An Expeditious Approach towards the Synthesis and Application of Water-Soluble and Photostable Fluorogenic Chromones for DNA Detection
Abstract
:1. Introduction
2. Results and Discussion
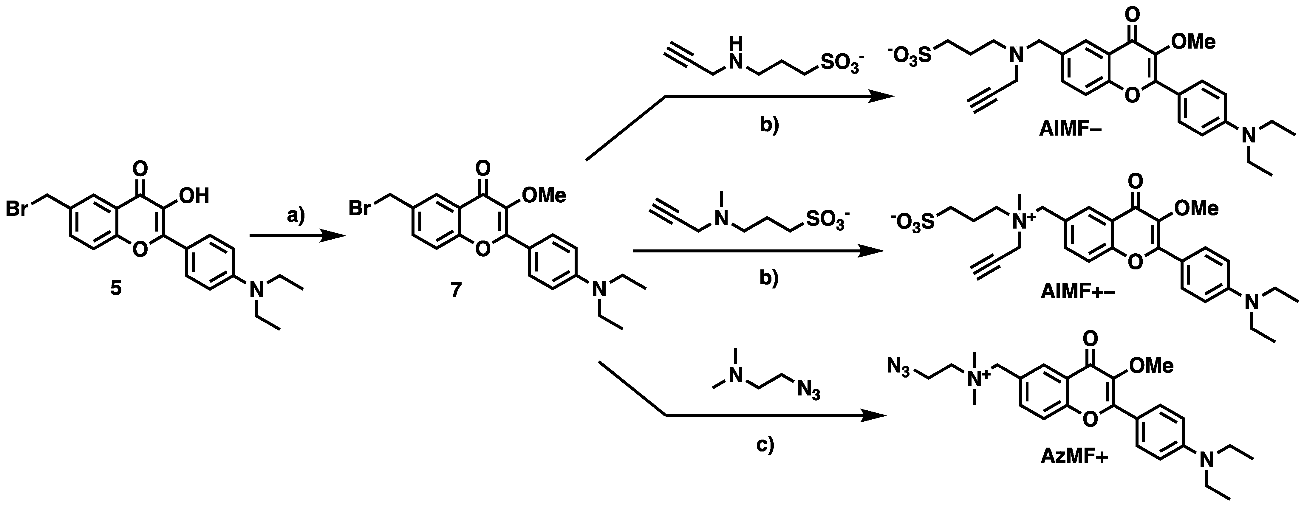
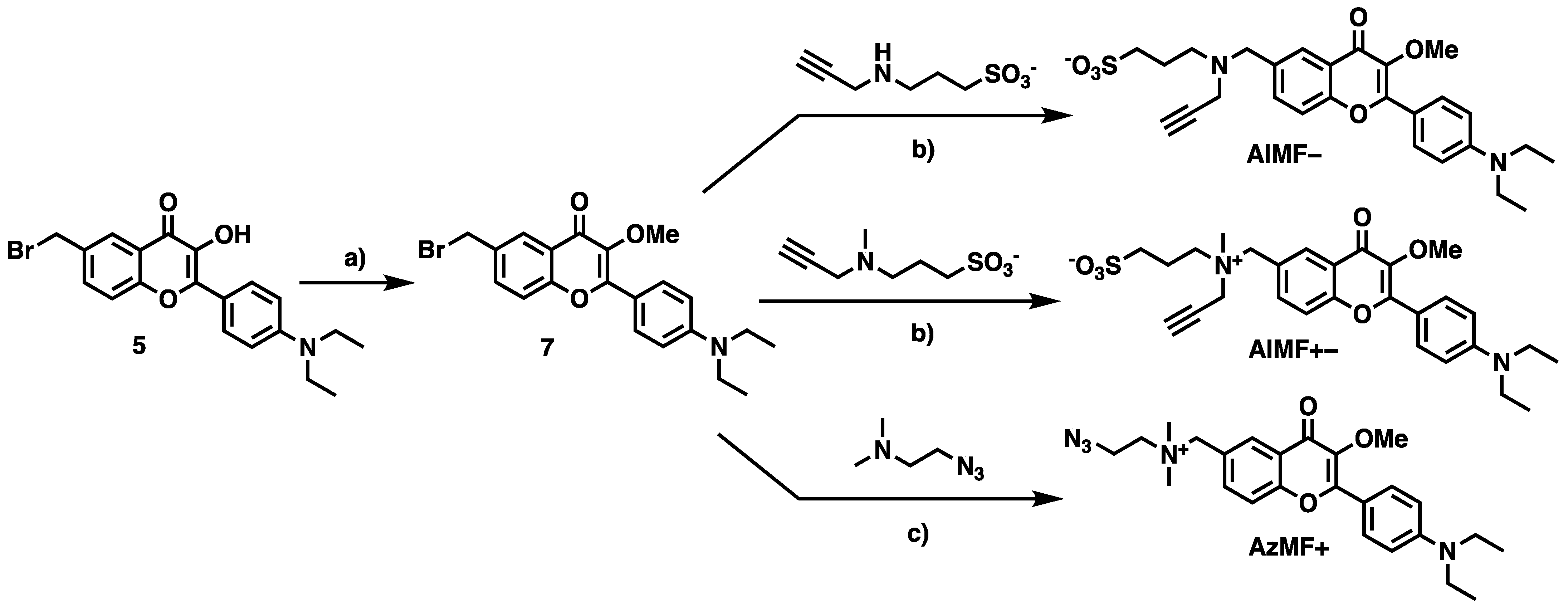
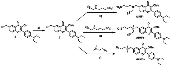
2.1. Synthesis
2.2. Photophysics
2.3. Spectroscopic Studies of Labeled ODNs
3. Materials and Methods
3.1. General Procedures
3.2. Synthetic Procedures
4. Conclusions
Supplementary Materials
Author Contributions
Funding
Institutional Review Board Statement
Informed Consent Statement
Data Availability Statement
Acknowledgments
Conflicts of Interest
Sample Availability
References
- Michel, B.Y.; Dziuba, D.; Benhida, R.; Demchenko, A.P.; Burger, A. Probing of Nucleic Acid Structures, Dynamics, and Interactions With Environment-Sensitive Fluorescent Labels. Front. Chem. 2020, 8, 112. [Google Scholar] [CrossRef] [Green Version]
- Braselmann, E.; Rathbun, C.; Richards, E.M.; Palmer, A.E. Illuminating RNA Biology: Tools for Imaging RNA in Live Mammalian Cells. Cell Chem. Biol. 2020, 27, 891–903. [Google Scholar] [CrossRef]
- Tomoike, F.; Abe, H. RNA imaging by chemical probes. Adv. Drug Deliv. Rev. 2019, 147, 44–58. [Google Scholar] [CrossRef]
- Jullien, L.; Gautier, A. Fluorogen-based reporters for fluorescence imaging: A review. Methods Appl. Fluoresc. 2015, 3, 042007. [Google Scholar] [CrossRef] [PubMed]
- Klymchenko, A.S. Solvatochromic and Fluorogenic Dyes as Environment-Sensitive Probes: Design and Biological Applications. Acc. Chem. Res. 2017, 50, 366–375. [Google Scholar] [CrossRef] [Green Version]
- Suseela, Y.V.; Narayanaswamy, N.; Pratihar, S.; Govindaraju, T. Far-red fluorescent probes for canonical and non-canonical nucleic acid structures: Current progress and future implications. Chem. Soc. Rev. 2018, 47, 1098–1131. [Google Scholar] [CrossRef] [PubMed]
- Lakowicz, J.R. Principles of Fluorescence Spectroscopy, 3rd ed.; Springer: New York, NY, USA, 2006; p. 954. [Google Scholar] [CrossRef]
- Wang, Y.-N.; Xu, B.; Qiu, L.-H.; Sun, R.; Xu, Y.-J.; Ge, J.-F. Viscosity sensitive fluorescent dyes with excellent photostability based on hemicyanine dyes for targeting cell membrane. Sens. Actuators B 2021, 337, 129787. [Google Scholar] [CrossRef]
- Cao, J.; Hu, C.; Liu, F.; Sun, W.; Fan, J.; Song, F.; Sun, S.; Peng, X. Mechanism and Nature of the Different Viscosity Sensitivities of Hemicyanine Dyes with Various Heterocycles. ChemPhysChem 2013, 14, 1601–1608. [Google Scholar] [CrossRef]
- Köhler, O.; Jarikote, D.V.; Singh, I.; Parmar, V.S.; Weinhold, E.; Seitz, O. Forced intercalation as a tool in gene diagnostics and in studying DNA–protein interactions. Pure Appl. Chem. 2005, 77, 327–338. [Google Scholar] [CrossRef]
- Hövelmann, F.; Gaspar, I.; Chamiolo, J.; Kasper, M.; Steffen, J.; Ephrussi, A.; Seitz, O. LNA-enhanced DNA FIT-probes for multicolour RNA imaging. Chem. Sci. 2016, 7, 128–135. [Google Scholar] [CrossRef] [Green Version]
- Hövelmann, F.; Seitz, O. DNA Stains as Surrogate Nucleobases in Fluorogenic Hybridization Probes. Acc. Chem. Res. 2016, 49, 714–723. [Google Scholar] [CrossRef]
- Okamoto, A. ECHO probes: A concept of fluorescence control for practical nucleic acid sensing. Chem. Soc. Rev. 2011, 40, 5815–5828. [Google Scholar] [CrossRef] [PubMed]
- Chou, P.-T.; Martinez, M.L.; Clements, J.H. The observation of solvent-dependent proton-transfer/charge-transfer lasers from 4’-diethylamino-3-hydroxyflavone. Chem. Phys. Lett. 1993, 204, 395–399. [Google Scholar] [CrossRef]
- Klymchenko, A.S.; Ozturk, T.; Demchenko, A.P. Synthesis of furanochromones: A new step in improvement of fluorescence properties. Tetrahedron Lett. 2002, 43, 7079–7082. [Google Scholar] [CrossRef]
- Howard, J.J.; Lynch, G.C.; Pettitt, B.M. Ion and solvent density distributions around canonical B-DNA from integral equations. J. Phys. Chem. B 2011, 115, 547–556. [Google Scholar] [CrossRef] [Green Version]
- Barthes, N.P.F.; Gavvala, K.; Dziuba, D.; Bonhomme, D.; Karpenko, I.A.; Dabert-Gay, A.S.; Debayle, D.; Demchenko, A.P.; Benhida, R.; Michel, B.Y.; et al. Dual emissive analogue of deoxyuridine as a sensitive hydration-reporting probe for discriminating mismatched from matched DNA and DNA/DNA from DNA/RNA duplexes. J. Mater. Chem. C 2016, 4, 3010–3017. [Google Scholar] [CrossRef]
- Kucherak, O.A.; Richert, L.; Mély, Y.; Klymchenko, A.S. Dipolar 3-methoxychromones as bright and highly solvatochromic fluorescent dyes. Phys. Chem. Chem. Phys. 2012, 14, 2292–2300. [Google Scholar] [CrossRef] [PubMed]
- Fantoni, N.Z.; El-Sagheer, A.H.; Brown, T. A Hitchhiker’s Guide to Click-Chemistry with Nucleic Acids. Chem. Rev. 2021, 121, 7122–7154. [Google Scholar] [CrossRef] [PubMed]
- Amblard, F.; Cho, J.H.; Schinazi, R.F. Cu(l)-catalyzed huisgen azide-alkyne 1,3-dipolar cycloaddition reaction in nucleoside, nucleotide, and oligonucleotide chemistry. Chem. Rev. 2009, 109, 4207–4220. [Google Scholar] [CrossRef] [Green Version]
- Le, H.-N.; Zilio, C.; Barnoin, G.; Barthes, N.P.F.; Guigonis, J.-M.; Martinet, N.; Michel, B.Y.; Burger, A. Rational design, synthesis, and photophysics of dual-emissive deoxyadenosine analogs. Dyes Pigments 2019, 170, 107553. [Google Scholar] [CrossRef]
- Dziuba, D.; Benhida, R.; Burger, A. A Mild and Efficient Protocol for the Protection of 3-Hydroxychromones Under Phase-Transfer Catalysis. Synthesis 2011, 47, 2159–2164. [Google Scholar] [CrossRef]
- Kolb, H.C.; Finn, M.G.; Sharpless, K.B. Click Chemistry: Diverse Chemical Function from a Few Good Reactions. Angew. Chem. Int. Ed. 2001, 40, 2004–2021. [Google Scholar] [CrossRef]
- Dean, F.M.; Podimuang, V. 737. The course of the Algar–Flynn–Oyamada (A.F.O.) reaction. J. Chem. Soc. 1965, 3978–3987. [Google Scholar] [CrossRef]
- Nemkovich, N.A.; Baumann, W.; Pivovarenko, V.G. Dipole moments of 4′-aminoflavonols determined using electro-optical absorption measurements of molecular Stark-effect spectroscopy. J. Photochem. Photobiol. A 2002, 153, 19–24. [Google Scholar] [CrossRef]
- Klymchenko, A.S.; Demchenko, A.P. Electrochromic Modulation of Excited-State Intramolecular Proton Transfer: The New Principle in Design of Fluorescence Sensors. J. Am. Chem. Soc. 2002, 124, 12372–12379. [Google Scholar] [CrossRef]
- Ivancová, I.; Leone, D.-L.; Hocek, M. Reactive modifications of DNA nucleobases for labelling, bioconjugations, and cross-linking. Curr. Opin. Chem. Biol. 2019, 52, 136–144. [Google Scholar] [CrossRef] [PubMed]
- Ormson, S.M.; Brown, R.G.; Vollmer, F.; Rettig, W. Switching between charge-and proton-transfer emission in the excited state of a substituted 3-hydroxyflavone. J. Photochem. Photobiol. A 1994, 81, 65–72. [Google Scholar] [CrossRef]
- Dziuba, D.; Didier, P.; Ciaco, S.; Barth, A.; Seidel, C.A.M.; Mély, Y. Fundamental photophysics of isomorphic and expanded fluorescent nucleoside analogues. Chem. Soc. Rev. 2021, 50, 7062–7107. [Google Scholar] [CrossRef]
- Hainke, S.; Seitz, O. Binaphthyl-DNA: Stacking and Fluorescence of a Nonplanar Aromatic Base Surrogate in DNA. Angew. Chem. Int. Ed. 2009, 48, 8250–8253. [Google Scholar] [CrossRef]
- Armarego, W.L.F.; Chai, C.L.L. Purification of Laboratory Chemicals, 8th ed.; Butterworth-Heinemann: Oxford, UK, 2017; p. 1024. [Google Scholar] [CrossRef]
- Still, W.C.; Kahn, M.; Mitra, A. Rapid chromatographic technique for preparative separations with moderate resolution. J. Org. Chem. 1978, 43, 2923–2925. [Google Scholar] [CrossRef]
- Fulmer, G.R.; Miller, A.J.M.; Sherden, N.H.; Gottlieb, H.E.; Nudelman, A.; Stoltz, B.M.; Bercaw, J.E.; Goldberg, K.I. NMR Chemical Shifts of Trace Impurities: Common Laboratory Solvents, Organics, and Gases in Deuterated Solvents Relevant to the Organometallic Chemist. Organometallics 2010, 29, 2176–2179. [Google Scholar] [CrossRef] [Green Version]
- Wulff, G.; Akelah, A. Enzyme-analogue built polymers, 6. Synthesis of 5-vinylsalicylaldehyde and a simplified synthesis of some divinyl derivatives. Die Makromol. Chem. 1978, 179, 2647–2651. [Google Scholar] [CrossRef]
- Kolganova, N.A.; Florentiev, V.L.; Chudinov, A.V.; Zasedatelev, A.S.; Timofeev, E.N. Simple and stereoselective preparation of an 4-(aminomethyl)-1,2,3-triazolyl nucleoside phosphoramidite. Chem. Biodivers. 2011, 8, 568–576. [Google Scholar] [CrossRef] [PubMed]
- Štimac, A.; Kobe, J. Stereoselective synthesis of 1,2-cis- and 2-deoxyglycofuranosyl azides from glycosyl halides. Carbohydr. Res. 2000, 329, 317–324. [Google Scholar] [CrossRef]
- Hövelmann, F.; Gaspar, I.; Ephrussi, A.; Seitz, O. Brightness Enhanced DNA FIT-Probes for Wash-Free RNA Imaging in Tissue. J. Am. Chem. Soc. 2013, 135, 19025–19032. [Google Scholar] [CrossRef] [PubMed]
- Reichardt, C. Solvatochromic dyes as solvent polarity indicators. Chem. Rev. 1994, 94, 2319–2358. [Google Scholar] [CrossRef]











| Sequence | Functionalization (Y, X, Xs, V, Z and W) * |
|---|---|
| 5′-YCAG TCG CTC GCT GAC-3′ | ![]() |
| 5′-YGCA AAA TTT AAA ACG-3′ | |
| 5′-CAG TCG CXC GCT GAC-3′ | ![]() |
| 5′-GCA AAA TXT AAA ACG-3′ | |
| 5′-GCA AAA AAA AXA AAA AAA ACG-3′ | |
| 5′-GCA AAA TXsT AAA ACG-3′ | ![]() |
| 5′-VGCA AAA TTT AAA ACG-3′ | ![]() |
| 5′-GCA AAA TZT AAA ACG-3′ | ![]() |
| 5′-GCA AAA TWT AAA ACG-3′ | ![]() |
| 5′-GCA AAA AAA AWA AAA AAA ACG-3′ |
| Sequences | λAbs (nm) a | λEm (nm) b | Φ (%) c | |||
|---|---|---|---|---|---|---|
| AlMF | AzMF | AlMF | AzMF | AlMF | AzMF | |
| YCAG | 426 | — | 542 | — | 17 | — |
| YCAG·GTC | 427 | — | 543 | — | 7 | — |
| YGCA | 431 | — | 542 | — | 12 | — |
| YGCA·CGT | 429 | — | 544 | — | 5 | — |
| CXC | 424 | — | 542 | — | 21 | — |
| CXC·GAG | 427 | — | 542 | — | 15 | — |
| TXT | 432 | — | 542 | — | 16 | — |
| TXT·AAA | 449 | — | 546 | — | 41 | — |
| AXA | 432 | — | 550 | — | 11 | — |
| AXA·TAT | 441 | — | 547 | — | 34 | — |
| TXsT | 433 | — | 539 | — | 24 | — |
| TXsT·AAA | 430 | — | 542 | — | 22 | — |
| VGCA | — | 427 | — | 545 | — | 12 |
| VGCA·CGT | — | 421 | — | 545 | — | 5 |
| TZT | — | 430 | — | 545 | — | 16 |
| TZT·AAA | — | 431 | — | 545 | — | 28 |
| TWT | — | 431 | — | 547 | — | 15 |
| TWT·AAA | — | 437 | — | 542 | — | 30 |
| AWA | — | 428 | — | 552 | — | 8 |
| AWA·TAT | — | 429 | — | 531 | — | 34 |
| λEx (nm) a | TXT | TXT·AAA | Absorptivity Ratio c | Fluorescence Intensity Ratio d |
|---|---|---|---|---|
| Brightness (L·mol−1·cm−1) b | ||||
| 430 | 6560 | 15,265 | 0.78 | 1.8 |
| 450 | 5350 | 16,810 | 1.11 | 3.7 |
| 480 | 1476 | 7572 | 1.84 | 10.4 |
| 490 | 764 | 4301 | 1.98 | 13.1 |
| 500 | 381 | 2054 | 1.96 | 13.4 |
| 510 | 212 | 760 | 1.90 | 12.9 |
Publisher’s Note: MDPI stays neutral with regard to jurisdictional claims in published maps and institutional affiliations. |
© 2022 by the authors. Licensee MDPI, Basel, Switzerland. This article is an open access article distributed under the terms and conditions of the Creative Commons Attribution (CC BY) license (https://creativecommons.org/licenses/by/4.0/).
Share and Cite
Vincent, S.; Mallick, S.; Barnoin, G.; Le, H.-N.; Michel, B.Y.; Burger, A. An Expeditious Approach towards the Synthesis and Application of Water-Soluble and Photostable Fluorogenic Chromones for DNA Detection. Molecules 2022, 27, 2267. https://doi.org/10.3390/molecules27072267
Vincent S, Mallick S, Barnoin G, Le H-N, Michel BY, Burger A. An Expeditious Approach towards the Synthesis and Application of Water-Soluble and Photostable Fluorogenic Chromones for DNA Detection. Molecules. 2022; 27(7):2267. https://doi.org/10.3390/molecules27072267
Chicago/Turabian StyleVincent, Steve, Suman Mallick, Guillaume Barnoin, Hoang-Ngoan Le, Benoît Y. Michel, and Alain Burger. 2022. "An Expeditious Approach towards the Synthesis and Application of Water-Soluble and Photostable Fluorogenic Chromones for DNA Detection" Molecules 27, no. 7: 2267. https://doi.org/10.3390/molecules27072267
APA StyleVincent, S., Mallick, S., Barnoin, G., Le, H.-N., Michel, B. Y., & Burger, A. (2022). An Expeditious Approach towards the Synthesis and Application of Water-Soluble and Photostable Fluorogenic Chromones for DNA Detection. Molecules, 27(7), 2267. https://doi.org/10.3390/molecules27072267







