Next Article in Journal
Prediction of Low-Dose Aspirin-Induced Gastric Toxicity Using Nuclear Magnetic Resonance Spectroscopy-Based Pharmacometabolomics in Rats
Next Article in Special Issue
New Calix[4]arene—Fluoresceine Conjugate by Click Approach—Synthesis and Preparation of Photocatalytically Active Solid Lipid Nanoparticles
Previous Article in Journal
Identification of Non-Volatile Compounds Generated during Storage That Impact Flavor Stability of Ready-to-Drink Coffee
Previous Article in Special Issue
Structure–Activity Relationship of the Thiacalix[4]arenes Family with Sulfobetaine Fragments: Self-Assembly and Cytotoxic Effect against Cancer Cell Lines
 
 
Font Type:
Arial Georgia Verdana
Font Size:
Aa Aa Aa
Line Spacing:
Column Width:
Background:
Review

Insights on the Synthesis of N-Heterocycles Containing Macrocycles and Their Complexion and Biological Properties

1
Laboratory of Applied Chemistry and Environment—ECOMP, Faculty of Sciences, Mohammed First University, Bd Mohamed VI, Oujda 60000, Morocco
2
Department of Pathology, College of Korean Medicine, Kyung Hee University, Seoul 02447, Korea
*
Authors to whom correspondence should be addressed.
Molecules 2022, 27(7), 2123; https://doi.org/10.3390/molecules27072123
Submission received: 10 March 2022 / Revised: 22 March 2022 / Accepted: 23 March 2022 / Published: 25 March 2022
(This article belongs to the Special Issue Design and Synthesis of Macrocyclic Compounds)

Abstract

Macrocyclic chemistry has been extensively developed over the past several decades. In fact, the architecture of new macrocyclic models has undergone exponential growth to offer molecules with specific properties. In this context, an attempt is made in this study to provide an overview of some synthetic methods allowing the elaboration of N-heterocycles containing macrocycles (imidazole, triazole, tetrazole, and pyrazole), as well as their applications in the complexation of metal cations or as pharmacological agents.

1. Introduction

The design and synthesis of new macrocyclic architectures as large receptor compounds have received considerable attention in recent years owing to their encapsulating properties toward several guests [1]. This makes them highly important in multiple potential applications in molecular recognition, transport, biological models. or selective catalysis [1,2,3]. The importance of macrocyclic chemistry is also associated with a large number of natural complex macrocycles, including chlorophyll, haemoglobin, and vitamin B12, in which the receptors are porphyrin rings, and guests are magnesium, iron, or cobalt ions, respectively. In addition, nonactin and valinomycin are another class of natural oxygen macrocycles known as natural antibiotics that are obtained from Streptomyces species [4,5]. In 1967, Pedersen et al. [6] described the crown ethers as the first macrocycles exhibiting selective complexation properties toward the alkali and alkaline earth metal cations. This pioneer finding was followed by the elaboration of cryptands and spherands of Lehn and Cram, respectively [7,8] who were awarded the Nobel Prize in 1987 [9]. Thereafter, the design and synthesis variability of such macrocyclic systems exponentially increased by varying the cavity size and nature, and the number of the donor atoms as well as the attached lateral arms through changing the ratio and substituents of starting materials [10]. Such structural and electronic modifications have been extended to the introduction of N-heterocycle rings such pyrazole, imidazole, or pyrazine into the motif cycle to increase the number of sp2-hybridised N-donor atoms [11] and, consequently, to improve the ability of the corresponding macrocycles to complex both hard and soft cations such as alkali and transition metal cations of different oxidation states [12]. In this context, several studies in the literature have provided reviews that summarise the synthesis of some N-heterocyclic macrocycles. In 2008, McGinley and Fleming [13] reviewed some studies on the macrocycles containing tetrazole functional groups. Recently, Yang et al. highlighted recent advances in the synthesis and structure of N-heterocyclic carbenes based on macrocycles and their applications [14]. As a continuation to these pioneering studies, the focus of the present review is to give the reader deep insights into the synthesis of some kind of macrocyclic molecules reported in recent decades, as well as some pertinent details related to their complexion and biological properties.

2. Synthesis of Imidazolic Macrocycles

In 2003, Wagner-Wysiecka et al. [15] reported the synthesis of two imidazole-based macrocyclic chromogenic derivatives 1 and 2 by coupling imidazole with the bis-diazonium salts (Figure 1) under basic medium (pH = 11–12) and high dilution conditions, respectively). These compounds were obtained in medium yields (42% and 30% for 1 and 2). This study revealed that these imidazole-based macrocycle ligands coordinate preferentially alkali and alkaline earth cations and the ion-selective membrane electrodes doped with such imidazole derivatives are sodium-selective electrodes.
A few years later (2010), Nshimyumukiza et al. [16] described a new family of compounds based on the 5-aryl-1H-imidazole motif (Figure 2), for which the chemical synthesis involves a three-step sequence: aromatic nucleophilic substitution (SNAr), Suzuki coupling, and ring-closing metathesis (RCM) reaction [17]. This method allowed the preparation of a variety of novel macrocyclic substrates 37 in good overall yields. Biological evaluation of synthesised imidazole-containing macrocycles revealed that they display good binding activity toward the A3 adenosine (h) receptor, dopamine D1 (h) receptor, chloride channel (GABA-gated), and choline transporter (h) CHT1.
Van Den Berge et al. also used principally the same method to elaborate other 5-aryl-1H-imidazole-containing macrocycles 810 by varying the size cavity (Figure 3) [18]. They found that the cyclisation step yield increased with an increase in the chain length. Biological evaluation of the two optically pure enantiomers of one of these molecules enabled them to investigate the influence of chirality on biological activities.
Hymel et al. [19] reported the synthesis of tripeptide ligands with decreased molecular weight 1114 (Figure 4). This was conducted by C-terminal macrocyclisation, employing N(π),N(τ)-bis-alkylated residues as ring junctions and showing improved target selectivity for the polo-box domain of polo-like kinase 1 (Plk1 PBD) versus the PBDs of Plk2 and Plk3.
Rajakumar et al. [20] reported the synthesis of some novel imidazole-based dicationic sulphonophanes 1522 incorporating various spacer units by capping a precyclophane with a suitable dibromide (Figure 5). They found that all the obtained sulphonophanes exhibit good antibacterial and antifungal activity against five bacterial strains Bacillus subtilis, Staphylococcus aureus, Vibrio cholera, Escherichia coli, Proteus vulgaris, and the human pathogenic fungus Candida albicans.
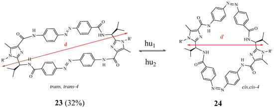
Mehrparvar et al. [21] reported the synthesis and structural investigation of a platform consisting of two imidazole amino acids, which are connected through two azobenzene units 23 and 24 (Figure 6). This platform can be switched by light from the elongated trans, trans-isomer 23 to the compact cis, cis isomer 24, and back.
Mageed et al. [22] described the synthesis of new cyclophanes 2528 (Figure 7) containing two imidazole-2-thione moieties linked by two xylylene groups by the reaction of imidazolium-linked cyclophanes with sulphur in the presence of K2CO3 and using methanol as solvent. Structures of the new cyclophanes were confirmed and investigated by NMR spectroscopy, as well as by X-ray diffraction studies.
Recently, Thapa and Kilyanek [23] communicated the synthesis of a new macrocycle 29 consisting of a 20-membered ring containing two imidazolium salt functionalities in five steps. The last one is the condensation of a mixture containing N-benzylbis(3-imidazolpropyl) amine and N-benzylbis(3-bromopropyl)amine in high dilution to prevent possible oligomerisation side reactions, and the macrocycle was obtained in 60% yield. The reaction of this macrocyclic salt with silver oxide afforded bis-macrocyclic silver (I) complexes (Figure 8).
Weiss et al. [24] synthesised a new family of macrocyclic imidazolylboranes, by reacting 1-trimethysilylimidazoles and haloboranes XB(R1)2 through the boron/silicon exchange using 2-bromoimidazole 3033 (Figure 9). The resulting macrocycles had the zwitterionic character and contain imidazolyl rings linked through their nitrogen atoms by BH2. They also employed a new synthetic strategy to prepare these macrocyclic imidazolylboranes, including the preparation and cyclisation of bis(imidazolyl)boronium chlorides.
Iwanek et al. [25] presented a very simple and efficient synthesis of tetrameric boron–imidazole macrocycles 34 and 35 involving the reaction of imidazole or 2-methylimidazole and triethylborane (Figure 10). The synthesis of these macrocycles was performed in two steps. First, an equimolar amount of triethylborane in tetrahydrofuran was added to imidazole or 2-methylimidazole, followed by refluxing for about 1 h. Next, the tetrahydrofuran was evaporated, mesitylene was added, and the mixture was refluxed at mesitylene boiling temperature for several hours.
Sargent et al. [26] described the synthesis, spectroscopic properties, and computational analysis of an imidazole-based analogue of porphycene—namely, ‘imidacene’ 37. The reductive coupling of a diformyl-substituted 2,2′-biimidazole using low-valent titanium gives the intermediate macrocycle 36. This step was followed by treatment with 2,3-dichloro-5,6-dicyano-1,4-benzoquinone (DDQ) (Figure 11). This macrocycle was found to undergo rapid decomposition, even in the absence of light and air. Through high-level theoretical calculations, they explained this instability by the presence of a delocalised 18 π–electron pathway in both imidacene and porphycene that provides less aromatic stabilisation energy.
Other new (tetrakis)imidazolium macrocyclic receptor system 38 was synthesised by Wong et al. [27]. This product was obtained using stepwise alkylation reactions of bis(imidazolium) precursor compound (Figure 12). They used the 1H NMR titration to study the binding properties of the resulting macrocycle toward halogen and benzoate anions in competitive conditions using acetonitrile–water (9:1) as solvent. Unfortunately, it was not possible for them to determine the stability constant values.

3. Synthesis of Tetrazolic Macrocycles

Yu et al. [28] presented the synthesis of a series of novel macrocyclic structures 3943 incorporating one tetrazole ring by reacting dibromoalkanes with a tetrazole derivative in the presence of alkali metal bases (Figure 13). Through a systematic study, they provided evidence of the effect of the radius alkali cation on the yield of the synthesised macrocycles. They suggested that these macrocyclic tetrazoles should offer a new class of photoactivatable tetrazole reagents for the bioorthogonal tetrazole–alkene cycloaddition reaction in living systems.
Abdelraheem et al. [29] revealed the synthesis of another family of monotetrazole-containing macrocycles 4447, in two steps through accessible starting materials (Figure 14). The first step comprises a chemoselective amidation of amino acid-derived isocyanocarboxylic acid esters with unprotected symmetrical diamines to afford diverse α-isocyano-ω-amines. In the second step, the α-isocyano-ω-amines undergo an Ugi tetrazole reaction to close the macrocycle. This strategy allowed these authors short access to 11–19-membered macrocycles in which substituents could be independently varied at three different positions.
Voitekhovich et al. [30] described the synthesis of two new 15-membered macrocycles 48, 49 with tetrazol-2,5-diyl moieties units linked by 3-oxapentane-1,5-diyl and 2,5-dimethylhexane-2,5-diyl bridges (Figure 15). Their synthesis involved condensation of 1,5-bis(tetrazol-5-yl)-3-oxapentane or 1,5-bis(1-methyltetrazol-5-yl)-3-oxapentane with 2,5-dimethylhexane-2,5-diol in 65% aqueous perchloric acid. Structures of these obtained macrocyclic compounds were confirmed by single-crystal X-ray analysis.
The macrocycle 48 reacts with copper(II) chloride or copper(II) tetrafluoroborate hexahydrate to give complexes [Cu3Cl648] and [Cu48(H2O)2](BF4)2(H2O) [31]. According to single-crystal X-ray analysis, both complexes were found to be coordination polymers (Figure 16).
In 2007, Bond et al. described the syntheses of tetra-tetrazole macrocycles, containing two bis-tetrazole units 5065 linked by a variety of alkyl chain lengths from 4–8 carbons by reacting one equivalent of 1,n-bis(tetrazol-5-yl)benzene and one equivalent of 1,2-, 1,3- or 1,4-[bis(2-(n-bromoalkyl)-tetrazol-5-yl)]benzene in dimethylformamide under nitrogen atmosphere and in the presence of potassium carbonate (Figure 17) [32]. The crystal structures of three of these derivatives were also reported. It was found that the macrocycle conformation is influenced by the length of the alkyl chain linker, the relative orientation of the tetrazole rings on the benzene ring, and by intermolecular interactions.
Two years later, they revealed the syntheses of other tetra-tetrazole macrocycles 6669, containing two 1,3-bis(tetrazole)benzene units linked by a variety of n-alkyl chain lengths with an odd number of carbon atoms (n = 3, 5, 7, or 9 carbon atoms) (Figure 18) [33]. Tetra-tetrazole macrocycle (n = 7) contains an unexpected ‘host–guest’ interaction through the binding of a chloroform solvent molecule. The resulting deviation of the macrocycle from planarity results from a combination of the ‘host–guest’ interaction and strong intermolecular interactions between adjacent tetrazole and phenylene rings.
The same group also substituted the phenyl by the pyridine ring to develop two new series of tetra-tetrazole macrocycles containing two 2,6-bis(tetrazole)pyridine units, linked by a variety of n-alkyl chain lengths 7073 (Figure 19) [34]. The crystal structure of one of such tetra-tetrazole macrocycles was also structurally characterised and revealed a bowl-shaped conformation.
Teng et al. [35] studied theoretically complexes resulting from a tetra-tetrazolic macrocycle with some organic contaminants using density functional theory (DFT). They found that this tetra-tetrazole shows good binding affinity towards these molecules, and the stabilities of the formed complexes are affected by the number and effectiveness of the hydrogen bonds.

4. Synthesis of 1,2,4 Triazolic Macrocycles

In 2007, Elwahy et al. [36] conveyed an elegant route for the synthesis of a series of novel macrocyclic Schiff bases containing two triazole rings 7480 in good yields (Figure 20). They were obtained by heating bis-amines with the corresponding bis-aldehydes in refluxing acetic acid under high dilution conditions. Attempts to synthesise macrocyclic Schiff bases containing pyridine and two triazole rings were also described.
Brandt et al. [37] reported the synthesis of two lead (II) complexes of some sodium tri-macrocyclic Schiff salts bearing two 1,2,4 triazole moieties. This was performed by condensing a diketone with 1,3-diaminopropane or 1,4-diaminobutane through a 2+2 cyclisation in the presence of Pb(ClO4)2·3H2O. Transmetallation with nickel(II) ions yields a novel, structurally characterised, dinickel(II) macrocyclic complex.
Foroughifar et al. [38] prepared two new aza-crown macrocycles 81 and 82, bearing two 1,2,4 triazolic rings by reacting of 1,2-, 1,3-, and 1,4-bis(4-amino-5-mercapto-4H-1,2,4-triazol-3-yl)alkanes with bisaldehydes in acetic acid under reflux. They were obtained in 70-76% yield. The reaction of these aza-crown macrocycles with iodomethane and benzyl chloride gave exclusively the target lariat macrocycles 8386, also in good yields (Figure 21).
They also reported a simple and efficient method for the preparation of azathia crown macrocycles 8792 containing two triazole subunits [39]. First, a series of new 1,2/1,3-bis[o-(N-methylidenamino-5-aryl-3-thiol-4H-1,2,4-triazole-4-yl)phenoxy]alkane derivatives were prepared by condensation of 4-amino-5-(aroyl)-4H-1,2,4-triazole-3-thiols or 2-amino-5-mercapto-1,3,4-thiadiazole with bis-aldehydes. Then, the reaction of the obtained compounds with dibromoalkanes allowed obtaining the desired macrocycles (Figure 22). This method does not require high dilution techniques and provides the expected azathia macrocycles in good yields, ranging from 55% to 68%.
Avaji et al. [40] conveyed the synthesis of a series of tetra-triazolic macrocycles by condensing an equimolar ethanol mixture of 2,6-diformyl-4-methylphenol and bis-(4-amino-5-mercapto-1,2,4-triazol-3-yl)alkanes, and in the presence of a few drops of concentrated HCl. The macrocycles were obtained in good yields (60–65%). Due to the fact that they were found insoluble in common organic solvents, the corresponding La(III) and Th(IV) complexes were synthesised by template condensation of 2,6-diformyl-4-methylphenol, bis-(4-amino-5-mercapto-1,2,4-triazol-3-yl)alkanes and La(NO3)3 6H2O/Th(NO3)4 5H2O in 2:2:1 molar ratio in ethanol. The antimicrobial activities of macrocycles and their metal complexes were evaluated. Some compounds showed promising results.
Patil et al. [41] used procedures described by Avaji et al. [40] to elaborate four 1,2,4 tetra-triazolic macrocycles through a [2+2] cyclisation of Ortho-phthalaldehyde and bis-(4-amino-5-mercapto-1,2,4-triazole-3-yl)alkanes, as well as their corresponding Co2+, Ni2+ and Cu2+ complexes. The biological results demonstrated that all the Schiff bases possess antimicrobial activity, and their metal(II) complexes showed more promising activities than the Schiff bases. The interaction of copper(II) complexes with DNA was investigated by utilising gel electrophoresis. It was found that all copper(II) complexes cleave DNA efficiently.
Kumar et al. [42] presented the synthesis of a new 1,2,4 triazolic macrocycle entitled S,S′-[benzene-1,3-diylbis(4H-1,2,4-triazole-5,3-diyl)]bis([(5-benzene-1,3-diyl-4H-1,2,4-triazol-3-yl)sulfanyl]ethanethioate) 93 (Figure 23) from isophthalic dihydrazide through a multistep reaction sequence. The desired compound and all intermediates were obtained in good yields (58–68%). Their antibacterial potency was evaluated against four different bacterial strains and was found comparable with that of the standard drug ciprofloxacin. The synthesised compounds were further studied for their possible in vitro antioxidant effects by DPPH scavenging, total antioxidant capacity, total reductive capacity, and H2O2 scavenging activity. It also possessed a good antioxidant activity when compared with the standards.
Chu Zheng et al. [43] sought to synthesise a new macrocyclic ligand with four 1,2,4 triazole subunits by reacting bis(5-amino-1H-1,2,4-triazole) and dichloromethane without metal ions but did not succeed. Nevertheless, they were able to elaborate on the corresponding metal complexes (Fe2+, Co2+, and Ni2+) in methanol as solvent. The fluorescence quenching spectra and UV–Vis spectra were used to study the interaction of complexes with bovine serum albumin (BSA).

5. Synthesis of 1,2,3 Triazolic Macrocycles

Kelly et al. [44] reported the synthesis of some mono 1,2,3 triazolic macrocycles through a regioselective intramolecular Huisgen cycloaddition, carried out on various azido alkyne substrates. Using catalyst control, a common intermediate was converted to two structurally unique macrocycles with either a 1,5- or a 1,4-triazole resulting in an n (94) or n + 1 (95) ring size by using Ru and Cu as a catalyst, respectively (Figure 24).
Bogdan et al. [45] generated a series of triazolic macrocycles 96101 (Figure 25), with drug-like functionality and properties by simple and efficient copper-catalysed azide–acetylene cycloaddition reaction. These macrocycles were obtained in a 5 min reaction without resorting to the high-dilution conditions typical of macrocyclisation reactions, as well as in up to 90% yield.
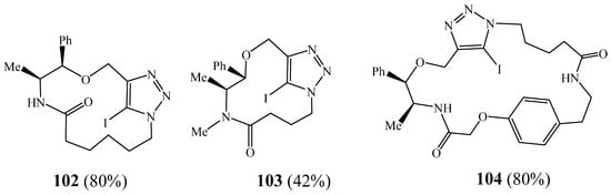
The same team reported a new macrocyclisation strategy to synthesise 5-iodo-1,2,3-triazole-containing macrocycles 102104 (Figure 26) [46]. The macrocycles were generated using a simple and efficient copper-catalysed cycloaddition in flow and under environmentally friendly conditions. This methodology also permits the facile, regioselective synthesis of 1,4,5 trisubstituted-1,2,3-triazole-containing macrocycles using palladium-catalysed cross-coupling reactions.
Sessler et al. [47] also utilised the copper(I)-catalysed cycloaddition to synthesise cell-permeable 1,2,3 triazole-based macrocycles 105116 with peptidyl backbone (Figure 27). The structure of these macrocycles was confirmed by NMR spectroscopy and high-resolution mass spectrometry (HRMS). They found that the obtained macrocycles could act as inhibitors of norovirus 3CL protease.
Hernández-Vázquez et al. [48] presented a multicomponent and rapid protocol for the synthesis of structurally diverse bis(aryl ether) macrocycles bearing one triazolic ring. This method allowed the synthesis of a family of 27 analogues with 20-(117), 21-(118), and 22-(119) membered rings (Figure 28). Some of the compounds displayed interesting cytotoxicity against cancer (PC-3) and breast (MCF-7) cell lines, especially those bearing an aliphatic or a trifluoromethyl substituent on the N-phenyl moiety (R2) (IC50 < 13 μM).
In their paper published in 2009, Sandra Binauld et al. [49] reported a subsequent CuAAC intramolecular cyclisation, performed under pseudo-high-dilution conditions, providing a series of novel macrocycles 120123 with different ring sizes (Figure 29). This pathway was shown to be a facile, high-yielding process and can be accurately controlled.
Caricato et al. [50] described the synthesis of bi-1,2,3 triazolic macrocycle 124 (Figure 30) through CuAAC ‘click’ reactions in the cyclisation step using toluene as solvent. Their methodology consists of fixing 1,2,3-triazole moieties within the macrocyclic backbone, which are able to directionally coordinate anions through CH⋯X hydrogen bonds.
Anandhan et al. [51] reported the synthesis of two triazole-based macrocyclic amides through click chemistry. They showed good anti-inflammatory activity even at low concentrations (50 µg/mL) when compared with that of the reference drug prednisolone.
Li et al. [52] described the synthesis of two novel ferrocene-containing macrocyclic triazoles 125 and 126 using a ‘click’ reaction (Figure 31). The anions binding abilities of these macrocycles were evaluated, and results revealed that these receptors have exclusive electrochemical sensing of H2PO4.
Hradilová et al. [53] developed a new approach for the preparation of macrocycles containing two, three, and four 1,2,3-triazole motifs 127129 from simple compounds such as 2-azidobenzoic acid, propargyl bromide, and propargyl anthranilate (Figure 32). The macrocyclic precursor was constructed by a series of steps which include cycloaddition of an azide with an alkyne, alkylation of a carboxylic acid with propargyl bromide, and formation of an azide from an amino group.
White et al. [54] conveyed the synthesis of two tetra-1,2,3 triazole macrocycles 130 and 131 in good yields using the copper(I)-catalysed cycloaddition of bis-triazole azides and bis-alkynes (Figure 33). One of them was alkylated to give a cyclic tetra-triazolium receptor, which complexed anions strongly in competitive DMSO–water mixtures. In 1:1 DMSO–water, the tetracationic receptor exhibited a preference for the larger halides, bromide, and iodide.
Khan et al. [55] presented the elaboration of a novel fluorescent bis-calix[4]arene macrocycle 132 bearing four 1,2,3 triazole rings and incorporating metal-binding pockets (Figure 34). The structures of this macrocycle and its precursors were checked via NMR and MS, as well as X-ray crystallography. Macrocycle 132 displayed selective fluorescence quenching after interacting with Cu2+ in the presence competing metal cations including Mg2+, Ca2+, Ba2+, Ag+, Zn2+, Ti4+,Cd2+, Hg2+, Pb2+, In3+, La3+, Cr3+, Ni2+, Sb3+, V5+, Fe3+, Co2+, Sn2+, Sn2+, and Tl+. The Cu2+ limit of detection was found to be 40 Nm, much lower than its threshold level (∼20 μM) in drinking water permitted by the US Environmental Protection Agency (EPA). Furthermore, drinking water samples from Karachi University (Pakistan), spiked with Cu2+, were analysed with the sensing system, and the results showed an excellent agreement with the fluorescence quenching phenomenon of the macrocycle examined in deionised water. Importantly, it could be used to detect Cu2+ in living cells.

6. Synthesis of Pyrazolic Macrocycles

Belda et al. [56] reported the synthesis of a novel cyclophane 133 consisting of a 1H-pyrazole moiety linked through methylene groups to a 1,5,9,13-tetraazadecane chain (Figure 35). According to Belda et al., this is one of the first reported syntheses of a [1+1] condensation 1H-pyrazole azamacrocyclic ligand. This macrocycle was obtained by a macrocyclisation reaction of the tosylated polyamine with either 1H-3,5-bis(chloromethyl)pyrazole in CH3CN using K2CO3 as a base. The crystal structures of the corresponding copper II complexes show that Cu2+ coordination leads to the formation of 2:2 Cu2+:L dinuclear dimeric complexes in which the 1H-pyrazole units lose a proton behaving as bis(monodentate) bridging ligands.
Ashok et al. [57] conveyed an efficient approach to the synthesis of fused pyrazole-annulated macrocycles. This was performed by Vilsmeier–Haack reaction of substituted o-hydroxyacetophenones with phenylhydrazine, followed by reduction of the resulting pyrazolyl aldehydes yielded the corresponding alcohols. These precursors upon alkylation with dibromoalkanes gave the target library. the final macrocycles were screened for their antimicrobial activity. This investigation revealed that most of the tested compounds displayed some inhibitory effects on the growth of the tested Gram-positive and Gram-negative bacterial strains, while a low inhibitory activity against the tested fungal strains was observed.
Javier Pitarch et al. [58] described the synthesis of a new macrocycle 134 obtained by dipodal [2+2] condensation of the polyamine 3-(naphthalen-2-ylmethyl)pentane-1,5-diamine with 1H-pyrazole-3,5-dicarbaldehyde, followed by a reduction using NaBH4 (Figure 36). This macrocycle presented five measurable protonation steps in the 2.0–11.0 pH range. Through fluorescence emission studies, they found that the Zn2+ coordination promotes a boat-like shape conformation that approaches both fluorophores and facilitates the formation of an excimer which reaches its highest emission for a 1:1 (Zn2+:159) molar ratio.
Reviriego et al. [59] used an improved synthetic method to synthesise 26-membered diaza tetraester crowns (135, 136) and 39-membered triaza hexaester crowns (137, 138) containing two and three pyrazolic moieties, respectively (Figure 37). This was performed by reacting the cyclic stannoxanes obtained from RN-diethanolamine (R = Me, Bu) and dibutyltin oxide 1H-pyrazole-3,5-dicarbonyl dichloride. The new structures were confirmed by their analytical and spectroscopic data. Both diaza tetraester crowns 135 and 136, containing two 1H-pyrazole units, self-assembled into dimeric species through the formation of four hydrogen bonds involving the two NH pyrazole groups and the two tertiary amine groups of both crowns, as proved by X-ray crystallography and NMR analysis.
Ali et al. [60] reported a simple synthetic method for the preparation of four new phosphorus macrocycles 139142 (Figure 38) in which the pyrazole rings are appended to a phosphorus atom. The methodology was based on the cyclocondensation reaction of bis(4-formylpyrazolyl) phosphine oxides with nitrogen nucleophiles that contain active terminal amino groups. A preliminary antimicrobial evaluation of the tested compounds showed that they had low-to-moderate activities, compared with the reference drugs.
Sanchez-Moreno et al. [61] elaborated pyrazole-containing macrobicyclic polyamine 143 and three pyrazole-containing monocyclic polyamines 144146 (Figure 39). Bicyclic macrocycle 168 and monocyclic polyamine containing two pyrazole units were obtained principally via the condensation of 1H-pyrazole-3,5-dicarbaldehyde with tris(2-aminoethyl)amine and Bis(2-aminoethyl)amine, respectively, followed by further reaction steps. The in vitro and in vivo anti-Trypanosoma cruzi activity was studied. The compounds were more active against the parasite and less toxic against Vero cells than the reference drug benznidazole; in addition, 144 and 145 were especially effective, whereas cryptand 144 was the most active, particularly in the chronic phase.
These compounds were also assayed on Leishmania infantum and Leishmania braziliensis species [62]. There were found more active and less toxic than glucantime. Both infection rates and ultrastructural alterations confirmed that 143 and 145 were highly leishmanicidal and induced extensive parasite cell damage. Modifications in the excretion products of parasites treated with 143145 were also consistent with substantial cytoplasm alterations. Compound 145 was highlighted as a potent inhibitor of Fe-SOD in both species, whereas its effect on human CuZn-SOD was poor.
In 1997, Bol et al. [63] established the synthesis of two new tetrapyrazolic macrocycles with two pyridyl lateral arms by condensation of 1,n bis(3′-chloromethyl-5′-methyl-l′-pyrazolyl) alkane (n = 2 or 3) with the 1,n bis(3′pyridyl-2-ylethylamino)-5′-methyl-l′-pyrazolyl) alkane (n = 2 or 3) in tetrahydrofuran and acetonitrile, respectively. These two macrocycles formed stable copper I, copper II and Zinc II complexes.
Malek et al. [64] reported the synthesis of another family of new symmetrical tetrapyrazolic macrocycles 147149, also bearing two lateral arms. They were obtained through a [2+2] cyclocondensation of a primary amine with the 1,n bis(3′-chloromethyl-5′-methyl-l′-pyrazolyl) alkane (n = 1, 3) in acetonitrile using the high dilution condition (Figure 40). In the case of n = 3, they also observed the formation of the macrocycle resulting from [1+1] cyclisation due to the flexibility of the chlorinated derivative.
The macrocycle with isopropyl lateral arms can also be obtained by a 2 + 2 reaction of a tripodal ligand and dibromomethane using phase transfer catalysis (PTC) in high-dilution conditions. Nevertheless, the yield of the desired macrocycle remained practically unchangeable. These tetrapyrazolic macrocycles were found to be able to complex and transport across a solid membrane selectively the K+ cation.
Cherfi et al. [65] also conveyed the synthesis of another macrocycle with two long flexible lateral arms bearing a donor group using the same method reported by Malek et al. [64]. They found that the ability of this macrocycle to extra selectively K+ is improved with the increasing the lateral arm length.
As a continuation of these studies, Harit et al. [66,67] synthesised a new generation of bi-functionalised tetrapyrazolic macrocycles 150152 by reaction of 1,4-bis(3′-chloromethyl-5′-methyl-l′-pyrazolyl) butane with primary amines with the aim to increase the cavity size of these compounds (Figure 41). Indeed, the resulting compound was found to be complex and also transport selectively the Cs+ cation.
They also elaborated a new generation of this kind of macrocycles using the same method and changing the bis-chlorinated derivative (n = 1) by its brominated homologue to improve the cyclisation reaction yield. However, no particular change was obtained [68]. Besides their ability to complex selectively K+, they possessed some antibacterial activity (32 μg/mL) against both Gram-positive and Gram-negative bacteria. Other homologues of macrocycles reported by Bol et al. [63] were also synthesised. They also showed an affinity to complex K+ cation and some antibacterial activity [69].
Radi et al. [70,71] used the same strategy performed by Malek et al. [64] to synthesise two tetrapyrazolic macrocycles 153 and 154 with different cavity sizes and bear one lateral arm (Figure 42). This was performed by [1+1] cyclisation of a chlorinated derivative with 3 aminopropan-1-ol to obtain the macrocycle 154, and the 1,2 dibromoethane with a tetrapod ligand to obtain the macrocycle 153. These macrocycles were also found to have a complexing affinity towards both alkali and heavy metal cations.
As a continuation of the studies of Tarrago [72], Harit et al. [73] elaborated a new macrocycle 155 with an aromatic lateral arm bearing a hydroxyl group (Figure 43). The synthesis was achieved via two pathways and led to two different yields. The study of the complexing properties of this macrocycle towards the alkali metal ions (Li+, Na+, K+, Cs+) showed remarkable extraction and transport [74] selectivities for the lithium cation in competitive conditions.
Recently, Dahmani et al. [75] reported two new organotin (IV) bipyrazole-dicarboxylate macrocyclic complexes 156 and 157 (Figure 44) by condensing of one equivalent of the bipyrazole-dicarboxylic acids 1,1′-(propane-1,3-diyl)bis(5-methyl-1H-pyrazole-3-carboxylic acid) or 1,1′-(2-hydroxypropane-1,3-diyl)bis(5-methyl-1H-pyrazole-3-carboxylic acid) with two equivalents of oxide di-(n-butyl)tin. These macrocycles possess an interesting fungicidal activity against the pathogenic strain Fusarium oxysporum f. sp. albedinis.

7. Conclusions

In summary, the aim of this review was to give readers an overview of some methods for the synthesis of several N-heterocyclic five-membered ring structures (Imidazole, triazole, tetrazole, or pyrazole) containing macrocycles, as well as their applications in different fields such as pharmacology, biology, and complexation of alkali or transition metal cations. The reaction conditions considerably affect the size and conformation, granting access to a new range of macrocyclic architectures. It was revealed that the synthesis of macrocyclic molecules is a promising area that continues to grow year by year, giving the opportunity to design new active agents with excellent biological and complexing properties.

Author Contributions

Writing—original draft preparation, F.M., T.H. and M.C.; writing—review and editing, F.M., T.H. and B.K.; funding acquisition, B.K. All authors have read and agreed to the published version of the manuscript.

Funding

This research was supported by Basic Science Research Program through the National Research Foundation of Korea (NRF), funded by the Ministry of Education (NRF-2020R1I1A2066868), and the National Research Foundation of Korea (NRF) grant, funded by the Korean government (MSIT) (No. 2020R1A5A2019413).

Institutional Review Board Statement

Not applicable.

Informed Consent Statement

Not applicable.

Data Availability Statement

Not applicable.

Conflicts of Interest

The authors declare no conflict of interest.

References

  1. Vinodh, M.; Alipour, F.H.; Mohamod, A.A.; Al-Azemi, T.F. Molecular assemblies of porphyrins and macrocyclic receptors: Recent developments in their synthesis and applications. Molecules 2012, 17, 11763–11799. [Google Scholar] [CrossRef] [PubMed]
  2. Della Sala, G.; Nardone, B.; De Riccardis, F.; Izzo, I. Cyclopeptoids: A novel class of phase-transfer catalysts. Org. Biomol. Chem. 2013, 11, 726–731. [Google Scholar] [CrossRef] [PubMed]
  3. Schühle, D.T.; Peters, J.A.; Schatz, J. Metal binding calixarenes with potential biomimetic and biomedical applications. Coord. Chem. Rev. 2011, 255, 2727–2745. [Google Scholar] [CrossRef]
  4. Doebler, J.A. Effects of neutral ionophores on membrane electrical characteristics of NG108-15 cells. Toxicol. Lett. 2000, 114, 27–38. [Google Scholar] [CrossRef]
  5. Makrlík, E.; Vaňura, P. Experimental and theoretical study on interaction of the silver cation with nonactin. Mol. Phys. 2015, 113, 3712–3716. [Google Scholar] [CrossRef]
  6. Pedersen, C.J. Cyclic polyethers and their complexes with metal salts. J. Am. Chem. Soc. 1967, 89, 7017–7036. [Google Scholar] [CrossRef]
  7. Lehn, J.M.; Sauvage, J.P.; Dietrich, B. Cryptates. Cation exchange rates. J. Am. Chem. Soc. 1970, 92, 2916–2918. [Google Scholar] [CrossRef]
  8. Cram, D.J.; Helgeson, R.C.; Sousa, L.R.; Timko, J.M.; Newcomb, M.; Moreau, P.; de Jong, F.; Gokel, G.W.; Hoffman, D.H.; Domeier, L.A.; et al. Chiral recognition in complexation of guests by designed host molecules. Pure Appl. Chem. 1975, 43, 327–349. [Google Scholar] [CrossRef]
  9. James, L.K.; Laylin, J.K. Nobel Laureates in Chemistry, 1901–1992; Chemical Heritage Foundation: Philadelphia, PA, USA, 1993. [Google Scholar]
  10. Liu, Z.; Nalluri, S.K.M.; Stoddart, J.F. Surveying macrocyclic chemistry: From flexible crown ethers to rigid cyclophanes. Chem. Soc. Rev. 2017, 46, 2459–2478. [Google Scholar] [CrossRef]
  11. Agrawal, M.; Jain, S.; Agarwal, A.; Dwivedi, J.; Sharma, S.; Kishore, D. Application of novel precursors derived from carbazolo condensed azepinones to the direct single step synthesis of corresponding isoxazole and pyrazole annulated analogues of medicinal importance. Orient. Pharm. Exp. Med. 2012, 12, 141–150. [Google Scholar] [CrossRef]
  12. Pearson, R.G. Hard and soft acids and bases. J. Am. Chem. Soc. 1963, 85, 3533–3539. [Google Scholar] [CrossRef]
  13. McGinley, J.; Fleming, A. Synthesis of macrocycles containing tetrazole units-potential metal complexation sites. J. Incl. Phenom. Macrocycl. Chem. 2008, 61, 1–10. [Google Scholar] [CrossRef]
  14. Yang, J.; Liu, J.; Wang, Y.; Wang, J. Synthesis, structure and catalysis/applications of N-heterocyclic carbene based on macrocycles. J. Incl. Phenom. Macrocycl. Chem. 2018, 90, 15–37. [Google Scholar] [CrossRef]
  15. Wagner-Wysiecka, E.; Luboch, E.; Kowalczyk, M.; Biernat, J.F. Chromogenic macrocyclic derivatives of azoles—Synthesis and properties. Tetrahedron 2003, 59, 4415–4420. [Google Scholar] [CrossRef]
  16. Nshimyumukiza, P.; Van Den Berge, E.; Delest, B.; Mijatovic, T.; Kiss, R.; Marchand-Brynaert, J.; Robiette, R. Synthesis and biological evaluation of novel imidazole-containing macrocycles. Tetrahedron 2010, 66, 4515–4520. [Google Scholar] [CrossRef]
  17. Grubbs, R.H.; O’Leary, D.J. (Eds.) Handbook of Metathesis: Applications in Organic Synthesis; John Wiley & Sons: Hoboken, NJ, USA, 2015; Volume 2. [Google Scholar]
  18. Van Den Berge, E.; Pospíšil, J.; Trieu-Van, T.; Collard, L.; Robiette, R. Planar Chirality of Imidazole-Containing Macrocycles—Understanding and Tuning Atropisomerism. Eur. J. Org. Chem. 2011, 33, 6649–6655. [Google Scholar] [CrossRef]
  19. Hymel, D.; Grant, R.A.; Tsuji, K.; Yaffe, M.B.; Burke, T.R., Jr. Histidine N (τ)-cyclized macrocycles as a new genre of polo-like kinase 1 polo-box domain-binding inhibitors. Bioorg. Med. Chem. Lett. 2018, 28, 3202–3205. [Google Scholar] [CrossRef]
  20. Rajakumar, P.; Satheeshkumar, C.; Mohanraj, G.; Mathivanan, N. Synthesis and antimicrobial activity of some novel dicationic sulphonophanes. Eur. J. Med. Chem. 2011, 46, 3093–3098. [Google Scholar] [CrossRef]
  21. Mehrparvar, S.; Adam, A.; Haberhauer, G. Switchable Imidazole Platform–Synthesis and Structural Investigation. Eur. J. Org. Chem. 2018, 2018, 4306–4316. [Google Scholar] [CrossRef]
  22. Mageed, A.H.; Skelton, B.W.; Sobolev, A.N.; Baker, M.V. Exploring structural and conformational behaviour of cyclophanes incorporating imidazole-2-thiones. Tetrahedron 2018, 74, 2956–2966. [Google Scholar] [CrossRef]
  23. Thapa, R.; Kilyanek, S.M. Synthesis and structural characterization of 20-membered macrocyclic rings bearing trans-chelating bis (N-heterocyclic carbene) ligands and the catalytic activity of their palladium (II) complexes. Dalton Trans. 2019, 48, 12577–12590. [Google Scholar] [CrossRef] [PubMed]
  24. Weiss, A.; Barba, V.; Pritzkow, H.; Siebert, W. Synthesis, structures and reactivity of macrocyclic imidazolylboranes. J. Organomet. Chem. 2003, 680, 294–300. [Google Scholar] [CrossRef]
  25. Iwanek, W.; Iwanek, A.; Woźniak, K.; Malińska, M. A simple and efficient synthesis of boron-imidazole macrocycles and their crystal structures. Tetrahedron Lett. 2012, 53, 4526–4528. [Google Scholar] [CrossRef]
  26. Sargent, A.L.; Hawkins, I.C.; Allen, W.E.; Liu, H.; Sessler, J.L.; Fowler, C.J. Global versus Local Aromaticity in Porphyrinoid Macrocycles: Experimental and Theoretical Study of “Imidacene”, an Imidazole-Containing Analogue of Porphycene. Chem. Eur. J. 2003, 9, 3065–3072. [Google Scholar] [CrossRef]
  27. Wong, W.W.; Vickers, M.S.; Cowley, A.R.; Paul, R.L.; Beer, P.D. Tetrakis (imidazolium) macrocyclic receptors for anion binding. Org. Biomol. Chem. 2005, 3, 4201–4208. [Google Scholar] [CrossRef]
  28. Yu, Z.; Lim, R.K.; Lin, Q. Synthesis of Macrocyclic Tetrazoles for Rapid Photoinduced Bioorthogonal 1,3-Dipolar Cycloaddition Reactions. Chem. Eur. J. 2010, 16, 13325–13329. [Google Scholar] [CrossRef]
  29. Abdelraheem, E.M.; de Haan, M.P.; Patil, P.; Kurpiewska, K.; Kalinowska-Tłuścik, J.; Shaabani, S.; Dömling, A. Concise Synthesis of Tetrazole Macrocycle. Org. Lett. 2017, 19, 5078–5081. [Google Scholar] [CrossRef]
  30. Voitekhovich, S.V.; Lyakhov, A.S.; Ivashkevich, L.S.; Gaponik, P.N. Facile synthesis of macrocyclic tetrazoles by regioselective cycloalkylation of bistetrazoles with 2,5-dimethylhexane-2,5-diol in perchloric acid. Tetrahedron Lett. 2012, 53, 6111–6114. [Google Scholar] [CrossRef]
  31. Voitekhovich, S.V.; Lyakhov, A.S.; Ivashkevich, L.S.; Schmorl, S.; Kersting, B.; Ivashkevich, O.A. The First Characterized Coordination Compounds of Macrocyclic Ligands Including Incorporated Tetrazole Rings. Crys. Growth. Des. 2017, 17, 1796–1805. [Google Scholar] [CrossRef]
  32. Bond, A.D.; Fleming, A.; Kelleher, F.; McGinley, J.; Prajapati, V.; Skovsgaard, S. Synthesis and characterisation of tetra-tetrazole macrocycles. Tetrahedron 2007, 63, 6835–6842. [Google Scholar] [CrossRef]
  33. Bond, A.D.; Fleming, A.; Gaire, J.; Kelleher, F.; McGinley, J.; McKee, V. First X-ray structural characterisation of host-guest interactions in tetra-tetrazole macrocycles. Tetrahedron 2009, 65, 7942–7947. [Google Scholar] [CrossRef][Green Version]
  34. Fleming, A.; Gaire, J.; Kelleher, F.; McGinley, J.; McKee, V. Synthesis and characterisation of macrocycles containing both tetrazole and pyridine functionalities. Tetrahedron 2011, 67, 3260–3266. [Google Scholar] [CrossRef]
  35. Teng, Y.; Du, J.; Xu, J.; Teng, Q.; Wu, S. Structures and spectra of complexes of tetra-tetrazole macrocycle with organic contaminants. Russ. J. Phys. Chem. 2015, 89, 1041–1046. [Google Scholar] [CrossRef]
  36. Elwahy, A.H.; Masaret, G.S. Synthesis of novel benzo-substituted macrocyclic schiff bases containing two triazole rings. J. Heterocycl. Chem. 2007, 44, 1475–1484. [Google Scholar] [CrossRef]
  37. Brandt, C.D.; Kitchen, J.A.; Beckmann, U.; White, N.G.; Jameson, G.B.; Brooker, S. Synthesis and structures of 3,5-disubstituted 1,2,4-triazole head units and incorporation of 3,5-dibenzoyl-1,2,4-triazolate into new [2+2] Schiff-base macrocyclic complexes. Supramol. Chem. 2007, 19, 17–27. [Google Scholar] [CrossRef]
  38. Foroughifar, N.; Mobinikhaledi, A.; Ebrahimi, S. Synthesis of a novel class of azacrown macrocycles and lariat crown ethers containing two 1,2,4-triazole rings as subunits. Synthesis 2009, 2009, 2557–2560. [Google Scholar] [CrossRef]
  39. Foroughifar, N.; Mobinikhaledi, A.; Ebrahimi, S.; Moghanian, H.; Fard, M.A.B.; Kalhor, M. Synthesis of a new class of azathia crown macrocycles containing two 1,2,4-triazole or two 1,3,4-thiadiazole rings as subunits. Tetrahedron Lett. 2009, 50, 836–839. [Google Scholar] [CrossRef]
  40. Avaji, P.G.; Patil, S.A. Synthesis, spectral, thermal, solid state dc electrical conductivity, fluorescence and biological studies of lanthanum (III) and thorium (IV) complexes of 24-membered macrocyclic triazoles. J. Coord. Chem. 2008, 61, 2570–2583. [Google Scholar] [CrossRef]
  41. Patil, S.A.; Kamble, U.V.; Badami, P.S. Antimicrobial and DNA-cleavage studies of 22-membered N4 tetraaza macrocyclic triazoles: Template synthesis and physicochemical characterization. Nucleosides Nucleotides Nucleic Acids 2010, 29, 658–675. [Google Scholar] [CrossRef]
  42. Vinay Kumar, B.; Naik, H.B.; Girija, D.; Sharath, N.; Sudeep, H.V.; Joy Hoskeri, H. Synthesis and Biological Evaluation of New Tetra-Aza Macrocyclic Scaffold Constrained Oxadiazole, Thiadiazole and Triazole Rings. Arch. Pharm. 2012, 345, 240–249. [Google Scholar] [CrossRef]
  43. Zheng, C.; Huang, D.Y.; Li, H.Y.; Huang, F.P.; Bian, H.D. In situ synthesis, characterization, bovine serum albumin (BSA) binding studies of FeII/CoII/NiII complexes derived from a new double bis-triazole macrocyclic ligand. J. Coord. Chem. 2017, 70, 2453–2462. [Google Scholar] [CrossRef]
  44. Kelly, A.R.; Wei, J.; Kesavan, S.; Marie, J.C.; Windmon, N.; Young, D.W.; Marcaurelle, L.A. Accessing skeletal diversity using catalyst control: Formation of n and n+1 macrocyclic triazole rings. Org. Lett. 2009, 11, 2257–2260. [Google Scholar] [CrossRef] [PubMed]
  45. Bogdan, A.R.; James, K. Efficient Access to New Chemical Space Through Flow—Construction of Druglike Macrocycles Through Copper-Surface-Catalyzed Azide-Alkyne Cycloaddition Reactions. Chem. Eur. J. 2010, 16, 14506–14512. [Google Scholar] [CrossRef] [PubMed]
  46. Bogdan, A.R.; James, K. Synthesis of 5-iodo-1,2,3-triazole-containing macrocycles using copper flow reactor technology. Org. Lett. 2011, 13, 4060–4063. [Google Scholar] [CrossRef] [PubMed]
  47. Weerawarna, P.M.; Kim, Y.; Kankanamalage, A.C.G.; Damalanka, V.C.; Lushington, G.H.; Alliston, K.R.; Mehzabeen, N.; Battaile, K.P.; Lovell, S.; Chang, K.O.; et al. Structure-based design and synthesis of triazole-based macrocyclic inhibitors of norovirus protease: Structural, biochemical, spectroscopic, and antiviral studies. Eur. J. Med. Chem. 2016, 119, 300–318. [Google Scholar] [CrossRef] [PubMed]
  48. Hernández-Vázquez, E.; Chávez-Riveros, A.; Romo-Pérez, A.; Ramírez-Apán, M.T.; Chávez-Blanco, A.D.; Morales-Bárcenas, R.; Dueñas-González, A.; Miranda, L.D. Cytotoxic Activity and Structure–Activity Relationship of Triazole-Containing Bis (Aryl Ether) Macrocycles. Chem. Med. Chem. 2018, 13, 1193–1209. [Google Scholar] [CrossRef]
  49. Binauld, S.; Hawker, C.J.; Fleury, E.; Drockenmuller, E. A modular approach to functionalized and expanded crown ether based macrocycles using click chemistry. Angew. Chem. Int. Ed. 2009, 48, 6654–6658. [Google Scholar] [CrossRef]
  50. Caricato, M.; Olmo, A.; Gargiulli, C.; Gattuso, G.; Pasini, D. A ‘clicked’macrocyclic probe incorporating Binol as the signalling unit for the chiroptical sensing of anions. Tetrahedron 2012, 68, 7861–7866. [Google Scholar] [CrossRef]
  51. Anandhan, R.; Kannan, A.; Rajakumar, P. Synthesis and anti-inflammatory activity of triazole-based macrocyclic amides through click chemistry. Synth. Commun. 2017, 47, 671–679. [Google Scholar] [CrossRef]
  52. Li, C.T.; Cao, Q.Y.; Li, J.J.; Wang, Z.W.; Dai, B.N. Ferrocene-containing macrocyclic triazoles for the electrochemical sensing of dihydrogen phosphate anion. Inorg. Chim. Acta 2016, 449, 31–37. [Google Scholar] [CrossRef]
  53. Hradilová, L.; Grepl, M.; Hlaváč, J.; Lyčka, A.; Hradil, P. Synthesis of Macrocycles Containing 1,2,3-Triazole Motifs. Synthesis 2012, 44, 1398–1404. [Google Scholar] [CrossRef]
  54. White, N.G.; Carvalho, S.; Félix, V.; Beer, P.D. Anion binding in aqueous media by a tetra-triazolium macrocycle. Org. Biomol. Chem. 2012, 10, 6951–6959. [Google Scholar] [CrossRef] [PubMed]
  55. Khan, B.; Shah, M.R.; Ahmed, D.; Rabnawaz, M.; Anis, I.; Afridi, S.; Makhmoor, T.; Tahir, M.N. Synthesis, characterization and Cu2+ triggered selective fluorescence quenching of Bis-calix[4]arene tetra-triazole macrocycle. J. Hazard. Mater. 2016, 309, 97–106. [Google Scholar] [CrossRef] [PubMed]
  56. Belda, R.; Pitarch-Jarque, J.; Soriano, C.; Llinares, J.M.; Blasco, S.; Ferrando-Soria, J.; García-España, E. Intermolecular Binding Modes in a Novel [1+1] Condensation 1 H-Pyrazole Azamacrocycle: A Solution and Solid State Study with Evidence for CO2 Fixation. Inorg. Chem. 2013, 52, 10795–10803. [Google Scholar] [CrossRef] [PubMed]
  57. Ashok, D.; Devulapally, M.G.; Gundu, S.; Aamate, V.K.; Chintalapally, S. Synthesis and antimicrobial evaluation of novel pyrazole-annulated oxygen-containing macrocycles. Chem. Heterocycl. Compd. 2016, 52, 609–614. [Google Scholar] [CrossRef]
  58. Pitarch, J.; Clares, M.P.; Belda, R.; Costa, R.D.; Navarro, P.; Ortí, E.; Soriano, C.; García-España, E. Zn (II)-coordination and fluorescence studies of a new polyazamacrocycle incorporating 1H-pyrazole and naphthalene units. Dalton Trans. 2010, 39, 7741–7746. [Google Scholar] [CrossRef]
  59. Reviriego, F.; Navarro, P.; Arán, V.J.; Jimeno, M.L.; García-España, E.; Latorre, J.; Yunta, M.J. Hydrogen-Bond-Mediated Self-Assembly of 26-Membered Diaza Tetraester Crowns of 3,5-Disubstituted 1 H-Pyrazole. Dimerization Study in the Solid State and in CDCl3 Solution. J. Org. Chem. 2011, 76, 8223–8231. [Google Scholar] [CrossRef]
  60. Ali, T.E.S.; Abdel-Ghaffar, S.A.A.; El-Mahdy, K.M.; Abdel-Karim, S.M. Synthesis, characterization, and antimicrobial activity of some new phosphorus macrocyclic compounds containing pyrazole rings. Turk. J. Chem. 2013, 37, 160–169. [Google Scholar]
  61. Sanchez-Moreno, M.; Marín, C.; Navarro, P.; Lamarque, L.; Garcia-Espana, E.; Miranda, C.; Huertas, Ó.; Olmo, F.; Gómez-Contreras, F.; Pitarch, J.; et al. In vitro and in vivo trypanosomicidal activity of pyrazole-containing macrocyclic and macrobicyclic polyamines: Their action on acute and chronic phases of Chagas disease. J. Med. Chem. 2012, 55, 4231–4243. [Google Scholar] [CrossRef]
  62. Navarro, P.; Sánchez-Moreno, M.; Marãn, C.; Garcãa-España, E.; Ramãrez-Macãas, I.; Olmo, F.; Rosales, M.J.; Gómez-Contreras, F.; Yunta, M.J.R.; Gutierrez-Sánchez, R. In vitro leishmanicidal activity of pyrazole-containing polyamine macrocycles which inhibit the Fe-SOD enzyme of Leishmania infantum and Leishmania braziliensis species. Parasitology 2014, 141, 1031–1043. [Google Scholar] [CrossRef]
  63. Bol, J.E.; Maase, B.; Gonesh, G.; Driessen, W.L.; Goubitz, K.; Reedijk, J. Novel double tripodal pyrazolyl macrocycles. Synthesis and X-ray structure of hexa-azole ligands. Heterocycles 1997, 8, 1477–1492. [Google Scholar]
  64. Malek, F.; Persin, M.; Ramdani, A.; Sarrazin, J.; Zidane, I. Elaboration de nouveaux matériaux membranaires incorporant des macrocycles tetrapyrazoliques. Etude du transport facilité des métaux alcalins Li+, Na+ et K+. New J. Chem. 2002, 26, 876–882. [Google Scholar] [CrossRef]
  65. Cherfi, M.; Harit, T.; Malek, F. Synthesis of new tetrapyrazolic macrocycle and examination of its complexation properties. Mater. Today Proc. 2020, 31, S75–S77. [Google Scholar] [CrossRef]
  66. Harit, T.; Malek, F.; El Bali, B.; Dusek, M.; Kucerakova, M. Synthesis and characterization of two new tetrapyrazolic macrocycles for the selective extraction of cesium cation. Tetrahedron 2016, 72, 3966–3973. [Google Scholar] [CrossRef]
  67. Harit, T.; Malek, F. New polymeric membrane incorporating a tetrapyrazolic macrocycle for the selective transport of cesium cation. Sep. Purif. Technol. 2017, 176, 8–14. [Google Scholar] [CrossRef]
  68. Harit, T.; Bellaouchi, R.; Mokhtari, C.; El Bali, B.; Asehraou, A.; Malek, F. New generation of tetrapyrazolic macrocycles: Synthesis and examination of their complexation properties and antibacterial activity. Tetrahedron 2017, 73, 5138–5143. [Google Scholar] [CrossRef]
  69. Harit, T.; Cherfi, M.; Abouloifa, H.; Isaad, J.; Bouabdallah, I.; Rahal, M.; Asehraou, A.; Malek, F. Synthesis, Characterization, Antibacterial Properties and DFT Studies of Two New Polypyrazolic Macrocycles. Polycycl. Aromat. Compd. 2020, 40, 1459–1469. [Google Scholar] [CrossRef]
  70. Radi, S.; Yahyi, A.; Ramdani, A.; Zidane, I.; Hacht, B. A new tetrapyrazolic macrocycle. Synthesis and its use in extraction and transport of K+, Na+ and Li+. Tetrahedron 2006, 62, 9153–9155. [Google Scholar] [CrossRef]
  71. Radi, S.; Ramdani, A.; Lekchiri, Y.; Morcellet, M.; Crini, G.; Janus, L. New tetrapyrazolic macrocycle. Synthesis and preliminary use in metal ion extraction. Tetrahedron 2004, 60, 939–942. [Google Scholar] [CrossRef]
  72. Tarrago, G.; Zidane, I.; Marzin, C.; Tep, A. Synthesis and ionophore properties of a series of new tetrapyrazolic macrocycles. Tetrahedron 1988, 44, 91–100. [Google Scholar] [CrossRef]
  73. Harit, T.; Isaad, J.; Malek, F. Novel efficient functionalized tetrapyrazolic macrocycle for the selective extraction of lithium cations. Tetrahedron 2016, 72, 2227–2232. [Google Scholar] [CrossRef]
  74. Harit, T.; Malek, F. Elaboration of new thin solid membrane bearing a tetrapyrazolic macrocycle for the selective transport of lithium cation. Sep. Purif. Technol. 2017, 188, 394–398. [Google Scholar] [CrossRef]
  75. Dahmani, M.; Harit, T.; Et-Touhami, A.; Yahyi, A.; Eddike, D.; Tillard, M.; Benabbes, R. Two novel macrocyclic organotin (IV) carboxylates based on bipyrazoledicarboxylic acid derivatives: Syntheses, crystal structures and antifungal activities. J. Organomet. Chem. 2021, 948, 121913. [Google Scholar] [CrossRef]
Figure 1. Final step of the synthesis of macrocycles 1 and 2 (Reprinted with permission from ref. [15]. Copyright 2003 Elsevier).
Figure 1. Final step of the synthesis of macrocycles 1 and 2 (Reprinted with permission from ref. [15]. Copyright 2003 Elsevier).
Molecules 27 02123 g001
Figure 2. Structures of macrocycles reported by Nshimyumukiza et al. [16] (Reprinted with permission from ref. [16]. Copyright 2010 Elsevier).
Figure 2. Structures of macrocycles reported by Nshimyumukiza et al. [16] (Reprinted with permission from ref. [16]. Copyright 2010 Elsevier).
Molecules 27 02123 g002
Figure 3. Structures of macrocycles 810 (Reprinted with permission from ref. [18]. Copyright 2011 John Wiley and Sons).
Figure 3. Structures of macrocycles 810 (Reprinted with permission from ref. [18]. Copyright 2011 John Wiley and Sons).
Molecules 27 02123 g003
Figure 4. Structures of macrocycles 1114 (Reprinted with permission from ref. [19]. Copyright 2018 Elsevier).
Figure 4. Structures of macrocycles 1114 (Reprinted with permission from ref. [19]. Copyright 2018 Elsevier).
Molecules 27 02123 g004
Figure 5. Structures of macrocycles 1522 (Reprinted with permission from ref. [20]. Copyright 2011 Elsevier).
Figure 5. Structures of macrocycles 1522 (Reprinted with permission from ref. [20]. Copyright 2011 Elsevier).
Molecules 27 02123 g005
Figure 6. Structures of conformational macrocycles 23 and 24 (Reprinted with permission from ref. [21]. Copyright 2018 John Wiley and Sons).
Figure 6. Structures of conformational macrocycles 23 and 24 (Reprinted with permission from ref. [21]. Copyright 2018 John Wiley and Sons).
Molecules 27 02123 g006
Figure 7. Structures of cyclophanes 2528 (Reprinted with permission from ref. [22]. Copyright 2018 Elsevier).
Figure 7. Structures of cyclophanes 2528 (Reprinted with permission from ref. [22]. Copyright 2018 Elsevier).
Molecules 27 02123 g007
Figure 8. Imidazolic macrocycle 29 and its silver complex (Reprinted with permission from ref. [23]. Copyright 2019 Royal Society of Chemistry).
Figure 8. Imidazolic macrocycle 29 and its silver complex (Reprinted with permission from ref. [23]. Copyright 2019 Royal Society of Chemistry).
Molecules 27 02123 g008
Figure 9. Synthetic pathway of macrocyclic imidazolylboranes 3033 (Reprinted with permission from ref. [24]. Copyright 2003 Elsevier).
Figure 9. Synthetic pathway of macrocyclic imidazolylboranes 3033 (Reprinted with permission from ref. [24]. Copyright 2003 Elsevier).
Molecules 27 02123 g009
Figure 10. Tetrameric boron–imidazole macrocycles 34 and 35 (Reprinted with permission from ref. [25]. Copyright 2012 Elsevier).
Figure 10. Tetrameric boron–imidazole macrocycles 34 and 35 (Reprinted with permission from ref. [25]. Copyright 2012 Elsevier).
Molecules 27 02123 g010
Figure 11. Synthetic route of macrocycle 37 (Reprinted with permission from ref. [26]. Copyright 2003 John Wiley and Sons).
Figure 11. Synthetic route of macrocycle 37 (Reprinted with permission from ref. [26]. Copyright 2003 John Wiley and Sons).
Molecules 27 02123 g011
Figure 12. Synthesis of tetra-imidazolic macrocycle salt 38 (Reprinted with permission from ref. [27]. Copyright 2005 Royal Society of Chemistry).
Figure 12. Synthesis of tetra-imidazolic macrocycle salt 38 (Reprinted with permission from ref. [27]. Copyright 2005 Royal Society of Chemistry).
Molecules 27 02123 g012
Figure 13. Synthesis of montetrazolic macrocycles 3943 (Reprinted with permission from ref. [28]. Copyright 2010 John Wiley and Sons).
Figure 13. Synthesis of montetrazolic macrocycles 3943 (Reprinted with permission from ref. [28]. Copyright 2010 John Wiley and Sons).
Molecules 27 02123 g013
Figure 14. Monetetrazole containing macrocycles 4447.
Figure 14. Monetetrazole containing macrocycles 4447.
Molecules 27 02123 g014
Figure 15. Elaboration of macrocycles 48 and 49 (Reprinted with permission from ref. [30]. Copyright 2012 Elsevier).
Figure 15. Elaboration of macrocycles 48 and 49 (Reprinted with permission from ref. [30]. Copyright 2012 Elsevier).
Molecules 27 02123 g015
Figure 16. Copper complexes based on tetrazolic macrocycle 48 (Reprinted with permission from ref. [31]. Copyright 2017 American Chemical Societ).
Figure 16. Copper complexes based on tetrazolic macrocycle 48 (Reprinted with permission from ref. [31]. Copyright 2017 American Chemical Societ).
Molecules 27 02123 g016
Figure 17. Structures of tetra-tetrazolic macrocycles 5065 (Reprinted with permission from ref. [32]. Copyright 2007 Elsevier).
Figure 17. Structures of tetra-tetrazolic macrocycles 5065 (Reprinted with permission from ref. [32]. Copyright 2007 Elsevier).
Molecules 27 02123 g017
Figure 18. Tetrazolic macrocycles 6669 (Reprinted with permission from ref. [33]. Copyright 2009 Elsevier).
Figure 18. Tetrazolic macrocycles 6669 (Reprinted with permission from ref. [33]. Copyright 2009 Elsevier).
Molecules 27 02123 g018
Figure 19. Tetrazolic macrocycle bearing pyridine moiety 7073 (Reprinted with permission from ref. [34]. Copyright 2011 Elsevier).
Figure 19. Tetrazolic macrocycle bearing pyridine moiety 7073 (Reprinted with permission from ref. [34]. Copyright 2011 Elsevier).
Molecules 27 02123 g019
Figure 20. Structures of 1,2,4 Bitriazolic macrocycle 7480 (Reprinted with permission from ref. [36]. Copyright 2007 John Wiley and Sons).
Figure 20. Structures of 1,2,4 Bitriazolic macrocycle 7480 (Reprinted with permission from ref. [36]. Copyright 2007 John Wiley and Sons).
Molecules 27 02123 g020
Figure 21. Alkylation of triazolic macrocycles 81 and 82 (Reprinted with permission from ref. [38]. Copyright 2009 © Georg Thieme Verlag KG).
Figure 21. Alkylation of triazolic macrocycles 81 and 82 (Reprinted with permission from ref. [38]. Copyright 2009 © Georg Thieme Verlag KG).
Molecules 27 02123 g021
Figure 22. Cyclisation reaction to obtain macrocycles 8792 (Reprinted with permission from ref. [39]. Copyright 2009 Elsevier).
Figure 22. Cyclisation reaction to obtain macrocycles 8792 (Reprinted with permission from ref. [39]. Copyright 2009 Elsevier).
Molecules 27 02123 g022
Figure 23. Structure of tetra-triazolic macrocycle 93 (Reprinted with permission from ref. [42]. Copyright 2012 John Wiley and Sons).
Figure 23. Structure of tetra-triazolic macrocycle 93 (Reprinted with permission from ref. [42]. Copyright 2012 John Wiley and Sons).
Molecules 27 02123 g023
Figure 24. Effect of the catalyst nature on cyclisation (Reprinted with permission from ref. [44]. Copyright 2009 American Chemical Societ).
Figure 24. Effect of the catalyst nature on cyclisation (Reprinted with permission from ref. [44]. Copyright 2009 American Chemical Societ).
Molecules 27 02123 g024
Figure 25. Structures of monotriazolic macrocycles 96101 (Reprinted with permission from ref. [45]. Copyright 2010 John Wiley and Sons).
Figure 25. Structures of monotriazolic macrocycles 96101 (Reprinted with permission from ref. [45]. Copyright 2010 John Wiley and Sons).
Molecules 27 02123 g025
Figure 26. Structures of tetra-triazolic macrocycles 102104 (Reprinted with permission from ref. [46]. Copyright 2011 American Chemical Societ).
Figure 26. Structures of tetra-triazolic macrocycles 102104 (Reprinted with permission from ref. [46]. Copyright 2011 American Chemical Societ).
Molecules 27 02123 g026
Figure 27. Structures of monatriazolic macrocycles 105116 as inhibitors of norovirus 3CL protease (Reprinted with permission from ref. [47]. Copyright 2016 Elsevier).
Figure 27. Structures of monatriazolic macrocycles 105116 as inhibitors of norovirus 3CL protease (Reprinted with permission from ref. [47]. Copyright 2016 Elsevier).
Molecules 27 02123 g027
Figure 28. General structures of monatriazolic macrocycles 117119 (Reprinted with permission from ref. [48]. Copyright 2018 John Wiley and Sons).
Figure 28. General structures of monatriazolic macrocycles 117119 (Reprinted with permission from ref. [48]. Copyright 2018 John Wiley and Sons).
Molecules 27 02123 g028
Figure 29. Structures of bitriazolic macrocycles 120123 with different size cavities (Reprinted with permission from ref. [49]. Copyright 2009 John Wiley and Sons).
Figure 29. Structures of bitriazolic macrocycles 120123 with different size cavities (Reprinted with permission from ref. [49]. Copyright 2009 John Wiley and Sons).
Molecules 27 02123 g029
Figure 30. Structures of bitriazolic macrocycles 124 (Reprinted with permission from ref. [50]. Copyright 2012 Elsevier).
Figure 30. Structures of bitriazolic macrocycles 124 (Reprinted with permission from ref. [50]. Copyright 2012 Elsevier).
Molecules 27 02123 g030
Figure 31. Ferrocene-containing macrocyclic triazoles 125 and 126 (Reprinted with permission from ref. [52]. Copyright 2016 Elsevier).
Figure 31. Ferrocene-containing macrocyclic triazoles 125 and 126 (Reprinted with permission from ref. [52]. Copyright 2016 Elsevier).
Molecules 27 02123 g031
Figure 32. Macrocycles containing two, three, and four 1,2,3-triazole motifs 127129 (Reprinted with permission from ref. [53]. Copyright 2012 © Georg Thieme Verlag KG).
Figure 32. Macrocycles containing two, three, and four 1,2,3-triazole motifs 127129 (Reprinted with permission from ref. [53]. Copyright 2012 © Georg Thieme Verlag KG).
Molecules 27 02123 g032
Figure 33. Triazolic macrocycles 130 and 131 with good anion-complexing properties (Reprinted with permission from ref. [54]. Copyright 2012 Royal Society of Chemistry).
Figure 33. Triazolic macrocycles 130 and 131 with good anion-complexing properties (Reprinted with permission from ref. [54]. Copyright 2012 Royal Society of Chemistry).
Molecules 27 02123 g033
Figure 34. Structure of macrocycle 132 as selective sensor towards Cu2+ (Reprinted with permission from ref. [55]. Copyright 2016 Elsevier).
Figure 34. Structure of macrocycle 132 as selective sensor towards Cu2+ (Reprinted with permission from ref. [55]. Copyright 2016 Elsevier).
Molecules 27 02123 g034
Figure 35. The structure of 1H-pyrazole cyclophane 133 (Reprinted with permission from ref. [56]. Copyright 2013 American Chemical Societ).
Figure 35. The structure of 1H-pyrazole cyclophane 133 (Reprinted with permission from ref. [56]. Copyright 2013 American Chemical Societ).
Molecules 27 02123 g035
Figure 36. Synthetic pathway of bipyrazolic macrocycle 134 (Reprinted with permission from ref. [58]. Copyright 2010 Royal Society of Chemistry).
Figure 36. Synthetic pathway of bipyrazolic macrocycle 134 (Reprinted with permission from ref. [58]. Copyright 2010 Royal Society of Chemistry).
Molecules 27 02123 g036
Figure 37. Macrocycles 135138 containing two and three pyrazolic moieties (Reprinted with permission from ref. [59]. Copyright 2011 American Chemical Societ).
Figure 37. Macrocycles 135138 containing two and three pyrazolic moieties (Reprinted with permission from ref. [59]. Copyright 2011 American Chemical Societ).
Molecules 27 02123 g037
Figure 38. Phosphorus bipyrazolic macrocycles 139142 (Reprinted with permission from ref. [60]. Copyright 2013 TÜBİTAK).
Figure 38. Phosphorus bipyrazolic macrocycles 139142 (Reprinted with permission from ref. [60]. Copyright 2013 TÜBİTAK).
Molecules 27 02123 g038
Figure 39. Structure of macrocycles 143146 (Reprinted with permission from ref. [61]. Copyright 2012 American Chemical Societ).
Figure 39. Structure of macrocycles 143146 (Reprinted with permission from ref. [61]. Copyright 2012 American Chemical Societ).
Molecules 27 02123 g039
Figure 40. Tetrapyrazolic macrocycles 147149 with functionalised lateral arms.
Figure 40. Tetrapyrazolic macrocycles 147149 with functionalised lateral arms.
Molecules 27 02123 g040
Figure 41. Other tetrapyrazolic macrocycles 150152 with two sidearms.
Figure 41. Other tetrapyrazolic macrocycles 150152 with two sidearms.
Molecules 27 02123 g041
Figure 42. Tetrapyrazolic macrocycles 153 and 154 with one lateral arm (Reprinted with permission from ref. [71] Copyright 2006 Elsevier; Reprinted with permission from ref. [71] Copyright 2004 Elsevier).
Figure 42. Tetrapyrazolic macrocycles 153 and 154 with one lateral arm (Reprinted with permission from ref. [71] Copyright 2006 Elsevier; Reprinted with permission from ref. [71] Copyright 2004 Elsevier).
Molecules 27 02123 g042
Figure 43. Tetrapyrazolic macrocycles 155 with one aromatic lateral arm.
Figure 43. Tetrapyrazolic macrocycles 155 with one aromatic lateral arm.
Molecules 27 02123 g043
Figure 44. Organotin (IV) bipyrazole-dicarboxylate macrocyclic complexes 156 and 157.
Figure 44. Organotin (IV) bipyrazole-dicarboxylate macrocyclic complexes 156 and 157.
Molecules 27 02123 g044
Publisher’s Note: MDPI stays neutral with regard to jurisdictional claims in published maps and institutional affiliations.

Share and Cite

MDPI and ACS Style

Malek, F.; Harit, T.; Cherfi, M.; Kim, B. Insights on the Synthesis of N-Heterocycles Containing Macrocycles and Their Complexion and Biological Properties. Molecules 2022, 27, 2123. https://doi.org/10.3390/molecules27072123

AMA Style

Malek F, Harit T, Cherfi M, Kim B. Insights on the Synthesis of N-Heterocycles Containing Macrocycles and Their Complexion and Biological Properties. Molecules. 2022; 27(7):2123. https://doi.org/10.3390/molecules27072123

Chicago/Turabian Style

Malek, Fouad, Tarik Harit, Mounir Cherfi, and Bonglee Kim. 2022. "Insights on the Synthesis of N-Heterocycles Containing Macrocycles and Their Complexion and Biological Properties" Molecules 27, no. 7: 2123. https://doi.org/10.3390/molecules27072123

APA Style

Malek, F., Harit, T., Cherfi, M., & Kim, B. (2022). Insights on the Synthesis of N-Heterocycles Containing Macrocycles and Their Complexion and Biological Properties. Molecules, 27(7), 2123. https://doi.org/10.3390/molecules27072123

Article Metrics

Back to TopTop