Development and Validation of a HPLC-UV Method for Extraction Optimization and Biological Evaluation of Hot-Water and Ethanolic Extracts of Dendropanax morbifera Leaves
Abstract
1. Introduction
2. Results and Discussion
2.1. Optimization of Chromatographic Conditions
2.2. Method Validation
2.3. Contents of Marker Compounds in D. morbifera from Different Cultivation Regions
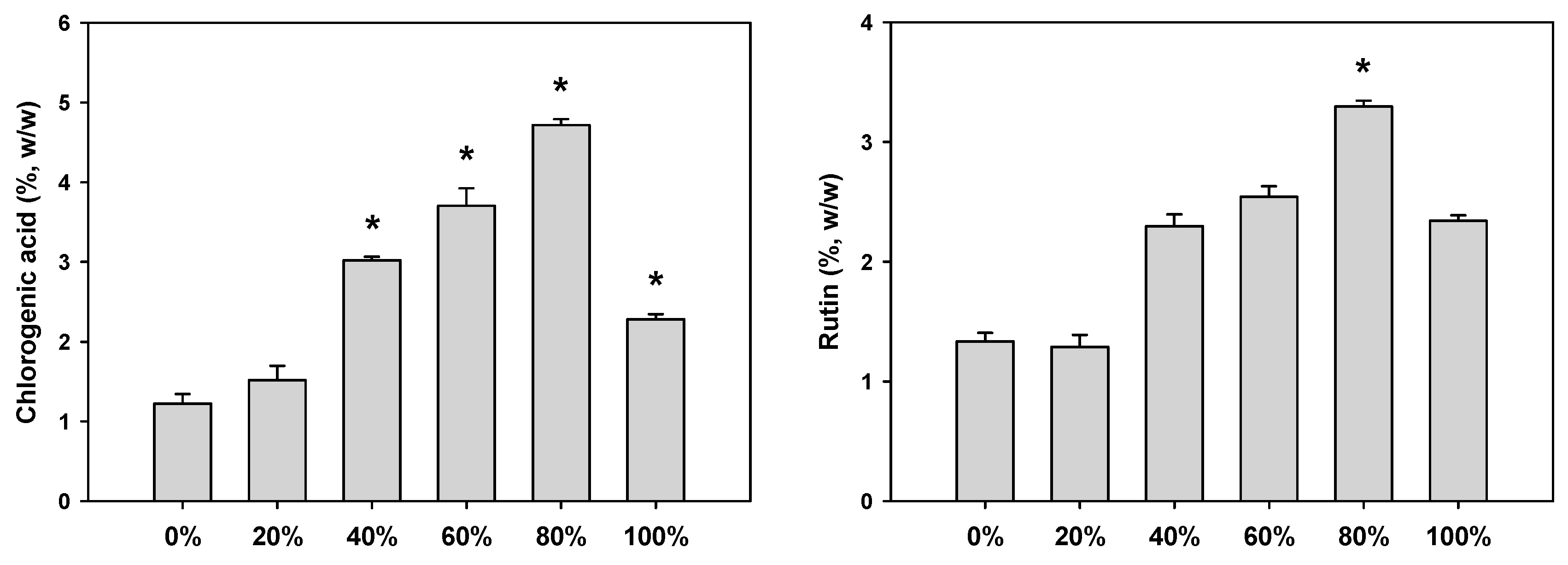
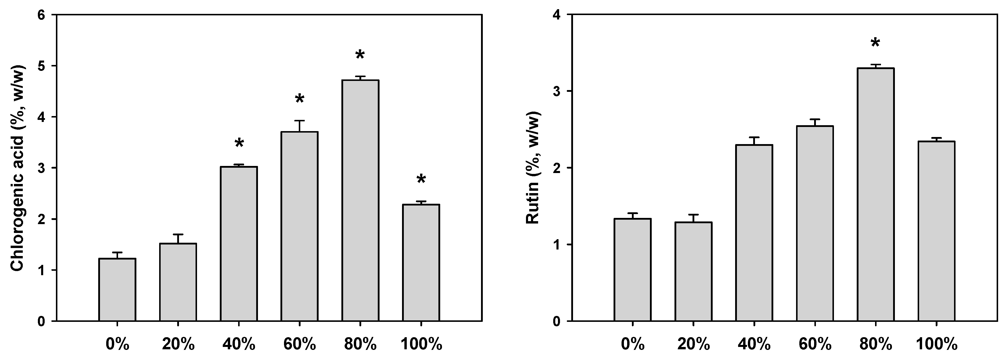
2.4. Contents of Marker Compounds in D. morbifera Leaf Extracts
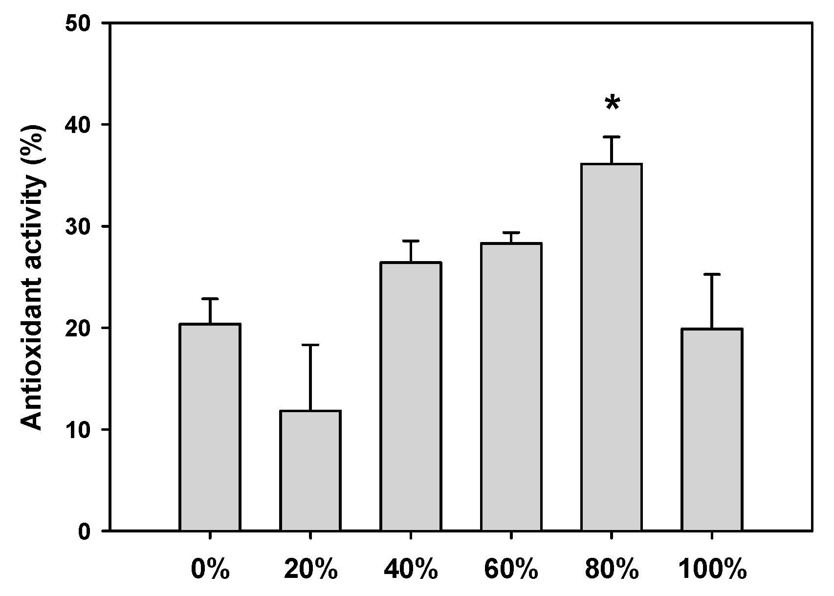
2.5. Antioxidant Activity and Total Phenolic Contents of D. morbifera Extracts
2.6. XO Inhibitory Activity of D. morbifera Extracts
3. Experimental Section
3.1. Plant Material and Extract Preparation
3.2. Chromatographic Conditions
3.3. Method Validation
3.4. Analysis of D. morbifera Leaf Extracts
3.5. DPPH Free Radical Assay
3.6. Reducing Power
3.7. Total Phenolic Content
3.8. XO Inhibitory Activity In Vitro
3.9. Statistical Analysis
4. Conclusions
Acknowledgments
Author Contributions
Conflicts of Interest
References
- Hyun, T.K.; Kim, M.O.; Lee, H.; Kim, Y.; Kim, E.; Kim, J.S. Evaluation of anti-oxidant and anti-cancer properties of Dendropanax morbifera Leveille. Food Chem. 2013, 141, 1947–1955. [Google Scholar] [CrossRef] [PubMed]
- Kim, W.; Kim, D.W.; Yoo, D.Y.; Jung, H.Y.; Kim, J.W.; Kim, D.W.; Choi, J.H.; Moon, S.M.; Yoon, Y.S.; Hwang, I.K. Antioxidant effects of Dendropanax morbifera Leveille extract in the hippocampus of mercury-exposed rats. BMC Complement. Altern. Med. 2015, 15, 247. [Google Scholar] [CrossRef] [PubMed]
- Moon, H.I. Antidiabetic effects of dendropanoxide from leaves of Dendropanax morbifera Leveille in normal and streptozotocin-induced diabetic rats. Hum. Exp. Toxicol. 2011, 30, 870–875. [Google Scholar] [CrossRef] [PubMed]
- Akram, M.; Kim, K.A.; Kim, E.S.; Syed, A.S.; Kim, C.Y.; Lee, J.S.; Bae, O.N. Potent anti-inflammatory and analgesic actions of the chloroform extract of Dendropanax morbifera mediated by the Nrf2/HO-1 pathway. Biol. Pharm. Bull. 2016, 39, 728–736. [Google Scholar] [CrossRef] [PubMed]
- Chung, I.M.; Song, H.K.; Kim, S.J.; Moon, H.I. Anticomplement activity of polyacetylenes from leaves of Dendropanax morbifera Leveille. Phytother. Res. 2011, 25, 784–786. [Google Scholar] [CrossRef] [PubMed]
- Chung, I.M.; Kim, M.Y.; Park, W.H.; Moon, H.I. Antiatherogenic activity of Dendropanax morbifera essential oil in rats. Pharmazie 2009, 64, 547–549. [Google Scholar] [PubMed]
- Kim, J.M.; Park, S.K.; Guo, T.J.; Kang, J.Y.; Ha, J.S.; Lee, D.S.; Lee, U.; Heo, H.J. Anti-amnesic effect of Dendropanax morbifera via JNK signaling pathway on cognitive dysfunction in high-fat diet-induced diabetic mice. Behav. Brain Res. 2016, 312, 39–54. [Google Scholar] [CrossRef] [PubMed]
- Waltenberger, B.; Mocan, A.; Smejkal, K.; Heiss, E.H.; Atanasov, A.G. Natural Products to Counteract the Epidemic of Cardiovascular and Metabolic Disorders. Molecules 2016, 21, 807. [Google Scholar] [CrossRef] [PubMed]
- Lee, J.W.; Park, C.; Han, M.H.; Hong, S.H.; Lee, T.K.; Lee, S.H.; Kim, G.Y.; Choi, Y.H. Induction of human leukemia U937 cell apoptosis by an ethanol extract of Dendropanax morbifera Lev. through the caspase-dependent pathway. Oncol. Rep. 2013, 30, 1231–1238. [Google Scholar] [CrossRef] [PubMed][Green Version]
- Yu, H.Y.; Kim, K.S.; Lee, Y.C.; Moon, H.I.; Lee, J.H. Oleifolioside A, a new active compound, attenuates LPS-stimulated iNOS and COX-2 expression through the downregulation of NF-kappaB and MAPK activities in RAW 264.7 macrophages. Evid.-Based Complement. Altern. Med. 2012, 2012, 637512. [Google Scholar] [CrossRef] [PubMed]
- Kim, E.S.; Lee, J.S.; Akram, M.; Kim, K.A.; Shin, Y.J.; Yu, J.H.; Bae, O.N. Protective activity of Dendropanax morbifera against cisplatin-induced acute kidney injury. Kidney Blood Press. Res. 2015, 40, 1–12. [Google Scholar] [CrossRef] [PubMed]
- Hyun, T.K.; Ko, Y.-J.; Kim, E.-H.; Chung, I.-M.; Kim, J.-S. Anti-inflammatory activity and phenolic composition of Dendropanax morbifera leaf extracts. Ind. Crops Prod. 2015, 74, 263–270. [Google Scholar] [CrossRef]
- Choi, J.H.; Kim, D.W.; Park, S.E.; Lee, H.J.; Kim, K.M.; Kim, K.J.; Kim, M.K.; Kim, S.J.; Kim, S. Anti-thrombotic effect of rutin isolated from Dendropanax morbifera Leveille. J. Biosci. Bioeng. 2015, 120, 181–186. [Google Scholar] [CrossRef] [PubMed]
- Jin, C.Y.; Yu, H.Y.; Park, C.; Han, M.H.; Hong, S.H.; Kim, K.S.; Lee, Y.C.; Chang, Y.C.; Cheong, J.; Moon, S.K.; et al. Oleifolioside B-mediated autophagy promotes apoptosis in A549 human non-small cell lung cancer cells. Int. J. Oncol. 2013, 43, 1943–1950. [Google Scholar] [CrossRef] [PubMed]
- Park, S.E.; Sapkota, K.; Choi, J.H.; Kim, M.K.; Kim, Y.H.; Kim, K.M.; Kim, K.J.; Oh, H.N.; Kim, S.J.; Kim, S. Rutin from Dendropanax morbifera Leveille protects human dopaminergic cells against rotenone induced cell injury through inhibiting JNK and p38 MAPK signaling. Neurochem. Res. 2014, 39, 707–718. [Google Scholar] [CrossRef] [PubMed]
- Nile, S.H.; Kim, D.H. HPLC analysis, antioxidant, anti-inflammatory and xanthine oxidase inhibitory activity of Cudrania tricuspidata. Nat. Prod. Commun. 2015, 10, 1839–1842. [Google Scholar] [PubMed]
- Seo, J.H.; Kim, J.E.; Shim, J.H.; Yoon, G.; Bang, M.A.; Bae, C.S.; Lee, K.J.; Park, D.H.; Cho, S.S. HPLC analysis, optimization of extraction conditions and biological evaluation of Corylopsis coreana Uyeki Flos. Molecules 2016, 21, 94. [Google Scholar] [CrossRef] [PubMed]
- Yoon, I.S.; Park, D.H.; Bae, M.S.; Oh, D.S.; Kwon, N.H.; Kim, J.E.; Choi, C.Y.; Cho, S.S. In vitro and in vivo studies on Quercus acuta Thunb. (Fagaceae) extract: Active constituents, serum uric acid suppression, and xanthine oxidase inhibitory activity. Evid.-Based Complement. Altern. Med. 2017, 2017, 4097195. [Google Scholar] [CrossRef] [PubMed]
- Yoon, I.S.; Park, D.H.; Kim, J.E.; Yoo, J.C.; Bae, M.S.; Oh, D.S.; Shim, J.H.; Choi, C.Y.; An, K.W.; Kim, E.I.; et al. Identification of the biologically active constituents of Camellia japonica leaf and anti-hyperuricemic effect in vitro and in vivo. Int. J. Mol. Med. 2017, 39, 1613–1620. [Google Scholar] [CrossRef] [PubMed]
- Yoon, I.S.; Park, D.H.; Ki, S.H.; Cho, S.S. Effects of extracts from Corylopsis coreana Uyeki (Hamamelidaceae) flos on xanthine oxidase activity and hyperuricemia. J. Pharm. Pharmacol. 2016, 68, 1597–1603. [Google Scholar] [CrossRef] [PubMed]
- Song, S.H.; Ki, S.H.; Park, D.H.; Moon, H.S.; Lee, C.D.; Yoon, I.S.; Cho, S.S. Quantitative analysis, extraction optimization, and biological evaluation of Cudrania tricuspidata leaf and fruit extracts. Molecules 2017, 22, 1489. [Google Scholar] [CrossRef] [PubMed]
- Ganeshpurkar, A.; Saluja, A.K. The pharmacological potential of rutin. Saudi Pharm. J. 2017, 25, 149–164. [Google Scholar] [CrossRef] [PubMed]
- Chen, Y.S.; Hu, Q.H.; Zhang, X.; Zhu, Q.; Kong, L.D. Beneficial effect of rutin on oxonate-induced hyperuricemia and renal dysfunction in mice. Pharmacology 2013, 92, 75–83. [Google Scholar] [CrossRef] [PubMed]
- Zhu, J.X.; Wang, Y.; Kong, L.D.; Yang, C.; Zhang, X. Effects of Biota orientalis extract and its flavonoid constituents, quercetin and rutin on serum uric acid levels in oxonate-induced mice and xanthine dehydrogenase and xanthine oxidase activities in mouse liver. J. Ethnopharmacol. 2004, 93, 133–140. [Google Scholar] [CrossRef] [PubMed]
- Shi, H.; Shi, A.; Dong, L.; Lu, X.; Wang, Y.; Zhao, J.; Dai, F.; Guo, X. Chlorogenic acid protects against liver fibrosis in vivo and in vitro through inhibition of oxidative stress. Clin. Nutr. 2016, 35, 1366–1373. [Google Scholar] [CrossRef] [PubMed]
- Zatorski, H.; Salaga, M.; Zielinska, M.; Piechota-Polanczyk, A.; Owczarek, K.; Kordek, R.; Lewandowska, U.; Chen, C.; Fichna, J. Experimental colitis in mice is attenuated by topical administration of chlorogenic acid. Naunyn-Schmiedebergs Arch. Pharmacol. 2015, 388, 643–651. [Google Scholar] [CrossRef] [PubMed]
- Meng, Z.Q.; Tang, Z.H.; Yan, Y.X.; Guo, C.R.; Cao, L.; Ding, G.; Huang, W.Z.; Wang, Z.Z.; Wang, K.D.; Xiao, W.; et al. Study on the anti-gout activity of chlorogenic acid: Improvement on hyperuricemia and gouty inflammation. Am. J. Chin. Med. 2014, 42, 1471–1483. [Google Scholar] [CrossRef] [PubMed]
- Hwang, S.J.; Kim, Y.W.; Park, Y.; Lee, H.J.; Kim, K.W. Anti-inflammatory effects of chlorogenic acid in lipopolysaccharide-stimulated RAW 264.7 cells. Inflamm. Res. 2014, 63, 81–90. [Google Scholar] [CrossRef] [PubMed]
- Kim, H.R.; Lee, D.M.; Lee, S.H.; Seong, A.R.; Gin, D.W.; Hwang, J.A.; Park, J.H. Chlorogenic acid suppresses pulmonary eosinophilia, IgE production, and Th2-type cytokine production in an ovalbumin-induced allergic asthma: Activation of STAT-6 and JNK is inhibited by chlorogenic acid. Int. Immunopharmacol. 2010, 10, 1242–1248. [Google Scholar] [CrossRef] [PubMed]
Sample Availability: Samples of the compounds are not available from the authors. |





| Ext. Solvent | Activity | Chemical Identified | Region | Ref. |
|---|---|---|---|---|
| chloroform | anti-inflammatory | - | - | [4] |
| 70% ethanol | anticancer | - | - | [9] |
| - | anti-inflammatory | oleifoliside A | - | [10] |
| chloroform | kidney damage | - | - | [11] |
| - | anticomplement | three polyacetylenes | - | [5] |
| methanol | anti-inflammatory | rutin and 21 compounds | Jeju, Korea | [12] |
| 80% ethanol | antioxidant anticancer | chlorogenic acid caffeic acid, rutin, rosmarinic acid | Jeju, Korea | [1] |
| - | Antithrombotic | rutin | Wando, Korea | [13] |
| - | Anticancer | oleifoliside B | - | [14] |
| - | Neurogenerative | rutin | Wando, Korea | [15] |
| Analyte | Retention Time (min) | r2 | Range (μg/mL) | LOQ (μg/mL) | LOD (μg/mL) |
|---|---|---|---|---|---|
| Chlorogenic acid | 7.7 | 0.9988 | 3.125–50 | 2.13 | 0.65 |
| Rutin | 12.7 | 0.9996 | 3.125–50 | 1.64 | 0.50 |
| Analyte | Conc. (μg/mL) | Intra-Day (n = 3) | Inter-Day (n = 3) | ||
|---|---|---|---|---|---|
| RSD (%) | Accuracy (%) | RSD (%) | Accuracy (%) | ||
| Chlorogenic acid | 12.5 | 4.73 | 92.36 | 1.17 | 94.78 |
| 25 | 1.11 | 95.70 | 1.64 | 97.07 | |
| 50 | 2.12 | 96.12 | 1.95 | 98.12 | |
| Rutin | 12.5 | 3.18 | 100.65 | 7.15 | 106.83 |
| 25 | 1.00 | 99.07 | 5.71 | 102.17 | |
| 50 | 1.19 | 98.36 | 1.83 | 100.60 | |
| Analyte | Added (μg/mL) | Recovery (%) (Mean ± SD) | RSD (%) |
|---|---|---|---|
| Chlorogenic acid | 12.5 | 95.77 ± 0.62 | 0.78 |
| 25 | 96.72 ± 1.33 | 1.50 | |
| 50 | 98.21 ± 0.45 | 0.48 | |
| Rutin | 12.5 | 102.73 ± 0.40 | 0.40 |
| 25 | 97.65 ± 1.49 | 1.56 | |
| 50 | 98.64 ± 0.43 | 0.43 |
| Extract | Reducing Power (Ascorbic Acid eq. μg/100 μg Extract) | Total Phenolic Content (Gallic Acid eq. mg/g) |
|---|---|---|
| Water | 8.4 ± 0.2 | 30.27 ± 0.6 |
| 20% EtOH Ex | 7.4 ± 0.7 | 26.3 ± 0.6 |
| 40% EtOH Ex | 12.3 ± 0.5 | 39.28 ± 1.4 |
| 60% EtOH Ex | 13.6 ± 0.2 | 52.30 ± 2.9 |
| 80% EtOH Ex | 17.7 ± 0.4 | 57.89 ± 2.6 |
| 100% EtOH Ex | 5.5 ± 1.3 | 34.72 ± 1.3 |
| Parameters | Conditions | ||
|---|---|---|---|
| Column | Zorbax extended-C18 (C18, 4.6 mm × 150 mm, 5 µm) | ||
| Flow rate | 0.8 mL/min | ||
| Injection volumn | 10 μL | ||
| UV detection | 330 nm | ||
| Run time | 30 min | ||
| Gradient | Time (min) | % A | % B |
| 0 | 10 | 90 | |
| 7 | 10 | 90 | |
| 8 | 20 | 80 | |
| 20 | 25 | 75 | |
| 21 | 100 | 0 | |
| 25 | 10 | 90 | |
| 30 | 10 | 90 | |
© 2018 by the authors. Licensee MDPI, Basel, Switzerland. This article is an open access article distributed under the terms and conditions of the Creative Commons Attribution (CC BY) license (http://creativecommons.org/licenses/by/4.0/).
Share and Cite
Choi, H.-J.; Park, D.-H.; Song, S.-H.; Yoon, I.-S.; Cho, S.-S. Development and Validation of a HPLC-UV Method for Extraction Optimization and Biological Evaluation of Hot-Water and Ethanolic Extracts of Dendropanax morbifera Leaves. Molecules 2018, 23, 650. https://doi.org/10.3390/molecules23030650
Choi H-J, Park D-H, Song S-H, Yoon I-S, Cho S-S. Development and Validation of a HPLC-UV Method for Extraction Optimization and Biological Evaluation of Hot-Water and Ethanolic Extracts of Dendropanax morbifera Leaves. Molecules. 2018; 23(3):650. https://doi.org/10.3390/molecules23030650
Chicago/Turabian StyleChoi, Hyung-Jae, Dae-Hun Park, Seung-Hui Song, In-Soo Yoon, and Seung-Sik Cho. 2018. "Development and Validation of a HPLC-UV Method for Extraction Optimization and Biological Evaluation of Hot-Water and Ethanolic Extracts of Dendropanax morbifera Leaves" Molecules 23, no. 3: 650. https://doi.org/10.3390/molecules23030650
APA StyleChoi, H.-J., Park, D.-H., Song, S.-H., Yoon, I.-S., & Cho, S.-S. (2018). Development and Validation of a HPLC-UV Method for Extraction Optimization and Biological Evaluation of Hot-Water and Ethanolic Extracts of Dendropanax morbifera Leaves. Molecules, 23(3), 650. https://doi.org/10.3390/molecules23030650

