Abstract
In order to systematically explore and better understand the structure-activity relationship (SAR) of a diarylmethane backbone in the design of potent uric acid transporter 1 (URAT1) inhibitors, 33 compounds (1a–1x and 1ha–1hi) were designed and synthesized, and their in vitro URAT1 inhibitory activities (IC50) were determined. The three-round systematic SAR exploration led to the discovery of a highly potent novel URAT1 inhibitor, 1h, which was 200- and 8-fold more potent than parent lesinurad and benzbromarone, respectively (IC50 = 0.035 μM against human URAT1 for 1h vs. 7.18 μM and 0.28 μM for lesinurad and benzbromarone, respectively). Compound 1h is the most potent URAT1 inhibitor discovered in our laboratories so far and also comparable to the most potent ones currently under development in clinical trials. The present study demonstrates that the diarylmethane backbone represents a very promising molecular scaffold for the design of potent URAT1 inhibitors.
1. Introduction
Gout is the most common inflammatory arthritis caused by the deposition of monosodium urate (MSU) in articular and periarticular tissues and characterized by recurrent joint swelling, redness, warmth and severe pain [1]. If left untreated or poorly managed, tophaceous gout will ultimately lead to permanent joint destruction, bone erosion and kidney impairment, dramatically affecting patients’ quality of life and even threatening their lives [2]. In addition, more and more evidence has been accumulated to demonstrate that hyperuricemia is likely an independent risk factor for hypertension, chronic kidney disease (CKD) and congestive heart failure (CHF) among others [3,4]. First identified by Egyptians in 2640 BC, gout is among the earliest diseases recognized as a clinical entity [5]. The prevalence and incidence of hyperuricemia and gout have been rising worldwide [6,7], and gout and its comorbidities present significant burdens on both the individual and community [8,9]. Hyperuricemia is the necessary condition of MSU formation and deposition, which is defined as elevated serum uric acid (sUA) levels above the saturation point of MSU in body fluid at physiological pH (7.4) and temperature, i.e., 6.8 mg/dL (404 μmol/L) [10]. Uric acid is a weak organic acid (pKa = 5.75), and therefore greater than 98% is in the ionized form, i.e., urate anion, at physiological pH (7.4); due to the presence of sodium ion at high concentrations in the extracellular compartment, urate largely presents as MSU [11].
Uric acid is the end-product of purine metabolism in humans due to the loss of uricase during the course of evolution; uricase is an enzyme capable of oxidizing highly insoluble uric acid to allantoin, which is 5–10 times more water-soluble than uric acid and can, therefore, be much more readily eliminated by the kidney [12]. Hyperuricemia is caused by over-production and/or under-excretion of urate, and among the patients with hyperuricemia, greater than 90% of them are urate under-excretors, whereas the remaining less than 10% are over-producers [13].
The treatment of gout can be divided into the anti-inflammatory treatment of acute gout attack and management of chronic gout. The standard therapy for acute gout is traditionally directed toward reducing inflammation with anti-inflammatory agents such as colchicine, nonsteroidal anti-inflammatory drugs (NSAIDs), corticosteroids and interleukin-1β blockers, which can effectively reduce gout flares but are also associated with a variety of adverse effects [14,15]. The mainstay of treatment of chronic gout is to reduce sUA <6 mg/dL (360 μmol/L) and even <5 mg/dL (300 μmol/L) for severe gout by urate-lowering therapy (ULT) with xanthine oxidase inhibitors (XOIs) such as allopurinol, febuxostat and topiroxostat, uricosuric agents such as probenecid, sulfinpyrazone, benzbromarone and lesinurad, and uricase such as pegloticase [15,16]. Reducing the sUA below the saturation point of MSU in body fluid can prevent the formation of new MSU crystals and lead to the dissolution of existing crystals. XOIs are used as first-line ULT, which are, nonetheless, associated with many severe adverse effects and low response rate; uricosuric agents are usually used as second-line therapy when patients are refractory to XOIs alone or contraindicated for them [13]. Uricases are only indicated for patients with severe gout or high sUA burden, such as those with tophaceous deformities, tumor lysis syndrome or Lesch-Nyhan syndrome [13].
The production of uric acid is balanced by its elimination, mainly in the urine. Approximately one-third of urate is excreted via the gastrointestinal tract, while the remaining two-thirds via the kidney [12]. In humans, sUA levels are controlled by a complex system of transporters expressed in the renal proximal tubule. Thus, uric acid is freely filtered at the glomerulus, and greater than 90% of the urate filtered in the kidney is reabsorbed back into the bloodstream with the remaining less than 10% being excreted in urine; this reabsorption process is mainly mediated by uric acid transporter 1 (URAT1, SLC22A12), also known as urate transporter 1 or urate-anion exchanger. URAT1, first identified in 2002, is a 12-transmembrane protein and prominently expressed on the apical side of epithelial cells of proximal tubules in the renal cortex [12,17]. In light of the fact that more than 90% of the patients with hyperuricemia are urate under-excretors and URAT1 is responsible for most of the uric acid reabsorption (about 90%), URAT1 inhibitors were believed to be a very efficacious and promising class of uricosuric agents for the treatment of hyperuricemia and gout [18,19].
Three uricosuric agents, probenecid, sulfinpyrazone and benzbromarone, were used in the clinic for a long time before the identification of URAT1 in 2002, and their uricosuric effect was found to arise from the URAT1 inhibitory activity (Figure 1) [17]. However, these agents suffer from a variety of adverse effects or drawbacks. Probenecid is associated with low efficacy, short half-life and significant drug-drug interaction (DDI) resulting from its dual inhibition against URAT1 and other organic anion transporters (OATs), such as OAT1 and OAT3 [12,20]. Sulfinpyrazone is also a very weak URAT1 inhibitor with a short half-life, and associated with severe gastrointestinal toxicity [21]. Benzbromarone is a potent URAT1 inhibitor, but notorious for severe hepatotoxicity, which resulted in its withdrawal from Europe in 2003 and non-approval in the US [22]. Lesinurad is a novel URAT1 inhibitor developed by Ardea Biosciences, now a subsidiary of AstraZeneca, and was approved by the U.S. Food and Drug Administration (FDA) in 2015 and by the European Medicines Agency (EMA) in 2016 for the treatment of hyperuricemia associated with gout in combination with an XOI. Lesinurad is the first URAT1 inhibitor approved after the identification of URAT1 in 2002; however, lesinurad suffers from low efficacy and a narrow therapeutic window [23]. Recently, considerable attention has been paid to the burden of gout on the individual and community as well as the discovery of URAT1 inhibitors on identification of URAT1 as a druggable therapeutic target, with lesinurad being approved and a number of others under development in clinical trials (Figure 1) [24,25,26,27,28,29]. In the effort to discover potent URAT1 inhibitors based on the structure of lesinurad in our laboratories, earlier studies successfully delivered a number of highly potent URAT1 inhibitors, and the IC50 values of some of them are even lower by almost two orders of magnitude than lesinurad (Figure 2) [30,31,32,33,34]. These highly potent URAT1 inhibitors share a common structural feature, i.e., a carboxylic group (in blue) connected to a flexible naphthyltriazolylmethane backbone (in red) by a linker. Encouraged by the earlier results, we moved forward to expand this specific naphthyltriazolylmethane backbone to a general diarylmethane backbone and carry out a systematic structure-activity relationship (SAR) study on the general backbone as well as the substituents on the α-position of the carboxylic acid group, with an expectation to better understand the SAR of this unique flexible structure and discover highly potent URAT1 inhibitors as promising candidate drugs (Scheme 1, Scheme 2, Scheme 3, Scheme 4 and Scheme 5). The SAR study delivered a highly potent URAT1 inhibitor 1h with a new backbone, i.e., thiophenyltrizolylmethane, and an IC50 of 0.035 μM, which is the most potent URAT1 inhibitor discovered in our laboratories so far and also comparable to the most potent ones currently under development in clinical trials [12].
Figure 1.
Structures of approved URAT1 inhibitors and selected URAT1 inhibitors under development in clinical trials.
Figure 2.
Design of URAT1 inhibitors in present study and discovery of 1h.
Scheme 1.
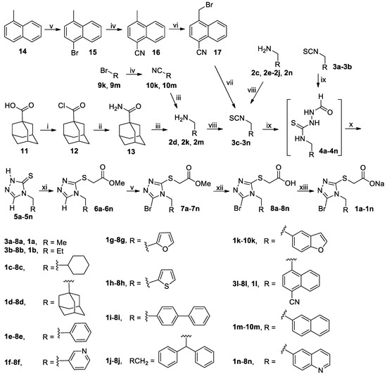
Synthetic route to 1a–1n. Reagents and conditions: (i) SOCl2, DMF (cat.), dried CH2Cl2, 0 °C-reflux; (ii) NH3·H2O, THF, 0 °C-rt; (iii) LiAlH4, dried THF, 0 °C-reflux; (iv) CuCN, DMF, 130 °C (15 and 9m) or reflux (9k), N2; (v) for 14: NBS, MeCN, 30–40 °C; for 6a–6c and 6e–6n: NBS, MeCN, rt; for 6d: DBDMH, CH2Cl2, rt; (vi) NBS, BPO, CCl4, reflux, N2; (vii) KSCN, DMF, 140 °C, N2; (viii) CSCl2, DIPEA, dried CH2Cl2, 0 °C-rt; (ix) HCONHNH2, THF, rt ; (x) aq K2CO3, THF (4a–4b) or DMF (4c–4n), 50 °C; (xi) BrCH2CO2Me, K2CO3, acetone (5a–5b) or DMF (5c–5n), rt; (xii) aq LiOH, MeOH, rt; (xiii) aq NaOH, MeOH, rt.
Scheme 2.
Synthetic route to 1ha–1hi. Reagents and conditions: (i) for 9ha–9hd: POCl3, dried DMF, 100 °C; for 9he, 9hh and 9hi: n-BuLi, dried THF, –78 °C (9he and 9hh) or −78 °C-rt (9hi), then dried DMF, −78 °C-rt; (ii) NH2OH·HCl, K2CO3, 90%EtOH, 0 °C-rt; (iii) PhB(OH)2, Pd(PPh3)4, K2CO3, dioxane/H2O (9/1 by v/v), N2, reflux; (iv) LiAlH4, dried THF, 0 °C-reflux; (v) CSCl2, DIPEA, dried CH2Cl2, 0 °C-rt; (vi) HCONHNH2, THF, rt ; (vii) aq K2CO3, DMF, 50 °C; (viii) BrCH2CO2Me, K2CO3, DMF, rt; (ix) for 6ha–6hd and 6hf–6hg: NBS , MeCN, 0 °C; for 6hi: DBDMH, CH2Cl2, rt; (x) for 6he and 6hh: NBS, MeCN, 0 °C; (xi) NBS , MeCN, rt; (xii) aq LiOH, MeOH, rt; (xiii) aq NaOH, MeOH, rt.
Scheme 3.
Synthetic route to 1o–1s. Reagents and conditions: (i) NH2CH2CH(OMe)2, THF, rt; (ii) 25%H2SO4/AcOH (8/2 by v/v), reflux; (iii) for 6q: BrCH2CO2Me, K2CO3, DMF, rt; for 6o and 6r: (CH3)2CBrCO2Et, K2CO3, DMF, 60 °C (6o) or rt (6r); for 6p and 6s, ethyl 1-bromocyclobutanecarboxylate, K2CO3, DMF, 80 °C (6p) or rt (6s); (iv) NBS, MeCN, 60 °C (6o), 45 °C (6p) or rt (6q–6s) ; (v) aq LiOH, MeOH, rt; (vi) aq NaOH, MeOH, rt.
Scheme 4.
Synthetic route to 1t–1v. Reagents and conditions: (i) (a) hexamethylenetetramine, 50%AcOH, reflux; (b) con. HCl, 50%AcOH, reflux; (ii) n-BuLi, dried THF, −78 °C, N2, then 19, −78 °C-rt; (iii) SOCl2, dried CH2Cl2, 0 °C-rt; (iv) Zn, AcOH, rt; (v) Na2S·9H2O, DMF, 110 °C, N2; (vi) BrCH2CO2Me (6t), (CH3)2CBrCO2Et (6u) or ethyl 1-bromocyclobutanecarboxylate (6v), K2CO3, DMF, rt; (vii) aq LiOH, MeOH, rt; (viii) aq NaOH, MeOH, rt.
Scheme 5.
Synthetic route to 1w–1x. Reagents and conditions: (i) NH2CH2CH(OMe)2, THF, rt; (ii) 25%H2SO4/AcOH (8/2 by v/v), reflux; (iii) for 6w: (CH3)2CBrCO2Et, K2CO3, DMF, 60 °C; for 6x: ethyl 1-bromocyclobutanecarboxylate, K2CO3, DMF, 40 °C; (iv) NBS, MeCN, 0 °C; (v) aq LiOH, MeOH, rt; (vi) aq NaOH, MeOH, rt.
2. Results and Discussion
2.1. Chemistry
The synthetic route to target compounds 1a–1n is shown in Scheme 1. 1-Adamantanecarboxylic acid 11 was treated with thionyl chloride in the presence of DMF as catalyst in dried CH2Cl2 at 0 °C to reflux temperature to afford the corresponding acyl chloride 12, which was subsequently treated with aqueous ammonia in THF at 0 °C to room temperature to smoothly produce amide 13. Reduction of amide 13 with LiAlH4 in dried THF at 0 °C to reflux temperature yielded corresponding methylamine 2d. 5-Bromobenzo[b]furan 9k and 2-bromonaphthalene 9m reacted with CuCN in DMF at high temperatures (reflux for 9k and 130 °C for 9m) in N2 atmosphere to furnish 10k and 10m, respectively, which were then reduced with LiAlH4 in dried THF at 0 °C to reflux temperature to afford corresponding methylamines 2k and 2m, respectively. 1-Methylnaphthalene 14 was brominated with N-bromosuccinimide (NBS) in acetonitrile at 30–40 °C to afford 1-bromo-4-methylnaphthalene 15, which was treated with CuCN in DMF in N2 atmosphere at 130 °C to give rise to cyanonaphthalene 16. Methylnaphthalene 16 was smoothly converted to bromomethylnaphthalene 17 by treatment with NBS in the presence of benzoyl peroxide (BPO) in CCl4 at reflux in N2 atmosphere, which was subsequently treated with 3 eq of KSCN in DMF at 140 °C in N2 atmosphere to afford isothiocyanate 3l. It is worth noting that the high reaction temperature is critically important for the selective formation of isothiocyanate 3l over its potential isomer thiocyanate [35]. Methylamines 2c–2k and 2m–2n were treated with thiophosgene in the presence of diisopropylethylamine (DIPEA) as acid scavenger in dried CH2Cl2 at 0 °C to room temperature to yield corresponding isothiocyanates 3c–3k and 3m–3n, respectively. Isothiocyanates 3a–3n reacted first with formic hydrazide in THF at room temperature to furnish the adducts 4a–4n, which were in turn directly treated with aqueous K2CO3 in THF (4a–4b) or DMF (4c–4n) at 50 °C to effect the cyclization to give the triazole thiones 5a–5n without further purification and characterization. Selective S-alkylation of thiones 5a–5n with methyl bromoacetate in the presence of K2CO3 in acetone (5a–5b) or DMF (5c–5n) at room temperature gave esters 6a–6n. Treatment of 6a–6c and 6e–6n with NBS in acetonitrile at room temperature smoothly effected selective bromination at 5-position of the triazole ring to successfully yield 7a–7c and 7e–7n, respectively; however, after considerable experimentation, the bromination of 6d to 7d could only be brought about with a more powerful brominating reagent 1,3-dibromo-5,5-dimethylhydantoin (DBDMH) in CH2Cl2 at room temperature presumably due to the steric hindrance posed by the bulky adamantane ring [36]. Alkaline hydrolysis of esters 7a–7n with aqueous LiOH in MeOH at room temperature afforded corresponding carboxylic acids 8a–8n, which were converted to sodium salts thereof for the sake of improving the aqueous solubility to facilitate the operation in in vitro assay.
The synthetic route to target compounds 1ha–1hi is summarized in Scheme 2. Standard Vilsmeier formylation at the α-position of thiophenes 9ha–9hc with POCl3/DMF at 100 °C smoothly produced corresponding aldehydes 10ha–10hc [37]; however, under the same reaction condition, 3-methylthiophene 9hd gave an inseparable mixture of 3-methylthiophene-2-carbaldehyde 10hd and 4-methylthiophene-2-carbaldehyde 10he in a ratio of 85/15 as indicated by 1H-NMR because of the presence of two α-positions in 9hd [38]. The minor isomer 10he was removed from 10hd by recrystallization of the mixture of their corresponding oximes 11hd and 11he in the next step. Compounds 9he, 9hh and 9hi were first treated with n-BuLi in dried THF at −78 °C (9he and 9hh) or at −78 °C to room temperature (9hi) to afford the corresponding aryl lithiums, which were in turn trapped with dried DMF at −78 °C to room temperature to produce aldehydes 10he, 10hh and 10hi, respectively. It is worth noting that, as with in the case of the conversion of 9hd to 10hd and 10he as described above, 9he (identical to 9hd actually) also gave an inseparable mixture of 10hd and 10he in a ratio of 19/81 under the second formylation condition [38], and the minor isomer 10hd was also removed from 10he by recrystallization of the mixture of corresponding oximes 11hd and 11he in the next step. Standard Suzuki coupling of 18 and PhB(OH)2 in the presence of Pd(PPh3)4 and K2CO3 in dioxane/H2O (9/1 by v/v) in N2 atmosphere at reflux smoothly afforded 10hg. Aldehydes 10ha–10hi were converted to corresponding oximes 11ha–11hi each as a Z/E mixture by treatment with hydroxylamine hydrochloride in the presence of K2CO3 in 90% ethanol at 0 °C to room temperature. Oximes 11ha–11hi were reduced to corresponding methylamines 2ha–2hi with LiAlH4 in dried THF at 0 °C to reflux temperature. Following the same procedure for the synthesis of 1c–1n from 2c–2n in Scheme 1, 2ha–2hi were converted to targets compounds 1ha–1hi. However, there are some exceptions in the bromination of 6ha–6hi that should be noted: (1) just as with the bromination of 6d with a bulky adamantane ring, the bromination of 6hi also needed the powerful brominating reagent DBDMH because of the presence of bulky dibenzothiophene ring; (2) unlike bromination of 6a–6c and 6e–6n with NBS that proceeded at room temperature (Scheme 1), the bromination of compounds 6ha–6hd and 6hf–6hg with NBS required to be carried out at 0 °C to suppress the potential bromination of the thiophene ring because thiophene ring is an aromatic ring more electron-rich than most of the counterparts in Scheme 1; (3) treatment of 6he and 6hh with 1 eq of NBS gave intermediates 7′he and 7′hh, respectively, even at 0 °C, where the bromine atom was introduced to the thiophene ring instead of the desired triazole ring because the unoccupied α-position in 4-methyl-2-thiophene ring and β-position in benzothiophene ring are more electron-rich and therefore more nucleophilic than the 5-position in triazole ring. Further treatment of 7′he and 7′hh with 1 eq of NBS produced 7he and 7hh, respectively, where the newly introduced bromine atom was at the desired 5-position of triazole ring. The exact position of the bromine atom in 7′he was unambiguously elucidated by Nuclear Overhauser Effect (NOE) as shown in Scheme 2.
The synthetic route to 1o–1s is depicted in Scheme 3. Isothiocyanate 3l first reacted with 2-aminoacetaldehyde dimethyl acetal in THF at room temperature to give an adduct 4o, which in turn underwent cyclization to afford imidazole thione 5o by treatment in refluxing 25%H2SO4/AcOH (8/2 by v/v) [39]. Selective S-alkylation of imidazole thione 5o with methyl bromoacetate, ethyl 2-bromo-2-methylpropionate and ethyl 1-bromocyclobutanecarboxylate in the presence of K2CO3 in DMF at room temperature afforded 6q, 6r and 6s, respectively. Likewise, selective S-alkylation of triazole thione 5l with ethyl 2-bromo-2-methylpropionate and ethyl 1-bromocyclobutanecarboxylate in the presence of K2CO3 at elevated temperatures (60 °C for 6o and 80 °C for 6p) yielded 6o and 6p, respectively. Compounds 6o–6s were converted to target compounds 1o–1s following the procedure used for the synthesis of 1a–1n from 6a–6n as shown in Scheme 1. Noteworthy is that the brominations of 6o and 6p were carried out at higher temperatures instead of room temperature, i.e., 60 °C for 6o and 45 °C for 6p. In the bromination of imidazole ring in 6q–6s, there are two potential positions to be brominated, and the exact position at which the bromine atom was introduced was unequivocally determined by NOE as depicted in Scheme 3, which is also consistent with the reported results in similar situation [40]. The exact position of the bromine atom attached to the imidazole ring in 7q–7s was identical to that in their triazole counterparts 1a–1n and 1ha–1hi, which is critically important in SAR study when to compare the biological activity of a pair of compounds with only the central rings being different while other positions including the substituents being completely identical.
The synthetic route to target compounds 1t–1v is illustrated in Scheme 4. 4-Cyano-1-naphthaldehyde 19 was prepared from (4-cyano-1-naphthyl)methyl bromide 17 by standard Sommelet reaction [41]. Thus, 17 reacted first with hexamethylenetetramine in refluxing 50% aqueous acetic acid, and the quaternary ammonium intermediate thus formed was further hydrolyzed with hydrochloric acid to give rise to 19. Treatment of 3-bromo-4-chloropyridine 20 with n-BuLi in dried THF at −78 °C furnished 21, a reactive aryl lithium intermediate resulting from the selective Br-Li exchange [42], which was in turn trapped with aldehyde 19 to give 22. Treatment of benzylic alcohol 22 with thionyl chloride in dried CH2Cl2 at 0 °C to room temperature gave benzylic chloride 23, which was subsequently reduced with zinc powder in acetic acid at room temperature to smoothly produce 24 with a desired naphthylpyridinylmethane backbone [43]. Initial attempts to directly reduce benzylic alcohol 22 to 24 with Et3SiH/BF3·Et2O [44], NaBH4/AlCl3 [45] or 57%HI/AcOH [46] were unsuccessful because no reaction occurred for the first reagent, a side reaction of AlCl3-mediated dechlorination predominated for the second one and the reaction proceeded considerably slowly for the third one. Treatment of chloropyridine 24 with Na2S·9H2O in DMF at 110 °C in N2 atmosphere furnished pyridine thiol 5p. Selective S-alkylation of thiol 5p with methyl bromoacetate, ethyl 2-bromo-2-methylpropionate and ethyl 1-bromocyclobutanecarboxylate in the presence of K2CO3 in DMF at room temperature gave 6t, 6u and 6v, respectively. Alkaline hydrolysis of 6t–6v with aqueous LiOH in methanol at room temperature afforded corresponding acids 8t–8v, which were then converted to sodium salts thereof 1t–1v as described above.
The synthetic route to target compounds 1w–1x is presented in Scheme 5. Imidazole thione 5q was prepared from isothiocyanate 3h following the procedure described above for the synthesis of 5o from 3l. Treatment of thione 5q with ethyl 2-bromo-2-methylpropionate and ethyl 1-bromocyclobutanecarboxylate in the presence of K2CO3 in DMF at elevated temperatures (60 °C for 6w and 40 °C for 6x) produced 6w and 6x, respectively. Compounds 6w–6x were converted to target compounds 1w–1x following the procedure used for the synthesis of 1q–1s from 6q–6s shown in Scheme 3 except that the bromination of 6w–6x with NBS was carried out at 0 °C in order to suppress the potential bromination of thiophene ring.
2.2. In Vitro URAT1 Inhibitory Activity
The results of in vitro inhibitory assay of 33 synthesized compounds, i.e., 1a–1x and 1ha–1hi, as well as lesinurad as positive control against human URAT1 (Supplementary Material) are summarized in Table 1.
Table 1.
Results of in vitro inhibitory assay of 1a–1x and 1ha–1hi against human URAT1 (IC50).
As shown in Figure 2, the diarylmethane backbone consists of two aromatic rings, i.e., the distal and central aromatic rings, corresponding to the modifications of the naphthalene and triazole rings in the original naphthyltriazolylmethane backbone, respectively. The SAR exploration of the diarylmethane backbone in present study started with the distal aromatic ring. This round of SAR study was divided into two phases: the first phase was mainly focused on the discovery of an optimal framework of the distal ring (1a–1n), and the second one was the fine-tuning of the substituents around the optimal framework identified in the first phase to further find its most preferred substituent (1ha–1hi). Thus, as shown from the results of 1a–1n, the optimal framework for the distal ring is 2-thiophene ring with 1h being the most potent URAT1 inhibitor among 1a–1n (IC50 = 0.035 μM). It is also obvious that, with only a few exceptions (such as 1f and 1a), most compounds in 1a–1n are more potent than lesinurad, but there is a trend that compounds with two aromatic rings in the R substituent (1i–1n) are generally more potent than those with only one aromatic or lower (cyclo)alkyl groups (1a–1h). Noteworthy is that although this trend didn’t deliver the most potent compound (1h) in this phase, it still warrants further study in the future. With 2-thiophene ring being identified as the optimal framework for the distal aromatic ring, we progressed to the second phase, i.e., fine-tuning of the substituents around 2-thiophene ring. Thus, among 1ha–1hi with a 2-thiophene ring and its close analogues, no compound was found to be more potent than 1h, indicating that the framework of 2-thiophene cannot tolerate any substituent. It is interesting that 3-thiophene ring, a close analogue of 2-thiophene ring, led to the complete loss of URAT1 inhibitory activity (1hf). Compound 1hh with a 3-bromobenzo[b]thiophene ring exhibited highly potent URAT1 inhibitory activity (IC50 = 0.12 μM), which, however, is still less potent than 1h.
In order to accelerate the whole process of SAR exploration, we carried out the SAR exploration of the central aromatic ring as well as the substituents on the α-position of the carboxylic acid group at the same time we performed the first round of SAR study. In the second round, we kept the distal aromatic ring as 4-cyano-1-naphthalene ring and designed 9 compounds (1o–1v). Thus, it is clear that for all the three central aromatic rings, i.e., 1,2,4-triazole, imidazole and pyridine, the activity was uniformly enhanced dramatically when the size of α-substituents of the carboxylic acid group increased (1p > 1o > 1l; 1r > 1s > 1q; 1v > 1u > 1t), indicating that the gem-dimethyl and cyclobutane are optimal substituents at the α-position of the carboxylic acid group. Among the three central rings, the imidazole ring seemed the optimal one (1r > 1u > 1o; 1s > 1p > 1v).
With in hand the optimal distal ring being 2-thiophene from the first-round SAR study and the optimal central ring and the α-substituent of the carboxylic acid group being imidazole ring and gem-dimethyl/cyclobutane, respectively, from the second-round, we advanced to the third round by merging the results from the first two rounds of SAR study and designed compounds 1w and 1x to see if there is an additive effect. It turned out that the URAT1 inhibitory activity of 1w was weak but the 1x was highly potent, which was, however, still less potent than 1h.
In summary, 1h displayed an IC50 of 0.035 μM, which is 200- and 8-fold more potent than the parent lesinurad and benzbromarone, respectively, making it the most potent URAT1 inhibitor discovered in our laboratories so far and also comparable to the most potent ones currently under development in clinical trials [18]. The present study strongly suggested that diarylmethane backbone is a considerably promising molecular scaffold for the design of potent URAT1 inhibitors.
3. Experimental Section
3.1. General
Melting points were measured with an RY-2 microscopic melting point apparatus (Tianjin Tianguang Optical Instrument Ltd., Tianjin, China) and are uncorrected. 1H-NMR and 13C-NMR spectra were recorded on a Bruker AV400 NMR spectrometer (Bruker BioSpin AG, Faellanden, Switzerland) using DMSO-d6, CDCl3 and MeOH-d4 as solvent and known chemical shifts of residual proton signals of deuterated solvents (for 1H-NMR) or carbon signals of deuterated solvents (for 13C-NMR) as internal standard. High-resolution mass spectra (HRMS) were recorded with an Agilent Q-TOF 6510 mass spectrometer (Agilent Technologies, Santa Clara, CA, USA) using the direct injection method and electrospray ionization (ESI) technique in negative mode (ESI–). HPLC purities are determined on a reverse-phase C18 column (Waters Atlantis T3, 5 μm, 4.6 × 150 mm; column temperature, 35 °C) at 225 nm using an Agilent 1260 VWD HPLC system with flow rate of 1.0 mL/min. Mobile phase A was MeCN/MeOH (90/10 by v/v), and mobile phase B was 10 mM aqueous (NH4)2HPO4 (adjusted to pH of 4.3 ± 0.03 with H3PO4). The gradient system started from A/B (25%/75%) at 0 min to A/B (40%/60%) at 30 min, A/B (50%/50%) at 45 min, A/B (70%/30%) at 60 min, A/B (70%/30%) at 70 min, A/B (25%/75%) at 71 min, and finally A/B (25%/75%) at 75 min.
Starting materials 11, 9k, 9m, 14, 2c, 2e–2j, 2n, 3a–3b, 9ha–9hd, 9hh–9hi, 18, 10hf and 20 were commercially available. All the dried solvents were prepared by standard methods.
3.2. Chemistry
3.2.1. General Procedure for the Synthesis of Substituted Methylamines 2d, 2k and 2m
To a stirred mixture of 1-adamantanecarboxylic acid (11, 36.05 g, 200 mmol) and DMF (5 drops) in CH2Cl2 (360 mL) cooled in an ice-water bath was added thionyl chloride (26.17 g, 220 mmol) in one portion. The resulting mixture was refluxed until the evolution of HCl gas ceased (typically within 2 h). The solvent and excess thionyl chloride were then removed on a rotary evaporator, and the crude acid chloride 12 was dissolved in THF (100 mL). The resulting solution was then slowly added dropwise to stirred concentrated aqueous ammonia (400 mL) cooled in an ice-water bath. After addition, the resulting white slurry was stirred at room temperature for another 2 h, and the white precipitates were collected via vacuum filtration, washed with cold n-hexane and dried in vacuo to afford 1-adamantanecarboxamide (13). White solid; 34.06 g (95%); m.p. 177–179 °C (literature value, 185.5–191.7 °C [48]). 1H-NMR (DMSO-d6, 400 MHz) δ: 6.89 (brs, 1H), 6.62 (brs, 1H), 1.93 (s, 3H), 1.73–1.74 (m, 6H), 1.60–1.68 (m, 6H).
A mixture of 1-methylnaphthalene (14, 28.44 g, 200 mmol) and NBS (39.16 g, 220 mmol) in MeCN (300 mL) was stirred at 30-40°C until completion of the reaction as indicated by TLC analysis (typically within 12 h). On cooling to room temperature, the reaction mixture was poured into ice-water (600 mL), and the resulting mixture was extracted with CH2Cl2 (500 mL × 3). The combined extracts were washed successively with 5% aqueous Na2S2O3 (200 mL), saturated aqueous Na2CO3 (100 mL × 3) and 5% brine (200 mL), dried (Na2SO4) and evaporated on a rotary evaporator to give a residue, which was purified by column chromatography to afford 1-bromo-4-methylnaphthalene (15). Colorless oil, 42.01 g (98%). 1H-NMR (DMSO-d6, 400 MHz) δ: 8.14–8.16 (m, 1H), 8.07–8.09 (m, 1H), 7.76 (d, J = 7.6 Hz, 1H), 7.66–7.70 (m, 2H), 7.30 (d, J = 7.6 Hz, 1H), 2.63 (s, 3H).
A mixture of 15, 9k or 9m (190 mmol) and CuCN (49.00 g, 570 mmol) in DMF (500 mL) were stirred at 130 °C (for 15 and 9m) or reflux (for 9k) in N2 atmosphere for 12 h, when TLC analysis indicated completion of reaction. On cooling to room temperature, the reaction mixture was diluted with CH2Cl2 (1000 mL), and the resulting mixture was further stirred for 1 h and filtered off. The filtrate was washed with 5% brine (500 mL × 5), dried (Na2SO4) and evaporated on a rotary evaporator, which was purified by column chromatography to afford 16, 10k or 10m.
4-Methyl-1-naphthonitrile (16): White solid; 24.78 g (78%); m.p. 54–55 °C (literature value, 53–54 °C [49]). 1H-NMR (DMSO-d6, 400 MHz) δ: 8.20 (d, J = 8.0 Hz, 1H), 8.11 (d, J = 8.0 Hz, 1H), 8.04 (d, J = 7.2 Hz, 1H), 7.72–7.82 (m, 2H), 7.53 (d, J = 7.2 Hz, 1H), 2.74 (s, 3H).
Benzo[b]furan-5-carbonitrile (10k): White solid; 23.12 g (85%); m.p. 81–83 °C (literature value, 81–82 °C [50]). 1H-NMR (DMSO-d6, 400 MHz) δ: 8.22 (d, J = 1.2 Hz, 1H), 8.19 (d, J = 2.0 Hz, 1H), 7.81 (d, J = 8.4 Hz, 1H), 7.73–7.75 (m, 1H), 7.08 (d, J = 1.6 Hz, 1H).
2-Naphthonitrile (10m): White solid; 20.96 g (72%); m.p. 63–65 °C (literature value, 65–66 °C [51]). 1H-NMR (DMSO-d6, 400 MHz) δ: 8.57 (s, 1H), 8.03–8.11 (m, 3H), 7.65–7.78 (m, 3H).
To a stirred solution of 13, 10k or 10m (130 mmol) in dried THF (150 mL) cooled in an ice-water bath was added portionwise LiAlH4 (6.41 g, 169 mmol). Thereafter the reaction mixture was stirred at room temperature for 1 h and then at reflux for another 5 h, when the reaction completed as indicated by TLC analysis. On cooling to room temperature, the reaction mixture was carefully poured into ice-water (500 mL) while stirring, and the resulting mixture was diluted with CH2Cl2 (300 mL), stirred for 0.5 h and filtered off through Celite. The organic phase was separated from the filtrate, and the aqueous phase was back-extracted with CH2Cl2 (200 mL × 2). The combined organic phases were washed with saturated brine (200 mL), dried (Na2SO4) and evaporated on a rotary evaporator to give a residue, which was purified by column chromatography through a short silica gel column to afford 2d, 2k or 2m. These amines were used directly in the next step without further purification and characterization.
3.2.2. General Procedure for the Synthesis of Substituted Methylamines 2ha–2hi
To a stirred solution of 5-bromothiophene-2-carbaldehyde (18, 38.22 g, 200 mmol) and phenylboronic acid (26.82 g, 220 mmol) in dioxane/H2O (9/1 by v/v, 600 mL in total), K2CO3 (110.56 g, 800 mmol) and Pd(PPh3)4 (11.56 g, 10 mmol) were added. The reaction mixture was heated at reflux for 10 h in N2 atmosphere. On cooling to room temperature, the reaction mixture was filtered off. The organic phase was evaporated on a rotary evaporator, and the residue thus obtained was extracted with CH2Cl2 (200 mL × 3). The combined extracts were washed with 5% brine (200 mL), dried (Na2SO4) and evaporated on a rotary evaporator to give a residue, which was purified by column chromatography to afford 5-phenylthiophene-2-carbaldehyde (10hg). White solid; 36.90 g (98%); m.p. 89–91 °C (literature value, 92–93 °C [52]). 1H-NMR (DMSO-d6, 400 MHz) δ: 9.91 (s, 1H), 8.04 (d, J = 4.0 Hz, 1H), 7.79–7.81 (m, 2H), 7.74 (d, J = 4.0 Hz, 1H), 7.41–7.50 (m, 3H).
To a stirred solution of 9ha–9hd (200 mmol) in dried DMF (43.86 g, 600 mmol) cooled in an ice-water bath was added dropwise POCl3 (46.00 g, 300 mmol). The resulting mixture was stirred at this temperature for 30 min and then at 100 °C for another 5 h. After cooling to room temperature, the reaction mixture was poured carefully into ice-water (300 mL). The mixture thus obtained was extracted with CH2Cl2 (300 mL × 3), and the combined extracts were washed successively with 5% brine (200 mL), 10% aqueous K2CO3 (200 mL) and 5% brine (200 mL), dried (Na2SO4) and evaporated on a rotary evaporator to afford a residue, which was purified by column chromatography to yield 10ha–10hd.
5-Chlorothiophene-2-carbaldehyde (10ha): Colorless oil; 22.00 g (75%). 1H-NMR (DMSO-d6, 400 MHz) δ: 9.82 (s, 1H), 7.95 (d, J = 4.0 Hz, 1H), 7.39 (d, J = 4.0 Hz, 1H). The 1H-NMR data were in good agreement with those reported [53].
5-Methylthiophene-2-carbaldehyde (10hb): Colorless oil; 21.20 g (84%). 1H-NMR (DMSO-d6, 400 MHz) δ: 9.80 (s, 1H), 7.84 (d, J = 4.0 Hz, 1H), 7.04–7.05 (m, 1H), 2.54 (s, 3H). The 1H-NMR data were in good agreement with those reported [53].
5-Ethylthiophene-2-carbaldehyde (10hc): Colorless oil; 22.72 g (81%). 1H-NMR (DMSO-d6, 400 MHz), δ: 9.81 (s, 1H), 7.85 (d, J = 3.6 Hz, 1H), 7.06–7.07 (m, 1H), 2.88 (q, J = 7.5 Hz, 2H), 1.25 (t, J = 7.4 Hz, 3H).
3-Methylthiophene-2-carbaldehyde (10hd): Colorless oil; 22.46 g (89%). An inseparable mixture of regioisomers as indicated by 1H-NMR. The 1H-NMR data were in good agreement with those reported [38].
To a stirred solution of 9he, 9hh or 9hi (200 mmol) in dried THF (200 mL) held at −78 °C in N2 atmosphere was added dropwise 1.6 M n-BuLi in n-hexane (125 mL, 200 mmol) via syringe, and the resulting solution was stirred at −78 °C for 1 h ( for 9he and 9hh) or returned to room temperature for 5 h (for 9hi) before dropwise addition of dried DMF (21.93 g, 300 mmol) via syringe. Thereafter the reaction mixture was stirred at −78 °C for 0.5 h and at room temperature for another 1 h. The reaction mixture was poured into ice-water (600 mL) while stirring and the resulting mixture was extracted with CH2Cl2 (300 mL × 3). The combined extracts were washed with 5% brine (500 mL), dried (Na2SO4) and evaporated on a rotary evaporator to give a residue, which was purified by column chromatography to afford the pure product 10he, 10hh or 10hi.
4-Methylthiophene-2-carbaldehyde (10he): Colorless oil; 23.97 g (95%). An inseparable mixture of regioisomers as indicated by 1H-NMR. The 1H-NMR data were in good agreement with those reported [38].
Benzo[b]thiophene-2-carbaldehyde (10hh): Colorless oil; 29.80 g (92%). 1H-NMR (DMSO-d6, 400 MHz) δ: 10.14 (s, 1H), 8.43 (s, 1H), 8.09–8.12 (m, 2H), 7.56–7.60 (m, 1H), 7.48–7.52 (m, 1H). The 1H-NMR data were in good agreement with those reported [54].
Bibenzo[b,d]thiophene-4-carbaldehyde (10hi): White solid; 36.08 g (85%); m.p. 117–119 °C. 1H-NMR (CDCl3, 400 MHz) δ: 10.27 (s, 1H), 8.40 (d, J = 7.6 Hz, 1H), 8.17–8.22 (m, 1H), 7.93–7.97 (m, 2H), 7.64 (t, J = 7.6 Hz, 1H), 7.47–7.54 (m, 2H). The 1H-NMR data were in good agreement with those reported [55].
To a stirred solution of 10ha–10hi (145 mmol) and NH2OH·HCl (20.15 g, 290 mmol) in 90% EtOH (300 mL) was added dropwise an aqueous solution prepared by dissolving K2CO3 (24.05 g, 174 mmol) in a minimal amount of water. After addition, the mixture was stirred at room temperature until the reaction completed as indicated by TLC analysis (typically within 5 h). The reaction mixture was concentrated to about one-third of its original volume on a rotary evaporator and the residue was poured into ice-water (400 mL). The resulting mixture was adjusted to pH 6–7 with diluted hydrochloric acid and extracted with CH2Cl2 (200 mL × 3). The combined extracts were washed with 5% brine (200 mL), dried (Na2SO4) and evaporated on a rotary evaporator to give a residue, which was purified by recrystallization from n-hexane/EtOAc (5/1 by v/v) to give 11ha–11hi. Oximes 11ha–11hi were used directly in the next step without further characterization.
The synthesis of 2ha–2hi from 11ha–11hi by the reduction with LiAlH4 was carried out using the identical operation to that for the synthesis of 2d, 2k and 2m from 13, 10k and 10m, respectively.
3.2.3. General Procedure for the Synthesis of Isothiocyanates 3c–3n and 3ha–3hi
A suspension of 16 (23.40 g, 140 mmol), BPO (5.09 g, 21 mmol) and NBS (29.90 g, 168 mmol) in CCl4 (400 mL) was stirred at reflux in N2 atmosphere until the completion of reaction as indicated by TLC analysis (typically within 12 h; once the reaction commenced, 2.55 g of BPO was added every 5 h until the reaction completed). The reaction mixture was cooled to room temperature and filtered off, and the filtrate was successively washed with saturated aqueous NaHCO3 (200 mL × 5) and 5% brine (200 mL), dried (Na2SO4) and evaporated on a rotary evaporator to afford a residue, which was purified by column chromatography to yield (4-cyano-1-naphthyl)methyl bromide (17). White solid; 31.35 g (91%); m.p. 113–115 °C. 1H-NMR (DMSO-d6, 400 MHz) δ: 8.34–8.37 (m, 1H), 8.13–8.21 (m, 2H), 7.82–7.89 (m, 3H), 5.27 (s, 2H).
To a stirred solution of 17 (30.76 g, 125 mmol) in DMF (300 mL) was added KSCN (24.30 g, 250 mmol), and the mixture thus obtained was stirred for 4 h at 140 °C in N2 atmosphere until the completion of reaction as indicated by TLC analysis. On cooling to room temperature, the reaction mixture was poured into ice-water (600 mL) while stirring. The resulting mixture was exacted with CH2Cl2 (200 mL × 3). The combined extracts were washed with 5% brine (300 mL), dried (Na2SO4) and evaporated on a rotary evaporator to give a residue, which was purified by column chromatography to afford (4-cyano-1-naphthyl)methyl isothiocyanate (3l). White solid; 20.47 g (73%); m.p. 113–115 °C. 1H-NMR (DMSO-d6, 400 MHz) δ: 8.18–8.22 (m, 3H), 7.81–7.89 (m, 2H), 7.75 (d, J = 7.6 Hz, 1H), 5.56 (s, 2H).
To a stirred solution of thiophosgene (15.18 g, 132 mmol) in dried CH2Cl2 (150 mL) cooled in an ice-water bath was added dropwise a solution prepared by dissolving 2c–2k, 2m–2n or 2ha–2hi (120 mmol) and DIPEA (46.53 g, 360 mmol) in dried CH2Cl2 (150 mL). The resulting mixture was stirred for 1 h in an ice-water bath and for another 1 h at room temperature. The reaction mixture was then poured into ice-water (300 mL) while stirring. The organic phase was separated, and the aqueous phase was back-extracted with CH2Cl2 (200 mL × 2). The combined organic phases were washed successively with 5% hydrochloric acid (100 mL × 2; for 3f and 3n, the washing with 5% hydrochloric acid is omitted) and saturated brine (300 mL), dried (Na2SO4) and evaporated on a rotary evaporator to give a residue, which was purified by column chromatography to afford 3c–3k, 3m–3n or 3ha–3hi.
Cyclohexylmethyl isothiocyanate (3c): Colorless oil; 18.26 g (98%). 1H-NMR (DMSO-d6, 400 MHz) δ: 3.51 (d, J = 6.4 Hz, 2H), 1.60–1.70 (m, 6H), 1.17–1.27 (m, 2H), 1.08–1.14 (m, 1H), 0.93–1.03 (m, 2H). The 1H-NMR data were in good agreement with those reported [56].
1-Adamantylmethyl isothiocyanate (3d): White solid; 22.89 g (92%); m.p. 76–77 °C. 1H-NMR (DMSO-d6, 400 MHz) δ: 3.33 (s, 2H), 1.98 (s, 3H), 1.67–1.70 (m, 3H), 1.57–1.60 (m, 3H), 1.50–1.51 (m, 6H).
Benzyl isothiocyanate (3e): Colorless oil; 15.94 g (89%). 1H-NMR (DMSO-d6, 400 MHz) δ: 7.34–7.44 (m, 5H), 4.93 (s, 2H). The 1H-NMR data were in good agreement with those reported [57].
3-Pyridinylmethyl isothiocyanate (3f): Colorless oil; 10.81 g (ca 61%). 1H-NMR (DMSO-d6, 400 MHz) δ: 8.59 (d, J = 1.6 Hz, 1H), 8.56 (d, J = 1.2 Hz and 4.8 Hz, 1H), 7.82 (d, J = 7.6 Hz, 1H), 7.45 (dd, J = 4.8 Hz and 8.0 Hz, 1H), 4.99 (s, 2H). The 1H-NMR data were in good agreement with those reported [56].
2-Furanylmethyl isothiocyanate (3g): Colorless oil; 15.87g (95%). 1H-NMR (DMSO-d6, 400 MHz) δ: 7.71 (s, 1H), 6.46–6.47 (m, 2H), 4.95 (s, 2H). The 1H-NMR data were in good agreement with those reported [56].
2-Thiophenylmethyl isothiocyanate (3h): Colorless oil; 16.39 g (88%). 1H-NMR (DMSO-d6, 400 MHz) δ: 7.56 (dd, J = 1.2 Hz and 5.2 Hz, 1H), 7.14 (d, J = 3.2 Hz, 1H), 7.03 (dd, J = 3.6 Hz and 5.2 Hz, 1H), 5.12 (s, 2H).
Biphenyl-4-methyl isothiocyanate (3i): White solid; 23.25 g (86%); m.p. 66–67 °C. 1H-NMR (DMSO-d6, 400 MHz) δ: 7.66–7.72 (m, 4H), 7.45–7.48 (m, 4H), 7.35–7.39 (m, 1H), 4.97 (s, 2H). The 1H-NMR data were in good agreement with those reported [56].
Diphenylmethyl isothiocyanate (3j): Colorless oil; 22.17 g (82%). 1H-NMR (DMSO-d6, 400 MHz) δ: 7.31–7.43 (m, 10H), 6.50 (s, 1H). The 1H-NMR data were in good agreement with those reported [58].
Benzo[b]furan-5-methyl isothiocyanate (3k): Colorless oil; 20.21 g (89%). 1H-NMR (DMSO-d6, 400 MHz) δ: 8.03 (d, J = 2.4 Hz, 1H), 7.68 (d, J = 1.2 Hz, 1H), 7.63 (d, J = 8.4 Hz, 1H), 7.33 (dd, J = 2.0 Hz and 8.4 Hz, 1H), 7.00 (d, J = 0.8 Hz and 2.4 Hz, 1H), 5.00 (s, 2H).
2-Naphthylmethyl isothiocyanate (3m): White solid; 20.33 g (85%); m.p. 62–63 °C. 1H-NMR (DMSO-d6, 400 MHz) δ: 7.90–7.98 (m, 4H), 7.49–7.57 (m, 3H), 5.11 (s, 2H).
Quinoline-6-methyl isothiocyanate (3n): White solid; 18.74 g (78%); m.p. 186–188 °C. 1H-NMR (DMSO-d6, 400 MHz) δ: 9.22 (dd, J = 1.2 Hz and 8.8 Hz, 1H), 9.03 (d, J = 8.4 Hz, 1H), 8.38 (d, J = 8.8 Hz, 1H), 8.27 (s, 1H), 8.03 (dd, J = 1.6 Hz and 8.8 Hz, 1H), 7.98 (dd, J = 5.2 Hz and 8.4 Hz, 1H), 5.28 (s, 2H).
(5-Chloro-2-thiophenyl)methyl isothiocyanate (3ha): Colorless oil; 19.80 g (87%). 1H-NMR (DMSO-d6, 400 MHz) δ: 7.03–7.05 (m, 2H), 5.06 (s, 2H).
(5-Methyl-2-thiophenyl)methyl isothiocyanate (3hb): Colorless oil; 16.66 g (82%). 1H-NMR (DMSO-d6, 400 MHz) δ: 6.92 (d, J = 3.6 Hz, 1H), 6.69–6.70 (m, 1H), 5.01 (s, 2H), 2.43 (s, 3H).
(5-Ethyl-2-thiophenyl)methyl isothiocyanate (3hc): Colorless oil; 18.69 g (92%). 1H-NMR (DMSO-d6, 400 MHz) δ: 6.93 (d, J = 3.6 Hz, 1H), 6.73 (d, J = 3.6 Hz, 1H), 5.02 (s, 2H), 2.78 (q, J = 7.5 Hz, 2H), 1.22 (t, J = 7.6 Hz, 3H).
(3-Methyl-2-thiophenyl)methyl isothiocyanate (3hd): Colorless oil; 11.98 g (59%). 1H-NMR (DMSO-d6, 400 MHz) δ: 7.43 (d, J = 5.2 Hz, 1H), 6.91 (d, J = 4.8 Hz, 1H), 5.03 (s, 2H), 2.20 (s, 3H).
(4-Methyl-2-thiophenyl)methyl isothiocyanate (3he): Colorless oil; 10.56 g (52%). 1H-NMR (DMSO-d6, 400 MHz) δ: 7.12 (s, 1H), 6.95 (s, 1H), 5.05 (s, 2H), 2.18 (s, 3H).
(3-Thiophenyl)methyl isothiocyanate (3hf) : Colorless oil; 15.46 g (83%). 1H-NMR (DMSO-d6, 400 MHz) δ: 7.58–7.60 (m, 1H), 7.53 (d, J = 2.0 Hz, 1H), 7.13 (dd, J = 0.8 Hz and 5.2 Hz, 1H), 4.90 (s, 2H). (5-Phenyl-2-thiophenyl)methyl isothiocyanate (3hg): White solid; 26.37 g (95%); m.p. 63–65 °C. 1H-NMR (DMSO-d6, 400 MHz) δ: 7.63–7.65 (m, 2H), 7.40–7.44 (m, 3H), 7.30–7.34 (m, 1H), 7.15 (d, J = 4.0 Hz, 1H), 5.14 (s, 2H).
(Benzo[b]thiophen-2-yl)methyl isothiocyanate (3hh): White solid; 23.65 g (96%); m.p. 62–64 °C. 1H-NMR (DMSO-d6, 400 MHz) δ: 7.96–7.98 (m, 1H), 7.84–7.86 (m, 1H), 7.46 (s, 1H), 7.35–7.41 (m, 2H), 5.25 (s, 2H).
(Dibenzo[b,d]thiophen-4-yl)methyl isothiocyanate (3hi): White solid; 28.19 g (92%); m.p. 81–83 °C. 1H-NMR (DMSO-d6, 400 MHz) δ: 8.39–8.42 (m, 2H), 8.09–8.11 (m, 1H), 7.53–7.60 (m, 4H), 5.24 (s, 2H).
3.2.4. General Procedure for the Synthesis of Thiones 5a–5n and 5ha–5hi
A mixture of isothiocyanate 3a–3n or 3ha–3hi (90 mmol) and formic hydrazide (6.49 g, 108 mmol) in THF (150 mL) was stirred at room temperature until the reaction completed as indicated by TLC analysis, when a white slurry formed. The crystals were collected by vacuum filtration and dried in vacuo at room temperature to give the intermediate 4a–4n or 4ha–4hi, which was used directly in the next step without further purification and characterization. Thus, 4a–4n or 4ha–4hi was dissolved in THF (150 mL; for 4a–4b) or DMF (150 mL; for 4c–4n and 4ha–4hi) followed by addition of aqueous K2CO3 prepared by dissolving K2CO3 (12.44 g, 90 mmol) in a minimal amount of water, and the solution thus obtained was stirred at 50 °C until completion of the reaction as indicated by TLC analysis (typically within 5 h). On cooling to room temperature, for 4a–4b: the reaction mixture was directly concentrated on a rotary evaporator to remove THF, and the aqueous residue was adjusted to pH 5–6 and further evaporated to dryness to give a residue, which was purified by column chromatography to afford 5a–5b; for 4c–4n or 4ha–4hi: the reaction mixture was poured into ice-water (300 mL), and the resulting mixture was adjusted to pH 5–6 with diluted hydrochloric acid to give a white slurry. The white crystals were collected by vacuum filtration, washed with water and dried in vacuo to give the crude product 5c–5n or 5ha–5hi as a white solid, which was triturated with EtOAc/n-hexane to yield the pure product 5c–5n or 5ha–5hi.
4-Ethyl-2,3-dihydro-4H-1,2,4-triazoline-3-thione (5a): White solid; 8.08 g (78%); m.p. 169–171 °C. 1H-NMR (DMSO-d6, 400 MHz) δ: 13.61 (brs, 1H), 8.38 (s, 1H), 3.42 (s, 3H). 13C-NMR (DMSO-d6, 100 MHz) δ: 166.36, 142.60, 31.27.
4-n-Propyl-2,3-dihydro-4H-1,2,4-triazoline-3-thione (5b): White solid; 8.49 g (73%); m.p. 90–91 °C. 1H-NMR (DMSO-d6, 400 MHz) δ: 13.63 (brs, 1H), 8.45 (s, 1H), 3.91 (q, J = 7.2 Hz, 2H), 1.26 (t, J = 7.2 Hz, 3H). 13C-NMR (DMSO-d6, 100 MHz) δ: 165.57, 141.53, 39.32, 13.92.
4-(Cyclohexylmethyl)-2,3-dihydro-4H-1,2,4-triazoline-3-thione (5c): White solid; 11.90 g (67%); m.p. 138–140 °C. 1H-NMR (DMSO-d6, 400 MHz) δ: 13.64 (brs, 1H), 8.42 (d, J = 1.2 Hz, 1H), 3.75 (d, J = 7.2 Hz, 1H), 1.79–1.88 (m, 1H), 1.59–1.68 (m, 3H), 1.50–1.53 (m, 2H), 1.10–1.20 (m, 3H), 0.90–0.99 (m, 2H). 13C-NMR (DMSO-d6, 100 MHz) δ: 166.15, 142.36, 49.58, 36.14, 29.69, 25.75, 24.97.
4-(1-Adamantylmethyl)-2,3-dihydro-4H-1,2,4-triazoline-3-thione (5d): White solid; 18.40 g (82%); m.p. 223–225 °C. 1H-NMR (DMSO-d6, 400 MHz) δ: 13.65 (brs, 1H), 8.34 (s, 1H), 3.68 (s, 2H), 1.93 (s, 3H), 1.62–1.65 (m, 3H), 1.47–1.56 (m, 9H). 13C-NMR (DMSO-d6, 100 MHz) δ: 167.29, 142.86, 54.42, 39.85, 36.14, 34.59, 27.48.
4-Benzyl-2,3-dihydro-4H-1,2,4-triazoline-3-thione (5e): White solid; 13.08 g (76%); m.p. 121–123 °C. 1H-NMR (DMSO-d6, 400 MHz) δ: 13.76 (brs, 1H), 8.54 (s, 1H), 7.29–7.38 (m, 5H), 5.16 (s, 2H). 13C-NMR (DMSO-d6, 100 MHz) δ: 166.28, 142.04, 135.99, 128.60, 127.85, 127.75, 46.88.
4-(3-Pyridinylmethyl)-2,3-dihydro-4H-1,2,4-triazoline-3-thione (5f): White solid; 12.46 g (72%); m.p. 211–213 °C. 1H-NMR (DMSO-d6, 400 MHz) δ: 13.80 (brs, 1H), 8.62 (d, J = 2.0 H, 1Hz), 8.60 (s, 1H), 8.51–8.52 (m, 1H), 7.75–7.78 (m, 1H), 7.37–7.40 (m, 1H), 5.20 (s, 2H). 13C-NMR (DMSO-d6, 100 MHz) δ: 166.22, 149.19, 149.10, 142.02, 135.66, 131.61, 123.62, 44.70.
4-(2-Furanylmethyl)-2,3-dihydro-4H-1,2,4-triazoline-3-thione (5g): White solid; 12.72 g (78%); m.p. 133–135 °C. 1H-NMR (DMSO-d6, 400 MHz) δ: 13.76 (brs, 1H), 8.45 (s, 1H), 7.64 (d, J = 1.6 Hz, 1H), 6.43–6.46 (m, 2H), 5.17 (s, 2H). 13C-NMR (DMSO-d6, 100 MHz) δ: 166.04, 148.30, 143.35, 141.74, 110.75, 109.46, 40.41.
4-(2-Thiophenylmethyl)-2,3-dihydro-4H-1,2,4-triazoline-3-thione (5h): White solid; 13.50 g (76%); m.p. 108–110 °C. 1H-NMR (DMSO-d6, 400 MHz) δ: 13.74 (brs, 1H), 8.54 (s, 1H), 7.47 (dd, J = 1.2 Hz and 4.8 Hz, 1H), 7.20 (d, J = 3.2 Hz, 1H), 6.99–7.01 (m, 1H), 5.33 (s, 2H). 13C-NMR (DMSO-d6, 100 MHz) δ: 165.84, 141.62, 137.60, 127.85, 126.91, 126.81, 41.73.
4-(Biphenyl-4-methyl)-2,3-dihydro-4H-1,2,4-triazoline-3-thione (5i): White solid; 18.53 g (77%); m.p. 178–180 °C. 1H-NMR (DMSO-d6, 400 MHz) δ: 13.79 (brs, 1H), 8.59 (d, J = 1.2 Hz, 1H), 7.63–7.66 (m, 4H), 7.43–7.47 (m, 4H), 7.36 (t, J = 7.2 Hz, 1H), 5.21 (s, 2H). 13C-NMR (DMSO-d6, 100 MHz) δ: 166.29, 142.09, 139.77, 139.59, 135.16, 128.89, 128.40, 127.51, 126.91, 126.63, 46.61.
4-(Diphenylmethyl)-2,3-dihydro-4H-1,2,4-triazoline-3-thione (5j): White solid; 18.04 g (75%); m.p. 166–168 °C. 1H-NMR (DMSO-d6, 400 MHz) δ: 13.94 (brs, 1H), 8.50 (s, 1H), 7.35–7.43 (m, 6H), 7.18–7.19 (m, 4H), 7.08 (s, 1H). 13C-NMR (DMSO-d6, 100 MHz) δ: 166.38, 140.77, 138.00, 128.84, 128.15, 127.99, 61.08.
4-(Benzo[b]furan-5-methyl)-2,3-dihydro-4H-1,2,4-triazoline-3-thione (5k): White solid; 14.78 g (71%); m.p. 151–153 °C. 1H-NMR (DMSO-d6, 400 MHz) δ: 13.75 (brs, 1H), 8.54 (s, 1H), 7.99 (d, J = 2.0 Hz, 1H), 7.66 (d, J = 1.2 Hz, 1H), 7.58 (d, J = 8.4 Hz, 1H), 7.35–7.38 (m, 1H), 6.96 (d, J = 2.8 Hz, 1H), 5.24 (s, 2H). 13C-NMR (DMSO-d6, 100 MHz) δ: 166.17, 153.86, 146.64, 142.00, 130.77, 127.39, 124.46, 120.93, 111.41, 106.71, 47.00.
4-((4-Cyano-1-naphthyl)methyl]-2,3-dihydro-4H-1,2,4-triazoline-3-thione (5l): White solid; 15.64 g (72%); m.p. 218–220 °C. 1H-NMR (DMSO-d6, 400 MHz) δ: 13.94 (brs, 1H), 8.46 (s, 1H), 8.36 (d, J = 8.4 Hz, 1H), 8.19 (d, J = 8.0 Hz, 1H), 8.16 (d, J = 7.2 Hz, 1H), 7.79–7.88 (m, 2H), 7.25 (d, J = 7.6 Hz, 1H), 5.74 (s, 2H). 13C-NMR (DMSO-d6, 100 MHz) δ: 166.49, 142.16, 137.78, 132.88, 131.56, 129.83, 129.12, 128.35, 125.09, 124.64, 124.30, 117.36, 109.18, 45.06.
4-(2-Naphthylmethyl)-2,3-dihydro-4H-1,2,4-triazoline-3-thione (5m): White solid; 14.77 g (68%); m.p. 165–167 °C. 1H-NMR (DMSO-d6, 400 MHz) δ: 13.80 (brs, 1H), 8.59 (d, J = 1.2 Hz, 1H), 7.88–7.92 (m, 3H), 7.81 (s, 1H), 7.49–7.54 (m, 3H), 5.33 (s, 2H). 13C-NMR (DMSO-d6, 100 MHz) δ: 166.35, 142.16, 133.51, 132.67, 132.39, 128.36, 127.72, 127.55, 126.53, 126.45, 126.25, 125.63, 47.12.
4-(Quinoline-6-methyl)-2,3-dihydro-4H-1,2,4-triazoline-3-thione (5n): White solid; 16.36 g (75%); m.p. 272–275 °C. 1H-NMR (DMSO-d6, 400 MHz) δ: 13.82 (brs, 1H), 8.89 (dd, J = 1.6 Hz and 4.4 Hz, 1H), 8.62 (s, 1H), 8.35 (d, J = 8.4 Hz, 1H), 8.01 (d, J = 8.8 Hz, 1H), 7.85 (s, 1H), 7.75 (dd, J = 2.0 Hz and 8.8 Hz, 1H), 7.51–7.55 (m, 1H), 5.37 (s, 2H). 13C-NMR (DMSO-d6, 100 MHz) δ: 166.36, 150.76, 147.16, 142.19, 135.97, 134.17, 129.41, 129.15, 127.55, 126.69, 121.81, 46.85.
4-((5-Chloro-2-thiophenyl)methyl]-2,3-dihydro-4H-1,2,4-triazoline-3-thione (5ha): White solid; 15.02 g (72%); m.p. 176–178 °C. 1H-NMR (DMSO-d6, 400 MHz) δ: 13.79 (brs, 1H), 8.55 (s, 1H), 7.08 (d, J = 3.6 Hz, 1H), 7.01 (d, J = 3.6 Hz, 1H), 5.25 (s, 2H). 13C-NMR (DMSO-d6, 100 MHz) δ: 165.77, 141.54, 136.87, 128.71, 128.02, 126.34, 42.01.
4-((5-Methyl-2-thiophenyl)methyl]-2,3-dihydro-4H-1,2,4-triazoline-3-thione (5hb): White solid; 13.31 g (70%); m.p. 131–133 °C. 1H-NMR (DMSO-d6, 400 MHz) δ: 13.72 (brs, 1H), 8.50 (s, 1H), 6.98 (d, J = 3.2 Hz, 1H), 6.66–6.67 (m, 1H), 5.23 (s, 2H), 2.37 (s, 3H). 13C-NMR (DMSO-d6, 100 MHz) δ: 165.81, 141.56, 140.31, 135.16, 127.87, 125.00, 42.01, 14.87.
4-((5-Ethyl-2-thiophenyl)methyl]-2,3-dihydro-4H-1,2,4-triazoline-3-thione (5hc): White solid; 15.21 g (75%); m.p. 64–66 °C. 1H-NMR (DMSO-d6, 400 MHz) δ: 13.73 (brs, 1H), 8.51 (s, 1H), 7.00 (d, J = 3.6 Hz, 1H), 6.70 (d, J = 3.2 Hz, 1H), 5.25 (s, 2H), 2.73 (q, J = 7.5 Hz, 2H), 1.18 (t, J = 7.6 Hz, 3H). 13C-NMR (DMSO-d6, 100 MHz) δ: 165.84, 147.80, 141.56, 134.82, 127.65, 123.22, 42.06, 22.75, 15.72.
4-((3-Methyl-2-thiophenyl)methyl]-2,3-dihydro-4H-1,2,4-triazoline-3-thione (5hd): White solid; 14.83 g (78%); m.p. 113–115 °C. 1H-NMR (DMSO-d6, 400 MHz) δ: 13.74 (brs, 1H), 8.41 (s, 1H), 7.38 (d, J = 5.2 Hz, 1H), 6.86 (d, J = 5.2 Hz, 1H), 5.26 (s, 2H), 2.28 (s, 3H). 13C-NMR (DMSO-d6, 100 MHz) δ: 165.87, 141.59, 136.18, 130.91, 129.96, 125.12, 40.26, 13.64.
4-((4-Methyl-2-thiophenyl)methyl]-2,3-dihydro-4H-1,2,4-triazoline-3-thione (5he): White solid; 14.45 g (76%); m.p. 98–100 °C. 1H-NMR (DMSO-d6, 400 MHz) δ: 13.73 (brs, 1H), 8.52 (s, 1H), 7.03 (s, 1H), 6.99 (s, 1H), 5.26 (s, 2H), 2.15 (s, 3H). 13C-NMR (DMSO-d6, 100 MHz) δ: 165.86, 141.61, 137.39, 136.83, 129.84, 121.71, 41.90, 15.26.
4-((3-Thiophenyl)methyl]-2,3-dihydro-4H-1,2,4-triazoline-3-thione (5hf): White solid; 12.55 g (70%); m.p. 109–110 °C. 1H-NMR (DMSO-d6, 400 MHz) δ: 13.73 (brs, 1H), 8.51 (s, 1H), 7.53 (dd, J = 3.2 Hz and 4.8 Hz, 1H), 7.47 (d, J = 1.6 Hz, 1H), 7.16 (dd, J = 0.8 Hz and 4.8 Hz, 1H), 5.13 (s, 2H). 13C-NMR (DMSO-d6, 100 MHz) δ: 166.01, 141.86, 136.42, 127.40, 127.06, 124.18, 42.41.
4-((5-Phenyl-2-thiophenyl)methyl]-2,3-dihydro-4H-1,2,4-triazoline-3-thione (5hg): White solid; 16.73 g (68%); m.p. 160–162 °C. 1H-NMR (DMSO-d6, 400 MHz) δ: 13.78 (brs, 1H), 8.58 (s, 1H), 7.58–7.60 (m, 2H), 7.37–7.41 (m, 3H), 7.30 (t, J = 7.4 Hz, 1H), 7.20 (d, J = 3.6 Hz, 1H), 5.34 (s, 2H). 13C-NMR (DMSO-d6, 100 MHz) δ: 165.88, 143.95, 141.64, 137.14, 133.38, 129.18, 129.09, 127.78, 125.27, 123.27, 42.01.
4-((Benzo[b]thiophen-2-yl)methyl]-2,3-dihydro-4H-1,2,4-triazoline-3-thione (5hh): White solid; 15.80 g (71%); m.p. 185–188 °C. 1H-NMR (DMSO-d6, 400 MHz) δ: 13.82 (brs, 1H), 8.60 (s, 1H), 7.90–7.92 (m, 1H), 7.81–7.83 (m, 1H), 7.45 (s, 1H), 7.31–7.38 (m, 2H), 5.45 (s, 2H). 13C-NMR (DMSO-d6, 100 MHz) δ: 166.19, 141.85, 139.50, 138.90, 138.87, 124.79, 124.66, 124.18, 123.80, 122.56, 42.84.
4-((Dibenzo[b,d]thiophen-4-yl)methyl]-2,3-dihydro-4H-1,2,4-triazoline-3-thione (5hi): White solid; 18.20 g (68%); m.p. 240–242 °C. 1H-NMR (DMSO-d6, 400 MHz) δ: 13.87 (brs, 1H), 8.46 (s, 1H), 8.35–8.40 (m, 2H), 8.05–8.08 (m, 1H), 7.51–7.56 (m, 3H), 7.29 (d, J = 7.2 Hz, 1H), 5.42 (s, 2H). 13C-NMR (DMSO-d6, 100 MHz) δ: 166.71, 142.14, 138.15, 136.79, 135.78, 134.94, 129.79, 127.32, 126.14, 125.13, 124.95, 123.00, 122.20, 121.67, 46.32.
3.2.5. General Procedure for the Synthesis of Thiones 5o and 5q
A solution of isothiocyanate 3l or 3h (90 mmol) and NH2CH2CH(OMe)2 (11.36 g, 108 mmol) in THF (150 mL) was stirred at room temperature until the reaction completed as indicated by TLC analysis. The reaction mixture was evaporated on a rotary evaporator to give the crude intermediate 4o or 4p, which was used directly in the next step without further purification. Thus, the crude 4o or 4p was suspended in 25% aqueous H2SO4 containing 20% acetic acid (by v/v) and stirred at reflux for 3 h when TLC analysis indicated the reaction was completed. On cooling to room temperature, the reaction mixture was poured into ice-water (450 mL) and the white crystals were collected by vacuum filtration, washed with water and dried in vacuo to give the crude product 5o or 5q, which was triturated with EtOAc/n-hexane to yield the pure product 5o or 5q.
1-((4-Cyano-1-naphthyl)methyl)-2,3-dihydro-1H-imidazoline-2-thione (5o): White solid; 17.43 g (73%); m.p. 287–289 °C. 1H-NMR (DMSO-d6, 400 MHz) δ: 12.33 (brs, 1H), 8.40 (d, J = 8.4 Hz, 1H), 8.14–8.18 (m, 2H), 7.85 (t, J = 7.4 Hz, 1H), 7.78 (t, J = 7.6 Hz, 1H), 7.18 (d, J = 7.2 Hz, 1H), 6.97–7.01 (m, 2H), 5.73 (s, 2H). 13C-NMR (DMSO-d6, 100 MHz) δ: 161.66, 139.23, 132.89, 131.55, 130.03, 129.04, 128.17, 124.97, 124.62, 124.49, 118.38, 117.47, 115.13, 108.77, 46.95.
1-((2-Thiophenyl)methyl)-2,3-dihydro-1H-imidazoline-2-thione (5q): White solid; 12.37 g (70%); m.p. 124–126 °C. 1H-NMR (DMSO-d6, 400 MHz) δ: 12.12 (brs, 1H), 7.43 (d, J = 5.2 Hz, 1H), 7.16 (d, J = 3.2 Hz, 1H), 7.08–7.09 (m, 1H), 6.98 (dd, J = 3.6 Hz and 5.2 Hz, 1H), 6.86–6.87 (m, 1H), 5.31 (s, 2H). 13C-NMR (DMSO-d6, 100 MHz) δ: 160.94, 138.85, 127.27, 126.68, 126.32, 117.81, 114.64, 43.57.
3.2.6. Procedure for the Synthesis of (4-Cyano-1-naphthyl)(4-mercapto-3-pyridinyl)methane (5p)
A solution of 17 (49.22 g, 200 mmol) and hexamethylenetetramine (56.07 g, 400 mmol) in 50% acetic acid was stirred at reflux for 6 h followed by addition of concentrated hydrochloric acid (10 mL). The reflux was continued for another 0.5 h, when the reaction completed as indicated by TLC analysis. On cooling to room temperature, the reaction mixture was concentrated to half its original volume and poured into ice-water (300 mL) while stirring. The resulting mixture was extracted with CH2Cl2 (200 mL × 3), and the combined extracts were washed successively with saturated aqueous NaHCO3 (200 mL × 3) and 5% brine (300 mL), dried (Na2SO4) and evaporated on a rotary evaporator to give a residue, which was purified by column chromatography to afford 4-cyano-1-naphthaldehyde (19). Yellow solid; 30.45 g (78%); m.p. 138–141 °C (literature value, 143–144 °C [59]). 1H-NMR (DMSO-d6, 400 MHz) 10.54 (s, 1H), 9.17–9.21 (m, 1H), 8.41 (d, J = 7.2 Hz, 1H), 8.29 (d, J = 7.2 Hz, 1H), 8.23–8.27 (m, 1H), 7.89–7.93 (m, 2H).
To a stirred solution of 3-bromo-4-chloropyridine (20, 28.86 g, 150 mmol ) in dried THF (350 mL) held at –78 °C in N2 atmosphere was added dropwise 1.6M n-BuLi in n-hexane (93.75 mL, 150 mmol) via syringe. After addition, the resulting mixture was stirred at this temperature for another 0.5 h, followed by addition of a solution of 19 (29.28 g, 150 mmol) in dried THF (150 mL) in a dropwise manner via syringe. The reaction mixture was slowly warmed to room temperature and stirred at room temperature for another 1 h. The reaction mixture was slowly poured into ice-water (600 mL). The mixture thus obtained was extracted with CH2Cl2 (200 mL × 3), and the combined extracts were washed with 5% brine (200 mL), dried (Na2SO4) and evaporated on a rotary evaporator to give a residue, which was purified by column chromatography to afford (4-chloro-3-pyridinyl)(4-cyano-1-naphthyl)methanol (22). White solid; 29.62 g (67%); m.p. 178–180 °C. 1H-NMR (DMSO-d6, 400 MHz) δ: 8.55 (s, 1H), 8.49 (d, J = 5.6 Hz, 1H), 8.21 (d, J = 8.4 Hz, 1H), 8.17 (d, J = 8.0 Hz, 1H), 8.16 (d, J = 7.6 Hz, 1H), 7.79–7.83 (m, 1H), 7.72–7.76 (m, 1H), 7.58 (d, J = 5.2 Hz, 1H), 7.57 (d, J = 7.6 Hz, 1H), 6.78 (d, J = 5.6 Hz, 1H), 6.62 (d, J = 6.0 Hz, 1H).
To a stirred solution of 22 (26.53 g, 90 mmol) in dried CH2Cl2 (300 mL) cooled in an ice-water bath was added thionyl chloride (12.85 g, 108 mmol). After addition, the resulting mixture was stirred at room temperature until the reaction completed as indicated by TLC analysis (typically within 4 h) and poured into ice-water (600 mL) while stirring. The mixture thus obtained was adjusted to pH 7–8 with saturated aqueous NaHCO3. The organic phase was separated, and the aqueous phase was back-extracted with CH2Cl2 (200 mL × 2). The combined organic phases were washed with 5% brine (300 mL), dried (Na2SO4) and evaporated on a rotary evaporator to give crude (4-chloro-3-pyridinyl)(4-cyano-1-naphthyl)methyl chloride (23) as a residue, which was used directly in the next step without further purification.
To a stirred solution of crude 23 prepared above (deemed to be 90 mmol) in acetic acid (300 mL) was added Zn powder (13.08 g, 200 mmol) in a portionwise manner at room temperature, and after addition, the reaction mixture was stirred at room temperature until the reaction completed as indicated by TLC analysis (typically within 5 h). The reaction mixture was diluted with CH2Cl2 (300 mL) and the resulting mixture was further stirred for 10 min and filtered off through Celite. The filtrate was evaporated on a rotary evaporator to almost dryness, and the residue was dissolved in CH2Cl2 (200 mL). The solution thus obtained was washed successively saturated aqueous NaHCO3 (200 mL) and 5% brine (200 mL), dried (Na2SO4) and evaporated on a rotary evaporator to give a residue, which was purified by column chromatography to afford (4-chloro-3-pyridinyl)(4-cyano-1-naphthyl)methane (24). White solid; 18.48 g (78%); m.p. 155–157 °C. 1H-NMR (DMSO-d6, 400 MHz) δ: 8.48 (d, J = 5.6 Hz, 1H), 8.39 (s, 1H), 8.31 (d, J = 8.4 Hz, 1H), 8.18 (d, J = 8.0 Hz, 1H), 8.08 (d, J = 7.6 Hz, 1H), 7.84 (t, J = 7.4 Hz, 1H), 7.76–7.80 (m, 1H), 7.63 (d, J = 5.2 Hz, 1H), 7.16 (d, J = 7.6 Hz, 1H), 4.68 (s, 2H).
A solution of 24 (15.33 g, 55 mmol) and Na2S·9H2O (39.63 g, 165 mmol) in DMF (200 mL) was stirred at 110 °C in N2 atmosphere until the reaction completed as indicated by TLC analysis (typically within 12 h). On cooling to room temperature, the reaction mixture was concentrated on a rotary evaporator to about 50 mL and poured into ice-water (600 mL) while stirring, and the mixture thus obtained was adjusted to pH 5–6 and extracted with CH2Cl2 (200 mL × 3). The combined organic phases were washed with 5% brine (100 mL), dried (Na2SO4) and evaporated on a rotary evaporator to give a residue, which was purified by column chromatography to afford the pure compound 5p. White solid; 10.94 g (72%); m.p. 208–211 °C. 1H-NMR (DMSO-d6, 400 MHz) δ: 12.38 (brs, 1H), 8.08–8.15 (m, 3H), 7.79 (t, J = 7.8 Hz, 1H), 7.69 (t, J = 7.4 Hz, 1H), 7.56 (d, J = 6.4 Hz, 1H), 7.44 (d, J = 7.6 Hz, 1H), 7.39 (d, J = 6.8 Hz, 1H), 7.29 (s, 1H), 4.60 (s, 2H). 13C-NMR (DMSO-d6, 100 MHz) δ: 188.80, 143.10, 137.95, 132.97, 132.87, 131.75, 131.28, 131.19, 130.04, 128.70, 127.81, 126.05, 125.16, 124.92, 117.80, 107.49, 34.86.
3.2.7. General Procedure for the Synthesis of Esters 6a–6x and 6ha–6hi
A mixture of thiones or thiol 5a–5q or 5ha–5hi (60 mmol), bromoacetates BrCH2CO2Me, (CH3)2CBrCO2Et or ethyl 1-bromocyclobutanecarboxylate (80 mmol) and K2CO3 (16.59 g, 120 mmol) in a suitable solvent (200 mL; acetone for 5a–5b or DMF for the others) was stirred at a temperature specified in Scheme 1, Scheme 2, Scheme 3, Scheme 4 and Scheme 5 until the completion of reaction as indicated by TLC analysis (typically within 12 h). On cooling to room temperature (if necessary), for 5a–5b: the reaction mixture was filtered off and the filtrate was evaporated on a rotary evaporator to give a residue, which was purified by column chromatography to afford 6a–6b; for the others: the reaction mixture was poured into ice-water (300 mL), and the resulting mixture was extracted with CH2Cl2 (100 mL × 3). The combined extracts were washed with 5% brine (100 mL × 5), dried (Na2SO4) and evaporated on a rotary evaporator to afford the crude product as a residue, which was purified by column chromatography to yield the pure product 6c–6x or 6ha–6hi.
Methyl 2-((4-ethyl-4H-1,2,4-triazol-3-yl)thio)acetate (6a): White solid; 9.32 g (83%); m.p. 67–69 °C. 1H-NMR (DMSO-d6, 400 MHz) δ: 8.53 (s, 1H), 4.03 (s, 2H), 3.63 (s, 3H), 3.58 (s, 3H). 13C-NMR (DMSO-d6, 100 MHz) δ: 168.85, 148.31, 146.26, 52.42, 34.56, 30.73.
Methyl 2-((4-n-propyl-4H-1,2,4-triazol-3-yl)thio)acetate (6b): Colorless oil; 9.42 g (78%). 1H-NMR (DMSO-d6, 400 MHz) δ: 8.60 (s, 1H), 4.06 (s, 2H), 3.96 (q, J = 7.3 Hz, 2H), 3.63 (s, 3H), 1.31 (t, J = 7.2 Hz, 3H). 13C-NMR (DMSO-d6, 100 MHz) δ: 168.78, 147.56, 145.03, 52.41, 39.37, 34.50, 15.19.
Methyl 2-((4-(cyclohexylmethyl)-4H-1,2,4-triazol-3-yl)thio)acetate (6c): White solid; 13.25 g (82%); m.p. 56–58 °C. 1H-NMR (DMSO-d6, 400 MHz) δ: 8.55 (s, 1H), 4.07 (s, 2H), 3.79 (d, J = 7.2 Hz, 2H), 3.63 (s, 3H), 1.59–1.72 (m, 4H), 1.47–1.50 (m, 2H), 1.09–1.21 (m, 3H), 0.87–0.96 (m, 2H). 13C-NMR (DMSO-d6, 100 MHz) δ: 168.67, 148.12, 145.87, 52.35, 49.80, 37.67, 34.50, 29.63, 25.64, 24.94.
Methyl 2-((4-(1-adamantylmethyl)-4H-1,2,4-triazol-3-yl)thio)acetate (6d): White solid; 15.62 g (81%); m.p. 214–216 °C. 1H-NMR (DMSO-d6, 400 MHz) δ: 8.48 (s, 1H), 4.07 (s, 2H), 3.65 (s, 2H), 3.62 (s, 3H), 1.94 (s, 3H), 1.63–1.66 (m, 3H), 1.52–1.55 (m, 3H), 1.42 (s, 6H). 13C-NMR (CDCl3, 100 MHz) δ: 168.96, 150.42, 145.75, 56.82, 52.99, 40.22, 36.49, 35.79, 34.72, 28.06.
Methyl 2-((4-benzyl-4H-1,2,4-triazol-3-yl)thio)acetate (6e): White solid; 12.01 g (76%); m.p. 82–84 °C. 1H-NMR (DMSO-d6, 400 MHz) δ: 8.71 (s, 1H), 7.32–7.40 (m, 3H), 7.22–7.23 (m, 2H), 5.21 (s, 2H), 4.03 (s, 2H), 3.62 (s, 3H). 13C-NMR (DMSO-d6, 100 MHz) δ: 168.63, 148.22, 145.77, 135.59, 128.79, 128.06, 127.41, 52.39, 47.34, 34.39.
Methyl 2-((4-(3-pyridinylmethyl)-4H-1,2,4-triazol-3-yl)thio)acetate (6f): Colorless oil; 10.78 g (68%). 1H-NMR (DMSO-d6, 400 MHz) δ: 8.74 (s, 1H), 8.53–8.54 (m, 2H), 7.63–7.65 (m, 1H), 7.39–7.42 (m, 1H), 5.27 (s, 2H), 4.05 (s, 2H), 3.61 (s, 3H). 13C-NMR (DMSO-d6, 100 MHz) δ: 168.60, 149.36, 148.89, 148.17, 145.75, 135.39, 131.28, 123.80, 52.41, 45.01, 34.40.
Methyl 2-((4-(2-furanylmethyl)-4H-1,2,4-triazol-3-yl)thio)acetate (6g): White solid; 11.40 g (75%); m.p. 67–69 °C. 1H-NMR (DMSO-d6, 400 MHz) δ: 8.63 (s, 1H), 7.65 (d, J = 1.6 Hz, 1H), 6.48 (d, J = 3.2 Hz, 1H), 6.44–6.46 (m, 1H), 5.25 (s, 2H), 4.04 (s, 2H), 3.63 (s, 3H). 13C-NMR (DMSO-d6, 100 MHz) δ: 168.71, 148.16, 148.14, 145.54, 143.72, 110.78, 109.57, 52.41, 40.65, 34.56.
Methyl 2-((4-(2-thiophenylmethyl)-4H-1,2,4-triazol-3-yl)thio)acetate (6h): Colorless oil; 16.30 g (78%). 1H-NMR (DMSO-d6, 400 MHz) δ: 8.70 (s, 1H), 7.52–7.53 (m, 1H), 7.12–7.13 (m, 1H), 7.01–7.03 (m, 1H), 5.42 (s, 2H), 4.05 (s, 2H), 3.62 (s, 3H). 13C-NMR (DMSO-d6, 100 MHz) δ: 168.66, 147.95, 145.35, 137.68, 127.64, 127.21, 127.02, 52.40, 42.25, 34.61.
Methyl 2-((4-(biphenyl-4-methyl)-4H-1,2,4-triazol-3-yl)thio)acetate (6i): White solid; 15.48 g (76%); m.p. 152–154 °C. 1H-NMR (DMSO-d6, 400 MHz) δ: 8.76 (s, 1H), 7.64–7.68 (m, 4H), 7.45 (t, J = 7.6 Hz, 2H), 7.37 (d, J = 7.2 Hz, 1H), 7.31–7.34 (m, 2H), 5.26 (s, 2H), 4.05 (s, 2H), 3.62 (s, 3H). 13C-NMR (DMSO-d6, 100 MHz) δ: 168.65, 148.24, 145.81, 139.92, 139.43, 134.74, 128.91, 128.05, 127.59, 127.07, 126.64, 52.40, 47.04, 34.40.
Methyl 2-((4-(diphenylmethyl)-4H-1,2,4-triazol-3-yl)thio)acetate (6j): Colorless oil; 16.90 g (83%). 1H-NMR (DMSO-d6, 400 MHz) δ: 8.30 (s, 1H), 7.36–7.44 (m, 6H), 7.18–7.19 (m, 4H), 6.79 (s, 1H), 4.03 (s, 2H), 3.61 (s, 3H). 13C-NMR (DMSO-d6, 100 MHz) δ: 168.64, 148.70, 144.48, 137.65, 128.92, 128.47, 127.99, 62.12, 52.41, 34.58.
Methyl 2-((4-(benzo[b]furan-5-methyl)-4H-1,2,4-triazol-3-yl)thio)acetate (6k): White solid; 14.38 g (79%); m.p. 82–85 °C. 1H-NMR (DMSO-d6, 400 MHz) δ: 8.74 (s, 1H), 8.01 (d, J = 2.4 Hz, 1H), 7.60 (d, J = 8.8 Hz, 1H), 7.54 (s, 1H), 7.22–7.24 (m, 1H), 6.96 (d, J = 1.2 Hz, 1H), 5.29 (s, 2H), 4.04 (s, 2H), 3.61 (s, 3H). 13C-NMR (DMSO-d6, 100 MHz) δ: 168.66, 153.88, 148.17, 146.83, 145.73, 130.27, 127.53, 124.05, 120.55, 111.59, 106.71, 52.38, 47.46, 34.37.
Methyl 2-((4-((4-cyano-1-naphthyl)methyl)-4H-1,2,4-triazol-3-yl)thio)acetate (6l): White solid; 16.65 g (82%); m.p. 135–137 °C. 1H-NMR (DMSO-d6, 400 MHz) δ: 8.72 (s, 1H), 8.30 (d, J = 8.0 Hz, 1H), 8.20 (d, J = 8.0 Hz, 1H), 8.15 (d, J = 7.6 Hz, 1H), 7.81–7.90 (m, 2H), 7.00 (d, J = 7.2 Hz, 1H), 5.87 (s, 2H), 4.07 (s, 2H), 3.61 (s, 3H). 13C-NMR (DMSO-d6, 100 MHz) δ: 168.59, 148.78, 146.17, 137.70, 132.92, 131.49, 129.58, 129.27, 128.47, 125.08, 124.17, 123.82, 117.29, 109.30, 52.45, 45.32, 34.53.
Methyl 2-((4-(2-naphthylmethyl)-4H-1,2,4-triazol-3-yl)thio)acetate (6m): White solid; 15.04 g (80%); m.p. 101–103 °C. 1H-NMR (DMSO-d6, 400 MHz) δ: 8.78 (s, 1H), 7.88–7.94 (m, 3H), 7.73 (s, 1H), 7.51–7.55 (m, 2H), 7.37–7.39 (m, 1H), 5.39 (s, 2H), 4.03 (s, 2H), 3.60 (s, 3H). 13C-NMR (DMSO-d6, 100 MHz) δ: 168.63, 148.34, 145.90, 133.06, 132.67, 132.42, 128.58, 127.74, 127.58, 126.57, 126.40, 126.27, 125.16, 52.36, 47.55, 34.38.
Methyl 2-((4-(quinoline-6-methyl)-4H-1,2,4-triazol-3-yl)thio)acetate (6n): White solid; 14.33 g (76%); m.p. 141–143 °C. 1H-NMR (DMSO-d6, 400 MHz) δ: 8.90 (dd, J = 1.6 Hz and 4.4 Hz, 1H), 8.80 (s, 1H), 8.35 (d, J = 8.0 Hz, 1H), 8.03 (d, J = 8.4 Hz, 1H), 7.77 (d, J = 0.8 Hz, 1H), 7.62–7.65 (m, 1H), 7.54 (dd, J = 4.4 Hz and 8.4 Hz, 1H), 5.44 (s, 2H), 4.04 (s, 2H), 3.59 (s, 3H). 13C-NMR (DMSO-d6, 100 MHz) δ: 168.63, 150.93, 148.38, 147.20, 145.95, 136.00, 133.77, 129.65, 128.72, 127.61, 126.46, 121.94, 52.38, 47.26, 34.43.
Ethyl 2-((4-((4-cyano-1-naphthyl)methyl)-4H-1,2,4-triazol-3-yl)thio)-2-methylpropionate (6o): White solid; 14.38 g (63%); m.p. 110–112 °C. 1H-NMR (DMSO-d6, 400 MHz) δ: 8.81 (s, 1H), 8.29 (d, J = 8.4 Hz, 1H), 8.20 (d, J = 8.4 Hz, 1H), 8.12 (d, J = 7.6 Hz, 1H), 7.82–7.91 (m, 2H), 6.85 (d, J = 7.6 Hz, 1H), 5.86 (s, 2H), 4.06 (q, J = 7.1 Hz, 2H), 1.52 (s, 6H), 1.10 (t, J = 7.2 Hz, 3H). 13C-NMR (DMSO-d6, 100 MHz) δ: 172.09, 146.45, 138.21, 132.96, 131.44, 129.39, 129.28, 129.24, 128.46, 125.11, 123.97, 123.36, 117.22, 109.28, 61.36, 53.28, 45.41, 25.84, 13.67.
Ethyl 1-((4-((4-cyano-1-naphthyl)methyl)-4H-1,2,4-triazol-3-yl)thio)cyclobutanecarboxylate (6p): White solid; 15.01 g (58%); m.p. 141–143 °C. 1H-NMR (DMSO-d6, 400 MHz) δ: 8.79 (s, 1H), 8.29 (d, J = 8.4 Hz, 1H), 8.20 (d, J = 8.0 Hz, 1H), 8.14 (d, J = 7.2 Hz, 1H), 7.82–7.91 (m, 2H), 6.89 (d, J = 7.6 Hz, 1H), 5.85 (s, 2H), 4.05 (q, J = 7.1 Hz, 2H), 2.57–2.65 (m, 2H), 2.24–2.31 (m, 2H), 2.03–2.12 (m, 1H), 1.83–1.91 (m, 1H), 1.09 (t, J = 7.0 Hz, 3H). 13C-NMR (DMSO-d6, 100 MHz) δ: 171.64, 146.97, 146.25, 138.08, 132.98, 131.47, 129.44, 129.33, 128.51, 125.15, 123.99, 123.47, 117.26, 109.30, 61.28, 54.07, 45.37, 31.76, 15.55, 13.72.
Methyl 2-((1-((4-cyano-1-naphthyl)methyl)-1H-imidazol-2-yl)thio)acetate (6q): White solid; 14.58 g (72%); m.p. 116–118 °C. 1H-NMR (DMSO-d6, 400 MHz) δ: 8.32 (d, J = 8.0 Hz, 1H), 8.19 (d, J = 8.0 Hz, 1H), 8.13 (d, J = 7.6 Hz, 1H), 7.81–7.89 (m, 2H), 7.34 (s, 1H), 7.07 (d, J = 1.2 Hz, 1H), 6.81 (d, J = 7.6 Hz, 1H), 5.83 (s, 2H), 3.91 (s, 2H), 3.58 (s, 3H). 13C-NMR (DMSO-d6, 100 MHz) δ: 169.09, 139.81, 139.44, 133.02, 131.45, 129.58, 129.51, 129.18, 128.32, 125.04, 124.17, 123.08, 123.06, 117.40, 108.86, 52.26, 47.09, 35.26.
Ethyl 2-((1-((4-cyano-1-naphthyl)methyl)-1H-imidazol-2-yl)thio)-2-methylpropionate (6r): White solid; 17.76 g (78%); m.p. 108–110 °C. 1H-NMR (DMSO-d6, 400 MHz) δ: 8.28 (d, J = 8.4 Hz, 1H), 8.18 (d, J = 8.0 Hz, 1H), 8.10 (d, J = 7.2 Hz, 1H), 7.81–7.89 (m, 2H), 7.46 (d, J = 1.2 Hz, 1H), 7.19 (d, J = 0.4 Hz, 1H), 6.67 (d, J = 7.6 Hz, 1H), 5.86 (s, 2H), 4.04 (q, J = 7.2 Hz, 2H), 1.46 (s, 6H), 1.11 (t, J = 7.0 Hz, 3H). 13C-NMR (DMSO-d6, 100 MHz) δ: 172.56, 139.92, 137.14, 133.05, 131.38, 130.41, 129.38, 129.21, 128.35, 125.06, 124.11, 123.97, 122.69, 117.36, 108.80, 61.08, 52.84, 47.33, 25.62, 13.72.
Ethyl 1-((1-((4-cyano-1-naphthyl)methyl)-1H-imidazol-2-yl)thio)cyclobutanecarboxylate (6s): White solid; 17.85 g (76%); m.p. 135–137 °C. 1H-NMR (DMSO-d6, 400 MHz) δ: 8.28 (d, J = 8.4 Hz, 1H), 8.19 (d, J = 7.6 Hz, 1H), 8.10–8.12 (d, J = 7.6 Hz, 1H), 7.81–7.90 (m, 2H), 7.45 (s, 1H), 7.16 (s, 1H), 6.71 (d, J = 7.6 Hz, 1H), 5.84 (s, 2H), 4.03 (q, J = 7.1 Hz, 2H), 2.53–2.56 (m, 2H), 2.23–2.29 (m, 2H), 1.98–2.07 (m, 1H), 1.76–1.84 (m, 1H), 1.09 (t, J = 7.2 Hz, 3H). 13C-NMR (DMSO-d6, 100 MHz) δ: 172.24, 139.80, 137.62, 133.05, 131.40, 130.32, 129.41, 129.22, 128.37, 125.07, 123.95, 123.88, 122.79, 117.37, 108.83, 61.02, 54.17, 47.28, 31.33, 15.32, 13.75.
Methyl 2-((3-((4-cyano-1-naphthyl)methyl)pyridin-4-yl)thio)acetate (6t): Colorless oil; 15.05 g (72%). 1H-NMR (DMSO-d6, 400 MHz) δ: 8.37 (d, J = 5.2 Hz, 1H), 8.28 (d, J = 8.4 Hz, 1H), 8.17 (d, J = 8.4 Hz, 1H), 8.12 (s, 1H), 8.07 (d, J = 7.2 Hz, 1H), 7.84 (t, J = 7.4 Hz, 1H), 7.76 (t, J = 7.6 Hz, 1H), 7.34 (d, J = 5.2 H, 1Hz), 7.15 (d, J = 7.6 Hz, 1H), 4.56 (s, 2H), 4.12 (s, 2H), 3.65 (s, 3H). 13C-NMR (DMSO-d6, 100 MHz) δ: 168.93, 149.63, 147.96, 146.71, 141.46, 132.96, 131.69, 131.07, 130.96, 128.92, 128.07, 125.40, 125.05, 124.84, 119.59, 117.64, 107.90, 52.50, 33.09, 32.16.
Ethyl 2-((3-((4-cyano-1-naphthyl)methyl)pyridin-4-yl)thio)-2-methylpropionate (6u): Colorless oil; 15.93 g (68%). 1H-NMR (DMSO-d6, 400 MHz) δ: 8.45 (d, J = 5.2 Hz, 1H), 8.30 (s, 1H), 8.27 (d, J = 8.4 Hz, 1H), 8.17 (d, J = 8.0 Hz, 1H), 8.06 (d, J = 7.6 Hz, 1H), 7.84 (t, J = 7.4 Hz, 1H), 7.78 (t, J = 7.2 Hz, 1H), 7.35 (d, J = 5.2 Hz, 1H), 7.05 (d, J = 3.6 Hz, 1H), 4.64 (s, 2H), 4.12 (q, J = 7.1 Hz, 2H), 1.51 (s, 6H), 1.13 (t, J = 7.2 Hz, 3H). 13C-NMR (DMSO-d6, 100 MHz) δ: 172.82, 150.91, 147.99, 143.04, 142.39, 135.60, 132.96, 131.66, 130.93, 128.94, 128.06, 126.75, 125.55, 125.05, 124.81, 117.61, 107.83, 61.39, 50.98, 33.44, 25.84, 13.75.
Ethyl 1-((3-((4-cyano-1-naphthyl)methyl)pyridin-4-yl)thio)cyclobutanecarboxylate (6v): White solid; 17.87 g (74%); m.p. 123–125 °C. 1H-NMR (DMSO-d6, 400 MHz) δ: 8.36 (d, J = 5.2 Hz, 1H), 8.27 (d, J = 8.0 Hz, 1H), 8.17 (d, J = 8.0 Hz, 1H), 8.15 (s, 1H), 8.07 (d, J = 7.6 Hz, 1H), 7.84 (t, J = 7.6 Hz, 1H), 7.77 (t, J = 7.6 Hz, 1H), 7.12 (d, J = 7.6 Hz, 1H), 7.06 (d, J = 5.6 Hz, 1H), 4.12 (q, J = 7.1 Hz, 2H), 2.79–2.86 (m, 2H), 2.20–2.27 (m, 2H), 2.06–2.17 (m, 1H), 1.90–2.00 (m, 1H), 1.09 (t, J = 7.2 Hz, 3H). 13C-NMR (DMSO-d6, 100 MHz) δ: 172.31, 150.24, 147.90, 145.83, 141.56, 132.94, 131.68, 131.52, 131.04, 128.93, 128.04, 125.33, 125.06, 124.78, 120.76, 117.62, 107.94, 61.47, 50.89, 33.10, 31.74, 16.20, 13.77.
Ethyl 2-((1-((2-thiophenyl)methyl)-1H-imidazol-2-yl)thio)-2-methylpropionate (6w): Oil; 16.78 g (89%). 1H-NMR (DMSO-d6, 400 MHz) δ: 7.44–7.46 (m, 2H), 7.05–7.06 (m, 2H), 6.96–6.98 (m, 1H), 5.40 (s, 2H), 4.03 (q, J = 7.2 Hz, 2H), 1.46 (s, 6H), 1.12 (t, J = 7.2 Hz, 3H). 13C-NMR (DMSO-d6, 100 MHz) δ: 172.56, 139.55, 136.03, 130.07, 126.97, 126.73, 126.27, 123.13, 61.00, 52.80, 44.26, 25.56, 13.70.
Ethyl 1-((1-((2-thiophenyl)methyl)-1H-imidazol-2-yl)thio)cyclobutanecarboxylate (6x): Oil; 15.86 g (82%). 1H-NMR (DMSO-d6, 400 MHz) δ: 7.46 (dd, J = 1.2 Hz and 5.2 Hz, 1H), 7.06 (d, J = 3.6 Hz, 1H), 7.03 (d, J = 0.8 Hz, 1H), 6.96–6.99 (m, 1H), 5.38 (s, 2H), 4.05 (q, J = 7.1 Hz, 2H), 2.51–2.56 (m, 2H), 2.24–2.31 (m, 2H), 2.04–2.11 (m, 1H), 1.78–1.85 (m, 1H), 1.11 (t, J = 7.2 Hz, 3H). 13C-NMR (DMSO-d6, 100 MHz) δ: 172.31, 139.47, 136.49, 129.99, 126.98, 126.75, 126.30, 122.89, 60.94, 54.26, 44.21, 31.21, 15.27, 13.75.
Methyl 2-((4-((5-chloro-2-thiophenyl)methyl)-4H-1,2,4-triazol-3-yl)thio)acetate (6ha): Oil; 14.22 g (78%). 1H-NMR (DMSO-d6, 400 MHz) δ: 8.69 (s, 1H), 7.04 (d, J = 4.0 Hz, 1H), 7.01 (d, J = 4.0 Hz, 1H), 5.36 (s, 2H), 4.07 (s, 2H), 3.63 (s, 3H). 13C-NMR (DMSO-d6, 100 MHz) δ: 168.62, 147.94, 145.31, 136.85, 128.88, 127.79, 126.87, 52.41, 42.32, 34.57.
Methyl 2-((4-((5-methyl-2-thiophenyl)methyl)-4H-1,2,4-triazol-3-yl)thio)acetate (6hb): Oil; 12.75 g (75%). 1H-NMR (DMSO-d6, 400 MHz) δ: 8.66 (s, 1H), 6.91 (d, J = 3.2 Hz, 1H), 6.68–6.69 (m, 1H), 5.31 (s, 2H), 4.05 (s, 2H), 3.63 (s, 3H), 2.38 (s, 3H). 13C-NMR (DMSO-d6, 100 MHz) δ: 168.67, 147.88, 145.27, 140.56, 135.17, 127.67, 125.31, 52.40, 42.45, 34.58, 14.87.
Methyl 2-((4-((5-ethyl-2-thiophenyl)methyl)-4H-1,2,4-triazol-3-yl)thio)acetate (6hc): Colorless oil; 12.85 g (72%). 1H-NMR (DMSO-d6, 400 MHz) δ: 8.69 (s, 1H), 6.94 (d, J = 3.2 Hz, 1H), 6.71 (d, J = 3.2 Hz, 1H), 5.34 (s, 2H), 4.06 (s, 2H), 3.63 (s, 3H), 2.74 (q, J = 7.5 Hz, 2H), 1.18 (t, J = 7.6 Hz, 3H). 13C-NMR (DMSO-d6, 100 MHz) δ: 168.67, 148.06, 147.92, 145.31, 134.86, 127.47, 123.52, 52.39, 42.53, 34.62, 22.74, 15.64.
Methyl 2-((4-((3-methyl-2-thiophenyl)methyl)-4H-1,2,4-triazol-3-yl)thio)acetate (6hd): Colorless oil; 13.26 g (78%). 1H-NMR (DMSO-d6, 400 MHz) δ: 8.62 (s, 1H), 7.42 (d, J = 5.2 Hz, 1H), 6.88 (d, J = 5.2 Hz, 1H), 5.33 (s, 2H), 4.03 (s, 2H), 3.62 (s, 3H), 2.25 (s, 3H). 13C-NMR (DMSO-d6, 100 MHz) δ: 168.67, 147.90, 145.33, 136.17, 130.70, 130.28, 125.29, 52.39, 40.79, 34.65, 13.45.
Methyl 2-((4-((4-methyl-2-thiophenyl)methyl)-4H-1,2,4-triazol-3-yl)thio)acetate (6he): Colorless oil; 11.39 g (67%). 1H-NMR (DMSO-d6, 400 MHz) δ: 8.68 (s, 1H), 7.08 (s, 1H), 6.92 (s, 1H), 5.34 (s, 2H), 4.05 (s, 2H), 3.62 (s, 3H), 2.15 (s, 3H). 13C-NMR (DMSO-d6, 100 MHz) δ: 168.66, 147.93, 145.35, 137.45, 137.14, 129.60, 121.85, 52.40, 42.40, 34.62, 15.24.
Methyl 2-((4-((3-thiophenyl)methyl)-4H-1,2,4-triazol-3-yl)thio)acetate (6hf): Oil; 10.99 g (68%). 1H-NMR (DMSO-d6, 400 MHz) δ: 8.68 (s, 1H), 7.55–7.57 (m, 1H), 7.42 (d, J = 2.0 Hz, 1H), 7.04–7.05 (m, 1H), 5.19 (s, 2H), 4.04 (s, 2H), 3.62 (s, 3H). 13C-NMR (DMSO-d6, 100 MHz) δ: 168.69, 148.02, 145.56, 136.25, 127.50, 126.96, 124.08, 52.40, 42.83, 34.41.
Methyl 2-((4-((5-phenyl-2-thiophenyl)methyl)-4H-1,2,4-triazol-3-yl)thio)acetate (6hg): White solid; 17.00 g (82%); m.p. 104–106 °C. 1H-NMR (DMSO-d6, 400 MHz) δ: 8.74 (s, 1H), 7.59–7.61 (m, 2H), 7.38–7.41 (m, 3H), 7.28–7.32 (m, 1H), 7.13 (d, J = 4.0 Hz, 1H), 5.43 (s, 2H), 4.07 (s, 2H), 3.63 (s, 3H). 13C-NMR (DMSO-d6, 100 MHz) δ: 168.66, 148.01, 145.39, 144.18, 137.10, 133.20, 129.11, 128.95, 127.89, 125.26, 123.54, 52.41, 42.50, 34.61.
Methyl 2-((4-((benzo[b]thiophen-2-yl)methyl)-4H-1,2,4-triazol-3-yl)thio)acetate (6hh): White solid; 12.46 g (65%); m.p. 84–86 °C. 1H-NMR (DMSO-d6, 400 MHz) δ: 8.77 (s, 1H), 7.92–7.94 (m, 1H), 7.82–7.84 (m, 1H), 7.34–7.38 (m, 3H), 5.55 (s, 2H), 4.06 (s, 2H), 3.61 (s, 3H) . 13C-NMR (DMSO-d6, 100 MHz) δ: 168.64, 148.27, 145.56, 139.25, 138.90, 138.74, 124.81, 124.68, 123.87, 123.84, 122.56, 52.41, 43.19, 34.63.
Methyl 2-((4-((dibenzo[b,d]thiophen-4-yl)methyl)-4H-1,2,4-triazol-3-yl)thio)acetate (6hi): White solid; 15.30 g (69%); m.p. 144–145 °C. 1H-NMR (DMSO-d6, 400 MHz) δ: 8.76 (s, 1H), 8.37–8.41 (m, 2H), 8.04–8.07 (m, 1H), 7.53–7.57 (m, 3H), 7.26 (d, J = 7.2 Hz, 1H), 5.52 (s, 2H), 4.01 (s, 2H), 3.60 (s, 3H). 13C-NMR (DMSO-d6, 100 MHz) δ: 168.60, 148.76, 146.23, 138.04, 136.78, 135.90, 134.81, 129.46, 127.39, 126.17, 125.22, 124.98, 122.96, 122.23, 121.98, 52.37, 46.76, 34.52.
3.2.8. General Procedure for the Synthesis of Brominated Esters 7a–7s, 7w–7x, 7ha–7hd, 7′he, 7hf–7hg, 7′hh and 7hi
A mixture of a substrate to be brominated 6a–6x or 6ha–6hi (40 mmol) and a brominating reagent NBS or DBDMH (48 mmol) in a suitable solvent MeCN or CH2Cl2 (100 mL) was stirred at a suitable temperature until the completion of reaction as indicated by TLC analysis (typically within 12 h). The brominating agent, solvent and temperature are specified in Scheme 1, Scheme 2, Scheme 3, Scheme 4 and Scheme 5.
The reaction mixture was poured into ice-water (200 mL), and the resulting mixture was extracted with CH2Cl2 (100 mL × 3). The combined extracts were washed successively with 5% aqueous Na2S2O3 (100 mL), saturated aqueous Na2CO3 (100 mL × 5) and 5% brine (100 mL), dried (Na2SO4) and evaporated on a rotary evaporator to give a residue, which was purified by column chromatography to afford the pure product 7a–7s, 7w–7x, 7ha–7hd, 7′he, 7hf–7hg, 7′hh or 7hi.
Methyl 2-((5-bromo-4-ethyl-4H-1,2,4-triazol-3-yl)thio)acetate (7a): White solid; 5.54 g (52%); m.p. 86–88 °C. 1H-NMR (DMSO-d6, 400 MHz) δ: 4.04 (s, 2H), 3.64 (s, 3H), 3.54 (s, 3H). 13C-NMR (DMSO-d6, 100 MHz) δ: 168.62, 150.98, 130.88, 52.46, 34.54, 31.90.
Methyl 2-((5-bromo-4-n-propyl-4H-1,2,4-triazol-3-yl)thio)acetate (7b): White solid; 9.19 g (82%); m.p. 56–58 °C. 1H-NMR (DMSO-d6, 400 MHz) δ: 4.10 (s, 2H), 3.98 (q, J = 7.2 Hz, 2H), 3.64 (s, 3H), 1.25 (t, J = 7.2 Hz, 3H). 13C-NMR (DMSO-d6, 100 MHz) δ: 168.53, 150.45, 129.71, 52.47, 40.57, 34.41, 14.38.
Methyl 2-((5-bromo-4-(cyclohexylmethyl)-4H-1,2,4-triazol-3-yl)thio)acetate (7c): Colorless oil; 10.03 g (72%); 1H-NMR (DMSO-d6, 400 MHz) δ: 4.11 (s, 2H), 3.77 (d, J = 7.2 Hz, 2H), 3.64 (s, 3H), 1.61–1.78 (m, 4H), 1.49–1.52 (m, 2H), 1.11–1.18 (m, 3H), 0.95–1.04 (m, 2H). 13C-NMR (DMSO-d6, 100 MHz) δ: 168.46, 151.27, 130.47, 52.46, 50.82, 37.40, 34.33, 29.78, 25.53, 24.98.
Methyl 2-((-4-(1-adamantylmethyl)-5-bromo-4H-1,2,4-triazol-3-yl)thio)acetate (7d): White solid; 10.05 g (69%); m.p. 120–122 °C. 1H-NMR (DMSO-d6, 400 MHz) δ: 4.08 (s, 2H), 3.67 (s, 2H), 3.63 (s, 3H), 1.95 (s, 3H), 1.63–1.66 (m, 3H), 1.55–1.58 (m, 3H), 1.52–1.53 (m, 6H). 13C-NMR (DMSO-d6, 100 MHz) δ: 168.53, 152.52, 131.40, 56.34, 52.45, 40.20, 35.86, 35.43, 35.20, 27.50.
Methyl 2-((4-benzyl-5-bromo-4H-1,2,4-triazol-3-yl)thio)acetate (7e): White solid; 8.90 g (65%); m.p. 87–89 °C. 1H-NMR (DMSO-d6, 400 MHz) δ: 7.31–7.40 (m, 3H), 7.15–7.17 (m, 2H), 5.21 (s, 2H), 4.08 (s, 2H), 3.63 (s, 3H). 13C-NMR (DMSO-d6, 100 MHz) δ: 168.41, 151.44, 134.43, 130.64, 128.87, 128.13, 126.79, 52.48, 48.11, 34.25.
Methyl 2-((5-bromo-4-(3-pyridinylmethyl)-4H-1,2,4-triazol-3-yl)thio)acetate (7f): White solid; 7.55 g (55%); m.p. 68–70 °C. 1H-NMR (DMSO-d6, 400 MHz) δ: 8.54–8.56 (m, 1H), 8.51 (d, J = 1.6 Hz, 1H), 7.57–7.59 (m, 1H), 7.41–7.44 (m, 1H), 5.28 (s, 2H), 4.11 (s, 2H), 3.63 (s, 3H). 13C-NMR (DMSO-d6, 100 MHz) δ: 168.41, 151.45, 149.16, 148.17, 135.12, 130.56, 130.44, 123.98, 52.51, 45.89, 34.32.
Methyl 2-((5-bromo-4-(2-furanylmethyl)-4H-1,2,4-triazol-3-yl)thio)acetate (7g): White solid; 8.24 g (62%); m.p. 78–80 °C. 1H-NMR (DMSO-d6, 400 MHz) δ: 7.66 (d, J = 1.2 Hz, 1H), 6.50 (d, J = 3.2 Hz, 1H), 6.45–6.47 (m, 1H), 5.22 (s, 2H), 4.08 (s, 2H), 3.63 (s, 3H). 13C-NMR (DMSO-d6, 100 MHz) δ: 168.48, 151.22, 147.06, 143.89, 130.33, 110.79, 109.97, 52.48, 41.79, 34.44.
Methyl 2-((5-bromo-4-(2-thiophenylmethyl)-4H-1,2,4-triazol-3-yl)thio)acetate (7h): White solid; 10.86 g (78%); m.p. 81–83 °C. 1H-NMR (DMSO-d6, 400 MHz) δ: 7.54 (dd, J = 1.2 Hz and 4.8 Hz, 1H), 7.13–7.14 (m, 1H), 7.03 (dd, J = 3.6 Hz and 4.8 Hz, 1H), 5.38 (s, 2H), 4.10 (s, 2H), 3.63 (s, 3H). 13C-NMR (DMSO-d6, 100 MHz) δ: 168.42, 150.97, 136.35, 130.11, 127.90, 127.25, 127.18, 52.49, 43.46, 34.48.
Methyl 2-((4-(biphenyl-4-methyl)-5-bromo-4H-1,2,4-triazol-3-yl)thio)acetate (7i): White solid; 10.88 g (65%); m.p. 140–142 °C. 1H-NMR (DMSO-d6, 400 MHz) δ: 7.64–7.69 (m, 4H), 7.44–7.47 (m, 2H), 7.36 (t, J = 7.4 Hz, 1H), 7.25 (d, J = 8.4 Hz, 2H), 5.26 (s, 2H), 4.11 (s, 2H), 3.64 (s, 3H). 13C-NMR (DMSO-d6, 100 MHz) δ: 168.43, 151.47, 139.99, 139.34, 133.56, 130.66, 128.91, 127.62, 127.42, 127.14, 126.64, 52.50, 47.84, 34.27.
Methyl 2-((5-bromo-4-(diphenylmethyl)-4H-1,2,4-triazol-3-yl)thio)acetate (7j): Colorless oil; 9.54 g (57%); 1H-NMR (DMSO-d6, 400 MHz) δ: 7.32–7.40 (m, 6H), 7.21–7.25 (m, 4H), 6.93 (s, 1H), 3.95 (s, 2H), 3.55 (s, 3H).
Methyl 2-((4-(benzo[b]furan-5-methyl)-5-bromo-4H-1,2,4-triazol-3-yl)thio)acetate (7k): White solid; 10.40 g (68%); m.p. 89–91 °C. 1H-NMR (DMSO-d6, 400 MHz) δ: 8.01 (d, J = 2.0 Hz, 1H), 7.61 (d, J = 8.4 Hz, 1H), 7.45 (d, J = 0.8 Hz, 1H), 7.17 (dd, J = 1.6 Hz and 8.8 Hz, 1H), 6.96–6.97 (m, 1H), 5.30 (s, 2H), 4.09 (s, 2H), 3.62 (s, 3H). 13C-NMR (DMSO-d6, 100 MHz) δ: 168.44, 153.87, 151.44, 146.92, 130.60, 129.13, 127.60, 123.38, 119.87, 111.69, 106.73, 52.48, 48.24, 34.25.
Methyl 2-((5-bromo-4-((4-cyano-1-naphthyl)methyl)-4H-1,2,4-triazol-3-yl)thio)acetate (7l): White solid; 10.85 g (65%); m.p. 120–122 °C. 1H-NMR (DMSO-d6, 400 MHz) δ: 8.37 (d, J = 8.0 Hz, 1H), 8.20–8.23 (m, 1H), 8.12 (d, J = 7.6 Hz, 1H), 7.86–7.94 (m, 2H), 6.70 (d, J = 7.6 Hz, 1H), 5.88 (s, 2H), 4.09 (s, 2H), 3.61 (s, 3H). 13C-NMR (DMSO-d6, 100 MHz) δ: 168.35, 151.95, 136.65, 132.94, 131.44, 131.26, 129.46, 129.26, 128.51, 125.12, 124.11, 121.74, 117.21, 109.24, 52.50, 46.07, 34.42.
Methyl 2-((5-bromo-4-(2-naphthylmethyl)-4H-1,2,4-triazol-3-yl)thio)acetate (7m): White solid; 9.41 g (60%); m.p. 91–93 °C. 1H-NMR (DMSO-d6, 400 MHz) δ: 7.88–7.96 (m, 3H), 7.64 (s, 1H), 7.51–7.55 (m, 2H), 7.34 (dd, J = 1.6 Hz and 8.4 Hz, 1H), 5.39 (s, 2H), 4.09 (s, 2H), 3.61 (s, 3H). 13C-NMR (DMSO-d6, 100 MHz) δ: 168.44, 151.57, 132.63, 132.42, 131.94, 130.74, 128.69, 127.74, 127.58, 126.64, 126.45, 125.63, 124.48, 52.46, 48.33, 34.30.
Methyl 2-((5-bromo-4-(quinoline-6-methyl)-4H-1,2,4-triazol-3-yl)thio)acetate (7n): White solid; 9.75 g (62%); m.p. 63–66 °C. 1H-NMR (DMSO-d6, 400 MHz) δ: 8.91 (dd, J = 1.6 Hz and 4.4 Hz, 1H), 8.36 (d, J = 8.8 Hz, 1H), 8.05 (d, J = 8.8 Hz, 1H), 7.67 (s, 1H), 7.60 (d, J = 2.0 Hz and 8.8 Hz, 1H), 7.53–7.56 (m, 1H), 5.44 (s, 2H), 4.09 (s, 2H), 3.61 (s, 3H). 13C-NMR (DMSO-d6, 100 MHz) δ: 168.45, 151.60, 150.97, 147.18, 135.98, 132.65, 130.80, 129.76, 128.08, 127.63, 125.79, 122.00, 52.48, 48.08, 34.39.
Ethyl 2-((4-((5-bromo-4-cyano-1-naphthyl)methyl)-4H-1,2,4-triazol-3-yl)thio)-2-methylpropionate (7o): White foam; 11.94 g (65%). 1H-NMR (DMSO-d6, 400 MHz) δ: 8.38–8.40 (m, 1H), 8.20–8.22 (m, 1H), 8.07 (d, J = 7.6 Hz, 1H), 7.86–7.94 (m, 2H), 6.50 (d, J = 7.2 Hz, 1H), 5.89 (s, 2H), 4.07 (q, J = 7.2 Hz, 2H), 1.53 (s, 6H), 1.11 (t, J = 7.2 Hz, 3H). 13C-NMR (DMSO-d6, 100 MHz) δ: 171.82, 149.65, 136.92, 132.91, 132.33, 131.37, 129.46, 129.05, 128.53, 125.12, 124.01, 121.42, 117.15, 109.21, 61.51, 53.89, 46.19, 25.83, 13.66.
Ethyl 1-((5-bromo-4-((4-cyano-1-naphthyl)methyl)-4H-1,2,4-triazol-3-yl)thio)cyclobutanecarboxylate (7p): White solid; 9.22 g (52%); m.p. 131–133 °C. 1H-NMR (DMSO-d6, 400 MHz) δ: 8.38 (d, J = 7.6 Hz, 1H), 8.20–8.23 (m, 1H), 8.10 (d, J = 7.6 Hz, 1H), 7.86–7.94 (m, 2H), 6.56 (d, J = 7.6 Hz, 1H), 5.87 (s, 2H), 4.06 (q, J = 7.1 Hz, 2H), 2.59–2.66 (m, 2H), 2.24–2.31 (m, 2H), 2.03–2.10 (m, 1H), 1.84–1.91 (m, 1H), 1.10 (t, J = 7.2 Hz, 3H). 13C-NMR (DMSO-d6, 100 MHz) δ: 172.06, 150.94, 137.53, 133.61, 132.67, 132.11, 130.19, 129.82, 129.27, 125.85, 124.70, 122.24, 117.87,109.98, 62.15, 55.09, 46.89, 32.58, 16.34, 14.42.
Methyl 2-((5-bromo-1-((4-cyano-1-naphthyl)methyl)-1H-imidazol-2-yl)thio)acetate (7q): White solid; 8.33 g (50%); m.p. 105–107 °C. 1H-NMR (DMSO-d6, 400 MHz) δ: 8.43 (d, J = 8.0 Hz, 1H), 8.21 (d, J = 7.6 Hz, 1H), 8.10 (d, J = 7.6 Hz, 1H), 7.85–7.93 (m, 2H), 7.31 (s, 1H), 6.49 (d, J = 7.6 Hz, 1H), 5.85 (s, 2H), 3.93 (s, 2H), 3.58 (s, 3H). 13C-NMR (DMSO-d6, 100 MHz) δ: 168.83, 141.67, 138.26, 133.01, 131.40, 130.25, 129.39, 129.20, 128.45, 125.11, 124.07, 121.33, 117.32, 108.87, 104.95, 52.34, 46.30, 35.11.
Ethyl 2-((5-bromo-1-((4-cyano-1-naphthyl)methyl)-1H-imidazol-2-yl)thio)-2-methylpropionate (7r): White solid; 10.08 g (55%); m.p. 125–127 °C. 1H-NMR (DMSO-d6, 400 MHz) δ: 8.43 (d, J = 7.6 Hz, 1H), 8.20 (d, J = 7.6 H, 1Hz), 8.07 (d, J = 7.6 Hz, 1H), 7.86–7.93 (m, 2H), 7.44 (s, 1H), 6.28 (d, J = 7.6 Hz, 1H), 5.89 (s, 2H), 4.05 (q, J = 7.1 Hz, 2H), 1.47 (s, 6H), 1.10 (t, J = 7.2 Hz, 3H). 13C-NMR (DMSO-d6, 100 MHz) δ: 172.28, 138.97, 138.57, 133.02, 131.33, 131.30, 129.42, 129.01, 128.50, 125.11, 123.97, 121.11, 117.28, 108.85, 106.69, 61.23, 53.31, 46.61, 25.56, 13.69.
Ethyl 1-((5-bromo-1-((4-cyano-1-naphthyl)methyl)-1H-imidazol-2-yl)thio)cyclobutanecarboxylate (7s): White solid; 9.78 g (52%); m.p. 102–105 °C. 1H-NMR (DMSO-d6, 400 MHz) δ: 8.42 (d, J = 8.0 Hz, 1H), 8.21 (d, J = 8.0 Hz, 1H), 8.09 (d, J = 7.6 Hz, 1H), 7.86–7.93 (m, 2H), 7.40 (s, 1H), 6.34 (d, J = 7.2 Hz, 1H), 5.87 (s, 2H), 4.04 (q, J = 7.1 Hz, 2H), 2.52–2.57 (m, 2H), 2.21–2.28 (m, 2H), 2.00–2.07 (m, 1H), 1.78–1.84 (m, 1H), 1.09 (t, J = 7.0 Hz, 3H). 13C-NMR (DMSO-d6, 100 MHz) δ: 171.92, 139.49, 138.47, 132.99, 131.33, 131.15, 129.42, 129.02, 128.50, 125.11, 123.93, 121.18, 117.27, 108.87, 106.31, 61.14, 54.38, 46.54, 31.39, 15.36, 13.71.
Ethyl 2-((5-bromo-1-((2-thiophenyl)methyl)-1H-imidazol-2-yl)thio)-2-methylpropionate (7w): Oil; 8.72 g (56%). 1H-NMR (DMSO-d6, 400 MHz) δ: 7.46–7.47 (m, 1H), 7.24 (s, 1H), δ: 7.007–7.013 (m, 1H), 6.97–6.99 (m, 1H), 5.42 (s, 2H), 4.03 (q, J = 7.2 Hz, 2H), 1.48 (s, 6H), 1.10 (t, J = 7.2 Hz, 3H). 13C-NMR (DMSO-d6, 100 MHz) δ: 172.31, 138.40, 137.84, 130.86, 126.97, 126.71, 126.46, 105.57, 61.15, 53.31, 43.86, 25.47, 13.64.
Ethyl 1-((5-bromo-1-((2-thiophenyl)methyl)-1H-imidazol-2-yl)thio)cyclobutanecarboxylate (7x): Colorless oil; 8.51 g (53%). 1H-NMR (DMSO-d6, 400 MHz) δ: 7.48 (dd, J = 0.8 Hz and 5.2 Hz, 1H), 7.20 (s, 1H), 7.03 (d, J = 2.8 Hz, 1H), 6.97–7.00 (m, 1H), 5.40 (s, 2H), 4.05 (q, J = 7.2 Hz, 2H), 2.51–2.59 (m, 2H), 2.24–2.31 (m, 2H), 2.06–2.13 (m, 1H), 1.79–1.87 (m, 1H), 1.10 (t, J = 7.2 Hz, 3H). 13C-NMR (DMSO-d6, 100 MHz) δ: 172.04, 138.40, 138.31, 130.73, 126.99, 126.80, 126.53, 105.17, 61.10, 54.52, 43.77, 31.26, 15.35, 13.71.
Methyl 2-((5-bromo-4-((5-chloro-2-thiophenyl)methyl)-4H-1,2,4-triazol-3-yl)thio)acetate (7ha): Colorless oil; 7.96 g (52%). 1H-NMR (DMSO-d6, 400 MHz) δ: 7.05 (d, J = 3.6 Hz, 1H), 7.00 (d, J = 4.0 Hz, 1H), 5.34 (s, 2H), 4.11 (s, 2H), 3.63 (s, 3H).
Methyl 2-((5-bromo-4-((5-methyl-2-thiophenyl)methyl)-4H-1,2,4-triazol-3-yl)thio)acetate (7hb): White solid; 8.40 g (58%); m.p. 57–59 °C. 1H-NMR (DMSO-d6, 400 MHz) δ: 6.93 (d, J = 3.6 Hz, 1H), 6.69–6.70 (m, 1H), 5.28 (s, 2H), 4.09 (s, 2H), 3.64 (s, 3H), 2.39 (s, 3H). 13C-NMR (DMSO-d6, 100 MHz) δ: 168.44, 150.91, 140.83, 133.82, 130.03, 127.97, 125.27, 52.49, 43.68, 34.45, 14.85.
Methyl 2-((5-bromo-4-((5-ethyl-2-thiophenyl)methyl)-4H-1,2,4-triazol-3-yl)thio)acetate (7hc): Colorless oil; 9.03 g (60%). 1H-NMR (DMSO-d6, 400 MHz) δ: 6.95 (d, J = 3.6 Hz, 1H), 6.73 (d, J = 3.2 Hz, 1H), 5.29 (s, 2H), 4.09 (s, 2H), 3.62 (s, 3H), 2.75 (q, J = 7.5 Hz, 2H), 1.18 (t, J = 7.4 Hz, 3H). 13C-NMR (DMSO-d6, 100 MHz) δ: 168.44, 150.95, 148.35, 133.46, 130.03, 127.86, 123.49, 52.50, 43.75, 34.51, 22.73, 15.60.
Methyl 2-((5-bromo-4-((3-methyl-2-thiophenyl)methyl)-4H-1,2,4-triazol-3-yl)thio)acetate (7hd): White solid; 9.13 g (63%); m.p. 79–81 °C. 1H-NMR (DMSO-d6, 400 MHz) δ: 7.43 (d, J = 5.2 Hz, 1H), 6.88 (d, J = 5.2 Hz, 1H), 5.31 (s, 2H), 4.05 (s, 2H), 3.63 (s, 3H), 2.29 (s, 3H). 13C-NMR (DMSO-d6, 100 MHz) δ: 168.41, 151.00, 135.95, 130.20, 125.37, 52.47, 42.50, 34.49, 13.74.
Methyl 2-((4-((5-bromo-4-methyl-2-thiophenyl)methyl)-4H-1,2,4-triazol-3-yl)thio)acetate (7′he) White solid; 8.11 g (56%); m.p. 75–77 °C. 1H-NMR (DMSO-d6, 400 MHz) δ: 8.68 (s, 1H), 6.91 (s, 1H), 5.32 (s, 2H), 4.06 (s, 2H), 3.63 (s, 3H), 2.09 (s, 3H). 13C-NMR (DMSO-d6, 100 MHz) δ: 168.63, 147.94, 145.33, 137.37, 137.18, 129.84, 108.88, 52.41, 42.30, 34.59, 14.75.
Methyl 2-((5-bromo-4-((3-thiophenyl)methyl)-4H-1,2,4-triazol-3-yl)thio)acetate (7hf): Colorless oil; 6.96 g (50%); 1H-NMR (DMSO-d6, 400 MHz) δ: 7.57–7.59 (m, 1H), 7.38 (d, J = 1.6 Hz, 1H), 7.01 (dd, J = 1.2 Hz and 5.2 Hz, 1H), 5.18 (s, 2H), 4.09 (s, 2H), 3.63 (s, 3H). 13C-NMR (DMSO-d6, 100 MHz) δ: 168.46, 151.12, 134.99, 130.27, 127.69, 126.47, 123.94, 52.49, 44.08, 34.27.
Methyl 2-((5-bromo-4-((5-phenyl-2-thiophenyl)methyl)-4H-1,2,4-triazol-3-yl)thio)acetate (7hg): White solid; 9.00 g (53%); m.p. 78–80 °C. 1H-NMR (DMSO-d6, 400 MHz) δ: 7.59–7.61 (m, 2H), 7.38–7.41 (m, 3H), 7.31 (t, J = 7.4 Hz, 1H), 7.14 (d, J = 7.6 Hz, 1H), 5.40 (s, 2H), 4.12 (s, 2H), 3.63 (s, 3H). 13C-NMR (DMSO-d6, 100 MHz) δ: 168.43, 151.03, 144.36, 135.72, 133.05, 130.16, 129.21, 129.12, 127.98, 125.31, 123.49, 52.49, 43.70, 34.49.
Methyl 2-((4-((3-bromobenzo[b]thiophen-2-yl)methyl)-4H-1,2,4-triazol-3-yl)thio)acetate (7′hh): White solid; 10.36 g (65%); m.p. 94–96 °C. 1H-NMR (DMSO-d6, 400 MHz) δ: 8.77 (s, 1H), 8.03 (d, J = 8.0 Hz, 1H), 7.77 (d, J = 7.6 Hz, 1H), 7.47–7.56 (m, 2H), 5.60 (s, 2H), 4.04 (s, 2H), 3.60 (s, 3H). 13C-NMR (DMSO-d6, 100 MHz) δ: 169.28, 149.14, 146.39, 137.80, 137.74, 134.48, 127.01, 126.55, 123.96, 123.49, 108.30, 53.12, 43.52, 35.41.
Methyl 2-((5-bromo-4-((dibenzo[b,d]thiophen-4-yl)methyl)-4H-1,2,4-triazol-3-yl)thio)acetate (7hi): White solid; 9.33 g (52%); m.p. 120–122 °C. 1H-NMR (DMSO-d6, 400 MHz) δ: 8.37–8.42 (m, 2H), 8.06–8.08 (m, 1H), 7.52–7.57 (m, 3H), 7.12 (d, J = 7.6 Hz, 1H), 5.49 (s, 2H), 4.04 (s, 2H), 3.60 (s, 3H). 13C-NMR (DMSO-d6, 100 MHz) δ: 168.39, 151.92, 138.04, 136.17, 135.98, 134.75, 131.25, 128.48, 127.49, 125.30, 125.24, 125.07, 123.00, 122.29, 121.97, 52.47, 47.59, 34.40.
3.2.9. General Procedure for the Synthesis of Brominated Esters 7he and 7hh
To a stirred solution of 7′he or 7′hh (20 mmol) in MeCN (100 mL) at room temperature was added NBS (3.56 g, 20 mmol), and the resulting mixture was stirred until completion of the reaction as indicated by TLC analysis (typically within 12h). The reaction mixture was poured into ice-water (200 mL), and the resulting mixture was extracted with CH2Cl2 (200 mL × 3). The combined extracts were washed successively with 5% aqueous Na2S2O3 (100 mL), saturated aqueous Na2CO3 (100 mL × 5) and 5% brine (100 mL), dried (Na2SO4) and evaporated on a rotary evaporator to give a residue, which was purified by column chromatography to afford the pure product 7he or 7hh.
Methyl 2-((5-bromo-4-((5-bromo-4-methyl-2-thiophenyl)methyl)-4H-1,2,4-triazol-3-yl)thio)acetate (7he): White solid; 5.92 g (62%); m.p. 91–93 °C. 1H-NMR (DMSO-d6, 400 MHz) δ: 6.91 (s, 1H), 5.29 (s, 2H), 4.11 (s, 2H), 3.63 (s, 3H), 2.09 (s, 3H). 13C-NMR (DMSO-d6, 100 MHz) δ: 168.40, 150.98, 137.21, 136.05, 130.12, 129.94, 109.04, 52.49, 43.48, 34.47, 14.73.
Methyl 2-((5-bromo-4-((3-bromobenzo[b]thiophen-2-yl)methyl)-4H-1,2,4-triazol-3-yl)thio)acetate (7hh): White solid; 5.64 g (66%); m.p. 81–83 °C. 1H-NMR (DMSO-d6, 400 MHz) δ: 8.03 (d, J = 0.8 Hz, 1H), 7.79 (d, J = 8.0 Hz, 1H), 7.53–7.57 (m, 1H), 7.47–7.51 (m, 1H), 5.56 (s, 2H), 4.09 (s, 2H), 3.62 (s, 3H). 13C-NMR (DMSO-d6, 100 MHz) δ: 168.31, 151.42, 136.97, 136.83, 132.93, 130.58, 126.36, 125.90, 123.24, 122.78, 107.56, 52.48, 44.25, 34.51.
3.2.10 General Procedure for the Synthesis of Acids 8a–8x and 8ha–8hi
To a stirred solution of 6t–6v, 7a–7s, 7w–7x or 7ha–7hi (5 mmol) in MeOH (20 mL) at room temperature was added an aqueous solution of LiOH prepared by dissolving LiOH·H2O (0.42 g, 10 mmol) in a minimal amount of water, and the resulting mixture was stirred at room temperature until the reaction completed as indicated by TLC analysis (typically within 5 h). The reaction mixture was poured into ice-water (50 mL), and the resulting mixture was acidified to pH 4-5 (for 6t-6v, 7f and 7n) or 1–2 (for others) with concentrated hydrochloric acid before the extraction with CH2Cl2 (50 mL × 3). The combined extracts were washed with water (50 mL), dried (Na2SO4) and evaporated on a rotary evaporator to afford the crude product as a residue, which was purified by trituration with EtOAc/n-hexane to yield the pure product 8a–8x or 8ha–8hi.
2-((5-Bromo-4-ethyl-4H-1,2,4-triazol-3-yl)thio)acetic acid (8a): White solid; 0.98 g (78%); m.p. 136–138 °C. 1H-NMR (DMSO-d6, 400 MHz) δ: 12.95 (brs, 1H), 3.95 (s, 2H), 3.53 (s, 3H).
2-((5-Bromo-4-n-propyl-4H-1,2,4-triazol-3-yl)thio)acetic acid (8b): White solid; 0.10 g (75%); m.p. 143–145 °C. 1H-NMR (DMSO-d6, 400 MHz) δ: 12.94 (brs, 1H), 4.01 (s, 2H), 3.98 (q, J = 7.3 Hz, 2H), 1.25 (t, J = 7.2 Hz, 3H).
2-((5-Bromo-4-(cyclohexylmethyl)-4H-1,2,4-triazol-3-yl)thio)acetic acid (8c): White solid; 1.17 g (70%); m.p. 155–157 °C. 1H-NMR (DMSO-d6, 400 MHz) δ: 13.02 (brs, 1H), 4.03 (s, 2H), 3.76 (d, J = 7.6 Hz, 2H), 1.61–1.79 (m, 4H), 1.49–1.52 (m, 2H), 1.11–1.20 (m, 3H), 0.95–1.04 (m, 2H).
2-((4-(1-Adamantylmethyl)-5-bromo-4H-1,2,4-triazol-3-yl)thio)acetic acid (8d): White solid; 1.82 g (94%); m.p. 169–171 °C. 1H-NMR (DMSO-d6, 400 MHz) δ: 12.92 (brs, 1H), 4.00 (s, 2H), 3.66 (s, 2H), 1.95 (s, 3H), 1.63–1.66 (m, 3H), 1.54–1.58 (m, 3H), 1.52–1.53 (m, 6H).
2-((4-Benzyl-5-bromo-4H-1,2,4-triazol-3-yl)thio)acetic acid (8e): White solid; 2.05 g (78%); m.p. 160–162 °C. 1H-NMR (DMSO-d6, 400 MHz) δ: 12.97 (brs, 1H), 7.31–7.40 (m, 3H), 7.16–7.18 (m, 2H), 5.20 (s, 2H), 4.01 (s, 2H).
2-((5-Bromo-4-(3-pyridinylmethyl)-4H-1,2,4-triazol-3-yl)thio)acetic acid (8f): White solid; 1.25 g (76%); m.p. 173 °C (dec). 1H-NMR (DMSO-d6, 400 MHz) δ: 13.03 (brs, 1H), 8.54 (d, J = 4.0 Hz, 1H), 8.51 (d, J = 1.6 Hz, 1H), 7.58 (d, J = 8.0 Hz, 1H), 7.39–7.42 (m, 1H), 5.27 (s, 2H), 4.03 (s, 2H).
2-((5-Bromo-4-(2-furanylmethyl)-4H-1,2,4-triazol-3-yl)thio)acetic acid (8g): White solid; 1.24 g (78%); m.p. 113–116 °C. 1H-NMR (DMSO-d6, 400 MHz) δ: 12.97 (brs, 1H), 7.65 (s, 1H), 6.50 (d, J = 3.2 Hz, 1H), 6.45–6.46 (m, 1H), 5.21 (s, 2H), 4.00 (s, 2H).
2-((5-Bromo-4-(2-thiophenylmethyl)-4H-1,2,4-triazol-3-yl)thio)acetic acid (8h): White solid; 1.40 g (84%); m.p. 113–115 °C. 1H-NMR (DMSO-d6, 400 MHz) δ: 12.98 (brs, 1H), 7.54 (dd, J = 1.2 Hz and 5.2 Hz, 1H), 7.14 (d, J = 3.2 Hz, 1H), 7.01–7.03 (m, 1H), 5.38 (s, 2H), 4.02 (s, 2H).
2-((4-(Biphenyl-4-methyl)-5-bromo-4H-1,2,4-triazol-3-yl)thio)acetic acid (8i): White solid; 1.44 g (71%); m.p. 178–179 °C. 1H-NMR (DMSO-d6, 400 MHz) δ: 13.01 (brs, 1H), 7.64–7.69 (m, 4H), 7.45 (t, J = 7.6 Hz, 2H), 7.36 (t, J = 7.2 Hz, 1H), 7.26 (d, J = 8.4 Hz, 2H), 5.25 (s, 2H), 4.02 (s, 2H).
2-((5-Bromo-4-(diphenylmethyl)-4H-1,2,4-triazol-3-yl)thio)acetic acid (8j): White solid; 1.48 g (73%); m.p. 134–135 °C. 1H-NMR (DMSO-d6, 400 MHz) δ: 12.79 (brs, 1H), 7.32–7.40 (m, 6H), 7.23–7.25 (m, 4H), 6.93 (s, 1H), 3.88 (s, 2H).
2-((4-(Benzo[b]furan-5-methyl)-5-bromo-4H-1,2,4-triazol-3-yl)thio)acetic acid (8k): White solid; 1.51 g (82%); m.p. 171–173 °C. 1H-NMR (DMSO-d6, 400 MHz) δ: 12.97 (brs, 1H), 8.01 (d, J = 2.0 Hz, 1H), 7.61 (d, J = 8.4 Hz, 1H), 7.46 (s, 1H), 7.17–7.20 (m, 1H), 6.96 (d, J = 1.6 Hz, 1H), 5.29 (s, 2H), 4.02 (s, 2H).
2-((5-Bromo-4-((4-cyano-1-naphthyl)methyl)-4H-1,2,4-triazol-3-yl)thio)acetic acid (8l): White solid; 1.61 g (80%); m.p. 170–172 °C. 1H-NMR (DMSO-d6, 400 MHz) δ: 12.93 (brs, 1H), 8.37 (d, J = 7.6 Hz, 1H), 8.20–8.22 (m, 1H), 8.09 (d, J = 7.6 Hz, 1H), 7.85–7.93 (m, 2H), 6.71 (d, J = 7.6 Hz, 1H), 5.87 (s, 2H), 4.01 (s, 2H).
2-((5-Bromo-4-(2-naphthylmethyl)-4H-1,2,4-triazol-3-yl)thio)acetic acid (8m): White solid; 1.48 g (78%); m.p. 172–174 °C. 1H-NMR (DMSO-d6, 400 MHz) δ: 12.97 (brs, 1H), 7.88–7.95 (m, 3H), 7.65 (s, 1H), 7.51–7.55 (m, 2H), 7.35 (dd, J = 1.6 Hz and 7.6 Hz, 1H), 5.38 (s, 2H), 4.03 (s, 2H).
2-((5-Bromo-4-(quinoline-6-methyl)-4H-1,2,4-triazol-3-yl)thio)acetic acid (8n): White solid; 1.37 g (72%); m.p. 203 °C (dec). 1H-NMR (DMSO-d6, 400 MHz) δ: 12.98 (brs, 1H), 8.90–8.91 (m, 1H), 8.35 (d, J = 8.0 Hz, 1H), 8.04 (d, J = 8.4 Hz, 1H), 7.69 (s, 1H), 7.60–7.63 (m, 1H), 7.54 (dd, J = 4.0 Hz and 8.4 Hz, 1H), 5.43 (s, 2H), 4.03 (s, 2H).
2-((4-((5-Bromo-4-cyano-1-naphthyl)methyl)-4H-1,2,4-triazol-3-yl)thio)-2-methylpropionic acid (8o): White solid; 1.47 g (68%); m.p. 168–170 °C. 1H-NMR (DMSO-d6, 400 MHz) δ: 13.16 (brs, 1H), 8.35 (d, J = 7.6 Hz, 1H), 8.20–8.22 (m, 1H), 8.07 (d, J = 7.6 Hz, 1H), 7.86–7.94 (m, 2H), 6.53 (d, J = 7.6 Hz, 1H), 5.89 (s, 2H), 1.51 (s, 6H).
1-((5-Bromo-4-((4-cyano-1-naphthyl)methyl)-4H-1,2,4-triazol-3-yl)thio)cyclobutanecarboxylic acid (8p): White solid; 1.44 g (65%); m.p. 173–175 °C. 1H-NMR (DMSO-d6, 400 MHz) δ: 13.08 (brs, 1H), 8.34 (d, J = 8.0 Hz, 1H), 8.21 (d, J = 7.6 Hz, 1H), 8.08 (d, J = 7.6 Hz, 1H), 7.86–7.94 (m, 2H), 6.60 (d, J = 7.6 Hz, 1H), 5.86 (s, 2H), 2.57–2.65 (m, 2H), 2.24–2.31 (m, 2H), 1.99–2.07 (m, 1H), 1.86–1.92 (m, 1H).
2-((5-Bromo-1-((4-cyano-1-naphthyl)methyl)-1H-imidazol-2-yl)thio)acetic acid (8q): White solid; 1.45 g (72%); m.p. 180–182 °C. 1H-NMR (DMSO-d6, 400 MHz) δ: 12.84 (brs, 1H), 8.42 (d, J = 8.4 Hz, 1H), 8.20 (d, J = 7.6 Hz, 1H), 8.09 (d, J = 7.6 Hz, 1H), 7.85–7.93 (m, 2H), 7.30 (s, 1H), 6.51 (d, J = 7.6 Hz, 1H), 5.85 (s, 2H), 3.86 (s, 2H).
2-((5-Bromo-1-((4-cyano-1-naphthyl)methyl)-1H-imidazol-2-yl)thio)-2-methylpropionic acid (8r): White solid; 1.61 g (75%); m.p. 193–195 °C. 1H-NMR (DMSO-d6, 400 MHz) δ: 12.96 (brs, 1H), 8.39 (d, J = 7.6 Hz, 1H), 8.19–8.22 (m, 1H), 8.07 (d, J = 7.6 Hz, 1H), 7.86–7.93 (m, 2H), 7.43 (s, 1H), 6.33 (d, J = 7.6 Hz, 1H), 5.90 (s, 2H), 1.44 (s, 6H).
1-((5-Bromo-1-((4-cyano-1-naphthyl)methyl)-1H-imidazol-2-yl)thio)cyclobutanecarboxylic acid (8s): White solid; 1.50 g (68%); m.p. 210–213 °C. 1H-NMR (DMSO-d6, 400 MHz) δ: 12.96 (brs, 1H), 8.38 (d, J = 8.0 Hz, 1H), 8.21 (d, J = 8.4 Hz, 1H), 8.08 (d, J = 7.6 Hz, 1H), 7.85–7.93 (m, 2H), 7.40 (s, 1H), 6.39 (d, J = 7.6 Hz, 1H), 5.88 (s, 2H), 2.53–2.56 (m, 2H), 2.19–2.26 (m, 2H), 1.95–2.02 (m, 1H), 1.79–1.85 (m, 1H).
2-((3-((4-Cyano-1-naphthyl)methyl)pyridin-4-yl)thio)acetic acid (8t): White solid; 1.30 g (78%); m.p. 246–249 °C. 1H-NMR (DMSO-d6, 400 MHz) δ: 13.10 (brs, 1H), 8.38 (d, J = 5.2 Hz, 1H), 8.28 (d, J = 8.4 Hz, 1H), 8.17 (d, J = 8.0 Hz, 1H), 8.11 (s, 1H), 8.07 (d, J = 7.6 Hz, 1H), 7.84 (t, J = 7.4 Hz, 1H), 7.76 (t, J = 7.8 Hz, 1H), 7.36 (d, J = 5.2 Hz, 1H), 7.17 (d, J = 7.6 Hz, 1H), 4.56 (s, 2H), 4.01 (s, 2H).
2-((3-((4-Cyano-1-naphthyl)methyl)pyridin-4-yl)thio)-2-methylpropionic acid (8u) White soli; 1.30 g (72%); m.p. 175–177 °C. 1H-NMR (DMSO-d6, 400 MHz) δ: 13.11 (brs, 1H), 8.43 (d, J = 5.2 Hz, 1H), 8.26 (d, J = 8.4 Hz, 1H), 8.24 (s, 1H), 8.17 (d, J = 8.4 Hz, 1H), 8.06 (d, J = 7.2 Hz, 1H), 7.83 (t, J = 7.6 Hz, 1H), 7.77 (t, J = 7.6 Hz, 1H), 7.43 (d, J = 5.2 Hz, 1H), 7.09 (d, J = 7.2 Hz, 1H), 4.64 (s, 2H), 1.50 (s, 6H).
1-((3-((4-Cyano-1-naphthyl)methyl)pyridin-4-yl)thio)cyclobutanecarboxylic acid (8v): White solid; 1.22 g (65%); m.p. 210–212 °C. 1H-NMR (DMSO-d6, 400 MHz) δ: 13.10 (brs, 1H), 8.34 (d, J = 5.6 Hz, 1H), 8.26 (d, J = 8.4 Hz, 1H), 8.17 (d, J = 8.4 Hz, 1H), 8.10 (s, 1H), 8.08 (d, J = 7.6 Hz, 1H), 7.84 (t, J = 7.4 Hz, 1H), 7.76 (t, J = 7.6 Hz, 1H), 7.17 (d, J = 7.6 Hz, 1H), 7.11 (d, J = 5.6 Hz, 1H), 4.54 (s, 2H), 2.78–2.86 (m, 2H), 2.18–2.25 (m, 2H), 2.07–2.16 (m, 1H), 1.92–2.00 (m, 1H).
2-((5-Bromo-1-((2-thiophenyl)methyl)-1H-imidazol-2-yl)thio)-2-methylpropionic acid (8w): White solid; 1.48 g (82%); m.p. 153–155 °C. 1H-NMR (DMSO-d6, 400 MHz) δ: 12.92 (brs, 1H), 7.46–7.47 (m, 1H), 7.22 (s, 1H), 7.03 (d, J = 3.2 Hz, 1H), 6.97–6.99 (m, 1H), 5.44 (s, 2H), 1.44 (s, 6H).
1-((5-Bromo-1-((2-thiophenyl)methyl)-1H-imidazol-2-yl)thio)cyclobutanecarboxylic acid (8x): White solid; 1.40 g (75%); m.p. 164–166 °C. 1H-NMR (DMSO-d6, 400 MHz) δ: 12.96 (brs, 1H), 7.47–7.48 (m, 1H), 7.20 (s, 1H), 7.05 (d, J = 7.2 Hz, 1H), 6.99 (dd, J = 3.6 Hz and 4.8 Hz, 1H), 5.42 (s, 2H), 2.51–2.56 (m, 2H), 2.20–2.27 (m, 2H), 1.98–2.06 (m, 1H), 1.80–1.86 (m, 1H).
2-((5-Bromo-4-((5-chloro-2-thiophenyl)methyl)-4H-1,2,4-triazol-3-yl)thio)acetic acid (8ha): White solid; 1.25 g (68%); m.p. 142–143 °C. 1H-NMR (DMSO-d6, 400 MHz) δ: 12.95 (brs, 1H), 7.05 (d, J = 4.0 Hz, 1H), 7.01 (d, J = 4.0 Hz, 1H), 5.33 (s, 2H), 4.03 (s, 2H).
2-((5-Bromo-4-((5-methyl-2-thiophenyl)methyl)-4H-1,2,4-triazol-3-yl)thio)acetic acid (8hb): White solid; 1.31 g (75%); m.p. 119–120 °C. 1H-NMR (DMSO-d6, 400 MHz) δ: 12.98 (brs, 1H), 6.93 (d, J = 3.2 Hz, 1H), 6.69–6.70 (m, 1H), 5.28 (s, 2H), 4.01 (s, 2H), 2.38 (s, 3H).
2-((5-Bromo-4-((5-ethyl-2-thiophenyl)methyl)-4H-1,2,4-triazol-3-yl)thio)acetic acid (8hc): White solid; 1.41 g (78%); m.p. 119–120.5 °C. 1H-NMR (DMSO-d6, 400 MHz) δ: 12.98 (brs, 1H), 6.95 (d, J = 3.6 Hz, 1H), 6.73 (d, J = 7.2 Hz, 1H), 5.29 (s, 2H), 4.02 (s, 2H), 2.75 (q, J = 7.5 Hz, 2H), 1.18 (t, J = 7.4 Hz, 3H).
2-((5-Bromo-4-((3-methyl-2-thiophenyl)methyl)-4H-1,2,4-triazol-3-yl)thio)acetic acid (8hd): White solid; 1.45 g (83%); m.p. 111–112 °C. 1H-NMR (DMSO-d6, 400 MHz) δ: 12.97 (brs, 1H), 7.42 (d, J = 4.8 Hz, 1H), 6.88 (d, J = 5.2 Hz, 1H), 5.30 (s, 2H), 3.98 (s, 2H), 2.29 (s, 3H).
2-((5-Bromo-4-((5-bromo-4-methyl-2-thiophenyl)methyl)-4H-1,2,4-triazol-3-yl)thio)acetic acid (8he): White solid; 1.82 g (85%); m.p. 144–145 °C. 1H-NMR (DMSO-d6, 400 MHz) δ: 12.99 (brs, 1H), 6.92 (s, 1H), 5.29 (s, 2H), 4.03 (s, 2H), 2.09 (s, 3H).
2-((5-Bromo-4-((3-thiophenyl)methyl)-4H-1,2,4-triazol-3-yl)thio)acetic acid (8hf): White solid; 1.27 g (76%); m.p. 124–126 °C. 1H-NMR (DMSO-d6, 400 MHz) δ: 12.96 (brs, 1H), 7.56–7.58 (m, 1H), 7.39 (d, J = 2.0 Hz, 1H), 7.03 (dd, J = 0.8 Hz and 5.2 Hz, 1H), 5.17 (s, 2H), 4.01 (s, 2H).
2-((5-Bromo-4-((5-phenyl-2-thiophenyl)methyl)-4H-1,2,4-triazol-3-yl)thio)acetic acid (8hg): White solid; 1.48 g (72%); m.p. 126–128 °C. 1H-NMR (DMSO-d6, 400 MHz) δ: 13.02 (brs, 1H), 7.59–7.61 (m, 2H), 7.38–7.41 (m, 3H), 7.31 (t, J = 7.2 Hz, 1H), 7.15 (d, J = 3.6 Hz, 1H), 5.39 (s, 2H), 4.04 (s, 2H).
2-((5-Bromo-4-((3-bromobenzo[b]thiophen-2-yl)methyl)-4H-1,2,4-triazol-3-yl)thio)acetic acid (8hh): White solid; 1.81 g (78%); m.p. 153–155 °C. 1H-NMR (DMSO-d6, 400 MHz) δ: 12.98 (brs, 1H), 8.03 (d, J = 8.0 Hz, 1H), 7.79 (d, J = 7.6 Hz, 1H), 7.53–7.57 (m, 1H), 7.47–7.51 (m, 1H), 5.55 (s, 2H), 4.02 (s, 2H).
2-((5-Bromo-4-((dibenzo[b,d]thiophen-4-yl)methyl)-4H-1,2,4-triazol-3-yl)thio)acetic acid (8hi): White solid; 1.59 g (73%); m.p. 157 °C. 1H-NMR (DMSO-d6, 400 MHz) δ: 12.94 (brs, 1H), 8.37–8.42 (m, 2H), 8.06–8.08 (m, 1H), 7.52–7.57 (m, 3H), 7.13 (d, J = 7.2 Hz, 1H), 5.48 (s, 2H), 3.98 (s, 2H).
3.2.11 General Procedure for the Synthesis of Sodium Salts 1a–1x and 1ha–1hi
To a stirred mixture of 8a–8x or 8ha–8hi (accurately weighted to four decimal places, 2 mmol) in MeOH (10 mL) was added an aqueous solution of NaOH prepared by dissolving NaOH (0.0800 g, 2 mmol) in a minimal amount of water, and the resulting mixture was stirred at room temperature until a clear solution was obtained (typically within 1 h). The reaction mixture was filtered off and the filtrate was evaporated on a rotary evaporator to afford a residue, which was co-evaporated with CH2Cl2 (10 mL × 3) on a rotary evaporator and further dried in vacuo at room temperature to yield the pure product 1a–1x or 1ha–1hi.
Sodium 2-((5-bromo-4-ethyl-4H-1,2,4-triazol-3-yl)thio)acetate (1a): White solid; 0.55 g (100%); m.p. 203 °C (dec). 1H-NMR (DMSO-d6, 400 MHz) δ: 3.62 (s, 2H), 3.50 (s, 3H). 13C-NMR (DMSO-d6, 100 MHz) δ: 169.38, 153.59, 129.80, 40.08, 31.71. ESI-HRMS [M − Na]–: (m/z) calcd. for C5H5BrN3O2S: 249.9291 (79Br), found: 249.9289; calcd. for C5H5BrN3O2S: 251.9271 (81Br), found: 251.9263. HPLC purity: 97.78%.
Sodium 2-((5-bromo-4-n-propyl-4H-1,2,4-triazol-3-yl)thio)acetate (1b): White solid; 0.58 g (100%); m.p. 106–108 °C (dec). 1H-NMR (DMSO-d6, 400 MHz) δ: 3.94 (q, J = 7.2 Hz, 2H), 3.66 (s, 2H), 1.23 (t, J = 7.2 Hz, 3H). 13C-NMR (DMSO-d6, 100 MHz) δ: 169.46, 153.07, 128.63, 40.29, 40.03, 14.47. ESI-HRMS [M − Na]–: (m/z) calcd. for C6H7BrN3O2S: 263.9448 (79Br), found: 263.9446; calcd. for C6H7BrN3O2S: 265.9427 (81Br), found: 265.9425. HPLC purity: 99.02%.
Sodium 2-((5-bromo-4-(cyclohexylmethyl)-4H-1,2,4-triazol-3-yl)thio)acetate (1c): White solid; 0.71 g (99%); m.p. 135 °C (dec). 1H-NMR (DMSO-d6, 400 MHz) δ: 3.73 (d, J = 7.2 Hz, 2H), 3.68 (s, 2H), 1.61–1.77 (m, 4H), 1.48–1.51 (m, 2H), 1.13–1.17 (m, 3H), 0.98–1.03 (m, 2H). 13C-NMR (DMSO-d6, 100 MHz) δ: 169.41, 153.91, 129.38, 50.62, 40.10, 37.35, 29.88, 25.61, 25.04. ESI-HRMS [M − Na]–: (m/z) calcd. for C11H15BrN3O2S: 332.0074 (79Br), found: 332.0241; calcd. for C11H15BrN3O2S: 334.0053 (81Br), found: 334.0238. HPLC purity: 98.27%.
Sodium 2-((4-(1-adamantylmethyl)-5-bromo-4H-1,2,4-triazol-3-yl)thio)acetate (1d): White solid; 0.82 g (100%); m.p. 194 °C (dec). 1H-NMR (DMSO-d6, 400 MHz) δ: 3.63 (s, 2H), 1.95 (s, 3H), 1.62–1.65 (m, 3H), 1.53–1.58 (m, 9H). 13C-NMR (DMSO-d6, 100 MHz) δ: 169.35, 155.05, 130.34, 56.18, 40.65, 40.36, 35.94, 35.46, 27.53. ESI-HRMS [M − Na]–: (m/z) calcd. for C15H19BrN3O2S: 384.0387 (79Br), found: 384.0393; calcd. for C15H19BrN3O2S: 386.0366 (81Br), found: 386.0375. HPLC purity: 98.41%.
Sodium 2-((4-benzyl-5-bromo-4H-1,2,4-triazol-3-yl)thio)acetate (1e): White solid; 0.70 g (100%); m.p. 119–121 °C. 1H-NMR (DMSO-d6, 400 MHz) δ: 7.35–7.39 (m, 2H), 7.32 (d, J = 7.2 Hz, 1H), 7.13–7.15 (m, 2H), 5.17 (s, 2H), 3.60 (s, 2H). 13C-NMR (DMSO-d6, 100 MHz) δ: 168.26, 154.27, 134.87, 129.42, 128.81, 127.94, 126.71, 47.87, 40.61. ESI-HRMS [M − Na]–: (m/z) calcd. for C11H9BrN3O2S: 325.9604 (79Br), found: 325.9591; calcd. for C11H9BrN3O2S: 327.9584 (81Br), found: 327.9574. HPLC purity: 99.14%.
Sodium 2-((5-bromo-4-(3-pyridinylmethyl)-4H-1,2,4-triazol-3-yl)thio)acetate (1f): White solid; 0.68 g (97%); m.p. 109–111 °C. 1H-NMR (DMSO-d6, 400 MHz) δ: 8.53 (m, 1H), 8.48 (d, J = 1.6 Hz, 1H) 7.56 (d, J = 8.0 Hz, 1H), 7.39–7.42 (m, 1H), 5.25 (s, 2H), 3.65 (s, 2H). 13C-NMR (DMSO-d6, 100 MHz), δ: 169.02, 154.06, 149.31, 148.38, 134.80, 130.69, 129.46, 123.90, 45.75, 40.33. ESI-HRMS [M − Na]–: (m/z) calcd. for C10H8BrN4O2S: 326.9557 (79Br), found: 326.9552; calcd. for C10H8BrN4O2S: 328.9536 (81Br), found: 328.9535. HPLC purity: 98.56%.
Sodium 2-((5-bromo-4-(2-furanylmethyl)-4H-1,2,4-triazol-3-yl)thio)acetate (1g): White solid; 0.68 g (100%); m.p. 108–111 °C. 1H-NMR (DMSO-d6, 400 MHz) δ: 7.64 (d, J = 1.2 Hz, 1H), 6.440–6.444 (m, 2H), 5.19 (s, 2H), 3.62 (s, 2H). 13C-NMR (DMSO-d6, 100 MHz) δ: 169.45, 153.85, 147.56, 143.71, 129.31, 110.80, 109.69, 41.66, 40.40. ESI-HRMS [M − Na]–: (m/z) calcd. for C9H7BrN3O3S: 315.9397 (79Br), found: 315.9392; calcd. for C9H7BrN3O3S: 317.9377 (81Br), found: 317.9370. HPLC purity: 97.68%.
Sodium 2-((5-bromo-4-(2-thiophenylmethyl)-4H-1,2,4-triazol-3-yl)thio)acetate (1h): White solid; 0.71 g (100%); m.p. 122 °C (dec). 1H-NMR (DMSO-d6, 400 MHz) δ: 7.51–7.52 (m, 1H), 7.11 (d, J = 2.8 Hz, 1H), 7.01 (dd, J = 3.6 Hz and 5.2 Hz, 1H), 5.36 (s, 2H), 3.65 (s, 2H). 13C-NMR (DMSO-d6, 100 MHz) δ: 169.00, 153.64, 136.88, 129.01, 127.71, 127.14, 127.04, 43.31, 40.67. ESI-HRMS [M − Na]–: (m/z) calcd. for C9H7BrN3O2S2: 331.9169 (79Br), found: 331.9167; calcd. for C9H7BrN3O2S2: 333.9148 (81Br), found: 333.9141. HPLC purity: 98.85%.
Sodium 2-((4-(biphenyl-4-methyl)-5-bromo-4H-1,2,4-triazol-3-yl)thio)acetate (1i): White solid; 0.85 g (100%); m.p. 199–201 °C. 1H-NMR (DMSO-d6, 400 MHz) δ: 7.64–7.68 (m, 4H), 7.45 (t, J = 7.6 Hz, 2H), 7.35 (t, J = 7.2 Hz, 1H), 7.23 (d, J = 8.4 Hz, 2H), 5.22 (s, 2H), 3.63 (s, 2H). 13C-NMR (DMSO-d6, 100 MHz) δ: 168.61, 154.23, 139.85, 139.44, 134.00, 129.48, 128.91, 127.58, 127.36, 127.12, 126.65, 47.63, 40.49. ESI-HRMS [M − Na]–: (m/z) calcd. for C17H13BrN3O2S: 401.9917 (79Br), found: 401.9913; calcd. for C17H13BrN3O2S: 403.9897 (81Br), found: 403.9881. HPLC purity: 99.34%.
Sodium 2-((5-bromo-4-(diphenylmethyl)-4H-1,2,4-triazol-3-yl)thio)acetate (1j): White solid; 0.85 g (100%); m.p. 195 °C (dec). 1H-NMR (DMSO-d6, 400 MHz) δ: 7.31–7.40 (m, 6H), 7.23–7.25 (m, 4H), 6.89 (s, 1H), 3.57 (s, 2H). 13C-NMR (DMSO-d6, 100 MHz) δ: 169.90, 162.42, 137.95, 129.96, 128.55, 128.18, 128.10, 65.42, 38.44. ESI-HRMS [M − Na]–: (m/z) calcd. for C17H13BrN3O2S: 401.9917 (79Br), found: 401.9863; calcd. for C17H13BrN3O2S: 403.9897 (81Br), found: 403.9845. HPLC purity: 98.86%.
Sodium 2-((4-(benzo[b]furan-5-methyl)-5-bromo-4H-1,2,4-triazol-3-yl)thio)acetate (1k): White solid; 0.78 g (100%); m.p. 92 °C (dec). 1H-NMR (DMSO-d6, 400 MHz) δ: 8.00 (d, J = 2.0 Hz, 1H), 7.60 (d, J = 8.8 Hz, 1H), 7.42 (d, J = 0.8 Hz, 1H), 7.17 (dd, J = 1.6 Hz and 8.8 Hz, 1H), 6.965–6.970 (m, 1H), 5.26 (s, 2H), 3.64 (s, 2H). 13C-NMR (DMSO-d6, 100 MHz) δ: 168.51, 154.21, 153.79, 146.83, 129.59, 129.39, 127.56, 123.34, 119.71, 111.61, 106.76, 47.99, 40.49. ESI-HRMS [M − Na]–: (m/z) calcd. for C13H9BrN3O3S: 365.9553 (79Br), found: 365.9570; calcd. for C13H9BrN3O3S: 367.9533 (81Br), found: 367.9547. HPLC purity: 99.67%.
Sodium 2-((5-bromo-4-((4-cyano-1-naphthyl)methyl)-4H-1,2,4-triazol-3-yl)thio)acetate (1l): White solid; 0.85 g (100%); m.p. 138 °C (dec). 1H-NMR (DMSO-d6, 400 MHz) δ: 8.39 (d, J = 8.0 Hz, 1H), 8.20 (d, J = 8.0 Hz, 1H), 8.09 (d, J = 7.2 Hz, 1H), 7.85–7.93 (m, 2H), 6.64 (d, J = 7.6 Hz, 1H), 5.85 (s, 2H), 3.65 (s, 2H). 13C-NMR (DMSO-d6, 100 MHz) δ: 168.82, 154.57, 137.14, 133.01, 131.43, 130.14, 129.43, 129.25, 128.50, 125.12, 124.10, 121.51, 117.30, 109.04, 45.96, 40.54. ESI-HRMS [M − Na]–: (m/z) calcd. for C16H10BrN4O2S: 400.9713 (79Br), found: 400.9714; calcd. for C16H10BrN4O2S: 402.9693 (81Br), found: 402.9677. HPLC purity: 98.53%.
Sodium 2-((5-bromo-4-(2-naphthylmethyl)-4H-1,2,4-triazol-3-yl)thio)acetate (1m): White solid; 0.78 g (98%); m.p. 118 °C (dec). 1H-NMR (DMSO-d6, 400 MHz) δ: 7.87–7.94 (m, 3H), 7.60 (s, 1H), 7.50–7.54 (m, 2H), 7.32–7.34 (m, 1H), 5.36 (s, 2H), 3.69 (s, 2H). 13C-NMR (DMSO-d6, 100 MHz) δ: 169.36, 153.98, 132.68, 132.40, 132.39, 129.79, 128.69, 127.80, 127.62, 126.65, 126.43, 125.50, 124.56, 48.19, 39.82. ESI-HRMS [M − Na]–: (m/z) calcd. for C15H11BrN3O2S: 375.9761 (79Br), found: 375.9777; calcd. for C15H11BrN3O2S: 377.9740 (81Br), found: 377.9740. HPLC purity: 97.62%.
Sodium 2-((5-bromo-4-(quinoline-6-methyl)-4H-1,2,4-triazol-3-yl)thio)acetate (1n): White solid; 0.80 g (100%); m.p. 122 °C (dec). 1H-NMR (DMSO-d6, 400 MHz) δ: 8.90 (s, 1H), 8.37 (d, J = 8.0 Hz, 1H), 8.04 (d, J = 8.4 Hz, 1H), 7.65 (s, 1H), 7.60 (d, J = 8.4 Hz, 1H), 7.53 (s, 1H), 5.40 (s, 2H), 3.67 (s, 2H). 13C-NMR (DMSO-d6, 100 MHz) δ: 168.72, 154.28, 150.90, 147.13, 136.04, 133.13, 129.70, 129.62, 128.10, 127.63, 125.59, 121.95, 47.86, 40.45. ESI-HRMS [M − Na]–: (m/z) calcd. for C14H10BrN4O2S: 376.9713 (79Br), found: 376.9702; calcd. for C14H10BrN4O2S: 378.9693 (81Br), found: 378.9676. HPLC purity: 99.14%.
Sodium 2-((4-((5-bromo-4-cyano-1-naphthyl)methyl)-4H-1,2,4-triazol-3-yl)thio)-2-methylpropionate (1o): White solid; 0.91 g (100%); m.p. 143 °C (dec). 1H-NMR (DMSO-d6, 400 MHz) δ: 8.33 (d, J = 8.4 Hz, 1H), 8.10 (d, J = 8.4 Hz, 1H), 8.03 (d, J = 7.2 Hz, 1H), 7.78 (t, J = 7.4 Hz, 1H), 7.70 (t, J = 7.6 Hz, 1H), 6.45 (d, J = 7.6 Hz, 1H), 5.91 (s, 2H), 1.48 (s, 6H). 13H-NMR (DMSO-d6, 100 MHz) δ: 174.54, 151.47, 137.46, 132.83, 131.80, 131.19, 129.06, 128.93, 128.21, 124.83, 123.80, 121.12, 117.23, 108.92, 56.64, 46.34, 26.83. ESI-HRMS [M − Na]–: (m/z) calcd. for C18H14BrN4O2S: 429.0026 (79Br), found: 429.0025; calcd. for C18H14BrN4O2S: 431.0006 (81Br), found: 431.0006. HPLC purity: 98.86%.
Sodium 1-((5-bromo-4-((4-cyano-1-naphthyl)methyl)-4H-1,2,4-triazol-3-yl)thio)cyclobutanecarboxylate (1p): White solid; 0.93 g (100%); m.p. 136 °C (dec). 1H-NMR (DMSO-d6, 400 MHz) δ: 8.34 (d, J = 8.4 Hz, 1H), 8.15 (d, J = 8.0 Hz, 1H), 8.05 (d, J = 7.6 Hz, 1H), 7.82–7.86 (m, 1H), 7.76–7.80 (m, 1H), 6.51 (d, J = 7.6 Hz, 1H), 5.94 (s, 2H), 2.43–2.49 (m, 2H), 2.22–2.29 (m, 2H), 1.82–1.85 (m, 2H). 13C-NMR (DMSO-d6, 100 MHz) δ: 174.74, 153.07, 137.73, 732.94, 131.34, 131.27, 129.37, 129.10, 128.47, 125.03, 124.13, 121.33, 117.28, 108.88, 60.10, 46.17, 33.07, 15.67. ESI-HRMS [M − Na]–: (m/z) calcd. for C19H14BrN4O2S: 441.0026 (79Br), found: 441.0029; calcd. for C19H14BrN4O2S: 443.0006 (81Br), found: 443.0008. HPLC purity: 99.30%.
Sodium 2-((5-bromo-1-((4-cyano-1-naphthyl)methyl)-1H-imidazol-2-yl)thio)acetate (1q): White solid; 0.85 g (100%); m.p. 161 °C (dec). 1H-NMR (DMSO-d6, 400 MHz) δ: 8.43 (d, J = 8.4 Hz, 1H), 8.19 (d, J = 8.0 Hz, 1H), 8.09 (d, J = 7.6 Hz, 1H), 7.84–7.92 (m, 2H), 7.22 (s, 2H), 6.47 (d, J = 7.6 Hz, 1H), 5.87 (s, 2H), 3.53 (s, 2H). 13C-NMR (DMSO-d6, 100 MHz) δ: 169.55, 144.81, 138.85, 133.04, 131.38, 129.64, 129.32, 129.22, 128.38, 125.07, 124.08, 121.24, 117.40, 108.64, 103.57, 46.24, 41.22. ESI-HRMS [M − Na]–: (m/z) calcd. for C17H11BrN3O2S: 399.9761 (79Br), found: 399.9757; calcd. for C17H11BrN3O2S: 401.9740 (81Br), found: 401.9740. HPLC purity: 97.98%.
Sodium 2-((5-bromo-1-((4-cyano-1-naphthyl)methyl)-1H-imidazol-2-yl)thio)-2-methylpropionate (1r): White solid; 0.90 g (100%); m.p. 243 °C (dec). 1H-NMR (DMSO-d6, 400 MHz) δ: 8.45 (d, J = 8.0 Hz, 1H), 8.18 (d, J = 7.6 Hz, 1H), 8.07 (d, J = 7.6 Hz, 1H), 7.83–7.91 (m, 2H), 7.30 (s, 1H), 6.31 (d, J = 7.6 Hz, 1H), 5.96 (s, 2H), 1.36 (s, 6H). 13C-NMR (DMSO-d6, 100 MHz) δ: 175.57, 143.52, 139.40, 132.95, 131.31, 130.19, 129.26, 129.12, 128.37, 125.00, 124.17, 121.16, 117.41, 108.50, 104.79, 59.03, 46.62, 28.10. ESI-HRMS [M − Na]–: (m/z) calcd. for C19H15BrN3O2S: 428.0074 (79Br), found: 428.0071; calcd. for C19H15BrN3O2S: 430.0053 (81Br), found: 430.0053. HPLC purity: 98.26%.
Sodium 1-((5-bromo-1-((4-cyano-1-naphthyl)methyl)-1H-imidazol-2-yl)thio)cyclobutanecarboxylate (1s): White solid; 0.93 g (100%); m.p. 285 °C (dec). 1H-NMR (DMSO-d6, 400 MHz) δ: 8.41 (d, J = 8.4 Hz, 1H), 8.18 (d, J = 8.0 Hz, 1H), 8.07 (d, J = 7.6 Hz, 1H), 7.82–7.91 (m, 2H), 7.33 (s, 1H), 6.35 (d, J = 7.6 Hz, 1H), 5.98 (s, 2H), 2.36–2.42 (m, 2H), 2.16–2.23 (m, 2H), 1.75–1.81 (m, 1H), 1.62–1.68 (m, 1H). 13C-NMR (DMSO-d6, 100 MHz) δ: 175.04, 143.20, 139.38, 132.98, 131.31, 130.38, 129.27, 129.11, 128.36, 125.00, 124.14, 121.17, 117.40, 108.48, 105.12, 59.84, 46.62, 32.83, 15.63. ESI-HRMS [M − Na]–: (m/z) calcd. for C20H15BrN3O2S: 440.0074 (79Br), found: 440.0070; calcd. for C20H15BrN3O2S: 442.0053 (81Br), found: 442.0052. HPLC purity: 99.15%.
Sodium 2-((3-((4-cyano-1-naphthyl)methyl)pyridin-4-yl)thio)acetate (1t): White solid; 0.71 g (100%); m.p. 268 °C (dec). 1H-NMR (DMSO-d6, 400 MHz) δ: 8.24–8.26 (m, 2H), 8.16 (d, J = 8.0 Hz, 1H), 8.06 (d, J = 3.6 Hz, 1H), 7.95 (s, 1H), 7.82 (t, J = 7.6 Hz, 1H), 7.75 (t, J = 7.6 Hz, 1H), 7.32 (d, J = 5.2 Hz, 1H), 7.19 (d, J = 7.2 Hz, 1H), 4.50 (s, 2H), 3.48 (s, 2H). 13C-NMR (DMSO-d6, 100 MHz) δ: 169.29, 150.24, 148.80, 147.62, 141.78, 133.01, 131.72, 131.18, 130.33, 128.87, 128.06, 125.52, 125.04, 124.91, 119.63, 117.74, 107.80, 37.60, 33.16. ESI-HRMS [M − Na]–: (m/z) calcd. for C19H13N2O2S: 333.0703, found: 333.0728. HPLC purity: 98.84%.
Sodium 2-((3-((4-cyano-1-naphthyl)methyl)pyridin-4-yl)thio)-2-methylpropionate (1u): White solid; 0.77 g (100%); m.p. 273 °C (dec). 1H-NMR (DMSO-d6, 400 MHz) δ: 8.23–8.25 (m, 2H), 8.16 (d, J = 8.0 Hz, 1H), 8.07 (d, J = 7.6 Hz, 1H), 7.98 (s, 1H), 7.82 (t, J = 7.6 Hz, 1H), 7.72–7.76 (m, 2H), 7.16 (d, J = 7.6 Hz, 1H), 4.52 (s, 2H), 1.43 (s, 6H). 13C-NMR (DMSO-d6, 100 MHz) δ: 174.84, 149.42, 148.58, 146.99, 142.44, 133.00, 132.35, 131.70, 131.14, 128.86, 127.99, 125.62, 125.01, 123.85, 117.74, 107.70, 54.17, 33.40, 27.69. ESI-HRMS [M − Na]–: (m/z) calcd. for C21H17N2O2S: 361.1016, found: 361.1025. HPLC purity: 99.07%.
Sodium 1-((3-((4-cyano-1-naphthyl)methyl)pyridin-4-yl)thio)cyclobutanecarboxylate (1v): White solid; 0.79 g (100%); m.p. 296 °C (dec). 1H-NMR (DMSO-d6, 400 MHz) δ: 8.24 (d, J = 8.0 Hz, 1H), 8.15–8.18 (m, 2H), 8.08 (d, J = 7.2 Hz, 1H), 7.91 (s, 1H), 7.82 (t, J = 7.4 Hz, 1H), 7.75 (t, J = 7.6 Hz, 1H), 7.60 (d, J = 5.6 Hz, 1H), 7.23 (d, J = 7.2 Hz, 1H), 4.46 (s, 2H), 2.69–2.77 (m, 2H), 1.93–2.02 (m, 3H), 1.79–1.86 (m, 1H). 13C-NMR (DMSO-d6, 100 MHz) δ: 174.51, 149.45, 148.94, 146.98, 141.93, 132.99, 131.70, 131.18, 130.38, 128.84, 127.99, 125.66, 125.01, 124.97, 121.42, 117.71, 107.77, 54.07, 33.21, 32.68, 16.08. ESI-HRMS [M − Na]–: (m/z) calcd. for C22H17N2O2S: 373.1016, found: 373.1003. HPLC purity: 98.34%.
Sodium 2-((5-bromo-1-((2-thiophenyl)methyl)-1H-imidazol-2-yl)thio)-2-methylpropionate (1w): White solid; 0.77 g (100%); m.p. 75 °C (dec). 1H-NMR (DMSO-d6, 400 MHz) δ: 7.43 (d, J = 8.8 Hz, 1H), 7.11 (s, 1H), 6.95–6.98 (m, 2H), 5.49 (s, 2H), 1.33 (s, 6H). 13C-NMR (MeOH-d4, 100 MHz) δ: 179.91, 142.27, 140.00, 131.11, 127.92, 127.68, 126.85, 106.91, 58.53, 45.72, 27.90. ESI-HRMS [M − Na]–: (m/z) calcd. for C12H12BrN2O2S2: 358.9528 (79Br), found: 358.9526; calcd. for C12H12BrN2O2S2: 360.9509 (81Br), found: 360.9504. HPLC purity: 97.64%.
Sodium 1-((5-bromo-1-((2-thiophenyl)methyl)-1H-imidazol-2-yl)thio)cyclobutanecarboxylate (1x): White solid; 0.79 g (100%); m.p. 210 °C (dec). 1H-NMR (DMSO-d6, 400 MHz) δ: 7.43–7.44 (m, 1H), 7.14 (s, 1H), 7.01 (d, J = 7.2 Hz, 1H), 6.95–6.97 (m, 1H), 5.49 (s, 2H), 2.34–2.41 (m, 2H), 2.10–2.17 (m, 2H), 1.73–1.79 (m, 1H), 1.61–1.67 (m, 1H). 13C-NMR (MeOH-d4, 100 MHz) δ: 180.25, 142.07, 140.02, 131.19, 128.03 127.70, 126.91, 107.11, 59.48, 45.72, 33.50, 15.97. ESI-HRMS [M − Na]–: (m/z) calcd. for C13H12BrN2O2S2: 370.9529 (79Br), found: 370.9527; calcd. for C13H12BrN2O2S2: 372.9509 (81Br), found: 372.9504. HPLC purity: 97.98%.
Sodium 2-((5-bromo-4-((5-chloro-2-thiophenyl)methyl)-4H-1,2,4-triazol-3-yl)thio)acetate (1ha): White solid; 0.78 g (100%); m.p. 97 °C (dec). 1H-NMR (DMSO-d6, 400 MHz) δ: 7.03 (d, J = 3.6 Hz, 1H), 6.99 (d, J = 3.6 Hz, 1H), 5.32 (s, 2H), 3.75 (s, 2H). ESI-HRMS [M − Na]–: (m/z) calcd. for C9H6BrClN3O2S2: 365.8779 (79Br), found: 365.8788; calcd. for C9H6BrClN3O2S2: 367.8758 (81Br), found: 367.8765. HPLC purity: 96.26%.
Sodium 2-((5-bromo-4-((5-methyl-2-thiophenyl)methyl)-4H-1,2,4-triazol-3-yl)thio)acetate (1hb): White solid; 0.74 g (100%); m.p. 157 °C (dec). 1H-NMR (DMSO-d6, 400 MHz) δ: 6.90 (d, J = 3.2 Hz, 1H), 6.67–6.68 (m, 1H), 5.25 (s, 2H), 3.65 (s, 2H), 2.38 (s, 3H). 13C-NMR (DMSO-d6, 100 MHz) δ: 168.83, 153.46, 140.56, 134.32, 128.93, 127.74, 125.20, 43.51, 40.38, 14.86. ESI-HRMS [M − Na]–: (m/z) calcd. for C10H9BrN3O2S2: 345.9325 (79Br), found: 345.9321; calcd. for C10H9BrN3O2S2: 347.9305 (81Br), found: 347.9295. HPLC purity: 98.80%.
Sodium 2-((5-bromo-4-((5-ethyl-2-thiophenyl)methyl)-4H-1,2,4-triazol-3-yl)thio)acetate (1hc): White solid; 0.77 g (100%); m.p. 178–180 °C. 1H-NMR (DMSO-d6, 400 MHz) δ: 6.92 (d, J = 3.2 Hz, 1H), 6.71 (d, J = 3.2 Hz, 1H), 5.26 (s, 2H), 3.66 (s, 2H), 2.74 (q, J = 7.5 Hz, 2H), 1.18 (t, J = 7.4 Hz, 3H). 13C-NMR (DMSO-d6, 100 MHz) δ: 169.15, 153.59, 148.05, 133.99, 128.95, 127.64, 123.45, 43.57, 40.58, 22.73, 15.66. ESI-HRMS [M − Na]–: (m/z) calcd. for C11H11BrN3O2S2: 359.9482 (79Br), found: 359.9479; calcd. for C11H11BrN3O2S2: 361.9461 (81Br), found: 361.9462. HPLC purity: 98.06%.
Sodium 2-((5-bromo-4-((3-methyl-2-thiophenyl)methyl)-4H-1,2,4-triazol-3-yl)thio)acetate (1hd): White solid; 0.74 g (100%); m.p. 158 °C (dec). 1H-NMR (DMSO-d6, 400 MHz) δ: 7.38 (d, J = 5.2 Hz, 1H), 6.86 (d, J = 5.2 Hz, 1H), 5.29 (s, 2H), 3.62 (s, 2H), 2.30 (s, 3H). 13C-NMR (DMSO-d6, 100 MHz) δ: 168.91, 153.65, 135.54, 130.86, 130.17, 129.12, 125.05, 42.37, 40.68, 13.80. ESI-HRMS [M − Na]–: (m/z) calcd. for C10H9BrN3O2S2 : 345.9325 (79Br), found: 345.9318; calcd. for C10H9BrN3O2S2 : 347.9305 (81Br), found: 347.9294. HPLC purity: 98.33%.
Sodium 2-((5-bromo-4-((5-bromo-4-methyl-2-thiophenyl)methyl)-4H-1,2,4-triazol-3-yl)thio)acetate (1he): White solid; 0.90 g (100%); m.p. 87 °C (dec). 1H-NMR (DMSO-d6, 400 MHz) δ: 6.90 (s, 1H), 5.27 (s, 2H), 3.64 (s, 2H), 2.09 (s, 3H). 13C-NMR (DMSO-d6, 100 MHz) δ: 168.82, 153.62, 137.17, 136.60, 129.75, 128.98, 108.83, 43.35, 40.70, 14.77. ESI-HRMS [M − Na]–: (m/z) calcd. for C10H8Br2N3O2S2: 425.8410, found: 425.8399. HPLC purity: 97.71%.
Sodium 2-((5-bromo-4-((3-thiophenyl)methyl)-4H-1,2,4-triazol-3-yl)thio)acetate (1hf): White solid; 0.71 g (100%); m.p. 124–126 °C. 1H-NMR (DMSO-d6, 400 MHz) δ: 7.55–7.57 (m, 1H), 7.34 (d, J = 1.6 Hz, 1H), 5.15 (s, 2H), 3.66 (s, 2H). 13C-NMR (DMSO-d6, 100 MHz) δ: 169.34, 153.69, 135.44, 129.23, 127.58, 126.57, 123.78, 43.91, 40.15. ESI-HRMS [M − Na]–: (m/z) calcd. for C9H7BrN3O2S2: 331.9169 (79Br), found: 331.9166; calcd. for C9H7BrN3O2S2: 333.9148 (81Br), found: 333.9140. HPLC purity: 99.40%.
Sodium 2-((5-bromo-4-((5-phenyl-2-thiophenyl)methyl)-4H-1,2,4-triazol-3-yl)thio)acetate (1hg): White solid; 0.86 g (100%); m.p. 212 °C(dec). 1H-NMR (DMSO-d6, 400 MHz) δ: 7.59–7.60 (m, 2H), 7.37–7.41 (m, 3H), 7.30 (t, J = 7.2 Hz, 1H), 7.12 (d, J = 3.6 Hz, 1H), 5.37 (s, 2H), 3.67 (s, 2H). 13C-NMR (DMSO-d6, 100 MHz) δ: 168.50, 153.77, 144.13, 136.31, 133.14, 129.12, 129.00, 127.92, 125.32, 123.45, 43.53, 40.85. ESI-HRMS [M − Na]–: (m/z) calcd. for C15H11BrN3O2S2: 407.9482 (79Br), found: 407.9498; calcd. for C15H11BrN3O2S2: 409.9461 (81Br), found: 409.9443. HPLC purity: 99.12%.
Sodium 2-((5-bromo-4-((3-bromobenzo[b]thiophen-2-yl)methyl)-4H-1,2,4-triazol-3-yl)thio)acetate (1hh): White solid; 0.97 g (100%); m.p. 99 °C(dec). 1H-NMR (DMSO-d6, 400 MHz) δ: 8.02 (d, J = 8.0 Hz, 1H), 7.77 (d, J = 8.0 Hz, 1H), 7.52–7.56 (m, 1H), 7.45–7.49 (m, 1H), 5.54 (s, 2H), 3.71 (s, 2H). 13C-NMR (DMSO-d6, 100 MHz) δ: 169.23, 153.82, 137.07, 136.75, 133.59, 129.58, 126.27, 125.90, 123.27, 122.72, 107.03, 44.21, 40.23. ESI-HRMS [M − Na]–: (m/z) calcd. for C13H8Br2N3O2S2: 461.8410, found: 461.8420. HPLC purity: 97.84%.
Sodium 2-((5-bromo-4-((dibenzo[b,d]thiophen-4-yl)methyl)-4H-1,2,4-triazol-3-yl)thio)acetate (1hi): White solid; 0.91 g (100%); m.p. 74 °C(dec). 1H-NMR (DMSO-d6, 400 MHz) δ: 8.39–8.41 (m, 1H), 8.36 (d, J = 7.6 Hz, 1H), 8.05–8.08 (m, 1H), 7.51–7.57 (m, 3H), 7.01 (d, J = 7.6 Hz, 1H), 5.45 (s, 2H), 3.63 (s, 2H). 13C-NMR (DMSO-d6, 100 MHz) δ: 169.01, 154.56, 138.10, 135.94, 134.79, 130.13, 128.99, 127.48, 125.33, 125.07, 124.81, 123.02, 122.31, 121.77, 47.32, 40.37. ESI-HRMS [M − Na]–: (m/z) calcd. for C17H11BrN3O2S2: 431.9482 (79Br), found: 431.9640; calcd. for C17H11BrN3O2S2: 433.9461 (81Br), found: 433.9673. HPLC purity: 99.35%.
3.3. In Vitro URAT1 Inhibitory Assay
The in vitro URAT1 inhibitory activity of the compounds 1a–1x and 1ha–1hi as well as lesinurad (in the form of sodium salt as well) was determined by the inhibition of URAT1-mediated [8-14C]uric acid uptake by human embryonic kidney 293 (HEK293) cells stably expressing human URAT1 (HEK293-URAT1 cells). Thus, HEK293-URAT1 cells and mock cells (HEK293A-pcDNA3.1) were subcultured for 2–3 generations in Dulbecco’s Modified Eagle Medium (DMEM; with 10% FBS, 100 IU/mL penicillin, and 50 μg/mL streptomycin at 37 °C, 5% CO2, and 95% air). After incubation for 48 h, when the HEK293-URAT1 cells and mock cells were grown to confluence, the cells were treated with 0.25% trypsin for 1–2 min. Thereafter, the digested cells were diluted to a density of 1.5 × 105/mL and seeded onto the 24-well cell culture plates at 1 mL/well for about 48 h. The HEK293-URAT1 cells and mock cells were pre-incubated for 10 min in HBSS (Cl− free) and then incubated in the uptake solution (PBS) containing 5 μM [8-14C]uric acid (2 μCi/mL) with or without the tested compounds (at a series of concentrations ranging from 0.001 M to 100 M depending on the specific potency). The HEK293-URAT1 cells were then washed rapidly three times with ice-cold HBSS (Cl− free) and lysed with 0.1 M aqueous NaOH solution. After that, 500-μL aliquots of cell lysates were transferred to scintillation vials and mixed with scintillation solution. The radioactivity in the cells was measured by a liquid scintillation counter (PerkinElmer, Waltham, MA, USA).
The inhibition rates of the test compounds were calculated according to the following equation,
where, U is the radioactivity corresponding to HEK293-URAT1 cell with test compound, Uc is the radioactivity corresponding to HEK293-URAT1 cell without test compound and U0 is the radioactivity corresponding to mock cell with [8-14C]uric acid. The concentrations of the compounds to inhibit 50% [8-14C]uric acid uptake by HEK293-URAT1 cells (IC50) were calculated with GraphPad Prism software (San Diego, CA, USA). The assays were performed in triplicate, and the IC50 values were expressed as mean ± SD.
Inhibition rate = ((U − U0)/(Uc − U0)] × 100%
4. Conclusions
In conclusion, a systematic SAR exploration of the diarylmethane backbone in the present study led to the identification of a highly potent URAT1 inhibitor 1h, which was 200- and 8-fold more potent than parent lesinurad and benzbromarone, respectively (IC50 = 0.035 μM against human URAT1 for 1h vs. 7.18 μM and 0.28 μM for lesinurad and benzbromarone, respectively). Compared to the potent URAT1 inhibitors discovered in earlier work, compound 1h, possessing a novel thiophenyltriazolylmethane backbone, is the most potent URAT1 inhibitor discovered in our laboratories so far and also comparable to the most potent ones currently under development in clinical trials. The present study strongly suggests that the diarylmethane backbone represents a very promising molecular scaffold for the design of potent URAT1 inhibitors.
Supplementary Materials
Supplementary materials are available on line. The representative dose-response curves, i.e., concentration-inhibition rate curves, of lesinurad and benzbromarone for the calculation of their IC50 values against human URAT1 (Figure S1).
Acknowledgments
The authors are very grateful for the financial support from Tianjin Municipal Science Fund for Distinguished Young Scholars (17JCJQJC46300), Shandong Provincial Natural Science Foundation (ZR2017BB033) and Youth Science Funds of Shandong Academy of Sciences (2018QN0030).
Author Contributions
G.Z. and J.W. conceived and designed the experiments; W.C., J.W., W.L., Y.X., Y.L. and S.Z. performed the experiments; W.X. and L.T. contributed helpful discussions. G.Z. analyzed the data; G.Z. and W.C. wrote the paper. All authors discussed and agreed with the results and conclusions in the manuscript.
Conflicts of Interest
The authors declare no conflict of interest.
References
- Perez-Ruiz, F.; Marimo, E.; Chinchilla, S.P. Hyperuricaemia with deposition: Latest evidence and therapeutic approach. Ther. Adv. Musculoskel Dis. 2015, 7, 225–233. [Google Scholar] [CrossRef] [PubMed]
- Pascual, E.; Addadi, L.; Andrés, M.; Sivera, F. Mechanisms of crystal formation in gout–a structural approach. Nat. Rev. Rheumatol. 2015, 11, 725–730. [Google Scholar] [CrossRef] [PubMed]
- Abeles, A.M. Hyperuricemia, gout, and cardiovascular disease: An update. Curr. Rheumatol. Rep. 2015, 17, 13. [Google Scholar] [CrossRef] [PubMed]
- Galassi, F.M.; Borghi, C. A brief history of uric acid: From gout to cardiovascular risk factor. Eur. J. Intern. Med. 2015, 26, 373. [Google Scholar] [CrossRef] [PubMed]
- Nuki, G.; Simkin, P.A. A concise history of gout and hyperuricemia and their treatment. Arthritis Res. Ther. 2006, 8, S1. [Google Scholar] [CrossRef] [PubMed][Green Version]
- Kuo, C.-F.; Grainge, M.J.; Zhang, W.; Doherty, M. Global epidemiology of gout: Prevalence, incidence and risk factors. Nat. Rev. Rheumatol. 2015, 11, 649–662. [Google Scholar] [CrossRef] [PubMed]
- Smith, E.; Hoy, D.; Cross, M.; Merriman, T.R.; Vos, T.; Buchbinder, R.; Woolf, A.; March, L. The global burden of gout: Estimates from the global burden of disease 2010 study. Ann. Rheum. Dis. 2014, 73, 1470–1476. [Google Scholar] [CrossRef] [PubMed]
- Wertheimer, A.; Morlock, R.; Becker, M.A. A revised estimate of the burden of illness of gout. Curr. Ther. Res. 2013, 75, 1–4. [Google Scholar] [CrossRef] [PubMed]
- Nyberg, F.; Horne, L.; Morlock, R.; Nuevo, J.; Storgard, C.; Aiyer, L.; Hines, D.M.; Ansolabehere, X.; Chevalier, P. Comorbidity burden in trial-aligned patients with established gout in Germany, UK, US, and France: A retrospective analysis. Adv. Ther. 2016, 33, 1180–1198. [Google Scholar] [CrossRef] [PubMed]
- Punzi, L.; Scanu, A.; Ramonda, R.; Oliviero, F. Gout as autoinflammatory disease: New mechanisms for more appropriated treatment targets. Autoimmun. Rev. 2012, 12, 66–71. [Google Scholar] [CrossRef] [PubMed]
- Liebman, S.E.; Taylor, J.G.; Bushinsky, D.A. Uric acid nephrolithiasis. Curr. Rheumatol. Rep. 2007, 9, 251–257. [Google Scholar] [CrossRef] [PubMed]
- Tan, P.K.; Farrar, J.E.; Gaucher, E.A.; Miner, J.N. Coevolution of URAT1 and uricase during primate evolution: Implications for serum urate homeostasis and gout. Mol. Biol. Evol. 2016, 33, 2193–2200. [Google Scholar] [CrossRef] [PubMed]
- Richette, P.; Bardin, T. Gout. Lancet 2010, 375, 318–328. [Google Scholar] [CrossRef]
- Crittenden, D.B.; Pillinger, M.H. New therapies for gout. Annu. Rev. Med. 2013, 64, 325–337. [Google Scholar] [CrossRef] [PubMed]
- Keenan, R.T.; Schlesinger, N. New and pipeline drugs for gout. Curr. Rheumatol. Rep. 2016, 18, 32. [Google Scholar] [CrossRef] [PubMed]
- Bernal, J.A.; Quilis, N.; Andrés, M.; Sivera, F.; Pascual, E. Gout: Optimizing treatment to achieve a disease cure. Ther. Adv. Chronic Dis. 2016, 7, 135–144. [Google Scholar] [CrossRef] [PubMed]
- Enomoto, A.; Kimura, H.; Chairoungdua, A.; Shigeta, Y.; Jutabha, P.; Cha, S.H.; Hosoyamada, M.; Takeda, M.; Sekine, T.; Igarashi, T.; et al. Molecular identification of a renal urate anion exchanger that regulates blood urate levels. Nature 2002, 417, 447–452. [Google Scholar] [CrossRef] [PubMed]
- Cai, W.; Liu, W.; Liu, C.; Wang, J.; Zhao, G. A systematic review of uric acid transporter 1 (URAT1) inhibitors for the treatment of hyperuricemia and gout and an insight into the structure-activity relationship (SAR). Chin. J. Structur. Chem. 2017, 36, 897–910. [Google Scholar]
- Hyndman, D.; Liu, S.; Miner, J.N. Urate handling in the human body. Curr. Rheumatol. Rep. 2016, 18, 34. [Google Scholar] [CrossRef] [PubMed]
- Robbins, N.; Koch, S.E.; Tranter, M.; Rubinstein, J. The history and future of probenecid. Cardiovasc. Toxicol. 2012, 12, 1–9. [Google Scholar] [CrossRef] [PubMed]
- Dubchak, N.; Falasca, G.F. New and improved strategies for the treatment of gout. Int. J. Nephrol. Renovasc. Dis. 2010, 3, 145–166. [Google Scholar] [PubMed]
- Ahn, S.O.; Ohtomo, S.; Kiyokawa, J.; Nakagawa, T.; Yamane, M.; Lee, K.J.; Kim, K.H.; Kim, B.H.; Tanaka, J.; Kawabe, Y.; et al. Stronger uricosuric effects of the novel selective URAT1 inhibitor UR-1102 lowered plasma urate in tufted capuchin monkeys to a greater extent than benzbromarone. J. Pharmacol. Exp. Ther. 2016, 357, 157–166. [Google Scholar] [CrossRef] [PubMed]
- Hoy, S.M. Lesinurad: First global approval. Drugs 2016, 76, 509–516. [Google Scholar] [CrossRef] [PubMed]
- Tan, P.K.; Liu, S.; Gunic, E.; Miner, J.N. Discovery and characterization of verinurad, a potent and specific inhibitor of URAT1 for the treatment of hyperuricemia and gout. Sci. Rep. 2017, 7, 665. [Google Scholar] [CrossRef] [PubMed]
- Poiley, J.; Steinberg, A.S.; Choi, Y.J.; Davis, C.S.; Martin, R.L.; McWherter, C.A.; Boudes, P.F. Arhalofenate flare study investigators. A randomized, double-blind, active- and placebo-controlled efficacy and safety study of arhalofenate for reducing flare in patients with gout. Arthritis Rheumatol. 2016, 68, 2027–2034. [Google Scholar] [CrossRef] [PubMed]
- Edwards, N.L.; So, A. Emerging therapies for gout. Rheum. Dis. Clin. N. Am. 2014, 40, 375–387. [Google Scholar] [CrossRef] [PubMed]
- Mandal, A.; Emerling, D.; Serafini, T.; Mount, D.B. Tranilast inhibits urate transport mediated by URAT1 and GLUT9. Arthritis Rheum. 2010, 62, 164. [Google Scholar]
- Pan, Y.; Kong, L.D. Urate transporter URAT1 inhibitors: A patent review (2012–2015). Expert Opin. Ther. Pat. 2016, 26, 1129–1138. [Google Scholar] [CrossRef] [PubMed]
- Peng, J.; Hu, Q.; Gu, C.; Liu, B.; Jin, F.; Yuan, J.; Feng, J.; Zhang, L.; Lan, J.; Dong, Q.; et al. Discovery of potent and orally bioavailable inhibitors of human uric acid transporter 1 (hURAT1) and binding mode prediction using homology model. Bioorg. Med. Chem. Lett. 2016, 26, 277–282. [Google Scholar] [CrossRef] [PubMed]
- Tian, H.; Liu, W.; Zhou, Z.; Shang, Q.; Liu, Y.; Xie, Y.; Liu, C.; Xu, W.; Tang, L.; Wang, J.; et al. Discovery of a flexible triazolylbutanoic acid as a highly potent uric acid transporter 1 (URAT1) inhibitor. Molecules 2016, 21, 1543. [Google Scholar] [CrossRef] [PubMed]
- Zhang, X.; Wu, J.; Liu, W.; Liu, Y.; Xie, Y.; Shang, Q.; Zhou, Z.; Xu, W.; Tang, L.; Wang, J.; et al. Discovery of flexible naphthyltriazolylmethane-based thioacetic acids as highly active uric acid transporter 1 (URAT1) inhibitors for the treatment of hyperuricemia of gout. Med. Chem. 2017, 13, 260–281. [Google Scholar] [CrossRef] [PubMed]
- Cai, W.; Liu, W.; Xie, Y.; Wu, J.; Liu, Y.; Liu, C.; Xu, W.; Tang, L.; Wang, J.; Zhao, G. Design, synthesis and biological activity of tetrazole-bearing uric acid transporter 1 (URAT1) inhibitors. Chem. Res. Chin. Univ. 2017, 33, 49–60. [Google Scholar] [CrossRef]
- Zhang, X.; Xin, X.; Liu, W.; Xie, Y.; Liu, C.; Wang, J.; Zhao, G. Synthesis, crystal structure and URAT1 inhibitory activity of 2-((5-bromo-4-((4-cyclobutylnaphth-1-yl)methyl)-4H-1,2,4-triazol-3-yl)thio)acetic acid. Chin. J. Structur. Chem. 2017, 36, 1425–1432. [Google Scholar]
- Cai, W.; Liu, W.; Zhang, S.; Wang, J.; Zhao, G. Design, synthesis and bioactivity of highly sterically congested flexible uric acid transporter 1 (URAT1) inhibitors. Chin. J. Org. Chem. 2017, 37, 2303–2314. [Google Scholar] [CrossRef]
- L’abbé, G.; Leurs, S.; Sannen, I.; Dehaen, W. Synthesis of thiazolo[4,3-alisoindoles by intramolecular cycloaddition-elimination reactions of 4-methyl-5-(substituted)imino-Δ2-1,2,3,4-thiatriazolines. Tetrahedron 1993, 49, 4439–4446. [Google Scholar]
- Haudrechy, A.; Chassaing, C.; Riche, C.; Langlois, Y. A formal synthesis of (+)-Huperzine. Tetrahedron 2000, 56, 3181–3187. [Google Scholar] [CrossRef]
- Zhao, Y.; Jiang, K.; Xu, W.; Zhu, D. Macrocyclic triphenylamine based organic dyes for efficient dye-sensitized solar cells. Tetrahedron 2012, 68, 9113–9118. [Google Scholar] [CrossRef]
- Detty, M.R.; Hays, D.S. Studies toward alkylthiophene-2-carboxaldehydes. Reduction of 3-alkenylthiophenes with triethylsalane/trifluoroacetic acid. Regioselectivity in formylation reactions of 3-alkylthiophenes. Heterocycles 1995, 40, 925–937. [Google Scholar]
- Kruse, L.I.; Kaiser, C.; DeWolf, W.E., Jr.; Frazee, J.S.; Garvey, E.; Hilbert, E.L.; Faulkner, W.A.; Flaim, K.E.; Sawyer, J.L.; Berkowitz, B.A. Multisubstrate inhibitors of dopamine β-hydroxylase. 1. Some 1-phenyl and 1-phenyl-bridged derivatives of imidazole-2-thione. J. Med. Chem. 1986, 29, 2465–2472. [Google Scholar] [PubMed]
- Choshi, T.; Yamada, S.; Sugino, E.; Kuwada, T.; Hibino, S. Total synthesis of grossularines-1 and -2. J. Org. Chem. 1995, 60, 5899–5904. [Google Scholar] [CrossRef]
- Plesescu, M.; Li, Y.; Prakash, S.R. Synthesis of two labeled forms of proteasome inhibitor MLN273. J. Label. Compd. Radiopharm. 2007, 50, 428–430. [Google Scholar] [CrossRef]
- Bouillon, A.; Lancelot, J.-C.; Collot, V.; Bovy, P.R.; Rault, S. Synthesis of novel halopyridinylboronic acids and esters. Part 2: 2,4, or 5-Halopyridin-3-yl-boronic acids and esters. Tetrahedron 2002, 58, 3323–3328. [Google Scholar]
- Moser, K.B.; Bradsher, C.K. Aromatic cyclodehydration. XXXIX. The morphanthridizinium ion–A new heterocyclic system. J. Am. Chem. Soc. 1959, 81, 2547–2550. [Google Scholar]
- Meng, M.; Ellsworth, B.A.; Nirschl, A.A.; McCann, P.J.; Patel, M.; Girotra, R.N.; Wu, G.; Sher, P.M.; Morrison, E.P.; Biller, S.A.; et al. Discovery of dapagliflozin: A potent, selective renal sodium-dependent glucose cotransporter 2 (SGLT2) inhibitor for the treatment of type 2 diabetes. J. Med. Chem. 2008, 51, 1145–1149. [Google Scholar] [CrossRef] [PubMed]
- Hulshof, J.W.; Casarosa, P.; Menge, W.M.P.B.; Kuusisto, L.M.S.; Goot, H.V.D.; Smit, M.J.; Esch, I.J.P.D.; Leurs, R. Synthesis and structure-activity relationship of the first nonpeptidergic inverse agonists for the human cytomegalovirus encoded chemokine receptor US28. J. Med. Chem. 2005, 48, 6461–6471. [Google Scholar] [CrossRef] [PubMed]
- Chandrasekar, S.; Karthikeyan, I.; Sekar, G. An efficient and metal free synthesis of benzylpyridines using HI through the deoxygenation reaction. RSC Adv. 2015, 5, 58790. [Google Scholar] [CrossRef]
- Miner, J.; Tan, P.K.; Hyndman, D.; Liu, S.; Iverson, C.; Nanavati, P.; Hagerty, D.T.; Manhard, K.; Shen, Z.; Girardet, J.L.; et al. Lesinurad, a novel, oral compound for gout, acts to decrease serum uric acid through inhibition of urate transporters in the kidney. Arthritis Res. Ther. 2016, 18, 214. [Google Scholar] [CrossRef] [PubMed]
- Ohmura, R.; Takahata, M.; Togo, H. Metal-free one-pot oxidative conversion of benzylic alcohols and benzylic halides into aromatic amides with molecular iodine in aq ammonia, and hydrogen peroxide. Tetrahedron Lett. 2010, 51, 4378–4381. [Google Scholar] [CrossRef]
- Lan, J.Y.; Schuster, G.B. Photoalkylation of dicyanoarenes with alkyltriphenylborate salts. J. Am. Chem. Soc. 1985, 107, 6710–6711. [Google Scholar] [CrossRef]
- Varela-Fernández, A.; González-Rodríguez, C.; Varela, J.A.; Castedo, L.; Saá, C. Cycloisomerization of aromatic homoand bis-homopropargylic alcohols via catalytic Ru vinylidenes: Formation of benzofurans and isochromenes. Org. Lett. 2009, 11, 5350–5353. [Google Scholar] [CrossRef] [PubMed]
- Mai, K.; Patil, G. Facile conversion of carboxamioes to nitriles. Tetrahedron Lett. 1986, 27, 2203–2206. [Google Scholar] [CrossRef]
- Yano, J.K.; Denton, T.T.; Cerny, M.A.; Zhang, X.; Johnson, E.F.; Cashman, J.R. Synthetic inhibitors of cytochrome P-450 2A6: Inhibitory activity, difference spectra, mechanism of inhibition, and protein cocrystallization. J. Med. Chem. 2006, 49, 6987–7001. [Google Scholar]
- Liegault, B.; Petrov, I.; Gorelsky, S.I.; Fagnou, K. Modulating reactivity and diverting selectivity in palladium-catalyzed heteroaromatic direct arylation through the use of a chloride activating/blocking group. J. Org. Chem. 2010, 75, 1047–1060. [Google Scholar] [CrossRef] [PubMed]
- Bare, T.M.; Brown, D.G.; Horchler, C.L.; Murphy, M.; Urbanek, R.A.; Alford, V.; Barlaam, C.; Dyroff, M.C.; Empfield, J.B.; Forst, J.M.; et al. Pyridazinoquinolinetriones as NMDA glycine-site antagonists with oral antinociceptive activity in a model of neuropathic pain. J. Med. Chem. 2007, 50, 3113–3131. [Google Scholar] [CrossRef] [PubMed]
- Hirotsu, M.; Santo, K.; Hashimoto, H.; Kinoshita, I. Carbon- and sulfur-bridged diiron carbonyl complexes containing N,C,S-tridentate ligands derived from functionalized dibenzothiophenes: Mimics of the [FeFe]-hydrogenase active site. Organometallics 2012, 31, 7548–7557. [Google Scholar] [CrossRef]
- Mays, J.R.; Roska, R.L.W.; Sarfaraz, S.; Mukhtar, H.; Rajski, S.R. Identification, synthesis, and enzymology of non-natural glucosinolate chemopreventive candidates. ChemBioChem 2008, 9, 729–747. [Google Scholar] [CrossRef] [PubMed]
- Wong, R.; Dolman, S.J. Isothiocyanates from tosyl chloride mediated decomposition of in situ generated dithiocarbamic acid salts. J. Org. Chem. 2007, 72, 3969–3971. [Google Scholar] [CrossRef] [PubMed]
- Sharma, S.K.; Wu, Y.; Steinbergs, N.; Crowley, M.L.; Hanson, A.S.; Casero, R.A., Jr.; Woster, P.M. (Bis)urea and (bis)thiourea inhibitors of lysine-specific demethylase 1 as epigenetic modulators. J. Med. Chem. 2010, 53, 5197–5212. [Google Scholar] [CrossRef] [PubMed]
- Dewar, M.J.S.; Grisdale, P.J. Substituent effects. II. The preparation of a series of substituted 1-naphthoic acids. J. Am. Chem. Soc. 1962, 84, 3541–3546. [Google Scholar]
Sample Availability: Samples of the compounds 1a–1x and 1ha–1hi are available from the authors. |
© 2018 by the authors. Licensee MDPI, Basel, Switzerland. This article is an open access article distributed under the terms and conditions of the Creative Commons Attribution (CC BY) license (http://creativecommons.org/licenses/by/4.0/).





















