Microwave-Assisted Synthesis of Some Potential Bioactive Imidazolium-Based Room-Temperature Ionic Liquids
Abstract
1. Introduction
2. Results and Discussion
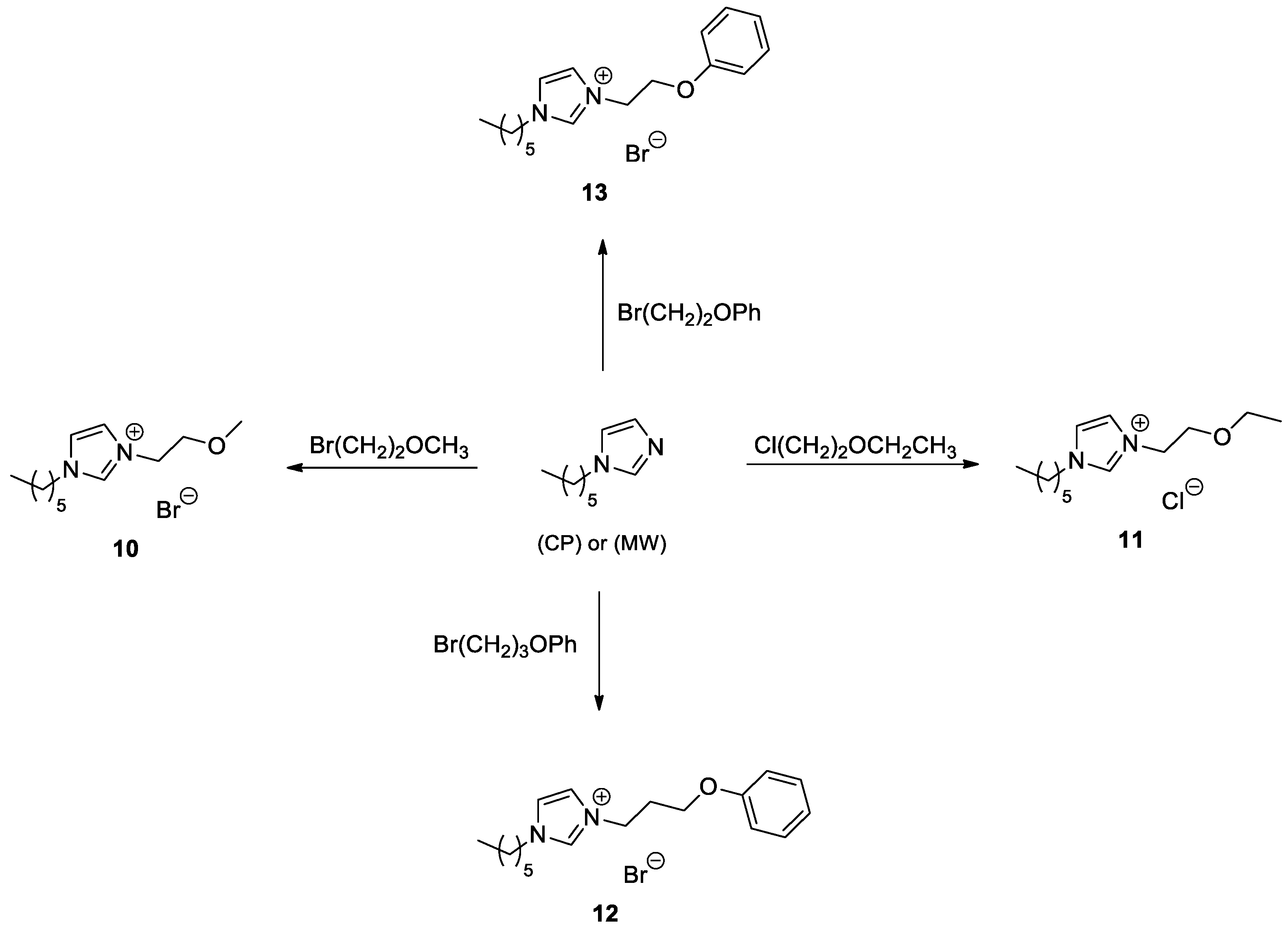
2.1. Chemistry
2.2. Antibacterial Properties
2.2.1. Inhibition Zone (IZ)
2.2.2. Minimum Inhibitory Concentration (MIC)
3. Conclusions
4. Materials and Methods
4.1. Experimental
4.2. Synthesis
4.2.1. General Procedures for the Synthesis of Imidazolium Halides 1–14 Using Conventional Preparation (CP)
4.2.2. General Procedure for the Synthesis of Imidazoluim Halides 1–14 under Microwave Irradiation (MW)
4.3. Characterization of Imidazolium Based Ionic Liquids Derivatives 1–14
4.4. Determination of IZ, MIC, and MBC
Supplementary Materials
Author Contributions
Funding
Conflicts of Interest
References
- Earle, M.J.; Esperanca, J.M.S.S.; Gilea, M.A.; Lopes, J.N.C.; Rebelo, L.P.N.; Magee, J.W.; Seddon, K.R.; Widegren, J.A. The distillation and volatility of ionic liquids. Nature 2006, 439, 831–834. [Google Scholar] [CrossRef] [PubMed]
- Kubota, K.; Nohira, T.; Goto, T.; Hagiwara, R. Novel inorganic ionic liquids possessing low melting temperatures and wide electrochemical windows: Binary mixtures of alkali bis(fluorosulfonyl)amides. Electrochem. Commun. 2008, 10, 1886–1888. [Google Scholar] [CrossRef]
- Ahrens, S.; Peritz, A.; Strassner, T. Tunable Aryl Alkyl Ionic Liquids (TAAILs): The Next Generation of Ionic Liquids. Angew. Chem. Int. Ed. 2009, 48, 7908–7910. [Google Scholar] [CrossRef] [PubMed]
- Lgaz, H.; Benali, O.; Salghi, R.; Jodeh, S.; Larouj, M.; Hamed, O.; Messali, M.; Samhan, S.; Zougagh, M.; Oudda, H. Pyridinium derivatives as corrosion inhibitors for mild steel in 1M HCl: Electrochemical, surface and quantum chemical studies. Der Pharma Chemica 2016, 8, 172–190. [Google Scholar]
- Sami, B.A. Highly Efficient Corrosion Inhibition of Carbon Steel in Aggressive Acidic Media with a Pyridazinium-based Ionic Liquid. Int. J. Electrochem. Sci. 2013, 8, 10788–10804. [Google Scholar]
- Baudequin, C.; Brégeon, D.; Levillain, J.; Guillen, F.; Plaquevent, J.C.; Gaumont, A.C. Chiral ionic liquids, a renewal for the chemistry of chiral solvents? Design, synthesis and applications for chiral recognition and asymmetric synthesis. Tetrahedron Asymmetry 2005, 16, 3921–3945. [Google Scholar] [CrossRef]
- Levillain, J.; Dubant, G.; Abrunhosa, I.; Guleaa, M.; Gaumont, A.C. Synthesis and properties of thiazoline based ionic liquids derived from the chiral pool. Chem. Commun. 2003, 2914–2915. [Google Scholar] [CrossRef]
- Qiu, H.; Jiang, S.; Liu, X.; Zhao, L.J. Novel imidazolium stationary phase for high-performance liquid chromatography. J. Chromatogr. 2006, 1116, 46–50. [Google Scholar] [CrossRef] [PubMed]
- Armand, M.; Endres, F.; MacFarlane, D.R.; Ohno, H.; Scrosati, B. Ionic-liquid materials for the electrochemical challenges of the future. Nat. Mater. 2009, 8, 621–629. [Google Scholar] [CrossRef] [PubMed]
- Macfarlane, D.R.; Forsyth, M.; Howlett, P.C.; Pringle, J.M.; Sun, J.; Annat, G.; Neil, W.; Izgorodina, E.I. Ionic Liquids in Electrochemical Devices and Processes: Managing Interfacial Electrochemistry. Acc. Chem. Res. 2007, 40, 1165–1173. [Google Scholar] [CrossRef] [PubMed]
- Al-Ghamdi, A.F.; Messali, M.; Ahmed, S.A. Electrochemical Studies of New Pyridazinium-based Ionic Liquid and its Determination in Different Detergents. J. Mater. Environ. Sci. 2011, 3, 215–224. [Google Scholar]
- Smiglak, M.; Pringle, J.M.M.; Lu, X.; Han, L.; Zhang, S.; Gao, H.; MacFarlane, D.R.; Rogers, R.D. Ionic liquids for energy, materials, and medicine. Chem. Commun. 2014, 50, 9228–9250. [Google Scholar] [CrossRef] [PubMed]
- Stoimenovski, J.; Dean, P.M.; Izgorodina, E.I.; MacFarlane, D.R. Protic pharmaceuticalionic liquids and solids: Aspects of protonics. Faraday Discuss. 2012, 154, 335–352. [Google Scholar] [CrossRef] [PubMed]
- Sheldon, R.A. Biocatalysis and Biomass Conversion in Alternative Reaction Media. Chem. Eur. J. 2016, 22, 12984–12999. [Google Scholar] [CrossRef] [PubMed]
- Walker, A.J.; Bruce, N.C. Cofactor-dependent enzyme catalysis in functionalized ionic solvents. Chem. Commun. 2004, 1, 2570–2571. [Google Scholar] [CrossRef] [PubMed]
- Parvulescu, V.I.; Hardacre, C. Catalysis in Ionic Liquids. Chem. Rev. 2007, 107, 2615–2665. [Google Scholar] [CrossRef] [PubMed]
- Gathergood, N.; Garcia, M.T.; Scammells, P.J. Biodegradable ionic liquids: Part I. Concept, preliminary targets and evaluation. Green Chem. 2004, 6, 166–175. [Google Scholar] [CrossRef]
- Garcia, M.T.; Gathergood, N.; Scammells, P.J. Biodegradable ionic liquids: Part II. Effect of the anion and toxicology. Green Chem. 2005, 7, 9–14. [Google Scholar] [CrossRef]
- Gathergood, N.; Scammells, P.J.; Garcia, M.T. Biodegradable ionic liquids: Part III. The first readily biodegradable ionic liquids. Green Chem. 2006, 8, 156–160. [Google Scholar] [CrossRef]
- Stolte, S.; Steudte, S.; Igartua, A.; Stepnowski, P. The Biodegradation of Ionic Liquids - the View from a Chemical Structure Perspective. Curr. Org. Chem. 2011, 15, 1946–1973. [Google Scholar] [CrossRef]
- Egorova, K.S.; Ananikov, V.P. Toxicity of Ionic Liquids: Eco(cyto)activity as Complicated, but Unavoidable Parameter for Task-Specific Optimization. ChemSusChem 2014, 7, 336–360. [Google Scholar] [CrossRef] [PubMed]
- Jordan, A.; Gathergood, N. Biodegradation of ionic liquids—A critical review. Chem. Soc. Rev. 2015, 44, 8200–8237. [Google Scholar] [CrossRef] [PubMed]
- Ferlin, N.; Courty, M.; Nhien, A.; Gatard, S.; Spulak, M.; Quilty, B.; Ghavre, M.; Haiß, A.; Kümmer, K.; Gathergood, N.; Bouquillon, S. Tetrabutylammonium prolinate-based ionic liquids: a combined asymmetric catalysis, antimicrobial toxicity and biodegradation assessment. RSC Adv. 2013, 3, 26241–26251. [Google Scholar] [CrossRef]
- Bouquillon, S.; Courrant, T.; Dean, D.; Gathergood, N.; Morrissey, S.; Pegot, P.; Scammells, P.J.; Singer, R.D. Biodegradable Ionic Liquids: Selected Synthetic Applications. Aust. J. Chem. 2007, 60, 843–847. [Google Scholar] [CrossRef]
- Pham, T.P.T.; Cho, C.W.; Yun, Y.S. Environmental fate and toxicity of ionic liquids: A review. Water Res. 2010, 44, 352–372. [Google Scholar] [CrossRef] [PubMed]
- Pernak, J.; Sobaszkiewicz, K.; Mirska, I. Anti-microbial activities of ionic liquids. Green Chem. 2003, 5, 52–56. [Google Scholar] [CrossRef]
- Pernak, J.; Goc, I.; Mirska, I. Anti-microbial activities of protic ionic liquids with lactate anion. Green Chem. 2004, 6, 323–329. [Google Scholar] [CrossRef]
- Ventura, S.P.M.; Gonçalves, A.M.M.; Gonçalves, F.; Coutinho, J.A.P. Assessing the toxicity on [C3mim][Tf2N] to aquatic organisms of different trophic levels. Aquat. Toxicol. 2010, 96, 290–297. [Google Scholar] [CrossRef] [PubMed]
- Louise, C.; Chau, P.K.W.; Earle, M.J.; Gilea, M.A.; Gilmore, B.F.; Gorman, S.P.; McCann, M.T.; Seddon, K.R. Antibiofilm activities of 1-alkyl-3-methylimidazolium chloride ionic liquids. Green Chem. 2009, 11, 492–497. [Google Scholar]
- Luczak, J.; Jungnickel, C.; Lacka, I.; Stolte, S.; Hupka, J. Antimicrobial and surface activity of 1-alkyl-3-methylimidazolium derivatives. Green Chem. 2010, 12, 593–601. [Google Scholar] [CrossRef]
- Carpio, R.A.; King, L.A.; Lindstrom, R.E.; Nardi, J.C.; Hussey, C.L. Density, Electric Conductivity, and Viscosity of Several N-Alkylpyridinium Halides and Their Mixtures with Aluminum Chloride. J. Electrochem. Soc. Electrochem. Sci. Technol. 1979, 126, 1644–1650. [Google Scholar] [CrossRef]
- Wilkes, J.S.; Levisky, J.A.; Robert, A.W.; Hussey, C.L. Dialkylimidazolium chloroaluminate melts: a new class of room-temperature ionic liquids for electrochemistry, spectroscopy and synthesis. Inorg. Chem. 1982, 21, 1263–1264. [Google Scholar] [CrossRef]
- Varma, R.S.; Namboodiri, V.V. An expeditious solvent-free route to ionic liquids using microwaves. J. Chem. Soc. Chem. Commun. 2001, 7, 643–644. [Google Scholar] [CrossRef]
- Khadilka, B.M.; Rebeiro, G.L. Microwave-Assisted Synthesis of Room-Temperature Ionic Liquid Precursor in Closed Vessel†. Org. Process Res. Dev. 2002, 6, 826−828. [Google Scholar]
- Messali, M. A facile and green microwave-assisted synthesis of new functionalized picolinium-based ionic liquids. Arab. J. Chem. 2016, 9, S564–S569. [Google Scholar] [CrossRef]
- Deetlefs, M.; Seddon, K.R. Improved preparations of ionic liquids using microwave irradiation. Green Chem. 2003, 5, 181–186. [Google Scholar] [CrossRef]
- Messali, M. Eco-Friendly Synthesis of a New Class of Pyridinium-Based Ionic Liquids with Attractive Antimicrobial Activity. Molecules 2015, 20, 14936–14949. [Google Scholar] [CrossRef] [PubMed]
- Messali, M.; Aouad, M.R.; El sayed, W.S.; Ali, A.A.-S.; Ben Hadda, T.; Hammouti, B. New Eco-Friendly 1-Alkyl-3-(4-phenoxybutyl) Imidazolium-Based Ionic Liquids Derivatives: A Green Ultrasound-Assisted Synthesis, Characterization, Antibacterial Activity and POM Analyses. Molecules 2014, 19, 11741–11759. [Google Scholar] [CrossRef] [PubMed]
- Messali, M.; Aouad, M.R.; Ali, A.A.-S.; Rezki, N.; Ben Hadda, T.; Hammouti, B. Synthesis, characterization, and POM analysis of novel bioactive imidazolium-based ionic liquids. Med. Chem. Res. 2015, 24, 1387–1395. [Google Scholar] [CrossRef]
- Aljuhani, A.; El-Sayed, W.; Sahu, P.; Rezki, N.; Aouad, M.R.; Salghi, R.; Messali, M. Microwave-assisted synthesis of novel imidazolium, pyridinium and pyridazinium-based ionic liquids and/or salts and prediction of physico-chemical properties for their toxicity and antibacterial activity. J. Mol. Liq. 2018, 249, 747–753. [Google Scholar] [CrossRef]
- The European Committee on Antimicrobial Susceptibility Testing. Breakpoint Tables for Interpretation of MICs and Zone Diameters. Version 8.0. 2018. Available online: http://www.eucast.org (accessed on 11 February 2018).
- Hong, S.K.; Choi, S.J.; Shin, S.; Lee, W.; Pinto, N.; Shin, N.; Lee, K.; Hong, S.G.; Kim, Y.A.; Lee, H.; et al. Establishing Quality Control Ranges for Antimicrobial Susceptibility Testing ofEscherichia coli, Pseudomonas aeruginosa, and Staphylococcus aureus: A Cornerstone to Develop Reference Strains for Korean Clinical Microbiology Laboratories. Ann. Lab. Med. 2015, 35, 635–638. [Google Scholar] [CrossRef] [PubMed]
- Sieniawski, K.; Kaczka, K.; Rucińska, M.; Gagis, L.; Pomorski, L. Acinetobacter Baumannii Nosocomial Infections. Pol. Przegl. Chir. 2013, 85, 483–490. [Google Scholar] [CrossRef] [PubMed]
- Vading, M.; Naucler, P.; Kalin, M.; Giske, C.G. Invasive infection caused by Klebsiella pneumoniae is a disease affecting patients with high comorbidity and associated with high long-term mortality. PLoS ONE 2018, 13, e0195258. [Google Scholar] [CrossRef] [PubMed]
- Clinical and Laboratory Standards Institute (CLSI). Document M26-A, Methods of Determining Bactericidal Activity of Antimicrobial Agents for Dilution Antimicrobial Susceptibility Tests for Bacteria that Grow Aerobically. Approved Guideline; CLSI: Wayne, PA, USA, 1999. [Google Scholar]
- Nomura, H.; Isshiki, Y.; Sakuda, K.; Sakuma, K.; Kondo, S. The Antibacterial Activity of Compounds Isolated from Oakmoss against Legionella pneumophila and Other Legionella spp. Biol. Pharm. Bull. 2012, 35, 1560–1567. [Google Scholar] [CrossRef] [PubMed]
- Clinical and Laboratory Standards Institute (CLSI). Document M7-A5, Methods for Antibacterial Susceptibility Test for Bacteria that Grow Aerobically. Approved Standard, 5th ed.; CLSI: Wayne, PA, USA, 2000. [Google Scholar]
Sample Availability: Samples of the compounds 1–14 are available from the authors. |





| Compound | Alkyl Bromide RBr | Yield (%) of the Quaternization Step | |
|---|---|---|---|
| CP | MW | ||
| 1 | Ph (CH2)2Br | 71 | 87 |
| 2 | Ph (CH2)3Br | 72 | 87 |
| Compound | Alkyl Halide RX | Yield (%) of the Quaternization Step | |
|---|---|---|---|
| CP | MW | ||
| 3 | EtO2CCH2Cl | 79 | 87 |
| 4 | EtO2C(CH2)4Br | 74 | 88 |
| 5 | MeO2C(CH2)5Br | 78 | 89 |
| 6 | MeCO2(CH2)4Cl | 69 | 87 |
| Compound | RX | Yield (%) of the Quaternization Step | |
|---|---|---|---|
| CP | MW | ||
| 7 | HO(CH2)2Br | 78 | 90 |
| 8 | HO(CH2)3Br | 75 | 87 |
| 9 | HO(CH2)2O(CH2)2Cl | 65 | 81 |
| Compound | RX | Yield (%) of the Quaternization Step | |
|---|---|---|---|
| CP | MW | ||
| 10 | CH3O(CH2)2Br | 71 | 86 |
| 11 | CH3CH2O(CH2)2Cl | 69 | 85 |
| 12 | PhO(CH2)2Br | 72 | 83 |
| 13 | PhO(CH2)3Br | 72 | 84 |
| ILs | S. aureus | B. cereus | B.amyloliquefaciens | E. coli | A. baumannii | K. pneumonia | P. aeruginosa |
|---|---|---|---|---|---|---|---|
| IZ (mm) | IZ (mm) | IZ (mm) | IZ (mm) | IZ (mm) | IZ (mm) | IZ (mm) | |
| 1 | 40 | 16 | 48 | 12 | 9 | 13 | 10 |
| 2 | 32 | 20 | 50 | 15 | 12 | 18 | 16 |
| 3 | 0 | 0 | 0 | 0 | 0 | 0 | 0 |
| 4 | 16 | 0 | 15 | 7 | 0 | 8 | 0 |
| 5 | 14 | 0 | 15 | 6 | 0 | 8 | 0 |
| 6 | 21 | 0 | 6 | 0 | 0 | 0 | 0 |
| 7 | 19 | 0 | 10 | 0 | 0 | 0 | 0 |
| 8 | 39 | 0 | 23 | 0 | 0 | 0 | 0 |
| 9 | 21 | 0 | 7 | 14 | 0 | 14 | |
| 10 | 20 | 0 | 11 | 0 | 0 | 0 | 6 |
| 11 | 11 | 0 | 14 | 0 | 0 | 8 | 0 |
| 12 | 35 | 27 | 51 | 17 | 16 | 23 | 20 |
| 13 | 32 | 21 | 57 | 14 | 11 | 17 | 0 |
| 14 | 0 | 0 | 0 | 0 | 0 | 0 | 0 |
| Amp | 29 | 0 | 30 | 0 | 0 | 0 | 0 |
| RD | 40 | 16 | 19 | 9 | 15 | 0 | 14 |
| DA | 43 | 22 | 25 | 0 | 28 | 0 | 0 |
| K | 26 | 21 | 32 | 20 | 0 | 0 | 23 |
| ILs | S. aureus | B. cereus | B. amyloliquefaciens | E. coli | A. baumannii | K. pneumonia | P. aeruginosa | |||||||
|---|---|---|---|---|---|---|---|---|---|---|---|---|---|---|
| MIC | MBC | MIC | MBC | MIC | MBC | MIC | MBC | MIC | MBC | MIC | MBC | MIC | MBC | |
| 1 | 4 | 4 | 64 | 64 | 4 | 8 | 64 | 64 | 128 | >256 | 32 | 32 | 128 | 128 |
| 2 | 8 | 8 | 16 | 16 | 4 | 4 | 32 | 32 | 64 | 64 | 16 | 16 | 32 | 32 |
| 3 | - | - | - | - | - | - | - | - | - | - | - | - | - | - |
| 4 | 128 | 128 | - | - | 128 | 128 | >256 | >256 | - | - | >256 | >256 | - | - |
| 5 | 128 | 128 | - | - | 128 | 128 | >256 | >256 | - | - | >256 | >256 | - | - |
| 6 | 128 | 128 | - | - | >256 | >256 | - | - | - | - | - | - | - | - |
| 7 | 64 | 128 | - | - | 128 | >256 | - | - | - | - | - | - | - | - |
| 8 | 4 | 16 | - | - | 32 | 32 | - | - | - | - | - | - | - | - |
| 9 | 64 | 64 | - | - | >256 | >256 | 64 | 64 | - | - | 16 | 32 | - | - |
| 10 | 64 | 64 | - | - | 128 | 128 | - | - | - | - | - | - | - | - |
| 11 | 128 | >256 | - | - | 128 | 128 | - | - | - | - | >256 | >256 | - | - |
| 12 | 4 | 4 | 8 | 8 | 4 | 4 | 16 | 32 | 16 | 16 | 8 | 8 | 8 | 16 |
| 13 | 4 | 8 | 8 | 16 | 2 | 2 | 32 | 64 | 64 | 128 | 16 | 16 | - | - |
| 14 | - | - | - | - | - | - | - | - | - | - | - | - | - | - |
| Amp | 8 | 8 | - | - | 8 | 8 | - | - | - | - | - | - | - | |
| RD | 4 | 4 | 16 | 16 | 16 | 16 | >256 | >256 | 32 | 32 | - | - | 32 | 32 |
| DA | 4 | 4 | 8 | 8 | 8 | 8 | - | - | 16 | 16 | - | - | - | - |
| K | 8 | 16 | 16 | 32 | 4 | 8 | 16 | 16 | - | - | - | - | 16 | 16 |
© 2018 by the authors. Licensee MDPI, Basel, Switzerland. This article is an open access article distributed under the terms and conditions of the Creative Commons Attribution (CC BY) license (http://creativecommons.org/licenses/by/4.0/).
Share and Cite
Albalawi, A.H.; El-Sayed, W.S.; Aljuhani, A.; Almutairi, S.M.; Rezki, N.; Aouad, M.R.; Messali, M. Microwave-Assisted Synthesis of Some Potential Bioactive Imidazolium-Based Room-Temperature Ionic Liquids. Molecules 2018, 23, 1727. https://doi.org/10.3390/molecules23071727
Albalawi AH, El-Sayed WS, Aljuhani A, Almutairi SM, Rezki N, Aouad MR, Messali M. Microwave-Assisted Synthesis of Some Potential Bioactive Imidazolium-Based Room-Temperature Ionic Liquids. Molecules. 2018; 23(7):1727. https://doi.org/10.3390/molecules23071727
Chicago/Turabian StyleAlbalawi, Ahmed H., Wael S. El-Sayed, Ateyatallah Aljuhani, Saud M. Almutairi, Nadjet Rezki, Mohamed R. Aouad, and Mouslim Messali. 2018. "Microwave-Assisted Synthesis of Some Potential Bioactive Imidazolium-Based Room-Temperature Ionic Liquids" Molecules 23, no. 7: 1727. https://doi.org/10.3390/molecules23071727
APA StyleAlbalawi, A. H., El-Sayed, W. S., Aljuhani, A., Almutairi, S. M., Rezki, N., Aouad, M. R., & Messali, M. (2018). Microwave-Assisted Synthesis of Some Potential Bioactive Imidazolium-Based Room-Temperature Ionic Liquids. Molecules, 23(7), 1727. https://doi.org/10.3390/molecules23071727

