Abstract
This work reviews the new isolated cembranoid derivatives from species of the genera Sarcophyton, Sinularia, and Lobophytum as well as their biological properties, during 2016–2018. The compilation permitted to conclude that much more new cembranoid diterpenes were found in the soft corals of the genus Sarcophyton than in those belonging to the genera Lobophytum or Sinularia. Beyond the chemical composition, the biological properties were also reviewed, namely anti-microbial against several Gram-positive and Gram-negative bacteria and fungi, anti-inflammatory and anti-tumoral against several types of cancer cells. In spite of the biological activities detected in almost all samples, there is a remarkable diversity in the results which may be attributed to the chemical variability that needs to be deepened in order to develop new molecules with potential application in medicine.
1. Introduction
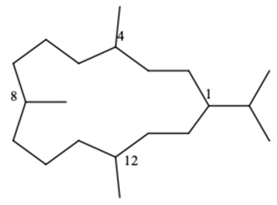
The cembrane skeleton is isoprenoid and consists of a fourteen-membered carbocyclic ring with an isopropyl residue at position 1 and three methyl groups at positions 4, 8, and 12 (Figure 1). The basic structure of this diterpene usually presents cyclic ether, lactone, or furan moieties around the macrocyclic ring. There are also cembranoids variants which contain a 12 or 13-membered carbon skeleton [1,2,3].
Figure 1.
Cembrane skeleton.
In nature, this class of diterpenoids has been found in marine invertebrates, lower and higher plants, insects (termites), and even paracloacal glands of Chinese male alligators (Alligator sinensis) [4,5]. Cembranoids from marine invertebrates are particularly isolated from soft corals of the genera Sinularia, Lobophytum, Eunicea, Clavularia, and Sarcophyton, and from the gorgonian octocorals, mainly of the genera Pseudopterogorgia, Leptogorgia, and Lophogorgia [1,6,7].
Soft corals (phylum, Cnidaria; class, Anthozoa; subclass, Octocorallia; order, Alcyonaceae; family, Alcyoniidae) have been the target of study since the nineteenth century. The subclass Octocorallia includes soft corals, gorgonians, and sea pens. Most soft corals belong to the order Alcyonacea that comprises several families, including Alcyoniidae. This family contains the genera Sarcophyton, Sinularia, and Lobophytum [8]. Soft corals are found in Indo Pacific reefs whereas Gorgonian octocorals dominate the biomass in coral reef environments of the north-western Atlantic Ocean and in the Caribbean Sea [7].
In nature, cembranoids may act as chemical defense compounds against fish predators and/or competing for reef organisms, bacteria, parasites, to ensure their protection and survival [7,9]. Multiple in vitro biological properties of cembranoids of marine origin have been reported such as anti-inflammatory, anti-tumoral, anti-bacterial, anti-viral, neuroprotective, antiarthritic, calcium-antagonistic, and cytotoxic [9,10]. This is the first step for the in vivo assays which will determine whether or not they constitute potential therapeutic agents.
Yang et al. [10] review all the metabolites of cembrane diterpenes either from terrestrial or marine organisms up to 2010. They were divided into several different families according to the variety of ring sizes, oxidation patterns, and the respective biological activities. Several other reviews have been made regarding new compounds and their biological activities. These compounds have been isolated from marine microorganisms and phytoplankton, green, brown and red algae, sponges, cnidarians, bryozoans, mollusks, tunicates, echinoderms, mangroves and other intertidal plants, from 2013 until 2017 [11,12,13,14]. Marine invertebrates isolated from soft corals of the genera Sinularia, Lobophytum, Eunicea, and Sarcophyton are also included in these reviews.
Liang and Guo [15], in a review on the terpenes from the soft coral of the genus Sarcophyton (S. elegans, S. glaucum, S. ehrenbergi, S. trocheliophorum, S. molle, S. mililatensis, S. crassocaule, S. latum, S. cherbonnieri, S. stolidotum, S. tortuosum, S. infundibuliforme, S. flexuosum, S. solidum, and some undefined species) from different geographical origins, reported 165 diterpenes, 29 biscembranoids, among other terpene compounds, during the period 1995–July 2011. Some of these compounds possessed biological properties.
The present work will review the new cembranoid diterpenes isolated from species belonging to the family Alcyoniidae, which contains the genera Sarcophyton, Sinularia, and Lobophytum as well as their biological properties, since 2016. For this review, only the Web of Science was used as a database for research by utilizing the keywords cembrane, and cembranoid.
2. Chemical Structure of Cembranoids from Marine Origin
According to Rodríguez et al. [16], the cembrane skeleton of marine origin is derived from the cyclization of geranylgeranyl pyrophosphate. This hypothesis is based on the fact that the double bonds of the cembrane skeleton have the geometry E which is observed in geranylgeraniol.
Cembrane diterpenoids have diverse structural variations with a multitude of functional groups (lactone, epoxide, furan, ester, aldehyde, hydroxyl, carboxyl moieties) and cyclizations, which permit to group them in several families [10,17]. According to the review of Yang et al. [10], the cembrane-type diterpenoids may be classified as depicted in Table 1.
Table 1.
Classification of cembrane diterpenoids.
Cembranolides possess a 14-membered carbocyclic nucleus, generally fused to a 5-, 6-, 7-, or 8-membered lactone ring. Furanocembranoids possess a 14-membered carbocyclic nucleus as well as a furan heterocycle. They also have a butenolide moiety involving C-10–C-12, and C-20. Biscembranoids possess a 14-6-14 membered tricyclic backbone of tetraterpenoids [10]. The structure of polymaxenolide (13) comprises a 14-membered cembranoid skeleton linked via a spiro ring system, to an africanane skeleton (Table 1) [18].
There are also the polycyclic norcembranoid diterpenes, rare and found exclusively in soft corals of the genus Sinularia. These diterpenes are within the family of furanecembranoids which lack a C-18 carbon substituent in comparison with C20-cembranoids. They co-occur with 14-membered macrocyclic norcembranoids with a furan heterocycle in which also lacks a C-18 carbon substituent [19]. The mechanisms leading to the occurrence of norcembranoid diterpenes are not well understood but they may include the production of anionic and radical intermediates along with competitive transannular carbon-to-carbon bond-forming reactions. However, these are only proposals that, according to the authors [19], must be validated in forthcoming biosynthetic studies.
The extraction of cembranoid diterpenes was generally made with organic solvents (acetone, chloroform, ethanol, ethyl acetate, methanol, and methylene chloride) by maceration (Table 2, Table 3 and Table 4), followed by the concentration under vacuum. Afterwards, the residue is partitioned between pairs of solvents and further column chromatography eluting with a gradient of solvents with increasing polarity. Different fractions originate the cembranoid compounds, which can be subjected to semi- or preparative HPLC (high performance liquid chromatography). The identification of compounds is generally made through 1H-NMR (proton nuclear magnetic resonance), 13C-NMR (Carbon-13 nuclear magnetic resonance), one dimensional and two dimensional nuclear magnetic resonance (1D-NMR and 2D-NMR) including 1H-1H COSY, HMQC, HMBC, and NOESY spectra (Correlation Spectroscopy, Heteronuclear Multiple-Quantum Correlation, Heteronuclear Multiple-Bond Correlation Spectroscopy, Nuclear Overhauser Effect Spectroscopy, respectively), Time-Dependent Density Functional Theory Electronic Circular Dichroism (TDDFT/ECD), Density Functional Theory (DFT)/NMR calculations, FTIR (Fourier-transform infrared spectrosocopy), single crystal X-ray diffraction, and LC-MS-IT-TOF (liquid chromatography–mass spectrometry-ion trap-time-of-flight) [9,20,21,22,23,24,25,26,27,28,29,30,31,32,33,34,35,36,37,38,39,40,41,42,43,44,45,46,47,48,49,50,51,52,53,54,55,56,57].
Table 2.
Harvesting locations of the soft corals of the genus Sarcophyton, extraction solvent, new compounds identified and their biological properties.
Table 3.
Harvesting locations of the soft corals of the genus Sinularia, extraction solvent, new compounds identified and their biological properties.
Table 4.
Harvesting locations of the soft corals of the genus Lobophytum, extraction solvent, new compounds identified and their biological properties.
The review upon the source, chemistry and bioactivities of new cembrane diterpenes from marine organisms, since 2016 (27 works) (Table 2, Table 3 and Table 4) revealed that the most important sources of cembrane derivatives found in that period were coming from the genus Sarcophyton (14 works), Sinalarina (8 works) and Lobophytum (5 works). There is still one work in which the authors did not isolate new cembrane compounds but they checked the biological properties of the crude methanolic extract of Lobophytum crassum from the coast of Madagascar [24]. In other work, Al-Footy et al. [52] reported that among diverse secondary metabolites isolated from the soft coral Lobophytum sp. collected off the Red Sea Coast, in Jeddah, Saudi Arabia, only the known cembrane diterpenoid (cembrene A) had an antibacterial activity against several Gram-positive and Gram-negative microorganisms. For this reason, the brief review aims at identifying the new compounds found in those species belonging to these genera, during that period.
3. New Cembrane Derivatives from the Genus Sarcophyton
The genus Sarcophyton presents a large number of species. Many of these species have been chemically examined. Some examples of groups of compounds include sesquiterpenes, diterpenes, diterpene dimers, prostaglandins, steroids, and ceramides, which have been extensively reviewed [10,11,12,13,14,15,17,58]. Among those metabolites, terpenes are the most frequently detected, possessing many biological properties (anti-inflammatory, anti-viral, anti-fouling, cytotoxic, neuroprotective) according to the review made by Yang et al. [10].
Fourteen works regarding new cembranoid diterpenes from the genus Sarcophyton (S. cherbonnieri, S. ehrenbergi, S. elegans, S. stellatum, S. subviride, and S. trocheliophorum) were found during the last three years. These species of soft corals were collected at several places: seven samples in the South China Sea (one Sarcophyton sp., one S. ehrenbergi, one S. elegans, one S. stellatum, one S. subviride and two S. trocheliophorum); two samples of Sarcophyton sp. in the Celebes Sea; one sample of S. stellatum in the Indian Ocean; one sample of S. cherbonnieri in the Philippine Sea; and three samples collected in the Red Sea Coast (one S. ehrenbergi and two S. trocheliophorum) (Table 2).
There is a work in which the isolation and identification of metabolites were not performed. Only the antimicrobial and cytotoxicity activities of extracts of two soft corals (Lobophytum microlobulatum, Sarcophyton auritum), three seaweeds (Caulerpa racemosa, Caulerpa sertularioides, Kappaphycus alvarezii), and a marine sponge (Spheciospongia vagabunda) collected from Malaysian coast were determined. Hexane extract of Sarcophyton auritum exhibited strong fungicidal activity against dimorphic yeast Cryptococcus neoformans, with minimal inhibitory concentration (MIC) and minimum fungicidal concentration (MFC) values of 0.04 mg/mL (in both). The ethyl acetate extract of S. auritum showed strong inhibition on the cytopathic effect induced by the Chikungunya virus (a re-emerging mosquito-borne virus) with 50% effective concentrations of 176.6 +/− 9.7 mu g/mL. According to Chan et al. [59], extracts from the two soft corals (L. microlobulatum and S. auritum) possessed stronger antimicrobial activity than the seaweeds and the sponge.
Beyond the publications regarding the discovery of new cembrane diterpenoids in the genus Sarcophyton as well as their biological properties, three other publications with distinct approaches were found. One of them aimed at examining the effect of oxylipin analogues [prostaglandin E1 (PG-E1), methyl jasmonate, and arachidonic acid in addition to the geranylgeranylpyrophosphate] and wounding on the secondary metabolism of the soft corals Sarcophyton glaucum and Lobophyton pauciflorum [60]. According to the authors, the PG-E1 was more effective for upregulating campestene-triol and a cembranoid than methyl jasmonate in the soft corals Sarcophyton glaucum. In addition, the effect of the elicitors in Lobophyton pauciflorum was poorer than that in Sarcophyton glaucum [60]. The second one applied the quantitative NMR (qNMR) for assessing the diterpene variation in 16 soft coral specimens in the context of their genotype, origin, and growing habitat. The study revealed higher diterpene amounts in Sarcophyton sp. than in Sinularia or Lobophyton [29]. In their publication, Farag et al. [29] reported the metabolite profile of the soft coral genus Sarcophyton in different habitats along the coastal Egyptian Red Sea, was performed through 1H-NMR and ultra-performance liquid chromatography-mass spectrometry (UPLC-MS). At the same time, the authors compared the metabolite profile of these wild soft corals with those growing in aquarium. Generally, wild soft corals presented more bioactive compounds than aquarium grown ones. This discrepancy found between wild and aquarium grown corals were attributed, by the authors, to the lack of necessity for producing compounds acting as defenses against predators absent in tanks.
The large-scale metabolomics analyses were made for the first time in 16 Sarcophyton species, comparing MS (mass spectra) and NMR results. The metabolomic fingerprinting and profiling of those soft coral extracts were made through 1D and 2D-NMR without any preliminary chromatographic assay. In parallel to the chromatographic mass spectrometry techniques, permitted to identify 120 metabolites including 65 diterpenes, 8 sesquiterpenes, 18 sterols, and 15 oxylipids. The authors have used statistical multivariate analyses such as principal component analysis (PCA) and orthogonal projection to latent structures-discriminant analysis (OPLS-DA) for samples classification [30]. In the same work, they concluded that UPLC-MS (ultra-performance liquid chromatography-mass spectrometry) revealed to be better tool for a compound based classification of coral species than NMR technique. However, NMR or UPLC−MS data sets were likewise effective in foreseeing the species origin of unknown Sarcophyton after applying PCA [30].
Kamada et al. [21] from a Malaysian specimen of Sarcophyton sp., collected at the Karah Island (West Malaysia), isolated, identified and evaluated the antibacterial activity of 16-hydroxy-cembra-1,3,7,11-tetraene (15) (Figure 2), a new cembrane, along with the known cembrane diterpenes 15-hydroxycembra-1,3,7,11-tetraene (16), sarcophine (17), and sarcophytoxide (18). The antimicrobial activity of all compounds was assayed against antibiotic resistant clinical bacterial strains Staphylococcus aureus and Escherichia coli. Only the new compound presented inhibition against Staphylococcus aureus. Its MBC (Minimum Bactericidal Concentration) and MIC (Minimum Inhibitory Concentration) were 75 and 25 μg/mL, respectively [21].
Figure 2.
Cembranoid diterpenes isolated from Sarcophyton sp., collected at the Karah Island (West Malaysia) [21].
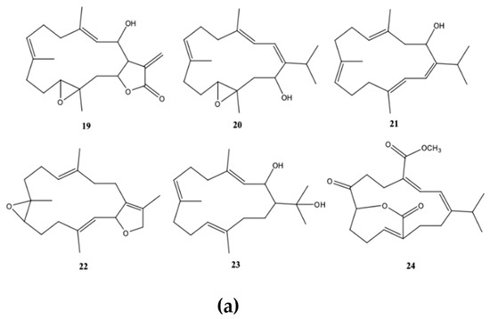
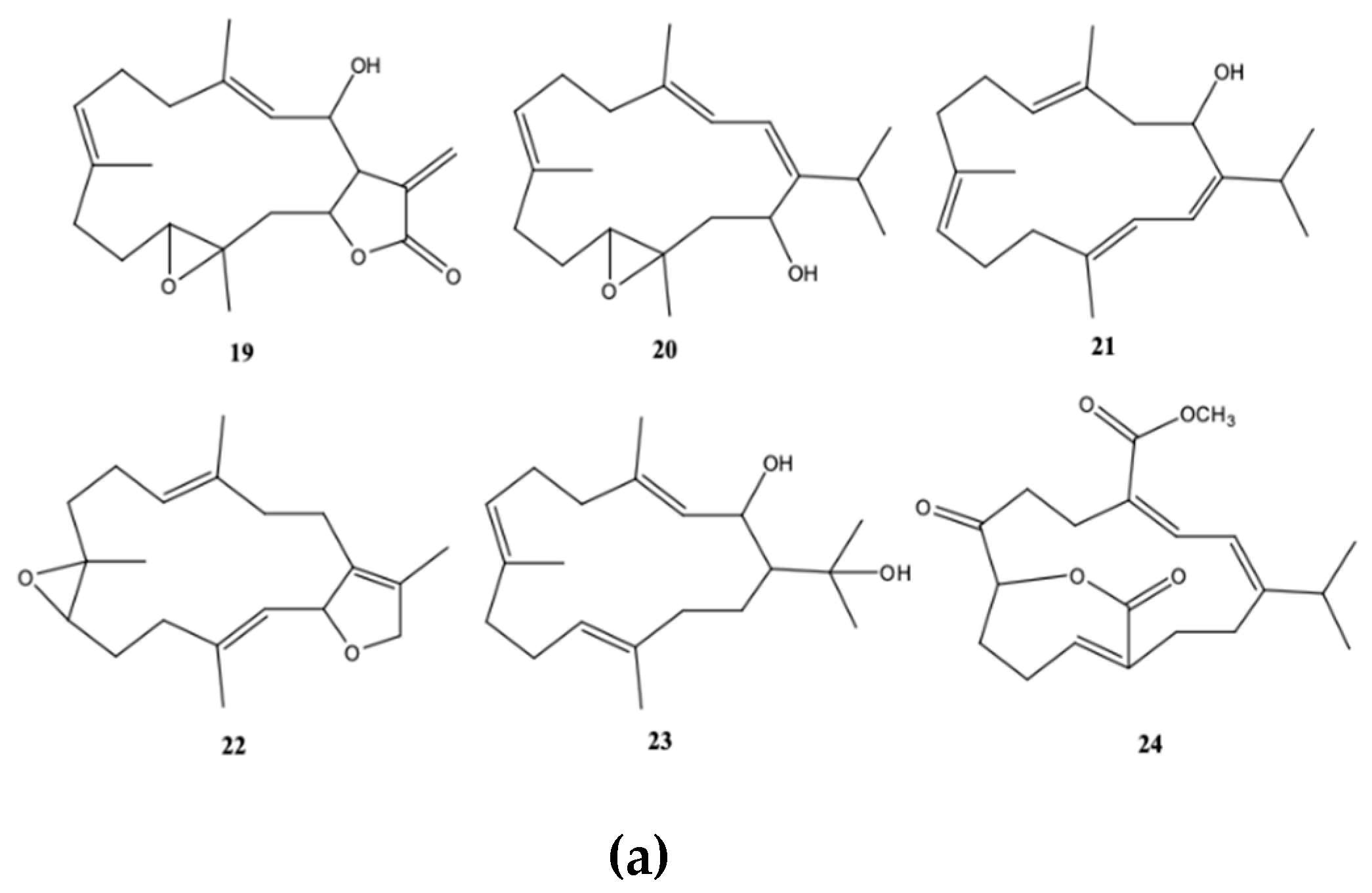
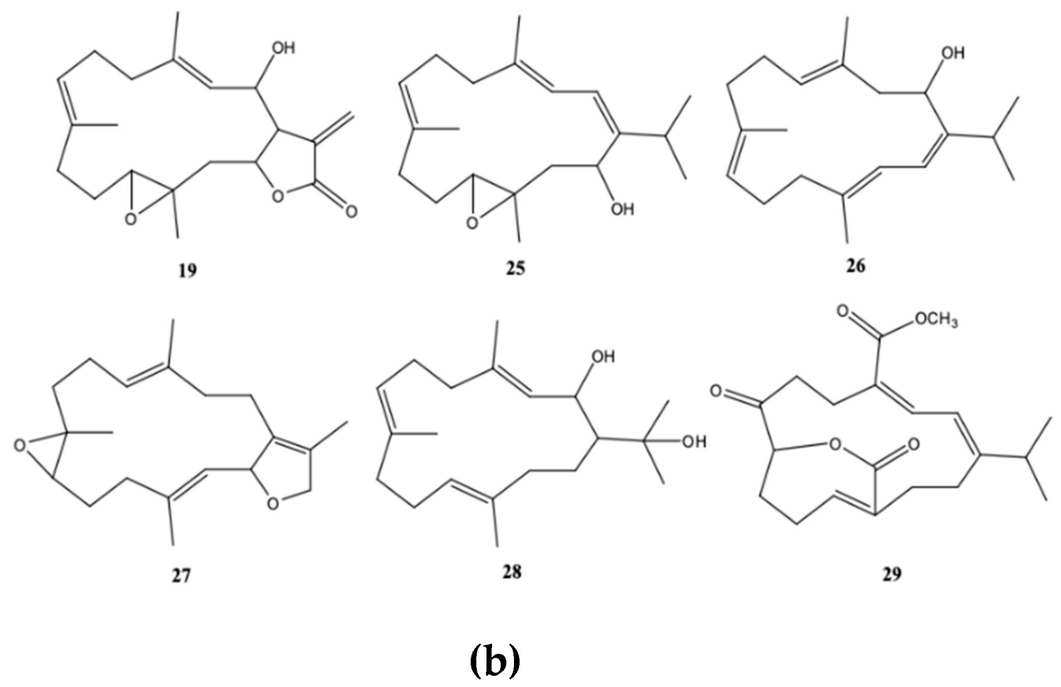
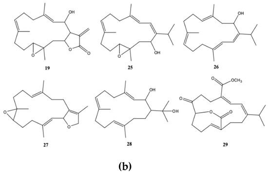
From dominant soft coral species of the genus Sarcophyton sp. on the reef at Mahengetang Island (Indonesia), Januar et al. [31] isolated a new compound 2-hydroxy-crassocolide E (19) alongside with 5 known cembranoid compounds sarcophytoxide (20), sarcrassin E (21), 3,7,11-cembretriene-2,15-diol (22), 11,12-epoxy-sarcophytol A (23), and sarcophytol A (24) (Figure 3a). However, and according to the structures presented by the authors, the known cembranoid compounds should be, by the same order, 11,12-epoxysarcophytol A (25), sarcophytol A (26), sarcophytoxide (27), 3,7,11-cembretriene-2,15-diol (28), and sarcrassin E (29) (Figure 3b). All compounds inhibited the growth of human breast tumor cell lines MCF-7, being the IG50 (inhibition growth 50) value of 18.3 ppm for the new compound [31].

Figure 3.
Cembranoid diterpenes isolated from Sarcophyton sp. on the reef at Mahengetang Island (Indonesia) [31]. (a) The names are attributed according to the authors: sarcophytoxide (20), sarcrassin E (21), 3,7,11-cembretriene-2,15-diol (22), 11,12-epoxy-sarcophytol A (23), and sarcophytol A (24); (b) names attributed to the literature (11,12-epoxysarcophytol A (25), sarcophytol A (26), sarcophytoxide (27), 3,7,11-cembretriene-2,15-diol (28), and sarcrassin E (29).
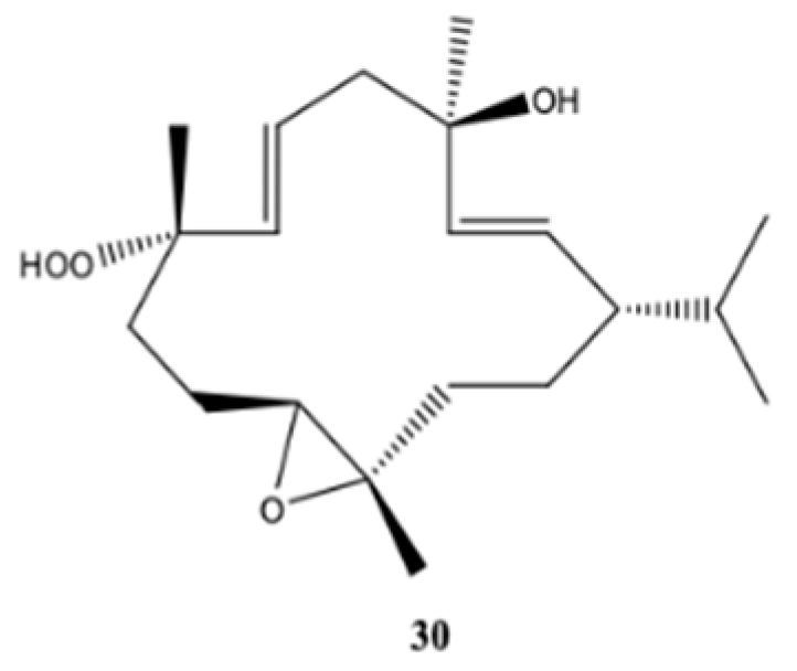
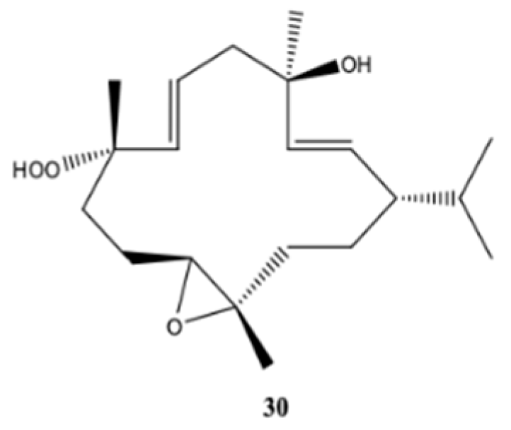
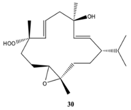
Kamada et al. [32] isolated and identified one new cembrane diterpene, 1S,2E,4R,6E,8S,11S,12S)-11,12-epoxy-8-hydroperoxy-4-hydroxy-2,6-cembradiene (30) (Figure 4), from a population of soft coral genus Sarcophyton sp. collected from the coastal waters Bohey Dulang, Sabah, Malaysia. This compound did not exhibit cytotoxic activity against human promyelocytic leukemia cells (HL-60) (IC50 > 30 μg/mL). The same compound was not able to prevent the accumulation of nitric oxide (NO), prostaglandin E2 (PGE2) and pro-inflammatory cytokines (TNF-α, IL-1β and IL-6) in lipopolysaccharide (LPS)-induced mouse leukaemic monocyte macrophage (RAW 264.7 cells), that is, it did not possess anti-inflammatory activity. In contrast, the new compound showed strong activity against the seaweed pathogens Alteromonas sp., Cytophaga-Flavobacterium and Vibrio sp. [32].
Figure 4.
New cembranoid diterpene isolated from Sarcophyton sp. collected from the coastal waters Bohey Dulang, Sabah, Malaysia [32].
The chemical composition and biological properties of S. ehrenbergi from the South China Sea were studied by [27]. This study led to the isolation and identification of eight cembrane diterpenoids, including the five new sarcophytonoxides A–E (31–35), and three known ones, (2S,11R,12R)-isosarcophytoxide (36), (+)-isosarcophine (37), and 8-hydroxyisosarcophytoxide-6-ene (38) (Figure 5). All cembranoids were inactive (IC50 > 25 μM) against the human ovarian cancer cell line A2780 [27].
Figure 5.
Cembranoid diterpenes isolated from S. ehrenbergi, from the Red Sea and South China Sea [20,27].
Sarcoehrenbergilid A–C (39–41), three new cembane diterpenoids, along with two known cembrane diterpenoids, sarcophine (17), (+)-7α,8β-dihydroxydeepoxysarcophine (42) (Figure 5), among other terpenoids, were isolated and characterized from the Red Sea soft coral S. ehrenbergi [20]. Cytotoxic activity of cembrane diterpenoids was performed using three human tumor cell lines (lung or A549; colon or Caco-2; and liver or HepG2). The compounds (39), (41), (42), and the non-cembrane diterpenoids sinulolide A and sinulolide B were moderately active against A549 and HepG2, with IC50 = 43.6 − 98.6 μM [20].
From the South China Sea coral S. elegans, Li et al. [22] isolated two novel biscembranoids, sarelengans A (43) and B (44), five new cembranoids, sarelengans C–G (45–49) (Figure 6), along with the two known cembranoids sartrolide E (50) and sarcophelegan B (51). The two novel biscembranoids had a trans-fused A/B-ring conjunction between the two cembranoid unities, in contrast to all biscembranoids. Such finding led the authors to hypothesize an unusual biosynthetic pathway of these compounds [22]. Sarelengans B (44) and C (45) had moderate inhibitory activity against the lipopolysaccharide (LPS)-induced nitric oxide (NO) production in RAW264.7 macrophages. Their half maximal inhibitory concentration (IC50) values were 18.2 and 32.5 μM, respectively.
Figure 6.
Biscembranoids and cembranoid diterpenes isolated from Sarcophyton elegans, collected at Xisha Islands in the South China Sea [22].
From the ethyl acetate extract of S. stellatum, collected along the Coast of Dongsha Atoll, Taiwan, in the north of the South China Sea, Ahmed et al. [33] isolated and identified six the new polyoxygenated cembrane-based diterpenoids stellatumolides A-C (52–54), stellatumonins A (55) and B (56), and stellatumonone (57) (Figure 7) together with two known related cembrane compounds but isolated for the first time from a natural source [hydroperoxyde obtained by autoxidation of dihydrofuranocembranoid (58) and 7β-acetoxy-8α-hydroxydeepoxy-sarcophyne (59)], and eight known related compounds [sarsolilide (60), (+)-sarcophine (61), laevigatol (62), sarcophytonin E (63), sarcophytonin C (64), 17-hydroxycarcophytoxide (65), 7β,8α-dihydroxydeepoxy-ent-sarcophine (66), and crassumol A (67)]. Only (61) showed anti-inflammatory activity by reducing the expression of cyclooxygenase-2 (COX-2) at 25–100 μM, and inducible nitric oxide synthase (iNOS) in LPS-stimulated RAW264.7 cells, at 50 and 100 μM. (+)-Sarcophine (61) were even better nonselective COX-2 inhibitor than ibuprofen and aspirin, but less effective than the selective COX-2 inhibitor celecoxib [33]. The compounds isolated were not cytotoxic against the human hepatocellular liver carcinoma (HepG2), human breast cancer (MDA-MB231), and human lung adenocarcinoma (A549) cell lines (IC50 > 20 μg/mL) [33].
Figure 7.
Cembranoid diterpenes isolated from S. stellatum, from the coast of Dongsha Atoll, Taiwan [33] and coast of Madagascar [24].
Rahelivao et al. [24] investigated three soft corals (S. stellatum, Capnella fungiformis and Lobophytum crassum) and the sponge Pseudoceratina arabica from the coast of Madagascar (Indian Ocean). Concerning S. stellatum, the authors reported a new (+)-enantiomer of the cembranoid (1E, 3E)-7,8-epoxycembra-1,3,11,15-tetraene (68) produced by this organism. More three cembranoids were isolated and identified, by the authors, from S. stellatum: (+)-(7S,8S)-epoxy-7,8-dihydrocembrene C (69), (+)-(7R,8R,14S,1Z,3E,11E)-14-acetoxy-7,8- epoxycembra-1,3,11-triene (70), and (−)-(2R,7R,8R)-sarcophytoxide (71) (Figure 7). The biological properties, particularly antiplasmodial activity against the FCM29 strains of Plasmodium falciparum and antimicrobial was only studied with some extracts of the sponge Pseudoceratina arabica. Only the methanolic extract of S. stellatum, was biologically evaluated against P. falciparum. It presented only a moderate inhibition activity (IC50 = 35.20 μg/mL) [24].
Two new biscembranoid-like compounds were obtained from the soft coral Sarcophyton subviride from the coast of Xisha, Hainan Province (China) [26]. They were bissubvilides A (72) and B (73) (Figure 8), that resulted from a Diels-Alder cycloaddition of two cembrane monomers. These compounds did not present any cytotoxic activity against human osteosarcoma MG-63 (IC50 > 30 μM) or A549 lung cancer (IC50 > 25 μM) cells or Huh7 human hepatology cancer stem cells (IC50 > 50 μM). Sarsolilide (60) was also detected in the soft coral Sarcophyton subviride from the coast of Xisha [26].
Figure 8.
Biscembranoid-like compounds, bissubvilides A (72) and B (73) from the soft coral Sarcophyton subviride.
The antimicrobial activity of two new cembranoid diterpenes [sarcotrocheldiol A (74) and B (75)] and one new tetracyclic biscembrane hydrocarbon [trocheliane (76)] (Figure 9) isolated from the Red Sea soft coral Sarcophyton trocheliophorum was evaluated by Zubair et al. [28]. Along with this new compounds, the known diterpene cembrene C (77) was also isolated and identified from the same natural source. Trocheliane (76) was active against the two multidrug-resistant bacteria Acinobacter baumannii and Staphylococcus aureus. The MIC of this compound ranged from 4 to 6 μM for all the tested bacteria (A. baumannii, S. aureus, S. epidermidis, Streptococcus pneumoniae, Escherichia coli, Klebsiella pneumonia, and Pseudomonas aeruginosa) [28].
Figure 9.
Cembranoid diterpenes isolated from S. trocheliophorum, from the Red Sea and South China Sea [23,25,28,34].
Along with the known compounds sarcotrocheliol acetate (78), (+)-sarcophytol A (79), and (−)-sarcophytonin A (80) (Figure 9), Shaaban et al. [25] isolated and identified 9-hydroxy-10,11-dehydro-sarcotrocheliol (81), a new pyrane-based cembranoid diterpene, from the organic extract of the Red Sea soft coral S. trocheliophorum. All compounds isolated by the authors from the soft coral S. trocheliophorum did not possess any antimicrobial activity towards Bacillus subtilis, S. aureus, Streptomyces viridochromogenes (Tü 57), Escherichia coli, Candida albicans, Mucor miehei, Chlorella vulgaris, Chlorella sorokiniana, Scenedesmus subspicatus, Rhizoctonia solani, and Pythium ultimum, at 40 μg per disk. The cytotoxicity of the four compounds against brine shrimp was also absent [25].
Nine new cembranoids, sarcophytrols M–U (82–90) (Figure 9), were isolated from the South China Sea soft coral S. trocheliophorum, along with one already known. Such new compounds possess diverse types of cyclized rings: furan rings in sarcophytrols M-P (82–85), pyran rings in sarcophytrols, oxepane, and peroxyl rings in sarcophytrols T (89) and U (90), respectively. Sarcophytrols R (87) and S (88) had a rare bicyclic skeleton of the decaryiol-type, as reported for the first time for the same genus of soft coral S. decaryi [23]. The bioassay for evaluating the capacity for inhibiting human protein tyrosinase phosphatase 1B (PTP1B) enzyme, important for the treatment of type-2 diabetes and obesity, all compounds isolated from the soft coral S. trocheliophorum did not provide positive results. Cytotoxicity against the human tumor cell lines HL-60 (Human promyelocytic leukemia cells) and K-562 (human erythroleukemia cells), as well as the antibacterial activity of the same compounds against P. aeruginosa also revealed negative [23]. Later on, the authors isolated and identified highly oxidative new cembranoids with dienoate moieties [sarcophytonolides S-U (91–93)] or an α,β-unsaturated ε-lactone [sartrolides H-J (94–96)] (Figure 9) from the soft coral S. trocheliophorum collected in the same region (Yalong Bay, Hainan Province, South China Sea), along with seven known related analogues [deacetylemblide (97), 4Z,12Z,14E-sarcophytolide (98), sarcrassin D (99), emblide (100), sarcophytonolide A (101), (E,E,E)-7,8-epoxy-l-isopropyl-4,8,12-trimethylcyclotetradeca -l,3,11-triene (102), and (4Z,8S,9R,12E,14E)-9-hydroxy-1-isopropyl-8,12-dimethyl-oxabicyclo [9.3.2]- hexadeca-4,12,14-trien-18-one (103)] [34]. Sartrolide H (94) and 4Z,12Z,14E-sarcophytolide (98) had moderate inhibitory activity against protein tyrosine phosphatase 1B (key target for the treatment of type-II diabetes and obesity) with IC50 = 19.9 and 15.4 μM, respectively, significantly less than the positive control, oleanolic acid (IC50 = 2.6 μM). 4Z,12Z,14E-Sarcophytolide (98) had also moderate inhibitory activity against Staphylococcus aureus Newman strain (MIC50 = 250 μM), less than the positive control, fosfomycin (MIC50 = 137.4 μM) [34].
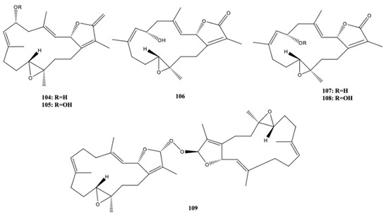
Six new cembranoids, cherbonolides A–E (104–108) and bischerbolide peroxide (109) (Figure 10) were isolated from the Formosan soft coral S. cherbonnieri, along with one known cembranoid, isosarcophine (37) (Figure 5). All compounds exhibited the capacity for inhibiting the production of superoxide anions and elastase release in N-formyl-methionyl-leucyl-phenylalanine/cytochalasin B (fMLF/CB)-induced human neutrophils, that is, they possessed anti-inflammatory activity. Bischerbolide peroxide (109) exhibited the highest capacity for inhibiting the generation of superoxide anions (IC50 = 26.2 μM), but moderate activity on elastase release at the same concentration along with 104 and 106, at 30 μM [35].
Figure 10.
New cembranoid diterpene isolated from S. cherbonnieri from the Jihui Fish Port, Taiwan (Philippine Sea) [35].
4. New Cembrane Derivatives from the Genus Sinularia
Soft coral Sinularia consists of more than 150 species [36]. As aforementioned for Sarcophyton sp., reviews have also been made regarding the discovery of new compounds and their biological activities up to 2016 [11,12,13,14,17]. During the period 2016-2017, only three publications could be found in the Web of Science utilizing the words cembrane, cembranoid, and Sinularia (one study in 2016 [37] and two studies in 2017 [38,39]), whereas in the first half of 2018 seven publications could be found using the same database [40,41,42,43,44,45,46]. The species reported in eight works included one S. erecta, one S. compacta, two Sinularia sp., and four S. flexilibis, all of them from the South China Sea (Table 3). In addition, there are other works in which one of them was focused on the biological activity of sinularin extracted from marine soft corals (S. flexibilis and S. manaarensis) [40] and the other one identified five cembranoid diterpenes (isosinulaflexiolide K, sinulaflexiolide K, sandensolide, sinularin, and dendronpholide F) obtained from cultured soft coral S. flexibilis [41] but without any biological activity determination. The anti-breast cancer activity (SKBR3 and MDA-MB-231 cells) of sinularin extracted from marine soft corals (S. flexibilis and S. manaarensis) were detected by [40], nevertheless, it was almost non-toxic against breast normal (M10) cells, at least after 24 h treatment. On the SKBR3 cells, the mechanisms involved on the anticancer activity included the induction of the G2/M cycle arrest, apoptosis of cells, and oxidative stress and DNA damage, as well as the pancaspase activity, and activation of poly(ADP-ribose) polymerase (PARP), and caspases 3, 8, and 9 [40].
Not only does the sinularin have anticancer activity; but also species of the genus Sinularia are rich in bioactive cembranoids and norcembranoids [37]. These authors reported for the first time two new norcembranoids [sinulerectol A (110) and B (111)] (Figure 11), a new cembranoid [sinulerectol C (112)] and a new degraded cembranoid sinulerectadione (113), alongside some known isoprenoids [norcembrene, sinularectin (114) and ineleganolide (115)] and an unnamed norcembrene (116) isolated from an extract of the marine soft coral Sinularia erecta from South China Sea (off the coast of Dongsha Atoll) [37]. Sinulerectadione (113) exhibited inhibitory activity against myelogenous leukemia (K-562) and acute lymphoblastic leukemia (MOLT-4) cell lines with IC50 values of 8.6 and 9.7 μM, respectively, whereas sinulerectol C (112) was effective against MOLT-4 cell lines (9.2 μM). The anti-inflammatory activity of 110 and 111 on neutrophil pro-inflammatory responses was potent when evaluated by measuring the capacity for suppressing formyl-Met-Leu-Phe/cytochalasin B (fMLP/CB)-induced superoxide anion generation (IC50 = 0.9 and 3.8 μM, respectively) and elastase release in human neutrophils (113 and 93% inhibition at the same concentration, respectively) [37].
Figure 11.
Cembranoid diterpene derivatives isolated from Sinularia erecta from South China Sea [37].
In the first report about chemical constituents of S. compacta, Wang et al. [38] reported three new compounds in the genus Sinularia [lobomichaolide (117), michaolide F (118), and 20-acetylsinularolide B (119)], along with more eight compounds already found in the same genus of soft coral [presinularolide B (120), 14-acetoxy-3,4-epoxycembra-7,11,15-trien-17,2-olide (121), sinularolide C (122), 5-epi-sinuleptolide (123), 1-isopropyl-4,8,12-trimethyl-cyclotetradeca-2,4,7,11- -tetraene (124), (1R,4R,2E,7E,11E)-cembra-2,7,11-trien-4-ol (125), sinulariol B (126), and sinulariol D (127)] (Figure 12), all of them are 14-membred cembranoid diterpenes. The first six cembranoid diterpenes possess a α-methylene-γ-lactone moiety, make them cytotoxic, as well as anti-HIV and antituberculosis [43]. However, only 5-epi-sinuleptolide (123) exhibited cytotoxic activity against the tumor cell lines HCT-116 and A-549 (IC50 values of 10.1 and 14.7 μM, respectively). Michaolide (119) and 20-acetylsinularolide (119) were lethal toward brine shrimp Artemia salina with lethal ratios of 90.5% and 90.0%, respectively, at a concentration of 50 μg/mL [38].
Figure 12.
Cembranoid diterpene derivatives isolated from Sinularia compacta from the South China Sea (Tongguling National Nature Reserve of Coral Reefs) [38].
Sinularolide F (128) (Figure 13), a new cembranoid, along with the known denticulatolide (129), isolated from the Bornean Sinularia sp. (Mantanani Island, Sabah) also exhibited anticancer activity against HL60 cell lines (human pro-myelocytic leukemia) by triggering apoptosis [42]. The possible mechanisms involved include the upregulation of Bax (bcl-2-like protein 4), the down regulation of Bcl-xL (B-cell lymphoma-extra-large) and the activation of caspase-3 [42]. Sinularolide F (128) and denticulatolide (129) also had anti-inflammatory activity by inhibiting NO, IL-1β and IL-6. According to the authors the activities found could be attributed to the β-configuration of methyl group at C-8 as well as to the presence of hydroperoxy or peroxy groups also bound to C-8 [42]. Cembranolide (130), (E,E,E)-6,10,14-trimethyl-3-methylene-cis-3,4,5,8,9,12,13,15-octahydrocyclotetradeca[β]furan-2(3H)-one (131).
Figure 13.
Cembranoid diterpene isolated from Sinularia sp. collected in Mantanani Island, Sabah and Yongxing Island, both in the South China Sea [42,43].
Qin et al. [43] identified new sesquiterpenoids and cembranoids in the Xisha soft coral Sinularia sp. Sinulins C (132) and D (133) (Figure 13) were the new cembranoids isolated and identified by the authors. Of the new cembranoids, only sinulin D (133) had mild inhibitory activity against PTP1B (protein tyrosine phosphatase 1B), nevertheless the known cembranoid 5-episinuleptolide (123) (Figure 12) showed activity against HeLa (human cervical epitheloid carcinoma) and HCT-116 (human colon carcinoma) cell lines [43]. Seven known cembranoid diterpenes were also detected in the Xisha soft coral Sinularia sp.: (1R,3S)-cembra-4,7,11,15-tetraen-3-ol (134), (1R,3S,4S,7E,11E)-3,4-epoxycembra-7,11,15-triene (135), norcembrene 5 (136), norcembrenolide C (137), sinularcasbane O (138), scabrolide F (139), and sinuleptolide (140).
ent-Sinuflexibilin D (141) (Figure 14) was a new cembranoid isolated by [44] from a population of Bornean soft coral Sinularia flexibilis, along with seven known compounds, including a sesquirerpene (muurolene) only detected until now in Cistus ladanifer. The new cembranoid together with the known cembranoid diterpenes [14-deoxycrassin (142), sinularin (143), 5-dehydrosinulariolide (144) and 11-epi-sinulariolide acetate (145)] exhibited activity against adult T-cell leukemia (ATL). In addition, (141) and the remaining cembranoid diterpenes were also able to act against the growth of three strains of marine fungi Exophiala sp. NJM 1551, Lagenidium thermophilum IPMB 1401 and Haliphthoros sabahensis IPMB 1402. These microorganisms cause infection in fishes and mangrove crabs, being H. sabahensis a new fungal species described very recently [44].
Figure 14.
Cembranoid diterpene-derivarives from Sinularia flexibilis from the South China Sea (Sanya Bay, Hainan Island; Mantanani Island, Sabah; Megalum Island, Sabah; Yongxing Island, Coast of Liuqiu, Taiwan) [39,44,45,46]. 5-Dehydrosinulariolide and 11-dehydrosinulariolide have the same number, because the chemical structure found in the references is the same for both names.
Cytotoxicity activity of cembranoids isolated from the Taiwanese soft coral S. flexibilis was evaluated by Wu et al. [45]. According to the authors five new cembranoid-related diterpenes [flexibilisins D (146) and E (147), secoflexibilisolides A (148) and B (149), and flexibilisolide H (150)] (Figure 14) were isolated from this soft coral along with nine known compounds. The known 11-dehydrosinulariolide (144) possessed selective cytotoxicity towards P388 (murine leukemia) cell line, and (145) presented remarkable cytotoxicity activity and selectivity on P-388 and HT-29 (human colon carcinoma) cell lines [45]. The new compounds, however, did not exhibit any activity towards these two types of cells since they presented IC50 values over than 40 μM. The anti-inflammatory activity was also determined but only (142) had capacity for inhibiting superoxide anion formation and elastase release in N-formyl-methionyl-leucyl-phenylalanine/cytochalasin B (fMLF/CB)-induced human neutrophils at a concentration of 10 μM [45]. The anti-inflammatory activity of the cembranoids isolated from the S. flexibilis collected off the coast of Yalong bay, Sanya in Hainan province (China) was also evaluated by Zhao et al. [46] through the capacity for inhibiting the LPS-induced NO and TNF-α generation in the RAW264.7 macrophage cells. Sinularin (143) was the best among the compounds isolated by the authors, displaying inhibition percentages higher than 80%, at 10 μM, significantly higher when compared to the new cembranoid diterpenes [sinulaflexiolides L-O (151–154) and ent-sinuflexibilin D (141)] identified by the authors [46].
Seven cembrane diterpenes were isolated from the soft coral of S. flexibilis from China (Sanya Bay, Hainan Island) [epoxycembrane A (155), sinularin (143), sinulariolide (156), (1R,13S,12S,9S,8R,5S,4R)-9-acetoxy-5,8:12,13-diepoxycembr-15(17)-en-16,4-olide (157), 11-dehydrosinulariolide (144), (-)14-deoxycrassin (142), and dihydrosinularin (158)] (Figure 14). Epoxycembrane A (155) was for the first time reported in S. flexibilis [39]. Tributyltin and copper are antifouling largely used in order to deter marine fouling organisms on the surfaces of artificial structures submerged in the sea, but they present some drawbacks particularly due to their adverse environmental impacts [39]. For this reason, several attempts have been made for finding more environmental friendly compounds. Wang et al. [39] assayed the antifouling activity on the larvae of the bryozoan Bugula neritina and the barnacle Balanus albicostatus of all the cembranoid diterpenes isolated from S. flexibilis. With the exception of (143), all remaining ones presented activity, and particularly (142) had the highest antifouling activity against both Bugula neritina and barnacle Balanus albicostatus [the concentrations of the compound that inhibited settlement by 50% relative to the control (EC50) were 3.90 μg/mL and 21.26 μg/mL, respectively], and low toxicity against B. albicostatus larvae [the concentration that originates 50% mortality) (LC50) > 100 μg/mL]. According to the authors [39], the antifouling activity of (142), (144), (155), (157), and (158) was reported for the first time.
5. New Cembrane Derivatives from the Genus Lobophytum
The genus Lobophytum is rich in cembranoids and more than 250 different structures had been isolated from the genus Lobophytum [9]. The number of publications about the structure of new cembranoid diterpenes and/or their biological properties during the period 2016-2018, is as follows: in 2014, three publication in Web of Science, using the terms cembrane, cembranoid, and Lobophytum could be found [46,47,48], as well as in 2015 [49,50,51]), and 2016 [52,53,54]. In 2017, the number of publications was 5 [9,24,55,56,60], whereas until August 2018, only one work was found [57].
During 2016–2018, the most studied of soft coral species was L. crassum, either in terms of biological properties of known cembranoids or research of new cembranoid diterpenes. This species was collected in several places (Table 4). Species L. crassum is well known to produce oxygenated cembranoids. The structural variety of these metabolites is often correlated with geographic variation and environmental conditions [54]. The soft coral L. crassum from the South China Sea was studied by [54] and from this study, the authors isolated and identified nine new cembranoids [locrassumin A (159), B (160), D-G (161-164), (-)-laevigatol B (165), (-)-isosarcophine (166), and (–)-7R,8S-dihydroxydeepoxysarcophytoxide] (167), a diterpene possessing a tetradecahydrobenzo [3,4] cyclobuta [1,2,8] annulene ring system (locrassumin C) (168), and eight known cembranoids [(-)-sarcophytoxide (18), ent-sarcophine (169), sarcophytonolide O (170), sartrolide G (171), emblide (100), sarcrassin D (99), ketoemblide (172), and methyl sarcotroate B (173)] (Figure 15). The anti-inflammatory activity of all compounds was evaluated, after measuring the lipopolysaccharide (LPS)-induced NO (nitric oxide) production in mouse peritoneal macrophages. Compounds (159), (161), (169), (170), and (172) exhibited moderate inhibition against LPS-induced NO production with IC50 values of 8–24 μM (Table 4). The remaining metabolites did not present inhibitory effect (IC50 > 30 μM) [54].

Figure 15.
Cembranoid diterpenes from wild Lobophytum crassum from China (South China Sea and Twain) [9,54,55,56] and from aquaculture L. crassum [57].
The wild soft coral of L. crassum, collected around 8 m off the coast of Pingtung, Taiwan, was isolated and identified two new compounds [lobophyolide A (174) and B (175)], and the known cembranoid diterpenes [16-methoxycarbonyl-cembrene A (176), sinarone (177), sinulariol D (127), 16-acetyl-sinulariol D (178), and (E,E,E)-6,10,14-trimethy-3-methylene-trans-3a,4,7,8,11,12,15,15a-octahydrocy clotetradeca[β]furan-2(3H)-one) (179) (Figure 15) [9]. The anti-inflammatory activity of the cembranoid compounds was evaluated studying the effect of these compounds on the LPS-induced interleukin 12 (IL-12) release and NO production in dendritic cells [9]. The results showed that (174), (176) and sinulariol D (127) (<50 μg/mL) presented a potent inhibitory effect of IL-12 and NO release (86.1–96.2%). Moreover, the same compounds also had considerable cytotoxicity (Table 4) [9].
Mohamed et al. [56] isolated from L. crassum, collected off the coast of Dongsha Atoll (South China Sea), three new cembranoids [lobophylins F-H (180–182)], together with three known ones lobophylin C (183–185) (Figure 15). Rahelivao et al. [24] did not isolate cembranoids from the soft coral L. crassum extract from the coast of Madagascar, but only they reported the moderate activity of the crude methanol extract against the malarial parasite FCM29 strain of Plasmodium falciparum (IC50 value of 33.15 μg/mL). In other work, Lin et al. [55] studied the anticancer ability of lobocrassin B (186) (Figure 15), a natural cembrane diterpenoid previously isolated from the soft coral L. crassum. The authors reported that this compound exerted cytotoxic effects for concentrations <10 μM on lung cancer CL-15 and H520 cells lines, not only by decreasing cell viability but also by inducing apoptosis, oxidative stress and mitochondrial dysfunction (increased level of Bax, cleaved caspase-3, -9 and -8, and suppression of Bcl-2). Nevertheless, much higher concentration was necessary to add to the normal human bronchial epithelium (BEAS-2B) for exerting cytotoxic effect (>25–50 μM), which means that (186) preferably causes cell death of carcinogenic cells than normal cells.
Recently, Peng et al. [57] studied the chemical composition and biological activity of cembranoid diterpenes isolated from aquaculture soft coral L. crassum and compared the results with those of wild type. Two new cembrane-based diterpenoids [culobophylins D (187) and E (188)] (Figure 15) were identified in the aquaculture soft coral together with ten known cembranoids. The known 13-acetoxysarcocrassocolide (189), lobocrassin B (186) and 14-deoxycrassin (142) were the most active compounds against diverse leukemia cell lines (K562, U937, Molt4, and Sup-T1). These results may reveal that the presence of α-methylene-γ-lactone or α-methylene-δ-lactone moieties in the cembranoid diterpenes is important for the cytotoxic activities found by the authors [57].
Al-Footy et al. [52] isolated diverse secondary metabolites (sesquiterpenes, steroid type compounds and only one known cembrane diterpene) from the soft coral Lobophytum sp. were collected off the Red Sea Coast, in Jeddah, Saudi Arabia. The isolated cembrane diterpene was cembrene A (190). This cembrane diterpene showed moderate antibacterial activity against Acinetobacter sp., E.coli, Klebsiella pneumonia, Pseudomonas aeruginosa, Staphylococcus aureus, Staphylococcus epidermidis, Streptococcus pneumonia. But it presented high toxicity against brine shrimp A. salina and antitumor activity against Erhlich carcinoma cells with median lethal dose (LD50) values of 25 and 50 μg/mL, respectively.
Roy et al. [53] isolated and identified 7 cembrane-type diterpenes from the coast of Irabu Island (Okinawa, Japan), a soft coral Lobophytum sp.: a new rare casbane-tipe diterpenoid A, two new cembrane diterpenoids (B and C); and four known cembrane diterpenoids (D–G). The authors did not attribute names for the structures presented (Figure 16). The structures of the compounds were obtained by analysis of spectroscopic data, using IR, 1H-NMR and 13C-NMR, 1D and 2D-NMR measurements (COSY, HSQC, HMBC, and NOESY), and HRESIMS spectra, after extraction with acetone and fractionation by chromatographic processes. The authors reported that the compounds A–E showed weak anti-bacterial activity (Staphylococcus aureus, Salmonella enterica and E. coli). Compounds A–C showed moderate cytotoxicity against human colon cancer cells (HCT116) with IC50 values ranging from 135.57 to 177.11 μM, and anti-inflammatory activity in LPS/IFN-γ (LPS/interferon-γ)- -stimulated RAW 264.7 macrophages cells (IC50 41.21–74.76 μM) [53].
Figure 16.
Casbanes and cembrane diterpenes from a soft coral Lobophytum collected in the coast of Irabu Island (Okinawa, Japan) [53].
6. Concluding Remarks
The use of increasingly sophisticated equipment has permitted to identify new compounds, including natural compounds of marine origin. The aim is to find remarkable biological properties for possible application in Medicine. A huge diversity of chemical structures have been isolated and evaluated in biological terms from marine organisms. The soft corals belonging to the family Alcyoniidae are not an exception. They are, indeed, the target of several studies in searching for new products with biological properties, particularly antimicrobial, anti-inflammatory, and anti-tumoral activities. Cembranoids from soft corals of the genera Sinularia, Lobophytum, and Sarcophyton are the most well studied secondary metabolites of the specimens belonging to these genera. The chemical diversity of cembranoid diterpenes is remarkable and evident from previous studies. Such diversity can be attributed to the differences in environmental conditions between the different localities, like: surface temperature, salinity, nutrient concentrations, and turbidity. However, in the present review it is important to emphasize the following points: in Sarcophyton species the new compounds isolated by the authors belonged predominantly and by descending order to: isopropyl cembranes, 5-membered lactones, biscembranoids, and furanocembranoids; in Sinularia species, the new cembrane compounds were predominantly lactones (5 or 6-membered ones) and isoprenyl cembranes; in the Lobophytum species there was no predominance of any type of cembrane diterpenoids. In this case, isopropyl, isopropenyl, isoprenyl acid, 5- and 7-membered lactones, furanocembranoid or even casbane types were detected without any predominant one.
The diversity of results in what concerns the biological properties reported in several works can be partly attributed to the variability of chemical structures found, even though the presence of some chemical groups or their arrangement in the cembranoid diterpene core can be determinant in such activities. In the present review, citotoxicity was evaluated in seven works using diverse tumor cell lines (lung, liver, colon, osteosarcoma, ovarian, breast, leukemia) the species of the genus Sarcophyton. However, moderate activity was detected in only two researches; mainly against liver, lung (S. ehrenbergi from the Red Sea Coast) and breast (Sarcophyton sp. from Celebes Sea). The antibacterial activity was the second most important activity scrutinized by the researchers, but the activity was only moderate to weak or even absent for the microorganisms used. For example, for Staphylicoccus aureus, the activity found ranged for inactive (pyrane-based cembranoid diterpene) to active against multidrug resistant strain (the biscembrane hydrocarbon trocheliane). Anti-inflammatory activity was positive in all assays independent on the methodology used: inhibition of production of NO, interleukins, prostaglandins, TNF-α by LPS-LPS-stimulated macrophage cells; inhibition of expression of COX-2 or inhibition of superoxide anions generation. In contrast, in Sinularia species, there is a species (S. flexibilis) in which no anti-inflammatory or antioxidant activity was found, whereas in other cases S. flexibilis presented an anti-inflammatory activity. The citotoxicity towards several tumor cell lines were detected either in species of the genus Sinularia or Lobophytum, but with diverse strengths.
Although such diversity of results can be attributed to the chemical groups and their arrangement in the core structure, it would be advisable to find other approaches to identify biological properties. Sometimes it is unclear the reasons that led the researchers to determine certain activities as well as the choice of some cells or parameters. Whether for plant kingdom, the ethnobotany or ethnopharmacology are strong tools for searching bioactive compounds, in the marine world cannot provide enough information, whereby other approaches must be taken into account. World data libraries compiling the results obtained so far, along with structure-based drug design methods (e.g., molecular docking, structure-based virtual screening and molecular dynamics) can predict in some extent possible activities and interactions with diverse targets, maybe more adequate and less expensive than the current way generally followed. The resistance of microorganisms to antibiotics is of great concern, therefore the bactericidal activity found for 16-hydroxycembra-1,3,7,11-tetraene, or the activity against the two multidrug resistant bacteria Acinobacter baumannii and Staphylococcus aureus of trocheliane should be deeply studied not only in the search of new compounds with similar structures or, even better, those molecules can serve as templates for the construction of new molecules after adequate modifications.
Author Contributions
The conceptualization, research and writing were done by I.G.R., M.G.M. and W.M. The review and supervision was done by M.G.M. The final revision was done by M.G.M. and W.M.
Funding
This research was funded by Fundação para a Ciência e a Tecnologia (FCT)/MCTES through MeditBio [UID/BIA/04325/2013].
Conflicts of Interest
There are no conflicts to declare.
References
- González, Y.; Torres-Mendoza, D.; Jones, G.E.; Fernandez, P.L. Marine diterpenoids as potential anti-inflammatory agents. Mediat. Inflamm. 2015, 2015, 263543. [Google Scholar] [CrossRef] [PubMed]
- Weinheimer, A.J.; Chang, C.W.J.; Matson, J.A. Progress in the Chemistry of Organic Natural Products; Springer-Verlag, Wien GmbH: Wien, Austria, 1979; pp. 285–388. [Google Scholar]
- Xi, Z.; Bie, W.; Chen, W.; Liu, D.; van Ofwegen, L.; Proksch, P.; Lin, W. Sarcophyolides B–E, new cembranoids from the soft coral Sarcophyton elegans. Mar. Drugs 2013, 11, 3186–3196. [Google Scholar] [CrossRef] [PubMed]
- Polastro, F.; Golin, S.; Chianese, G.; Putra, M.Y.; Moriello, A.S.; de Petrocellis, L.; García, V.; Munoz, E.; Taglialatela-Scafeiti, O.; Appendino, G. Neuroactive and anti-inflammatory frankincense cembranes: A structure-activity study. J. Nat. Prod. 2016, 79, 1762–1768. [Google Scholar] [CrossRef] [PubMed]
- Vasamsetty, L.; Khan, F.A.; Mehta, G. A model approach towards the polycyclic framework present in cembranoid natural products dissectolide A, plumarellide and mandapamate. Tetrahedron Lett. 2014, 55, 7068–7071. [Google Scholar] [CrossRef]
- Fattorusso, E.; Luciano, P.; Putra, M.Y.; Taglialatela-Scafati, O.; Ianaro, A.; Panza, E.; Bavestrello, G.; Carrano, C. Chloroscabrolides, chlorinated norcembranoids from the Indonesian soft coral Sinularia sp. Tetrahedron 2011, 67, 7983–7988. [Google Scholar] [CrossRef]
- Li, Y.; Pattenden, G. Perspectives on the structural and biosynthetic in interrelashionships between oxygenated furanocembranoids and their polycyclic congeners found in corals. Nat. Prod. Rep. 2011, 28, 1269–1310. [Google Scholar] [CrossRef] [PubMed]
- Aratake, S.; Tomura, T.; Saitoh, S.; Yokokura, R.; Kawanishi, Y.; Shinjo, R.; Reimer, J.D.; Tanaka, J.; Maekawa, H. Soft coral Sarcophyton (Cnidaria: Anthozoa: Octocorallia) species diversity and chemotypes. PLoS ONE 2012, 7, e30410. [Google Scholar] [CrossRef]
- Lai, K.-H.; You, W.-J.; Lin, C.-C.; El-Shazly, M.; Liao, Z.-J.; Su, J.-H. Anti-inflammatory cembranoids from the soft coral Lobophytum crassum. Mar. Drugs 2017, 15, 327. [Google Scholar] [CrossRef]
- Yang, B.; Zhou, X.-F.; Lin, X.-P.; Peng, Y.; Yang, X.-W.; Liu, Y. Cembrane diterpenes chemistry and biological properties. Curr. Org. Chem. 2012, 16, 1512–1539. [Google Scholar] [CrossRef]
- Blunt, J.W.; Copp, B.R.; Keyzers, R.A.; Munro, M.H.G.; Prinsep, M.R. Marine natural products. Nat. Prod. Rep. 2015, 32, 116–211. [Google Scholar] [CrossRef]
- Blunt, J.W.; Copp, B.R.; Keyzers, R.A.; Munro, M.H.G.; Prinsep, M.R. Marine natural products. Nat. Prod. Rep. 2016, 33, 382–431. [Google Scholar] [CrossRef] [PubMed]
- Blunt, J.W.; Copp, B.R.; Keyzers, R.A.; Munro, M.H.G.; Prinsep, M.R. Marine natural products. Nat. Prod. Rep. 2017, 34, 235–294. [Google Scholar] [CrossRef] [PubMed]
- Blunt, J.W.; Carroll, A.R.; Copp, B.R.; Davis, R.A.; Keyzers, R.A.; Prinsep, M.R. Marine natural products. Nat. Prod. Rep. 2018, 35, 8–53. [Google Scholar] [CrossRef] [PubMed]
- Liang, L.-F.; Guo, Y.-W. Terpenes from the soft corals of the genus Sarcophyton: Chemistry and biological activities. Chem. Biodivers. 2013, 10, 2161–2196. [Google Scholar] [CrossRef] [PubMed]
- Rodríguez, A.D.; Li, Y.; Dhasmana, H. New marine cembrane diterpenoids isolated from the Caribbean gorgonian Eunicea mammosa. J. Nat. Prod. 1993, 56, 1101–1113. [Google Scholar] [CrossRef]
- Blunt, J.W.; Copp, B.R.; Munro, M.H.G.; Northcote, P.T.; Prinsep, M.R. Marine natural products. Nat. Prod. Rep. 2011, 28, 196–268. [Google Scholar] [CrossRef] [PubMed]
- Kamel, H.N.; Ding, Y.Q.; Li, X.C.; Ferreira, D.; Fronczek, F.R.; Slattery, M. Beyond polymaxenolide: Cembrane-africanane terpenoids from the Hybrid soft coral Sinularia maxima x S. polydactyla. J. Nat. Prod. 2009, 72, 900–905. [Google Scholar] [CrossRef]
- Li, Y.; Pattenden, G. Novel macrocyclic and polycyclic norcembranoid diterpenes from Sinularia species of soft coral: Structural relationships and biosynthetic speculations. Nat. Prod. Rep. 2011, 28, 429–440. [Google Scholar] [CrossRef]
- Hegazy, M.-E.F.; Elshamy, A.I.; Mohamed, T.A.; Hamed, A.R.; Ibrahim, M.A.A.; Ohta, S.; Paré, P.W. Cembrene diterpenoids with ether linkages from Sarcophyton ehrenbergi: An anti-proliferation and molecular-docking assessment. Mar. Drugs 2017, 15, 192. [Google Scholar] [CrossRef]
- Kamada, T.; Phan, C.-S.; Tin, H.-S.; Vairappan, C.S.; Muhammad, T.S.T. 16-Hydroxycembra-1,3,7,11-tetraene, a new cembrane diterpene from Malaysian soft coral genus Sarcophyton. Nat. Prod. Commun. 2016, 11, 1077–1078. [Google Scholar]
- Li, W.; Zhou, Y.-H.; Ge, M.X.; Lou, L.-L.; Xu, Y.-S.; Ahmed, A.; Chen, Y.-Y.; Zhang, J.-S.; Tang, G.-H.; Yin, S. Biscembranoids and cembranoids from the soft coral Sarcophyton elegans. Mar. Drugs 2017, 15, 85. [Google Scholar] [CrossRef] [PubMed]
- Liang, L.-F.; Chen, W.-T.; Li, X.-W.; Wang, H.-Y.; Guo, Y.-W. New bicyclic cembranoids from the South China Sea soft coral Sarcophyton trocheliophorum. Sci. Rep. 2017, 7, 46584. [Google Scholar] [CrossRef] [PubMed]
- Rahelivao, M.P.; Lübken, T.; Gruner, M.; Kataeva, O.; Ralambondrahely, R.; Andriamanantoanina, H.; Checinski, M.P.; Bauer, I.; Knölker, H.-J. Isolation and structure elucidation of natural products of three soft corals and a sponge from the coast of Madagascar. Org. Biomol. Chem. 2017, 15, 2593–2608. [Google Scholar] [CrossRef] [PubMed]
- Shaaban, M.; Ghani, M.A.; Shaaban, K.A. Unusual pyranosyl cembranoid diterpene from Sarcophyton trocheliophorum. Z. Naturforsch. B 2016, 71, 1211–1217. [Google Scholar] [CrossRef]
- Sun, P.; Yu, Q.; Li, J.; Riccio, R.; Lauro, G.; Bifulco, G.; Kurtán, T.; Mándi, A.; Tang, H.; Li, T.-J.; et al. Bissubvilides A and B, cembrane-capnosane heterodimers from the soft coral Sarcophyton subviride. J. Nat. Prod. 2016, 79, 2552–2558. [Google Scholar] [CrossRef] [PubMed]
- Tang, G.-H.; Sun, Z.-H.; Zou, Y.-H.; Yin, S. New cembrane-type diterpenoids from the South China Sea soft coral Sarcophyton ehrenbergi. Molecules 2016, 21, 587. [Google Scholar] [CrossRef] [PubMed]
- Zubair, M.; Alarif, W.; Al-Footy, K.; Mohamed, P.H.; Ali, M.; Basaif, S.; Al-Lihaibi, S.; Ayyad, S.-E. New antimicrobial biscembrane hydrocarbon and cembranoid diterpenes from the soft coral Sarcohyton trocheliophorum. Turk. J. Chem. 2016, 40, 385–392. [Google Scholar] [CrossRef]
- El-Ezz, R.F.A.; Ahmed, S.A.; Radwan, M.M.; Ayoub, N.A.; Afifi, M.S.; Ross, S.A.; Szymanski, P.T.; Fahmy, H.; Khalifa, S.I. Bioactive cembranoids from the Red Sea soft coral Sarcophyton glaucum. Tetrahedron Lett. 2013, 54, 989–992. [Google Scholar] [CrossRef]
- Chan, Y.S.; Ong, C.W.; Chuah, B.L.; Khoo, K.S.; Chye, F.Y.; Sit, N.W. Antimicrobial, antiviral and cytotoxic activities of selected marine organisms collected from the coastal areas of Malaysia. J. Mar. Sci. Technol.-Taiwan 2018, 26, 128–136. [Google Scholar]
- Farag, M.A.; Westphal, H.; Eissa, T.F.; Wessjohann, L.A.; Meyer, A. Effect of oxylipins, terpenoid precursors and wounding on soft corals’ secondary metabolism as analyzed via UPLC/MS and chemometrics. Molecules 2017, 22, 2195. [Google Scholar] [CrossRef]
- Farag, M.A.; Fekry, M.I.; Al-Hammady, M.A.; Khalil, M.N.; El-Seedi, H.R.; Meyer, A.; Porzel, A.; Westphal, H.; Wessjohann, L.A. Cytotoxic effects of Sarcophyton sp. soft corals—Is there a correlation to their NMR fingerprints? Mar. Drugs 2017, 15, 211. [Google Scholar] [CrossRef] [PubMed]
- Farag, M.A.; Porzel, A.; Al-Hammady, M.A.; Hegazy, M.-E.F.; Meyer, A.; Mohamed, T.A.; Westphal, H.; Wessjohann, L.A. Soft corals biodiversity in the Egyptian Red Sea: A comparative MS and NMR metabolomics approach of wild and aquarium grown species. J. Proteome Res. 2016, 15, 1274–1287. [Google Scholar] [CrossRef] [PubMed]
- Januar, H.I.; Zamani, N.P.; Soedharma, D.; Chasanah, E. New cytotoxic cembranoid from Indonesian soft coral Sarcophyton sp. Pharmacogn. Res. 2017, 9, 65–68. [Google Scholar] [CrossRef] [PubMed]
- Kamada, T.; Zanil, I.I.; Phan, C.-S.; Vairappan, C.S. Cytotoxic and antifungal terpenoids from Bornean soft coral, Sinularia flexibilis. Nat. Prod. Commun. 2018, 13, 17–19. [Google Scholar]
- Ahmed, A.F.; Chen, Y.-W.; Huang, C.-Y.; Tseng, Y.-J.; Lin, C.-C.; Dai, C.-F.; Wu, Y.-W.; Sheu, J.-H. Isolation and structure elucidation of cembranoids from a Dongsha Atoll soft coral Sarcophyton stellatum. Mar. Drugs 2018, 16, 210. [Google Scholar] [CrossRef] [PubMed]
- Liang, L.-F.; Kurtán, T.; Mándi, A.; Yao, L.-G.; Li, J.; Lan, L.-F.; Guo, Y.-W. Structural, stereochemical, and bioactive studies of cembranoids from Chinese soft coral Sarcophyton trocheliophorum. Tetrahedron 2018, 74, 1933–1941. [Google Scholar] [CrossRef]
- Peng, C.-C.; Huang, C.-Y.; Ahmed, A.F.; Hwang, T.-L.; Dai, C.-F.; Sheu, J.-H. New Cembranoids and a biscembranoid peroxide from the soft coral Sarcophyton cherbonnieri. Mar. Drugs 2018, 16, 276. [Google Scholar] [CrossRef] [PubMed]
- Lai, D.; Li, Y.; Xu, M.; Deng, Z.; van Ofwegen, L.; Qian, P.; Proksch, P.; Lin, W. Sinulariols A-S, 19-oxygenated cembranoids from the Chinese soft coral Sinularia rigida. Tetrahedron 2011, 67, 6018–6029. [Google Scholar] [CrossRef]
- Huang, C.-Y.; Tseng, Y.-J.; Chokkalingam, U.; Hwang, T.-L.; Hsu, C.-H.; Dai, C.-F.; Sung, P.-J.; Sheu, J.-H. Bioactive isoprenoid-derived natural products from a Dongsha Atoll soft coral Sinularia erecta. J. Nat. Prod. 2016, 79, 1339–1346. [Google Scholar] [CrossRef] [PubMed]
- Wang, M.; Jin, J.; Li, L.; Cao, F.; Wang, C.; Wang, C.-Y. Cembranoid diterpenes from the South China Sea soft coral Sinularia compacta. Chem. Nat. Compd. 2017, 53, 181–184. [Google Scholar] [CrossRef]
- Wang, J.; Su, P.; Gu, Q.; Li, W.D.; Guo, J.L.; Qiao, W.; Feng, D.Q.; Tang, S.A. Antifouling activity against bryozoan and barnacle by cembrane diterpenes from the soft coral Sinularia flexibilis. Int. Biodeterior. Biodegrad. 2017, 120, 97–103. [Google Scholar] [CrossRef]
- Huang, H.-W.; Tang, J.-Y.; Ou-Yang, F.; Wang, H.-R.; Guan, P.-Y.; Huang, C.-Y.; Chen, C.-Y.; Hou, M.-F.; Sheu, J.-H.; Chang, H.-W. Sinularin selectively kills breast cancer cells showing G2/M arrest, apoptosis, and oxidative DNA damage. Molecules 2018, 23, 849. [Google Scholar] [CrossRef]
- Chen, C.T.; Kao, C.L.; Li, H.T.; Chen, C.Y. Chemical constituents of cultured soft coral Sinularia flexibilis. Chem. Nat. Compd. 2018, 54, 168–169. [Google Scholar] [CrossRef]
- Kamada, T.; Kang, M.-C.; Phan, C.-S.; Zanil, I.I.; Jeon, Y.-J.; Vairappan, C.S. Bioactive cembranoids from the soft coral genus Sinularia sp. in Borneo. Mar. Drugs 2018, 16, 99. [Google Scholar] [CrossRef] [PubMed]
- Qin, G.-F.; Tang, X.-L.; Sun, Y.-T.; Luo, X.-C.; Zhang, J.; van Ofwegen, L.; Sung, P.-J.; Li, P.-L.; Li, G.-Q. Terpenoids from the soft coral Sinularia sp. collected in Yongxing Island. Mar. Drugs 2018, 16, 127. [Google Scholar] [CrossRef] [PubMed]
- Wu, C.-H.; Chao, C.-H.; Huang, T.-Z.; Huang, C.-Y.; Hwang, T.-L.; Dai, C.F.; Sheu, J.-H. Cembranoid-related metabolites and biological activities from the soft coral Sinularia flexibilis. Mar. Drugs 2018, 16, 278. [Google Scholar] [CrossRef] [PubMed]
- Zhao, C.; Xu, J.-J.; Wang, J.; Li, S.-Y.; Qiao, W.; Tang, S.-A. Five new cembrane diterpenoids from the South China Sea soft coral Sinularia flexibilis. Phytochem. Lett. 2018, 25, 180–183. [Google Scholar] [CrossRef]
- Cheng, S.-Y.; Wang, S.-K.; Duh, C.-Y. Secocrassumol, a seco-cembranoid from the Dongsha Atoll soft coral Lobophytum crassum. Mar. Drugs 2014, 12, 6028–6037. [Google Scholar] [CrossRef]
- Cuong, N.X.; Thao, N.P.; Luyen, B.T.T.; Ngan, N.T.T.; Thuy, D.T.T.; Song, S.B.; Nam, N.H.; Kiem, P.V.; Kim, Y.H.; Minh, C.V. Cembranoid diterpenes from the soft coral Lobophytum crassum and their anti-inflammatory activities. Chem. Pharm. Bull. 2014, 62, 203–208. [Google Scholar] [CrossRef]
- Thao, N.P.; Luyen, B.T.T.; Ngan, N.T.T.; Song, S.B.; Cuong, N.X.; Nam, N.H.; van Kiem, P.; Kim, Y.H.; van Minh, C. New anti-inflammatory cembranoid diterpenoids from the Vietnamese soft coral Lobophytum crassum. Bioorg. Med. Chem. Lett. 2014, 24, 228–232. [Google Scholar] [CrossRef]
- Thao, N.P.; Luyen, B.T.T.; Lee, S.H.; Jang, H.D.; van Kiem, P.; van Minh, C.; Kim, Y.H. Antiosteoporotic and antioxidant activities of diterpenoids from the Vietnamese soft corals Sinularia maxima and Lobophytum crassum. Med. Chem. Res. 2015, 24, 3551–3560. [Google Scholar] [CrossRef]
- Thao, N.P.; Luyen, B.T.T.; Brun, R.; Kaiser, M.; van Kiem, P.; van Minh, C.; Schmidt, T.J.; Kang, J.S.; Kim, Y.H. Anti-protozoal of cembrane-type diterpenes from Vietnamese soft corals. Molecules 2015, 20, 12459–12468. [Google Scholar] [CrossRef] [PubMed]
- Thao, N.P.; Luyen, B.T.T.; Ngan, N.T.T.; Dat, L.D.; Cuong, N.X.; Nam, N.H.; van Kiem, P.; Song, S.B.; van Minh, C.; Kim, Y.H. Peroxisome proliferator-activated receptor transactivational effects in HepG2 cells of cembranoids from the soft coral Lobophytum crassum von marenzeller. Arch. Pharm. Res. 2015, 38, 769–775. [Google Scholar] [CrossRef] [PubMed]
- Al-Footy, K.O.; Alarif, W.M.; Zubair, M.S.; Ghandourah, M.A.; Aly, M.M. Antibacterial and cytotoxic properties of isoprenoids from the Red Sea soft coral, Lopophytum sp. Trop. J. Pharm. Res. 2016, 15, 1431–1438. [Google Scholar] [CrossRef]
- Roy, P.K.; Ashimine, R.; Miyazato, H.; Taira, J.; Ueda, K. New Casbane and cembrane diterpenoids from an Okinawan soft coral, Lobophytum sp. Molecules 2016, 21, 679. [Google Scholar] [CrossRef]
- Zhao, M.; Cheng, S.; Yuan, W.; Xi, Y.; Li, X.; Dong, J.; Huang, K.; Gustafson, K.R.; Yan, P. Cembranoids from a Chinese collection of the soft coral Lobophytum crassum. Mar. Drugs 2016, 14, 111. [Google Scholar] [CrossRef]
- Lin, M.X.; Lin, S.-H.; Li, Y.-R.; Chao, Y.-H.; Lin, C.-H.; Su, J.-H.; Lin, C.-C. Lobocrassin B Induces apoptosis of human lung cancer and inhibits tumor xenograft growth. Mar. Drugs 2017, 15, 378. [Google Scholar] [CrossRef]
- Mohamed, T.A.; Elshamy, A.; Hussien, T.A.; Su, J.-H.; Sheu, J.-H.; Hegazy, M.E.F. Lobophylins F-H: Three new cembrene diterpenoids from soft coral Lobophytum crassum. J. Asian Nat. Prod. Res. 2017, 19, 201–207. [Google Scholar] [CrossRef]
- Peng, B.-R.; Lu, M.-C.; El-Shazly, M.; Wu, S.-L.; Lai, K.-H.; Su, J.-H. Aquaculture soft coral Lobophytum crassum as a producer of anti-proliferative cembranoids. Mar. Drugs 2018, 16, 15. [Google Scholar] [CrossRef]
© 2019 by the authors. Licensee MDPI, Basel, Switzerland. This article is an open access article distributed under the terms and conditions of the Creative Commons Attribution (CC BY) license (http://creativecommons.org/licenses/by/4.0/).































