The Effect of Functional Groups on the Phase Behavior of Carbon Dioxide Binaries and Their Role in CCS
Abstract
1. Introduction
2. Modelling
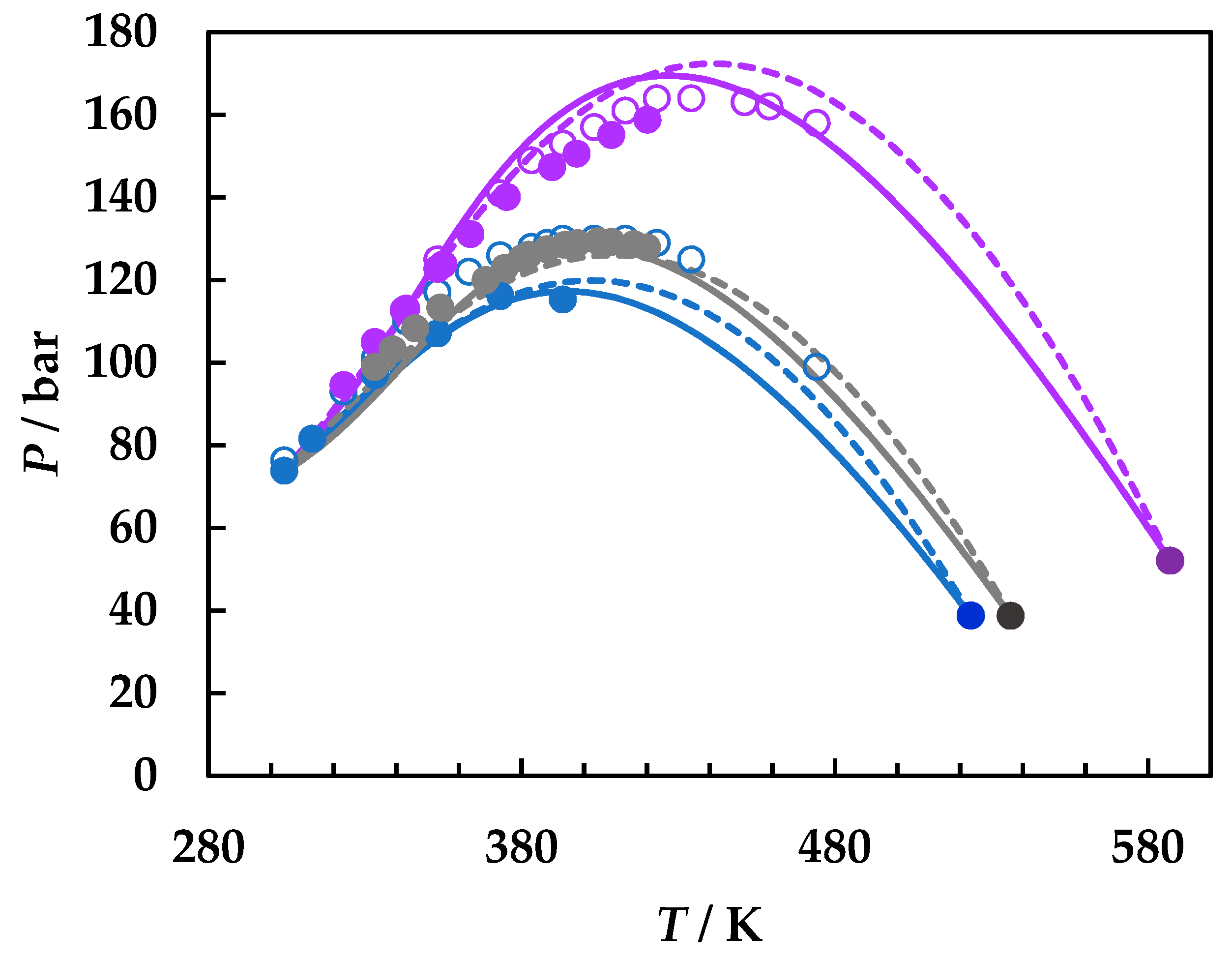
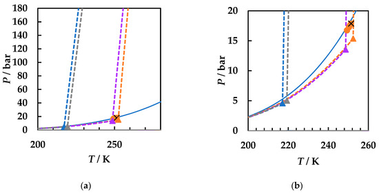
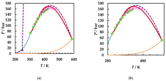
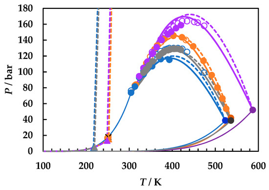
3. Results and Discussion
4. Conclusions
Author Contributions
Funding
Institutional Review Board Statement
Informed Consent Statement
Acknowledgments
Conflicts of Interest
References
- Erythropel, H.C.; Zimmerman, J.B.; de Winter, T.M.; Petitjean, L.; Melnikov, F.; Lam, C.H.; Lounsbury, A.W.; Mellor, K.E.; Janković, N.Z.; Tu, Q.; et al. The Green ChemisTREE: 20 years after taking root with the 12 principles. Green Chem. 2018, 20, 1929–1961. [Google Scholar] [CrossRef]
- Peper, S.; Fonseca, J.M.S.; Dohrn, R. High-pressure fluid-phase equilibria: Trends, recent developments and systems investigated (2009–2012). Fluid Phase Equilib. 2019, 484, 126–224. [Google Scholar] [CrossRef]
- Uhlemann, J.; Costa, R.; Charpentier, J.-C. Product design and engineering—past, present, future trends in teaching, research and practices: Academic and industry points of view. Curr. Opin. Chem. Eng. 2020, 27, 10–21. [Google Scholar] [CrossRef]
- Kontogeorgis, G.M.; Dohrn, R.; Economou, I.G.; de Hemptinne, J.-C.; ten Kate, A.; Kuitunen, S.; Mooijer, M.; Zĭlnik, L.F.; Vesovic, V. Industrial Requirements for Thermodynamic and Transport Properties: 2020. Ind. Eng. Chem. Res. 2021, 60, 4987–5013. [Google Scholar] [CrossRef]
- United States Environmental Protection Agency. Overview of Greenhouse Gases; Cambridge University Press: Washington, DC, USA, 2020. Available online: https://www.epa.gov/ghgemissions/overview-greenhouse-gases (accessed on 11 November 2020).
- NASA. Available online: https://climate.nasa.gov/climate_resources/7/graphic-carbon-dioxide-hits-new-high/#:~:text=On%20May%209%2C%202013%2C%20CO,the%20surface%20of%20the%20Earth (accessed on 15 April 2021).
- IPCC. Climate Change 2014: Mitigation of Climate Change: Contribution of Working Group III to the Fifth Assessment Report of the Intergovernmental Panel on Climate Change; Cambridge University Press: Cambridge, UK, 2014; Available online: https://www.ipcc.ch/report/ar5/wg3/ (accessed on 1 September 2020).
- IEA. Available online: https://www.iea.org/geco/emissions/ (accessed on 1 August 2020).
- Jacquemet, N.; Le Gallo, Y.; Estublier, A.; Lachet, V.; von Dalwigk, I.; Yan, J.; Azaroual, M.; Audigane, P. CO2 streams containing associated components-A review of the thermodynamic and geochemical properties and assessment of some reactive transport codes. Energy Proc. 2009, 1, 3739–3746. [Google Scholar] [CrossRef]
- MacDowell, N.; Florin, N.; Buchard, A.; Hallett, J.; Galindo, A.; Jackson, G.; Adjiman, C.S.; Williams, C.K.; Shah, N.; Fennell, P. An overview of CO2 capture technologies. Energy Environ. Sci. 2010, 3, 1645–1669. [Google Scholar] [CrossRef]
- Munkejord, S.T.; Hammer, M.; LoØvseth, S.W. CO2 transport: Data and models—A review. Appl. Energy 2016, 169, 499–523. [Google Scholar] [CrossRef]
- Tan, Y.; Nookuea, W.; Li, H.; Thorin, E.; Yan, J. Property impacts on Carbon Capture and Storage (CCS) processes: A review. Energy Convers. Manag. 2016, 118, 204–222. [Google Scholar] [CrossRef]
- Hajizadeh, A.; Mohamadi-Baghmolaei, M.; Azin, R.; Osfouri, S.; Heydari, I. Technical and economic evaluation of flare gas recovery in a giant gas refinery. Chem. Eng. Res. Des. 2018, 131, 506–519. [Google Scholar] [CrossRef]
- Bavoh, C.B.; Lal, B.; Osei, H.; Sabil, K.M.; Mukhtar, H. A review on the role of amino acids in gas hydrate inhibition, CO2 capture and sequestration, and natural gas storage. J. Nat. Gas Sci. Eng. 2019, 64, 52–71. [Google Scholar] [CrossRef]
- Mota-Martinez, M.T.; Hallett, J.P.; Mac Dowell, N. Solvent selection and design for CO2 capture—How we might have been missing the point. Sustain. Energy Fuels 2017, 1, 2078–2090. [Google Scholar] [CrossRef]
- Bui, M.; Fajardy, M.; Mac Dowell, N. Bio-energy with carbon capture and storage (BECCS): Opportunities for performance improvement. Fuel 2018, 213, 164–175. [Google Scholar] [CrossRef]
- Sima, S.; Milanesio, J.M.; Ramello, J.I.; Cismondi, M.; Secuianu, C.; Feroiu, V.; Geană, D. The effect of the naphthenic ring on the VLE of (carbon dioxide plus alkane) mixtures. J. Chem. Thermodyn. 2016, 93, 374–385. [Google Scholar] [CrossRef]
- Secuianu, C.; Ioniţă, S.; Feroiu, V.; Geană, D. High pressures phase equilibria of (carbon dioxide+1-undecanol) system and their potential role in carbon capture and storage. J. Chem. Thermodyn. 2016, 93, 360–373. [Google Scholar] [CrossRef]
- Secuianu, C.; Feroiu, V.; Geană, D. Phase behavior of the carbon dioxide + 1-dodecanol system at high pressures. Fluid Phase Equilib. 2016, 428, 62–75. [Google Scholar] [CrossRef]
- Sima, S.; Secuianu, C.; Feroiu, V. Phase equilibria of CO2 + 1,2-dimethoxyethane at high-pressures. Fluid Phase Equilib. 2018, 458, 47–57. [Google Scholar] [CrossRef]
- Sima, S.; Ioniţă, S.; Secuianu, C.; Feroiu, V.; Geană, D. High pressure phase equilibria of carbon dioxide + 1-octanol binary system. J. Chem. Eng. Data 2018, 63, 1109–1122. [Google Scholar] [CrossRef]
- Sima, S.; Racoviţă, R.C.; Chirilă, A.; Deaconu, D.; Feroiu, V.; Secuianu, C. Phase behaviour calculations for the carbon dioxide + 1,2-dimethoyethane binary system with a cubic equation of state. Stud. Univ. Babes-Bolyai Chem. 2019, 64, 129–142. [Google Scholar]
- Sima, S.; Secuianu, C.; Feroiu, V.; Ioniţă, S.; Geană, D. High pressure phase equilibria of carbon dioxide + 2-octanol binary system. Fluid Phase Equilib. 2020, 510, 112487. [Google Scholar] [CrossRef]
- Jaubert, J.-N.; Le Guennec, Y.; Piña-Martinez, A.; Ramirez-Velez, N.; Lasala, S.; Schmid, B.; Nikolaidis, I.K.; Economou, I.G.; Privat, R. Benchmark Database Containing Binary-System-High-Quality-Certified Data for Cross-Comparing Thermodynamic Models and Assessing Their Accuracy. Ind. Eng. Chem. Res. 2020, 59, 14981–15027. [Google Scholar] [CrossRef]
- Dohrn, R.; Peper, S.; Fonseca, J.M.S. High-pressure fluid-phase equilibria: Experimental methods and systems investigated (2000–2004). Fluid Phase Equilib. 2010, 288, 1–54. [Google Scholar] [CrossRef]
- Kontogeorgis, G.M.; Privat, R.; Jaubert, J.N. Taking another Look at the van der Waals Equation of State-Almost 150 Years Later. J. Chem. Eng. Data 2019, 64, 4619–4637. [Google Scholar] [CrossRef]
- Jaubert, J.N.; Privat, R.; Mutelet, F. Predicting the phase equilibria of synthetic petroleum fluids with the PPR78 approach. AIChE J. 2010, 56, 3225–3235. [Google Scholar] [CrossRef]
- Novak, N.; Louli, V.; Voutsas, E. Prediction of Vapor-Liquid Equilibrium and Thermodynamic Properties of Natural Gas and Gas Condensates. Ind. Eng. Chem. Res. 2019, 58, 7370–7388. [Google Scholar] [CrossRef]
- Geană, D. A new equation of state for fluids. I. Applications to PVT calculations for pure fluids. Rev. Chim. (Bucharest) 1986, 37, 303–309. [Google Scholar]
- Geană, D. A new equation of state for fluids. II. Applications to phase equilibria. Rev. Chim. (Bucharest) 1986, 37, 951–959. [Google Scholar]
- Peng, D.Y.; Robinson, D.B. A new two-constant Equation of State. Ind. Eng. Chem. Fundam. 1976, 15, 59–64. [Google Scholar] [CrossRef]
- Geană, D.; Feroiu, V. Thermodynamic properties of pure fluids using the GEOS3C equation of state. Fluid Phase Equilib. 2000, 174, 51–68. [Google Scholar] [CrossRef]
- Design Institute for Physical Property Research/AIChE. Design Institute for Physical Properties, Sponsored by AIChE. (2005; 2008; 2009; 2010; 2011; 2012; 2015; 2016; 2017; 2018; 2019; 2020). DIPPR Project 801—Full Version. Available online: https://app.knovel.com/hotlink/toc/id:kpDIPPRPF7/dippr-project-801-full/dippr-project-801-full (accessed on 15 April 2021).
- Secuianu, C.; Feroiu, V.; Geană, D. Phase behavior for carbon dioxide + 2-butanol system: Experimental measurements and modeling with cubic equations of state. J. Chem. Eng. Data 2009, 54, 1493–1499. [Google Scholar] [CrossRef]
- Secuianu, C.; Feroiu, V.; Geană, D. Measurements and Modeling of High-Pressure Phase Behavior of the Carbon Dioxide + Pentan-1-ol Binary System. J. Chem. Eng. Data 2011, 56, 5000–5007. [Google Scholar] [CrossRef]
- Geană, D.; Rus, L. Phase equilibria database and calculation program for pure components systems and mixtures. In Proceedings of the Romanian International Conference on Chemistry and Chemical Engineering (RICCCE XIV), Bucharest, Romania, 22–24 September 2005; Volume 2, pp. 170–178. [Google Scholar]
- Cismondi, M.; Michelsen, M.L. Global Phase Equilibrium Calculations: Critical Lines, Critical End Points and Liquid−liquid−vapour Equilibrium in Binary Mixtures. J. Supercrit. Fluids 2007, 39, 287–295. [Google Scholar] [CrossRef]
- Cismondi, M.; Michelsen, M. Automated Calculation of Complete Pxy and Txy Diagrams for Binary Systems. Fluid Phase Equilib. 2007, 259, 228–234. [Google Scholar] [CrossRef]
- Cismondi, M.; Michelsen, M.L.; Zabaloy, M.S. Automated Generation of Phase Diagrams for Binary Systems with Azeotropic Behavior. Ind. Eng. Chem. Res. 2008, 47, 9728–9743. [Google Scholar] [CrossRef]
- Heidemann, R.A.; Khalil, A.M. The calculation of critical points. AIChE J. 1980, 26, 769–779. [Google Scholar] [CrossRef]
- Stockfleth, R.; Dohrn, R. An algorithm for calculating critical points in multicomponent mixtures which can easily be implemented in existing programs to calculate phase equilibria. Fluid Phase Equilib. 1998, 145, 43–52. [Google Scholar] [CrossRef]
- Polishuk, I.; Wisniak, J.; Segura, H. Simultaneous prediction of the critical and sub-critical phase behavior in mixtures using equation of state I. Carbon dioxide-alkanols. Chem. Eng. Sci. 2001, 56, 6485–6510. [Google Scholar] [CrossRef]
- van Konynenburg, P.H.; Scott, R.L. Critical lines and phase equilibria in binary van der Waals mixtures. Philos. Trans. R. Soc. London, Ser. A 1980, 298, 495–540. [Google Scholar]
- Privat, R.; Jaubert, J.N. Classification of global fluid-phase equilibrium behaviors in binary systems. Chem. Eng. Res. Des. 2013, 91, 1807–1839. [Google Scholar] [CrossRef]
- Stevens, R.M.M.; van Roermund, J.C.; Jager, M.D.; de Loos, T.W.; de Swaan Arons, J. High-pressure vapour-liquid equilibria in the systems carbon dioxide + 2-butanol, + 2-butyl acetate, + vinyl acetate and calculations with three EOS methods. Fluid Phase Equilib. 1997, 138, 159–178. [Google Scholar] [CrossRef]
- Secuianu, C.; Sima, S. Phase Equilibria for Carbon Capture and Storage. In Carbon Capture, 1st ed.; Khan, S.A.R., Ed.; IntechOpen: London, UK, 2020; pp. 1–18. [Google Scholar]
- Sima, S.; Racoviţă, R.C.; Dincă, C.; Feroiu, V.; Secuianu, C. Phase equilibria calculations for carbon dioxide + 2-propanol system. Univ. Politeh. Bucharest Sci. Bull. Ser. B 2017, 79, 11–24. [Google Scholar]
- Soave, G. Equilibrium constants from a modified Redlich-Kwong equation of state. Chem. Eng. Sci. 1972, 27, 1197–1203. [Google Scholar] [CrossRef]
- DETHERM Database (DECHEMA Chemistry Data Series, Frankfurt, Germany, 1991–2020).
- Chester, T.L.; Haynes, B.S. Estimation of pressure-temperature critical loci of CO2 binary mixtures with methyl-tert-butyl ether, ethyl acetate, methyl-ethyl ketone, dioxane and decane. J. Supercrit. Fluids 1997, 11, 15–20. [Google Scholar] [CrossRef]
- Byun, H.S.; Choi, M.Y.; Lim, J.S. High-Pressure Phase Behavior and Modeling of Binary Mixtures for Alkyl Acetate in Supercritical Carbon Dioxide. J. Supercrit. Fluids 2006, 37, 323–332. [Google Scholar] [CrossRef]
- Silva-Oliver, G.; Galicia-Luna, L.A. Vapor–liquid equilibria near critical point and critical points for the CO2+1-butanol and CO2+2-butanol systems at temperatures from 324 to 432 K. Fluid Phase Equilib. 2001, 182, 145–156. [Google Scholar] [CrossRef]
- Sima, S.; Secuianu, C.; Nichita, D.V. High-Pressure Phase Equilibria of Carbon Dioxide + 1,4-Dioxane Binary System. Fluid Phase Equilib. 2021. submitted. [Google Scholar]
- Sima, S.; Feroiu, V.; Geană, D. New high pressure vapor–liquid equilibrium data and density predictions for carbon dioxide + ethyl acetate system. Fluid Phase Equilib. 2012, 25, 45–52. [Google Scholar] [CrossRef]
- Gwinner, B.; Roizard, D.; Lapicque, F.; Favre, E.; Cadours, R.; Boucot, P.; Carrette, P.-L. CO2 Capture in Flue Gas: Semiempirical Approach to Select a Potential Physical Solvent. Ind. Eng. Chem. Res. 2006, 45, 5044–5049. [Google Scholar] [CrossRef]










| Compounds | Formula | Chemical Structure | Molecular Weight | CAS Number |
|---|---|---|---|---|
| Carbon dioxide | CO2 | ![]() | 44.0095 | 124-38-9 |
| Ethyl acetate | C4H8O2 | ![]() | 88.1051 | 141-78-6 |
| 1,4-Dioxane | C4H8O2 | ![]() | 88.1051 | 123-91-1 |
| 1,2-dimethoxyethane | C4H10O2 | ![]() | 90.1210 | 110-71-4 |
| Substance | CO2 | EA | D | DME |
|---|---|---|---|---|
| B | 0.1767 | 0.1720 | 0.1612 | 0.1475 |
| Zc | 0.2740 | 0.2550 | 0.2540 | 0.2305 |
| Ωa | 0.5582 | 0.5677 | 0.5903 | 0.6196 |
| Ωb | 0.0973 | 0.0830 | 0.0928 | 0.0875 |
| Ωc | −0.0497 | −0.0535 | −0.0625 | −0.0745 |
| Ωd | −0.1377 | −0.1590 | −0.1654 | −0.1913 |
| Compounds | Tc/K | Pc/bar | Vc/cm3·mol−1 | ω | αc | m |
|---|---|---|---|---|---|---|
| CO2 | 304.21 | 73.83 | 94.0 | 0.2236 | 7.0801 | 0.3045 |
| EA | 523.30 | 38.80 | 286.0 | 0.3664 | 7.9337 | 0.4403 |
| D | 587.00 | 52.08 | 238.0 | 0.2793 | 7.8346 | 0.3130 |
| DME | 536.15 | 38.71 | 270.6 | 0.3475 | 8.6973 | 0.3315 |
Publisher’s Note: MDPI stays neutral with regard to jurisdictional claims in published maps and institutional affiliations. |
© 2021 by the authors. Licensee MDPI, Basel, Switzerland. This article is an open access article distributed under the terms and conditions of the Creative Commons Attribution (CC BY) license (https://creativecommons.org/licenses/by/4.0/).
Share and Cite
Sima, S.; Secuianu, C. The Effect of Functional Groups on the Phase Behavior of Carbon Dioxide Binaries and Their Role in CCS. Molecules 2021, 26, 3733. https://doi.org/10.3390/molecules26123733
Sima S, Secuianu C. The Effect of Functional Groups on the Phase Behavior of Carbon Dioxide Binaries and Their Role in CCS. Molecules. 2021; 26(12):3733. https://doi.org/10.3390/molecules26123733
Chicago/Turabian StyleSima, Sergiu, and Catinca Secuianu. 2021. "The Effect of Functional Groups on the Phase Behavior of Carbon Dioxide Binaries and Their Role in CCS" Molecules 26, no. 12: 3733. https://doi.org/10.3390/molecules26123733
APA StyleSima, S., & Secuianu, C. (2021). The Effect of Functional Groups on the Phase Behavior of Carbon Dioxide Binaries and Their Role in CCS. Molecules, 26(12), 3733. https://doi.org/10.3390/molecules26123733




