CNSL, a Promising Building Blocks for Sustainable Molecular Design of Surfactants: A Critical Review
Abstract
1. Introduction
2. Cashew NutShell Liquid
3. Synthesis of CNSL-Based Surfactants
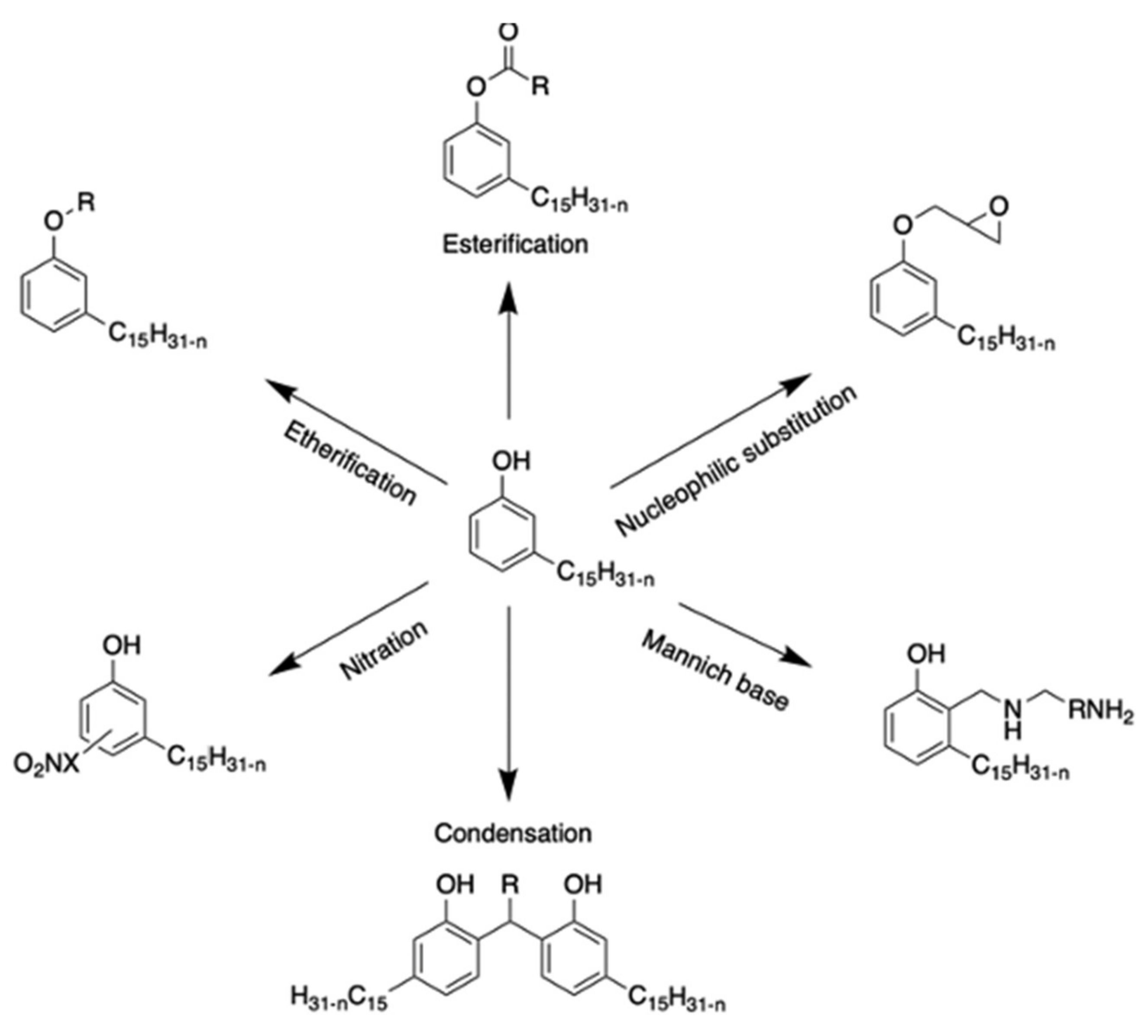
3.1. Introduction
3.2. Anionic Surfactants Based on CNSL
3.2.1. Carboxylated CNSL-Based Surfactants
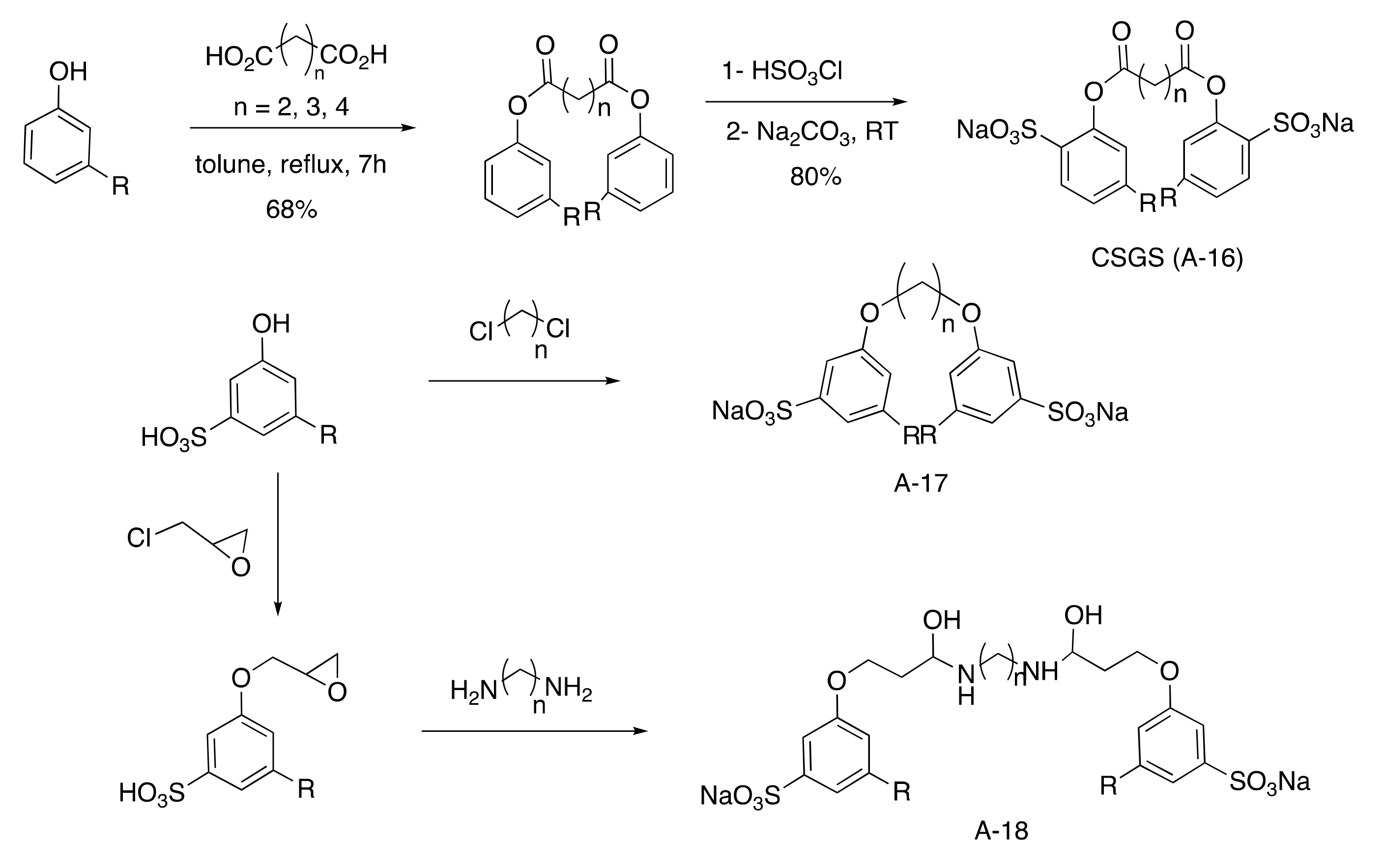
3.2.2. Sulfonated CNSL-Based Surfactants
Aromatic Sulfonated Surfactants
Gemini Aromatic Sulfonated Surfactants
Aliphatic Sulfonated Surfactants
3.3. Cationic Surfactants Based on CNSL
3.3.1. Ammonium Derivatives of Cardanol
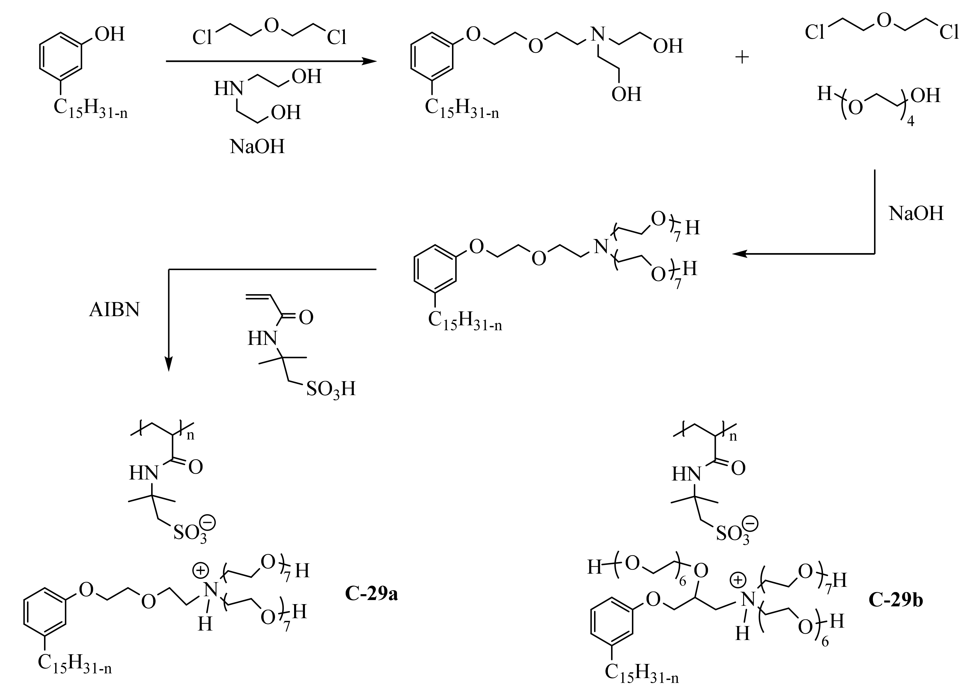
3.3.2. Macromolecular Ammonium CNSL-Based Surfactants
3.3.3. Pyridinium Derivatives of Cardanol
3.3.4. Imidazolium Derivatives of Cardanol
3.3.5. Pyrazolium and Thiazolium CNSL-Based Surfactants
3.4. Zwitterionic Surfactants Based on CNSL
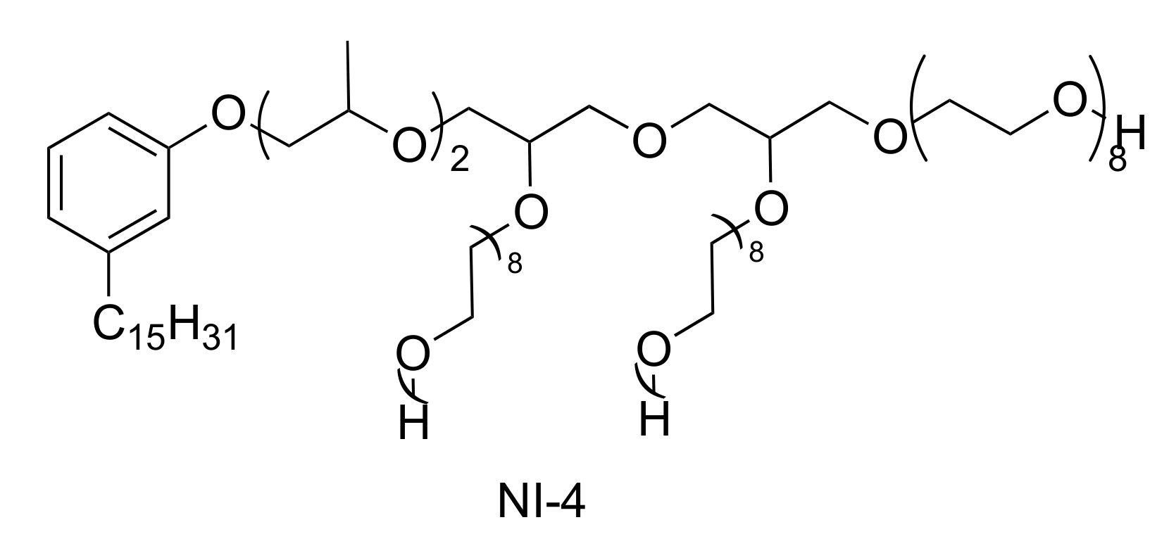
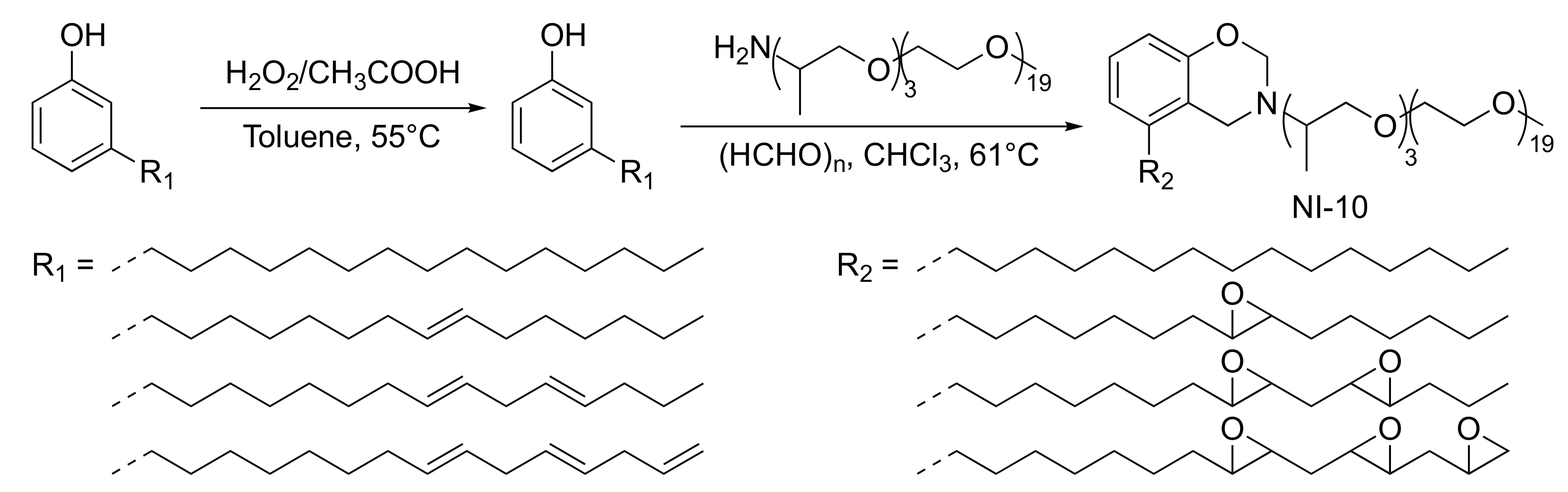
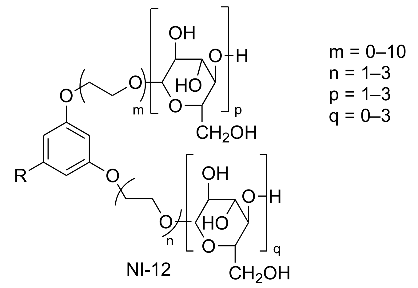
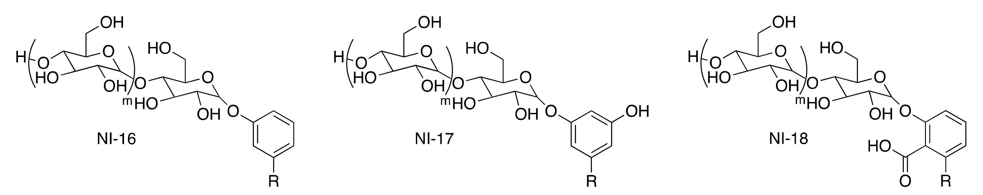
3.5. Nonionic Surfactants Based on CNSL
3.5.1. Partially Biobased CNSL-Based Surfactants
CNSL-Based Surfactant with Ethoxy Head
CNSL-Based Surfactant with Polyoxazoline Head
3.5.2. Highly Biobased CNSL-Based Surfactants
4. Structure-Property Relationship for CNSL-Based Surfactants
- Anionic CNSL-based surfactants
- Cationic CNSL-based surfactants
- Zwitterionic CNSL-based surfactants
- Nonionic CNSL-based surfactants
4.1. Influence of the Polar Head
4.2. Influence of the Alkyl Chain
4.3. Gemini Surfactants
4.4. Biological Activity, Cytotoxicity, and Biodegradability
4.5. Comparison between CNSL-Based and Conventional Surfactants
4.6. Applications of CNSL-Based Surfactants
5. Perspective and Conclusions
Author Contributions
Funding
Institutional Review Board Statement
Informed Consent Statement
Data Availability Statement
Conflicts of Interest
References
- Weiss, M.; Haufe, J.; Carus, M.; Brandão, M.; Bringezu, S.; Hermann, B.; Patel, M.K. A Review of the Environmental Impacts of Biobased Materials. J. Ind. Ecol. 2012, 16, S169–S181. [Google Scholar] [CrossRef]
- Holmberg, A.L.; Reno, K.H.; Wool, R.P.; Epps, I.I.I.T.H. Biobased building blocks for the rational design of renewable block polymers. Soft Matter 2014, 10, 7405–7424. [Google Scholar] [CrossRef] [PubMed]
- Mesnage, R.; Séralini, G.-E. Editorial: Toxicity of Pesticides on Health and Environment. Front. Public Health 2018, 6. [Google Scholar] [CrossRef] [PubMed]
- Bolívar-Subirats, G.; Rivetti, C.; Cortina-Puig, M.; Barata, C.; Lacorte, S. Occurrence, toxicity and risk assessment of plastic additives in Besos river, Spain. Chemosphere 2021, 263, 128022. [Google Scholar] [CrossRef] [PubMed]
- Baralić, K.; Buha Djordjevic, A.; Živančević, K.; Antonijević, E.; Anđelković, M.; Javorac, D.; Ćurčić, M.; Bulat, Z.; Antonijević, B.; Đukić-Ćosić, D. Toxic Effects of the Mixture of Phthalates and Bisphenol A—Subacute Oral Toxicity Study in Wistar Rats. Int. J. Environ. Res. Public Health 2020, 17, 746. [Google Scholar] [CrossRef]
- Naveira, C.; Rodrigues, N.; Santos, F.S.; Santos, L.N.; Neves, R.A.F. Acute toxicity of Bisphenol A (BPA) to tropical marine and estuarine species from different trophic groups. Environ. Pollut. 2021, 268, 115911. [Google Scholar] [CrossRef]
- Horváth, I.T. Introduction: Sustainable Chemistry. Chem. Rev. 2018, 118, 369–371. [Google Scholar] [CrossRef]
- Anastas, P.T.; Warner, J.C. Green chemistry. Frontiers 1998, 640, 1998. [Google Scholar]
- Brown, B.J.; Hanson, M.E.; Liverman, D.M.; Merideth, R.W. Global sustainability: Toward definition. Environ. Manag. 1987, 11, 713–719. [Google Scholar] [CrossRef]
- Marion, P.; Bernela, B.; Piccirilli, A.; Estrine, B.; Patouillard, N.; Guilbot, J.; Jérôme, F. Sustainable chemistry: How to produce better and more from less? Green Chem. 2017, 19, 4973–4989. [Google Scholar] [CrossRef]
- Lewis, M.A. Chronic and sublethal toxicities of surfactants to aquatic animals: A review and risk assessment. Water Res. 1991, 25, 101–113. [Google Scholar] [CrossRef]
- Drobeck, H. Current Topics on the Toxicity of Cationic Surfactants. In Cationic Surfactants; CRC Press: Boca Raton, FL, USA, 1994; p. 34. [Google Scholar] [CrossRef]
- Attwood, D.; Florence, A.T. Aspects of surfactant toxicity. In Surfactant Systems: Their Chemistry, Pharmacy and Biology; Attwood, D., Florence, A.T., Eds.; Springer: Dordrecht, The Netherlands, 1983; pp. 614–697. [Google Scholar] [CrossRef]
- Stubenrauch, C. Sugar surfactants—Aggregation, interfacial, and adsorption phenomena. Curr. Opin. Colloid Interface Sci. 2001, 6, 160–170. [Google Scholar] [CrossRef]
- Vafakish, B.; Wilson, L.D. A Review on Recent Progress of Glycan-Based Surfactant Micelles as Nanoreactor Systems for Chemical Synthesis Applications. Polysaccharides 2021, 2, 12. [Google Scholar] [CrossRef]
- Valerio, O.; Misra, M.; Mohanty, A.K. Poly(glycerol-co-diacids) Polyesters: From Glycerol Biorefinery to Sustainable Engineering Applications, A Review. ACS Sustain. Chem. Eng. 2018, 6, 5681–5693. [Google Scholar] [CrossRef]
- Sutter, M.; Silva, E.D.; Duguet, N.; Raoul, Y.; Métay, E.; Lemaire, M. Glycerol Ether Synthesis: A Bench Test for Green Chemistry Concepts and Technologies. Chem. Rev. 2015, 115, 8609–8651. [Google Scholar] [CrossRef]
- Alwadani, N.; Fatehi, P. Synthetic and lignin-based surfactants: Challenges and opportunities. Carbon Resour. Convers. 2018, 1, 126–138. [Google Scholar] [CrossRef]
- Christen, V.; Mittner, F.; Fent, K. Molecular Effects of Neonicotinoids in Honey Bees (Apis mellifera). Environ. Sci. Technol. 2016, 50, 4071–4081. [Google Scholar] [CrossRef]
- Woodcock, B.A.; Bullock, J.M.; Shore, R.F.; Heard, M.S.; Pereira, M.G.; Redhead, J.; Ridding, L.; Dean, H.; Sleep, D.; Henrys, P.; et al. Country-specific effects of neonicotinoid pesticides on honey bees and wild bees. Science 2017, 356, 1393–1395. [Google Scholar] [CrossRef] [PubMed]
- Wang, L.; Queneau, Y. Carbohydrate-Based Amphiphiles: Resource for Bio-based Surfactants. In Green Chemistry and Chemical Engineering; Han, B., Wu, T., Eds.; Springer: New York, NY, USA, 2019; pp. 349–383. [Google Scholar] [CrossRef]
- Bhadani, A.; Kafle, A.; Ogura, T.; Akamatsu, M.; Sakai, K.; Sakai, H.; Abe, M. Current perspective of sustainable surfactants based on renewable building blocks. Curr. Opin. Colloid Interface Sci. 2020, 45, 124–135. [Google Scholar] [CrossRef]
- Foley, P.; Beach, E.S.; Zimmerman, J.B. Derivation and synthesis of renewable surfactants. Chem. Soc. Rev. 2012, 41, 1499–1518. [Google Scholar] [CrossRef]
- Yang, X.H.; Wang, Z.M.; Jing, F.; Hu, L.H.; Zhou, Y.H. A Brief Review of Cardanol-Based Surfactants. Appl. Mech. Mater. 2014, 483, 83–87. [Google Scholar] [CrossRef]
- Caillol, S. Cardanol: A promising building block for biobased polymers and additives. Curr. Opin. Green Sustain. Chem. 2018, 14, 26–32. [Google Scholar] [CrossRef]
- Voirin, C.; Caillol, S.; Sadavarte, N.V.; Tawade, B.V.; Boutevin, B.; Wadgaonkar, P.P. Functionalization of cardanol: Towards biobased polymers and additives. Polym. Chem. 2014, 5, 3142–3162. [Google Scholar] [CrossRef]
- Ábrego, J.; Plaza, D.; Luño, F.; Atienza-Martínez, M.; Gea, G. Pyrolysis of cashew nutshells: Characterization of products and energy balance. Energy 2018, 158, 72–80. [Google Scholar] [CrossRef]
- Senthil Kumar, P.; Arun Kumar, N.; Sivakumar, R.; Kaushik, C. Experimentation on solvent extraction of polyphenols from natural waste. J. Mater. Sci. 2009, 44, 5894–5899. [Google Scholar] [CrossRef]
- Chaudhari, A.P.; Thakor, N.J. Extraction of CNSL usign screw pressing. Asian J. Biol. Life Sci. 2015, 4, 71–75. [Google Scholar]
- Shobha, S.V.; Ravindranath, B. Supercritical carbon dioxide and solvent extraction of the phenolic lipids of cashew nut (Anacardium occidentale) shells. J. Agric. Food Chem. 1991, 39, 2214–2217. [Google Scholar] [CrossRef]
- Patel, R.N.; Bandyopadhyay, S.; Ganesh, A. Extraction of cashew (Anacardium occidentale) nut shell liquid using supercritical carbon dioxide. Bioresour. Technol. 2006, 97, 847–853. [Google Scholar] [CrossRef]
- Chatterjee, S.; Dhanurdhar; Rokhum, L. Extraction of a cardanol based liquid bio-fuel from waste natural resource and decarboxylation using a silver-based catalyst. Renew. Sustain. Energy Rev. 2017, 72, 560–564. [Google Scholar] [CrossRef]
- Paramashivappa, R.; Kumar, P.P.; Vithayathil, P.J.; Rao, A.S. Novel Method for Isolation of Major Phenolic Constituents from Cashew (Anacardium occidentale L.) Nut Shell Liquid. J. Agric. Food Chem. 2001, 49, 2548–2551. [Google Scholar] [CrossRef]
- Durrani, A.A.; Davis, G.L.; Sood, S.K.; Tychopoulos, V.; Tyman, J.H.P. Long-chain phenols. Part 231 practical separations of the component phenols in technical cashew nut-shell liquid (Anacardium occidentale): Distillation procedures for obtaining cardanol. J. Chem. Technol. Biotechnol. 1982, 32, 681–690. [Google Scholar] [CrossRef]
- Phani Kumar, P.; Paramashivappa, R.; Vithayathil, P.J.; Subba Rao, P.V.; Srinivasa Rao, A. Process for Isolation of Cardanol from Technical Cashew (Anacardium occidentale L.) Nut Shell Liquid. J. Agric. Food Chem. 2002, 50, 4705–4708. [Google Scholar] [CrossRef] [PubMed]
- Yuliana, M.; Nguyen-Thi, B.T.; Faika, S.; Huynh, L.H.; Soetaredjo, F.E.; Ju, Y.-H. Separation and purification of cardol, cardanol and anacardic acid from cashew (Anacardium occidentale L.) nut-shell liquid using a simple two-step column chromatography. J. Taiwan Inst. Chem. Eng. 2014, 45, 2187–2193. [Google Scholar] [CrossRef][Green Version]
- Chen, Y.-P.; He, X.-Y.; Dayo, A.Q.; Wang, J.-Y.; Liu, W.-B.; Wang, J.; Tang, T. Synthesis and characterization of cardanol containing tetra-functional fluorene-based benzoxazine resin having two different oxazine ring structures. Polymer 2019, 179, 121620. [Google Scholar] [CrossRef]
- Feng, J.; Zhao, H.; Yue, S.; Liu, S. One-Pot Synthesis of Cardanol-Derived High-Efficiency Antioxidants Based on Intramolecular Synergism. ACS Sustain. Chem. Eng. 2017, 5, 3399–3408. [Google Scholar] [CrossRef]
- Jia, P.; Hu, L.; Shang, Q.; Wang, R.; Zhang, M.; Zhou, Y. Self-Plasticization of PVC Materials via Chemical Modification of Mannich Base of Cardanol Butyl Ether. ACS Sustain. Chem. Eng. 2017, 5, 6665–6673. [Google Scholar] [CrossRef]
- Wenzheng, Z.; Ning, J.; Tingting, Z.; Tiansheng, L. Thermal stability and thermal degradation study of phenolic resin modified by cardanol. Emerg. Mater. Res. 2020, 9, 180–185. [Google Scholar] [CrossRef]
- Briou, B.; Caillol, S.; Robin, J.J.; Lapinte, V. Cardanol-Based and Formaldehyde-Free Flexible Phenolic Networks. Eur. J. Lipid Sci. Technol. 2018, 120, 8. [Google Scholar] [CrossRef]
- Ganfoud, R.; Guigo, N.; Puchot, L.; Verge, P.; Sbirrazzuoli, N. Investigation on the role of the alkyl side chain of cardanol on benzoxazine polymerization and polymer properties. Eur. Polym. J. 2019, 119, 120–129. [Google Scholar] [CrossRef]
- Sharma, P.; Lochab, B.; Kumar, D.; Roy, P.K. Sustainable Bis-benzoxazines from Cardanol and PET-Derived Terephthalamides. ACS Sustain. Chem. Eng. 2016, 4, 1085–1093. [Google Scholar] [CrossRef]
- Briou, B.; Caillol, S.; Robin, J.-J.; Lapinte, V. Non-endocrine disruptor effect for cardanol based plasticizer. Ind. Crops Prod. 2019, 130, 1–8. [Google Scholar] [CrossRef]
- Antony, R. Synthesis, characterization, and thermal studies of cardanol-based polyphosphate esters. J. Polym. Sci. Part A Polym. Chem. 1993, 31, 3187–3191. [Google Scholar] [CrossRef]
- Chen, J.; Nie, X.; Liu, Z.; Mi, Z.; Zhou, Y. Synthesis and Application of Polyepoxide Cardanol Glycidyl Ether as Biobased Polyepoxide Reactive Diluent for Epoxy Resin. ACS Sustain. Chem. Eng. 2015, 3, 1164–1171. [Google Scholar] [CrossRef]
- Li, X.; Nie, X.; Chen, J.; Wang, Y. Preparation of epoxidized cardanol butyl ether as a novel renewable plasticizer and its application for poly(vinyl chloride). Polym. Int. 2017, 66, 443–449. [Google Scholar] [CrossRef]
- Faye, I.; Besse, V.; David, G.; Caillol, S. Sustainable cardanol-based ionic surfactants. Green Mater. 2017, 5, 144–152. [Google Scholar] [CrossRef]
- Chen, Y.-P.; Dayo, A.Q.; Zhang, H.-Y.; Wang, A.-R.; Wang, J.; Liu, W.-B.; Yang, Y.; Qin, Q.-R.; Yang, Y.-G. Synthesis of cardanol-based phthalonitrile monomer and its copolymerization with phenol–aniline-based benzoxazine. J. Appl. Polym. Sci. 2019, 136, 47505. [Google Scholar] [CrossRef]
- Mohapatra, S.; Nando, G.B. Cardanol: A green substitute for aromatic oil as a plasticizer in natural rubber. RSC Adv. 2014, 4, 15406–15418. [Google Scholar] [CrossRef]
- Paiva, G.M.S.; Freitas, A.R.; Nobre, F.X.; Leite, C.M.S.; Matos, J.M.E.; Rios, M.A.S. Kinetic and thermal stability study of hydrogenated cardanol and alkylated hydrogenated cardanol. J. Therm. Anal. Calorim. 2015, 120, 1617–1625. [Google Scholar] [CrossRef]
- Madhusudhan, V.; Sivasamban, M.A.; Vaidyeswaran, R.; Rao, M.B. Kinetics of hydrogenation of cardanol. Ind. Eng. Chem. Process Des. Dev. 1981, 20, 625–629. [Google Scholar] [CrossRef]
- Jaillet, F.; Darroman, E.; Ratsimihety, A.; Boutevin, B.; Caillol, S. Synthesis of cardanol oil building blocks for polymer synthesis. Green Mater. 2015, 3, 59–70. [Google Scholar] [CrossRef]
- Shrestha, M.L.; Ionescu, M.; Wan, X.; Bili, N.; Petrovi, Z.C.; Upshaw, T. Biobased Aromatic-Aliphatic Polyols from Cardanol by Thermal Thiol-Ene Reaction. J. Renew. Mater. 2018, 6, 87–101. [Google Scholar] [CrossRef]
- Fu, C.; Liu, J.; Xia, H.; Shen, L. Effect of structure on the properties of polyurethanes based on aromatic cardanol-based polyols prepared by thiol-ene coupling. Prog. Org. Coat. 2015, 83, 19–25. [Google Scholar] [CrossRef]
- Briou, B.; Améduri, B.; Boutevin, B. Trends in the Diels–Alder reaction in polymer chemistry. Chem. Soc. Rev. 2021, 50, 11055–11097. [Google Scholar] [CrossRef]
- Greco, A.; Ferrari, F. Thermal behavior of PLA plasticized by commercial and cardanol-derived plasticizers and the effect on the mechanical properties. J. Therm. Anal. Calorim. 2021, 146, 131–141. [Google Scholar] [CrossRef]
- Bhaumik, S.; Paleu, V.; Chowdhury, D.; Pranav, M.M.; Paleu Cîrlan, C. Investigating the friction reduction capability of dimpled surface using CNSL as lubricant. IOP Conf. Ser. Mater. Sci. Eng. 2020, 997, 012003. [Google Scholar] [CrossRef]
- Selvamuthukumar, M.; Harish babu, B.; Bobba, S.; Baskar, S.; Joy, N. Investigation on the lubricating behavior of cashew nut shell liquid oil as a renewable and reliable petrochemical product. Mater. Today Proc. 2021, 44, 3583–3588. [Google Scholar] [CrossRef]
- Aggarwal, L.K.; Thapliyal, P.C.; Karade, S.R. Anticorrosive properties of the epoxy–cardanol resin based paints. Prog. Org. Coat. 2007, 59, 76–80. [Google Scholar] [CrossRef]
- Atta, A.M.; Al-Hodan, H.A.; Hameed, R.S.A.; Ezzat, A.O. Preparation of green cardanol-based epoxy and hardener as primer coatings for petroleum and gas steel in marine environment. Prog. Org. Coat. 2017, 111, 283–293. [Google Scholar] [CrossRef]
- Sarika, P.R.; Nancarrow, P.; Khansaheb, A.; Ibrahim, T. Bio-Based Alternatives to Phenol and Formaldehyde for the Production of Resins. Polymers 2020, 12, 2237. [Google Scholar] [CrossRef]
- Mythili, C.V.; Retna, A.M.; Gopalakrishnan, S. Synthesis, mechanical, thermal and chemical properties of polyurethanes based on cardanol. Bull. Mater. Sci. 2004, 27, 235–241. [Google Scholar] [CrossRef]
- De Abreu Silva, M.; Sette, C.D.A.B.; Kiametis, A.S.; Romeiro, L.A.S.; Gargano, R. Molecular modeling of cardanol-derived AChE inhibitors. Chem. Phys. Lett. 2019, 731, 136591. [Google Scholar] [CrossRef]
- Liu, Z.; Chen, J.; Knothe, G.; Nie, X.; Jiang, J. Synthesis of Epoxidized Cardanol and Its Antioxidative Properties for Vegetable Oils and Biodiesel. ACS Sustain. Chem. Eng. 2016, 4, 901–906. [Google Scholar] [CrossRef]
- Hamad, F.B.; Mubofu, E.B. Potential Biological Applications of Bio-Based Anacardic Acids and Their Derivatives. Int. J. Mol. Sci. 2015, 16, 8569–8590. [Google Scholar] [CrossRef] [PubMed]
- Morais, S.M.; Silva, K.A.; Araujo, H.; Vieira, I.G.P.; Alves, D.R.; Fontenelle, R.O.S.; Silva, A.M.S. Anacardic Acid Constituents from Cashew Nut Shell Liquid: NMR Characterization and the Effect of Unsaturation on Its Biological Activities. Pharmaceuticals 2017, 10, 31. [Google Scholar] [CrossRef] [PubMed]
- Luiz Gomes, A.; Dimitrova Tchekalarova, J.; Atanasova, M.; da Conceição Machado, K.; de Sousa Rios, M.A.; Paz, M.F.C.J.; Găman, M.-A.; Găman, A.M.; Yele, S.; Shill, M.C.; et al. Anticonvulsant effect of anacardic acid in murine models: Putative role of GABAergic and antioxidant mechanisms. Biomed. Pharmacother. 2018, 106, 1686–1695. [Google Scholar] [CrossRef]
- Gomes Júnior, A.L.; Islam, M.T.; Nicolau, L.A.D.; de Souza, L.K.M.; Araújo, T.d.S.L.; Lopes de Oliveira, G.A.; de Melo Nogueira, K.; da Silva Lopes, L.; Medeiros, J.-V.R.; Mubarak, M.S.; et al. Anti-Inflammatory, Antinociceptive, and Antioxidant Properties of Anacardic Acid in Experimental Models. ACS Omega 2020, 5, 19506–19515. [Google Scholar] [CrossRef]
- Kubo, I.; Masuoka, N.; Ha, T.J.; Tsujimoto, K. Antioxidant activity of anacardic acids. Food Chem. 2006, 99, 555–562. [Google Scholar] [CrossRef]
- Suresh, M.; Raj, R.K. Cardol: The antifilarial principle from Anacardium occidentale. Curr. Sci. 1990, 59, 477–479. [Google Scholar]
- Surfactants Market by Type (Anionic, Non-ionic, Cationic, Amphoteric, and Others) and Application (Household Detergents, Personal Care, Industrial & Institutional Cleaners, Food Processing, Oilfield Chemicals, Agricultural Chemicals, Textiles, Emulsion Polymerization (Plastics), Paints & Coatings, Construction, and Others): Global Opportunity Analysis and Industry Forecast, 2020–2027. Available online: https://www.alliedmarketresearch.com/surfactant-market (accessed on 12 November 2021).
- Tadros, T.F. An Introduction of Surfactants; De Gruyter Graduate: Berlin, Germany, 2014. [Google Scholar]
- Scorzza, C.; Nieves, J.; Vejar, F.; Bullón, J. Synthesis and Physicochemical Characterization of Anionic Surfactants Derived from Cashew Nut Shell Oil. J. Surfactants Deterg. 2010, 13, 27. [Google Scholar] [CrossRef]
- Koteich Khatib, S.; Bullón, J.; Vivas, J.; Bahsas, A.; Rosales-Oballos, Y.; Marquez, R.; Forgiarini, A.; Salager, J.L. Synthesis, Characterization, Evaluation of Interfacial Properties and Antibacterial Activities of Dicarboxylate Anacardic Acid Derivatives from Cashew Nut Shell Liquid of Anacardium occidentale L. J. Surfactants Deterg. 2020, 23, 503–512. [Google Scholar] [CrossRef]
- Wang, Z.; Yao, S.; Song, K.; Gong, X.; Zhang, S.; Gao, S.; Lu, Z. A bio-based benzoxazine surfactant from amino acids. Green Chem. 2020, 22, 3481–3488. [Google Scholar] [CrossRef]
- Li, C.; Yu, H.; Li, F.; Zhang, Z.; Huang, J.; Wang, J. Physicochemical properties of series of cardanol polyoxyethylene ether carboxylates with different ethoxylation unit at the interface. J. Dispers. Sci. Technol. 2019, 40, 9–16. [Google Scholar] [CrossRef]
- Wang, J.; Liu, C.-H.; Han, J.; Ning, M.-M.; Li, C. Synthesis and surface property of cashew-based surfactants. Chin. J. Appl. Chem. 2010, 27, 866–868. [Google Scholar]
- Leinweber, D.; Kaiser, A.; Wylde, J.; Krueger, C.; Jaseyi, H.S. Cashew Nutshell Liquid Alkoxylate Carboxylate as a New Renewable Surfactant Composition for Enhanced Oil Recovery Applications; Clariant International Ltd.: Muttenz, Switzerland, 2018. [Google Scholar]
- Li, C.; Wang, F.; Guo, S.; Huang, J.; Shi, W.; Wang, J. Interface Activity and Thermodynamic Properties of Cardanol Polyoxyethylene Ether Carboxylates. Tenside Surfactants Deterg. 2016, 53, 304–312. [Google Scholar] [CrossRef]
- Li, C.; Wang, J.; Shi, W.; Li, J.; Zhang, T.; Zhang, Z. Cardanol Gemini Polyoxyethylene Ether Carboxylate and Preparation Method Thereof; Springer: Cham, Switzerland, 2013. [Google Scholar]
- Peungjitton, P.; Sangvanich, P.; Pornpakakul, S.; Petsom, A.; Roengsumran, S. Sodium Cardanol Sulfonate Surfactant from Cashew Nut Shell Liquid. J. Surfactants Deterg. 2009, 12, 85–89. [Google Scholar] [CrossRef]
- Ahire, M.B.; Bhagwat, S.S. Novel Ester-linked Anionic Gemini Surfactant: Synthesis, Surface-Active Properties and Antimicrobial Study. J. Surfactants Deterg. 2017, 20, 789–797. [Google Scholar] [CrossRef]
- Wang, J.; Wang, Y.W.; Li, C.Q.; Li, J. Synthesis and Surface Activity of Biomass Cardanol Sulfonate Surfactant. Adv. Mater. Res. 2011, 183–185, 1534–1538. [Google Scholar] [CrossRef]
- Castro Dantas, T.N.; Vale, T.Y.F.; Dantas Neto, A.A.; Scatena, H., Jr.; Moura, M.C.P.A. Micellization study and adsorption properties of an ionic surfactant synthesized from hydrogenated cardanol in air–water and in air–brine interfaces. Colloid Polym. Sci. 2009, 287, 81–87. [Google Scholar] [CrossRef]
- Li, M.; Quan, C. Novel Sodium Salt Cardanol Surfactant and Preparation Method Thereof; Shanghai Meidong Biological Materials Co. Ltd.: Shanghai, China, 2009. [Google Scholar]
- Li, M.; Quan, C. Novel Calcium Salt Cardanol Surfactant and Preparation Method Thereof; Shanghai Meidong Biological Materials Co. Ltd.: Shanghai, China, 2009. [Google Scholar]
- Li, M.; Quan, C. Novel Sylvite Cardanol Surfactant and Preparation Method Thereof; Shanghai Meidong Biological Materials Co. Ltd.: Shanghai, China, 2009. [Google Scholar]
- Kattimuttathu, I.S.; Foerst, G.; Schubert, R.; Bartsch, E. Synthesis and Micellization Properties of New Anionic Reactive Surfactants Based on Hydrogenated Cardanol. J. Surfactants Deterg. 2012, 15, 207–215. [Google Scholar] [CrossRef]
- Zhou, Y.; Xu, B.; Han, F.; Zhang, G.; Liu, H. Cardanol Novel Surfactant Containing Siloxane and Preparation Method of Surfactant; Beijing Technology and Business University: Beijing, China, 2013. [Google Scholar]
- Zhou, Y.; Xu, B.; Han, F.; Liu, H. Anacardol Surfactant Containing Trisiloxane and Amidogen and Preparation Method Thereof; Beijing Technology and Business University: Beijing, China, 2016. [Google Scholar]
- Yan, L.; Ding, Z.; Li, D. Cardanol and Saturated Cardanol-Based Surfactant as Well as Preparation Method and Application Thereof; Heilongjiang Xinweiyuan Chemical Engineering Co. Ltd.: Anda, China, 2020. [Google Scholar]
- Jin, Z.; Zhao, S.; Xu, Z.; Gong, Q.; Zhang, L.; Zhang, L.; Luo, L. Saturated Anacardol Ether Sulfonate Surfactant as Well as Preparation Method and Application Thereof; Technical Institute of Physics and Chemistry of CAS: Beijing, China, 2014. [Google Scholar]
- Zhou, Y.; Su, P.; Xu, B.; Han, F. A Kind of Anacardol Dimeric Surfactant and Preparation Method Thereof. CN Patent CN103725279A, 23 January 2014. [Google Scholar]
- Cheng, C.; Bai, X.; Liu, S.; Huang, Q.; Tu, Y.; Wu, H.; Wang, X. UV cured polymer based on a renewable cardanol derived RAFT agent. J. Polym. Res. 2013, 20, 197. [Google Scholar] [CrossRef]
- Wang, L.; Kang, W.; Che, F.; Zhang, J.; Tian, H.; Zhao, M.; Han, J. Cashew Nut Phenolic Anion-Nonionic Surfactant and the Preparation Method and Application Thereof; Shanghai Banggao Chemical Co. Ltd.; East China University of Science and Technology: Shanghai, China, 2018. [Google Scholar]
- Dai, Z.; Liu, J.; Gu, B. Cardanol Polyoxyethylene Ether Mono Sulfosuccinates and Its Preparation Method and Application; Changshu Naisu Biological Material Technology Co. Ltd.: Changshu, China, 2016. [Google Scholar]
- Gulati, A.S.; Krishnamachar, V.C.; Rao, B.C.S. Quaternary nitrogen germicides derived from the monophenolic components of cashew nut shell liquid. Rao Indian J. Chem 1964, 2, 114. [Google Scholar]
- Avellar, I.G.J.D.; Godoy, K.; Magalhães, G.C.D. New quaternary ammonium salts derived from cardanol and their use as phase transfer catalyst. J. Braz. Chem. Soc. 2000, 11, 22–26. [Google Scholar] [CrossRef]
- Verge, P.; Fouquet, T.; Barrère, C.; Toniazzo, V.; Ruch, D.; Bomfim, J.A.S. Organomodification of sepiolite clay using bio-sourced surfactants: Compatibilization and dispersion into epoxy thermosets for properties enhancement. Compos. Sci. Technol. 2013, 79, 126–132. [Google Scholar] [CrossRef]
- Wang, R.; Luo, Y.; Cheng, C.-J.; Huang, Q.-H.; Huang, H.-S.; Qin, S.-L.; Tu, Y.-M. Syntheses of cardanol-based cationic surfactants and their use in emulsion polymerisation. Chem. Pap. 2016, 70, 1218–1227. [Google Scholar] [CrossRef]
- Luo, Y.; Liang, W.; Ma, W.; Wang, P.; Zhu, T.; Xue, S.; Yuan, Z.; Gao, H.; Chen, Y.; Wang, Y. Cardanol-derived cationic surfactants enabling the superior antibacterial activity of single-walled carbon nanotubes. Nanotechnology 2020, 31, 265603. [Google Scholar] [CrossRef]
- Ma, J.; Liu, N.; Huang, M.; Wang, L.; Han, J.; Qian, H.; Che, F. Synthesis, physicochemical and antimicrobial properties of cardanol-derived quaternary ammonium compounds (QACs) with heterocyclic polar head. J. Mol. Liq. 2019, 294, 111669. [Google Scholar] [CrossRef]
- Sunnapu, O.; Ravipati, P.; Srinath, P.; Kalita, S.; Bhat, P.P.; Harshitha, S.R.; Sekar, K.; Vemula, P.K.; Mahato, M. Design of cationic amphiphiles for generating self-assembled soft nanostructures, micelles and hydrogels. Bull. Mater. Sci. 2020, 43, 172. [Google Scholar] [CrossRef]
- Wang, L.; Zhao, X.; Che, F.; Zhang, J.; Kang, W.; Huang, Z.; Han, J.; Tuan, H.; Zhao, M. Functional Group’s Type Anacardol Cationic Surface Active Agent and the Preparation Method and Application Thereof; Shanghai Banggao Chemical Co. Ltd.; East China University of Science and Technology: Shanghai, China, 2018. [Google Scholar]
- Zhao, X.; Lv, J.; Wang, L.; Han, J. Novel Hydroxylated Cardanol Quaternary Ammonium Salts from Renewable Resource and its Synergistic Vesicles of Binary and Ternary Composite System in Detergent. J. Surfactants Deterg. 2020, 24, 15–33. [Google Scholar] [CrossRef]
- Bragoni, V.; Rit, R.K.; Kirchmann, R.; Trita, A.S.; Gooßen, L.J. Synthesis of bio-based surfactants from cashew nutshell liquid in water. Green Chem. 2018, 20, 3210–3213. [Google Scholar] [CrossRef]
- Lin, Y.; Fang, Y.; Li, G.; Jiang, Z.; Lin, T. A Kind of Preparation Method of Modified by Cardanol Esters Polycarboxylate Water-Reducer; Kezhijie New Material Group Co. Ltd.: Xiamen, China, 2017. [Google Scholar]
- Ezzat, A.O.; Atta, A.M.; Al-Lohedan, H.A.; Abdullah, M.M.S.; Hashem, A.I. Synthesis and Application of Poly(ionic liquid) Based on Cardanol as Demulsifier for Heavy Crude Oil Water Emulsions. Energy Fuels 2018, 32, 214–225. [Google Scholar] [CrossRef]
- Ponda, D.J.D.J.; Mestry, S.U.; Borse, P.Y.; Mhaske, S.T. Reactive quaternary ammonium antimicrobial agent derived from cardanol for UV curable coating. Iran. Polym. J. 2021, 30, 179–191. [Google Scholar] [CrossRef]
- Bhadani, A.; Kataria, H.; Singh, S. Synthesis, characterization and comparative evaluation of phenoxy ring containing long chain gemini imidazolium and pyridinium amphiphiles. J. Colloid Interface Sci. 2011, 361, 33–41. [Google Scholar] [CrossRef] [PubMed]
- Sasi, R.; Sarojam, S.; Devaki, S.J. High Performing Biobased Ionic Liquid Crystal Electrolytes for Supercapacitors. ACS Sustain. Chem. Eng. 2016, 4, 3535–3543. [Google Scholar] [CrossRef]
- Kim, N.K.; Kim, J.; Shon, D.-J.; Lee, J.-R.; Choi, Y.-S.; Yook, J.; Kim, B.-S.; Lee, J.-C. Synthesis and characterization of biocompatible copolymers containing plant-based cardanol and zwitterionic groups for antifouling and bactericidal coating applications. Eur. Polym. J. 2019, 112, 688–695. [Google Scholar] [CrossRef]
- Jin, Z.; Xu, Z.; Zhao, S.; Gong, Q.; Zhang, L.; Zhang, L.; Luo, L. Saturated Cardanol Betaine Surfactant, and Preparation Method and Application Thereof; Technical Institute of Physics and Chemistry of CAS: Beijing, China, 2015. [Google Scholar]
- Zhang, Z.; Li, C.; Xu, X.; Wang, J.; Zhang, Z.; Shi, W.; He, D.; Li, Y.; Wang, F.; Guan, W.; et al. Temperature-Resistant and Anti-Salt Type Anacardol Zwitterionic Surfactant and Its Preparation Method and Application; China Petroleum and Natural Gas Co. Ltd.: Beijing, China, 2018. [Google Scholar]
- Zhang, Z.; Li, C.; Xu, X.; Wang, J.; Zhang, Z.; Shi, W.; He, D.; Li, Y.; Wang, F.; Guan, W.; et al. Cardanol-Based Amino Acid Surfactant and Application Thereof; China Petroleum and Natural Gas Co Ltd.: Beijing, China, 2019. [Google Scholar]
- Tyman, J.H.P.; Bruce, I.E. Synthesis and characterization of polyethoxylate surfactants derived from phenolic lipids. J. Surfactants Deterg. 2003, 6, 291–297. [Google Scholar] [CrossRef]
- Chen, F.; Chen, P.; Jiang, W. Synthesis and Application of Hydrogenated Cardanol Polyoxyethylene Ether. IOP Conf. Ser. Mater. Sci. Eng. 2019, 592, 012039. [Google Scholar] [CrossRef]
- Hart, G.L.; Ahmed, A.F. A Process of Ethoxylating a Derivative of Technical Cashew Nut Shell Liquid; S C Johnson & Son Inc.: Racine, WI, USA, 1993. [Google Scholar]
- Chen, F.; Hu, F.; Li, H.; Chen, Z. Saturated Cardanol Polyoxyethylene Ether and Preparation Method Thereof; Northeastern University China: Shenyang, China, 2011. [Google Scholar]
- Chi, D. Pentadecyl Phenol Polyethenoxy Ether Strong Biodegradable Surfactant; Changshu Naisu Biological Material Technology Co., Ltd.: Chanshu, China, 2009. [Google Scholar]
- Springsted, P.; Hahn, L.; Tzap, G.P. Method of Preparation of Ethoxylated Phenolic Compounds, Compositions Containing the Same and Related Methods; Palmer International Inc.: Skippack, PA, USA, 2006. [Google Scholar]
- Li, M.; Quan, C. Cardanol Polyoxyethylene Ether and Preparation Method Thereof; Binzhou Meidong Resin Co. Ltd.: Binzhou, China, 2009. [Google Scholar]
- Wang, L.; Gong, Y.; Che, F.; Zhang, M.; Yang, P.; Zhang, J.; Han, J.; Tian, H.; Gu, Y.; Zhao, P. Cardanol Polyoxyethylene Ether and Preparation Method and Application Thereof; Shanghai Bronkow Chemical Co. Ltd.; East China University of Science and Technology: Shanghai, China, 2020. [Google Scholar]
- Hart, G.L.; Ahmed, A.F. Cleaning Compositions Containing Ethoxylated Cardanol; S C Johnson & Son Inc.: Racine, WI, USA, 1991. [Google Scholar]
- Hu, X.; Li, T.; Chen, Z.; Zhao, G.; Zhang, T.; Zeng, Y.; Wang, H.; Fang, Y. Cardanol Phenolic-Group Non-Ionic Type Dimeric Surfactant and Synthetic Method Thereof; Jiangnan University: Wuxi, China, 2014. [Google Scholar]
- Jin, G.; Zhu, J.; Li, F. A Kind of Nonionic Surfactant, Synthetic Method and Its Application; Levima (Jiangsu) New Material Research Institute, Co. Ltd.: Nanjing, China, 2016. [Google Scholar]
- Zhou, Y.; Xu, B.; Han, F.; Zhang, G.; Liu, H. Cardanol Ether Surfactant Containing Trisiloxane and Preparation Method of Surfactant; Beijing Technology and Business University: Beijing, China, 2013. [Google Scholar]
- Rahobinirina, A.I.; Rakotondramanga, M.F.; Berlioz-Barbier, A.; Métay, E.; Ramanandraibe, V.; Lemaire, M. Valorization of Madagascar’s CNSL via the synthesis of one advanced intermediate (3-Pentadecylcyclohexanone). Tetrahedron Lett. 2017, 58, 2284–2289. [Google Scholar] [CrossRef]
- Feitosa, F.X.; Alves, R.S.; de Sant’Ana, H.B. Synthesis and application of additives based on cardanol as demulsifier for water-in-oil emulsions. Fuel 2019, 245, 21–28. [Google Scholar] [CrossRef]
- Atta, A.M.; Abdullah, M.M.S.; Al-Lohedan, H.A.; Ezzat, A.O. Demulsification of heavy crude oil using new nonionic cardanol surfactants. J. Mol. Liq. 2018, 252, 311–320. [Google Scholar] [CrossRef]
- Ambrožič, R.; Šebenik, U.; Krajnc, M. Epoxy emulsions stabilized with reactive bio-benzoxazine surfactant from epoxidized cardanol for coatings. Eur. Polym. J. 2016, 81, 138–151. [Google Scholar] [CrossRef]
- Delage, B.; Briou, B.; Brossier, T.; Catrouillet, S.; Robin, J.-J.; Lapinte, V. Polyoxazoline associated with cardanol for bio-based linear alkyl benzene surfactants. Polym. Int. 2019, 68, 755–763. [Google Scholar] [CrossRef]
- Dai, Z.; Liu, J.; Gu, B. Pentadecyl (Pentadecenyl) Resorcinol Polyoxyethylene Ether Glucoside and Its Preparation Method and Use; Changsu Naisu Biological Material Technology Co. Ltd.: Changsu, China, 2016. [Google Scholar]
- Prasad, Y.S.; Miryala, S.; Lalitha, K.; Ranjitha, K.; Barbhaiwala, S.; Sridharan, V.; Maheswari, C.U.; Srinandan, C.S.; Nagarajan, S. Disassembly of Bacterial Biofilms by the Self-Assembled Glycolipids Derived from Renewable Resources. ACS Appl. Mater. Interfaces 2017, 9, 40047–40058. [Google Scholar] [CrossRef] [PubMed]
- Zan, G.E.; Shi, L.-W.; Dai, Y.-C.; Hua, W.-G.; Liu, R. Research progress on synthesis of cardanol-based surfactants. China Surfactant Deterg. Cosmet. 2017, 47, 645–650. [Google Scholar] [CrossRef]
- Xu, L.; Liu, G.; Zhang, J.; Luo, T.; Sun, X. Cashew Base Nonionic Surfactant and Preparation Method of Cashew Base Nonionic Surfactant; Zhengzhou University: Zhengzhou, China, 2012. [Google Scholar]
- Chapelle, C.; David, G.; Caillol, S.; Negrell, C.; Durand, G.; le Foll, M.D. Functionalization of Chitosan Oligomers: From Aliphatic Epoxide to Cardanol-Grafted Oligomers for Oil-in-Water Emulsions. Biomacromolecules 2021, 22, 846–854. [Google Scholar] [CrossRef] [PubMed]
- Chapelle, C.; Desroches Le Foll, M.; Durand, G.; David, G.; Negrell, C.; Caillol, S.; Faye, I. Oligomère Biosourcé Issu du Chitosan et Son Utilisation Comme Émulsifiant Cationique ou Non Ionique d’émulsion Aqueuse de Liants Bitumineux ou Non Bitumineux; Colas, Ecole Nationale Supérieure de chimie Montpellier, University of Montpellier and Centre National de la Recheche Scientifique: Boulogne-Billancourt, France, 2020. [Google Scholar]
- De França, F.; Coelho, E.; Uchoa, A.; Rodrigues, F.; Ribeiro, M.; Soares, S.; Ricardo, N. Synthesis and characterization of alkylphenyl polyglycosidic surfactants from amylose and alkyl phenols extracted from natural CNSL. Quim. Nova 2016, 39, 771. [Google Scholar] [CrossRef]
- Mondal, M.H.; Malik, S.; Roy, A.; Saha, R.; Saha, B. Modernization of surfactant chemistry in the age of gemini and bio-surfactants: A review. RSC Adv. 2015, 5, 92707–92718. [Google Scholar] [CrossRef]
- Zana, R. Gemini (dimeric) surfactants. Curr. Opin. Colloid Interface Sci. 1996, 1, 566–571. [Google Scholar] [CrossRef]
- Wu, P.; Liu, G.; Li, X.; Peng, Z.; Zhou, Q.; Qi, T. Effects of CMC and Micelle Formation on the Removal of Sodium Benzoate or Sodium Stearate in a Sodium Aluminate Solution. JOM 2020, 72, 263–269. [Google Scholar] [CrossRef]
- Chican, I.E.; Vărăşteanu, D.; Fierăscu, I.; Fierăscu, R.C.; Deaconu, M. Surface properties in surfactant systems containing amino acid-based surfactants. IOP Conf. Ser. Mater. Sci. Eng. 2019, 572, 012009. [Google Scholar] [CrossRef]
- Basu Ray, G.; Chakraborty, I.; Ghosh, S.; Moulik, S.P. A critical and comprehensive assessment of interfacial and bulk properties of aqueous binary mixtures of anionic surfactants, sodium dodecylsulfate, and sodium dodecylbenzenesulfonate. Colloid Polym. Sci. 2007, 285, 457–469. [Google Scholar] [CrossRef]
- Nazrul Islam, M.; Sharker, K.K.; Sarker, K.C. Salt-Induced Modulation of the Krafft Temperature and Critical Micelle Concentration of Benzyldimethylhexadecylammonium Chloride. J. Surfactants Deterg. 2015, 18, 651–659. [Google Scholar] [CrossRef]
- Shah, S.K.; Bhattarai, A. Interfacial and Micellization Behavior of Cetyltrimethylammonium Bromide (CTAB) in Water and Methanol-Water Mixture at 298.15 to 323.15 K. J. Chem. 2020, 2020, 4653092. [Google Scholar] [CrossRef]
- Banjare, R.K.; Banjare, M.K.; Panda, S. Effect of Acetonitrile on the Colloidal Behavior of Conventional Cationic Surfactants: A Combined Conductivity, Surface Tension, Fluorescence and FTIR Study. J. Solut. Chem. 2020, 49, 34–51. [Google Scholar] [CrossRef]
- Bagheri, A. Interfacial and micellization properties of pure surfactants with similar hydrocarbon chain length (C16H33) and different polar head in aqueous medium. Appl. Chem. 2020, 15, 55–64. [Google Scholar] [CrossRef]
- Xiao, J.; Liu, F.; Garamus, V.M.; Almásy, L.; Handge, U.A.; Willumeit, R.; Mu, B.; Zou, A. Insights into the Interactions among Surfactin, Betaines, and PAM: Surface Tension, Small-Angle Neutron Scattering, and Small-Angle X-ray Scattering Study. Langmuir 2014, 30, 3363–3372. [Google Scholar] [CrossRef]
- Staszak, K.; Wieczorek, D.; Michocka, K. Effect of Sodium Chloride on the Surface and Wetting Properties of Aqueous Solutions of Cocamidopropyl Betaine. J. Surfactants Deterg. 2015, 18, 321–328. [Google Scholar] [CrossRef]
- Rosenow, M.A.; Williams, J.C.; Allen, J.P. Amphiphiles modify the properties of detergent solutions used in crystallization of membrane proteins. Acta Crystallogr. Sect. D 2001, 57, 925–927. [Google Scholar] [CrossRef]
- Dow. Dow Surfactants: Reference Chart. Available online: https://www.dow.com/documents/en-us/catalog-selguide/119/119-01491-01-dow-surfactants-selection-guide.pdf (accessed on 14 January 2021).
- Brycki, B.; Kowalczyk, I.; Szulc, A.; Kaczerewska, O.; Pakiet, M. Multifunctional Gemini Surfactants: Structure, Synthesis, Properties and Applications. In Application and Characterization of Surfactants; Najjar, R., Ed.; Intechopen: London, UK, 2017. [Google Scholar] [CrossRef]
- Pei, X.; You, Y.; Zhao, J.; Deng, Y.; Li, E.; Li, Z. Adsorption and aggregation of 2-hydroxyl-propanediyl-α,ω-bis(dimethyldodecyl ammonium bromide) in aqueous solution: Effect of intermolecular hydrogen-bonding. J. Colloid Interface Sci. 2010, 351, 457–465. [Google Scholar] [CrossRef]
- Gaudin, T.; Lu, H.; Fayet, G.; Berthauld-Drelich, A.; Rotureau, P.; Pourceau, G.; Wadouachi, A.; Van Hecke, E.; Nesterenko, A.; Pezron, I. Impact of the chemical structure on amphiphilic properties of sugar-based surfactants: A literature overview. Adv. Colloid Interface Sci. 2019, 270, 87–100. [Google Scholar] [CrossRef]
- Tyman, J.H.P.; Bruce, I.E. Surfactant properties and biodegradation of polyethoxylates from phenolic lipids. J. Surfactants Deterg. 2004, 7, 169–173. [Google Scholar] [CrossRef]
- Wang, L.; Zhao, X.; Che, F.; Zhang, J.; Kang, W.; Huang, Z.; Tian, H.; Zhao, M.; Han, J. Detergent Containing Cardanol Polyoxyethylene Ether and Preparation Method and Application of Detergent; Shanghai Bronkow Chemical, Co. Ltd.; University East China Science and Technology: Shanghai, China, 2018. [Google Scholar]
- Massarweh, O.; Abushaikha, A.S. The use of surfactants in enhanced oil recovery: A review of recent advances. Energy Rep. 2020, 6, 3150–3178. [Google Scholar] [CrossRef]
- Salager, J.-L.; Antón, R.E.; Andérez, J.M.; Aubry, J.-M. Formulation des micro-émulsions par la méthode HLD. Tech. De L’ingénieur 2001, 157, 1–20. [Google Scholar]
- Salager, J.L.; Antón, R.E. Physico-chemical characterization of a surfactant a quick and precise method. J. Dispers. Sci. Technol. 1983, 4, 253–273. [Google Scholar] [CrossRef]
- Shi, W.; Wang, P.; Li, C.; Li, J.; Li, H.; Zhang, Z.; Wu, S.; Wang, J. Synthesis of Cardanol Sulfonate Gemini Surfactant and Enthalpy-Entropy Compensation of Micellization in Aqueous Solutions. Open J. Appl. Sci. 2014, 4, 360–365. [Google Scholar] [CrossRef]
- Wang, L.; Huang, M.; Che, F.; Zhang, J.; Ma, J.; Wu, X.; Tian, H.; Zhao, M.; Han, J. Quaternary Amine of the Group Containing Anacardol and Application Thereof; Shanghai Bronkow Chemical, Co. Ltd.; University East China Science and Technology: Shanghai, China, 2018. [Google Scholar]
- Shukla, D.; Tyagi, V.K. Anionic Gemini Surfactants: A Distinct Class of Surfactants. J. Oleo Sci. 2006, 55, 215–226. [Google Scholar] [CrossRef]
- Shukla, D.; Tyagi, V.K. Cationic Gemini Surfactants: A Review. J. Oleo Sci. 2006, 55, 381–390. [Google Scholar] [CrossRef]
- Taleb, K.; Mohamed-Benkada, M.; Benhamed, N.; Saidi-Besbes, S.; Grohens, Y.; Derdour, A. Benzene ring containing cationic gemini surfactants: Synthesis, surface properties and antibacterial activity. J. Mol. Liq. 2017, 241, 81–90. [Google Scholar] [CrossRef]
- Ko, J.-S.; Oh, S.-W.; Kim, Y.-S.; Nakashima, N.; Nagadome, S.; Sugihara, G. Adsorption and Micelle Formation of Mixed Surfactant Systems in Water. IV. Three Combinations of SDS with MEGA-8, -9 and -10. J. Oleo Sci. 2004, 53, 109–126. [Google Scholar] [CrossRef]
- Gehlot, P.S.; Kulshrestha, A.; Bharmoria, P.; Damarla, K.; Chokshi, K.; Kumar, A. Surface-Active Ionic Liquid Cholinium Dodecylbenzenesulfonate: Self-Assembling Behavior and Interaction with Cellulase. ACS Omega 2017, 2, 7451–7460. [Google Scholar] [CrossRef]
- Han, Y.; Wang, Y. Aggregation behavior of gemini surfactants and their interaction with macromolecules in aqueous solution. Phys. Chem. Chem. Phys. 2011, 13, 1939–1956. [Google Scholar] [CrossRef]
- Garcia, M.T.; Kaczerewska, O.; Ribosa, I.; Brycki, B.; Materna, P.; Drgas, M. Hydrophilicity and flexibility of the spacer as critical parameters on the aggregation behavior of long alkyl chain cationic gemini surfactants in aqueous solution. J. Mol. Liq. 2017, 230, 453–460. [Google Scholar] [CrossRef]
- Kubo, I.; Muroi, H.; Himejima, M.; Yamagiwa, Y.; Mera, H.; Tokushima, K.; Ohta, S.; Kamikawa, T. Structure-antibacterial activity relationships of anacardic acids. J. Agric. Food Chem. 1993, 41, 1016–1019. [Google Scholar] [CrossRef]
- Lima, R.A.; de Souza, S.L.X.; Lima, L.A.; Batista, A.L.X.; de Araújo, J.T.C.; Sousa, F.F.O.; Rolim, J.P.M.L.; Bandeira, T.D.J.P.G. Antimicrobial effect of anacardic acid–loaded zein nanoparticles loaded on Streptococcus mutans biofilms. Braz. J. Microbiol. 2020, 51, 1623–1630. [Google Scholar] [CrossRef] [PubMed]
- Che, Y.; Xu, C.; Zhang, L.; Zhang, H.; Su, Y.; Haung, X. Antibacterial Hand Sanitizer; Xu Schuhui: Beijing, China, 2014. [Google Scholar]
- Jorge, M.R.; do Amaral Crispim, B.; Merey, F.M.; Barufatti, A.; Cabrini, I.; da Silva Dantas, F.G.; de Oliveira, K.M.P.; Kummrow, F.; Beatriz, A.; Santos, T.; et al. Sulphonates’ mixtures and emulsions obtained from technical cashew nut shell liquid and cardanol for control of Aedes aegypti (Diptera: Culicidae). Environ. Sci. Pollut. Res. Int. 2020, 27, 27870–27884. [Google Scholar] [CrossRef]
- Borse, M.; Patil, T.; Borse, S. Oil Solubilization and Aggregation Behavior of Cetyl Trimethyl Ammonium Bromide Surfactant and its Derivatives by SANS. Chem. Sci. Trans. 2014, 3, 1326–1333. [Google Scholar]
- Müller, W.; Dejugnat, C.; Diat, O.; Zemb, T. Effects of Alkaline Cations on Self-assembly of Cetylpyridinium Surfactants. Tenside Surfactants Deterg. 2011, 48, 40–47. [Google Scholar] [CrossRef]
- Hart, G.L.; Ahmed, A. Fatima Cleaning Compositions Containing Ethoxylated Cardanol; Johnson & Johnson: London, UK, 1992. [Google Scholar]
- Jin, G.; Zhu, J.; Li, F. Novel Nonionic Surfactant, Compounding Method and Application Thereof; Levima (Jiangsu) New Material Research Institute, Co. Ltd.: Nanjing, China, 2016. [Google Scholar]
- Zhu, J.; Jin, G.; Ying, B. Compound Nonionic Surfactant; Levima (Jiangsu) New Material Research Institute, Co. Ltd.: Nanjing, China, 2015. [Google Scholar]
- Tarafdar, A.; Joseph, T.; Sathe, V. Vasant A Cement Composition Containing a Substituted Ethoxylated Phenol Surfactant for Use in an Oil Contaminated Well; Halliburton Energy Serv Inc.: Houston, TX, USA, 2012. [Google Scholar]
- Anilkumar, P.; Jayakannan, M. Self-Assembled Cylindrical and Vesicular Molecular Templates for Polyaniline Nanofibers and Nanotapes. J. Phys. Chem. B 2009, 113, 11614–11624. [Google Scholar] [CrossRef]
- Wang, X.; Kalali, E.N.; Wang, D.-Y. Renewable Cardanol-Based Surfactant Modified Layered Double Hydroxide as a Flame Retardant for Epoxy Resin. ACS Sustain. Chem. Eng. 2015, 3, 3281–3290. [Google Scholar] [CrossRef]
- Wang, H.; Zhou, Q. Synthesis of Cardanol-Based Polyols via Thiol-ene/Thiol-epoxy Dual Click-Reactions and Thermosetting Polyurethanes Therefrom. ACS Sustain. Chem. Eng. 2018, 6, 12088–12095. [Google Scholar] [CrossRef]
- Suresh, K.I.; Kishanprasad, V.S. Synthesis, Structure, and Properties of Novel Polyols from Cardanol and Developed Polyurethanes. Ind. Eng. Chem. Res. 2005, 44, 4504–4512. [Google Scholar] [CrossRef]
- Markande, A.R.; Patel, D.; Varjani, S. A review on biosurfactants: Properties, applications and current developments. Bioresour. Technol. 2021, 330, 124963. [Google Scholar] [CrossRef]
- Moldes, A.B.; Rodríguez-López, L.; Rincón-Fontán, M.; López-Prieto, A.; Vecino, X.; Cruz, J.M. Synthetic and Bio-Derived Surfactants Versus Microbial Biosurfactants in the Cosmetic Industry: An Overview. Int. J. Mol. Sci. 2021, 22, 2371. [Google Scholar] [CrossRef] [PubMed]
- Mohanty, S.S.; Koul, Y.; Varjani, S.; Pandey, A.; Ngo, H.H.; Chang, J.-S.; Wong, J.W.C.; Bui, X.-T. A critical review on various feedstocks as sustainable substrates for biosurfactants production: A way towards cleaner production. Microb. Cell Factories 2021, 20, 120. [Google Scholar] [CrossRef] [PubMed]
- Satheesh, M.; Usha, R.; Kumari, P.K.; Potty, V.P. Production of Biosurfactant using cashew nut shell liquid renewable source as substrate. Int. J. Pharm. Sci. Rev. Res. 2018, 51, 5–11. [Google Scholar]































































| TK (°C) | 0 | 50 | 100 | 200 | 500 |
![]() C-18 | 18 | 18 | 16 | 14 | 11 |
![]() A-20 | - | - | 64 | 37 | 20 |
![]() Z-3 | - | 13 | 4 | <0 | <0 |
Publisher’s Note: MDPI stays neutral with regard to jurisdictional claims in published maps and institutional affiliations. |
© 2022 by the authors. Licensee MDPI, Basel, Switzerland. This article is an open access article distributed under the terms and conditions of the Creative Commons Attribution (CC BY) license (https://creativecommons.org/licenses/by/4.0/).
Share and Cite
Roy, A.; Fajardie, P.; Lepoittevin, B.; Baudoux, J.; Lapinte, V.; Caillol, S.; Briou, B. CNSL, a Promising Building Blocks for Sustainable Molecular Design of Surfactants: A Critical Review. Molecules 2022, 27, 1443. https://doi.org/10.3390/molecules27041443
Roy A, Fajardie P, Lepoittevin B, Baudoux J, Lapinte V, Caillol S, Briou B. CNSL, a Promising Building Blocks for Sustainable Molecular Design of Surfactants: A Critical Review. Molecules. 2022; 27(4):1443. https://doi.org/10.3390/molecules27041443
Chicago/Turabian StyleRoy, Audrey, Pauline Fajardie, Bénédicte Lepoittevin, Jérôme Baudoux, Vincent Lapinte, Sylvain Caillol, and Benoit Briou. 2022. "CNSL, a Promising Building Blocks for Sustainable Molecular Design of Surfactants: A Critical Review" Molecules 27, no. 4: 1443. https://doi.org/10.3390/molecules27041443
APA StyleRoy, A., Fajardie, P., Lepoittevin, B., Baudoux, J., Lapinte, V., Caillol, S., & Briou, B. (2022). CNSL, a Promising Building Blocks for Sustainable Molecular Design of Surfactants: A Critical Review. Molecules, 27(4), 1443. https://doi.org/10.3390/molecules27041443




