Development of Amino Acids Functionalized SBA-15 for the Improvement of Protein Adsorption
Abstract
:1. Introduction
2. Results and discussion
2.1. Synthesis of the Amino Acid Hybrid Blocks (Si-AA-NH2)
2.2. Synthesis and Functionalization of the SBA-15
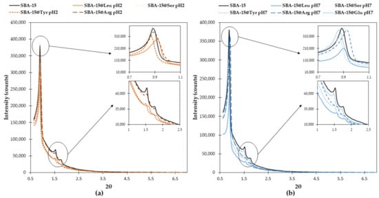
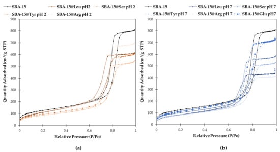
2.2.1. Texture and Morphology of the Mesoporous Material
2.2.2. Quantification of the AA Grafted onto SBA-15
2.2.3. Characterization of the Isoelectric Point and Charges of the SBA-15@AA
2.3. Stability of the SBA-15@AA Materials
2.4. Protein Adsorption onto the SBA-15@AA
3. Materials and Methods
3.1. Reagents
3.2. Synthesis
3.2.1. Synthesis of the Mesoporous Silica Adsorbent (SBA-15)
3.2.2. Synthesis of the Silylated Amino Amides
3.2.3. Functionalization of the SBA-15
3.3. Characterization
3.4. Protein Adsorption Test
3.5. Degradation Studies of the Modified SBA-15-AA Materials
4. Conclusions
Supplementary Materials
Author Contributions
Funding
Institutional Review Board Statement
Informed Consent Statement
Data Availability Statement
Acknowledgments
Conflicts of Interest
Sample Availability
References
- Sanchez, C.; Julián, B.; Belleville, P.; Popall, M. Applications of Hybrid Organic–Inorganic Nanocomposites. J. Mater. Chem. 2005, 15, 3559–3592. [Google Scholar] [CrossRef]
- Sadjadi, S.; Heravi, M.M. Current Advances in the Utility of Functionalized SBA Mesoporous Silica for Developing Encapsulated Nanocatalysts: State of the Art. RSC Adv. 2017, 7, 30815–30838. [Google Scholar] [CrossRef] [Green Version]
- Singh, P.K.; Sharma, K. Mesoporous Silica Nanomaterial: An over View. Mater. Today Proc. 2021, 45, 3458–3461. [Google Scholar] [CrossRef]
- Alberti, S.; Soler-Illia, G.J.A.A.; Azzaroni, O. Gated Supramolecular Chemistry in Hybrid Mesoporous Silica Nanoarchitectures: Controlled Delivery and Molecular Transport in Response to Chemical, Physical and Biological Stimuli. Chem. Commun. 2015, 51, 6050–6075. [Google Scholar] [CrossRef] [PubMed] [Green Version]
- Bouchmella, K.; Campanaro, F.D.; Mondo, G.B.; Santos, M.I.; Franco, C.H.; Moraes, C.B.; Biolley, C.; Mehdi, A.; Cardoso, M.B. Tetracycline@silver Ions-Functionalized Mesoporous Silica for High Bactericidal Activity at Ultra-Low Concentration. Nanomedicine 2018, 13, 1731–1751. [Google Scholar] [CrossRef]
- Zhao, D.; Feng, J.; Huo, Q.; Melosh, N.; Fredrickson, G.H.; Chmelka, B.F.; Stucky, G.D. Triblock Copolymer Syntheses of Mesoporous Silica with Periodic 50 to 300 Angstrom Pores. Science 1998, 279, 548–552. [Google Scholar] [CrossRef] [Green Version]
- Zhao, D.; Huo, Q.; Feng, J.; Chmelka, B.F.; Stucky, G.D. Nonionic Triblock and Star Diblock Copolymer and Oligomeric Surfactant Syntheses of Highly Ordered, Hydrothermally Stable, Mesoporous Silica Structures. J. Am. Chem. Soc. 1998, 120, 6024–6036. [Google Scholar] [CrossRef]
- Santos, S.M.L.; Cecilia, J.A.; Vilarrasa-García, E.; Silva Junior, I.J.; Rodríguez-Castellón, E.; Azevedo, D.C.S. The Effect of Structure Modifying Agents in the SBA-15 for Its Application in the Biomolecules Adsorption. Microporous Mesoporous Mater. 2016, 232, 53–64. [Google Scholar] [CrossRef]
- Galarneau, A.; Nader, M.; Guenneau, F.; Di Renzo, F.; Gedeon, A. Understanding the Stability in Water of Mesoporous SBA-15 and MCM-41. J. Phys. Chem. C 2007, 111, 8268–8277. [Google Scholar] [CrossRef]
- Ide, M.; El-Roz, M.; Canck, E.D.; Vicente, A.; Planckaert, T.; Bogaerts, T.; Driessche, I.V.; Lynen, F.; Speybroeck, V.V.; Thybault-Starzyk, F.; et al. Quantification of Silanol Sites for the Most Common Mesoporous Ordered Silicas and Organosilicas: Total versus Accessible Silanols. Phys. Chem. Chem. Phys. 2012, 15, 642–650. [Google Scholar] [CrossRef]
- de Farias, R.F.; Airoldi, C. Thermogravimetry as a Reliable Tool to Estimate the Density of Silanols on a Silica Gel Surface. J. Therm. Anal. Calorim. 1998, 53, 751–756. [Google Scholar] [CrossRef]
- Shang, F.; Wu, S.; Guan, J.; Sun, J.; Liu, H.; Wang, C.; Kan, Q. A Comparative Study of Aminopropyl-Functionalized SBA-15 Prepared by Grafting in Different Solvents. React. Kinet. Mech. Catal. 2011, 103, 181–190. [Google Scholar] [CrossRef]
- de ON Ribeiro, J.; Nunes, E.H.M.; Vasconcelos, D.C.L.; Vasconcelos, W.L.; Nascimento, J.F.; Grava, W.M.; Derks, P.W.J. Role of the Type of Grafting Solvent and Its Removal Process on APTES Functionalization onto SBA-15 Silica for CO2 Adsorption. J. Porous Mater. 2019, 26, 1581–1591. [Google Scholar] [CrossRef]
- Munguía-Cortés, L.; Pérez-Hermosillo, I.; Ojeda-López, R.; Esparza-Schulz, J.M.; Felipe-Mendoza, C.; Cervantes-Uribe, A.; Domínguez-Ortiz, A.; Munguía-Cortés, L.; Pérez-Hermosillo, I.; Ojeda-López, R.; et al. APTES-Functionalization of SBA-15 Using Ethanol or Toluene: Textural Characterization and Sorption Performance of Carbon Dioxide. J. Mex. Chem. Soc. 2017, 61, 273–281. [Google Scholar] [CrossRef]
- Shang, D.; Sun, X.; Shen, X.; Hang, J.; Jin, L.; Shi, L. Effects of PEG-TMS on the Stability and Antifouling Performances of Hydrocarbon-Modified Amphiphilic Xerogel Coatings. Prog. Org. Coatings 2018, 121, 142–150. [Google Scholar] [CrossRef]
- Huang, P.; Chen, Y.; Lin, H.; Yu, L.; Zhang, L.; Wang, L.; Zhu, Y.; Shi, J. Molecularly Organic/Inorganic Hybrid Hollow Mesoporous Organosilica Nanocapsules with Tumor-Specific Biodegradability and Enhanced Chemotherapeutic Functionality. Biomaterials 2017, 125, 23–37. [Google Scholar] [CrossRef] [PubMed]
- Ratirotjanakul, W.; Suteewong, T.; Polpanich, D.; Tangboriboonrat, P. Amino Acid as a Biodegradation Accelerator of Mesoporous Silica Nanoparticles. Microporous Mesoporous Mater. 2019, 282, 243–251. [Google Scholar] [CrossRef]
- Kuschel, A.; Sievers, H.; Polarz, S. Amino Acid Silica Hybrid Materials with Mesoporous Structure and Enantiopure Surfaces. Angew. Chem. Int. Ed. 2008, 47, 9513–9517. [Google Scholar] [CrossRef]
- Luechinger, M.; Kienhöfer, A.; Pirngruber, G.D. Immobilized Complexes of Metals with Amino Acid Ligands—A First Step toward the Development of New Biomimetic Catalysts. Chem. Mater. 2006, 18, 1330–1336. [Google Scholar] [CrossRef]
- Öztürk-Öncel, M.Ö.; Odabaş, S.; Uzun, L.; Hür, D.; Garipcan, B. A Facile Surface Modification of Poly(Dimethylsiloxane) with Amino Acid Conjugated Self-Assembled Monolayers for Enhanced Osteoblast Cell Behavior. Colloids Surf. B Biointerfaces 2020, 196, 111343. [Google Scholar] [CrossRef]
- Wang, J.; Zhang, W.; Gu, C.; Zhang, W.; Zhou, M.; Wang, Z.; Guo, C.; Sun, L. Step-Up Synthesis of Periodic Mesoporous Organosilicas with a Tyrosine Framework and Performance in Horseradish Peroxidase Immobilization. Chem.–Asian J. 2017, 12, 3162–3171. [Google Scholar] [CrossRef] [PubMed]
- Safavi-Sohi, R.; Maghari, S.; Raoufi, M.; Jalali, S.A.; Hajipour, M.J.; Ghassempour, A.; Mahmoudi, M. Bypassing Protein Corona Issue on Active Targeting: Zwitterionic Coatings Dictate Specific Interactions of Targeting Moieties and Cell Receptors. ACS Appl. Mater. Interfaces 2016, 8, 22808–22818. [Google Scholar] [CrossRef] [PubMed]
- Gutiérrez-Climente, R.; Clavié, M.; Dumy, P.; Mehdi, A.; Subra, G. Sol–Gel Process: The Inorganic Approach in Protein Imprinting. J. Mater. Chem. B 2021, 9, 2155–2178. [Google Scholar] [CrossRef] [PubMed]
- Warren, S.C.; Perkins, M.R.; Adams, A.M.; Kamperman, M.; Burns, A.A.; Arora, H.; Herz, E.; Suteewong, T.; Sai, H.; Li, Z.; et al. A Silica Sol–Gel Design Strategy for Nanostructured Metallic Materials. Nat. Mater. 2012, 11, 460–467. [Google Scholar] [CrossRef]
- Croissant, J.G.; Brinker, C.J. Chapter Eight-Biodegradable Silica-Based Nanoparticles: Dissolution Kinetics and Selective Bond Cleavage. In The Enzymes; Tamanoi, F., Ed.; Mesoporous Silica-based Nanomaterials and Biomedical Applications, Part A; Academic Press: Cambridge, MA, USA, 2018; Volume 43, pp. 181–214. [Google Scholar]
- Etienne, M.; Walcarius, A. Analytical Investigation of the Chemical Reactivity and Stability of Aminopropyl-Grafted Silica in Aqueous Medium. Talanta 2003, 59, 1173–1188. [Google Scholar] [CrossRef]
- Tourné-Péteilh, C.; Gracy, G.; Clément, S.; Devoisselle, J.-M.; Mehdi, A. Ladder-like Aminopropylsilsesquioxane. A Nice Alternative for Controlled Drug Delivery. RSC Adv. 2013, 3, 8160–8163. [Google Scholar] [CrossRef]
- Liu, X.; Cheng, J.; Lu, X.; Wang, R. Surface Acidity of Quartz: Understanding the Crystallographic Control. Phys. Chem. Chem. Phys. 2014, 16, 26909–26916. [Google Scholar] [CrossRef]
- Bhatt, A.S.; Sakaria, P.; Vasudevan, M.; Pawar, R.R.; Sudheesh, N.; Bajaj, H.C.; Mody, H.M. Adsorption of an Anionic Dye from Aqueous Medium by Organoclays: Equilibrium Modeling, Kinetic and Thermodynamic Exploration. RSC Adv. 2012, 2, 8663–8671. [Google Scholar] [CrossRef]













| Si-AA-NH2 | Solvent Used | Catalyst | Sample Name | General Name |
|---|---|---|---|---|
| - | - | - | SBA-15 | SBA-15 |
| Si-Tyr-NH2 | water | HCl | SBA-15@TYR pH 2 | SBA-15@AA |
| Si-Tyr-NH2 | PBS (100 mM pH 7)/ethanol (4.45/1 v/v) | NH4F | SBA-15@TYR pH 7 | |
| Si-Ser-NH2 | water | HCl | SBA-15@SER pH 2 | |
| Si-Ser-NH2 | PBS (100 mM pH 7)/ethanol (4.45/1 v/v) | NH4F | SBA-15@SER pH 7 | |
| Si-Leu-NH2 | water | HCl | SBA-15@LEU pH 2 | |
| Si-Leu-NH2 | PBS (100 mM pH 7)/ethanol (4.45/1 v/v) | NH4F | SBA-15@LEU pH 7 | |
| Si-Arg-NH2 | water | HCl | SBA-15@ARG pH 2 | |
| Si-Arg-NH2 | PBS (100 mM pH 7)/ethanol (4.45/1 v/v) | NH4F | SBA-15@ARG pH 7 | |
| Si-Glu-NH2 | PBS (100 mM pH 7)/ethanol (4.45/1 v/v) | NH4F | SBA-15@GLU pH 7 |
| N2 Adsorption Analysis | Pycnometer | XDR | ||||||
|---|---|---|---|---|---|---|---|---|
| Sample | SBET (m2/g) | CBET | Vt (cm3/g) | DBJH (nm) | Density (cm3/g) | d100 (nm) | a (nm) | t (nm) |
| SBA-15 | 466.9 ± 3.4 | 145.0 | 1.3 | 10.8 | 2.76 ± 0.09 | 10.3 | 11.9 | 1.6 |
| SBA-15@TYR pH 2 | 302.3 ± 2.1 | 98.1 | 0.8 | 10.2 | 2.08 ± 0.01 | 10.5 | 12.1 | 2.5 |
| SBA-15@TYR pH 7 | 302.8 ± 2.2 | 108.3 | 0.8 | 10.8 | 2.01 ± 0.06 | 10.5 | 12.1 | 1.9 |
| SBA-15@SER pH 2 | 336.4 ± 2.4 | 113.7 | 0.9 | 11.2 | 2.22 ± 0.06 | 10.3 | 11.9 | 1.3 |
| SBA-15@SER pH 7 | 364.4 ± 2.2 | 107.3 | 0.9 | 9.6 | 2.25 ± 0.08 | 10.5 | 12.1 | 3.0 |
| SBA-15@LEU pH 2 | 406.2 ± 1.2 | 56.5 | 1.0 | 9.3 | 2.38 ± 0.01 | 10.0 | 11.5 | 2.6 |
| SBA-15@LEU pH 7 | 314.9 ± 1.2 | 47.6 | 0.8 | 9.3 | 2.30 ± 0.17 | 10.1 | 11.7 | 2.9 |
| SBA-15@ARG pH 2 | 416.0 ± 2.7 | 109.2 | 1.1 | 10.4 | 2.19 ± 0.00 | 10.3 | 11.9 | 2.2 |
| SBA-15@ARG pH 7 | 289.2 ± 1.4 | 95.4 | 0.6 | 8.8 | 2.27 ± 0.00 | 10.0 | 11.5 | 3.1 |
| SBA-15@GLU pH 7 | 410.6 ± 2.5 | 83.4 | 1.1 | 11.1 | 1.97 ± 0.01 | 10.5 | 12.1 | 1.6 |
| EA | TGA | |||||||
|---|---|---|---|---|---|---|---|---|
| Sample | %C | %H | %N | mmol Si-AA-NH2 Grafted/g SBA-15 | % Mass Loss (200–900 °C) | mmol Si-AA-NH2 Grafted/g SBA-15 | Molecules of Si-AA-NH2/nm2 | |
| SBA-15 | 0.17 ± 0.07 | 0.49 ± 0.02 | 0.00 ± 0.00 | 0.00 | 0.31 | 0.00 | ||
| SBA-15@TYR pH 2 | 9.29 ± 0.13 | 1.64 ± 0.03 | 2.38 ± 0.05 | 0.69 | 18.36 | 0.50 | 1.16 | |
| SBA-15@TYR pH 7 | 10.99 ± 0.27 | 1.82 ± 0.06 | 2.92 ± 0.06 | 0.89 | 20.33 | 0.61 | 1.28 | |
| SBA-15@SER pH 2 | 4.60 ± 0.09 | 1.35 ± 0.03 | 2.09 ± 0.02 | 0.56 | 13.49 | 0.56 | 1.00 | |
| SBA-15@SER pH 7 | 7.19 ± 0.02 | 1.78 ± 0.00 | 3.38 ± 0.04 | 1.00 | 15.34 | 0.68 | 1.05 | |
| SBA-15@LEU pH 2 | 7.54 ± 0.07 | 1.80 ± 0.03 | 2.43 ± 0.01 | 0.68 | 15.81 | 0.55 | 1.14 | |
| SBA-15@LEU pH 7 | 10.76 ± 0.11 | 2.39 ± 0.03 | 3.64 ± 0.00 | 1.12 | 21.06 | 1.11 | 1.17 | |
| SBA-15@ARG pH 2 | 4.24 ± 0.16 | 1.46 ± 0.00 | 2.46 ± 0.09 | 0.32 | 11.68 | 0.36 | 0.55 | |
| SBA-15@ARG pH 7 | 8.47 ± 0.17 | 2.12 ± 0.08 | 5.61 ± 0.15 | 0.84 | 21.03 | 0.60 | 1.42 | |
| SBA-15@GLU pH 7 | 4.38 ± 0.12 | 1.61 ± 0.03 | 1.26 ± 0.07 | 0.33 | 10.16 | 0.52 | 0.53 | |
| Si-AA-NH2 | H-AA-NH2 (mg) | DMF (mL) | DIEA (mL) | NaHCO3 (mg) | ICPTES (mL) | Reaction Time (h) | Yield (%) |
|---|---|---|---|---|---|---|---|
| Si-Tyr-NH2 | 540 | 12 | 1.580 | - | 0.704 | 4 | 87 |
| Si-Ser-NH2 | 141 | 4 | - | 420 | 0.235 | 24 | 84 |
| Si-Arg-NH2 | 492 | 5.3 | - | 840 | 0.470 | 24 | 90 |
| Si-Leu-NH2 | 253 | 4 | - | 0.630 | 0.353 | 24 | 83 |
Publisher’s Note: MDPI stays neutral with regard to jurisdictional claims in published maps and institutional affiliations. |
© 2021 by the authors. Licensee MDPI, Basel, Switzerland. This article is an open access article distributed under the terms and conditions of the Creative Commons Attribution (CC BY) license (https://creativecommons.org/licenses/by/4.0/).
Share and Cite
Gutiérrez-Climente, R.; Clavié, M.; Gouyon, J.; Ngo, G.; Ladner, Y.; Etienne, P.; Dumy, P.; Martineau, P.; Pugnière, M.; Perrin, C.; et al. Development of Amino Acids Functionalized SBA-15 for the Improvement of Protein Adsorption. Molecules 2021, 26, 6085. https://doi.org/10.3390/molecules26196085
Gutiérrez-Climente R, Clavié M, Gouyon J, Ngo G, Ladner Y, Etienne P, Dumy P, Martineau P, Pugnière M, Perrin C, et al. Development of Amino Acids Functionalized SBA-15 for the Improvement of Protein Adsorption. Molecules. 2021; 26(19):6085. https://doi.org/10.3390/molecules26196085
Chicago/Turabian StyleGutiérrez-Climente, Raquel, Margaux Clavié, Jérémie Gouyon, Giang Ngo, Yoann Ladner, Pascal Etienne, Pascal Dumy, Pierre Martineau, Martine Pugnière, Catherine Perrin, and et al. 2021. "Development of Amino Acids Functionalized SBA-15 for the Improvement of Protein Adsorption" Molecules 26, no. 19: 6085. https://doi.org/10.3390/molecules26196085
APA StyleGutiérrez-Climente, R., Clavié, M., Gouyon, J., Ngo, G., Ladner, Y., Etienne, P., Dumy, P., Martineau, P., Pugnière, M., Perrin, C., Subra, G., & Mehdi, A. (2021). Development of Amino Acids Functionalized SBA-15 for the Improvement of Protein Adsorption. Molecules, 26(19), 6085. https://doi.org/10.3390/molecules26196085

