2) and the percentage content of H218O (x) was performed. The regression equations were y1 = 2 × 10−3 + 4.9 × 10−4 x (r2 = 0.984) and y2 =2 × 10−5 + 1.9 × 10−4 x (r2 = 0.944) for peroxynitrite. The corresponding regression equations were y1 = 4 × 10−3 + 5.3 × 10−4 x (r2 = 0.9967) and y2 = 8 × 10−5 + 2.6 × 10−5 x (r2 = 0.958) for nitrite. These very similar results suggest that in aqueous buffer of neutral pH, peroxynitrite is converted to nitrite (decomposition) without the participation of water.
In the presence of GSH, the peroxy group of peroxynitrite is reduced to yield nitrite and GSSG via intermediate formation of GSOH (12a). GSOH further reacts with GSH to form GSSG (12b). GSSG is the major reaction product of GSH with peroxynitrite [16]. 18O=14N-18O− (m/z 50) was formed from the reaction of GSH with peroxynitrite in H218O to a very low extent which was, however, higher than the incorporation of 18O into authentic nitrite. This could be due to the occurrence of additional much less abundant reactions such as the formation of GSNO (12) and ●NO.
2 GS(−II)H + [O=N(III)-O(−I)O(−I)]− → GS(−I)S(−I)G + [O=N(III)-O(−II) ]− + H2O
GS(−II)H + [O=N(III)-O(−I)O(−I)]− → GS(±0)OH + [O=N(III)-O(−II)]−
GS(−II)H + GS(±0)OH → GS(−I)S(−I)G + H2O
4. Discussion
The elements H, C, N, and O are mixtures of stable isotopes. The natural abundance of their heavier isotopes amounts to 0.0145% 2H, 1.06% 13C, 0.366% 15N, and 0.2% 18O. Analytes “labeled” with stable isotopes of these elements can be separated from their “unlabeled” analogs by mass spectrometry (MS). Stable-isotope-labeled compounds are useful as internal standards in MS-based quantitative chemical analysis, because they have almost identical physicochemical properties. The only difference is the formation of ions with different mass-to-charge (m/z) ratios, which is utilized in mass spectrometers for their separation.
Another important topic of application of stable isotopes is qualitative and quantitative physical, chemical, biochemical, and biomedical research. The present work demonstrates the unique utility of the use of stable isotopes to perform mechanistic studies on reactions of ●NO and its metabolites S-nitrosothiols (RSNOs), peroxynitrite, nitrite, and nitrate and to obtain definite results. In these studies, H218O was used in combination with a highly specific GC-MS method [13] for the simultaneous measurement of nitrite and nitrate species that contain 14N, 15N, 16O, or 18O in their molecules. The GC-MS method uses simultaneous derivatization of nitrite and nitrate in aqueous buffers with PFB bromide, methane negative-ion chemical ionization of the PFB derivatives to nitrite and nitrate, their separation on a single quadrupole GC-MS apparatus, and detection by an electron multiplier (Scheme 2). Nitrite and nitrate are ubiquitous, i.e., they are present as contaminations in the laboratory, at concentrations lying in the lower µM range. The high specificity and sensitivity of the GC-MS method and the relatively low natural abundance of 15N and 18O enable performance of experiments using small amounts (volumes) of H218O and relatively small quasi-physiological concentrations of reactands. These features help overcome the ubiquity of nitrite and nitrate contaminations. H218O is a quite expensive solvent. This is an issue and may limit the number of replicates. However, the information gained by such experiments overwhelms potential limitations.
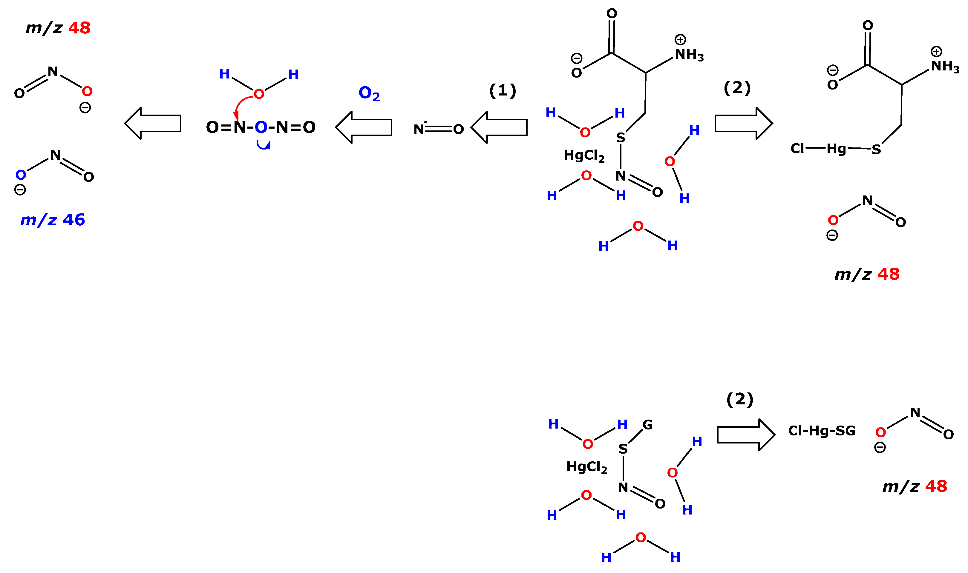
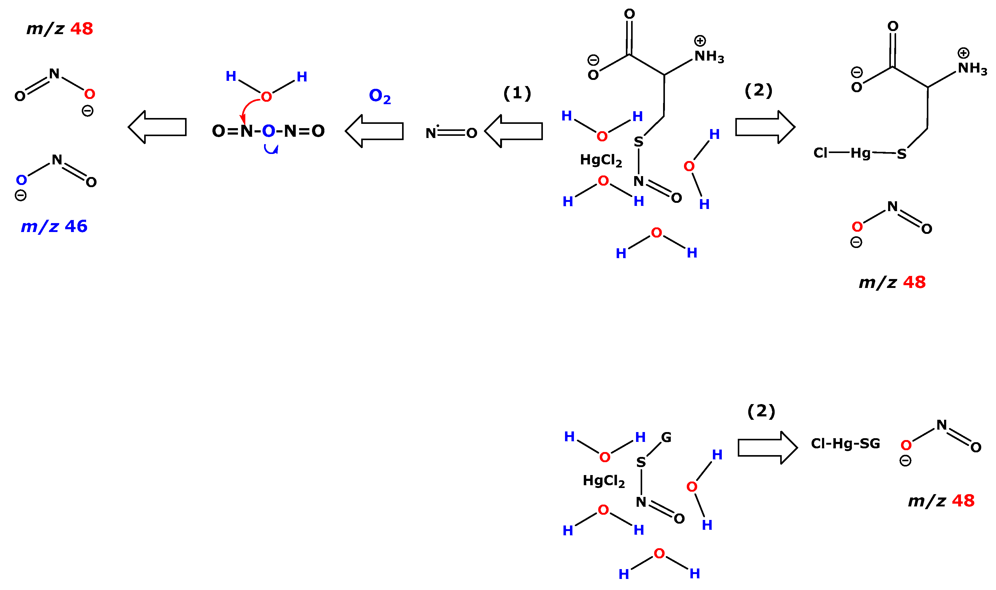
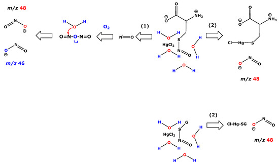
The results presented in the current study unequivocally demonstrate that H218O is involved in the generation of nitrite from RSNO, in part via autoxidation of ●NO and hydrolysis of the unisolable intermediate N2O3, the anhydride of nitrous acid. This is the case in CycSNO (Scheme 3). GSNO is neither a ●NO donor nor hydrolyzes to nitrite. In high molar excess, HgCl2 in aqueous solution mediates the hydrolysis of the SNO group of CysSNO and GSNO (Scheme 3) as well as of NACCysSNO and most likely of every RSNO. There is indication that the Hg(II) ion in HgCl2 used in the experiments forms a hydratation shell with several H218O molecules (Scheme 3). Literature reports support this observation, indicating that the first solvation shell of Hg2+ ions may contain 6 to 24 water molecules [18,19,20,21,22,23,24]. Experiments with H218O should consider possible effects of hydratation of reagents used to prepare buffers and solutions of chemicals, which may potentially form stable hydratation shells with H216O that are difficult to be completely displaced by H218O.
Scheme 3.
Proposed mechanisms for the incorporation of 18O from H218O into (1) nitrous anhydride (N2O3) from autoxidized NO formed from decomposed CysSNO and into (2) the SNO groups of CysSNO (upper panel) and GSNO (lower panel) mediated by aqueous HgCl2. GSNO is not a NO donor. In its H218O solutions, HgCl2 forms a hydratation shell with H218O, which attacks the SNO groups of CysSNO and GSNO to form 18O-labeled nitrite.
5. Conclusions
Currently, simultaneous analysis of nitrite and nitrate is best performed by GC-MS after simultaneous derivatization with pentafluorobenzyl bromide and negative-ion chemical ionization. This is a unique technique to detect nitrite and nitrate anions as they occur in biological samples. The combination of this GC-MS approach with the use of buffers prepared in H218O enables generation of definite results in mechanistic studies allowing elucidation. In H218O buffers of neutral pH, S-nitroso-cysteine (CysSNO) decomposes to form 18O-nitrite, indicating the involvement of water. This is not the case for S-nitroso-glutathione (GSNO). HgCl2 mediates the hydrolysis of the SNO groups of CysSNO and GSNO. Aqueous solutions of HgCl2 are likely to form Hg2+ ions solvated with H216O and H218O, and this “isotope effect” may influence the outcome of hydrolysis studies.
Funding
This study was in part supported by the Deutsche Forschungsgemeinschaft (Grant TS 60/2-1 and TS 60/4-1).
Institutional Review Board Statement
Not applicable.
Informed Consent Statement
Not applicable.
Data Availability Statement
Not applicable.
Acknowledgments
Parts of the results reported here have been taken from previous work performed in the author’s group by C.S. Rossa [25] and K. Denker [26] within the framework of their medical theses.
Conflicts of Interest
The author declares no conflict of interest.
Sample Availability
Not available.
References
- Tsikas, D. A critical review and discussion of analytical methods in the L-arginine/nitric oxide area of basic and clinical research. Anal. Biochem. 2008, 379, 139–163. [Google Scholar] [CrossRef] [PubMed]
- Wink, D.A.; Darbyshire, J.F.; Nims, R.W.; Saavedra, J.E.; Ford, P.C. Reactions of the bioregulatory agent nitric oxide in oxygenated aqueous media: Determination of the kinetics for oxidation and nitrosation by intermediates generated in the NO/O2 reaction. Chem. Res. Toxicol. 1993, 6, 23–27. [Google Scholar] [CrossRef] [PubMed]
- Ford, P.C.; Wink, D.A.; Stanbury, D.M. Autoxidation kinetics of aqueous nitric oxide. FEBS Lett. 1993, 326, 1–3. [Google Scholar] [CrossRef] [PubMed]
- Kharitonov, V.G.; Sundquist, A.R.; Sharma, V.S. Kinetics of nitric oxide autoxidation in aqueous solution. J. Biol. Chem. 1994, 269, 5881–5883. [Google Scholar] [CrossRef] [PubMed]
- Wink, D.A.; Nims, R.W.; Darbyshire, J.F.; Christodoulou, D.; Hanbauer, I.; Cox, G.W.; Laval, F.; Laval, J.; Cook, J.A. Reaction kinetics for nitrosation of cysteine and glutathione in aerobic nitric oxide solutions at neutral pH. Insights into the fate and physiological effects of intermediates generated in the NO/O2 reaction. Chem. Res. Toxicol. 1994, 17, 519–525. [Google Scholar] [CrossRef]
- Caccia, S.; Denisov, I.; Perrella, M. The kinetics of the reaction between NO and O2 as studied by a novel approach. Biophys. Chem. 1999, 76, 63–72. [Google Scholar] [CrossRef] [PubMed]
- Nedospasov, A.A. Is N2O3 the main nitrosating intermediate in aerated nitric oxide (NO) solutions in vivo? If so, where, when, and which one? J. Biochem. Mol. Toxicol. 2002, 16, 109–120. [Google Scholar] [CrossRef]
- Galliker, B.; Kissner, R.; Nauser, T.; Koppenol, W.H. Intermediates in the autoxidation of nitrogen monoxide. Chemistry 2009, 15, 6161–6168. [Google Scholar] [CrossRef]
- Mahmoudi, L.; Kissner, R.; Koppenol, W.H. Low-temperature trapping of intermediates in the reaction of NO• with O2. Inorg. Chem. 2017, 56, 4846–4851. [Google Scholar] [CrossRef]
- Kharitonov, V.G.; Sundquist, A.R.; Sharma, V.S. Kinetics of nitrosation of thiols by nitric oxide in the presence of oxygen. J. Biol. Chem. 1995, 270, 28158–28164. [Google Scholar] [CrossRef]
- Vitturi, D.A.; Minarrieta, L.; Salvatore, S.R.; Postlethwait, E.M.; Fazzari, M.; Ferrer-Sueta, G.; Lancaster, J.R., Jr.; Freeman, B.A.; Schopfer, F.J. Convergence of biological nitration and nitrosation via symmetrical nitrous anhydride. Nat. Chem. Biol. 2015, 11, 504–510. [Google Scholar] [CrossRef] [PubMed]
- Tsikas, D. Methods of quantitative analysis of the nitric oxide metabolites nitrite and nitrate in human biological fluids. Free. Radic. Res. 2005, 39, 797–815. [Google Scholar] [CrossRef]
- Tsikas, D. Simultaneous derivatization and quantification of the nitric oxide metabolites nitrite and nitrate in biological fluids by gas chromatography/mass spectrometry. Anal. Chem. 2000, 72, 4064–4072. [Google Scholar] [CrossRef] [PubMed]
- Tsikas, D.; Dehnert, S.; Urban, K.; Surdacki, A.; Meyer, H.H. GC-MS analysis of S-nitrosothiols after conversion to S-nitroso-N-acetyl cysteine ethyl ester and in-injector nitrosation of ethyl acetate. J. Chromatogr. B Analyt Technol. Biomed. Life Sci. 2009, 877, 3442–3455. [Google Scholar] [CrossRef]
- Tsikas, D.; Sandmann, J.; Rossa, S.; Gutzki, F.M.; Frölich, J.C. Investigations of S-transnitrosylation reactions between low- and high-molecular-weight S-nitroso compounds and their thiols by high-performance liquid chromatography and gas chromatography-mass spectrometry. Anal. Biochem. 1999, 270, 231–241. [Google Scholar] [CrossRef] [PubMed]
- Tsikas, D. GC-MS and HPLC methods for peroxynitrite (ONOO- and O15NOO-) analysis: A study on stability, decomposition to nitrite and nitrate, laboratory synthesis, and formation of peroxynitrite from S-nitrosoglutathione (GSNO) and KO2. Analyst 2011, 136, 979–987. [Google Scholar] [CrossRef]
- Pfeiffer, S.; Gorren, A.C.; Schmidt, K.; Werner, E.R.; Hansert, B.; Bohle, D.S.; Mayer, B. Metabolic fate of peroxynitrite in aqueous solution. Reaction with nitric oxide and pH-dependent decomposition to nitrite and oxygen in a 2:1 stoichiometry. J. Biol. Chem. 1997, 272, 3465–3470. [Google Scholar] [CrossRef]
- Chillemi, G.; Mancini, G.; Sanna, N.; Barone, V.; Della Longa, S.; Benfatto, M.; Pavel, N.V.; D’Angelo, P. Evidence for sevenfold coordination in the first solvation shell of Hg(II) aqua ion. J. Am. Chem. Soc. 2007, 129, 5430–5436. [Google Scholar] [CrossRef]
- Sobolev, O.; Cuello, G.J.; Román-Ross, G.; Skipper, N.T.; Charlet, L. Hydration of Hg2+ in aqueous solution studied by neutron diffraction with isotopic substitution. J. Phys. Chem. A 2007, 111, 5123–5125. [Google Scholar] [CrossRef]
- Mancini, G.; Sanna, N.; Barone, V.; Migliorati, V.; D’Angelo, P.; Chillemi, G. Structural and dynamical properties of the Hg2+ aqua ion: A molecular dynamics study. J. Phys. Chem. B 2008, 112, 4694–4702. [Google Scholar] [CrossRef]
- Castro, L.; Dommergue, A.; Renard, A.; Ferrari, C.; Ramirez-Solis, A.; Maron, L. Theoretical study of the solvation of HgCl2, HgClOH, Hg(OH)2 and HgCl3(−): A density functional theory cluster approach. Phys. Chem. Chem. Phys. 2011, 13, 16772–16779. [Google Scholar] [CrossRef] [PubMed]
- Amaro-Estrada, J.I.; Maron, L.; Ramírez-Solís, A. Aqueous solvation of Hg(OH)2: Energetic and dynamical density functional theory studies of the Hg(OH)2-(H2O)n (n = 1–24) structures. J. Phys. Chem. A 2013, 117, 9069–9075. [Google Scholar] [CrossRef]
- Afaneh, A.T.; Schreckenbach, G.; Wang, F. Theoretical study of the formation of mercury (Hg2+) complexes in solution using an explicit solvation shell in implicit solvent calculations. J. Phys. Chem. B 2014, 118, 11271–11283. [Google Scholar] [CrossRef] [PubMed]
- Amaro-Estrada, J.I.; Maron, L.; Ramírez-Solís, A. Aqueous solvation of HgClOH. Stepwise DFT solvation and Born-Oppenheimer molecular dynamics studies of the HgClOH-(H2O)24 complex. Phys. Chem. Chem. Phys. 2014, 16, 8455–8464. [Google Scholar] [CrossRef] [PubMed]
- Rossa, C.S. Chemistry, Biochemistry and Pharmacology of Low-Molecular-Mass S-Nitroso Compounds and S-Nitroso-Albumin. Ph.D. Thesis, Hannover Medical School, Hannover, Germany, 1997. [Google Scholar]
- Denker, K. Chemistry and Biochemistry of Peroxynitrite. Ph.D. Thesis, Hannover Medical School, Hannover, Germany, 2006. [Google Scholar]
Disclaimer/Publisher’s Note: The statements, opinions and data contained in all publications are solely those of the individual author(s) and contributor(s) and not of MDPI and/or the editor(s). MDPI and/or the editor(s) disclaim responsibility for any injury to people or property resulting from any ideas, methods, instructions or products referred to in the content. |
© 2023 by the author. Licensee MDPI, Basel, Switzerland. This article is an open access article distributed under the terms and conditions of the Creative Commons Attribution (CC BY) license (https://creativecommons.org/licenses/by/4.0/).


