Potential of Grape Wastes as a Natural Source of Bioactive Compounds
Abstract
1. Introduction
2. Results and Discussion
2.1. Ferric Reducing Antioxidant Power (FRAP) of the Grape Peels and Seeds
2.2. Trolox Equivalent Antioxidant Capacity (TEAC) of the Grape Peels and Seeds
2.3. Total Phenolic Contents (TPC) of 30 Grape Peels and 10 Grape Seeds
2.4. Total Flavonoid Contents (TFC) of the Grape Peels and Seeds
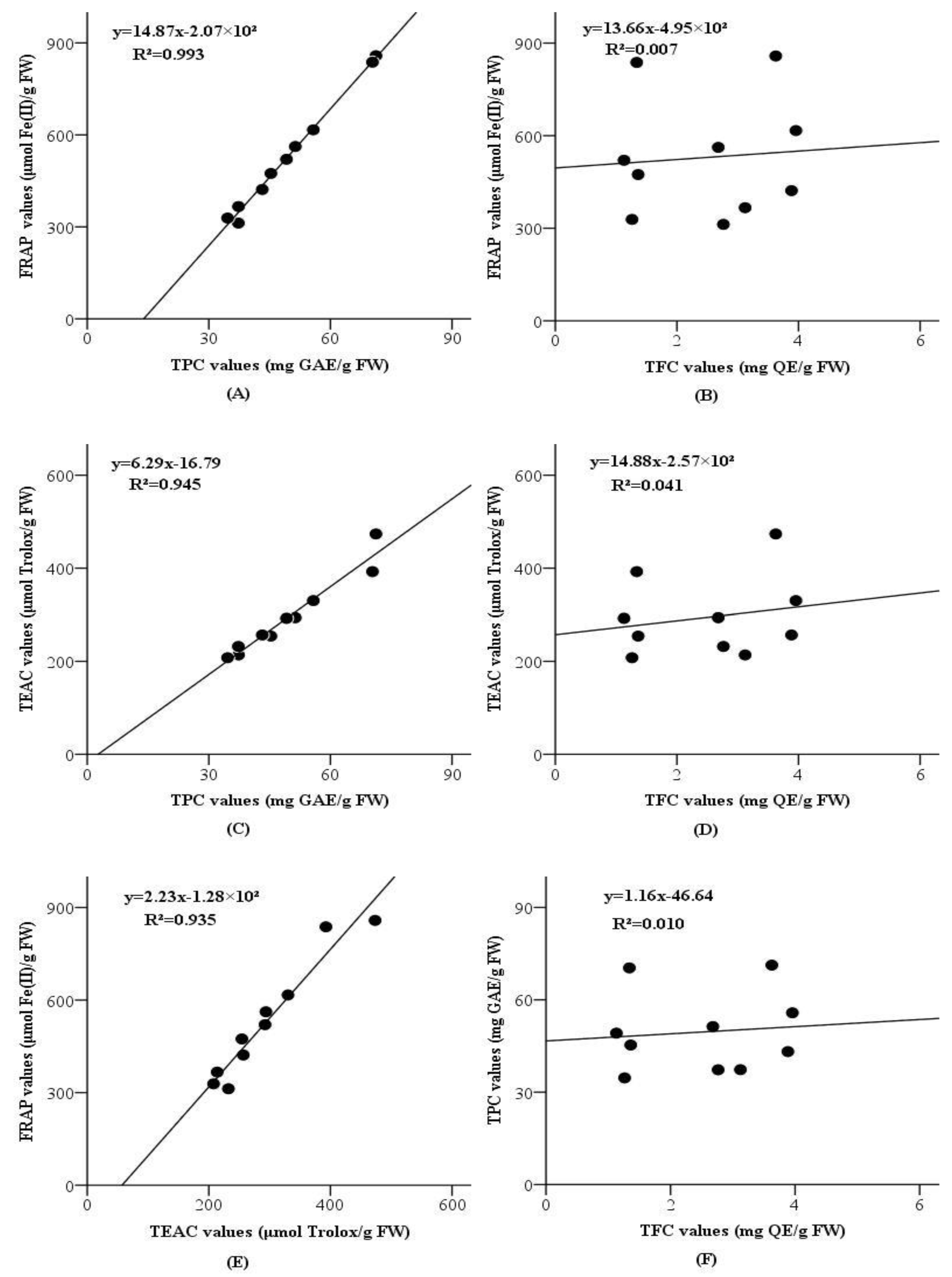
2.5. Correlations between Total FRAP, TEAC, TPC and TFC Values
2.6. Phenolic Components of the Grape Peels and Seeds
3. Materials and Methods
3.1. Chemical Reagents
3.2. Sample Preparation
3.3. FRAP Assay
3.4. TEAC Assay
3.5. Determination of TPC
3.6. Determination of TFC
3.7. HPLC Analysis
3.8. Data Analysis
4. Conclusions
Author Contributions
Funding
Acknowledgments
Conflicts of Interest
References
- Patel, S. Grape seeds: Agro-industrial waste with vast functional food potential. In Emerging Bioresources with Nutraceutical and Pharmaceutical Prospects; Patel, S., Ed.; Springer International Publishing AG: Cham, Switzerland, 2015; Volume 3, pp. 53–69. ISBN 978-3-319-12846-7 (H); 978-3-319-12847-4 (P). [Google Scholar]
- Clifton, P.M. Effect of grape seed extract and quercetin on cardiovascular and endothelial parameters in high-risk subjects. J. Biomed. Biotech. 2004, 2004, 272–278. [Google Scholar] [CrossRef] [PubMed]
- Hosu, A.; Cristea, V.; Cimpoiu, C. Analysis of total phenolic, flavonoids, anthocyanins and tannins content in Romanian red wines: Prediction of antioxidant activities and classification of wines using artificial neural networks. Food Chem. 2014, 150, 113–118. [Google Scholar] [CrossRef] [PubMed]
- Park, M.; Cho, H.; Jung, H.; Lee, H.; Hwang, K.T. Antioxidant and anti-inflammatory activities of tannin fraction of the extract from black raspberry seeds compared to grape seeds. J. Food Biochem. 2014, 38, 259–270. [Google Scholar] [CrossRef]
- Dillenburg, D.R.; Mostarda, C.; Moraes-Silva, I.C.; Ferreira, D.; Goncalves Bos, D.D.S.; Machado Duarte, A.A.; Irigoyen, M.C.; Rigatto, K. Resveratrol and grape juice differentially ameliorate cardiovascular autonomic modulation in L-NAME-treated rats. Auton. Neurosci.-Basic. 2013, 179, 9–13. [Google Scholar]
- Tome-Carneiro, J.; Gonzalvez, M.; Larrosa, M.; Garcia-Almagro, F.J.; Aviles-Plaza, F.; Parra, S.; Yanez-Gascon, M.J.; Ruiz-Ros, J.A.; Garcia-Conesa, M.T.; Tomas-Barberan, F.A.; et al. Consumption of a grape extract supplement containing resveratrol decreases oxidized LDL and ApoB in patients undergoing primary prevention of cardiovascular disease: A triple-blind, 6-month follow-up, placebo-controlled, randomized trial. Mol. Nutr. Food Res. 2012, 56, 810–821. [Google Scholar] [CrossRef] [PubMed]
- Vanzo, A.; Terdoslavich, M.; Brandoni, A.; Torres, A.M.; Vrhovsek, U.; Passamonti, S. Uptake of grape anthocyanins into the rat kidney and the involvement of bilitranslocase. Mol. Nutr. Food Res. 2008, 52, 1106–1116. [Google Scholar] [CrossRef] [PubMed]
- Cadiz-Gurrea, M.D.; Borras-Linares, I.; Lozano-Sanchez, J.; Joven, J.; Fernandez-Arroyo, S.; Segura-Carretero, A. Cocoa and grape seed byproducts as a source of antioxidant and anti-inflammatory proanthocyanidins. Int. J. Mol. Sci. 2017, 18, 376. [Google Scholar] [CrossRef] [PubMed]
- Xu, C.; Yagiz, Y.; Hsu, W.; Simonne, A.; Lu, J.; Marshall, M.R. Antioxidant, antibacterial, and antibiofilm properties of polyphenols from muscadine grape (Vitis rotundifolia Michx.) pomace against selected foodborne pathogens. J. Agric. Food Chem. 2014, 62, 6640–6649. [Google Scholar] [CrossRef] [PubMed]
- Iannone, M.; Mare, R.; Paolino, D.; Gagliardi, A.; Froiio, F.; Cosco, D.; Fresta, M. Characterization and in vitro anticancer properties of chitosan-microencapsulated flavan-3-ols-rich grape seed extracts. Int. J. Biol. Macromol. 2017, 104, 1039–1045. [Google Scholar] [CrossRef] [PubMed]
- Ferri, M.; Rondini, G.; Calabretta, M.M.; Michelini, E.; Vallini, V.; Fava, F.; Roda, A.; Minnucci, G.; Tassoni, A. White grape pomace extracts, obtained by a sequential enzymatic plus ethanol-based extraction, exert antioxidant, anti-tyrosinase and anti-inflammatory activities. New Biotechnol. 2017, 39, 51–58. [Google Scholar] [CrossRef] [PubMed]
- Vaisman, N.; Niv, E. Daily consumption of red grape cell powder in a dietary dose improves cardiovascular parameters: A. double blind, placebo-controlled, randomized study. Int. J. Food Sci. Nutr. 2015, 66, 342–349. [Google Scholar] [CrossRef] [PubMed]
- Ismail, A.; Salem, A.; Eassawy, M. Hepatoprotective effect of grape seed oil against carbon tetrachloride induced oxidative stress in liver of gamma-irradiated rat. J. Photoch. Photobio. B 2016, 160, 1–10. [Google Scholar] [CrossRef] [PubMed]
- Tang, G.Y.; Meng, X.; Li, Y.; Zhao, C.N.; Liu, Q.; Li, H.B. Effects of vegetables on cardiovascular diseases and related mechanisms. Nutrients 2017, 9, 857. [Google Scholar] [CrossRef] [PubMed]
- Zhao, C.N.; Meng, X.; Li, Y.; Li, S.; Liu, Q.; Tang, G.Y.; Li, H.B. Fruits for prevention and treatment of cardiovascular diseases. Nutrients 2017, 9, 598. [Google Scholar] [CrossRef] [PubMed]
- Meng, X.; Li, Y.; Li, S.; Gan, R.Y.; Li, H.B. Natural products for prevention and treatment of chemical-induced liver injuries. Compr. Rev. Food Sci. Food Saf. 2018, 17, 472–495. [Google Scholar] [CrossRef]
- Li, Y.; Li, S.; Meng, X.; Gan, R.Y.; Zhang, J.J.; Li, H.B. Dietary natural products for prevention and treatment of breast cancer. Nutrients 2017, 9, 728. [Google Scholar] [CrossRef] [PubMed]
- Wittenauer, J.; Schweiggert-Weisz, U.; Carle, R. In vitro-study of antioxidant extracts from Garcinia mangostana pericarp and Riesling grape pomace-a contribution to by-products valorization as cosmetic ingredients. J. Appl. Bot. Food Qual. 2016, 89, 249–257. [Google Scholar]
- Sadovoy, V.V.; Shchedrina, T.V.; Shlykov, S.N.; Trubina, I.A.; Salimov, M.A. Antioxidant food additive of the red grapes berry peel. Pishchevaya Promyshlennost 2013, 68–70. [Google Scholar]
- Xia, E.Q.; Deng, G.F.; Guo, Y.J.; Li, H.B. Biological activities of polyphenols from grapes. Int. J. Mol. Sci. 2010, 11, 622–646. [Google Scholar] [CrossRef] [PubMed]
- Percival, S.S.; West, R.L. Effect of health-promoting properties of grapes, including resveratrol. In Bioactives in Fruit: Health Benefits and Functional Foods; Skinner, M., Hunter, D., Eds.; Blackwell Science Publ.: Oxford, UK, 2013; pp. 197–214. ISBN 978-0-470-67497-0 (P). [Google Scholar]
- Meral, R.; Dogan, I.S. Grape seed as a functional food ingredient in bread-making. Int. J. Food Sci. Nutr. 2013, 64, 372–379. [Google Scholar] [CrossRef] [PubMed]
- Ananga, A.; Georgiev, V.; Ochieng, J.; Phills, B.; Tsolova, V. Production of anthocyanins in grape cell cultures: A potential source of raw material for pharmaceutical, food, and cosmetic industries. In Mediterranean Genetic Code-Grapevine and Olive; Poljuha, D., Sladonja, B., Eds.; Intech. Europe: Rijeka, Croatia, 2013; pp. 247–287. ISBN 978-953-51-1067-5 (P). [Google Scholar]
- Michalska, A.; Wojdylo, A.; Lysiak, G.P.; Figiel, A. Chemical composition and antioxidant properties of powders obtained from different plum juice formulations. Int. J. Mol. Sci. 2017, 18, 176. [Google Scholar] [CrossRef] [PubMed]
- He, J.Z.; Xu, Y.Y.; Chen, H.B.; Sun, P.L. Extraction, structural characterization, and potential antioxidant activity of the polysaccharides from four seaweeds. Int. J. Mol. Sci. 2016, 17, 1988. [Google Scholar] [CrossRef] [PubMed]
- Garrido, I.; Uriarte, D.; Hernandez, M.; Llerena, J.L.; Valdes, M.E.; Espinosa, F. The evolution of total phenolic compounds and antioxidant activities during ripening of grapes (Vitis vinifera L., cv. Tempranillo) grown in semiarid region: Effects of cluster thinning and water deficit. Int. J. Mol. Sci. 2016, 17, 1923. [Google Scholar] [CrossRef] [PubMed]
- Benzie, I.F.F.; Strain, J.J. The ferric reducing ability of plasma (FRAP) as a measure of “Antioxidant power”: The FRAP assay. Anal. Biochem. 1996, 239, 70–76. [Google Scholar] [CrossRef] [PubMed]
- Raudonis, R.; Raudone, L.; Jakstas, V.; Janulis, V. Comparative evaluation of post-column free radical scavenging and ferric reducing antioxidant power assays for screening of antioxidants in strawberries. J. Chromatogr. A 2012, 1233, 8–15. [Google Scholar] [CrossRef] [PubMed]
- Hayes, W.A.; Mills, D.S.; Neville, R.F.; Kiddie, J.; Collins, L.M. Determination of the molar extinction coefficient for the ferric reducing/antioxidant power assay. Anal. Biochem. 2011, 416, 202–205. [Google Scholar] [CrossRef] [PubMed]
- Pohanka, M.; Bandouchova, H.; Sobotka, J.; Sedlackova, J.; Soukupova, I.; Pikula, J. Ferric reducing antioxidant power and square wave voltammetry for assay of low molecular weight antioxidants in blood plasma: Performance and comparison of methods. Sensors-Basel 2009, 9, 9094–9103. [Google Scholar] [CrossRef] [PubMed]
- Deng, G.F.; Lin, X.; Xu, X.R.; Gao, L.L.; Xie, J.F.; Li, H.B. Antioxidant capacities and total phenolic contents of 56 vegetables. J. Funct. Foods 2013, 5, 260–266. [Google Scholar] [CrossRef]
- Fu, L.; Xu, B.T.; Xu, X.R.; Gan, R.Y.; Zhang, Y.; Xia, E.Q.; Li, H.B. Antioxidant capacities and total phenolic contents of 62 fruits. Food Chem. 2011, 129, 345–350. [Google Scholar] [CrossRef]
- Guo, Y.J.; Deng, G.F.; Xu, X.R.; Wu, S.; Li, S.; Xia, E.Q.; Li, F.; Chen, F.; Ling, W.H.; Li, H.B. Antioxidant capacities, phenolic compounds and polysaccharide contents of 49 edible macro-fungi. Food Funct. 2012, 3, 1195–1205. [Google Scholar] [CrossRef] [PubMed]
- Deng, G.; Shen, C.; Xu, X.R.; Kuang, R.D.; Guo, Y.J.; Zeng, L.; Gao, L.L.; Lin, X.; Xie, J.F.; Xia, E.Q.; et al. Potential of fruit wastes as natural resources of bioactive compounds. Int. J. Mol. Sci. 2012, 13, 8308–8323. [Google Scholar] [CrossRef] [PubMed]
- Fu, L.; Xu, B.T.; Xu, X.R.; Qin, X.S.; Gan, R.Y.; Li, H.B. Antioxidant capacities and total phenolic contents of 56 wild fruits from South China. Molecules 2010, 15, 8602–8617. [Google Scholar] [CrossRef] [PubMed]
- Li, A.N.; Li, S.; Li, H.B.; Xu, D.P.; Xu, X.R.; Chen, F. Total phenolic contents and antioxidant capacities of 51 edible and wild flowers. J. Funct. Foods 2014, 6, 319–330. [Google Scholar] [CrossRef]
- Li, S.; Li, S.K.; Gan, R.Y.; Song, F.L.; Kuang, L.; Li, H.B. Antioxidant capacities and total phenolic contents of infusions from 223 medicinal plants. Ind. Crop. Prod. 2013, 51, 289–298. [Google Scholar] [CrossRef]
- Nilsson, J.; Pillai, D.; Onning, G.; Persson, C.; Nilsson, A.; Akesson, B. Comparison of the 2,2′-azinobis-3-ethylbenzotiazoline-6-sulfonic acid (ABTS) and ferric reducing antioxidant power (FRAP) methods to asses the total antioxidant capacity in extracts of fruit and vegetables. Mol. Nutr. Food Res. 2005, 49, 239–246. [Google Scholar] [CrossRef] [PubMed]
- Van den Berg, R.; Haenen, G.; van den Berg, H.; van der Vijgh, W.; Bast, A. The predictive value of the antioxidant capacity of structurally related flavonoids using the Trolox equivalent antioxidant capacity (TEAC) assay. Food Chem. 2000, 70, 391–395. [Google Scholar] [CrossRef]
- Van den Berg, R.; Haenen, G.; van den Berg, H.; Bast, A. Applicability of an improved Trolox equivalent antioxidant capacity (TEAC) assay for evaluation of antioxidant capacity measurements of mixtures. Food Chem. 1999, 66, 511–517. [Google Scholar] [CrossRef]
- Re, R.; Pellegrini, N.; Proteggente, A.; Pannala, A.; Yang, M.; Rice-Evans, C. Antioxidant activity applying an improved ABTS radical cation decolorization assay. Free Radical Bio. Med. 1999, 26, 1231–1237. [Google Scholar] [CrossRef]
- Badami, S.; Moorkoth, S.; Rai, S.R.; Kannan, E.; Bhojraj, S. Antioxidant activity of Caesalpinia sappan heartwood. Biol. Pharm. Bull. 2003, 26, 1534–1537. [Google Scholar] [CrossRef] [PubMed]
- Murcia, M.A.; Martinez-Tome, M.; Jimenez, A.M.; Vera, A.M.; Honrubia, M.; Parras, P. Antioxidant activity of edible fungi (truffles and mushrooms): Losses during industrial processing. J. Food Protect. 2002, 65, 1614–1622. [Google Scholar] [CrossRef]
- Deng, G.F.; Xu, X.R.; Guo, Y.J.; Xia, E.Q.; Li, S.; Wu, S.; Chen, F.; Ling, W.H.; Li, H.B. Determination of antioxidant property and their lipophilic and hydrophilic phenolic contents in cereal grains. J. Funct. Foods 2012, 4, 906–914. [Google Scholar] [CrossRef]
- Dorsey, T.E.; McDonald, P.W.; Roels, O.A. A heated Biuret-Folin protein assay which gives equal absorbance with different proteins. Anal. Biochem. 1977, 78, 156–164. [Google Scholar] [CrossRef]
- Vinson, J.A.; Proch, J.; Bose, P. Determination of quantity and quality of polyphenol antioxidants in foods and beverages. Meth. Enzymol. 2001, 35, 103–114. [Google Scholar]
- Chun, O.K.; Kim, D.O. Consideration on equivalent chemicals in total phenolic assay of chlorogenic acid-rich plums. Food Res. Int. 2004, 37, 337–342. [Google Scholar] [CrossRef]
- Roura, E.; Andres-Lacueva, C.; Estruch, R.; Lamucla-Raventos, R.M. Total polyphenol intake estimated by a modified Folin-Ciocalteu assay of urine. Clin. Chem. 2006, 52, 749–752. [Google Scholar] [CrossRef] [PubMed]
- Singleton, V.L.; Orthofer, R.; Lamuela-Raventos, R.M. Analysis of total phenols and other oxidation substrates and antioxidants by means of Folin-Ciocalteu reagent. In Oxidants and Antioxidants, PTA; Packer, L., Ed.; Elsevier Academic Press Inc.: San Diego, CA, USA, 1999; Volume 299, pp. 152–178. ISBN 0-12-182200-1. [Google Scholar]
- Kalia, K.; Sharma, K.; Singh, H.P.; Singh, B. Effects of extraction methods on phenolic contents and antioxidant activity in aerial parts of Potentilla atrosanguinea lodd. and quantification of its phenolic constituents by RP-HPLC. J. Agric. Food Chem. 2008, 56, 10129–10134. [Google Scholar] [CrossRef] [PubMed]
- Teixeira, T.S.; Vale, R.C.; Almeida, R.R.; Ferreira, T.P.S.; Guimaraes, G.L. Antioxidant potential and its correlation with the contents of phenolic compounds and flavonoids of methanolic extracts from different medicinal plants. Revista Virtual De Quimica 2017, 9, 1546–1559. [Google Scholar] [CrossRef]
- Kuppusamy, S.; Thavamani, P.; Megharaj, M.; Nirola, R.; Lee, Y.B.; Naidu, R. Assessment of antioxidant activity, minerals, phenols and flavonoid contents of common plant/tree waste extracts. Ind. Crop. Prod. 2016, 83, 630–634. [Google Scholar] [CrossRef]
- Gan, R.; Wang, M.; Lui, W.; Wu, K.; Dai, S.; Sui, Z.; Corke, H. Diversity in antioxidant capacity, phenolic contents, and flavonoid contents of 42 edible beans from China. Cereal Chem. 2017, 94, 291–297. [Google Scholar] [CrossRef]
- Cai, Y.Z.; Luo, Q.; Sun, M.; Corke, H. Antioxidant activity and phenolic compounds of 112 traditional Chinese medicinal plants associated with anticancer. Life Sci. 2004, 74, 2157–2184. [Google Scholar] [CrossRef] [PubMed]
- Li, L.; Chen, C.Y.O.; Chun, H.; Cho, S.; Park, K.; Lee-Kim, Y.C.; Blumberg, J.B.; Russell, R.M.; Yeum, K. A fluorometric assay to determine antioxidant activity of both hydrophilic and lipophilic components in plant foods. J. Nutr. Biochem. 2009, 20, 219–226. [Google Scholar] [CrossRef] [PubMed]
- Nardini, M.; Cirillo, E.; Natella, F.; Mencarelli, D.; Comisso, A.; Scaccini, C. Detection of bound phenolic acids: Prevention by ascorbic acid and ethylenediaminetetraacetic acid of degradation of phenolic acids during alkaline hydrolysis. Food Chem. 2002, 79, 119–124. [Google Scholar] [CrossRef]
Sample Availability: Samples of the compounds are unavailable from the authors. |




| Name of Grapes | Place of Production | Part of Grapes | FARAP Values (μmol Fe(II)/g FW) | |||
|---|---|---|---|---|---|---|
| Fat-Soluble Fraction | Water-Soluble Fraction | Insoluble-Bound Fraction | Total | |||
| Black Grape | Yunnan, China | Peel | 99.407 ± 4.048 | 54.026 ± 1.833 | 0.273 ± 0.024 | 153.706 ± 5.904 |
| Blackcurrant Grape | California, CA, USA | Peel | 161.671 ± 5.628 | 91.100 ± 3.554 | 0.211 ± 0.003 | 252.983 ± 9.185 |
| Flame Grape | Xinjiang, China | Peel | 24.241 ± 2.288 | 40.931 ± 1.694 | 0.286 ± 0.022 | 65.457 ± 4.004 |
| ragrant Green Grape | Yunnan, China | Peel | 6.734 ± 0.364 | 11.407 ± 0.311 | 0.163 ± 0.005 | 18.304 ± 0.680 |
| Golden Finger Grape | California, CA, USA | Peel | 106.886 ± 5.354 | 115.195 ± 0.595 | 0.074 ± 0.005 | 222.155 ± 5.954 |
| Green Grape | Victoria, Australia | Peel | 20.336 ± 0.398 | 22.645 ± 1.450 | 0.245 ± 0.010 | 43.226 ± 1.858 |
| Ito Kyoho Grape | Yunnan, China | Peel | 63.526 ± 4.318 | 40.336 ± 1.193 | 0.170 ± 0.015 | 104.032 ± 5.526 |
| Kyoho Grape | Guangxi, China | Peel | 94.002 ± 2.110 | 26.026 ± 2.239 | 0.614 ± 0.032 | 120.642 ± 4.380 |
| Kyoho Grape | Liaoning, China | Peel | 59.621 ± 1.689 | 15.907 ± 0.655 | 0.164 ± 0.007 | 75.693 ± 2.351 |
| Kyoho Grape | Xinjiang, China | Peel | 90.217 ± 5.724 | 12.407 ± 1.111 | 0.092 ± 0.005 | 102.716 ± 6.840 |
| Kyoho Grape | Yunnan, China | Peel | 75.812 ± 5.004 | 24.264 ± 2.020 | 0.254 ± 0.023 | 100.331 ± 7.047 |
| Pearl Black Grape | Xinjiang, China | Peel | 84.479 ± 2.465 | 53.600 ± 3.536 | 0.144 ± 0.004 | 138.223 ± 6.005 |
| Pearl Green Grape | Xinjiang, China | Peel | 7.288 ± 0.648 | 20.907 ± 0.842 | 0.154 ± 0.013 | 28.350 ± 1.503 |
| Pearl Green Grape | Victoria, Australia | Peel | 36.955 ± 1.041 | 40.883 ± 1.636 | 0.211 ± 0.013 | 78.050 ± 2.689 |
| Red Grape | California, CA, USA | Peel | 42.169 ± 3.351 | 27.741 ± 0.975 | 0.083 ± 0.003 | 69.992 ± 4.329 |
| Red Grape | Guangxi, China | Peel | 35.645 ± 1.221 | 24.764 ± 0.446 | 0.131 ± 0.011 | 60.541 ± 1.678 |
| Red Grape | Xinjiang, China | Peel | 43.812 ± 1.782 | 21.693 ± 1.823 | 0.133 ± 0.013 | 65.638 ± 3.617 |
| Red Grape | Yunnan, China | Peel | 62.336 ± 2.133 | 35.431 ± 2.093 | 0.203 ± 0.005 | 97.969 ± 4.231 |
| Rose Black Grape | Xinjiang, China | Peel | 62.526 ± 3.635 | 65.717 ± 5.437 | 0.387 ± 0.030 | 128.630 ± 9.103 |
| Rose Black Grape | Yunnan, China | Peel | 59.383 ± 2.580 | 39.741 ± 1.034 | 0.408 ± 0.033 | 99.532 ± 3.646 |
| Seedless Black Grape | California, CA, USA | Peel | 106.674 ± 2.619 | 90.669 ± 8.983 | 0.401 ± 0.036 | 197.742 ± 11.638 |
| Seedless Black Grape | Xinjiang, China | Peel | 66.526 ± 2.269 | 67.074 ± 3.610 | 0.219 ± 0.003 | 133.819 ± 5.882 |
| Seedless Dew Grape | Xinjiang, China | Peel | 18.241 ± 1.656 | 31.136 ± 1.262 | 0.295 ± 0.015 | 49.672 ± 2.933 |
| Seedless Green Grape | Xinjiang, China | Peel | 7.264 ± 0.707 | 25.169 ± 1.567 | 0.131 ± 0.010 | 32.564 ± 2.284 |
| Seedless Red Grape | California, CA, USA | Peel | 53.657 ± 0.051 | 71.217 ± 4.113 | 0.094 ± 0.003 | 124.967 ± 4.166 |
| Seedless Red Grape | Victoria, Australia | Peel | 65.669 ± 2.402 | 65.288 ± 5.794 | 0.294 ± 0.003 | 131.251 ± 8.198 |
| Seedless Red Grape | Xinjiang, China | Peel | 24.026 ± 0.664 | 26.002 ± 1.329 | 0.138 ± 0.005 | 50.167 ± 1.998 |
| Seedless Red Grape | Yunnan, China | Peel | 25.669 ± 0.972 | 31.979 ± 1.608 | 0.217 ± 0.005 | 57.864 ± 2.586 |
| Summer Black Grape | Shaanxi, China | Peel | 85.121 ± 6.061 | 72.407 ± 4.772 | 0.233 ± 0.013 | 157.761 ± 10.846 |
| Summer Black Grape | Xinjiang, China | Peel | 56.883 ± 5.017 | 46.312 ± 3.526 | 0.379 ± 0.012 | 103.574 ± 8.555 |
| Black Grape | Yunnan, China | Seed | 692.019 ± 18.217 | 144.767 ± 3.348 | 0.456 ± 0.013 | 837.242 ± 21.578 |
| Ito Kyoho Grape | Yunnan, China | Seed | 301.924 ± 4.439 | 64.148 ± 4.014 | 0.424 ± 0.000 | 366.495 ± 8.452 |
| Kyoho Grape | Xinjiang, China | Seed | 371.448 ± 13.718 | 50.243 ± 3.295 | 0.436 ± 0.023 | 422.127 ± 17.036 |
| Kyoho Grape | Guangxi, China | Seed | 250.876 ± 8.208 | 59.671 ± 3.369 | 1.881 ± 0.184 | 312.429 ± 11.760 |
| Kyoho Grape | Yunnan, China | Seed | 283.638 ± 22.325 | 44.148 ± 3.996 | 0.868 ± 0.052 | 328.654 ± 26.373 |
| Pearl Black Grape | Xinjiang, China | Seed | 726.495 ± 23.487 | 131.243 ± 11.987 | 0.383 ± 0.033 | 858.121 ± 35.507 |
| Red Grape | Yunnan, China | Seed | 502.876 ± 27.668 | 112.862 ± 1.918 | 0.747 ± 0.043 | 616.485 ± 29.629 |
| Red Grape | Guangxi, China | Seed | 351.067 ± 19.144 | 122.576 ± 3.677 | 0.528 ± 0.005 | 474.170 ± 22.825 |
| Red Grape | Xinjiang, China | Seed | 450.305 ± 15.144 | 111.243 ± 4.267 | 0.470 ± 0.027 | 562.018 ± 19.437 |
| Red Grape | California, CA, USA | Seed | 401.924 ± 16.337 | 117.148 ± 3.570 | 1.319 ± 0.068 | 520.390 ± 19.974 |
| Name of Grapes | Place of Production | Part of Grapes | TEAC Values (μmol Trolox/g FW) | |||
|---|---|---|---|---|---|---|
| Fat-Soluble Fraction | Water-Soluble Fraction | Insoluble-Bound Fraction | Total | |||
| Black Grape | Yunnan, China | Peel | 58.264 ± 2.194 | 23.4742 ± 0.637 | 0.315 ± 0.030 | 82.053 ± 2.861 |
| Blackcurrant Grape | California, CA, USA | Peel | 84.463 ± 1.361 | 39.1097 ± 1.59 | 0.167 ± 0.015 | 123.740 ± 2.969 |
| Flame Grape | Xinjiang, China | Peel | 14.572 ± 1.001 | 9.0073 ± 0.140 | 0.209 ± 0.016 | 23.788 ± 1.157 |
| Fragrant Green Grape | Yunnan, China | Peel | 2.293 ± 0.133 | 2.7259 ± 0.061 | 0.156 ± 0.015 | 5.1760 ± 0.209 |
| Golden Finger Grape | California, CA, USA | Peel | 68.596 ± 5.519 | 29.4711 ± 0.381 | 0.039 ± 0.003 | 98.106 ± 5.902 |
| Green Grape | Victoria, Australia | Peel | 13.165 ± 0.524 | 7.4739 ± 0.314 | 0.166 ± 0.016 | 20.804 ± 0.854 |
| Ito Kyoho Grape | Yunnan, China | Peel | 34.777 ± 2.078 | 16.1091 ± 0.714 | 0.242 ± 0.023 | 51.128 ± 2.815 |
| Kyoho Grape | Guangxi, China | Peel | 31.151 ± 1.088 | 3.8408 ± 0.206 | 0.138 ± 0.003 | 35.130 ± 1.297 |
| Kyoho Grape | Liaoning, China | Peel | 42.555 ± 0.447 | 5.3211 ± 0.081 | 0.069 ± 0.003 | 47.945 ± 0.531 |
| Kyoho Grape | Xinjiang, China | Peel | 50.852 ± 3.082 | 12.8820 ± 0.979 | 0.383 ± 0.029 | 64.117 ± 4.090 |
| Kyoho Grape | Yunnan, China | Peel | 38.092 ± 1.912 | 12.0422 ± 1.146 | 0.163 ± 0.008 | 50.297 ± 3.065 |
| Pearl Black Grape | Xinjiang, China | Peel | 48.202 ± 0.567 | 30.2866 ± 2.763 | 0.075 ± 0.005 | 78.563 ± 3.336 |
| Pearl Green Grape | Xinjiang, China | Peel | 3.267 ± 0.254 | 6.0273 ± 0.026 | 0.141 ± 0.013 | 9.435 ± 0.293 |
| Pearl Green Grape | Victoria, Australia | Peel | 21.066 ± 0.750 | 20.9262 ± 0.525 | 0.105 ± 0.010 | 42.097 ± 1.285 |
| Red Grape | California, CA, USA | Peel | 34.654 ± 0.605 | 15.7459 ± 0.266 | 0.158 ± 0.010 | 50.557 ± 0.881 |
| Red Grape | Guangxi, China | Peel | 21.460 ± 0.485 | 6.5821 ± 0.043 | 0.098 ± 0.008 | 28.141 ± 0.536 |
| Red Grape | Xinjiang, China | Peel | 26.268 ± 2.316 | 9.8911 ± 0.620 | 0.134 ± 0.011 | 36.293 ± 2.947 |
| Red Grape | Yunnan, China | Peel | 24.813 ± 1.079 | 15.1921 ± 0.525 | 0.028 ± 0.002 | 40.033 ± 1.606 |
| Rose Black Grape | Xinjiang, China | Peel | 35.038 ± 1.647 | 29.0777 ± 2.282 | 0.237 ± 0.016 | 64.353 ± 3.944 |
| Rose Black Grape | Yunnan, China | Peel | 30.936 ± 1.431 | 19.7177 ± 0.469 | 0.216 ± 0.009 | 50.869 ± 1.909 |
| Seedless Black Grape | California, CA, USA | Peel | 34.388 ± 0.258 | 27.5440 ± 1.616 | 0.116 ± 0.008 | 62.047 ± 1.882 |
| Seedless Black Grape | Xinjiang, China | Peel | 62.835 ± 0.877 | 38.0697 ± 2.950 | 0.246 ± 0.012 | 101.151 ± 3.839 |
| Seedless Dew Grape | Xinjiang, China | Peel | 11.461 ± 0.428 | 7.9079 ± 0.043 | 0.252 ± 0.003 | 19.621 ± 0.473 |
| Seedless Green Grape | Xinjiang, China | Peel | 4.579 ± 0.363 | 10.3781 ± 0.402 | 0.083 ± 0.008 | 15.040 ± 0.773 |
| Seedless Red Grape | California, CA, USA | Peel | 16.143 ± 0.473 | 13.5667 ± 0.159 | 0.150 ± 0.010 | 29.860 ± 0.642 |
| Seedless Red Grape | Victoria, Australia | Peel | 14.900 ± 0.758 | 11.7903 ± 0.731 | 0.033 ± 0.003 | 26.724 ± 1.491 |
| Seedless Red Grape | Xinjiang, China | Peel | 29.336 ± 1.267 | 28.2014 ± 1.974 | 0.044 ± 0.003 | 57.582 ± 3.243 |
| Seedless Red Grape | Yunnan, China | Peel | 36.584 ± 1.474 | 21.6865 ± 1.676 | 0.103 ± 0.005 | 58.374 ± 3.155 |
| Summer Black Grape | Shaanxi, China | Peel | 51.789 ± 1.878 | 30.2866 ± 2.195 | 0.167 ± 0.013 | 82.242 ± 4.086 |
| Summer Black Grape | Xinjiang, China | Peel | 31.496 ± 2.283 | 28.6149 ± 1.900 | 0.246 ± 0.009 | 60.358 ± 4.192 |
| Black Grape | Yunnan, China | Seed | 329.773 ± 5.710 | 62.5184 ± 0.510 | 0.287 ± 0.015 | 392.577 ± 6.236 |
| Ito Kyoho Grape | Yunnan, China | Seed | 181.739 ± 1.029 | 31.7674 ± 1.296 | 0.295 ± 0.023 | 213.802 ± 2.348 |
| Kyoho Grape | Xinjiang, China | Seed | 231.921 ± 9.528 | 24.5545 ± 1.907 | 0.207 ± 0.005 | 256.682 ± 11.440 |
| Kyoho Grape | Guangxi, China | Seed | 192.411 ± 9.735 | 38.4204 ± 1.567 | 1.320 ± 0.071 | 232.152 ± 11.373 |
| Kyoho Grape | Yunnan, China | Seed | 176.024 ± 8.804 | 31.2584 ± 1.739 | 0.532 ± 0.031 | 207.815 ± 10.573 |
| Pearl Black Grape | Xinjiang, China | Seed | 409.190 ± 19.195 | 64.1050 ± 0.106 | 0.159 ± 0.003 | 473.454 ± 19.303 |
| Red Grape | Yunnan, China | Seed | 274.455 ± 11.707 | 55.1126 ± 1.364 | 0.587 ± 0.015 | 330.155 ± 13.086 |
| Red Grape | Guangxi, China | Seed | 199.613 ± 6.407 | 54.3559 ± 1.308 | 0.380 ± 0.005 | 254.349 ± 7.720 |
| Red Grape | Xinjiang, China | Seed | 246.250 ± 7.908 | 47.3937 ± 0.889 | 0.266 ± 0.007 | 293.910 ± 8.804 |
| Red Grape | California, CA, USA | Seed | 229.045 ± 7.867 | 62.7832 ± 0.696 | 0.520 ± 0.048 | 292.349 ± 8.610 |
| Name of Grapes | Place of Production | Part of Grapes | TPC Values (mg GAE/g FW) | |||
|---|---|---|---|---|---|---|
| Fat-Soluble Fraction | Water-Soluble Fraction | Insoluble-Bound Fraction | Total | |||
| Black Grape | Yunnan, China | Peel | 8.992 ± 0.646 | 5.516 ± 0.091 | 0.066 ± 0.006 | 14.574 ± 0.742 |
| Blackcurrant Grape | California, CA, USA | Peel | 16.529 ± 0.463 | 9.171 ± 0.430 | 0.025 ± 0.001 | 25.724 ± 0.894 |
| Flame Grape | Xinjiang, China | Peel | 2.5485 ± 0.173 | 3.782 ± 0.144 | 0.029 ± 0.002 | 6.356 ± 0.319 |
| Fragrant Green Grape | Yunnan, China | Peel | 0.811 ± 0.025 | 0.754 ± 0.037 | 0.024 ± 0.001 | 1.588 ± 0.062 |
| Golden Finger Grape | California, CA, USA | Peel | 6.443 ± 0.488 | 6.673 ± 0.024 | 0.015 ± 0.001 | 13.131 ± 0.514 |
| Green Grape | Victoria, Australia | Peel | 2.530 ± 0.028 | 2.366 ± 0.087 | 0.029 ± 0.002 | 4.925 ± 0.118 |
| Ito Kyoho Grape | Yunnan, China | Peel | 6.778 ± 0.300 | 3.774 ± 0.139 | 0.047 ± 0.004 | 10.599 ± 0.444 |
| Kyoho Grape | Guangxi, China | Peel | 6.809 ± 0.176 | 1.177 ± 0.061 | 0.018 ± 0.001 | 8.003 ± 0.239 |
| Kyoho Grape | Liaoning, China | Peel | 8.719 ± 0.341 | 6.752 ± 0.664 | 0.012 ± 0.001 | 15.483 ± 1.006 |
| Kyoho Grape | Xinjiang, China | Peel | 9.341 ± 0.517 | 2.935 ± 0.095 | 0.072 ± 0.002 | 12.348 ± 0.614 |
| Kyoho Grape | Yunnan, China | Peel | 7.689 ± 0.713 | 2.962 ± 0.151 | 0.036 ± 0.003 | 10.687 ± 0.866 |
| Pearl Black Grape | Xinjiang, China | Peel | 8.374 ± 0.210 | 6.944 ± 0.686 | 0.020 ± 0.001 | 15.338 ± 0.897 |
| Pearl Green Grape | Xinjiang, China | Peel | 1.138 ± 0.014 | 1.872 ± 0.083 | 0.027 ± 0.002 | 3.037 ± 0.099 |
| Pearl Green Grape | Victoria, Australia | Peel | 4.189 ± 0.089 | 4.618 ± 0.148 | 0.027 ± 0.002 | 8.833 ± 0.239 |
| Red Grape | California, CA, USA | Peel | 6.624 ± 0.233 | 3.528 ± 0.178 | 0.037 ± 0.001 | 10.189 ± 0.412 |
| Red Grape | Guangxi, China | Peel | 4.006 ± 0.400 | 2.331 ± 0.175 | 0.022 ± 0.001 | 6.359 ± 0.575 |
| Red Grape | Xinjiang, China | Peel | 4.935 ± 0.242 | 2.398 ± 0.043 | 0.029 ± 0.001 | 7.362 ± 0.286 |
| Red Grape | Yunnan, China | Peel | 4.683 ± 0.325 | 3.532 ± 0.084 | 0.011 ± 0.001 | 8.226 ± 0.410 |
| Rose Black Grape | Xinjiang, China | Peel | 6.524 ± 0.295 | 6.171 ± 0.486 | 0.043 ± 0.004 | 12.738 ± 0.786 |
| Rose Black Grape | Yunnan, China | Peel | 6.319 ± 0.560 | 4.669 ± 0.086 | 0.045 ± 0.002 | 11.032 ± 0.648 |
| Seedless Black Grape | California, CA, USA | Peel | 6.758 ± 0.193 | 6.512 ± 0.345 | 0.023 ± 0.000 | 13.293 ± 0.538 |
| Seedless Black Grape | Xinjiang, China | Peel | 11.426 ± 0.278 | 8.679 ± 0.703 | 0.048 ± 0.002 | 20.153 ± 0.983 |
| Seedless Dew Grape | Xinjiang, China | Peel | 2.372 ± 0.146 | 2.626 ± 0.185 | 0.041 ± 0.001 | 5.039 ± 0.332 |
| Seedless Green Grape | Xinjiang, China | Peel | 2.795 ± 0.026 | 2.774 ± 0.099 | 0.025 ± 0.002 | 5.594 ± 0.126 |
| Seedless Red Grape | California, CA, USA | Peel | 2.992 ± 0.052 | 2.933 ± 0.041 | 0.028 ± 0.002 | 5.953 ± 0.095 |
| Seedless Red Grape | Victoria, Australia | Peel | 2.839 ± 0.144 | 2.764 ± 0.113 | 0.016 ± 0.000 | 5.619 ± 0.257 |
| Seedless Red Grape | Xinjiang, China | Peel | 5.667 ± 0.086 | 6.553 ± 0.308 | 0.012 ± 0.001 | 12.232 ± 0.395 |
| Seedless Red Grape | Yunnan, China | Peel | 6.599 ± 0.110 | 6.547 ± 0.611 | 0.023 ± 0.002 | 13.169 ± 0.723 |
| Summer Black Grape | Shaanxi, China | Peel | 8.624 ± 0.535 | 6.169 ± 0.342 | 0.029 ± 0.002 | 14.822 ± 0.879 |
| Summer Black Grape | Xinjiang, China | Peel | 5.606 ± 0.078 | 5.036 ± 0.318 | 0.043 ± 0.001 | 10.685 ± 0.397 |
| Black Grape | Yunnan, China | Seed | 57.169 ± 0.954 | 13.150 ± 0.249 | 0.057 ± 0.004 | 70.376 ± 1.207 |
| Ito Kyoho Grape | Yunnan, China | Seed | 29.966 ± 0.098 | 7.300 ± 0.403 | 0.045 ± 0.002 | 37.311 ± 0.503 |
| Kyoho Grape | Xinjiang, China | Seed | 37.527 ± 0.483 | 5.593 ± 0.365 | 0.054 ± 0.005 | 43.174 ± 0.853 |
| Kyoho Grape | Guangxi, China | Seed | 29.998 ± 1.621 | 7.073 ± 0.139 | 0.214 ± 0.009 | 37.285 ± 1.769 |
| Kyoho Grape | Yunnan, China | Seed | 28.584 ± 2.017 | 5.947 ± 0.411 | 0.098 ± 0.006 | 34.628 ± 2.435 |
| Pearl Black Grape | Xinjiang, China | Seed | 58.372 ± 0.692 | 12.833 ± 0.069 | 0.039 ± 0.001 | 71.244 ± 0.762 |
| Red Grape | Yunnan, China | Seed | 44.714 ± 1.636 | 10.967 ± 0.269 | 0.090 ± 0.008 | 55.771 ± 1.912 |
| Red Grape | Guangxi, China | Seed | 33.917 ± 1.436 | 11.333 ± 0.279 | 0.062 ± 0.006 | 45.312 ± 1.722 |
| Red Grape | Xinjiang, China | Seed | 40.811 ± 1.199 | 10.451 ± 0.374 | 0.053 ± 0.005 | 51.315 ± 1.578 |
| Red Grape | California, CA, USA | Seed | 37.104 ± 1.315 | 11.971 ± 0.253 | 0.095 ± 0.002 | 49.170 ± 1.570 |
| Name of Grapes | Place of Production | Part of Grapes | TFC Values (mg QE/g FW) | |||
|---|---|---|---|---|---|---|
| Fat-Soluble Fraction | Water-Soluble Fraction | Insoluble-Bound Fraction | Total | |||
| Black Grape | Yunnan, China | Peel | 0.688 ± 0.021 | 0.260 ± 0.009 | 0.014 ± 0.001 | 0.962 ± 0.031 |
| Blackcurrant Grape | California, CA, USA | Peel | 1.017 ± 0.087 | 0.381 ± 0.003 | 0.010 ± 0.000 | 1.408 ± 0.091 |
| Flame Grape | Xinjiang, China | Peel | 0.175 ± 0.011 | 0.139 ± 0.005 | 0.010 ± 0.000 | 0.324 ± 0.016 |
| Fragrant Green Grape | Yunnan, China | Peel | 0.320 ± 0.027 | 0.042 ± 0.001 | 0.081 ± 0.004 | 0.443 ± 0.032 |
| Golden Finger Grape | California, CA, USA | Peel | 0.760 ± 0.059 | 0.362 ± 0.025 | 0.008 ± 0.000 | 1.130 ± 0.084 |
| Green Grape | Victoria, Australia | Peel | 0.232 ± 0.011 | 0.075 ± 0.002 | 0.010 ± 0.001 | 0.318 ± 0.014 |
| Ito Kyoho Grape | Yunnan, China | Peel | 0.302 ± 0.025 | 0.090 ± 0.005 | 0.055 ± 0.002 | 0.448 ± 0.032 |
| Kyoho Grape | Guangxi, China | Peel | 0.425 ± 0.017 | 0.072 ± 0.002 | 0.013 ± 0.001 | 0.510 ± 0.020 |
| Kyoho Grape | Liaoning, China | Peel | 0.326 ± 0.022 | 0.049 ± 0.003 | 0.008 ± 0.000 | 0.384 ± 0.026 |
| Kyoho Grape | Xinjiang, China | Peel | 0.402 ± 0.023 | 0.071 ± 0.006 | 0.016 ± 0.001 | 0.488 ± 0.029 |
| Kyoho Grape | Yunnan, China | Peel | 0.229 ± 0.023 | 0.063 ± 0.005 | 0.012 ± 0.001 | 0.304 ± 0.029 |
| Pearl Black Grape | Xinjiang, China | Peel | 0.398 ± 0.020 | 0.133 ± 0.011 | 0.059 ± 0.001 | 0.590 ± 0.032 |
| Pearl Green Grape | Xinjiang, China | Peel | 0.109 ± 0.002 | 0.052 ± 0.002 | 0.015 ± 0.001 | 0.176 ± 0.005 |
| Pearl Green Grape | Victoria, Australia | Peel | 0.192 ± 0.002 | 0.074 ± 0.002 | 0.011 ± 0.000 | 0.276 ± 0.004 |
| Red Grape | California, CA, USA | Peel | 0.504 ± 0.023 | 0.115 ± 0.006 | 0.013 ± 0.001 | 0.633 ± 0.029 |
| Red Grape | Guangxi, China | Peel | 0.343 ± 0.019 | 0.104 ± 0.005 | 0.011 ± 0.000 | 0.458 ± 0.024 |
| Red Grape | Xinjiang, China | Peel | 0.283 ± 0.018 | 0.076 ± 0.004 | 0.009 ± 0.000 | 0.368 ± 0.022 |
| Red Grape | Yunnan, China | Peel | 0.238 ± 0.008 | 0.065 ± 0.005 | 0.010 ± 0.001 | 0.313 ± 0.013 |
| Rose Black Grape | Xinjiang, China | Peel | 0.425 ± 0.010 | 0.212 ± 0.017 | 0.012 ± 0.001 | 0.649 ± 0.027 |
| Rose Black Grape | Yunnan, China | Peel | 0.326 ± 0.015 | 0.132 ± 0.006 | 0.010 ± 0.001 | 0.468 ± 0.022 |
| Seedless Black Grape | California, CA, USA | Peel | 0.326 ± 0.028 | 0.197 ± 0.004 | 0.012 ± 0.001 | 0.535 ± 0.033 |
| Seedless Black Grape | Xinjiang, China | Peel | 0.642 ± 0.031 | 0.331 ± 0.026 | 0.009 ± 0.000 | 0.982 ± 0.056 |
| Seedless Dew Grape | Xinjiang, China | Peel | 0.163 ± 0.003 | 0.092 ± 0.003 | 0.012 ± 0.001 | 0.266 ± 0.007 |
| Seedless Green Grape | Xinjiang, China | Peel | 0.126 ± 0.009 | 0.061 ± 0.000 | 0.012 ± 0.001 | 0.198 ± 0.010 |
| Seedless Red Grape | California, CA, USA | Peel | 0.199 ± 0.005 | 0.075 ± 0.002 | 0.017 ± 0.000 | 0.291 ± 0.006 |
| Seedless Red Grape | Victoria, Australia | Peel | 0.226 ± 0.010 | 0.091 ± 0.003 | 0.008 ± 0.000 | 0.325 ± 0.013 |
| Seedless Red Grape | Xinjiang, China | Peel | 0.321 ± 0.013 | 0.106 ± 0.000 | 0.008 ± 0.001 | 0.435 ± 0.014 |
| Seedless Red Grape | Yunnan, China | Peel | 0.317 ± 0.001 | 0.125 ± 0.010 | 0.009 ± 0.000 | 0.451 ± 0.011 |
| Summer Black Grape | Shaanxi, China | Peel | 0.317 ± 0.015 | 0.111 ± 0.008 | 0.014 ± 0.001 | 0.441 ± 0.023 |
| Summer Black Grape | Xinjiang, China | Peel | 0.403 ± 0.010 | 0.196 ± 0.015 | 0.011 ± 0.001 | 0.609 ± 0.025 |
| Black Grape | Yunnan, China | Seed | 1.126 ± 0.044 | 0.173 ± 0.003 | 0.041 ± 0.001 | 1.339 ± 0.048 |
| Ito Kyoho Grape | Yunnan, China | Seed | 2.989 ± 0.017 | 0.109 ± 0.005 | 0.024 ± 0.000 | 3.122 ± 0.022 |
| Kyoho Grape | Xinjiang, China | Seed | 3.786 ± 0.182 | 0.078 ± 0.006 | 0.020 ± 0.001 | 3.884 ± 0.189 |
| Kyoho Grape | Guangxi, China | Seed | 2.636 ± 0.238 | 0.096 ± 0.004 | 0.033 ± 0.002 | 2.765 ± 0.245 |
| Kyoho Grape | Yunnan, China | Seed | 1.165 ± 0.051 | 0.074 ± 0.006 | 0.023 ± 0.002 | 1.262 ± 0.059 |
| Pearl Black Grape | Xinjiang, China | Seed | 3.378 ± 0.167 | 0.101 ± 0.002 | 0.146 ± 0.006 | 3.626 ± 0.176 |
| Red Grape | Yunnan, China | Seed | 3.792 ± 0.211 | 0.126 ± 0.001 | 0.038 ± 0.001 | 3.957 ± 0.213 |
| Red Grape | Guangxi, China | Seed | 1.165 ± 0.022 | 0.157 ± 0.010 | 0.040 ± 0.002 | 1.361 ± 0.033 |
| Red Grape | Xinjiang, China | Seed | 2.536 ± 0.227 | 0.114 ± 0.000 | 0.030 ± 0.001 | 2.680 ± 0.227 |
| Red Grape | California, CA, USA | Seed | 1.024 ± 0.044 | 0.086 ± 0.008 | 0.020 ± 0.002 | 1.130 ± 0.054 |
| Name of Grapes | Place of Production | Part of Grapes | Phenols | Total Contents (mg/g FW) |
|---|---|---|---|---|
| Black Grape | Yunnan, China | Peel | cyanidin-3-glucoside | 0.174 ± 0.009 |
| ferulaic acid | 0.241 ± 0.011 | |||
| rutin | 0.073 ± 0.006 | |||
| resveratrol | 0.266 ± 0.015 | |||
| Blackcurrant Grape | California, CA, USA | Peel | cyanidin-3-glucoside | 0.498 ± 0.028 |
| rutin | 0.687 ± 0.047 | |||
| Flame Grape | Xinjiang, China | Peel | cyanidin-3-glucoside | 0.421 ± 0.023 |
| ferulaic acid | 0.049 ± 0.003 | |||
| rutin | 0.367 ± 0.015 | |||
| Fragrant Green Grape | Yunnan, China | Peel | rutin | 0.383 ± 0.019 |
| Golden Finger Grape | California, CA, USA | Peel | cyanidin-3-glucoside | 0.150 ± 0.007 |
| ferulaic acid | 0.041 ± 0.003 | |||
| rutin | 0.569 ± 0.034 | |||
| Green Grape | Victoria, Australia | Peel | rutin | 0.268 ± 0.025 |
| Ito Kyoho Grape | Yunnan, China | Peel | epicatechin | 0.015 ± 0.001 |
| rutin | 0.035 ± 0.003 | |||
| Kyoho Grape | Liaoning, China | Peel | rutin | 0.113 ± 0.005 |
| Kyoho Grape | Xinjiang, China | Peel | epicatechin | 0.026 ± 0.002 |
| rutin | 0.129 ± 0.009 | |||
| Kyoho Grape | Guangxi, China | Peel | rutin | 0.138 ± 0.008 |
| Kyoho Grape | Yunnan, China | Peel | rutin | 0.117 ± 0.006 |
| Pearl Black Grape | Xinjiang, China | Peel | rutin | 0.199 ± 0.007 |
| Pearl Green Grape | Xinjiang, China | Peel | rutin | 0.016 ± 0.000 |
| Pearl Green Grape | Victoria, Australia | Peel | rutin | 0.047 ± 0.002 |
| Red Grape | Yunnan, China | Peel | cyanidin-3-glucoside | 0.326 ± 0.023 |
| rutin | 0.804 ± 0.055 | |||
| Red Grape | Guangxi, China | Peel | cyanidin-3-glucoside | 0.211 ± 0.007 |
| rutin | 0.293 ± 0.026 | |||
| Red Grape | Xinjiang, China | Peel | cyanidin-3-glucoside | 0.412 ± 0.033 |
| rutin | 0.298 ± 0.027 | |||
| Red Grape | California, China | Peel | cyanidin-3-glucoside | 0.377 ± 0.030 |
| rutin | 0.298 ± 0.020 | |||
| Rose Black Grape | Xinjiang, China | Peel | rutin | 0.137 ± 0.006 |
| Rose Black Grape | Yunnan, China | Peel | rutin | 0.030 ± 0.001 |
| Seedless Black Grape | Xinjiang, China | Peel | rutin | 0.059 ± 0.002 |
| Seedless Black Grape | California, CA, USA | Peel | rutin | 0.265 ± 0.022 |
| Seedless Dew Grape | Xinjiang, China | Peel | rutin | 0.049 ± 0.001 |
| Seedless Green Grape | Xinjiang, China | Peel | rutin | 0.008 ± 0.000 |
| Seedless Red Grape | Yunnan, China | Peel | rutin | 0.176 ± 0.012 |
| Seedless Red Grape | Xinjiang, China | Peel | cyanidin-3-glucoside | 0.021 ± 0.001 |
| rutin | 0.195 ± 0.013 | |||
| Seedless Red Grape | California, CA, USA | Peel | cyanidin-3-glucoside | 0.058 ± 0.003 |
| rutin | 0.666 ± 0.056 | |||
| Seedless Red Grape | Victoria, Australia | Peel | cyanidin-3-glucoside | 0.272 ± 0.011 |
| rutin | 0.594 ± 0.036 | |||
| Summer Black Grape | Shaanxi, China | Peel | epicatechin | 0.051 ± 0.004 |
| rutin | 0.150 ± 0.006 | |||
| Summer Black Grape | Xinjiang, China | Peel | rutin | 0.125 ± 0.003 |
| Black Grape | Yunnan, China | Seed | gallic acid | 0.146 ± 0.008 |
| cyanidin-3-glucoside | 0.305 ± 0.028 | |||
| epicatechin | 1.207 ± 0.074 | |||
| catechin gallate | 0.052 ± 0.002 | |||
| Ito Kyoho Grape | Yunnan, China | Seed | gallic acid | 0.054 ± 0.003 |
| cyanidin-3-glucoside | 0.840 ± 0.052 | |||
| epicatechin | 1.693 ± 0.094 | |||
| catechin gallate | 0.028 ± 0.002 | |||
| Kyoho Grape | Xinjiang, China | Seed | gallic acid | 0.066 ± 0.003 |
| cyanidin-3-glucoside | 0.180 ± 0.011 | |||
| epicatechin | 2.088 ± 0.106 | |||
| catechin gallate | 0.119 ± 0.004 | |||
| Kyoho Grape | Guangxi, China | Seed | gallic acid | 0.052 ± 0.002 |
| cyanidin-3-glucoside | 0.105 ± 0.005 | |||
| epicatechin | 2.039 ± 0.187 | |||
| catechin gallate | 0.044 ± 0.002 | |||
| Kyoho Grape | Yunnan, China | Seed | gallic acid | 0.087 ± 0.002 |
| cyanidin-3-glucoside | 0.202 ± 0.019 | |||
| epicatechin | 1.886 ± 0.165 | |||
| catechin gallate | 0.054 ± 0.002 | |||
| Pearl Black Grape | Xinjiang, China | Seed | gallic acid | 0.193 ± 0.017 |
| cyanidin-3-glucoside | 0.189 ± 0.009 | |||
| epicatechin | 1.745 ± 0.111 | |||
| catechin gallate | 0.126 ± 0.005 | |||
| Red Grape | Yunnan, China | Seed | gallic acid | 0.236 ± 0.009 |
| cyanidin-3-glucoside | 0.113 ± 0.003 | |||
| epicatechin | 2.156 ± 0.156 | |||
| catechin gallate | 0.176 ± 0.008 | |||
| Red Grape | Guangxi, China | Seed | gallic acid | 0.089 ± 0.004 |
| cyanidin-3-glucoside | 0.095 ± 0.005 | |||
| epicatechin | 1.547 ± 0.144 | |||
| catechin gallate | 0.145 ± 0.005 | |||
| Red Grape | Xinjiang, China | Seed | gallic acid | 0.056 ± 0.002 |
| cyanidin-3-glucoside | 0.058 ± 0.003 | |||
| epicatechin | 1.644 ± 0.098 | |||
| catechin gallate | 0.128 ± 0.004 | |||
| Red Grape | California, CA, USA | Seed | gallic acid | 0.022 ± 0.001 |
| cyanidin-3-glucoside | 0.111 ± 0.005 | |||
| epicatechin | 0.877 ± 0.065 | |||
| catechin gallate | 0.165 ± 0.013 |
| Name of Grapes | Place of Production | Part of Grapes | Moisture Contents (%) |
|---|---|---|---|
| Black Grape | Yunnan, China | Peel | 72.333 ± 2.951 |
| Blackcurrant Grape | California, CA, USA | Peel | 72.382 ± 1.023 |
| Flame Grape | Xinjiang, China | Peel | 58.699 ± 2.487 |
| Fragrant Green Grape | Yunnan, China | Peel | 74.926 ± 3.156 |
| Golden Finger Grape | California, CA, USA | Peel | 71.851 ± 2.894 |
| Green Grape | Victoria, Australia | Peel | 79.027 ± 0.525 |
| Ito Kyoho Grape | Yunnan, China | Peel | 77.103 ± 3.446 |
| Kyoho Grape | Guangxi, China | Peel | 77.402 ± 1.568 |
| Kyoho Grape | Liaoning, China | Peel | 80.564 ± 3.699 |
| Kyoho Grape | Xinjiang, China | Peel | 78.757 ± 3.321 |
| Kyoho Grape | Yunnan, China | Peel | 79.920 ± 3.219 |
| Pearl Black Grape | Xinjiang, China | Peel | 79.023 ± 3.013 |
| Pearl Green Grape | Xinjiang, China | Peel | 74.881 ± 0.856 |
| Pearl Green Grape | Victoria, Australia | Peel | 75.233 ± 3.112 |
| Red Grape | California, CA, USA | Peel | 76.320 ± 3.239 |
| Red Grape | Guangxi, China | Peel | 77.416 ± 2.986 |
| Red Grape | Xinjiang, China | Peel | 73.806 ± 2.357 |
| Red Grape | Yunnan, China | Peel | 76.117 ± 2.766 |
| Rose Black Grape | Xinjiang, China | Peel | 69.404 ± 2.551 |
| Rose Black Grape | Yunnan, China | Peel | 69.726 ± 0.469 |
| Seedless Black Grape | California, CA, USA | Peel | 72.423 ± 2.995 |
| Seedless Black Grape | Xinjiang, China | Peel | 69.200 ± 2.210 |
| Seedless Dew Grape | Xinjiang, China | Peel | 74.168 ± 2.848 |
| Seedless Green Grape | Xinjiang, China | Peel | 72.232 ± 2.365 |
| Seedless Red Grape | California, CA, USA | Peel | 71.103 ± 1.334 |
| Seedless Red Grape | Victoria, Australia | Peel | 66.384 ± 2.085 |
| Seedless Red Grape | Xinjiang, China | Peel | 73.000 ± 2.462 |
| Seedless Red Grape | Yunnan, China | Peel | 73.293 ± 2.366 |
| Summer Black Grape | Shaanxi, China | Peel | 71.560 ± 2.232 |
| Summer Black Grape | Xinjiang, China | Peel | 69.450 ± 2.211 |
| Black Grape | Yunnan, China | Seed | 42.396 ± 1.845 |
| Ito Kyoho Grape | Yunnan, China | Seed | 44.002 ± 1.933 |
| Kyoho Grape | Xinjiang, China | Seed | 41.664 ± 0.759 |
| Kyoho Grape | Guangxi, China | Seed | 43.489 ± 1.926 |
| Kyoho Grape | Yunnan, China | Seed | 44.001 ± 1.988 |
| Pearl Black Grape | Xinjiang, China | Seed | 46.646 ± 2.003 |
| Red Grape | Yunnan, China | Seed | 52.859 ± 2.109 |
| Red Grape | Guangxi, China | Seed | 51.622 ± 0.221 |
| Red Grape | Xinjiang, China | Seed | 46.424 ± 1.903 |
| Red Grape | California, CA, USA | Seed | 51.570 ± 2.158 |
© 2018 by the authors. Licensee MDPI, Basel, Switzerland. This article is an open access article distributed under the terms and conditions of the Creative Commons Attribution (CC BY) license (http://creativecommons.org/licenses/by/4.0/).
Share and Cite
Tang, G.-Y.; Zhao, C.-N.; Liu, Q.; Feng, X.-L.; Xu, X.-Y.; Cao, S.-Y.; Meng, X.; Li, S.; Gan, R.-Y.; Li, H.-B. Potential of Grape Wastes as a Natural Source of Bioactive Compounds. Molecules 2018, 23, 2598. https://doi.org/10.3390/molecules23102598
Tang G-Y, Zhao C-N, Liu Q, Feng X-L, Xu X-Y, Cao S-Y, Meng X, Li S, Gan R-Y, Li H-B. Potential of Grape Wastes as a Natural Source of Bioactive Compounds. Molecules. 2018; 23(10):2598. https://doi.org/10.3390/molecules23102598
Chicago/Turabian StyleTang, Guo-Yi, Cai-Ning Zhao, Qing Liu, Xiao-Ling Feng, Xiao-Yu Xu, Shi-Yu Cao, Xiao Meng, Sha Li, Ren-You Gan, and Hua-Bin Li. 2018. "Potential of Grape Wastes as a Natural Source of Bioactive Compounds" Molecules 23, no. 10: 2598. https://doi.org/10.3390/molecules23102598
APA StyleTang, G.-Y., Zhao, C.-N., Liu, Q., Feng, X.-L., Xu, X.-Y., Cao, S.-Y., Meng, X., Li, S., Gan, R.-Y., & Li, H.-B. (2018). Potential of Grape Wastes as a Natural Source of Bioactive Compounds. Molecules, 23(10), 2598. https://doi.org/10.3390/molecules23102598

