Abstract
The Celastraceae family comprises about 96 genera and more than 1.350 species, occurring mainly in tropical and subtropical regions of the world. The species of this family stand out as important plant sources of triterpenes, both in terms of abundance and structural diversity. Triterpenoids found in Celastraceae species display mainly lupane, ursane, oleanane, and friedelane skeletons, exhibiting a wide range of biological activities such as antiviral, antimicrobial, analgesic, anti-inflammatory, and cytotoxic against various tumor cell lines. This review aimed to document all triterpenes isolated from different botanical parts of species of the Celastraceae family covering 2001 to 2021. Furthermore, a compilation of their 13C-NMR data was carried out to help characterize compounds in future investigations. A total of 504 pentacyclic triterpenes were compiled and distinguished as 29 aromatic, 50 dimers, 103 friedelanes, 89 lupanes, 102 oleananes, 22 quinonemethides, 88 ursanes and 21 classified as others.
1. Introduction
The Celastraceae family comprises approximately 96 genera, reaching about 1350 species distributed in the tropical and subtropical regions of the world [1,2]. Species of this family stand out for producing compounds with several pharmacological activities, such as antitumor [3,4], anti-inflammatory [5], antimicrobial [6,7,8], antioxidant [9] antiviral [10], analgesic [5,11], antiulcerogenic [12], hepatoprotective [13], hypoglycemic [13,14], immunomodulatory [15], among others. Considering the chemical composition, species of the Celastraceae family are rich in pentacyclic triterpenes (PCTTs). PCTTs show a range of biological properties, characterizing these plants as research targets aiming to obtain new bioactive compounds or prototypes of new drugs [16,17,18,19,20,21,22].
PCTTs are structurally diverse compounds and are therefore classified according to their main skeletal structure. The main classes found in Celastraceae family possess friedelane, oleanane, lupane, ursane and quinonemethide skeletons. Quinonemethides are chemomarkers of this family are found exclusively in these species [13]. These PCTTs can occur as alcohols, ketones, carboxylic acids, lactones, aldehydes, epoxides, esters, or even glycosylated derivatives. Furthermore, these PCTTs can be sub-classified as seco, generally due to the opening of one of their rings, the most common being the ring ‘A’ opening between carbons 3 and 4, and sub-classified as nor when there is a lack of any of the methyl groups that constitute the basic skeleton.
This review aims to present the PCTTs reported for species of the Celastraceae family in the 21st century, exhibiting from which species they were isolated and contributing to the chemical characterization process of these compounds listing their 13C NMR data. The information about the PCTTs was obtained from SciFinder, Scopus, and Web of Science, using as key search terms: “Celastraceae and triterpenes”, “Celastraceae and compounds”, “Celastraceae and phytochemistry” and “Celastraceae and metabolites”. Articles with only ethnopharmacological information and data from in vitro and in vivo tests involving extracts or isolated substances were excluded. The period covering from January 2001 to September 2021 was considered since the group has already developed a free online database (in Portuguese) for the previous years [23]. This review reports a total of 504 pentacyclic triterpenoids, 29 aromatics (A), 50 dimers (D), 103 friedelanes (F), 89 lupanes (L), 102 oleananes (O), 22 quinonemethides (Q), 88 ursanes (U) and 21 classified as others. Table S1 (Supplementary Material) summarizes all these PCTTs, as well as the plant species and parts from which they were isolated.
2. Pentacyclic Triterpenoids (PCTTs)
PCTTs consist of 30 carbon atoms (six isoprene units) distributed over five fused rings (named A, B, C, D and E). This ring arrangement yields five six-membered rings or four six-membered rings fused to a 5-membered ring, numbered as shown in Figure 1 [24].
Figure 1.
Core rings A, B, C, D, and E found in PCTTs.
As terpenes, the biosynthesis of PCTTs starts by the coupling of active isoprene units. Initially, there is an electrophilic condensation of IPP (isopentenyl diphosphate), with DMAPP (dimethylallyl diphosphate), yielding the precursor of monoterpenes, geranyl diphosphate (GPP). The addition of IPP to GPP generates farnesyl diphosphate (FPP), which is the precursor of sesquiterpenes. Then a tail-tail condensation of two FPP molecules leads to squalene, after the release of a diphosphate unit and a 1,3-alkyl shift (Figure 2) [25].
The biosynthesis of PCTTs continues with the oxidation of squalene, catalyzed by squalene epoxidase, forming 2,3-oxidosqualene. This intermediary assumes the “chair-chair-chair-boat” conformation and after a sequence of cyclizations yields the dammarenyl cation, which then undergoes a rearrangement forming the baccharenyl cation. From the baccharenyl cation, the key step in PCTTs biosynthesis occurs, characterized by the formation of the lupanyl cation (Figure 3) [25,26]. Through a sequence of carbocation rearrangements (1,2-shifts), involving hydride, methyl, and ring-opening shifts, the lupanyl cation yields the different PCTTs skeletons, which then could oxidize, reduce, and isomerize, leading to the formation of the different currently known PCTTs [25,26].
The most powerful spectroscopic method in the structural elucidation of PCTTs is 13C Nuclear Magnetic Resonance (NMR). Comparison of experimental 13C NMR chemical shifts with literature data is a useful tool in identifying the basic skeleton of these compounds. Through this data, it is possible to make predictions about the influence of a functional group on the chemical displacement of carbons from its basic skeleton [27]. According to Mahato & Kundu [27], for example, the introduction of a hydroxyl group in the PCTT structure induces a deshielding of about 34–50 ppm of the α carbon, 2–10 ppm of the β carbons and 0–9 ppm of the γ carbons. The effect of the hydroxyl presence on the 13C NMR chemical shift of the α-carbon, is related to its configuration, and with the number of γ-gauche-type, and 1,3-diaxial-type interactions with the carbon atoms of the triterpene skeleton [27].
Figure 2.
Simplified biosynthetic route of 2,3−oxidosqualene, the direct precursor of triterpenes, from isoprene. DMAPP: dimethylallyl diphosphate; IPP: isopentenyl diphosphate; GPP: geranyl diphosphate; FPP: farnesyl diphosphate; PP: diphosphate [26,28].
Figure 2.
Simplified biosynthetic route of 2,3−oxidosqualene, the direct precursor of triterpenes, from isoprene. DMAPP: dimethylallyl diphosphate; IPP: isopentenyl diphosphate; GPP: geranyl diphosphate; FPP: farnesyl diphosphate; PP: diphosphate [26,28].

Figure 3.
Simplified terpenoid biosynthetic route for the formation of the main pentacyclic triterpene skeletons isolated from Celastraceae species. “a” and “b” indicate two possible biosynthetic pathways [26,28].
Figure 3.
Simplified terpenoid biosynthetic route for the formation of the main pentacyclic triterpene skeletons isolated from Celastraceae species. “a” and “b” indicate two possible biosynthetic pathways [26,28].

2.1. Friedelanes
Compounds presenting a friedelane skeleton, together with the oleananes, are the most abundant PCTTs in the Celastraceae family, being found in the leaves, branches, roots and other parts of these plants [13]. These systems are formed by five six-membered rings fused. Rings A/B, B/C and C/D have trans configuration (H-10α and H-8α), while ring D/E is cis (H-18β). They have eight methyl groups; six attached to distinct carbons, at positions 4 (Me 23β), 5 (Me 24β), 9 (Me 25β), 13 (Me 27α), 14 (Me 26β) and 17 (Me 28β), and two geminal methyl groups at carbon 20 (Me 29α and 30β) [22,29]. In this work, 103 PCTTs of friedelan skeleton (F) are reported, compounds F1–F103 (Figure 4).



Figure 4.
Structures of friedelane-type pentacyclic isolated from Celastraceae species (2001–2021). (a) Compounds F1−F8, F10, F11, F13−F15, F18−F22, F26, F33−F35, F46, F49, F54, F73, F80, F82−F87, F89, F90, F93 and F94. (b) Compounds F9, F12, F16, F17, F24, F25, F28−F32, F37, F40−F42, F47, F48, F50, F51, F63, F65−F68, F71, F72, F74, F76, F78 and F92. (c) Compounds F27, F36, F39, F43, F52, F53, F56, F57, F58−F62, F64, F69, F70, F75, F77, F79, F81, F88, F91 and F99. (d) Compounds F23, F38, F44, F45, F55, F95−F98, F100−F103.
An important observation in the 13C NMR data of 3-oxo friedelanes is the shielding of methyl group 23, which has a chemical shift value around δC 7.0 ppm. This occurs since this methyl is found in a cone region, generated by the π electrons of the carbonyl group at C-3, which promotes a region of shielding magnetic anisotropy [30].
2.2. Quinonemethides and Aromatics
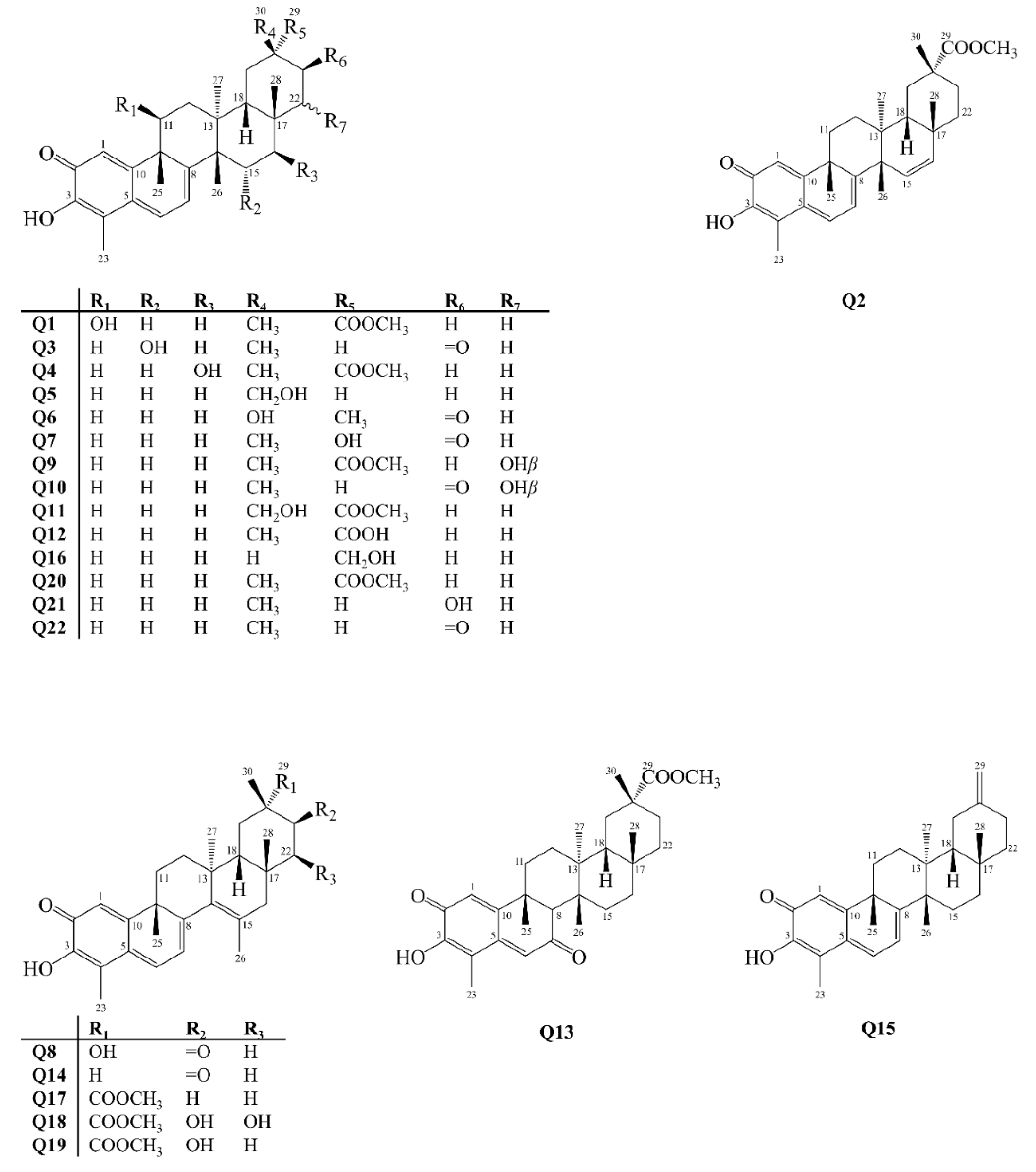
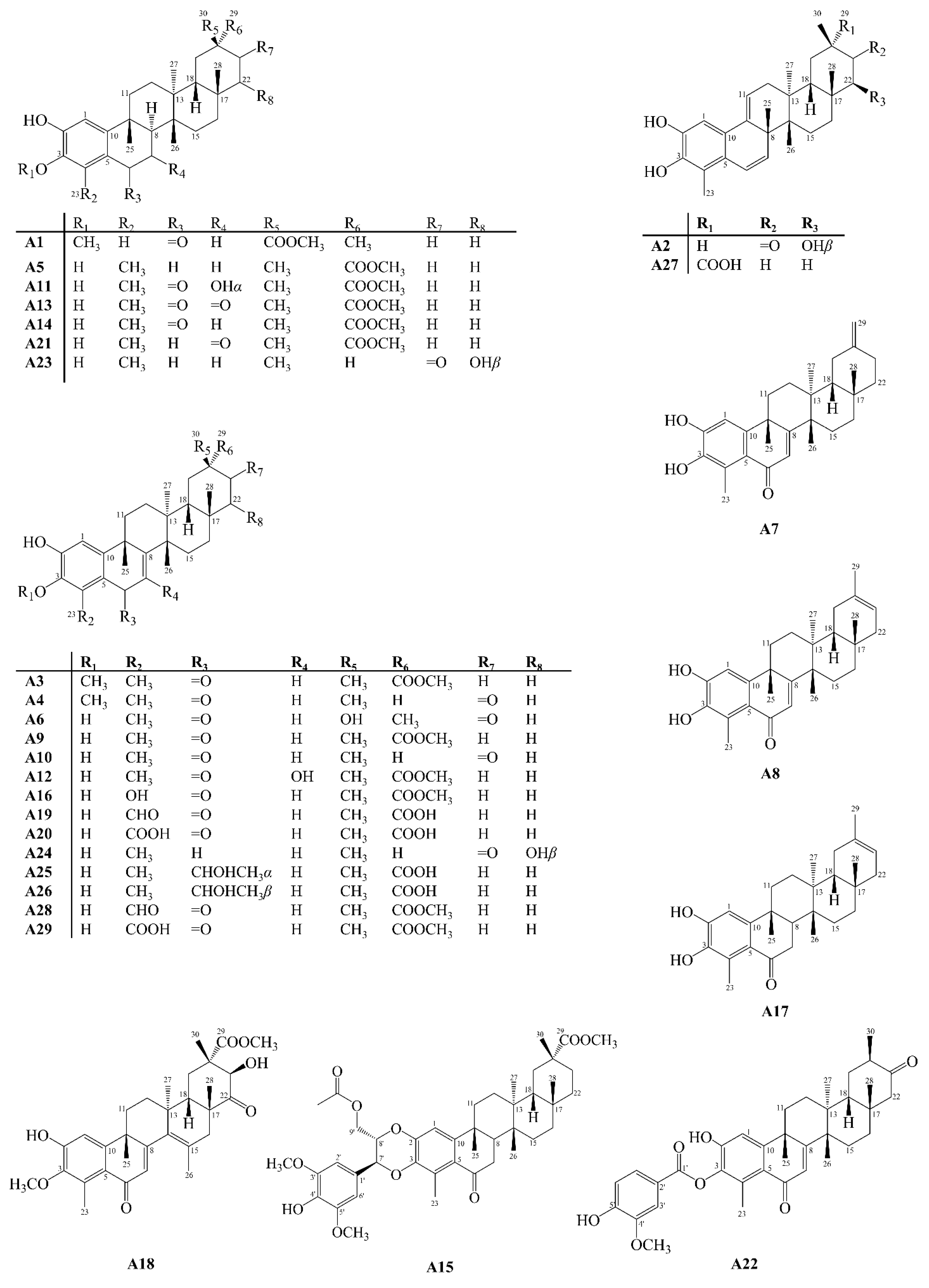
Quinonemethides are compounds isolated exclusively in species of the Celastraceae family, and can also be found in the form of dimers or trimers [31]. Hypotheses about their origin assume that they are formed from friedelane derivatives, which are transported from the leaves to the roots, where they are converted into quinonemethides [32]. They are characterized as 24-nor-triterpenoids, due to the absence of methyl 24, and also they have functional oxygenated groups attached to carbons 2 and 3 [33]. Aromatic skeleton PCTTs are a subgroup of quinonemethides, which are characterized by the aromaticity of the A ring. Between 2001 and 2021 about 22 quinonemethides (Q), Q1–Q22 (Figure 5), and 29 aromatics analogues (A), A1–A29 (Figure 6) were isolated from Celastraceae species.
Figure 5.
Structures of quinonemethide-type pentacyclic triterpenoids isolated from Celastraceae species (2001–2021).
Figure 6.
Structures of aromatic-type pentacyclic triterpenoids isolated from Celastraceae species (2001–2021).
In the 13C NMR spectra of the quinonemethides, signals are observed in the characteristic carbonyl region, between δC 170–200 ppm, and in the typical olefinic carbon region, around δC 110–160 ppm.
2.3. Dimers
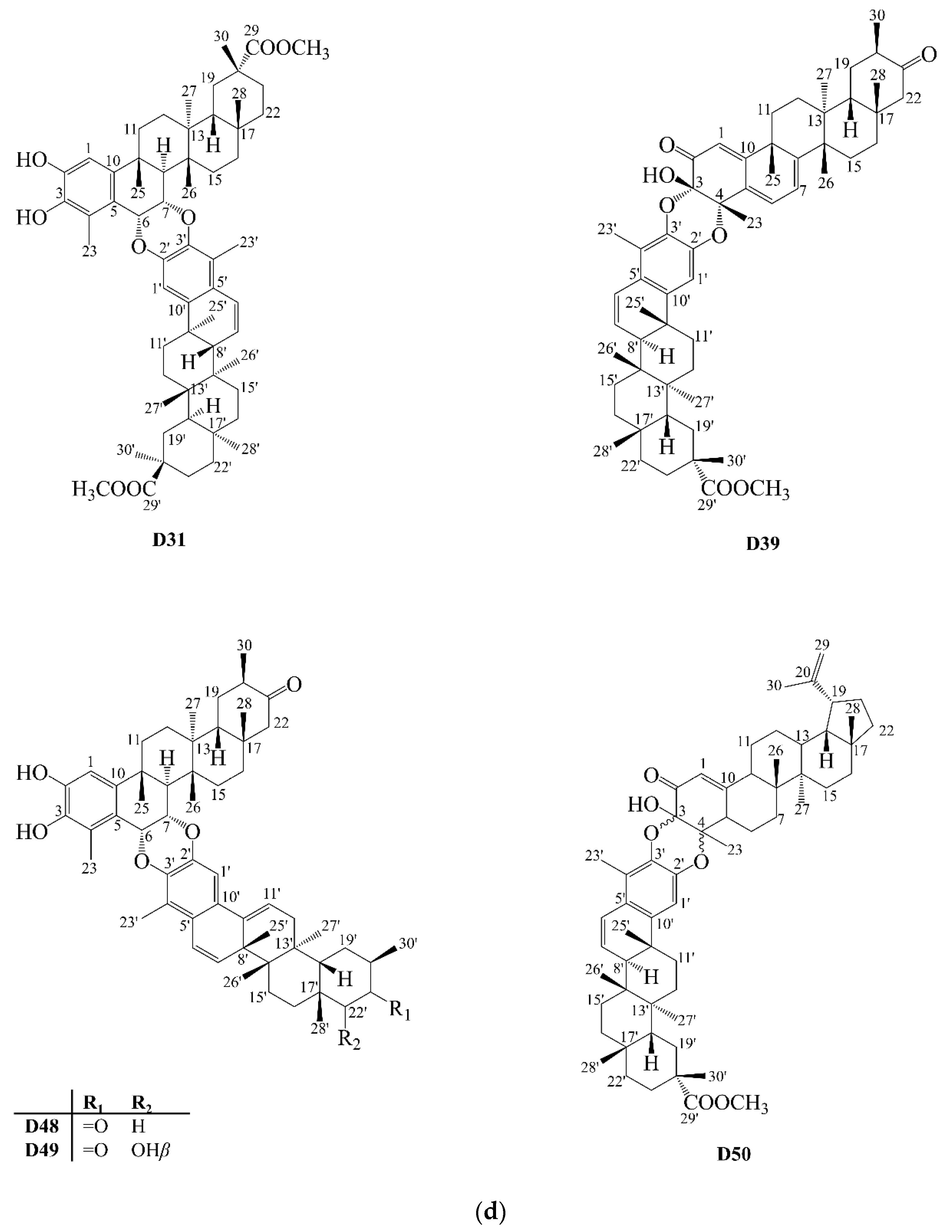
Dimers are formed from PCTTs of the quinonemethide class and its aromatic derivatives, therefore they are also restricted to the Celastraceae family. According to Bazzocchi, Núñez and Reyes [31], these triterpenes are possibly biosynthesized through a Diels-Alder reaction, in which the different possible orientations of the monomers during the reaction result in a variety of isomers.
Between the years 2001 and 2021, 50 dimers (D), D1–D50, were reported (Figure 7). Most of these dimers are formed by two triterpenes with quinonemethide skeleton or their aromatic derivatives. However, the formation of adducts can also occur from the combination of a triterpene and a sesquiterpene (D15–D24; D37–D38).



Figure 7.
Structures of dimer-type pentacyclic triterpenoids isolated from Celastraceae species (2001–2021). (a) Compounds D1–D14. (b) Compounds D15–D26, D37, D38 and D40–D47. (c) Compounds D27–D30 and D32–D36. (d) Compounds D31, D39 and D48–D50.
2.4. Lupanes
Unlike other skeletons, lupane-type PCTTs are formed by a trans pentacyclic ring system, in which the E ring is five-membered with an isopropenyl α substituent at carbon 19, containing a double bond between carbons 20 and 29 [19,22]. They have seven methyl groups, with two geminal ones attached to carbon 4 (Me 23α and 24β) and the others attached to carbon 8 (Me 26β), 10 (Me 25β), 14 (Me 27α), 17 (Me 28β), and 20 (Me 30), respectively. In this review, 89 pentacyclic triterpenoids of the lupane-type (L), L1–L89, were reported (Figure 8).


Figure 8.
Structures of lupane-type pentacyclic triterpenoids isolated from Celastraceae species (2001–2021). (a) Compounds L1, L2, L4, L6, L7, L9, L10, L13, L15, L17, L19, L22, L28, L30, L33, L39, L40, L44, L49-L51, L56, L61, L67, L74–L77, L83, L84, L87 and L88. (b) Compounds L3, L5, L8, L11, L12, L14, L16, L18, L20, L21, L23–27, L31, L32, L34–L38, L41–L43, L45–L48, L52–L54, L57–L60, L62–L66, L68–L73, L78–L82 and L85. (c) Compounds L29, L55, L86 and L89.
Characteristic 13C-NMR signals of the class of lupanes are those in the olefinic region, which appear around δC 109 (C-29) and δC 150 ppm (C-20), and signals from the methine carbons C-5 (Hα), C- 9 (Hα), C-13 (Hβ), C-18 (Hα), and C-19 (Hβ), observed around δC 55, 50, 38, 48 and 47 ppm, respectively.
2.5. Oleananes
Oleanane-type triterpenoids are characterized by the presence of a double bond, most commonly between carbons 12 and 13. Rings A/B, B/C, and C/D have trans configuration, whereas rings D/E are cis. They have eight methyl groups. Geminal ones 23 (α) and 24 (β) are connected to carbon 4, and 29 (α) and 30 (β) to carbon 20. The others are connected to carbons 8 (Me 26β), 10 (Me 25β), 14 (Me 27α) and 17 (Me 28β) [19]. In this work, 102 pentacyclic triterpenoids with oleanane skeleton (O), O1–O102, were reported (Figure 9).


Figure 9.
Structures of oleanane-type pentacyclic triterpenoids isolated from Celastraceae species (2001–2021). (a) Compounds O1–O10, O12–O15, O17, O25–O27, O29, O30, O33, O35, O36, O38, O39, O43, O46, O48, O50, O55, O57–O59, O63, O64, O66, O68, O70, O71, O73, O74, O76, O79–O82, O84–O87 and O89. (b) Compounds O11, O16, O18–O20, O22, O23, O28, O31, O32, O34, O37, O40–O42, O44, O47, O49, O51, O52, O54, O56, O60–O62, O65, O67, O69, O83, O88 and O90–O100. (c) Compounds O21, O24, O45, O53, O72, O75, O77, O78, O101, and O102.
In the 13C-NMR spectrum, the signals that characterize oleananes are those related to the double bond carbon atoms. For the most common oleananes with double bond between carbons 12 and 13, the chemical shifts are observed around δC 122 (C-12) and δC 145 ppm (C-13), except for those that have substituents close to these carbons [27].
2.6. Ursanes
Ursanes differ structurally from oleananes only by the position of methyl group 29, which is attached to carbon 19, in a β position. In the structure of ursanes, methyl group 30 is found in α position. Rings A/B, B/C and C/D have trans configuration, while rings D/E have cis configuration, like oleananes. The most common ursanes also present a double bond between carbons 12 and 13 [19]. There were 88 ursanes (U) isolated from Celastraceae species, triterpenoids U1 to U88, were reported (Figure 10).


Figure 10.
Structures of ursane-type pentacyclic triterpenoids isolated from Celastraceae species (2001–2021). (a) Compounds U1, U4, U5, U8, U10, U12, U18, U22–U24, U34–42, U52–U55, U57, U64, U68–U73, U76–U78 and U84. (b) Compounds U2, U3, U6, U7, U9, U11, U13–U17, U19–U21, U25–U33, U43–U51, U56, U58–U63, U79–U83 and U85. (c) U65–U67, U74, U75, U86–U88.
13C-NMR spectrum of ursanes differ from the spectrum of oleananes by the chemical shift signals of the olefinic carbon atoms, which are observed around δC 124 (C-12) and δC 139 ppm (C-13). In ursanes, the proximity of methyl group 29 with the double bond promotes a steric effect on these carbons, causing a shielding effect on C-13 and deshielding on C-12 [27,34]. This effect can be observed by comparing the 13C-NMR data of O3 and U6, for example. Additionally, the number of quaternary carbon signals also represents a distinction parameter between these two skeletons, since 6 signals are observed in the oleananes spectrum and 5 signals in the ursanes spectrum.
2.7. Other Triterpenoid Skeletons Isolated from Celastraceae
In addition to the PCTT types described above, other 21 types of pentacyclic structures were also isolated from Celastraceae species (Figure 11). The terpenoid skeletons are gammacerane (OT1), taraxane (OT2), hopane (OT3, OT4), glutinane (OT6, OT16, OT18, OT19), taraxerane (OT7, OT21), germanicane (OT17) and unidentified types (OT5, OT8, OT9, OT10, OT11, OT12, OT13, OT14, OT15, OT20).
Figure 11.
Structures of pentacyclic triterpenoids classified as others isolated from Celastraceae species (2001–2021).
3. 13C-NMR Data of Pentacyclic Triterpenoids Isolated from Celastraceae Species (2001–2021)
Table 1, Table 2, Table 3, Table 4, Table 5, Table 6, Table 7 and Table 8 list the literature 13C-NMR data of the PCTTs that were isolated and characterized in the period of 2001–2021.
Table 1.
13C-NMR data of friedelane-type pentacyclic triterpenoids isolated from Celastraceae species (2001–2021).
Table 2.
13C-NMR data of quinonemethide-type pentacyclic triterpenoids isolated from Celastraceae species (2001–2021).
Table 3.
13C-NMR data of aromatic-type pentacyclic triterpenoids isolated from Celastraceae species (2001–2021).
Table 4.
13C-NMR data of dimer-type pentacyclic triterpenoids isolated from Celastraceae species (2001–2021).
Table 5.
13C-NMR data of lupane-type pentacyclic triterpenoids isolated from Celastraceae species (2001–2021).
Table 6.
13C-NMR data of oleanane-type pentacyclic triterpenoids isolated from Celastraceae species (2001–2021).
Table 7.
13C-NMR data of ursane-type pentacyclic triterpenoids isolated from Celastraceae species (2001–2021).
Table 8.
13C-NMR data of pentacyclic triterpenoids classified as others isolated from Celastraceae species (2001–2021).
4. Conclusions
This review describes 504 pentacyclic triterpenoids isolated from Celastraceae species, classified as aromatics (29), dimers (50), friedelanes (103), lupanes (89), oleananes (102), quinonemethides (22), ursanes (88) and others (21). The data reported highlights the abundance and structural diversity of pentacyclic triterpenes isolated from plants of this family. The chemical complexity of these compounds helps to rationalize the various biological properties associated with these plant species, as well as these pure metabolites. The compilation of PCTTs 13C-NMR data presented in this review represents a contribution to the structural elucidation of new compounds of this class of terpenes.
Supplementary Materials
The following are available online, Table S1: Pentacyclic triterpenoids isolated from Celastraceae species (2001–2021) [257,258,259,260,261,262,263,264,265,266,267,268,269,270,271,272,273,274,275,276,277,278,279,280,281,282,283,284,285,286,287,288,289,290,291,292,293,294,295,296,297,298,299,300,301,302,303,304,305,306,307,308,309,310,311,312,313,314,315,316,317,318,319,320].
Author Contributions
Conceptualization and investigation, K.C.C., L.P.D., G.F.S. and D.M.V.; methodology and data curation, K.C.C., R.G.d.C., M.G.d.A., A.R.A.M., E.L.M.M. and L.R.O.; validation, M.G.d.A., D.S. and A.R.A.M.; writing—original draft preparation, K.C.C.; writing—review and editing and formal analysis, L.P.D., G.F.S., D.M.V. and D.S.; supervision, L.P.D., G.F.S. and D.M.V. All authors have read and agreed to the published version of the manuscript.
Funding
This research was funded by Conselho Nacional de Desenvolvimento Científico e Tecnológico (CNPq), grant number 140434/2018-6.
Institutional Review Board Statement
Not applicable.
Informed Consent Statement
Not applicable.
Data Availability Statement
The information about the PCTTs was obtained from SciFinder, Scopus, and Web of Science, using as key search terms: “Celastraceae and triterpenes”, “Celastraceae and com-pounds”, “Celastraceae and phytochemistry” and “Celastraceae and metabolites”.
Acknowledgments
The authors are thankful to Conselho Nacional de Desenvolvimento Científico e Tecnológico (CNPq), Coordenação de Aperfeiçoamento de Pessoal de Nível Superior (CAPES) and Fundação de Amparo à Pesquisa do Estado de Minas Gerais (FAPEMIG) for financial support.
Conflicts of Interest
The authors declare no conflict of interest.
References
- Bukhari, S.; Jantan, I.; Seyed, M. Effects of plants and isolates of Celastraceae family on cancer pathways. Anticancer. Agents Med. Chem. 2015, 15, 681–693. [Google Scholar] [CrossRef] [PubMed]
- Christenhusz, M.J.M.; Byng, J.W. The number of known plants species in the world and its annual increase. Phytotaxa 2016, 216, 201–217. [Google Scholar] [CrossRef]
- Caneschi, C.; Muniyappa, M.; Duarte, L.; Silva, G.; Santos, O.; Spillane, C.; Filho, S. Effect of constituents from samaras of Austroplenckia populnea (Celastraceae) on human cancer cells. J. Intercult. Ethnopharmacol. 2015, 4, 6–11. [Google Scholar] [CrossRef] [PubMed]
- Rodrigues, A.C.B.C.; Oliveira, F.P.; Dias, R.B.; Sales, C.B.S.; Rocha, C.A.G.; Soares, M.B.P.; Costa, E.V.; Silva, F.M.A.; Rocha, W.C.; Koolen, H.H.F.; et al. In vitro and in vivo anti-leukemia activity of the stem bark of Salacia impressifolia (Miers) A. C. Smith (Celastraceae). J. Ethnopharmacol. 2019, 231, 516–524. [Google Scholar] [CrossRef]
- Menezes, L.D.; Gomes, G.O.; Antônio, J.; Da, P.; Neto, S.; Laundry, M.M.; Ferreira, V.M.; Valero, S.M. Evaluation of anti-inflammatory and antinociceptive activities of the Austroplenckia populnea extract in topical formulations. Afr. J. Pharm. Pharmacol. 2014, 8, 1180–1185. [Google Scholar] [CrossRef]
- Rodrigues, V.G.; Duarte, L.P.; Silva, R.R.; Silva, G.D.F.; Mercadante-Simões, M.O.; Takahashi, J.A.; Matildes, B.L.G.; Fonseca, T.H.S.; Gomes, M.A.; Vieira Filho, S.A. Salacia crassifolia (Celastraceae): Chemical constituents and antimicrobial activity. Quim. Nova 2015, 38, 237–242. [Google Scholar] [CrossRef]
- Cruz, W.; Ferraz, A.; Lima, W.; Silva, M.T.; Ferreira, F.; Siqueira, F.J.; De Brito, M.C.; Duarte, L.; Vieira Filho, S.; De Magalhães, J. Evaluation of the activity of Tontelea micrantha extracts against bacteria, candida and Mayaro virus. J. Pharm. Negat. Results 2018, 9, 21–26. [Google Scholar] [CrossRef]
- Magalhães, C.G.; De Fátima, S.G.D.; Duarte, L.P.; Takahashi, J.A.; Santos, V.R.; Figueiredo, R.C.; Filho, S.A.V. Maytenus salicifolia Reissek (Celastraceae): Evaluation of the activity of extracts and constituents against Helicobacter pylori and oral pathogenic microorganisms. Rev. Virtual Quim. 2016, 8, 1524–1536. [Google Scholar] [CrossRef]
- Magalhães, C.G.; Ferrari, F.C.; Guimarâes, D.A.S.; Silva, G.D.F.; Duarte, L.P.; Figueiredo, R.C.; Filho, S.A.V. Maytenus salicifolia: Triterpenes isolated from stems and antioxidant property of extracts from aerial parts. Rev. Bras. Farmacogn. 2011, 21, 415–419. [Google Scholar] [CrossRef]
- Ferreira, P.G.; Ferraz, A.C.; Figueiredo, J.E.; Lima, C.F.; Rodrigues, V.G.; Taranto, A.G.; Ferreira, J.M.S.; Brandão, G.C.; Vieira-Filho, S.A.; Duarte, L.P.; et al. Detection of the antiviral activity of epicatechin isolated from Salacia crassifolia (Celastraceae) against Mayaro virus based on protein C homology modelling and virtual screening. Arch. Virol. 2018, 163, 1567–1576. [Google Scholar] [CrossRef]
- Veloso, C.C.; Rodrigues, V.G.; Azevendo, A.O.; Oliveira, C.C.; Gomides, L.F.; Duarte, L.P.; Duarte, I.D.; Klein, A.; Perez, A.C. Antinociceptive effects of Maytenus imbricata Mart. Ex. Reissek (Celastraceae) root extract and its tingenone constituent. J. Med. Plants Res. 2014, 8, 68–76. [Google Scholar] [CrossRef][Green Version]
- Zhang, L.; Ji, M.Y.; Qiu, B.; Li, Q.Y.; Zhang, K.Y.; Liu, J.C.; Dang, L.S.; Li, M.H. Phytochemicals and biological activities of species from the genus Maytenus. Med. Chem. Res. 2020, 29, 575–606. [Google Scholar] [CrossRef]
- Alvarenga, N.; Ferro, E.A. Bioactive triterpenes and related compounds from Celastraceae. Stud. Nat. Prod. Chem. 2006, 33, 239–307. [Google Scholar] [CrossRef]
- Truc, D.T.T.; Vy, C.T.H.; Phu, D.H.; Hoang, N.M.; Nhan, N.T. Lupan-Type Triterpenoids from the stems of Salacia chinensis L. (Celastraceae) and their α-glucosidase inhibitory activities. Vietnam J. Chem. 2019, 57, 433–437. [Google Scholar] [CrossRef]
- Renda, G.; Gökkaya, İ.; Şöhretoğlu, D. Immunomodulatory properties of triterpenes. Phytochem. Rev. 2021, 1–27. [Google Scholar] [CrossRef] [PubMed]
- Zhou, M.; Zhang, R.H.; Wang, M.; Xu, G.B.; Liao, S.G. Prodrugs of triterpenoids and their derivatives. Eur. J. Med. Chem. 2017, 131, 222–236. [Google Scholar] [CrossRef] [PubMed]
- Ríos, J.L.; Máñez, S. New pharmacological opportunities for betulinic acid. Planta Med. 2018, 84, 8–19. [Google Scholar] [CrossRef] [PubMed]
- Xu, F.; Huang, X.; Wu, H.; Wang, X. Beneficial health effects of lupenone triterpene: A review. Biomed. Pharmacother. 2018, 103, 198–203. [Google Scholar] [CrossRef] [PubMed]
- Shen, Y.; Chen, B.L.; Zhang, Q.X.; Zheng, Y.Z.; Fu, Q. Traditional uses, secondary metabolites, and pharmacology of Celastrus species—A Review. J. Ethnopharmacol. 2019, 241, 111934. [Google Scholar] [CrossRef]
- Silva, F.C.O.; Ferreira, M.K.A.; Da Silva, A.W.; Matos, M.G.C.; Magalhães, F.E.A.; Da Silva, P.T.; Bandeira, P.N.; De Menezes, J.E.S.A.; Santos, H.S. Bioativities of plant-isolated triterpenes: A brief review. Rev. Virtual Quim. 2020, 12, 234–247. [Google Scholar] [CrossRef]
- Ghiulai, R.; Roşca, O.J.; Antal, D.S.; Mioc, M.; Mioc, A.; Racoviceanu, R.; Macaşoi, I.; Olariu, T.; Dehelean, C.; Creţu, O.M.; et al. Tetracyclic and pentacyclic triterpenes with high therapeutic efficiency in wound healing approaches. Molecules 2020, 25, 5557. [Google Scholar] [CrossRef] [PubMed]
- Huang, Y.Y.; Chen, L.; Ma, G.X.; Xu, X.D.; Jia, X.G.; Deng, F.S.; Li, X.J.; Yuan, J.Q. A review on phytochemicals of the genus Maytenus and their bioactive studies. Molecules 2021, 26, 4563. [Google Scholar] [CrossRef]
- Duarte, L.P. Núcleo de Estudo de Plantas Medicinais—Departamento de Química ICEX. Available online: http://zeus.qui.ufmg.br/~neplam/principal.htm. (accessed on 22 December 2021).
- Chung, P.Y. Novel targets of pentacyclic triterpenoids in Staphylococcus aureus: A Systematic Review. Phytomedicine 2020, 73, 152933. [Google Scholar] [CrossRef] [PubMed]
- Silva, F.C.; Duarte, L.P.; Vieira Filho, S.A. Celastraceae family: Source of pentacyclic triterpenes with potential biological activity. Rev. Virtual Quim. 2014, 6, 1205–1220. [Google Scholar] [CrossRef]
- Thimmappa, R.; Geisler, K.; Louveau, T.; O’Maille, P.; Osbourn, A. Triterpene biosynthesis in plants. Annu. Rev. Plant Biol. 2014, 65, 225–257. [Google Scholar] [CrossRef]
- Mahato, S.B.; Kundu, A.P. 13C NMR spectra of pentacyclic triterpenoids-A compilation and some salient features. Phytochemistry 1994, 37, 1517–1575. [Google Scholar] [CrossRef]
- Dewick, P.M. Medicinal Natural Products: A Biosynthetic Approach, 3rd ed.; John Wiley & Sons: Hoboken, NJ, USA, 2009; ISBN 9780470741689. [Google Scholar]
- Shan, W.G.; Zhang, L.W.; Xiang, J.G.; Zhan, Z.J. Natural friedelanes. Chem. Biodivers. 2013, 10, 1392–1434. [Google Scholar] [CrossRef]
- Pavia, D.L.; Lampman, G.M.; Kriz, G.S.; Vyvyan, J.R. Introdução á Espectroscopia; Cengage Learning: Bellingham, WA, USA, 2010; ISBN 9788522123384. [Google Scholar]
- Bazzocchi, I.L.; Núñez, M.J.; Reyes, C.P. Diels–alder adducts from Celastraceae species. Phytochem. Rev. 2018, 17, 669–690. [Google Scholar] [CrossRef]
- Corsino, J.; De Carvalho, P.R.F.; Kato, M.J.; Latorre, L.R.; Oliveira, O.M.M.F.; Araújo, A.R.; Bolzani, V.D.S.; França, S.C.; Pereira, A.M.S.; Furlan, M. Biosynthesis of friedelane and quinonemethide triterpenoids is compartmentalized in Maytenus aquifolium and Salacia campestris. Phytochemistry 2000, 55, 741–748. [Google Scholar] [CrossRef]
- González, A.G.; Bazzocchi, I.L.; Moujir, L.; Jiménez, I.A. Ethnobotanical uses of Celastraceae. bioactive metabolites. Stud. Nat. Prod. Chem. 2000, 23, 649–738. [Google Scholar] [CrossRef]
- Oliveira, F.F. Estudo Químico de Vismia parviflora e Síntese e Derivados Antroquinônicos. Ph.D. Thesis, Universidade Federal de Minas Gerais, Belo Horizonte, Brazil, 1997. [Google Scholar]
- Chen, M.X.; Wang, D.Y.; Guo, J. 3-Oxo-11β-hydroxyfriedelane from the roots of Celastrus monospermus. J. Chem. Res. 2010, 34, 114–117. [Google Scholar] [CrossRef]
- Silva, F.C.; Duarte, L.P.; Silva, G.D.F.; Filho, S.A.V.; Ivana, S.L.; Takahashi, J.A.; Tm, W.S. Chemical constituents from branches of Maytenus gonoclada (Celastraceae) and evaluation of antimicrobial activity. J. Braz. Chem. Soc. 2011, 22, 943–949. [Google Scholar] [CrossRef]
- Silva, F.C.; Rodrigues, V.G.; Duarte, L.P.; Silva, G.D.F.; Miranda, R.R.S.; Filho, S.A.V. A new friedelane triterpenoid from the branches of Maytenus gonoclada (Celastraceae). J. Chem. Res. 2011, 35, 555–557. [Google Scholar] [CrossRef]
- Oliveira, M.L.G.; Duarte, L.P.; Silva, G.D.F.; Filho, S.A.V.; Knupp, V.F.; Alves, F.G.P. 3-Oxo-12α-hydroxyfriedelane from Maytenus gonoclada: Structure elucidation by 1H and 13C chemical shift assignments and 2D-NMR spectroscopy. Magn. Reson. Chem. 2007, 45, 895–898. [Google Scholar] [CrossRef] [PubMed]
- Kishi, A.; Morikawa, T.; Matsuda, H.; Yoshikawa, M. Structures of new friedelane and norfriedelane-type triterpenes and polyacylated eudesmane-type sesquiterpene from Salacia chinensis Linn. (S. Prinoides DC., Hippocrateaceae) and radical scavenging activities of principal constituents. Chem. Pharm. Bull. 2003, 51, 1051–1055. [Google Scholar] [CrossRef]
- Hisham, A.; Kumar, G.J.; Fujimoto, Y.; Hara, N. Salacianone and salacianol, two triterpenes from Salacia beddomei. Phytochemistry 1995, 40, 1227–1231. [Google Scholar] [CrossRef]
- Matsuda, H.; Murakami, T.; Yashiro, K.; Yamahara, J.; Yoshikawa, M. Antidiabetic principles of natural medicines. IV. Aldose reductase and α-glucosidase inhibitors from the Roots of Salacia oblonga WALL. (Celastraceae): Structure of a new friedelane-type triterpene, kotalagenin 16-acetate. Chem. Pharm. Bull. 1999, 47, 1725–1729. [Google Scholar] [CrossRef]
- Kuo, Y.H.; Kuo, L.M.Y. Antitumour and anti-aids triterpenes from Celastrus hindsii. Phytochemistry 1997, 44, 1275–1281. [Google Scholar] [CrossRef] [PubMed]
- Duarte, L.P.; Figueiredo, R.C.; Sousa, G.F.; Soares, D.B.D.S.; Rodrigues, S.B.V.; Silva, F.C.; De Fátima Silva, G.D.; Vieira Filho, S.A. Chemical constituents of Salacia elliptica (Celastraceae). Quim. Nova 2010, 33, 900–903. [Google Scholar] [CrossRef]
- Duarte, L.P.; Silva De Miranda, R.R.; Rodrigues, S.B.V.; De Fátima Silva, G.D.; Filho, S.A.V.; Knupp, V.F. Stereochemistry of 16α-hydroxyfriedelin and 3-oxo-16-methylfriedel- 16-ene established by 2D NMR spectroscopy. Molecules 2009, 14, 598–607. [Google Scholar] [CrossRef]
- Sousa, G.F.; Aguilar, M.G.; Dias, D.F.; Takahashi, J.A.; Moreira, M.E.C.; Vieira Filho, S.A.; Silva, G.D.F.; Rodrigues, S.B.V.; Messias, M.C.T.B.; Duarte, L.P. Anti-Inflammatory, antimicrobial and acetylcholinesterase inhibitory activities of friedelanes from Maytenus robusta branches and isolation of further triterpenoids. Phytochem. Lett. 2017, 21, 61–65. [Google Scholar] [CrossRef]
- Sousa, G.F.; Soares, D.C.F.; Mussel, W.D.N.; Pompeu, N.F.E.; Silva, G.D.; de, F.; Filho, S.A.V.; Duarte, L.P. Pentacyclic triterpenes from branches of Maytenus robusta and in vitro cytotoxic property against 4t1 cancer cells. J. Braz. Chem. Soc. 2014, 25, 1338–1345. [Google Scholar] [CrossRef]
- Rodríguez, F.M.; Perestelo, N.R.; Jiménez, I.A.; Bazzocchi, I.L. Friedelanes from Crossopetalum lobatum. A new example of a triterpene anhydride. Helv. Chim. Acta 2009, 92, 188–194. [Google Scholar] [CrossRef]
- Ardiles, A.E.; González-Rodríguez, Á.; Núñez, M.J.; Perestelo, N.R.; Pardo, V.; Jiménez, I.A.; Valverde, Á.M.; Bazzocchi, I.L. Studies of naturally occurring friedelane triterpenoids as insulin sensitizers in the treatment type 2 diabetes mellitus. Phytochemistry 2012, 84, 116–124. [Google Scholar] [CrossRef]
- Somwong, P.; Suttisri, R.; Buakeaw, A. A new 1,3-diketofriedelane triterpene from Salacia verrucosa. Fitoterapia 2011, 82, 1047–1051. [Google Scholar] [CrossRef]
- Setzer, W.N.; Setzer, M.C.; Lynton Peppers, R.; McFerrin, M.B.; Meehan, E.J.; Chen, L.; Bates, R.B.; Nakkiew, P.; Jackes, B.R. Triterpenoid constituents in the bark of Balanops australiana. Aust. J. Chem. 2000, 53, 809–812. [Google Scholar] [CrossRef]
- Niero, R.; Mafra, A.P.; Lenzi, A.C.; Cechinel-Filho, V.; Tischer, C.; Malheiros, A.; De Souza, M.M.; Yunes, R.A.; Delle Monache, F. A new triterpene with antinociceptive activity from Maytenus robusta. Nat. Prod. Res. 2006, 20, 1315–1320. [Google Scholar] [CrossRef]
- Ferreira, F.L.; Hauck, M.S.; Duarte, L.P.; de Magalhães, J.C.; da Silva, L.S.M.; Pimenta, L.P.S.; Lopes, J.C.D.; Mercadante-Simões, M.O.; Vieira Filho, S.A. Zika virus activity of the leaf and branch extracts of Tontelea micrantha and its hexane extracts phytochemical study. J. Braz. Chem. Soc. 2019, 30, 793–803. [Google Scholar] [CrossRef]
- Tamboli, A.R.; Namdeo, A.G. Isolation and characterization of Salacia chinensis and its evaluation of antioxidant activity. Int. J. Pharmacogn. 2020, 7, 126–132. [Google Scholar] [CrossRef]
- Kaweetripob, W.; Mahidol, C.; Prawat, H.; Ruchirawat, S. Lupane, friedelane, oleanane, and ursane triterpenes from the stem of Siphonodon celastrineus Griff. Phytochemistry 2013, 96, 404–417. [Google Scholar] [CrossRef]
- Giner, R.M.; Gray, A.I.; Gibbons, S.; Waterman, P.G. Friedelane triterpenes from the stem bark of Caloncoba glauca. Phytochemistry 1993, 33, 237–239. [Google Scholar] [CrossRef]
- Nozaki, H.; Matsuura, Y.; Hirono, S.; Kasai, R.; Chang, J.J.; Lee, K.H. Antitumor agents, 116.1 cytotoxic triterpenes from Maytenus diversifolia. J. Nat. Prod. 1990, 53, 1039–1041. [Google Scholar] [CrossRef] [PubMed]
- Patra, A.; Chaudhuri, S.K. Assignment of Carbon-13 nuclear magnetic resonance spectra of some friedelanes. Magn. Reson. Chem. 1987, 25, 95–100. [Google Scholar] [CrossRef]
- Chavez, H.; Estevez-Braun, A.; Ravelo, A.G.; Gonzalez, A.G. Friedelane triterpenoids from Maytenus macrocarpa. J. Nat. Prod. 1998, 61, 82–85. [Google Scholar] [CrossRef] [PubMed]
- Itokawa, H.; Shirota, O.; Ikuta, H.; Morita, H.; Takeya, K.; Iitaka, Y. Triterpenes from Maytenus ilicifolia. Phytochemistry 1991, 30, 3713–3716. [Google Scholar] [CrossRef]
- Moiteiro, C.; Justino, F.; Tavares, R.; Marcelo-Curto, M.J.; Florêncio, M.H.; Nascimento, M.S.J.; Pedro, M.; Cerqueira, F.; Pinto, M.M.M. Synthetic secofriedelane and friedelane derivatives as inhibitors of human lymphocyte proliferation and growth of human cancer cell lines in vitro. J. Nat. Prod. 2001, 64, 1273–1277. [Google Scholar] [CrossRef]
- Duan, H.; Takaishi, Y.; Momota, H.; Ohmoto, Y.; Taki, T.; Tori, M.; Takaoka, S.; Jia, Y.; Li, D. Immunosuppressive terpenoids from extracts of Tripterygium wilfordii. Tetrahedron 2001, 57, 8413–8424. [Google Scholar] [CrossRef]
- Wang, K.W.; Zhang, H.; Pan, Y.J. Novel triterpenoids from Microtropis triflora with antitumor activities. Helv. Chim. Acta 2007, 90, 277–281. [Google Scholar] [CrossRef]
- Maregesi, S.M.; Hermans, N.; Dhooghe, L.; Cimanga, K.; Ferreira, D.; Pannecouque, C.; Berghe, D.A.V.; Cos, P.; Maes, L.; Vlietinck, A.J.; et al. Phytochemical and biological investigations of Elaeodendron schlechteranum. J. Ethnopharmacol. 2010, 129, 319–326. [Google Scholar] [CrossRef]
- Setzer, W.N.; Holland, M.T.; Bozeman, C.A.; Rozmus, G.F.; Setzer, M.C.; Moriarity, D.M.; Reeb, S.; Vogler, B.; Bates, R.B.; Haber, W.A. Isolation and frontier molecular orbital investigation of bioactive quinone-methide triterpenoids from the bark of Salacia petenensis. Planta Med. 2001, 67, 65–69. [Google Scholar] [CrossRef]
- Li, Y.Z.; Li, Z.L.; Yin, S.L.; Shi, G.; Liu, M.S.; Jing, Y.K.; Hua, H.M. Triterpenoids from Calophyllum inophyllum and their growth inhibitory effects on human leukemia HL-60 cells. Fitoterapia 2010, 81, 586–589. [Google Scholar] [CrossRef]
- Ramaiah, P.A.; Devi, P.U.; Frolow, F.; Lavie, D. 3-Oxo-friedelan-20α-oic acid from Gymnosporia emarginata. Phytochemistry 1984, 23, 2251–2255. [Google Scholar] [CrossRef]
- Gottlieb, H.E.; Ramaiah, P.A.; Lavie, D. 13C NMR signal assignment of friedelin and 3a-hydroxyfriedelan-2-one. Magn. Reson. Chem. 1985, 23, 616–620. [Google Scholar] [CrossRef]
- Reyes, C.P.; Jiménez, I.A.; Bazzocchi, I.L. Pentacyclic triterpenoids from Maytenus cuzcoina. Nat. Prod. Commun. 2017, 12, 675–678. [Google Scholar] [CrossRef] [PubMed]
- Pereira, R.C.G.; Soares, D.C.F.; Oliveira, D.C.P.; de Sousa, G.F.; Vieira-Filho, S.A.; Mercadante-Simões, M.O.; Lula, I.; Silva-Cunha, A.; Duarte, L.P. Triterpenes from leaves of Cheiloclinium cognatum and their in vivo antiangiogenic activity. Magn. Reson. Chem. 2018, 56, 360–366. [Google Scholar] [CrossRef]
- Chang, C.W.; Wu, T.S.; Hsieh, Y.S.; Kuo, S.C.; Lee Chao, P.D. Terpenoids of Syzygium formosanum. J. Nat. Prod. 1999, 62, 327–328. [Google Scholar] [CrossRef]
- Yang, G.Z.; Li, Y.C. Cyclopeptide and Terpenoids from Tripterygium wilfordii HOOK. F. Helv. Chim. Acta 2002, 85, 168–174. [Google Scholar] [CrossRef]
- Duarte, M.C.; Tavares, J.F.; Madeiro, S.A.L.; Costa, V.C.O.; Filho, J.M.B.; De Fátima Agra, M.; Filho, R.B.; Da Silva, M.S. Maytensifolone, a new triterpene from Maytenus distichophylla Mart. Ex Reissek. J. Braz. Chem. Soc. 2013, 24, 1697–1700. [Google Scholar] [CrossRef]
- Gao, H.Y.; Guo, Z.H.; Cheng, P.; Xu, X.M.; Wu, L.J. New Triterpenes from Salacia hainanensis Chun et How with α-glucosidase inhibitory activity. J. Asian Nat. Prod. Res. 2010, 12, 834–842. [Google Scholar] [CrossRef]
- Fujita, R.; Duan, H.; Takaishi, Y. Terpenoids from Tripterigyum hypoglaucum. Phytochemistry 2000, 53, 715–722. [Google Scholar] [CrossRef]
- Santos, J.P.; Rodrigues, B.L.; Oliveira, W.X.C.; Silva, F.C.; De Sousa, G.F.; Vieira Filho, S.A.; Duarte, L.P.; Silva, R.R. Caryopristimerin, the first example of a sesquiterpene-triterpene homo diels-alder adduct, and a new 29-nor-friedelane from roots of Salacia crassifolia. J. Braz. Chem. Soc. 2019, 30, 1558–1565. [Google Scholar] [CrossRef]
- Li, K.; Duan, H.; Kawazoe, K.; Takaishi, Y. Terpenoids from Tripterygium wilfordii. Phytochemistry 1997, 45, 791–796. [Google Scholar] [CrossRef]
- Gonzalez, A.G.; Alvarenga, N.L.; Ravelo, A.G.; Jimenez, I.A.; Bazzocchi, I.L. Two triterpenes from Maytenus canariensis. J. Nat. Prod. 1995, 58, 570–573. [Google Scholar] [CrossRef]
- Addae-Mensah, I.; Adu-Kumi, S.; Waibel, R.; Oppong, I.V. A Novel D:A-friedooleanane triterpenoid and other constituents of the stem bark of Dichapetalum barteri Engl. Arkivoc 2007, 2007, 71–79. [Google Scholar] [CrossRef]
- Wu, X.Y.; Qin, G.W.; Fan, D.J.; Xu, R.S. 1-Hydroxy-2,5,8-trimethyl-9-fluorenone from Tripterygium wilfordii. Phytochemistry 1994, 36, 477–479. [Google Scholar] [CrossRef]
- Yeboah, E.M.O.; Majinda, R.R.T.; Kadziola, A.; Muller, A. Dihydro-β-agarofuran sesquiterpenes and pentacyclic triterpenoids from the root bark of Osyris lanceolata. J. Nat. Prod. 2010, 73, 1151–1155. [Google Scholar] [CrossRef]
- Lu, C.H.; Zhang, J.X.; Gan, F.Y.; Shen, Y.M. Chemical constituents of the suspension cell cultures of Maytenus hookeri. Acta Bot. Sin. 2002, 44, 603–610. [Google Scholar]
- Orabi, K.Y.; Al-Qasoumi, S.I.; El-Olemy, M.M.; Mossa, J.S.; Muhammad, I. Dihydroagarofuran alkaloid and triterpenes from Maytenus heterophylla and Maytenus arbutifolia. Phytochemistry 2001, 58, 475–480. [Google Scholar] [CrossRef]
- Ngassapa, O.; Soejarto, D.D.; Pezzuto, J.M.; Farnsworth, N.R. Quinone-methide triterpenes and salaspermic acid from Kokoona ochracea. J. Nat. Prod. 1994, 57, 1–8. [Google Scholar] [CrossRef]
- Zhang, X.W.; Wang, K.W.; Zhou, M.Q. Cytotoxic triterpenoids from the stalks of Microtropis triflora. Chem. Biodivers. 2017, 14, e1700066. [Google Scholar] [CrossRef]
- Klass, J.; Tinto, W.F.; Mclean, S.; Reynolds, W.F. Friedelane triterpenoids from Peritassa compta: Complete 1H and 13C assignments by 2D NMR spectroscopy. J. Nat. Prod. 1992, 55, 1626–1630. [Google Scholar] [CrossRef]
- Wandji, J.; Wansi, J.D.; Fuendjiep, V.; Dagne, E.; Mulholland, D.A.; Tillequin, F.; Fomum, Z.T.; Sondengam, B.L.; Nkeh, B.C.; Njamen, D. Sesquiterpene lactone and friedelane derivative from Drypetes molunduana. Phytochemistry 2000, 54, 811–815. [Google Scholar] [CrossRef]
- Sousa, G.F.; Ferreira, F.L.; Duarte, L.P.; Silva, G.D.F.; Messias, M.C.T.B.; Vieira Filho, S.A. Structural determination of 3β,11β-dihydroxyfriedelane from Maytenus robusta (Celastraceae) by 1D and 2D NMR. J. Chem. Res. 2012, 36, 203–205. [Google Scholar] [CrossRef]
- Costa, P.M.; Carvalho, M.G. New triterpene isolated from Eschweilera longipes (Lecythidaceae). An. Acad. Bras. Cienc. 2003, 75, 21–25. [Google Scholar] [CrossRef] [PubMed][Green Version]
- Salazar, G.C.M.; Silva, G.D.F.; Duarte, L.P.; Vieira Filho, S.A.; Lula, I.S. Two epimeric friedelane triterpenes isolated from Maytenus truncata Reiss: 1H and 13C chemical shift assignments. Magn. Reson. Chem. 2000, 38, 977–980. [Google Scholar] [CrossRef]
- Gunatilaka, A.A.L.; Nanayakkara, N.P.D.; Sultanbawa, M.U.S.; Wazeer, M.I.M. 13C nuclear magnetic resonance spectra of some naturally occurring friedelanones. Org. Magn. Reson. 1980, 14, 415–417. [Google Scholar] [CrossRef]
- Dhanabalasingham, B.; Karunaratne, V.; Tezuka, Y.; Kikuchi, T.; Gunatilaka, A.A.L. Biogenetically important quinonemethides and other triterpenoid constituents of Salacia reticulata. Phytochemistry 1996, 42, 1377–1385. [Google Scholar] [CrossRef]
- Yang, J.H.; Luo, S.D.; Wang, Y.S.; Zhao, J.F.; Zhang, H.B.; Li, L. Triterpenes from Tripterygium wilfordii Hook. J. Asian Nat. Prod. Res. 2006, 8, 425–429. [Google Scholar] [CrossRef]
- Nakano, K.; Oose, Y.; Takaishi, Y. A novel epoxy-triterpene and nortriterpene from callus cultures of Tripterygium wilfordii. Phytochemistry 1997, 46, 1179–1182. [Google Scholar] [CrossRef]
- Sousa, G.F.; Duarte, L.P.; Alcântara, A.F.C.; Silva, G.D.F.; Vieira-Filho, S.A.; Silva, R.R.; Oliveira, D.M.; Takahashi, J.A. New Triterpenes from Maytenus robusta: Structural elucidation based on NMR experimental data and theoretical Calculations. Molecules 2012, 17, 13439–13456. [Google Scholar] [CrossRef]
- Vieira Filho, S.A.; Duarte, L.P.; Suva, G.D.F.; Lula, I.S.; Dos Santos, M.H. Total assignment of 1H And 13C NMR spectra of two 3, 4-secofriedelanes from Austroplenckia populnea. Magn. Reson. Chem. 2001, 39, 746–748. [Google Scholar] [CrossRef]
- Mena-Rejón, G.J.; Pérez-Espadas, A.R.; Moo-Puc, R.E.; Cedillo-Rivera, R.; Bazzocchi, I.L.; Jiménez-Diaz, I.A.; Quijano, L. Antigiardial activity of triterpenoids from Root Bark of Hippocratea excelsa. J. Nat. Prod. 2007, 70, 863–865. [Google Scholar] [CrossRef] [PubMed]
- Zhang, K.; Liu, J.; Wang, Y.; Huang, H.; Chen, Y. Constituents of triterpenes from Celastrus monospermus Roxb. Zhongshan Da Xue Xue Bao. Zi Ran Ke Xue Ban = Acta Sci. Nat. Univ. Sunyatseni 1998, 37, 85–88. [Google Scholar]
- Nogueiras, C.; Spengler, I.; Ravelo, A.G.; Jiménez, I.A. Triterpenes from the roots of Maytenus buxifolia. Rev. Latinoam. Química 2001, 29, 32–39. [Google Scholar]
- Martínez, V.M.; Corona, M.M.; Vélez, C.S.; Rodríguez-Hahn, L.; Joseph-Nathan, P. Terpenoids from Mortonia diffusa. J. Nat. Prod. 1988, 51, 793–796. [Google Scholar] [CrossRef]
- Betancor, C.; Freire, R.; Gonzalez, A.G.; Salazar, J.A.; Pascard, C.; Prange, T. Three Triterpenes And Other Terpenoids from Catha cassinoides. Phytochemistry 1980, 19, 1989–1993. [Google Scholar] [CrossRef]
- Joshi, B.S.; Kamat, V.N.; Viswanathan, N. Triterpenes of Salacia prinoides DC. Tetrahedron 1973, 29, 1365–1374. [Google Scholar] [CrossRef]
- Sousa, J.R.; Silva, G.D.F.; Pedersoli, J.L.; Alves, R.J. Friedelane and oleanane triterpenoids from bark wood of Austroplenckia populnea. Phytochemistry 1990, 29, 3259–3261. [Google Scholar] [CrossRef]
- Espindola, L.S.; Dusi, R.G.; Demarque, D.P.; Braz-Filho, R.; Yan, P.; Bokesch, H.R.; Gustafson, K.R.; Beutler, J.A. Cytotoxic Triterpenes from Salacia crassifolia and metabolite profiling of Celastraceae species. Molecules 2018, 23, 1494. [Google Scholar] [CrossRef]
- Almeida, M.T.R.; Ríos-Luci, C.; Padrón, J.M.; Palermo, J.A. Antiproliferative terpenoids and alkaloids from the roots of Maytenus vitis-idaea and Maytenus spinosa. Phytochemistry 2010, 71, 1741–1748. [Google Scholar] [CrossRef]
- Magalhães, C.G.; De Fátima Silva, G.D.; Duarte, L.P.; Bazzocchi, I.L.; Diaz, A.J.; Moujir, L.; López, M.R.; Figueiredo, R.C.; Vieira Filho, S.A. Salicassin, an unprecedented chalcone-diterpene adduct and a quinone methide triterpenoid from Maytenus salicifolia. Helv. Chim. Acta 2013, 96, 1046–1054. [Google Scholar] [CrossRef]
- Thiem, D.A.; Sneden, A.T.; Khan, S.I.; Tekwani, B.L. Bisnortriterpenes from Salacia madagascariensis. J. Nat. Prod. 2005, 68, 251–254. [Google Scholar] [CrossRef] [PubMed]
- Likhitwitayawuid, K.; Bavovada, R.; Lin, L.Z.; Cordell, G.A. Revised structure of 20-hydroxytingenone and 13C NMR assignments of 22β-hydroxytingenone. Phytochemistry 1993, 34, 759–763. [Google Scholar] [CrossRef]
- Gunatilaka, A.A.L.; Fernando, H.C.; Kikuchi, T.; Tezuka, Y. 1H and 13C NMR Analysis of three quinone-methide triterpenoids. Magn. Reson. Chem. 1989, 27, 803–807. [Google Scholar] [CrossRef]
- Jeller, A.H.; Silva, D.H.S.; Lião, L.M.; Bolzani, V.D.S.; Furlan, M. Antioxidant phenolic and quinonemethide triterpenes from Cheiloclinium cognatum. Phytochemistry 2004, 65, 1977–1982. [Google Scholar] [CrossRef]
- Sneden, A.T. Isoiguesterin, a new antileukemic bisnortriterpene from Salacia madagascariensis. J. Nat. Prod. 1981, 44, 503–507. [Google Scholar] [CrossRef]
- Santos, J.P. Estudo fitoquímico e da atividade biológica de constituintes das raízes e galhos de Salacia crassifolia (Celastraceae). Ph.D. Thesis, Universidade Federal de Minas Gerais, Belo Horizonte, Brazil, 2019. [Google Scholar]
- González, A.G.; Alvarenga, N.L.; Ravelo, A.G.; Bazzocchi, I.L.; Ferro, E.A.; Navarro, A.G.; Moujir, L.M. Scutione, a New bioactive norquinonemethide triterpene from Maytenus scutioides (Celastraceae). Bioorganic Med. Chem. 1996, 4, 815–820. [Google Scholar] [CrossRef]
- Tezuka, Y.; Kikuchi, T.; Dhanabalasingham, B.; Karunaratne, V.; Gunatilaka, A.A.L. Studies on terpenoids and steroids, 25. complete 1H- and 13C-NMR spectral assignments of salaciquinone, a new 7-oxo-quinonemethide dinortriterpenoid. J. Nat. Prod. 1994, 57, 270–276. [Google Scholar] [CrossRef]
- Khalid, S.A.; Friedrichsen, G.M.; Christensen, S.B.; El Tahir, A.; Satti, G.M. Isolation and characterization of pristimerin as the antiplasmodial and antileishmanial agent of Maytenus senegalensis (Lam.) Exell. Arkivoc 2007, 2007, 129–134. [Google Scholar] [CrossRef]
- Lião, L.M.; Silva, G.A.; Monteiro, M.R.; Albuquerque, S. Trypanocidal activity of quinonemethide triterpenoids from Cheiloclinium cognatum (Hippocrateaceae). Z. Nat. C 2008, 63, 207–210. [Google Scholar] [CrossRef]
- Sotanaphun, U.; Suttisri, R.; Lipipun, V.; Bavovada, R. Quinone-methide triterpenoids from Glyptopetalum sclerocarpum. Phytochemistry 1998, 49, 1749–1755. [Google Scholar] [CrossRef]
- Ochieng, C.O.; Opiyo, S.A.; Mureka, E.W.; Ishola, I.O. Cyclooxygenase inhibitory compounds from Gymnosporia heterophylla Aerial Parts. Fitoterapia 2017, 119, 168–174. [Google Scholar] [CrossRef] [PubMed]
- Kennedy, M.L.; Llanos, G.G.; Castanys, S.; Gamarro, F.; Bazzocchi, I.L.; Jiménez, I.A. Terpenoids from Maytenus species and assessment of their reversal activity against a multidrug-resistant Leishmania tropica Line. Chem. Biodivers. 2011, 8, 2291–2298. [Google Scholar] [CrossRef] [PubMed]
- Rodríguez, F.M.; López, M.R.; Jiménez, I.A.; Moujir, L.; Ravelo, A.G.; Bazzocchi, I.L. New phenolic triterpenes from Maytenus blepharodes. Semisynthesis of 6-deoxoblepharodol from pristimerin. Tetrahedron 2005, 61, 2513–2519. [Google Scholar] [CrossRef]
- Sotanaphun, U.; Lipipun, V.; Bavovada, R. Constituents of the pericarp of Glyptopetalum sclerocarpum. Fitoterapia 2004, 75, 606–608. [Google Scholar] [CrossRef]
- González, A.G.; Alvarenga, N.L.; Ravelo, A.G.; Jiménez, I.A.; Bazzocchi, I.L.; Canela, N.J.; Moujir, L.M. Antibiotic phenol nor-triterpenes from Maytenus canariensis. Phytochemistry 1996, 43, 129–132. [Google Scholar] [CrossRef]
- Shirota, O.; Morita, H.; Takeya, K.; Itokawa, H.; Iitaka, Y. Cytotoxic aromatic triterpenes from Maytenus ilicifolia and Maytenus chuchuhuasca. J. Nat. Prod. 1994, 57, 1675–1681. [Google Scholar] [CrossRef]
- Rodrigues, V.G.; Duarte, L.P.; Silva, G.D.F.; Silva, F.C.; Góes, J.V.; Takahashi, J.A.; Pimenta, L.P.S.; Filho, S.A.V. Evaluation of antimicrobial activity and toxic potential of extracts and triterpenes isolated from Maytenus imbricata. Quim. Nova 2012, 35, 1375–1380. [Google Scholar] [CrossRef]
- Gupta, M.; Alvarenga, N.; Rodriguez, F.; Ravelo, A.; Ignacio, J.; Bazzocchi, I. New phenolic and quinone-methide triterpenes from Maytenus species (Celastraceae). Nat. Prod. Lett. 1995, 7, 209–218. [Google Scholar] [CrossRef]
- Ankli, A.; Heilmann, J.; Heinrich, M.; Sticher, O. Cytotoxic cardenolides and antibacterial terpenoids from Crossopetalum gaumeri. Phytochemistry 2000, 54, 531–537. [Google Scholar] [CrossRef]
- Núñez, M.J.; Kennedy, M.L.; Jiménez, I.A.; Bazzocchi, I.L. Uragogin and blepharodin, unprecedented hetero-diels-alder adducts from Celastraceae species. Tetrahedron 2011, 67, 3030–3033. [Google Scholar] [CrossRef]
- Morota, T.; Yang, C.X.; Ogino, T.; Qin, W.Z.; Katsuhara, T.; Xu, L.H.; Komatsu, Y.; Miao, K.L.; Maruno, M.; Yang, B.H. D:A-friedo-24-noroleanane triterpenoids from Tripterigium wilfordii. Phytochemistry 1995, 39, 1159–1163. [Google Scholar] [CrossRef]
- Gutiérrez, F.; Estévez-Braun, A.; Ravelo, Á.G.; Astudillo, L.; Zárate, R. Terpenoids from the medicinal plant Maytenus ilicifolia. J. Nat. Prod. 2007, 70, 1049–1052. [Google Scholar] [CrossRef] [PubMed]
- Takaishi, Y.; Wariishi, N.; Tateishi, H.; Kawazoe, K.; Nakano, K.; Ono, Y.; Tokuda, H.; Nishino, H.; Iwashima, A. Triterpenoid inhibitors of interleukin-1 secretion and tumour-promotion from Tripterygium wilfordii Var. Regelii. Phytochemistry 1997, 45, 969–974. [Google Scholar] [CrossRef]
- Yang, G.Z.; Xi, M.L.; Li, Y.C. Two novel phenolic triterpenes from Tripterygium wilfordii. J. Asian Nat. Prod. Res. 2001, 3, 83–88. [Google Scholar] [CrossRef]
- Gamlath, C.B.; Gunaherath, K.B.; Leslie Gunatilaka, A.A. Studies on terpenoids and steroids. Part 10.1 Structures of four new natural phenolic D:A-friedo-24-noroleanane triterpenoids. J. Chem. Soc. Perkin Trans. 1 1987, 2849–2854. [Google Scholar] [CrossRef]
- Sotanaphun, U.; Lipipun, V.; Suttisri, R.; Bavovada, R. Antimicrobial activity and stability of tingenone derivatives. Planta Med. 1999, 65, 450–452. [Google Scholar] [CrossRef]
- González, A.G.; Kennedy, M.L.; Rodríguez, F.M.; Bazzocchi, I.L.; Jiménez, I.A.; Ravelo, A.G.; Moujir, L. Absolute configuration of triterpene dimers from Maytenus species (Celastraceae). Tetrahedron 2001, 57, 1283–1287. [Google Scholar] [CrossRef]
- Shirota, O.; Morita, H.; Takeya, K.; Itokawa, H. Revised structures of cangorosins, triterpene dimers from Maytenus ilicifolia. J. Nat. Prod. 1997, 60, 111–115. [Google Scholar] [CrossRef]
- Shirota, O.; Morita, H.; Takeya, K.; Itokawa, H. New geometric and stereoisomeric triterpene dimers from Maytenus chuchuhuasca. Chem. Pharm. Bull. 1998, 46, 102–106. [Google Scholar] [CrossRef]
- Shirota, O.; Sekita, S.; Satake, M.; Morita, H.; Takeya, K.; Itokawa, H. Nine regioisomeric and stereoisomeric triterpene dimers from Maytenus chuchuhuasca. Chem. Pharm. Bull. 2004, 52, 739–746. [Google Scholar] [CrossRef] [PubMed]
- Shirota, O.; Sekita, S.; Satake, M.; Morita, H.; Takeya, K.; Itokawa, H. Nine triterpene dimers from Maytenus chuchuhuasca. Helv. Chim. Acta 2004, 87, 1536–1544. [Google Scholar] [CrossRef]
- Mesa-Siverio, D.; Chávez, H.; Estévez-Braun, A.; Ravelo, Á.G. Cheiloclines A-I. First examples of octacyclic sesquiterpene-triterpene hetero-diels-alder adducts. Tetrahedron 2005, 61, 429–436. [Google Scholar] [CrossRef]
- Wu, J.; Zhou, Y.; Wang, L.; Zuo, J.; Zhao, W. Terpenoids from root bark of Celastrus orbiculatus. Phytochemistry 2012, 75, 159–168. [Google Scholar] [CrossRef] [PubMed]
- Shirota, O.; Morita, H.; Takeya, K.; Itokawa, H. Five new triterpene dimers from Maytenus chuchuhuasca. J. Nat. Prod. 1997, 60, 1100–1104. [Google Scholar] [CrossRef]
- Shirota, O.; Sekita, S.; Satake, M.; Morita, H.; Takeya, K.; Itokawa, H. Two cangorosin a type triterpene dimers from Maytenus chuchuhuasca. Chem. Pharm. Bull. 2004, 52, 1148–1150. [Google Scholar] [CrossRef]
- Salazar, G.D.C.M.; de Sousa, G.F.; Duarte, L.P.; Silva, R.R.; Vieira-Filho, S.A.; de Fátima Silva, G.D. Truncatin: A triterpene dimer isolated from Maytenus truncata Reissek (Celastraceae). WORLD J. Pharm. Pharm. Sci. 2021, 10, 60–71. [Google Scholar]
- González, A.G.; Alvarenga, N.L.; Estévez-Braun, A.; Ravelo, A.G.; Bazzocchi, I.L.; Mouijir, L. Structure and absolute configuration of triterpene dimers from Maytenus scutioides. Tetrahedron 1996, 52, 9597–9608. [Google Scholar] [CrossRef]
- Corbett, R.E.; Cong, A.N.T.; Wilkins, A.L.; Thomson, R.A. Lichens and fungi. Part 17. The synthesis and absolute configuration at C-20 of the (R)- and (S)-Epimers of some 29-substituted lupane derivatives and of some 30-norlupan-20-ol derivatives and the crystal tructure of (20R)-3β-Acetoxylupan-29-ol. J. Chem. Soc. Perkin Trans. 1985, 2051–2056. [Google Scholar] [CrossRef]
- Yamashita, H.; Matsuzaki, M.; Kurokawa, Y.; Nakane, T.; Goto, M.; Lee, K.H.; Shibata, T.; Bando, H.; Wada, K. Four new triterpenoids from the bark of Euonymus alatus Forma Ciliato-Dentatus. Phytochem. Lett. 2019, 31, 140–146. [Google Scholar] [CrossRef]
- Callies, O.; Bedoya, L.M.; Beltrán, M.; Muñoz, A.; Calderón, P.O.; Osorio, A.A.; Jiménez, I.A.; Alcamí, J.; Bazzocchi, I.L. Isolation, structural modification, and HIV inhibition of pentacyclic lupane-type triterpenoids from Cassine xylocarpa and Maytenus cuzcoina. J. Nat. Prod. 2015, 78, 1045–1055. [Google Scholar] [CrossRef] [PubMed]
- Reyes, C.P.; Núñez, M.J.; Jiménez, I.A.; Busserolles, J.; Alcaraz, M.J.; Bazzocchi, I.L. Activity of lupane triterpenoids from Maytenus species as inhibitors of nitric oxide and prostaglandin E2. Bioorganic Med. Chem. 2006, 14, 1573–1579. [Google Scholar] [CrossRef] [PubMed]
- Silva, S.R.D.; Silva, G.D.S.; Barbosa, L.C.A.; Duarte, L.P.; Vieira Filho, S.A. Lupane pentacyclic triterpenes isolated from stems and branches of Maytenus imbricata (Celastraceae). Helv. Chim. Acta 2005, 88, 1102–1109. [Google Scholar] [CrossRef]
- Fern, A.; Hern, A.; Garc, T.H.; Spengler-salabarr, I.; Naturales, P.; Habana, L. Triterpenes with anti-inflammatory activity isolated from the bark of the endemic species Maytenus elaeodendroides, Griseb. Rev. Cuba. Química 2020, 32, 61–73. [Google Scholar]
- Carpenter, R.C.; Sotheeswaran, S.; Sultanbawa, M.U.S.; Ternai, B. 13C NMR studies of some lupane and taraxerane triterpenes. Org. Magn. Reson. 1980, 14, 462–465. [Google Scholar] [CrossRef]
- Núñez, M.J.; Reyes, C.P.; Jiménez, I.A.; Moujir, L.; Bazzocchi, I.L. Lupane triterpenoids from Maytenus species. J. Nat. Prod. 2005, 68, 1018–1021. [Google Scholar] [CrossRef]
- Satiraphan, M.; Pamonsinlapatham, P.; Sotanaphun, U.; Sittisombut, C.; Raynaud, F.; Garbay, C.; Michel, S.; Cachet, X. Lupane triterpenes from the leaves of the tropical rain forest tree Hopea odorata Roxb. and their cytotoxic activities. Biochem. Syst. Ecol. 2012, 44, 407–412. [Google Scholar] [CrossRef]
- Chen, I.H.; Du, Y.C.; Lu, M.C.; Lin, A.S.; Hsieh, P.W.; Wu, C.C.; Chen, S.L.; Yen, H.F.; Chang, F.R.; Wu, Y.C. Lupane-type triterpenoids from Microtropis fokienensis and Perrottetia arisanensis and the apoptotic effect of 28-hydroxy-3-oxo-lup-20(29)-en-30-al. J. Nat. Prod. 2008, 71, 1352–1357. [Google Scholar] [CrossRef]
- Zhou, J.; Wei, X.H.; Chen, F.Y.; Li, C.J.; Yang, J.Z.; Ma, J.; Bao, X.Q.; Zhang, D.; Zhang, D.M. Anti-inflammatory pentacyclic triterpenes from the stems of Euonymus carnosus. Fitoterapia 2017, 118, 21–26. [Google Scholar] [CrossRef]
- Monaco, P.; Previtera, L. Isoprenoids from the leaves of Quercus suber. J. Nat. Prod. 1984, 47, 673–676. [Google Scholar] [CrossRef]
- Rashid, M.A.; Gray, A.I.; Waterman, P.G.; Armstrong, J.A. Coumarins from Phebalium tuberculosum Ssp. Megaphyllum and Phebalium filifolium. J. Nat. Prod. 1992, 55, 851–858. [Google Scholar] [CrossRef] [PubMed]
- Kang, H.R.; Eom, H.J.; Lee, S.R.; Choi, S.U.; Sung Kang, K.; Lee, K.R.; Kim, K.H. Bioassay-guided isolation of antiproliferative triterpenoids from Euonymus alatus Twigs. Nat. Prod. Commun. 2015, 10, 1929–1932. [Google Scholar] [CrossRef] [PubMed]
- Yu, M.H.; Shi, Z.F.; Yu, B.W.; Pi, E.H.; Wang, H.Y.; Hou, A.J.; Lei, C. Triterpenoids and α-Glucosidase Inhibitory Constituents from Salacia hainanensis. Fitoterapia 2014, 98, 143–148. [Google Scholar] [CrossRef] [PubMed]
- Fuchino, H.; Satoh, T.; Tanaka, N. Chemical evaluation of betula species in japan. I. Constituents of Betula ermanii. Chem. Pharm. Bull. 1995, 43, 1937–1942. [Google Scholar] [CrossRef]
- Delgado-Méndez, P.; Herrera, N.; Chávez, H.; Estévez-Braun, A.; Ravelo, Á.G.; Cortes, F.; Castanys, S.; Gamarro, F. New terpenoids from Maytenus apurimacensis as MDR reversal agents in the parasite leishmania. Bioorganic Med. Chem. 2008, 16, 1425–1430. [Google Scholar] [CrossRef] [PubMed]
- Miranda, R.R.S.; Silva, G.D.D.F.; Duarte, L.P.; Vieira Filho, S.A. Triterpene esters isolated from leaves of Maytenus salicifolia REISSEK. Helv. Chim. Acta 2007, 90, 652–658. [Google Scholar] [CrossRef]
- Lai, Y.C.; Chen, C.K.; Tsai, S.F.; Lee, S.S. Triterpenes as α-glucosidase inhibitors from Fagus hayatae. Phytochemistry 2012, 74, 206–211. [Google Scholar] [CrossRef]
- Burns, D.; Reynolds, W.F.; Buchanan, G.; Reese, P.B.; Enriquez, R.G. Assignment of 1H and 13C spectra and investigation of hindered side-chain rotation in lupeol derivatives. Magn. Reson. Chem. 2000, 38, 488–493. [Google Scholar] [CrossRef]
- Dantanarayana, A.P.; Kumar, N.S.; Muthukuda, P.M.; I, M.; Wazeer, M. A lupane derivative and the 13C NMR chemical shifts of some lupanols from Pleurostylia opposita. Phytochemistry 1982, 21, 2065–2068. [Google Scholar] [CrossRef]
- Menezes-De-Oliveira, D.; Aguilar, M.I.; King-Díaz, B.; Vieira-Filho, S.A.; Pains-Duarte, L.; De Fátima Silva, G.D.; Lotina-Hennsen, B. The triterpenes 3β-lup-20(29)-en-3-ol and 3β-lup-20(29)-en-3-yl acetate and the carbohydrate 1,2,3,4,5,6-hexa-o-acetyl-dulcitol as photosynthesis light reactions inhibitors. Molecules 2011, 16, 9939–9956. [Google Scholar] [CrossRef]
- Li, J.J.; Yang, J.; Lü, F.; Qi, Y.T.; Liu, Y.Q.; Sun, Y.; Wang, Q. Chemical constituents from the stems of Celastrus orbiculatus. Chin. J. Nat. Med. 2012, 10, 279–283. [Google Scholar] [CrossRef]
- Kuroyanagi, M.; Shiotsu, M.; Ebihara, T.; Kawai, H.; Ueno, A.; Fukushima, S. Chemical studies on Viburnum awabuki K. KOCH. Chem. Pharm. Bull. 1986, 34, 4012–4017. [Google Scholar] [CrossRef]
- Pieroni, L.G.; De Rezende, F.M.; Ximenes, V.F.; Dokkedal, A.L. Antioxidant activity and total phenols from the methanolic extract of Miconia albicans (Sw.) Triana Leaves. Molecules 2011, 16, 9439–9450. [Google Scholar] [CrossRef]
- Choi, C.I.; Lee, S.R.; Kim, K.H. Antioxidant and α-glucosidase inhibitory activities of constituents from Euonymus alatus Twigs. Ind. Crops Prod. 2015, 76, 1055–1060. [Google Scholar] [CrossRef]
- Aguiar, R.M.; David, J.P.; David, J.M. Unusual naphthoquinones, catechin and triterpene from Byrsonima microphylla. Phytochemistry 2005, 66, 2388–2392. [Google Scholar] [CrossRef] [PubMed]
- Savona, G.; Bruno, M.; Rodríguez, B.L.; Marco, J. Triterpenoids from Salvia deserta. Phytochemistry 1987, 26, 3305–3308. [Google Scholar] [CrossRef]
- Huang, J.; Guo, Z.H.; Cheng, P.; Sun, B.H.; Gao, H.Y. Three new triterpenoids from Salacia hainanensis Chun et How showed effective anti-α-glucosidase activity. Phytochem. Lett. 2012, 5, 432–437. [Google Scholar] [CrossRef]
- Pistelli, L.; Noccioli, C.; Giachi, I.; Dimitrova, B.; Gevrenova, R.; Morelli, I.; Potenza, D. Lupane-triterpenes from Bupleurum flavum. Nat. Prod. Res. 2005, 19, 783–788. [Google Scholar] [CrossRef]
- Souza, A.D.L.; Rocha, A.F.I.; Pinheiro, M.L.B.; Andrade, C.H.D.S.; Galotta, A.L.D.A.Q.; Santos, M.D.P.S.S.D. Constituintes químicos de Gustavia augusta L. (Lecythidaceae). Quim. Nova 2001, 24, 439–442. [Google Scholar] [CrossRef]
- Ahmad, V.U.; Bano, S.; Voelter, W.; Fuchs, W. Chemical Examination of Nepeta hindostana (Roth) Haines the structure of nepeticin. Tetrahedron Lett. 1981, 22, 1714–1718. [Google Scholar] [CrossRef]
- Tanaka, R.; Masuda, K.; Matsunaga, S. Lup-20(29)-en-3β,15α-diol and ocotillol-II from the stem bark of Phyllanthus flexuosus. Phytochemistry 1993, 32, 472–474. [Google Scholar] [CrossRef]
- Ulubelen, A.; Topcu, G.; Lotter, H.; Wagner, H.; Eriş, C. Triterpenoids from the aerial parts of Salvia montbretii. Phytochemistry 1994, 36, 413–415. [Google Scholar] [CrossRef]
- Chaturvedula, V.S.P.; Schilling, J.K.; Johnson, R.K.; Kingston, D.G.I. New cytotoxic lupane triterpenoids from the twigs of Coussarea paniculata. J. Nat. Prod. 2003, 66, 419–422. [Google Scholar] [CrossRef]
- Hisham, A.; Kumar, G.J.; Fujimoto, Y.; Hara, N. 20,29-Epoxysalacianone and 6β-hydroxysalacianone, two lupane triterepenes from Salacia beddomei. Phytochemistry 1996, 42, 789–794. [Google Scholar] [CrossRef]
- Razdan, T.K.; Harkar, S.; Qadri, B.; Qurishi, M.A.; Khuroo, M.A. Lupene derivatives from Skimmia laureola. Phytochemistry 1988, 27, 1890–1892. [Google Scholar] [CrossRef]
- Ngassapa, O.D.; Soejarto, D.D.; Che, C.T.; Pezzuto, J.M.; Farnsworth, N.R. New cytotoxic lupane lactones from Kokoona ochracea. J. Nat. Prod. 1991, 54, 1353–1359. [Google Scholar] [CrossRef] [PubMed]
- Djerassi, C.; Farkas, E.; Liu, H.L.; Thomas, G.H. Terpenoids. XVII. The cactus triterpenes thurberogenin and stellatogenin. J. Am. Chem. Soc. 1955, 77, 5330–5336. [Google Scholar] [CrossRef]
- Djerassi, C.; Hodges, R. Terpenoids. XXIII. Interconversion of thurberogenin and betulinic acid. J. Am. Chem. Soc. 1956, 78, 3534–3538. [Google Scholar] [CrossRef]
- Castellanos, L.; De Correa, R.S.; Martínez, E.; Calderon, J.S. Oleanane triterpenoids from Cedrela montana (Meliaceae). Z. Naturforsch.—Sect. C J. Biosci. 2002, 57, 575–578. [Google Scholar] [CrossRef]
- Anoda, N.; Matsunaga, M.; Kubo, M.; Harada, K.; Fukuyama, Y. Six new triterpenoids from the aerial parts of Maytenus diversifolia. Nat. Prod. Commun. 2016, 11, 1085–1088. [Google Scholar] [CrossRef]
- Xiao, Y.; Gou-liang, W.; Fu-Jun, G. Studies on triterpenoid constituents isolated from the roots of Sabia schumanniana. J. Integr. Plant Biol. 1994, 36, 154–158. [Google Scholar]
- Cáceres-Castillo, D.; Mena-Rejón, G.J.; Cedillo-Rivera, R.; Quijano, L. 21β-Hydroxy-oleanane-type triterpenes from Hippocratea excelsa. Phytochemistry 2008, 69, 1057–1064. [Google Scholar] [CrossRef] [PubMed]
- Mathias, L.; Vieira, I.J.C.; Braz-Filho, R.; Rodrigues Filho, E. A New pentacyclic triterpene isolated from Myroxylon balsamum (Syn. Myroxylon peruiferum). J. Braz. Chem. Soc. 2000, 11, 195–198. [Google Scholar] [CrossRef]
- Chen, I.H.; Chang, F.R.; Wu, C.C.; Chen, S.L.; Hsieh, P.W.; Yen, H.F.; Du, Y.C.; Wu, Y.C. Cytotoxic triterpenoids from the leaves of Microtropis fokienensis. J. Nat. Prod. 2006, 69, 1543–1546. [Google Scholar] [CrossRef]
- Chen, I.H.; Du, Y.C.; Hwang, T.L.; Chen, I.F.; Lan, Y.H.; Yen, H.F.; Chang, F.R.; Wu, Y.C. Anti-inflammatory triterpenoids from the stems of Microtropis fokienensis. Molecules 2014, 19, 4608–4623. [Google Scholar] [CrossRef]
- Osorio, A.A.; Muñóz, A.; Torres-Romero, D.; Bedoya, L.M.; Perestelo, N.R.; Jiménez, I.A.; Alcamí, J.; Bazzocchi, I.L. Olean-18-ene triterpenoids from Celastraceae species inhibit HIV replication targeting NF-KB and Sp1 dependent transcription. Eur. J. Med. Chem. 2012, 52, 295–303. [Google Scholar] [CrossRef]
- Shirota, O.; Tamemura, T.; Morita, H.; Takeya, K.; Itokawa, H. Triterpenes from brazilian medicinal plant “Chuchuhuasi” (Maytenus krukovii). J. Nat. Prod. 1996, 59, 1072–1075. [Google Scholar] [CrossRef]
- Kaweetripob, W.; Mahidol, C.; Thongnest, S.; Prawat, H.; Ruchirawat, S. Polyoxygenated ursane and oleanane triterpenes from Siphonodon celastrineus. Phytochemistry 2016, 129, 58–67. [Google Scholar] [CrossRef]
- Gao, L.; Duan, L.K.; Feng, J.E.; Jiang, Y.T.; Gao, J.; Fan, J.T.; Dai, R.; Jiang, Z.Y. Four new triterpene glucosides from Salacia cochinchinensis Lour. Nat. Prod. Res. 2020, 12, 1–8. [Google Scholar] [CrossRef]
- Wang, K.W.; Wang, S.W. Chemical constituents of Euonymus bockii. Chem. Nat. Compd. 2014, 50, 948–949. [Google Scholar] [CrossRef]
- Núñez, M.J.; Ardiles, A.E.; Martínez, M.L.; Torres-Romero, D.; Jiménez, I.A.; Bazzocchi, I.L. Triterpenoids from Cassine xylocarpa and Celastrus vulcanicola (Celastraceae). Phytochem. Lett. 2013, 6, 148–151. [Google Scholar] [CrossRef]
- Niampoka, C.; Suttisri, R.; Bavovada, R.; Takayama, H.; Aimi, N. Potentially cytotoxic triterpenoids from the root bark of Siphonodon celastrineus Griff. Arch. Pharm. Res. 2005, 28, 546–549. [Google Scholar] [CrossRef]
- Wang, H.; Tian, X.; Chen, Y.Z. Chemical constituents of the aerial part of Celastrus hypoleucus. J. Chin. Chem. Soc. 2002, 49, 433–436. [Google Scholar] [CrossRef]
- Vieira Filho, S.A.; Duarte, L.P.; Silva, G.D.F.; Howarth, O.W.; Lula, L.S. 3β-(Stearyloxy)olean-12-ene from Austroplenckia populnea: Structure elucidation by 2D-NMR and quantitative 13C-NMR spectroscopy. Helv. Chim. Acta 2003, 86, 3445–3449. [Google Scholar] [CrossRef]
- Martins, L.R.; Takahashi, J.A. Rearrangement and oxidation of β-amyrin promoted by growing cells of Lecanicillium muscarinium. Nat. Prod. Res. 2010, 24, 767–774. [Google Scholar] [CrossRef] [PubMed]
- Knight, S.A. Carbon-13 NMR spectra of some tetra- and pentacyclic triterpenoids. Org. Magn. Reson. 1974, 6, 603–611. [Google Scholar] [CrossRef]
- Wang, K.W. A new fatty acid ester of triterpenoid from Celastrus rosthornianus with anti-tumor activitives. Nat. Prod. Res. 2007, 21, 669–674. [Google Scholar] [CrossRef]
- Muhammad, I.; El Sayed, K.A.; Mossa, J.S.; Al-Said, M.S.; El-Feraly, F.S.; Clark, A.M.; Hufford, C.D.; Oh, S.; Mayer, A.M.S. Bioactive 12-oleanene triterpene and secotriterpene acids from Maytenus undata. J. Nat. Prod. 2000, 63, 605–610. [Google Scholar] [CrossRef]
- Piacente, S.; Dos Santos, L.C.; Mahmood, N.; Pizza, C. Triterpenes from Maytenus macrocarpa and evaluation of their anti-HIV activity. Nat. Prod. Commun. 2006, 1, 1073–1078. [Google Scholar] [CrossRef]
- Mokoka, T.A. Isolation and Characterization of Compounds Active against Cryptococcus neoformans from Maytenus undata (Thunb.) Blakelock (Celastraceae) Leaves. Master’s Thesis, Universiteit van Pretoria, Pretoria, South Africa, 2007. [Google Scholar]
- Ye, Y.; Kinoshita, K.; Koyama, K.; Takahashi, K.; Kondo, N.; Yuasa, H. New triterpenes from Machaerocereus eruca. J. Nat. Prod. 1998, 61, 456–460. [Google Scholar] [CrossRef]
- Culioli, G.; Mathe, C.; Archier, P.; Vieillescazes, C. A lupane triterpene from Frankincense (Boswellia Sp., Burseraceae). Phytochemistry 2003, 62, 537–541. [Google Scholar] [CrossRef]
- Sati, S.C.; Sati, D.; Sharma, A.; Pandey, L.P. Chemical constituents from bark of Euonymus tingen (Celastraceae). J. Emerg. Technol. Innov. Res. 2012, 7, 1494–1497. [Google Scholar]
- Din, A.U.; Uddin, G.; Hussain, N.; Choudary, M.I. Ficusonic Acid: A new cytotoxic triterpene isolated from Maytenus royleanus (Wall. Ex M. A. Lawson) Cufodontis. J. Braz. Chem. Soc. 2013, 24, 663–668. [Google Scholar] [CrossRef]
- Luo, Y.; Xu, Q.L.; Dong, L.M.; Zhou, Z.Y.; Chen, Y.C.; Zhang, W.M.; Tan, J.W. A new ursane and a new oleanane triterpene acids from the whole plant of Spermacoce latifolia. Phytochem. Lett. 2015, 11, 127–131. [Google Scholar] [CrossRef]
- Kolak, U.; Topçu, G.; Birteksöz, S.; Ötük, G.; Ulubelen, A. Terpenoids and steroids from the roots of Salvia blepharochlaena. Turkish J. Chem. 2005, 29, 177–186. [Google Scholar]
- Ikuta, A.; Kamiya, K.; Satake, T.; Saiki, Y. Triterpenoids from callus tissue cultures of Paeonia species. Phytochemistry 1995, 38, 1203–1207. [Google Scholar] [CrossRef]
- Aguilar-Gonzalez, A.R.; Mena-Rejón, G.J.; Padilla-Montaño, N.; Toscano, A.; Quijano, L. Triterpenoids from Hippocratea excelsa. The crystal structure of 29-hydroxytaraxerol. Z. Nat. B 2005, 60, 577–584. [Google Scholar] [CrossRef][Green Version]
- Liu, S.J.; Liao, Z.X.; Liu, C.; Yao, G.Y.; Wang, H.S. A new triterpenoid and eremophilanolide from Ligularia przewalskii. Phytochem. Lett. 2014, 9, 11–16. [Google Scholar] [CrossRef]
- Ikuta, A.; Morikawa, A. Triterpenes from Stauntonia hexaphylla Callus tissues. J. Nat. Prod. 1992, 55, 1230–1233. [Google Scholar] [CrossRef]
- Kinjc, J.E.; Miyamotc, I.; Nohara, T.; Murakamj, K.; Kids, K.; Tomimatsu, T.; Yamasaki, M. Oleanene-sapogenols from Puerariae radix. Chem. Pharm. Bull. 1985, 33, 1293–1296. [Google Scholar] [CrossRef]
- Hui-Zheng, X.; Zhi-Zhen, L.; Chohachi, K.; Soejarto, D.D.; Cordell, G.A.; Fong, H.H.S.; Hodgson, W. 3β-(3,4-Dihydroxycinnamoyl)-erythrodiol and 3β-(4-hydroxycinnamoyl)-erythrodiol from Larrea tridentata. Phytochemistry 1988, 27, 233–235. [Google Scholar] [CrossRef]
- Ragasa, C.Y.; De Luna, R.D.; Hofilena, J.G. Antimicrobial terpenoids from Pterocarpus indicus. Nat. Prod. Res. 2005, 19, 305–309. [Google Scholar] [CrossRef] [PubMed]
- Choi, S.Z.; Sang, U.C.; Kang, R.L. Pytochemical constituents of the aerial parts from solidago Virga-aurea Var. Gigantea. Arch. Pharm. Res. 2004, 27, 164–168. [Google Scholar] [CrossRef] [PubMed]
- Gonzalez, A.G.; Fraga, B.M.; Gonzalez, P.; Hernandez, M.G.; Ravelo, A.G. 13C NMR spectra of olean-18-ene derivatives. Phytochemistry 1981, 20, 1919–1921. [Google Scholar] [CrossRef]
- Mba’ning, B.M.; Lenta, B.N.; Ngouela, S.; Noungoué, D.T.; Tantangmo, F.; Talontsi, F.M.; Tsamo, E.; Laatsch, H. Salacetal, an Oleanane-type triterpene from Salacia longipes Var. Camerunensis. Z. Naturforsch.—Sect. B J. Chem. Sci. 2011, 66, 1270–1274. [Google Scholar] [CrossRef]
- Djerassi, C.; Henry, J.A.; Lemin, A.J.; Rios, T.; Thomas, G.H. Terpenoids. XXIV.1 The Structure Of The Cactus Triterpene Queretaroic Acid. J. Am. Chem. Soc. 1956, 78, 3783–3787. [Google Scholar] [CrossRef]
- Shibata, S.; Takahashi, K.; Yano, S.; Harada, M.; Saito, H.; Tamura, Y.; Kumagai, A.; Hirabayashi, K.; Yamamoto, M.; Nagata, N. Chemical modification of glycyrrhetinic acid in relation to the biological activities. Chem. Pharm. Bull. 1987, 35, 1910–1918. [Google Scholar] [CrossRef]
- Bandaranayake, W.M. Terpenoids of Canarium zeylanicum. Phytochemistry 1980, 19, 255–257. [Google Scholar] [CrossRef]
- El-Seedia, H.R.; Hazella, A.C.; Torssell, K.B.G. Triterpenes, lichexanthone and an acetylenic acid from Minquartia guianensis. Phytochemistry 1994, 35, 1297–1299. [Google Scholar] [CrossRef]
- Kutney, J.P.; Hewitt, G.M.; Lee, G.; Piotrowska, K.; Roberts, M.; Rettig, S.J. Studies with tissue cultures of the chinese herbal plant, Tripterygium wilfordii. isolation of metabolites of interest in rheumatoid arthritis, immunosuppression, and male contraceptive activity. Can. J. Chem. 1992, 70, 1455–1480. [Google Scholar] [CrossRef]
- Nozaki, H.; Suzuki, H.; Hirayama, T.; Kasai, R.; Wu, R.W.; Lee, K.H. Antitumour triterpenes of Maytenus diversifolia. Phytochemistry 1986, 25, 479–485. [Google Scholar] [CrossRef]
- Luis, J.G.; Andrés, L.S. New ursane type triterpenes from Salvia mellifera Greene. Nat. Prod. Lett. 1999, 13, 187–194. [Google Scholar] [CrossRef]
- Lima, F.V.; Malheiros, A.; Otuki, M.F.; Calixto, J.B.; Yunes, R.A.; Cechinel Filho, V.; Delle Monache, F. Three new triterpenes from the resinous bark of Protium kleinii and their antinociceptive activity. J. Braz. Chem. Soc. 2005, 16, 578–582. [Google Scholar] [CrossRef]
- Terazawa, S.; Uemura, Y.; Koyama, Y.; Kawakami, S.; Sugimoto, S.; Matsunami, K.; Otsuka, H.; Shinzato, T.; Kawahata, M.; Yamaguchi, K. Microtropins Q–W, Ent-Labdane Glucosides: Microtropiosides G–I, ursane-type triterpene diglucoside and flavonol glycoside from the leaves of Microtropis japonica. Chem. Pharm. Bull. 2017, 65, 930–939. [Google Scholar] [CrossRef]
- Nakagawa, H.; Takaishi, Y.; Fujimoto, Y.; Duque, C.; Garzon, C.; Sato, M.; Okamoto, M.; Oshikawa, T.; Ahmed, S.U. Chemical constituents from the colombian medicinal plant Maytenus laevis. J. Nat. Prod. 2004, 67, 1919–1924. [Google Scholar] [CrossRef]
- Odak, J.A.; Manguro, L.O.A.; Wong, K.C. New compounds with antimicrobial activities from Elaeodendron buchananii Stem Bark. J. Asian Nat. Prod. Res. 2018, 20, 510–524. [Google Scholar] [CrossRef]
- Tanaka, N.; Duan, H.; Takaishi, Y.; Kawazoe, K.; Goto, S. Terpenoids from Tripterygium doianum (Celastraceae). Phytochemistry 2002, 61, 93–98. [Google Scholar] [CrossRef]
- Okoye, N.N.; Ajaghaku, D.L.; Okeke, H.N.; Ilodigwe, E.E.; Nworu, C.S.; Okoye, F.B.C. b-Amyrin and a-amyrin acetate isolated from the stem bark of Alstonia boonei Display Profound Anti-Inflammatory Activity. Pharm. Biol. 2014, 2014. 52, 1478–1486. [Google Scholar] [CrossRef]
- Miranda, R.R.S.; Silva, G.D.F.; Duarte, L.P.; Fortes, I.C.P.; Vieira Filho, S.A. Structural determination of 3β-stearyloxy-urs-12-ene from Maytenus salicifolia by 1D and 2D NMR and quantitative 13C NMR spectroscopy. Magn. Reson. Chem. 2006, 44, 127–131. [Google Scholar] [CrossRef]
- Tkachev, A.V.; Denisov, A.Y.; Gatilov, Y.V.; Bagryanskaya, I.Y.; Shevtsov, S.A.; Rybalova, T.V. Stereochemistry of hydrogen peroxide - acetic acid oxidation of ursolic acid and related compounds. Tetrahedron 1994, 50, 11459–11488. [Google Scholar] [CrossRef]
- Zhang, D.M.; Yu, D.Q. Structure of tripterygic acid A: A New triterpene of Tripterygium wilfordii. Planta Med. 1990, 56, 98–100. [Google Scholar] [CrossRef] [PubMed]
- Mazumder, K.; Siwu, E.R.O.; Nozaki, S.; Watanabe, Y.; Tanaka, K.; Fukase, K. Ursolic acid derivatives from bangladeshi medicinal plant, Saurauja roxburghii: Isolation and cytotoxic activity against A431 and C6 glioma cell lines. Phytochem. Lett. 2011, 4, 287–291. [Google Scholar] [CrossRef]
- Talapatra, S.K.; Sarkar, A.C.; Talapatra, B. Two pentacyclic triterpenes from Rubia cordifolia. Phytochemistry 1981, 20, 1923–1927. [Google Scholar] [CrossRef]
- Gnoatto, S.C.B.; Dassonville-Klimpt, A.; Da Nascimento, S.; Galéra, P.; Boumediene, K.; Gosmann, G.; Sonnet, P.; Moslemi, S. Evaluation of ursolic acid isolated from Ilex paraguariensis and derivatives on aromatase inhibition. Eur. J. Med. Chem. 2008, 43, 1865–1877. [Google Scholar] [CrossRef] [PubMed]
- Zhang, Y.; Adelakun, T.A.; Qu, L.; Li, X.; Li, J.; Han, L.; Wang, T. New terpenoid glycosides obtained from Rosmarinus officinalis L. aerial parts. Fitoterapia 2014, 99, 78–85. [Google Scholar] [CrossRef]
- González, A.G.; Andres, L.S.; Ravelo, A.G.; Luis, J.G.; Bazzocchi, I.L.; West, J. Terpenoids from Salvia mellifera. Phytochemistry 1990, 29, 1691–1693. [Google Scholar] [CrossRef]
- Santos, J.P.; Oliveira, W.X.C.; Vieira-Filho, S.A.; Pereira, R.C.G.; Souza, G.F.; Gouveia, V.A.; de Paula Sabino, A.; Evangelista, F.C.G.; Takahashi, J.A.; Moura, M.A.F.; et al. Phytochemical and biological studies of constituents from roots of Salacia crassifolia (CELASTRACEAE). Quim. Nova 2020, 43, 558–567. [Google Scholar] [CrossRef]
- Siddiqui, S.; Hafeez, F.; Begum, S.; Siddiqui, B.S. Kaneric Acid, A new triterpene from the leaves of Nerium oleander. J. Nat. Prod. 1986, 49, 1086–1090. [Google Scholar] [CrossRef]
- Shan, H.; Wilson, W.K.; Castillo, D.A.; Matsuda, S.P.T. Are isoursenol and γ-amyrin rare triterpenes in nature or simply overlooked by usual analytical methods? Org. Lett. 2015, 17, 3986–3989. [Google Scholar] [CrossRef]
- Maia, R.M.; Barbosa, P.R.; Cruz, F.G.; Roque, N.F.; Fascio, M. Triterpenes from the resin of protium Heptaphyllum march (Burseraceae): Characterization in binary mixtures. Quim. Nova 2000, 23, 623–626. [Google Scholar] [CrossRef]
- Ding, P.; Zhou, M.Q.; Wang, K.W. A new cytotoxic triterpenoid from Microtropis triflora Merr. et Freem. Chin. Pharm. J. 2016, 24, 1557–1561. [Google Scholar]
- Tsichritzis, F.; Jakupovic, J.F. Diterpenes and other constituents from Relhania Species. Phytochemistry 1990, 29, 3173–3187. [Google Scholar] [CrossRef]
- Lai, J.; Ito, K. Studies on the constituents of Marsdenia formosana Masamune. V. Isolation and structure of a new triterpenoid, marsformosanone. Chem. Pharm. Bull. 1979, 27, 2248–2251. [Google Scholar] [CrossRef][Green Version]
- Rodriguez Perez, F.M. Estudio fitoquímico de especies de la familia Celastraceae (flora Panameña): Maytenus blepharodes y Crossopetalum lobatuum. Ph.D. Thesis, Univesity of La Laguna, San Cristobal de La Laguna, Spain, 2000. [Google Scholar]
- Akihisa, T.; Yamamoto, K.; Tamura, T.; Nambara, T.; Iida, T.; Kimura, Y.; Chang, F.C. Triterpenoid ketones from Lingnania chungii Mcclure: Arborinone, friedelin and glutinone. Chem. Pharm. Bull. 1992, 40, 789–791. [Google Scholar] [CrossRef]
- Lião, L.M.; Vieira, P.C.; Rodrigues-Filho, E.; Fernandes, J.B.; Silva, M.F.G.F. Isomeric triterpenoids from Peritassa campestris. Z. Naturforsch.—Sect. C J. Biosci. 2002, 57, 403–406. [Google Scholar] [CrossRef] [PubMed]
- Sun, X.B.; Zhao, P.H.; Xu, Y.J.; Sun, L.M.; Cao, M.A.; Yuan, C.S. Chemical constituents from the roots of Polygonum bistorta. Chem. Nat. Compd. 2007, 43, 563–566. [Google Scholar] [CrossRef]
- Sakurai, N.; Yaguchi, Y.; Inoue, T. Triterpenoids from Myrica rubra. Phytochemistry 1986, 26, 217–219. [Google Scholar] [CrossRef]
- Hussein Ayoub, S.M.; Babiker, A.I. Monechmol, A. New pentacyclic triterpene from Monechma debile. Planta Med. 1984, 50, 520–521. [Google Scholar] [CrossRef] [PubMed]
- Weeratunga, G.; Kumar, V. D:B-Friedoolean-5-ene-3β,29-diol, an angular methyl oxygenated d: B-friedooleanene from Elaeodendron balae. Phytochemistry 1985, 24, 2369–2372. [Google Scholar] [CrossRef]
- Oliveira, M.L.G.; Assenco, R.A.G.; Silva, G.D.F.; Lopes, J.C.D.; Silva, F.C.; Lanna, M.C.S.; de Magalhães, J.C.; Duarte, L.P.; Vieira Filho, S.A. Cytotoxicity, anti-poliovirus activity and in silico biological evaluation of constituents from Maytenus gonoclada (Celastraceae). Int. J. Pharm. Pharm. Sci. 2014, 6, 130–137. [Google Scholar]
- Zhang, Y.; Nakamura, S.; Wang, T.; Matsuda, H.; Yoshikawa, M. The absolute stereostructures of three rare D:B-friedobaccharane skeleton triterpenes from the leaves of Salacia chinensis. Tetrahedron 2008, 64, 7347–7352. [Google Scholar] [CrossRef]
- Wang, Y.; Chen, W.S.; Wu, Z.J.; Xi, Z.X.; Chen, W.; Zhao, G.J.; Li, X.; Sun, L.N. Chemical constituents from Salacia amplifolia. Biochem. Syst. Ecol. 2011, 39, 205–208. [Google Scholar] [CrossRef]
- Yoshikawa, M.; Shimoda, H.; Nishida, N.; Takada, M.; Matsuda, H. Salacia reticulata and its polyphenolic constituents with lipase inhibitory and lipolytic activities have mild antiobesity effects in rats. J. Nutr. 2002, 132, 1819–1824. [Google Scholar] [CrossRef] [PubMed]
- Facundo, V.A.; Oliveira Meneguetti, D.U.; Militão, J.S.L.T.; Lima, R.A.; Hurtado, F.B.; Casseb, A.A.; Teixeira, L.F.; da Silva, I.; do, C.; da Silva, G.V.J.; et al. Chemical constituents from Maytenus guianensis Klotzsch Ex Reissek (Celastraceae) amazon rainforest. Biochem. Syst. Ecol. 2015, 58, 270–273. [Google Scholar] [CrossRef]
- Lima, R.A.; Bay-Hurtado, F.; Meneguetti, D.U.O.; Facundo, J.B.; Militão, J.S.L.T.; Matos, N.B.; Facundo, V.A. Microbiological evaluation of isolated compounds from the bark of Maytenus guianensis Klotzsch Ex Reissek (Celastraceae). Rev. Eletrônica Gestão Educ. Tecnol. Ambient. 2016, 20, 592. [Google Scholar] [CrossRef]
- Mba’ning, B.M.; Ateba, J.E.T.; Awantu, A.F.; Amaral, L.S.; Happi, G.M.; Neumann, B.; Stammler, G.; Lenta, B.N.; Ngouela, S.A.; Malavazi, I.; et al. Chemical constituents from the leaves and liana of Salacia nitida (Benth.) N.E.Br. (Celastraceae) and their antimicrobial activities. Trends Phytochem. Res. Trends Phytochem. Res 2019, 3, 2019–2083. [Google Scholar]
- Andrade, S.F.; Comunello, E.; Noldin, V.F.; Delle Monache, F.; Filho, V.C.; Niero, R. Antiulcerogenic activity of fractions and 3,15-dioxo-21α-hydroxy friedelane isolated from Maytenus robusta (Celastraceae). Arch. Pharm. Res. 2008, 31, 41–46. [Google Scholar] [CrossRef]
- Ferreira, F.L.; Rodrigues, V.G.; Silva, F.C.; Matildes, B.L.G.; Takahashi, J.A.; Silva, G.D.F.; Duarte, L.P.; Oliveira, D.M.; Filho, S.A.V. Maytenus distichophylla and Salacia crassifolia: Source of products with potential acetylcholinesterase inhibition. Rev. Bras. Farmacogn. 2017, 27, 471–474. [Google Scholar] [CrossRef]
- Vieira Filho, S.A.; Duarte, L.P.; Silva, G.D.; de, F.; Mazaro, R.; Di Stasi, L.C. Constituintes químicos e atividade antiespermatogênica em folhas de Austroplenckia populnea (Celastraceae). Rev. Bras. Farmacogn. 2002, 12, 123–124. [Google Scholar] [CrossRef]
- Torres-Romero, D.; King-Díaz, B.; Strasser, R.J.; Jiménez, I.A.; Lotina-Hennsen, B.; Bazzocchi, I.L. Friedelane triterpenes from Celastrus vulcanicola as photosynthetic inhibitors. J. Agric. Food Chem. 2010, 58, 10847–10854. [Google Scholar] [CrossRef]
- Pereira, R.C.G.; Evangelista, F.C.G.; dos Santos Júnior, V.S.; de Paula Sabino, A.; Maltarollo, V.G.; de Freitas, R.P.; Duarte, L.P. Cytotoxic activity of triterpenoids from Cheiloclinium cognatum branches against chronic and acute leukemia cell Lines. Chem. Biodivers. 2020, 17, e2000773. [Google Scholar] [CrossRef]
- Tu, G.H.; Shi, X.W.; Zhao, Y.; Zheng, C.D.; Gao, J.M. Triterpenes of Euonymus alatus and their cytotoxic activity; Chem. Nat. Compound. 2011, 47, 656–657. [Google Scholar] [CrossRef]
- Wang, K.W.; Ju, X.Y.; Zhang, C.C.; Zhang, J.Y. Phytochemical and chemotaxonomic study on Microtropis triflora. Biochem. Syst. Ecol. 2014, 52, 1–3. [Google Scholar] [CrossRef]
- Arciniegas, A.; Ramírez Apan, M.T.; Pérez-Castorena, A.L.; De Vivar, A.R. Anti-inflammatory constituents of Mortonia greggii Gray. Zeitschrift fur Naturforsch. - Sect. C J. Biosci. 2004, 59, 237–243. [Google Scholar] [CrossRef] [PubMed]
- He, M.F.; Liu, L.; Ge, W.; Shaw, P.C.; Jiang, R.; Wu, L.W.; But, P.P.H. Antiangiogenic activity of Tripterygium wilfordii and its terpenoids. J. Ethnopharmacol. 2009, 121, 61–68. [Google Scholar] [CrossRef]
- de Figueiredo, P.T.R.; Silva, E.W.R.; Cordeiro, L.V.; Barros, R.P.C.; Lima, E.; Scotti, M.T.; da Silva, M.S.; Tavares, J.F.; de, O.; Costa, V.C. Lupanes and friedelanes, the first chemical constituents of the aerial parts of Maytenus erythroxylon Reissek. Phytochem. Lett. 2021, 45, 19–24. [Google Scholar] [CrossRef]
- Andrade, S.F.; Silva Filho, A.A.; Resende, D.D.O.; Silva, M.L.A.; Cunha, W.R.; Nanayakkara, N.P.D.; Bastos, J.K. Antileishmanial, antimalarial and antimicrobial activities of the extract and isolated compounds from Austroplenckia populnea (Celastraceae). Z. Nat. C 2008, 63, 497–502. [Google Scholar] [CrossRef]
- Duarte, L.P.; Vieira Filho, S.A.; Silva, G.D.D.F.; De Sousa, J.R.; Pinto, A.D.S. Anti-trypanosomal activity of pentacyclic triterpenes isolated from Austroplenckia populnea (Celastraceae). Rev. Inst. Med. Trop. Sao Paulo 2002, 44, 109–112. [Google Scholar] [CrossRef]
- Sousa, J.R.; Silva, G.D.F.; Miyakoshi, T.; Chen, C.L. Constituents of the root wood of Austroplenckia populnea Var. Ovata. J. Nat. Prod. 2006, 69, 1225–1227. [Google Scholar] [CrossRef]
- Lindsey, K.L.; Budesinsky, M.; Kohout, L.; van Staden, J. Antibacterial activity of maytenonic acid isolated from the root-bark of Maytenus senegalensis. S. Afr. J. Bot. 2006, 2006. 72, 473–477. [Google Scholar] [CrossRef]
- Kamtcha, D.W.; Tene, M.; Bedane, K.G.; Knauer, L.; Strohmann, C.; Tane, P.; Kusari, S.; Spiteller, M. Cardenolides from the stem bark of Salacia staudtiana. Fitoterapia 2018, 127, 402–409. [Google Scholar] [CrossRef] [PubMed]
- Aguilar, M.G.; Sousa, G.F.; Evangelista, F.C.G.; Sabino, A.P.; Vieira Filho, S.A.; Duarte, L.P. Imines and lactones derived from friedelanes and their cytotoxic activity. Nat. Prod. Res. 2020, 34, 810–815. [Google Scholar] [CrossRef] [PubMed]
- Morales, S.A.T.; Aguilar, M.G.; Pereira, R.C.G.; Duarte, L.P.; Sousa, G.F.; de Oliveira, D.M.; Evangelista, F.C.G.; Sabino, A.P.; Viana, R.O.; Alves, V.S.; et al. Constituents from roots of Maytenus distichophylla, antimicrobial activity and toxicity for cells and Caenorhabditis elegans. Quim. Nova 2020, 43, 1066–1073. [Google Scholar] [CrossRef]
- El Deeb, K.S.; Al-Haidari, R.A.; Mossa, J.S.; Ateya, A.M. Phytochemical and pharmacological studies of Maytenus forsskaoliana. Saudi Pharm. J. 2003, 11, 184–191. [Google Scholar]
- Martucciello, S.; Balestrieri, M.L.; Felice, F.; Estevam, C.; dos, S.; Sant’Ana, A.E.G.; Pizza, C.; Piacente, S. Effects of triterpene derivatives from Maytenus rigida on VEGF-induced kaposi’s sarcoma cell proliferation. Chem. Biol. Interact. 2010, 183, 450–454. [Google Scholar] [CrossRef] [PubMed]
- Valladao, F.N.; De Miranda, R.R.S.; De Oliveira, G.S.; Silva, G.D.F.; Duarte, L.P.; Filho, S.A.V. Constituents of fruit pulp of Maytenus salicifolia and complete 1D/2D NMR data of 3β-hydroxy-D:B-friedo-olean-5-ene. Chem. Nat. Compd. 2010, 46, 686–691. [Google Scholar] [CrossRef]
- Mokoka, T.A.; McGaw, L.J.; Mdee, L.K.; Bagla, V.P.; Iwalewa, E.O.; Eloff, J.N. Antimicrobial activity and cytotoxicity oftriterpenes isolated from leaves of Maytenus undata (Celastraceae). BMC Complement. Altern. Med. 2013, 13, 1–9. [Google Scholar] [CrossRef] [PubMed]
- Silva, F.M.A.; Paz, W.H.P.; Vasconcelos, L.S.F.; da Silva, A.L.B.; da Silva-Filho, F.A.; de Almeida, R.A.; de Souza, A.D.L.; Pinheiro, M.L.B.; Koolen, H.H.F. Chemical constituents from Salacia impressifolia (Miers) A. C. Smith collected at the amazon rainforest. Biochem. Syst. Ecol. 2016, 68, 77–80. [Google Scholar] [CrossRef]
- de Souza e Silva, S.R.; de Fátima Silva, G.D.; de Almeida Barbosa, L.C.; Duarte, L.P.; King-Diaz, B.; Archundia-Camacho, F.; Lotina-Hennsen, B. Uncoupling and inhibition properties of 3,4-seco-friedelan-3-oic acid isolated from Maytenus imbricata. Pestic. Biochem. Physiol. 2007, 87, 109–114. [Google Scholar] [CrossRef]
- Yelani, T.; Hussein, A.A.; Meyer, J.J.M. Isolation and identification of poisonous triterpenoids from Elaeodendron croceum. Nat. Prod. Res. 2010, 24, 1418–1425. [Google Scholar] [CrossRef]
- Oliveira, D.M.; Silva, G.D.F.; Duarte, L.P.; Vieira Filho, S.A. Chemical constituents isolated from roots of Maytenus acanthophylla Reissek (Celastraceae). Biochem. Syst. Ecol. 2006, 34, 661–665. [Google Scholar] [CrossRef]
- Silva, T.M.; Carvalho, C.M.; Lima, R.A.; Facundo, V.A.; da Cunha, R.M.; Meneguetti, D.U.; de, O. Antibacterial activity of fractions and isolates of Maytenus guianensis Klotzsch Ex Reissek (Celastraceae) chichuá amazon. Rev. Soc. Bras. Med. Trop. 2018, 51, 533–536. [Google Scholar] [CrossRef] [PubMed]
- Pina, E.S.; Silva, D.B.; Teixeira, S.P.; Coppede, J.S.; Furlan, M.; França, S.C.; Lopes, N.P.; Pereira, A.M.S.; Lopes, A.A. Mevalonate-derived quinonemethide triterpenoid from in vitro roots of Peritassa laevigata and their localization in root tissue by MALDI imaging. Sci. Rep. 2016, 6, 22627. [Google Scholar] [CrossRef] [PubMed]
- Mohamad, T.A.S.T.; Naz, H.; Jalal, R.S.; Hussin, K.; Rahman, M.R.A.; Adam, A.; Weber, J.F.F. Chemical and pharmacognostical characterization of two malaysian plants both known as ajisamat. Rev. Bras. Farmacogn. 2013, 23, 724–730. [Google Scholar] [CrossRef]
- Furukawa, M.; Furukawa, M.; Makino, M.; Uchiyama, T.; Fujimoto, Y.; Matsuzaki, K. New sesquiterpene pyridine alkaloids from Hippocratea excelsa. Nat. Prod. Commun. 2018, 13, 957–960. [Google Scholar] [CrossRef]
- Taddeo, V.; Castillo, U.; Martínez, M.; Menjivar, J.; Jiménez, I.; Núñez, M.; Bazzocchi, I. Development and validation of an HPLC-PDA method for biologically active quinonemethide triterpenoids isolated from Maytenus chiapensis. Medicines 2019, 6, 36. [Google Scholar] [CrossRef]
- Santos, V.A.F.F.M.; Leite, K.M.; Da Costa Siqueira, M.; Regasini, L.O.; Martinez, I.; Nogueira, C.T.; Galuppo, M.K.; Stolf, B.S.; Pereira, A.M.S.; Cicarelli, R.M.B.; et al. Antiprotozoal activity of quinonemethide triterpenes from Maytenus ilicifolia (Celastraceae). Molecules 2013, 18, 1053–1062. [Google Scholar] [CrossRef]
- Mejía-Manzano, L.A.; Barba-Dávila, B.A.; Gutierrez-Uribe, J.A.; Escalante-Vázquez, E.J.; Serna-Saldívar, S.O. Extraction and isolation of antineoplastic pristimerin from Mortonia greggii (Celastraceae). Nat. Prod. Commun. 2015, 10, 1923–1928. [Google Scholar] [CrossRef]
- Nizer, W.S.C.; Ferraz, A.C.; Moraes, T.; de, F.S.; Lima, W.G.; dos Santos, J.P.; Duarte, L.P.; Ferreira, J.M.S.; de Brito Magalhães, C.L.; Vieira-Filho, S.A.; et al. Pristimerin isolated from Salacia crassifolia (Mart. Ex. Schult.) G. Don. (Celastraceae) roots as a potential antibacterial agent against Staphylococcus aureus. J. Ethnopharmacol. [CrossRef]
- Ruphin, F.P.; Baholy, R.; Emmanue, A.; Amelie, R.; Martin, M.T.; Koto-te-Nyiwa, N. Antiplasmodial, cytotoxic activities and characterization of a new naturally occurring quinone methide pentacyclic triterpenoid derivative isolated from Salacia leptoclada Tul. (Celastraceae) originated from madagascar. Asian Pac. J. Trop. Biomed. 2013, 3, 780–784. [Google Scholar] [CrossRef]
- Rodrigues-Filho, E.; Barros, F.A.P.; Fernandes, J.B.; Braz-Filho, R. Detection and identification of quinonemethide triterpenes in Peritassa campestris by Mass Spectrometry. Rapid Commun. Mass Spectrom. 2002, 16, 627–633. [Google Scholar] [CrossRef] [PubMed]
- Silva, F.C.; Guedes, F.A.F.; Franco, M.W.; Barbosa, F.A.R.; Marra, C.A.; Duarte, L.P.; Silva, G.D.F.; Vieira-Filho, S.A. Algistatic effect of a quinonamethide triterpene on Microcystis novacekii. J. Appl. Phycol. 2013, 25, 1723–1728. [Google Scholar] [CrossRef]
- Meneguetti, D.U.O.; Lima, R.A.; Hurtado, F.B.; Passarini, G.M.; Macedo, S.R.A.; de Barros, N.B.; Oliveira, F.A.D.S.; de Medeiros, P.S.D.M.; Militão, J.S.L.T.; Nicolete, R.; et al. Screening of the in vitro antileishmanial activities of compounds and secondary metabolites isolated from Maytenus guianensis Klotzsch Ex Reissek (Celastraceae) chichuá amazon. Rev. Soc. Bras. Med. Trop. 2016, 49, 579–585. [Google Scholar] [CrossRef]
- Moujir, L.; López, M.R.; Reyes, C.P.; Jiménez, I.A.; Bazzocchi, I.L. Structural requirements for antimicrobial activity of phenolic nor-triterpenes from Celastraceae species. Appl. Sci. 2019, 9, 2957. [Google Scholar] [CrossRef]
- León, L.; Beltrán, B.; Moujir, L. Antimicrobial activity of 6-oxophenolic triterpenoids. Mode of action against Bacillus subtilis. Planta Med. 2005, 71, 313–319. [Google Scholar] [CrossRef] [PubMed]
- An, H.; Zhu, Y.; Xu, W.; Liu, Y.; Zhang, J.; Lin, Z. Evaluation of immunosuppressive activity of demethylzeylasteral in a beagle dog kidney transplantation model. Cell Biochem. Biophys. 2015, 73, 673–679. [Google Scholar] [CrossRef] [PubMed]
- Mthethwa, N.S.; Oyedeji, B.A.O.; Obi, L.C.; Aiyegoro, O.A. Anti-Staphylococcal, anti-HIV and cytotoxicity studies of four south african medicinal plants and isolation of bioactive compounds from Cassine transvaalensis (Burtt. Davy) codd. BMC Complement. Altern. Med. 2014, 14, 1–9. [Google Scholar] [CrossRef]
- Jeong, S.Y.; Zhao, B.T.; Kim, Y.H.; Min, B.S.; Woo, M.H. Cytotoxic and antioxidant compounds isolated from the cork Of Euonymus alatus Sieb. Nat. Prod. Sci. 2013, 19, 366–371. [Google Scholar]
- Li, C.; Li, B.; Ye, J.; Zhang, W.; Shen, Y.; Yin, J. A new norditerpenoid from Euonymus grandiflorus Wall. Nat. Prod. Res. 2013, 27, 1716–1721. [Google Scholar] [CrossRef] [PubMed]
- Pimenta, A.A.; De Souza, S.S.R.; De Fátima Silva, G.D.; De Almeida Barbosa, L.C.; Ellena, J.; Doriguetto, A.C. A Pentacyclic triterpene from Maytenus imbricata: Structure elucidation by X-ray crystallography. Struct. Chem. 2006, 17, 149–153. [Google Scholar] [CrossRef]
- Chander, M.P.; Kumar, K.V.; Shriram, A.N.; Vijayachari, P. Anti-leptospiral activities of an endemic plant Glyptopetalum calocarpum (Kurz.) prain used as a medicinal plant by nicobarese of andaman and nicobar islands. Nat. Prod. Res. 2015, 29, 1575–1577. [Google Scholar] [CrossRef] [PubMed]
- Bhavita, D.; Lakshmi, B.; Zaveri, M. Phytochemical investigation, isolation and characterization of betulin from leaf of Gymnosporia montana. Int. J. Pharm. Sci. Res. 2021, 12, 1752–1756. [Google Scholar] [CrossRef]
- Alarcon, J.; Cespedes, C.L. Triterpenes and β-agarofurane sesquiterpenes from tissue culture of Maytenus boaria. Bol. Latinoam. Caribe Plantas Med. Aromat. 2016, 15, 206–214. [Google Scholar]
- Moo-Puc, J.A.; Martín-Quintal, Z.; Mirón-López, G.; Moo-Puc, R.E.; Quijano, L.; Mena-Rejón, G.J. Isolation and antitrichomonal activity of the chemical constituents of the leaves of Maytenus phyllanthoides Benth. (Celastraceae). Quim. Nova 2014, 37, 85–88. [Google Scholar] [CrossRef]
- Herrera-España, A.D.; Mena-Rejón, G.J.; Hernández-Ortega, S.; Quijano, L.; Mirón-Lópeza, G. Crystal structure of ochraceolide a isolated from Elaeodendron trichotomum (Turcz.) Lundell. Acta Crystallogr. Sect. E Crystallogr. Commun. 2017, 73, 1475–1478. [Google Scholar] [CrossRef] [PubMed]
- Zhao, Q.; Li, H.M.; Chen, X.Q.; Li, R.T.; Liu, D. Terpenoids from Tripterygium hypoglaucum and their anti-inflammatory activity. Chem. Nat. Compd. 2018, 54, 471–474. [Google Scholar] [CrossRef]
- Chen, X.Q.; Zan, K.; Wang, Q. Olean-type triterpenes of Celastrus orbiculatus. Biochem. Syst. Ecol. 2012, 44, 338–340. [Google Scholar] [CrossRef]
- Doriguetto, A.C.; Duarte, L.P.; Ellena, J.A.; Silva, G.D.F.; Mascarenhas, Y.P.; Cota, A.B. 3-Oxoolean-12-en-20-yl α-methylcarboxylate. Acta Crystallogr. Sect. E Struct. Rep. Online 2003, 59, 164–166. [Google Scholar] [CrossRef]
- Khan, H.; Khan, I.; Shah, M.; Shahidullah, A.; Khalil, N.; Aziz, A.; Wajid, A.; Jan, H.; Rahman, I. Antibacterial and antifungal activities of compounds isolated from Gymnosporia royleana (Celastraceae). West Indian Med. J. 2017, 68, 136–141. [Google Scholar] [CrossRef]
- Singha, S.; Yotmanee, P.; Yahuafai, J.; Siripong, P.; Prabpai, S.; Sutthivaiyakit, S. Siphonagarofurans A-J: Poly-o-acylated β-dihydroagarofuran sesquiterpenoids from the fruits of Siphonodon celastrineus. Phytochemistry 2020, 174, 112345. [Google Scholar] [CrossRef]
- Chang, X.; Wang, Z.Y.; Chen, X.; Ma, Y.N.; Zhang, H.Y.; Zhao, T.Z. Two new sesquiterpene pyridine alkaloids from root barks of Celastrus angulatus. J. Asian Nat. Prod. Res. 2019, 21, 1043–1051. [Google Scholar] [CrossRef] [PubMed]
- Núñez, M.J.; Ardiles, A.E.; Martínez, M.L.; Torres-Romero, D.; Jiménez, I.A.; Bazzocchi, I.L. Unusual D:B-Friedobaccharane and oxygenated friedelane-type triterpenoids from Salvadorean Celastraceae Species. Phytochem. Lett. 2012, 5, 244–248. [Google Scholar] [CrossRef]
- Yan, L.H.; Liu, X.Q.; Zhu, H.; Xu, Q.R.; Wang, W.M.; Zhang, S.M.; Zhang, Q.W.; Zhang, S.S.; Wang, Z.M. Chemical Constituents of Euonymus fortunei. J. Asian Nat. Prod. Res. 2015, 17, 952–958. [Google Scholar] [CrossRef] [PubMed]
Publisher’s Note: MDPI stays neutral with regard to jurisdictional claims in published maps and institutional affiliations. |
© 2022 by the authors. Licensee MDPI, Basel, Switzerland. This article is an open access article distributed under the terms and conditions of the Creative Commons Attribution (CC BY) license (https://creativecommons.org/licenses/by/4.0/).




















