Synthesis of Meso-Diarylaminocorroles via SNAr Reactions
Abstract
:1. Introduction
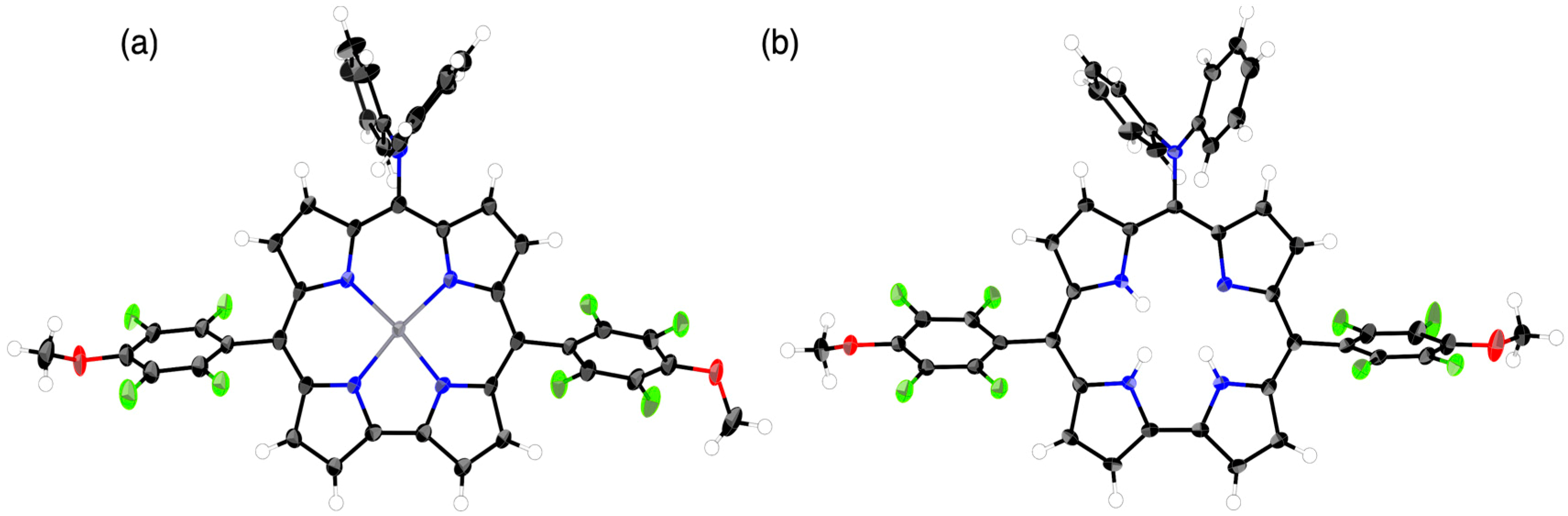
2. Results and Discussion
3. Conclusions
4. Materials and Methods
4.1. Synthesis of 4
4.2. Synthesis of 5H
4.3. Synthesis of 5Ag
4.4. Nucleophilic Aromatic Substitution Reaction of 5Ag with Diphenylamine
4.5. Nucleophilic Aromatic Substitution Reaction of 5Ag with Carbazole
4.6. Synthesis of 8
Supplementary Materials
Author Contributions
Funding
Conflicts of Interest
Abbreviations
| NMR | Nuclear magnetic resonance |
| DFT | Density functional theory |
| HOMO | Highest occupied molecular orbital |
| LUMO | Lowest occupied molecular orbital |
| DDQ | 2,3-dichloro-5,6-dicyano-1,4-benzoquinone |
| THF | Tetrahydrofuran |
| TICT | Twisted intramolecular charge transfer |
| HR-APCI-TOF-MS | High-resolution atmospheric-pressure-chemical-ionization time-of-flight mass-spectrometry |
| MO | Molecular orbital |
References
- Paolesse, R. Syntheses of Corroles. In The Porphyrin Handbook, Vol. 2; Kadish, K.M., Smith, K.M., Guilard, R., Eds.; Academic Press: San Diego, CA, USA, 2000; pp. 201–232. ISBN 978-0-12393202-0. [Google Scholar]
- Gryko, D.T. Recent Advances in the Synthesis of Corroles and Core-Modified Corroles. Eur. J. Org. Chem. 2002, 1735–1743. [Google Scholar] [CrossRef]
- Paolesse, R.; Marini, A.; Nardis, S.; Froiio, A.; Mandoj, F.; Nurco, D.J.; Prodi, L.; Montalti, M.; Smith, K.M. Novel routes to substituted 5,10,15-triarylcorroles. J. Porphyrins Phthalocyanines 2003, 7, 25–36. [Google Scholar] [CrossRef]
- Gryko, D.T.; Fox, J.P.; Goldberg, D.P. Recent advances in the chemistry of corroles and core-modified corroles. J. Porphyrins Phthalocyanines 2004, 8, 1091–1105. [Google Scholar] [CrossRef]
- Paolesse, R. Corrole: The Little Big Porphyrinoid. Synlett 2008, 2215–2230. [Google Scholar] [CrossRef]
- Gryko, D.T. Adventures in the synthesis of meso-substituted corroles. J. Porphyrins Phthalocyanines 2008, 12, 906–917. [Google Scholar] [CrossRef]
- Lemon, C.M.; Brothers, P.J. The synthesis, reactivity, and peripheral functionalization of corroles. J. Porphyrin Phthalocyanines 2011, 15, 809–834. [Google Scholar] [CrossRef]
- Paolesse, R.; Nardis, S.; Monti, D.; Stefanelli, M.; Di Natale, C. Porphyrinoids for Chemical Sensor Applications. Chem. Rev. 2017, 117, 2517–2583. [Google Scholar] [CrossRef]
- Orłowski, R.; Gryko, D.; Gryko, D.T. Synthesis of Corroles and Their Heteroanalogs. Chem. Rev. 2017, 117, 3102–3137. [Google Scholar] [CrossRef]
- Barata, J.F.B.; Neves, M.G.P.M.S.; Faustino, M.A.F.; Tomé, A.C.; Cavaleiro, J.A.S. Strategies for Corrole Functionalization. Chem. Rev. 2017, 117, 3192–3253. [Google Scholar] [CrossRef]
- Ooi, S.; Ueta, K.; Tanaka, T.; Osuka, A. Singly, Doubly, and Triply Linked Corrole Oligomers: Synthesis, Structures, and Linking Position Dependent Properties. ChemPlusChem 2019, 84. [Google Scholar] [CrossRef]
- Johnson, A.W.; Kay, I.T. Corroles. Part I. Synthesis. J. Chem. Soc. 1965, 1620–1629. [Google Scholar] [CrossRef]
- Gross, Z.; Gray, H.B. Oxidations Catalyzed by Metallocorroles. Adv. Synth. Catal. 2004, 346, 165–170. [Google Scholar] [CrossRef]
- Aviv, I.; Gross, Z. Corrole-based applications. Chem. Commun. 2007, 1987–1999. [Google Scholar] [CrossRef]
- Aviv, I.; Gross, Z. Aura of Corroles. Chem. Eur. J. 2009, 15, 8382–8394. [Google Scholar] [CrossRef]
- Teo, R.D.; Hwang, J.Y.; Termini, J.; Gross, Z.; Gray, H.B. Fighting Cancer with Corroles. Chem. Rev. 2017, 117, 2711–2729. [Google Scholar] [CrossRef]
- Ghosh, A. Electronic Structure of Corrole Derivatives: Insights from Molecular Structures, Spectroscopy, Electrochemistry, and Quantum Chemical Calculations. Chem. Rev. 2017, 117, 3798–3881. [Google Scholar] [CrossRef] [PubMed]
- Gross, Z.; Galili, N.; Saltsman, I. The First Direct Synthesis of Corroles from Pyrrole. Angew. Chem. Int. Ed. 1999, 38, 1427–1429. [Google Scholar] [CrossRef]
- Paolesse, R.; Jaquinod, L.; Nurco, D.J.; Mini, S.; Sagone, F.; Boschi, T.; Smith, K.M. 5,10,15-Triphenylcorrole: A product from a modified Rothemund reaction. Chem. Commun. 1999, 1307–1308. [Google Scholar] [CrossRef]
- Gryko, D.T. A simple, rational synthesis of meso-substituted A2B-corroles. Chem. Commun. 2000, 2243–2244. [Google Scholar] [CrossRef]
- Lindsey, J.S.; Schreiman, I.C.; Hsu, H.C.; Kearney, P.C.; Marguerettaz, A.M. Rothemund and Adler-Longo Reactions Revisited: Synthesis of Tetraphenylporphyrins under Equilibrium Conditions. J. Org. Chem. 1987, 52, 827–836. [Google Scholar] [CrossRef]
- Aratani, N.; Osuka, A. A New Strategy for Construction of Covalently Linked Giant Porphyrin Arrays with One, Two, and Three Dimensionally Arranged Architectures. Bull. Chem. Soc. Rev. 2001, 74, 1361–1379. [Google Scholar] [CrossRef]
- Shinokubo, H.; Osuka, A. Marriage of porphyrin chemistry with metal-catalysed reactions. Chem. Commun. 2009, 1011–1021. [Google Scholar] [CrossRef] [PubMed]
- Sankar, J.; Anand, V.G.; Venkatraman, S.; Rath, H.; Chandrashekar, T.K. Modified Corroles with One Meso-Free Carbon: Synthesis and Characterization. Org. Lett. 2002, 4, 4233–4235. [Google Scholar] [CrossRef]
- Koszarna, B.; Gryko, D.T. Meso-meso linked corroles. Chem. Commun. 2007, 2994–2996. [Google Scholar] [CrossRef] [PubMed]
- Ooi, S.; Yoneda, T.; Tanaka, T.; Osuka, A. meso-Free Corroles: Syntheses, Structures, Properties, and Chemical Reactivities. Chem. Eur. J. 2015, 21, 7772–7779. [Google Scholar] [CrossRef] [PubMed]
- Ueta, K.; Tanaka, T.; Osuka, A. Synthesis and Characterizations of meso-Nitrocorroles. Chem. Lett. 2018, 47, 916–919. [Google Scholar] [CrossRef]
- Balaban, M.C.; Eichhöfer, A.; Buth, G.; Hauschild, R.; Szmytkowski, J.; Kalt, H.; Balaban, T.S. Programmed Metalloporphyrins for Self-Assembly within Light-Harvesting Stacks: (5,15-Dicyano-10,20-bis(3,5-di-tert-butylphenyl)porphyrinato)zinc(II) and Its Push-Pull 15-N,N-Dialkylamino-5-cyano Congeners Obtained by a Facile Direct Amination. J. Phys. Chem. B 2008, 112, 5512–5521. [Google Scholar] [CrossRef] [PubMed]
- Pereira, A.M.V.M.; Alonso, C.M.A.; Neves, M.G.P.M.S.; Tomé, A.C.; Silva, A.M.S.; Paz, F.A.A.; Cavaleiro, J.A.S. A New Synthetic Approach to N-Arylquinolino[2,3,4-at]porphyrins from β-Arylaminoporphyrins. J. Org. Chem. 2008, 73, 7353–7356. [Google Scholar] [CrossRef]
- Yamashita, K.-i.; Kataoka, K.; Asano, M.S.; Sugiura, K.-i. Catalyst-Free Aromatic Nucleophilic Substitution of meso-Bromoporphyrins with Azide Anion: Efficient Synthesis and Structural Analyses of meso-Azidoporphyrins. Org. Lett. 2012, 14, 190–193. [Google Scholar] [CrossRef]
- Ryan, A.A.; Plunkett, S.; Casey, A.; McCabe, T.; Senge, M.O. From thioether substituted porphyrins to sulfur linked porphyrin dimers: An unusual SNAr via thiolate displacement? Chem. Commun. 2014, 50, 353–355. [Google Scholar] [CrossRef]
- Devillers, C.H.; Hebié, S.; Lucas, D.; Cattey, H.; Clément, S.; Richeter, S. Aromatic Nucleophilic Substitution (SNAr) of meso-Nitroporphyrin with Azide and Amines as an Alternative Metal Catalyst Free Synthetic Approach To Obtain meso-N-Substituted Porphyrins. J. Org. Chem. 2014, 79, 6424–6434. [Google Scholar] [CrossRef] [PubMed]
- Shimizu, D.; Mori, H.; Kitano, M.; Cha, W.-Y.; Oh, J.; Tanaka, T.; Kim, D.; Osuka, A. Nucleophilic Aromatic Substitution Reactions of meso-Bromosubporphyrin: Synthesis of a Thiopyrane-Fused Subporphyrin. Chem. Eur. J. 2014, 20, 16194–16202. [Google Scholar] [CrossRef] [PubMed]
- Yamashita, K.-i.; Kataoka, K.; Pham Qui Van, H.; Ogawa, T.; Sugiura, K.-i. Versatile and Catalyst-Free Methods for the Introduction of Group-16 Elements at the meso-Positions of Diarylporphyrins. Asian J. Org. Chem. 2018, 7, 2468–2478. [Google Scholar] [CrossRef]
- Hori, T.; Osuka, A. Nucleophilic Substitution Reactions of meso-5,10,15-Tris(pentafluorophenyl)corrole; Synthesis of ABC-Type Corroles and Corrole-Based Organogels. Eur. J. Org. Chem. 2010, 2379–2386. [Google Scholar] [CrossRef]
- Ueta, K.; Naoda, K.; Ooi, S.; Tanaka, T.; Osuka, A. meso-Cumulenic 2H-Corroles from meso-Ethynyl-3H-corroles. Angew. Chem. Int. Ed. 2017, 56, 7223–7226. [Google Scholar] [CrossRef] [PubMed]
- Stefanelli, M.; Shen, J.; Zhu, W.; Mastroianni, M.; Mandoj, F.; Nardis, S.; Ou, Z.; Kadish, K.M.; Fronczek, F.R.; Smith, K.M.; Paolesse, R. Demetalation of Silver(III) Corrolates. Inorg. Chem. 2009, 48, 6879–6887. [Google Scholar] [CrossRef]
- Cha, W.-Y.; Lim, J.M.; Park, K.H.; Kitano, M.; Osuka, A.; Kim, D. Two modes of photoinduced twisted intramolecular charge transfer in meso-arylaminated subporphyrins. Chem. Commun. 2014, 50, 8491–8494. [Google Scholar] [CrossRef]
- Lee, S.-K.; Kim, J.O.; Shimizu, D.; Osuka, A.; Kim, D. Effect of bulky meso-substituents on photoinduced twisted intramolecular charge transfer processes in meso-diarylamino subporphyrins. J. Porphyrins Phthalocyanines 2016, 20, 663–669. [Google Scholar] [CrossRef]
- Kise, K.; Hong, Y.; Fukui, N.; Shimizu, D.; Kim, D. Osuka, A. Diarylamine-Fused Subporphyrins: Proof of Twisted Intramolecular Charge Transfer (TICT) Mechanism. Chem. Eur. J. 2018, 24, 8306–8310. [Google Scholar] [CrossRef]
- Fukui, N.; Fujimoto, K.; Yorimitsu, H.; Osuka, A. Embedding Heteroatoms: An Effective Approach to Create Porphyrin-based Functional Materials. Dalton Trans. 2017, 46, 13322–13341. [Google Scholar] [CrossRef]
- Sakamoto, R.; Mustafar, S.; Nishihara, H. Meso-N-arylamino- and N,N-diarylaminoporphyrinoids: Syntheses, properties and applications. J. Porphyrins Phthalocyanines 2015, 19, 21–31. [Google Scholar] [CrossRef]
- Fukui, N.; Cha, W.-Y.; Lee, S.; Tokuji, S.; Kim, D.; Yorimitsu, H.; Osuka, A. Oxidative Fusion Reactions of meso-(Diarylamino)porphyrins. Angew. Chem. Int. Ed. 2013, 52, 9728–9732. [Google Scholar] [CrossRef] [PubMed]
- Pawlicki, M.; Hurej, K.; Kwiecińska, K.; Szterenberg, L.; Latos-Grażyński, L. A fused meso-aminoporphyrin: A switchable near-IR chromophore. Chem. Commun. 2015, 51, 11362–11365. [Google Scholar] [CrossRef]
- Nardis, S.; Pomarico, G.; Fronczek, F.R.; Vicente, M.G.H.; Paolesse, R. One-step synthesis of isocorroles. Tetrahedron Lett. 2007, 48, 8643–8646. [Google Scholar] [CrossRef]
- Pomarico, G.; Xiao, X.; Nardis, S.; Paolesse, R.; Fronczek, F.R.; Smith, K.M.; Fang, Y.; Ou, Z.; Kadish, K.M. Synthesis and Characterization of Free-Base, Copper, and Nickel Isocorroles. Inorg. Chem. 2010, 49, 5766–5774. [Google Scholar] [CrossRef] [PubMed]
- Lemon, C.M.; Huynh, M.; Maher, A.G.; Anderson, B.L.; Bloch, E.D.; Powers, D.C.; Nocera, D.G. Electronic Structure of Copper Corroles. Angew. Chem. Int. Ed. 2016, 55, 2176–2180. [Google Scholar] [CrossRef]
- Sheldrick, G.M. SHELXT–Integrated space-group and crystal-structure determination. Acta Cryst. 2015, A71, 3–8. [Google Scholar] [CrossRef]
- Sheldrick, G.M.; Schneider, T.R. SHELXL: High-resolution refinement. Methods Enzymol. 1997, 277, 319–343. [Google Scholar]
- Sheldrick, G.M. Crystal structure refinement with SHELXL. Acta Cryst. 2015, C71, 3–8. [Google Scholar]






| Compound | Absorption peaks/nm (ε/105 M−1cm−1) | Fluorescence peaks/nm | ΦF, Fluorescence Quantum Yield |
|---|---|---|---|
| 4 | 401 (1.35), 556 (0.24), 604 (0.14) | 642, 700 | 9.2% |
| 5H | 412 (1.71), 566 (0.28), 616 (0.17) | 648, 704 | 2.3% |
| 5Ag | 423 (1.57), 563 (0.25), 579 (0.34) | - | - |
| 6H | 408 (0.71), 574 (0.15), 624 (0.09) | 699 | 10.4% |
| 7H | 411 (1.30), 565 (0.24), 606 (0.12) | 654 | 9.2% |
| 8 | 418 (0.28), 720 (0.02) | - | - |
© 2019 by the authors. Licensee MDPI, Basel, Switzerland. This article is an open access article distributed under the terms and conditions of the Creative Commons Attribution (CC BY) license (http://creativecommons.org/licenses/by/4.0/).
Share and Cite
Ueta, K.; Tanaka, T.; Osuka, A. Synthesis of Meso-Diarylaminocorroles via SNAr Reactions. Molecules 2019, 24, 642. https://doi.org/10.3390/molecules24030642
Ueta K, Tanaka T, Osuka A. Synthesis of Meso-Diarylaminocorroles via SNAr Reactions. Molecules. 2019; 24(3):642. https://doi.org/10.3390/molecules24030642
Chicago/Turabian StyleUeta, Kento, Takayuki Tanaka, and Atsuhiro Osuka. 2019. "Synthesis of Meso-Diarylaminocorroles via SNAr Reactions" Molecules 24, no. 3: 642. https://doi.org/10.3390/molecules24030642
APA StyleUeta, K., Tanaka, T., & Osuka, A. (2019). Synthesis of Meso-Diarylaminocorroles via SNAr Reactions. Molecules, 24(3), 642. https://doi.org/10.3390/molecules24030642

