Use of Alginate Extracted from Moroccan Brown Algae to Stimulate Natural Defense in Date Palm Roots
Abstract
1. Introduction
2. Results
2.1. Extraction Yield and Chemical Composition of FSSA and BBSA
2.2. Structural Characterization of FSSA and BBSA by HPSEC and 1H-NMR
2.3. Effect of Brown Seaweed Alginates on Induction of the Phenolic Metabolism
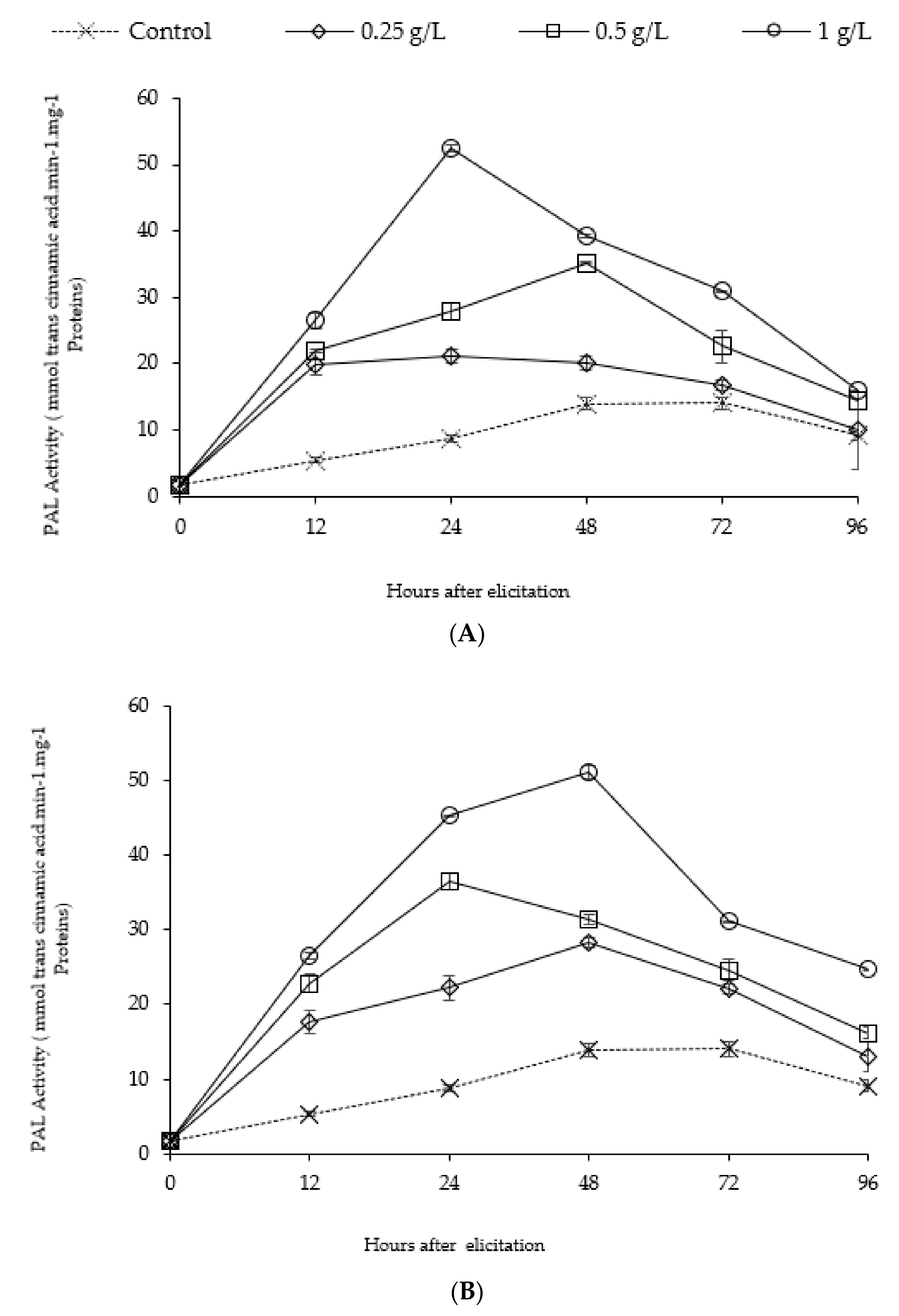
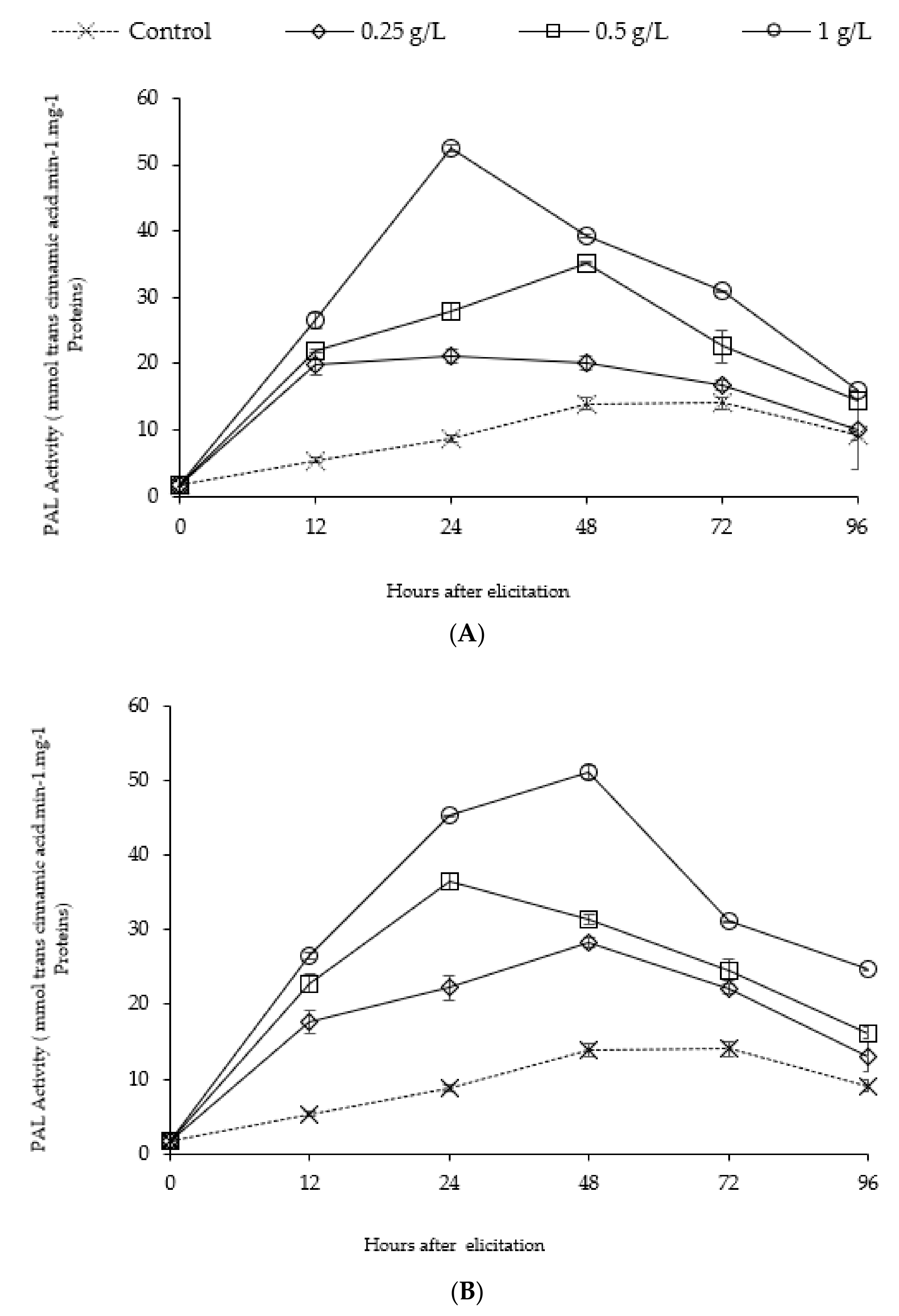
2.3.1. Phenylalanine Ammonia-Lyase (PAL) in Response to Elicitor Treatment
2.3.2. Total Polyphenol Accumulation in Response to Elicitor Treatment
3. Discussion
4. Materials and Methods
4.1. Algae Material
4.2. Extraction and Purification of Sodium Alginates (BBSA, FSSA)
4.3. Chemical Analysis of FSSA and BBSA
4.4. High-Performance Steric Exclusion Chromatography (HPSEC) Analysis
4.5. 1H NMR Spectroscopy Analysis
4.6. Plant Material
4.7. Elicitation Test
4.8. Extraction and Determination of Phenylalanine Ammonialyse (PAL) Activity
4.9. Determination of Total Protein
4.10. Extraction, Purification, and Determination of Total Polyphenol Content
4.11. Statistical Analysis
Author Contributions
Funding
Conflicts of Interest
References
- Terry, L.A.; Joyce, D.C. Elicitors of induced disease resistance in postharvest horticultural crops: A brief review. Postharvest Biol. Technol. 2004, 32, 1–13. [Google Scholar] [CrossRef]
- Benhamou, N.; Picard, K. La résistance induite: Une nouvelle stratégie de défense des plantes contre les agents pathogènes. Phytoprotection 1999, 80, 137–168. [Google Scholar] [CrossRef]
- Kessmann, H.; Staub, T.; Ligon, J.I.M.; Oostendorp, M.; Ryals, J. Activation of systemic acquired disease resistance in plants SAR: Biological phenomenon. Eur. J. Plant Pathol. 1994, 100, 359–369. [Google Scholar] [CrossRef]
- El Modafar, C.; Elgadda, M.; El Boutachfaiti, R.; Abouraicha, E.; Zehhar, N.; Petit, E.; El Alaoui-Talibi, Z.; Courtois, B.; Courtois, J. Induction of natural defence accompanied by salicylic acid-dependant systemic acquired resistance in tomato seedlings in response to bioelicitors isolated from green algae. Sci. Hortic. (Amst.) 2012, 138, 55–63. [Google Scholar] [CrossRef]
- Abouraïcha, E.; El Alaoui-Talibi, Z.; El Boutachfaiti, R.; Petit, E.; Courtois, B.; Courtois, J.; El Modafar, C. Induction of natural defense and protection against Penicillium expansum and Botrytis cinerea in apple fruit in response to bioelicitors isolated from green algae. Sci. Hortic. (Amst.) 2015, 181, 121–128. [Google Scholar] [CrossRef]
- Ben Salah, I.; Aghrouss, S.; Douira, A.; Aissam, S.; El Alaoui-Talibi, Z.; Filali-Maltouf, A.; El Modafar, C. Seaweed polysaccharides as bio-elicitors of natural defenses in olive trees against verticillium wilt of olive. J. Plant Interact. 2018, 13, 248–255. [Google Scholar] [CrossRef]
- Mercier, L.; Lafitte, C.; Borderies, G.; Briand, X.; Esquerré-Tugayé, M.T.; Fournier, J. The algal polysaccharide carrageenans can act as an elicitor of plant defence. New Phytol. 2001, 149, 43–51. [Google Scholar] [CrossRef]
- Gacesa, P. Alginates. Carbohydr. Polym. 1988, 8, 161–182. [Google Scholar] [CrossRef]
- Draget, K.I.; Smidsrød, O.; Skjåk-Bræk, G. Alginates from Algae. In Biopolymers Online; Wiley: Hoboken, NJ, USA, 2005; Volume 6. [Google Scholar] [CrossRef]
- Tai, C.; Bouissil, S.; Gantumur, E.; Carranza, M.S.; Yoshii, A.; Sakai, S.; Pierre, G.; Michaud, P.; Delattre, C. Use of anionic polysaccharides in the development of 3D bioprinting technology. Appl. Sci. 2019, 9. [Google Scholar] [CrossRef]
- Zhao, J.; Zhu, W.H.; Hu, Q. Promotion of indole alkaloid production in Catharanthus roseus cell cultures by rare earth elements. Biotechnol. Lett. 2000, 22, 825–828. [Google Scholar] [CrossRef]
- Xu, A.; Zhan, J.C.; Huang, W.D. Oligochitosan and sodium alginate enhance stilbene production and induce defense responses in Vitis vinifera cell suspension cultures. Acta Physiol. Plant. 2015, 37, 1–13. [Google Scholar] [CrossRef]
- An, Q.D.; Zhang, G.L.; Wu, H.T.; Zhang, Z.C.; Zheng, G.S.; Luan, L.; Murata, Y.; Li, X. Alginate-deriving oligosaccharide production by alginase from newly isolated Flavobacterium sp. LXA and its potential application in protection against pathogens. J. Appl. Microbiol. 2009, 106, 161–170. [Google Scholar] [CrossRef] [PubMed]
- Zhang, S.; Tang, W.; Jiang, L.; Hou, Y.; Yang, F.; Chen, W.; Li, X. Elicitor activity of algino-oligosaccharide and its potential application in protection of rice plant (Oryza saliva L.) against magnaporthe grisea. Biotechnol. Biotechnol. Equip. 2015, 29, 646–652. [Google Scholar] [CrossRef]
- Chandía, N.P.; Matsuhiro, B.; Mejías, E.; Moenne, A. Alginic acids in Lessonia vadosa: Partial hydrolysis and elicitor properties of the polymannuronic acid fraction. J. Appl. Phycol. 2004, 16, 127–133. [Google Scholar] [CrossRef]
- Spick, G.; Montreuil, J. 2 causes of error in colorimetric determinations of total neutral sugar. Bull. Soc. Chim. Biol. (Paris) 1964, 46, 739–749. [Google Scholar]
- Torres, M.R.; Sousa, A.P.A.; Silva Filho, E.A.T.; Melo, D.F.; Feitosa, J.P.A.; de Paula, R.C.M.; Lima, M.G.S. Extraction and physicochemical characterization of Sargassum vulgare alginate from Brazil. Carbohydr. Res. 2007, 342, 2067–2074. [Google Scholar] [CrossRef] [PubMed]
- Grasdalen, H. High-field, 1H-n.m.r. spectroscopy of alginate: Sequential structure and linkage conformations. Carbohydr. Res. 1983, 118, 255–260. [Google Scholar] [CrossRef]
- Jabbar, M.A.; Percival, E. Carbohydrates of the brown seaweeds Himanthalia lorea, Bifurcaria bzjhcata, and Padina pavonia. Carbohydr. Res. 1973, 26, 133–146. [Google Scholar]
- Voron’ko, N.G.; Derkach, S.R.; Kuchina, Y.A.; Sokolan, N.I.; Kuranova, L.K.; Obluchinskaya, E.D. Influence of added gelatin on the rheological properties of a Fucus vesiculosus extract. Food Biosci. 2019, 29, 1–8. [Google Scholar] [CrossRef]
- Fertah, M.; Belfkira, A.; Dahmane, E.M.; Taourirte, M.; Brouillette, F. Extraction and characterization of sodium alginate from Moroccan Laminaria digitata brown seaweed. Arab. J. Chem. 2017, 10, S3707–S3714. [Google Scholar] [CrossRef]
- Draget, K.I.; Smidsrod, O.; Skjåk-Bræk, G. Alginates from Algae. In Biopolymers: Polysaccharides from Eukaryotes; Wiley: Hoboken, NJ, USA, 2002; pp. 215–244. [Google Scholar] [CrossRef]
- Hentati, F.; Delattre, C.; Ursu, A.V.; Desbrières, J.; Le Cerf, D.; Gardarin, C.; Abdelkafi, S.; Michaud, P.; Pierre, G. Structural characterization and antioxidant activity of water-soluble polysaccharides from the Tunisian brown seaweed Cystoseira compressa. Carbohydr. Polym. 2018, 198, 589–600. [Google Scholar] [CrossRef] [PubMed]
- Larsen, B.; Salem, D.M.S.A.; Sallam, M.A.E.; Mishrikey, M.M.; Beltagy, A.I. Characterization of the alginates from algae harvested at the Egyptian Red Sea coast. Carbohydr. Res. 2003, 338, 2325–2336. [Google Scholar] [CrossRef]
- Zrid, R.; Bentiss, F.; Attoumane Ben Ali, R.; Belattmania, Z.; Zarrouk, A.; Elatouani, S.; Eddaoui, A.; Reani, A.; Sabour, B. Potential uses of the brown seaweed Cystoseira humilis biomass: 1- Sodium alginate yield, FT-IR, 1 H NMR and rheological analyses. J. Mater. Environ. Sci. 2016, 7, 613–620. [Google Scholar]
- Rioux, L.-E.; Turgeon, S.L.; Beaulieu, M. Characterization of polysaccharides extracte from brown seaweeds. Carbohydr. Polym. 2007, 69, 503–537. [Google Scholar] [CrossRef]
- Nai-yu, Z.; Yan-xia, Z.; Xiao, F.; Li-jun, H. Effects of composition and structure of alginates on adsorption of divalent metals. Chin. J. Oceanol. Limnol. 1994, 12, 78–83. [Google Scholar] [CrossRef]
- Xiao, Q.; Tong, Q.; Zhou, Y.; Deng, F. Rheological properties of pullulan-sodium alginate based solutions during film formation. Carbohydr. Polym. 2015, 130, 49–56. [Google Scholar] [CrossRef]
- Jaulneau, V.; Lafitte, C.; Corio-Costet, M.F.; Stadnik, M.J.; Salamagne, S.; Briand, X.; Esquerré-Tugayé, M.T.; Dumas, B. An Ulva armoricana extract protects plants against three powdery mildew pathogens. Eur. J. Plant Pathol. 2011, 131, 393–401. [Google Scholar] [CrossRef]
- Schons, R.F.; de Freitas, M.B.; Stadnik, M.J. Persistence of ulvan induced resistance and effect of inoculums concentration in the control of bean anthracnose. Biosci. J. 2011, 27, 544–551. [Google Scholar]
- Araujo, L.; Stadnik, M.J. Resistências cultivar-específica e induzida por ulvana à mancha foliar de Glomerella em macieira são associadas com aumento da atividade de peroxidases. Acta Sci. - Agron. 2013, 35, 287–293. [Google Scholar] [CrossRef]
- Akimoto, C.; Aoyagi, H.; Dicosmo, F.; Tanaka, H. Synergistic effect of active oxygen species and alginate on chitinase production by Wasabia japonica cells and its application. J. Biosci. Bioeng. 2000, 89, 131–137. [Google Scholar] [CrossRef]
- Kobayashi, A.; Tai, A.; Kanzaki, H.; Kawazu, K. Elicitor-active oligosaccharides from algal laminaran stimulate the production of antifungal compounds in alfalfa. Z. Fur Naturforsch. - Sect. C J. Biosci. 1993, 48, 575–579. [Google Scholar] [CrossRef]
- Keen, N.T.; Yoshikawa, M. β-1,3-Endoglucanase from soybean releases elicitor-active carbohydrates from fungus cell walls. Plant Physiol. 1983, 71, 460–465. [Google Scholar] [CrossRef] [PubMed]
- Klarzynski, O.; Plesse, B.; Joubert, J.-M.; Yvin, J.-C.; Kopp, M.; Kloareg, B.; Fritig, B. Linear β-1,3 glucans are elicitors of defense responses in tobacco. Plant Physiol. 2000, 124, 1027–1038. [Google Scholar] [CrossRef] [PubMed]
- Vogt, T. Phenylpropanoid biosynthesis. Mol. Plant 2010, 3, 2–20. [Google Scholar] [CrossRef]
- El Modafar, C. Mechanisms of date palm resistance to Bayoud disease: Current state of knowledge and research prospects. Physiol. Mol. Plant Pathol. 2010, 74, 287–294. [Google Scholar] [CrossRef]
- Laporte, D.; Vera, J.; Chandía, N.P.; Zúñiga, E.A.; Matsuhiro, B.; Moenne, A. Structurally unrelated algal oligosaccharides differentially stimulate growth and defense against tobacco mosaic virus in tobacco plants. J. Appl. Phycol. 2007, 19, 79–88. [Google Scholar] [CrossRef]
- de Freitas, M.B.; Stadnik, M.J. Race-specific and ulvan-induced defense responses in bean (Phaseolus vulgaris) against Colletotrichum lindemuthianum. Physiol. Mol. Plant Pathol. 2012, 78, 8–13. [Google Scholar] [CrossRef]
- Patier, P.; Potin, P.; Rochas, C.; Kloareg, B.; Yvin, J.C.; Liénart, Y. Free or silica-bound oligokappa-carrageenans elicit laminarinase activity in Rubus cells and protoplasts. Plant Sci. 1995, 110, 27–35. [Google Scholar] [CrossRef]
- Vera, J.; Castro, J.; Contreras, R.A.; González, A.; Moenne, A. Oligo-carrageenans induce a long-term and broad-range protection against pathogens in tobacco plants (var. Xanthi). Physiol. Mol. Plant Pathol. 2012, 79, 31–39. [Google Scholar] [CrossRef]
- El Modafar, C.; El Boustani, E. Cell wall-bound phenolic acid and lignin contents in date palm as related to its resistance to Fusarium oxysporum. Biol. Plant. 2001, 44, 125–130. [Google Scholar] [CrossRef]
- Modafar, C.E.; Boustani, E.E.; Rahioui, B.; Meziane, A.E.; Alaoui-Talibi, Z.E. Suppression of phenylalanine ammonia-lyase activity elicited in date palm by Fusarium oxysporum f. sp. albedinis hyphal wall elicitor. Biol. Plant. 2006, 50, 697–700. [Google Scholar] [CrossRef]
- Ebel, J.; Schmidt, W.E.; Loyal, R. Phytoalexin synthesis in soybean cells: Elicitor induction of phenylalanine ammonia-lyase and chalcone synthase mRNAs and correlation with phytoalexin accumulation. Arch. Biochem. Biophys. 1984, 232, 240–248. [Google Scholar] [CrossRef]
- Jones, D.H. Phenylalanine ammonia-lyase: Regulation of its induction, and its role in plant development. Phytochemistry 1984, 23, 1349–1359. [Google Scholar] [CrossRef]
- Hahlbrock, K.; Scheel, D. Physiology and molecular biology of phenylpropanoid metabolism. Annu. Rev. Plant Physiol. Plant Mol. Biol. 1989, 40, 347–369. [Google Scholar] [CrossRef]
- El Modafar, C.; El Boustani, E. The role of phenolics in plant defense mechanisms. In Biopesticides of Plant Origin; Edition: Lavoisier 2005, Chapter: 11; Regnault, R., Philogène, V., Eds.; Intercept: Andover, UK; pp. 157–172.
- Bernards, M.A.; Razem, F.A. The poly(phenolic) domain of potato suberin: A non-lignin cell wall bio-polymer. Phytochemistry 2001, 57, 1115–1122. [Google Scholar] [CrossRef]
- El Modafar, C.; Tantaoui, A.; El Boustani, E. Changes in cell wall-bound phenolic compounds and lignin in roots of date palm cultivars differing in susceptibility to Fusarium oxysporum f. sp. albedinis. J. Phytopathol. 2000, 148, 405–411. [Google Scholar] [CrossRef]
- El Modafar, C.; Tantaoui, A.; El Boustani, E. Time course accumulation and fungitoxicity of date palm phytoalexins towards Fusarium oxysporum f. sp. albedinis. J. Phytopathol. 1999, 147, 477–484. [Google Scholar] [CrossRef]
- El Hassni, M.; El Hadrami, A.; Daayf, F.; Barka, E.A.; El Hadrami, I. Chitosan, antifungal product against Fusarium oxysporum f. sp. albedinis and elicitor of defence reactions in date palm roots. Phytopathol. Mediterr. 2004, 43, 195–204. [Google Scholar] [CrossRef]
- Koukol, J.; Conn, E.E. Compounds Plants w. J. Biol.-Chem 1961, 236, 2692–2698. [Google Scholar]
- Matern, U.; Kneusel, R.E. Phytoparaitica. Phytoparasitica 1988, 16, 153–170. [Google Scholar] [CrossRef]
- Nicholson, R.L.; Hammerschmidt, R. Phenolic compounds and their role in disease resistance. Annu. Rev. Phytopathol. 1992, 30, 369–389. [Google Scholar] [CrossRef]
- Ziouti, A.; El Modafar, C.; Fleuriet, A.; El Boustani, S.; Macheix, J. Les polyphénols, marqueurs potentiels de la résistance du palmier dattier (Phoenix dactylifera L.) au Fusarium oxysporum f. sp. albedinis. Compte rendu du Groupe Polyphénols. J. Nat. Prod. 1992, 16, 346–349. [Google Scholar] [CrossRef]
- El Modafar, C.; Tantaoui, A.; El Boustani, E.-S. Differential induction of phenylalanine ammonia-lyase activity in date palm roots in response to inoculation with Fusarium oxysporum f. sp. albedinis and to elicitation with fungal wall elicitor. J. Plant Physiol. 2001, 158, 715–722. [Google Scholar] [CrossRef]
- Dihazi, A.; Jaiti, F.; Zouine, J.; El Hassni, M.; El Hadrami, I. Effect of salicylic acid on phenolic compounds related to date palm resistance against Fusarium oxysporum f. sp. albedinis. Phytopathol. Mediterr. 2003, 42, 9–16. [Google Scholar]
- Vance, C.P.; Kirk, T.K.; Sherwood, R.T. Lignification as a mechanism of disease resistance. Annu. Rev. Phytopathol. 1980, 18, 259–288. [Google Scholar] [CrossRef]
- Peltier, A.J.; Hatfield, R.D.; Grau, C.R. Soybean stem lignin concentration relates to resistance to Sclerotinia sclerotiorum. Plant Dis. 2009, 93, 149–154. [Google Scholar] [CrossRef]
- Thakur, M.; Sohal, B.S. Elicitation conditions with hydrogen peroxide in Le. Isrn Biochem. 2013, 2013, 10. [Google Scholar]
- Courtois, J. Oligosaccharides from land plants and algae: Production and applications in therapeutics and biotechnology. Curr. Opin. Microbiol. 2009, 12, 261–273. [Google Scholar] [CrossRef]
- González, A.; Castro, J.; Vera, J.; Moenne, A. Seaweed oligosaccharides stimulate plant growth by enhancing carbon and nitrogen assimilation, basal metabolism, and cell division. J. Plant Growth Regul. 2013, 32, 443–448. [Google Scholar] [CrossRef]
- Akimoto, C.; Aoyagi, H.; Tanaka, H. Endogenous elicitor-like effects of alginate on physiological activities of plant cells. Appl. Microbiol. Biotechnol. 1999, 52, 429–436. [Google Scholar] [CrossRef]
- Murphy, T.; Parra, R.; Radman, R.; Roy, I.; Harrop, A.; Dixon, K.; Keshavarz, T. Novel application of oligosaccharides as elicitors for the enhancement of bacitracin: A production in cultures of Bacillus licheniformis. Enzym. Microb. Technol. 2007, 40, 1518–1523. [Google Scholar] [CrossRef]
- Hentati, F.; Pierre, G.; Ursu, A.V.; Vial, C.; Delattre, C.; Abdelkafi, S.; Michaud, P. Rheological investigations of water-soluble polysaccharides from the Tunisian brown seaweed Cystoseira compressa. Food Hydrocoll. 2020, 103, 105631. [Google Scholar] [CrossRef]
- Schierbaum, F. Book Review: Polysaccharides and polyamides in the food industry. Properties, production, and patents. by A. Steinbüchel and S. K. Rhee (Editors). Starch-Stärke 2005, 57, 453. [Google Scholar] [CrossRef]
- Davis, T.A.; Ramirez, M.; Mucci, A.; Larsen, B. Extraction, isolation and cadmium binding of alginate from Sargassum spp. J. Appl. Phycol. 2004, 16, 275–284. [Google Scholar] [CrossRef]
- Blumenkrantz, N.; Asboe-Hansen, G. New method for quantitative determinat of uranic acids. Anal. Biochem. 1973, 54, 484–489. [Google Scholar] [CrossRef]
- Monsigny, M.; Petit, C.; Roche, A.C. Colorimetric determination of neutral sugars by a resorcinol sulfuric acid micromethod. Anal. Biochem. 1988, 175, 525–530. [Google Scholar] [CrossRef]
- Dubois, M.; Gilles, K.; Hamilton, J.K.; Rebers, P.A.; Smith, F. A colorimetric method for the determination of sugars. Nature 1951, 168, 167. [Google Scholar] [CrossRef]
- Bradford, M.M. A rapid and sensitive method for quantitation of microgram quantities of protein utilizing the principle of protein-dye-binding. Anal. Biochem. 1976, 72, 248–254. [Google Scholar] [CrossRef]
- Dodgson, K.S.; Price, R.G. A note on the determination of the ester sulphate content of sulphated polysaccharides. Biochem. J. 1962, 84, 106–110. [Google Scholar] [CrossRef]
- Singleton, V.L.; Orthofer, R.; Lamuela-Raventós, R.M. Analysis of total phenols and other oxidation substrates and antioxidants by means of folin-ciocalteu reagent. Methods Enzymol. 1999, 299, 152–178. [Google Scholar] [CrossRef]
- Liu, H.; Jiang, W.; Bi, Y.; Luo, Y. Postharvest BTH treatment induces resistance of peach (Prunus persica L. cv. Jiubao) fruit to infection by Penicillium expansum and enhances activity of fruit defense mechanisms. Postharvest Biol. Technol. 2005, 35, 263–269. [Google Scholar] [CrossRef]
- Hagen, S.F.; Borge, G.I.A.; Bengtsson, G.B.; Bilger, W.; Berge, A.; Haffner, K.; Solhaug, K.A. Phenolic contents and other health and sensory related properties of apple fruit (Malus domestica Borkh., cv. Aroma): Effect of postharvest UV-B irradiation. Postharvest Biol. Technol. 2007, 45, 1–10. [Google Scholar] [CrossRef]
- Budini, R.; Tonelli, D.; Girotti, S. Analysis of total phenols ssing the prussian blue method. J. Agric. Food Chem. 1980, 28, 1236–1238. [Google Scholar] [CrossRef]
Sample Availability: Samples of the compounds alginates (BBSA and FSSA) are available from the authors. |




| Simples | Extraction Yield (% w/w) | Total Sugar (% w/w) | Uronic Acids (% w/w) | Neutral Sugar (% w/w) | Sulfates (% w/w) | Proteins (% w/w) | Phenolic Compounds (% w/w) |
|---|---|---|---|---|---|---|---|
| FSSA | 25 ± 0.21 | 50.46 ± 0.35 | 52.79 ± 0.15 | 16.12 ± 0.71 | 1.91 ± 0.15 | Traces * | Traces * |
| BBSA | 24 ± 0.12 | 48.61 ± 0.45 | 58.44 ± 0.55 | 18.25 ± 0.85 | 1.78 ± 0.23 | Traces * | 6.44 ± 0.02 |
| Samples | Mwa(g/mol) | Frequencies of Structural Blocks b | ||||||
|---|---|---|---|---|---|---|---|---|
| FM | FG | M/G | FMM | FGG | FMG | FGM | ||
| BBSA | 22 × 104 | 0.32 | 0.68 | 0.47 | 0.09 | 0.45 | 0.23 | 0.23 |
| FSSA | 22.5 × 104 | 0.48 | 0.52 | 0.92 | 0.33 | 0.37 | 0.15 | 0.15 |
© 2020 by the authors. Licensee MDPI, Basel, Switzerland. This article is an open access article distributed under the terms and conditions of the Creative Commons Attribution (CC BY) license (http://creativecommons.org/licenses/by/4.0/).
Share and Cite
Bouissil, S.; El Alaoui-Talibi, Z.; Pierre, G.; Michaud, P.; El Modafar, C.; Delattre, C. Use of Alginate Extracted from Moroccan Brown Algae to Stimulate Natural Defense in Date Palm Roots. Molecules 2020, 25, 720. https://doi.org/10.3390/molecules25030720
Bouissil S, El Alaoui-Talibi Z, Pierre G, Michaud P, El Modafar C, Delattre C. Use of Alginate Extracted from Moroccan Brown Algae to Stimulate Natural Defense in Date Palm Roots. Molecules. 2020; 25(3):720. https://doi.org/10.3390/molecules25030720
Chicago/Turabian StyleBouissil, Soukaina, Zainab El Alaoui-Talibi, Guillaume Pierre, Philippe Michaud, Cherkaoui El Modafar, and Cedric Delattre. 2020. "Use of Alginate Extracted from Moroccan Brown Algae to Stimulate Natural Defense in Date Palm Roots" Molecules 25, no. 3: 720. https://doi.org/10.3390/molecules25030720
APA StyleBouissil, S., El Alaoui-Talibi, Z., Pierre, G., Michaud, P., El Modafar, C., & Delattre, C. (2020). Use of Alginate Extracted from Moroccan Brown Algae to Stimulate Natural Defense in Date Palm Roots. Molecules, 25(3), 720. https://doi.org/10.3390/molecules25030720

