Next Article in Journal
Pathway Analysis and Metabolites Identification by Metabolomics of Etiolation Substrate from Fresh-Cut Chinese Water Chestnut (Eleocharis tuberosa)
Previous Article in Journal
A Molecular Electron Density Theory Study of the Chemical Reactivity of Cis- and Trans-Resveratrol
 
 
Font Type:
Arial Georgia Verdana
Font Size:
Aa Aa Aa
Line Spacing:
Column Width:
Background:
Article

A Simple Precursor for Highly Functionalized Fused Imidazo[4,5-b]pyridines and Imidazo[4,5-b]-1,8-naphthyridine

by
Omar K. Al-duaij
1,*,
Magdi E.A. Zaki
1,2,* and
Abdel-Rhman B. A. El Gazzar
1,2
1
Chemistry Department, College of Science, IMSIU (Al-Imam Mohammad Ibn Saud Islamic University), Riyadh 11623, Saudi Arabia
2
Photochemistry Department, National Research Centre, Cairo 12622, Egypt
*
Authors to whom correspondence should be addressed.
Molecules 2016, 21(12), 1646; https://doi.org/10.3390/molecules21121646
Submission received: 23 September 2016 / Revised: 21 November 2016 / Accepted: 23 November 2016 / Published: 1 December 2016
(This article belongs to the Section Organic Chemistry)

Abstract

:
1-alkyl aryl-5-amino-4-(cyanoformimidoyl)imidazoles 4 were reacted with malononitrile and 2-amino-1,1,3-propenetricarbonitrile under mild experimental conditions, which led to 5-amino-3-(substituted benzyl)-6,7-dicyano-3H-imidazo[4,5-b]pyridines 5 and 6,8-diamino-3-(4-substituted benzyl)-3H-imidazo[4,5-b]-1,8-naphthyridine-7,9-dicarbonitrile 6, respectively, when the reaction was carried out in the absence of a base, or to 5,7-diamino-3-(4-alkyl aryl)-3H-imidazo[4,5-b]pyridine-6-carbonitrile 8, and 6,8,9-triamino-3-(4-substitutedbenzyl)-3H-imidazo[4,5-b]-1,8-naphthyridine-7-carbonitrile 10 in the presence of 1,8-diazabicyclo(5.4.0)undec-7-ene (DBU). Both reactions evolved from an adduct formed by nucleophilic attack of the malononitrile anion or 2-amino-1,1,3-propenetricarbonitrile anion to the carbon of the cyanoformimidoyl substituent. In the case of the malononitrile anion, a 5-amino-1-alkyl aryl-4-(1-amino-2,2-dicyanovinyl)imidazole 7 was isolated when this reaction was carried out in the presence of DBU. The structure of compound 7 was confirmed by spectroscopic methods, and cyclized intramolecularly to 8 by heating in ethanol/triethyl amine.

1. Introduction

The imidazo[4,5-b]pyridine ring system 5, 8 represent a core skeleton of a class of heterocyclic compound analogues of purine with their diversity of biological activity [1,2,3,4,5], depending on the substituents on the pyridine ring. Imidazo[4,5-b]pyridine has been proved to be a useful scaffold for medicinal agents [6,7]. It has been evaluated as an antagonist of various biological receptors, including angiotensin-II [8,9], platelet-activating factor (PAF) [10,11], and metabotropic glutamate subtype V [12]. Substituted imidazo[4,5-b]pyridines have also been explored for their potential as anticancer [13,14], inotropic, [15,16], and selective antihistamine (H1) agents [17]. Imidazo[4,5-b]pyridine derivatives are also reported as Aurora kinases [18] and cyclic phosphodiesterase inhibitors [19]. Recently, the synthesis of imidazo[4,5-b]pyridine derivatives has been one of the interests in the field of organic synthesis. Synthesis of imidazo[4,5-b]pyridine mainly depends on the generation of the imidazole moiety from a substituted pyridine under appropriate reaction conditions. Building a pyridine ring from readily available substitute imidazole is rare [20].
In our research group, we are interested in exploring the reactivity of 5-amino-4-(cyanoformimidoyl)imidazoles 4, easily formed by base-catalyzed cyclization of 2-amino-1,2-dicyano formamidines 3 [21]. Cyanoformimdoyl imidazole 4 is considered a straightforward and convenient precursor for fused nitrogen heterocycles [22,23,24,25,26]. The generation of fused imidazoles is initiated at a cyanoformimidoyl unit in the 4-position of the imidazole ring [20]. This work reports the first simple synthesis of N-alkyl aryl imidazo[4,5-b]pyridines, and N-alkyl aryl imidazo[4,5-b]1,8-naphthyridine isolated from the reaction of cyanoformimdoyl imidazole 4 with carbon acid derivatives, namely malononitrile and 2-amino-1,1,3-propenetricarbonitrile, under appropriate experimental conditions.

2. Results and Discussion

Heating diaminomaleonitrile 1 with triethyl orthoformate in dioxane afforded ethyl [2-amino-1,2-dicyanovinyl] imidoformate 2 [21]. Treatment of 2 with appropriate amines, namely 4-methoxybenzylamine and 4-methylbenzylamine catalyzed by aniline hydrochloride, formed (substituted benzyl)-N-(2-amino-1,2-dicyanovinyl)formimidine 3 which underwent intramolecular cyclization in the presence of 1,8-diazabicyclo(5.4.0)undec-7-ene (DBU) to form 5-amino-1-(substituted benzyl)-4-cyanoformimidoyl imidazole derivative 4 [27] (Scheme 1 and Section 3).
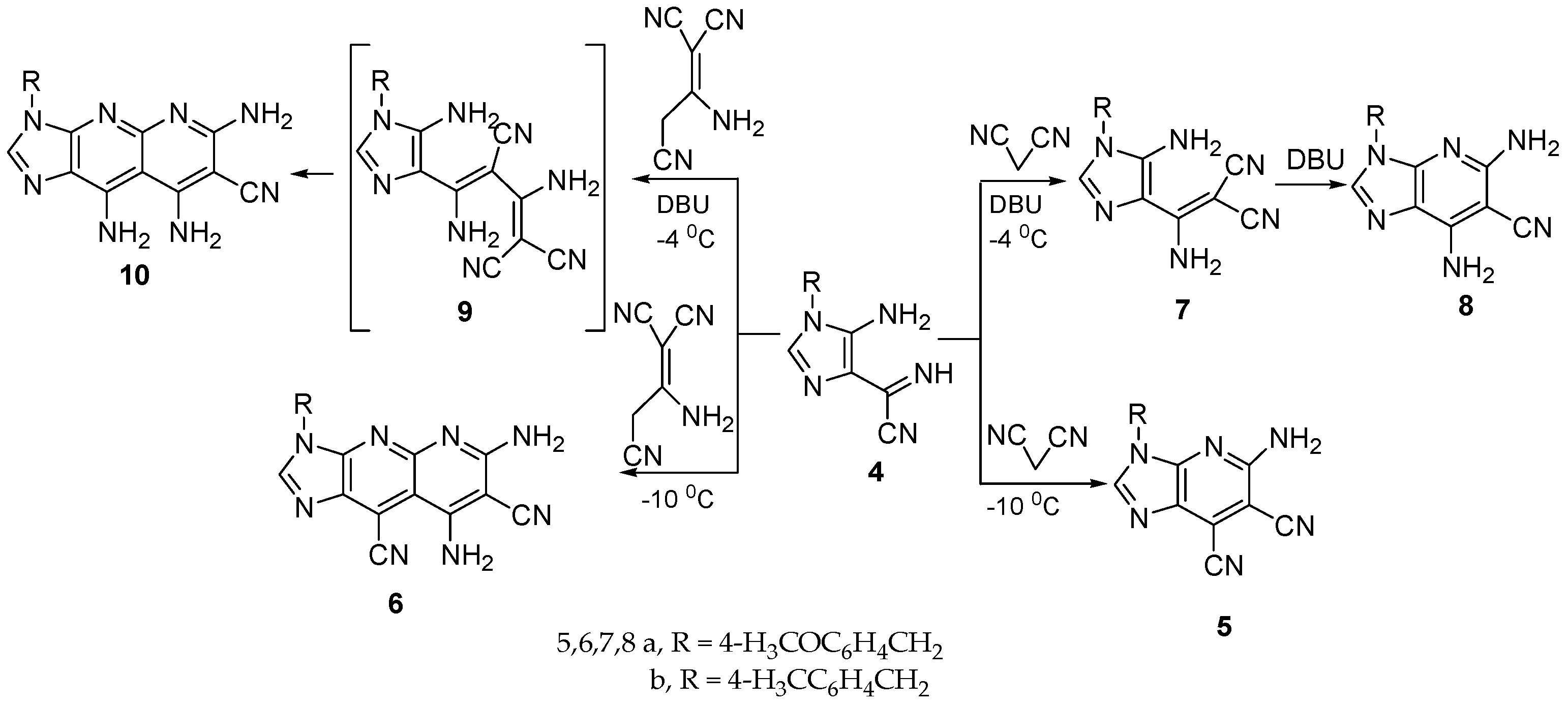
The combination of cyanoformimdoyl imidazole 4 with malononitrile or 2-amino-1,1,3-propenetricarbonitrile takes place to give imidazo[4,5-b]pyridine 5 and imidazo[4,5-b]-1,8-naphthyridine 6 in good yield, upon treatment of the suspended mixture in acetonitrile/ethanol (3:1) for 8 h at 0 °C, followed by five days at −10 °C (Scheme 2). The optimal reaction conditions were necessary to keep the concentration of the evolved ammonia in the reaction medium until total consumption of the starting materials.
Spectroscopic methods confirmed the structure of imidazo[4,5-b]pyridine 5a; its IR spectrum shows the two weak bands of the cyano groups at 2237 cm−1 and a medium intensity peak at 2119 cm−1. The presence of the two cyano groups is confirmed by its 13C-NMR, as two peaks are present around δ 114.1 and 115.2 ppm. The chemical shifts for C-5, C-6, and C-7 are around δ 157.8, 86.4, and 112.9 ppm respectively. The presence of the amino group is confirmed in the 1H-NMR spectrum as a singlet at δ 7.36 ppm, integrating for two protons, and at 8.82 ppm, integrating for one proton corresponding to CH-imidazole. Moreover, the structure imidazo[4,5-b] [1,8] naphthyridine 6a was confirmed by spectroscopic methods; its IR spectrum shows the two bands of the cyano groups at 2226 cm−1 and a sharp intensity peak at 2212 cm−1, which is located between two amino groups. The presence of the two cyano groups is confirmed by its 13C-NMR, as two peaks are present around δ 115.2 and 117.3 ppm. The chemical shifts for C-6, C-7, and C-8 around are δ 158.7, 85.9, and 109.8 ppm, respectively. The presence of the two amino groups is confirmed by the 1H-NMR spectrum as a broad singlet at δ 6.48 and 7.29 ppm, integrating for two protons each.
Recently, Zaki et al. reported a mechanism for the reaction of N-aryl cyanoformimdoyl imidazole 4 with malononitrile, in the absence of a base [20]. The imino nitrogen of imidazole 4 may act as a mild base, and a positive charge generated in the imino nitrogen accelerates the nucleophile attack by the 1,1,3-tricyanopropene anion, leading to the elimination of ammonia and the formation of intermediate 11, which rapidly cyclizes in situ by successive intramolecular cyclization, affording imidazo[4,5-b]-1,8-naphthyridine 6 in good yield (Scheme 3). Cyclization of intermediate 11 to 12 may be catalyzed with the evolved ammonia to give 6.
In the presence of DBU as a strong base, in situ generated anions of malononitrile or 1,1,3-propentricarbonitrile reacted with imidazole 4 in a mixture of acetonitrile/ethanol (1:3) under conditions similar to those of the reaction in the absence of DBU to give 7 and 10 in good yield. We found the amount of DBU used must be in excess to confirm the total generation of a carbanion. Intramolecular cyclization of dicyano imidazole derivative 7 afforded imidazo[4,5-b]pyridine 8 in moderate yield via refluxing in the presence of triethylamine as a catalyst (Scheme 4 and Section 3).
The structure of imidazole 7b was confirmed by spectroscopic methods; its IR spectrum shows the two cyano groups at 2210 cm−1 and a medium intensity peak at 2191 cm−1. The presence of the two cyano groups is confirmed by its 13C-NMR, as two weak peaks are present around δ 125.2 and 117.8 ppm. Both carbon atoms of the alkene substituents in the 4-position of the imidazole ring are characterized by their position in the 13CNMR. The carbon atom directly bonded to the amino group gives a signal of δ 162.9 ppm, while the adjacent carbon bonded to the two cyano groups appeared as a weak signal of δ 44.5 ppm. In the 1H-NMR spectrum, the two amino groups appear as two singlets at δ 5.88 ppm, and 7.82 ppm, integrated for two protons for each one. Moreover, the structure of imidazo[4,5-b]pyridine 8a was confirmed by spectroscopic methods; its IR spectrum shows a sharp intensity of a cyano group at 2212 cm−1, which is located between two amino groups. The presence of the cyano group is assigned by its 13C-NMR, as a signal of δ 115.4 ppm. The chemical shifts for C-5, C-6, and C-7 are around δ 159.6, 70.3, and 146.9 ppm, respectively. The presence of the two amino groups is visible both in the IR and in the 1H-NMR spectra, which shows two signals of δ 6.44 and 7.21 ppm, each one integrating for two protons. The formation of the fused imidazole ring is supported by the presence of one singlet of δ 8.21 ppm, a characteristic for C-H of the fused imidazole moiety [20]. The spectroscopic methods confirmed the structure of imidazo[4,5-b]-1,8-naphthyridine 10a; its IR spectrum shows the strong band of a cyano group at 2211 cm−1. The presence of the cyano group is confirmed by its 13C-NMR, as a peak is present at δ110.6. The chemical shifts for C-6, C-7, and C-8 are around δ 156.9, 71.4, and 159.9 ppm, respectively. The presence of the amino groups is confirmed in the 1H-NMR spectrum as a three singlet at δ 7.32 ppm, 6.81 ppm, 6.69 ppm, respectively, integrating for two protons each, and at 8.96 ppm, integrating for one proton, corresponding to CH-imidazole.
The high concentration of malononitrile anions formed and the reaction with cyanoformimdoyl imidazole 4 lead to stable carbanions, which evolve into alkene derivatives 9 by the elimination of cyanide ions, yielding 4-dicyanovinyl imidazole derivative 7. Moreover, we do believe that the formation of 2,4-diamino-4-substituted-imidazolyl-4-buta-1,3-diene-1,1,3-tricarbonitrile derivative 9 has been formed as an intermediate, followed by intramolecular cyclization in situ, affording imidaz[4,5-b]-1,8-naphridine 10 in moderate yield. The intramolecular cyclization was induced rapidly as a result of the presence of highly deficient alkene without a catalyst.
The acidity of malononitrile [28] could be a factor in isolating imidazole 7, which cyclized intramolecularly in the presence of a catalytic amount of base to imidazo[4,5-b]pyridine 8. Moreover, the acidity of 1,1,3-tricyanopropene induced the formation of imidazole derivative 9, as a result of being highly substituted electron-deficient, forced the intramolecular cyclization, in situ without a base.

3. Experimental Section

3.1. General Information

All compounds were fully characterized by elemental analysis and spectroscopic data. The NMR spectra were recorded at 300 MHz for 1H and 75 MHz for 13C. Deuterated dimethyl sulfoxide (DMSO) was used as solvent. The chemical shifts are expressed in d (parts per million) and the coupling constants (J) in hertz (Hz). IR spectra were recorded on a FT-IR 400D Spectrophotometer (Shimadzu, Kyoto, Japan) using Nujol mulls and NaCl cells. The reactions were monitored by thin layer chromatography (TLC) using silica gel. The melting points were determined on a melting point apparatus (Stuart-SMP20, Staffordshire, United Kingdom) and are uncorrected.

Safety

The reaction mixtures containing cyanide ions can be oxidized with calcium hypochlorite in a basic solution, to much less toxic cyanate ions, following the destruction procedure described in the literature [29].

3.2. Synthesis of Ethyl N-(2-Amino-1,2-dicyanovinyl)formimidate 2

A mixture of diaminomaleonitrile (55.5 mmol, 1 equiv.) and triethyl orthoformate (55.5 mmol, 1 equiv.) in dioxane (80 mL) was heated at reflux in a flask fitted with a short Vigreux column, a distillation head, a condenser, and a receiver. Ethanol mixed with 1,4-dioxane was collected continuously until the temperature in the distillation head reached 99–100 °C (approximately 20 min). The clear brown liquid in the distillation pot was allowed to cool overnight. The reaction mixture was diluted with hot diethyl ether, filtered to remove the dark brown solid impurity, and left to cool overnight to give 2 as colorless needles (6.6 g, 84%). IR (Nujol): 3313, 2251, 2214, 1641 cm−1; 1H-NMR (300 MHz, DMSO-d6): δ = 1.36 (t, J = 7.3 Hz, 3H, CH3), 4.27 (q, J = 7.3 Hz, 2H, CH2), 4.66 (brs, 2H, NH2), 7.97 (s, 1H, CH).

3.3. General Procedure for Synthesis of N-[2-Amino-1,2-dicyanovinyl]-N′-(4-substituted benzyl)imidoformamide 3a,b

The 4-substituted benzyl amine (6.70 mmol, 1.1 equiv) was added to a suspension of 2 (6.09 mmol, 1 equiv.) in dry EtOH which contained aniline hydrochloride (0.02 g). The mixture was stirred at room temperature until TLC showed that all the formimidate had disappeared (~3 h) and the pale yellow solid was obtained by filtration, washed with diethyl ether.
N-[2-Amino-1,2-dicyanovinyl]-N′-(4-methoxybenzyl)imidoformamide (3a) [27]. Off-white solid, (1.4g, 69%). m.p. 98–100 °C, IR (Nujol): 3311, 2229, 2211, 1637, 1591cm−1. 1H-NMR (300 MHz, DMSO-d6): δ = 3.74 (s, 3H, OCH3), 4.47 (d, J = 4.5 Hz, 2H, CH2), 6.11 (s, 2H, NH2), 6.93 (d, J = 8.2 Hz, 2H, Ar-H), 7.29 (d, J = 8.2 Hz, 2H, Ar-H), 7.75 (d, J = 2.3 Hz, 1H, CH), 8.17 (brs, 1H, NH). 13C-NMR (75 MHz, DMSO-d6): δ = 43.6, 55.7, 106.6, 114.1, 115.6, 116.8, 117.7, 129.9, 131.3, 151.0, 158.9.
N-[2-Amino-1,2-dicyanovinyl]-N′-(4-methylbenzyl)imidoformamide (3b). Off-white solid, (1.2 g, 5.02 mmol, 65%). m.p. 109–110 °C, IR (Nujol): 3313 (N-H str.), 2222, 2211, 163, cm−1. 1H-NMR (300 MHz, DMSO-d6): δ = 2.16 (s, 3H, CH3), 4.33 (d, J = 4.2 Hz, 2H, CH2), 6.24 (s, 2H, D2O-exchangable NH2), 7.13 (d, J = 8.4 Hz, 2H, Ar-H), 7.28 (d, J = 8.4 Hz, 2H, Ar-H), 7.92 (d, J = 2.1 Hz, 1H, CH), 8.23 (brs, 1H, NH). 13C-NMR (75 MHz, DMSO-d6): δ = 18.8, 54.6, 104.4, 112.5, 114.6, 118.7, 127.6, 129.1, 134.7, 138.8, 153.4. Anal. Calcd for: C13H13N5: C, 65.25; H, 5.48; N, 29.27. Found C, 65.14; H, 5.37; N, 29.14.

3.4. General Procedure for Synthesis 5-Amino-1-(4-substituted benzyl)-4-cyanoformimidoyl imidazole 4a,b

To a suspension of 3 (4.2 mmol) in dry ethanol (10 mL), DBU was stirred 2 h at room temperature until the starting material was consumed. The precipitate that formed was filtered off, washed with diethyl ether, and dried to afford an off-white solid 4.
5-Amino-1-(4-methoxy benzyl)-4-cyanoformimidoyl imidazole (4a). To a suspension of 3a in dry EtOH (10 mL), DBU was added (one drop). The reaction mixture was stirred for 2 h at room temperature until the starting material was consumed (TLC). The precipitated product was filtered, washed with diethyl ether and dried to afford 4a as an off-white solid (1.35 g, 67%). m.p. 92–94 °C, IR (Nujol): 3297, 3131, 2227, 1636, 1549 cm−1. 1H-NMR (300 MHz, DMSO-d6): δ = 3.72 (s, 3H, OCH3), 5.03 (s, 2H, CH2), 6.76 (brs, 2H, D2O-exchangable NH2), 6.91 (d, J = 8.2 Hz, 2H, Ar-H), 7.22 (d, J = 8.2 Hz, 2H, Ar-H), 7.30 (s, 1H, CH-imidazole), 10.87 (s, 1H, D2O-exchangable NH). 13C-NMR (75 MHz, DMSO-d6): δ = 45.7, 55.7, 114.1, 114.6, 116.7, 128.8, 129.5, 132.8, 143.5, 144.7, 159.4. Anal. Calcd for: C13H13N5O: C, 65.25; H, 5.48; N, 29.27. Found C, 65.39; H, 5.48; N, 29.31.
5-Amino-1-(4-methyl benzyl)-4-cyanoformimidoyl imidazole (4b). Off-white solid (0.87 g, 3.6 mmol, 87%). m.p. 174–175 °C, IR (Nujol): 3313, 2222, 2211, 1639 cm−1. 1H-NMR (300 MHz, DMSO-d6): δ = 2.23 (s, 3H, CH3), 5.11 (d, 2H, CH2), 6.82 (s, 2H, D2O-exchangable NH2), 7.19 (d, J = 8.4 Hz, 2H, Ar-H), 7.33 (d, J = 8.4 Hz, 2H, Ar-H), 7.42 (s, 1H, CH-imidazole), 10.92 (brs, 1H, D2O-exchangable NH). 13C-NMR (75 MHz, DMSO-d6): δ = 22.4, 53.4, 116.2, 119.8, 128.8, 129.4, 135.3, 136.8, 138.2, 147.8, 151.4. Anal. Calcd for: C13H13N5: C, 65.25; H, 5.48; N, 29.27. Found C, 65.21; H, 5.27; N, 29.32.

3.5. General Procedure for the Synthesis of 5-Amino-3-(substituted benzyl)-6,7-dicyano-3H-imidazo[4,5-b]pyridines 5a,b

Malononitrile (0.4 g, 6.1 mmol) was added to a suspension of 5-amino-1-(substituted benzyl)-4-(cyanoformmidoyl) imidazole 4 (4.4 mmol) in a mixture of acetonitrile/ethanol (3:1). The addition took place in an ice bath, and the mixture was stirred in ice for 8 h. The reaction was allowed to stand at −10 °C for five days, when the solid was filtered and washed with diethyl ether and cold ethanol.
5-Amino-3-(4-methoxybenzyl)-3H-imidazo[4,5-b]pyridine-6,7-dicarbonitrile (5a). Off-white solid (1.1 g, 3..62 mmol, 82%). m.p. 336–337 °C, IR (Nujol): 2237, 2119, 1649, 1604, 1572, 1544 cm−1. 1H-NMR (300 MHz, DMSO-d6): δ = 3.92 (s, 3H, OCH3), 5.28 (s, 2H, CH2), 7.21 (d, J = 5.8 Hz, 2H, Ar-H),7.36 (s, 2H), 7.67 (d, J = 5.8 Hz, 2H, Ar-H), 8.82 (s, 1H) 13C-NMR (75 MHz, DMSO-d6): δ = 50.2, 55.8, 86.4, 112.9, 114.1, 115.2, 115.7, 125.7, 127.2, 128.4, 146.5, 149.5, 157.8, 159.4. Calcd for: C16H12N6 O: C, 63.15; H, 3.97; N, 27.62. Found C, 62.98; H, 3.79; N, 27.41.
5-Amino-3-(4-methylbenzyl)-3H-imidazo[4,5-b]pyridine-6,7-dicarbonitrile (5b). Off-white solid, (0.96 g, 3.33 mmol, 76%). m.p. 319–320 °C, IR (Nujol): 2240, 2122, 1643, 1605, 1584, 1549 cm−1. 1H-NMR (300 MHz, DMSO-d6): δ = 2.38 (s, 3H, CH3), 5.22 (s, 2H, CH2), 7.31 (s, 1H), 7.37 (d, J = 5.8 Hz, 2H, Ar-H), 7.59 (d, J = 5.8 Hz, 2H, Ar-H), 8.88 (s, 2H). 13C-NMR (75 MHz, DMSO-d6): δ = 21.2, 49.7, 86.4, 112.9, 114.1, 115.4, 124.3, 127.9, 129.8, 131.3, 138.4, 146.8, 149.8, 158.4. Calcd for: C16H12N6: C, 66.66; H, 4.20; N, 29.15. Found C, 66.72; H, 4.29; N, 29.28.

3.6. General Procedure for the Synthesis 6,8-Diamino-3-(4-substituted benzyl)-3h-imidazo [4,5-b]-1,8-naphthyridine-7,9-dicarbonitrile 6

The 2-amino-1,1,3-propenetricarbonitrile (0.08 g, 6 mmol) was added to a suspension of 5-amino-1-(substituted benzyl)-4-(cyanoformmidoyl)imidazole 4 (4.4 mmol) in a mixture of acetonitrile/ethanol (3:1). The addition took place in an ice bath, and the mixture was stirred in ice for 6 h. The reaction was allowed to stand at −10 °C for eight days, when the solid was filtered and washed with diethyl ether and cold ethanol.
6,8-Diamino-3-(4-methoxylbenzyl)-3H-imidazo[4,5-b]-1,8-naphthyridine-7,9-dicarbonitrile (6a). (0.98 g, 2.65 mmol, 60%). m.p. 351–352 °C, IR (Nujol): 2226, 2212, 1686, 1594 cm−1. 1H-NMR (300 MHz, DMSO-d6): δ = 3.96 (s, 3H, OCH3), 5.31 (s, 2H, CH2), 6.48 (s, 2H), 7.29 (s, 2H), 7.31 (d, J = 8.6 Hz, 2H, Ar-H), 7.73 (d, J = 8.6 Hz, 2H, Ar-H), 8.98 (s, 1H). 13C-NMR (75 MHz, DMSO-d6): δ = 49.9, 55.8, 85.9, 109.8, 118.4, 117.3, 118.1, 123.7, 128.4, 131.4, 138.7, 142.5, 149.9, 151.7, 158.7, 159.5, 160.2. Calcd for: C19H14N8: C, 61.62; H, 3.81; N, 30.25. Found C, 61.57; H, 3.85; N, 30.31.
6,8-Diamino-3-(4-methylbenzyl)-3H-imidazo[4,5-b]-1,8-naphthyridine-7,9-dicarbonitrile (6b). (0.94 g, 2.54 mmol, 58%). m.p. 340–342 °C, IR (Nujol): 2219, 2207, 1680, 1590 cm−1. 1H-NMR (300 MHz, DMSO-d6): δ = 2.36 (s, 3H, CH3), 5.41 (s, 2H, CH2), 6.48 (s, 2H), 7.29 (s, 2H), 7.47 (d, J = 8.6 Hz, 2H, Ar-H), 7.79 (d, J = 8.6 Hz, 2H, Ar-H), 8.96 (s, 1H). 13C-NMR (75 MHz, DMSO-d6): δ = 21.2, 50.1, 86.2, 110.6, 118.8, 121.4, 124.8, 128.7, 131.9, 137.4, 139.6, 140.5, 141.8, 149.2, 151.7, 156.1, 159.9. Calcd for: C19H14N8: C, 64.40; H, 3.98; N, 31.62. Found C, 64.29; H, 3.85; N, 31.57.

3.7. General Procedure for the Synthesis of 5-Amino-4-(1′-amino-2′,2′-dicyanovinyl)-1-(4-substituted benzyl)imidazole 7

DBU (0.53 mmol) was added to a solution of malononitrile (6.1 mmol) in acetonitrile/ethanol mixture (1:3) and kept in an ice bath. The mixture was sitirred in ice bath for 1 h. A suspension of cyanoformimdoyl imidazole 4a,b (4.4 mmol) with the least amount of ethanol (2 mL) was added drop wise, and the mixture was stirred in the ice bath for 8 h. The reaction mixture was allowed to stand at −10 °C for three days, when the off-white solid was filtered and washed with ethanol and diethyl ether.
5-Amino-4-(1′-amino-2′,2′-dicyanovinyl)-1-(4-methoxybenzyl)imidazole (7a). (1.1 g, 3.7 mmol, 85%). m.p. 224–225 °C, IR (Nujol): 2221, 2198, 1658, 1625, 1581, 1544 cm−1. 1H NMR (300 MHz, DMSO-d6): δ = 3.82 (s, 3H, OCH3), 5.27 (s, 2H, CH2), 5.78 (s, 2H, NH2, D2O-exchangable NH2), 7.18 (d, J = 9 Hz, 2H, Ar-H), 7.38 (d, J = 9 Hz, 2H, Ar-H), 7.67 (d, 1H, CH-imidazole), 7.98 (brs, 2H, D2O-exchangable NH2). 13C-NMR (75 MHz, DMSO-d6): δ = 43.8, 55.4, 58.2, 111.3, 114.7, 115.1, 118.7, 126.9, 127.7, 134.1, 141.8, 159.8, 163.7. Anal. Calcd for: C15H14N6O: C, 61.21; H, 4.79; N, 28.55. Found C, 61.05; H, 4.61; N, 28.39.
5-Amino-4-(1′-amino-2′,2′-dicyanovinyl)-1-(4-methylbenzyl)imidazole (7b). (0.98 g, 3.5 mmol, 80%). m.p. 234–235 °C, IR (Nujol): 2210 , 2191; 1684; 1635; 1580; 1529 cm−1. 1H-NMR (300 MHz, DMSO-d6): δ = 2.32 (s, 3H, CH3), 5.22 (s, 2H, CH2), 5.88 (s, 2H, NH2, D2O-exchangable NH2), 7.37 (d, J = 8.7 Hz, 2H, Ar-H), 7.45 (d, J = 8.7 Hz, 2H, Ar-H), 7.62 (d, 1H, CH-imidazole), 7.82 (brs, 2H, D2O-exchangable NH2). 13C-NMR (75 MHz, DMSO-d6): δ = 21.3, 44.5, 50.4, 117.8, 0o125.2, 130.1, 132.0, 133.2, 138.3, 142.1, 159.1, 162.9. Anal. Calcd for: C15H14N6: C, 65.74; H, 5.52; N, 28.75. Found C, 65.65; H, 5.43; N, 28.88.

3.8. General Procedure for the Synthesis of 5,7-Diamino-3-substituted benzyl-6-cyano-3H-imidazo[4,5-b]pyridines 8

A suspension of 5-amino-4-(1′-amino-2′,2′-dicyanovinyl)-1-(4-substituted benzyl)imidazole 5 (3 mmol) in ethanol (5 mL) was combined with a catalytic amount of triethyl amine and the mixture was refluxed for 1 h. An off white precipitate formed, which was filtered and washed with ethanol and diethyl ether.
5,7-Diamino-3-(4-methoxybenzyl)-3H-imidazo[4,5-b]pyridine-6-carbonitrile (8a). (0.72 g, 2.45 mmol, 82%). m.p. 321–322 °C, IR (Nujol): 2212, 1685, 1596, 1590 cm−1. 1H-NMR (300 MHz, DMSO-d6): δ = 3.91 (s, 3H, OCH3), 5.32 (s, 2H, CH2), 6.44 (s, 2H) 7.21 (s, 2H), 7.09 (d, J = 9 Hz, 2H, Ar-H), 7.76 (d, J = 9 Hz, 2H, Ar-H), 8.21 (s, 1H, CH-imidazole). 13C-NMR (75 MHz, DMSO-d6): δ = 49.5, 55.6, 70.3, 114.7, 115.4, 117.6, 126.1, 128.6, 137.7, 146.9, 150.3, 157.9, 159.6. Anal. Calcd for: C15H14N6 O: C, 61.21; H, 4.79; N, 28.55. Found C, 60.98; H, 4.63; N, 28.41.
5,7-Diamino-3-(4-methylbenzyl)-3H-imidazo[4,5-b]pyridine-6-carbonitrile (8b). (0.74 g, 2.66 mmol, 89%). m.p. 308–309 °C, IR (Nujol): 2204, 1674, 1585, 1580 cm−1. 1H-NMR (300 MHz, DMSO-d6): δ = 2.38 (s, 3H, CH3), 5.29 (s, 2H, CH2), 6.39 (s, 2H), 7.17 (s, 2H), 7.41 (d, J = 8.4 Hz, 2H, Ar-H), 7.71 (d, J = 8.4 Hz, 2H, Ar-H), 8.41 (s, 1H, CH-imidazole). 13C-NMR (75 MHz, DMSO-d6): δ = 21.3, 49.5, 70.1, 116.2, 118.1, 123.4, 128.9, 132.0, 136.8, 146.3, 152.6, 160.1. Anal. Calcd for: C15H14N6: C, 64.73; H, 5.07; N, 30.29. Found C, 64.59; H, 5.11; N, 30.37.

3.9. General Procedure for the Synthesis 6,8,9-Triamino-3-(4-substituted benzyl)-3H-imidazo[4,5-b]-1,8-naphthyridine-7-carbonitrile 10

DBU (0.53 mmol) was added to a solution of 2-amino-1,1,3-propenetricarbonitrile (0.61 mmol) in acetonitrile/ethanol mixture (3:1) and kept in an ice bath. The mixture was sitirred in an ice bath for 1 h. A suspension of cyanoformimdoyl imidazole 2a,b (0.44 mmol) with the least amount of ethanol (2 mL) was added dropwise, and the mixture was stirred in an ice bath for 10 h (followed by TLC until the starting materials were consumed). the reaction mixture was allowed to stand at −10 °C for eight days, when the off-white solid was filtered and washed with ethanol and diethyl ether.
6,8,9-Triamino-3-(4-methoxylbenzyl)-3H-imidazo[4,5-b]-1,8-naphthyridine-7-carbonitrile (10a). (0.91 g, 2.52 mmol, 57%). m.p. 352–353 °C, IR (Nujol): 2211, 1678, 1594 cm−1. 1H-NMR (300 MHz, DMSO-d6): δ = 3.92 (s, 3H, OCH3), 5.35 (s, 2H, CH2), 6.69 (s, 2H), 6.81 (s, 2H), 7.32 (s, 2H), 7.47 (d, J = 8.6 Hz, 2H, Ar-H), 7.79 (d, J = 8.6 Hz, 2H, Ar-H), 8.96 (s, 1H). 13C-NMR (75 MHz, DMSO-d6): δ = 50.5, 55.6, 71.4, 110.6, 118.8, 121.4, 124.8, 128.7, 137.4, 139.6, 140.5, 141.8, 149.2, 151.7, 156.1, 159.9, Calcd for: C18H16N8O: C, 59.99; H, 4.48; N, 31.09. Found C, 59.86; H, 4.38; N, 31.23.
6,8,9-Triamino-3-(4-methylbenzyl)-3H-imidazo[4,5-b]-1,8-naphthyridine-7-carbonitrile (10b). (0.82 g, 2.38 mmol, 54%). m.p. 346–347 °C, IR (Nujol): 2226, 1686, 1594 cm−1. 1H-NMR (300 MHz, DMSO-d6): δ = 2.36 (s, 3H, CH3), 5.31 (s, 2H, CH2), 6.48 (s, 2H), 6.77 (s, 2H), 7.29 (s, 2H), 7.47 (d, J = 8.6 Hz, 2H, Ar-H), 7.79 (d, J = 8.6 Hz, 2H, Ar-H), 8.76 (s, 1H). 13C-NMR (75 MHz, DMSO-d6): δ = 21.2, 50.3, 71.4, 110.6, 118.8, 121.4, 124.8, 128.7, 137.4, 139.6, 140.5, 141.8, 149.2, 151.7, 156.1, 159.9. Calcd for: C19H14N8: C, 61.62; H, 3.81; N, 30.25. Found C, 61.57; H, 3.85; N, 30.31.

4. Conclusions

The reaction of 5-amino-4-(cyanoformimidoyl)imidazoles 4 with malononitrile or 2-amino-1,1,3-propene tricarbonitrile occurs selectively on the carbon of the cyanoformimidoyl substituent. Intramolecular cyclization of the adduct leads to 3H-imidazo[4,5-b]pyridines 5, 8 and imidazo[1,8]naphthyridine derivatives 6 and 10, depending on whether the reaction is carried out in the absence or in the presence of DBU, respectively. In absence of DBU, fused imidazole 5 and 6 synthesized from compound 4 and malononitrile, and 2-amino-1,1,3-propene tricarbonitrile upon the elimination of ammonia. In the presence of DBU, fused imidazoles 8 and 10 are generated from compound 4 and malononitrile or 2-amino-1,1,3-propenetricarbonitrile upon the elimination of hydrogen cyanide. Intramolecular cyclization of imidazole 7 occurs by heating in ethanol, in the presence of a base, such as triethyl amine, and successively in situ, in the case of intermediate imidazole 9, as a result of the presence of highly substituted deficient alkene forcing the cyclization without a base, respectively.

Acknowledgments

The authors extend their sincere appreciation to the Deanship of Scientific Research at the Al-Imam Mohammad Ibn Saud Islamic University, Riyadh, KSA, for its funding of this research through the Research Group Project no. 3412204. Also thanks are due to the Micro-analytical Unit, Cairo University, Egypt, for micro-analytical data, IR, and NMR.

Author Contributions

Omar K. Al-duaij, Magdi E.A. Zaki, Abdel-Rhman B. A. El Gazzar provided the concepts of the work, interpreted the results and performed the experimental part; Magdi E.A. Zaki interpreted the results and prepared the manuscript. All authors discussed, edited and approved the final version.

Conflicts of Interest

The authors declare no conflict of interest.

Abbreviations

DBU
1,8-Diazabicyclo(5.4.0)undec-7-ene

References

  1. Tomczuk, B.E.; Taylor, C.R., Jr.; Meredith Moses, L.; Sutherland, D.B.; Lo, Y.S.; Johnson, D.N.; Kinnier, W.B.; Kilpatrick, B.F. 2-Phenyl-3H-imidazo[4,5-b]pyridine-3-acetamides as nonbenzodiazepine anticonvulsants and anxiolytics. J. Med. Chem. 1991, 34, 2993–3006. [Google Scholar]
  2. Cappelli, A.; Pericot Mohr, G.; Giuliani, G.; Galeazzi, S.; Anzini, M.; Mennuni, L.; Ferrari, F.; Makovec, F.; Kleinrath, E.M.; Langer, T.; et al. Further studies on imidazo[4,5-b]pyridine AT1 angiotensin II receptor antagonists. Effects of the transformation of the 4-phenylquinoline backbone into 4-phenylisoquinolinone or 1-phenylindene scaffolds. J. Med. Chem. 2006, 49, 6451–6464. [Google Scholar]
  3. Bavetsias, V.; Crumpler, S.; Sun, C.; Avery, S.; Atrash, B.; Faisal, A.; Moore, A.S.; Kosmopoulou, M.; Brown, N.; Sheldrake, P.W.; et al. Optimization of imidazo[4,5-b]pyridine-based kinase inhibitors: Identification of a Dual FLT3/Aurora kinase inhibitor as an orally bioavailable preclinical development candidate for the treatment of acute Myeloid Leukemia. J. Med. Chem. 2012, 55, 8721–8734. [Google Scholar] [CrossRef] [PubMed]
  4. Lukasik, P.M.; Elabar, S.; Lam, F.; Shao, H.; Liu, X.; Abbas, A.Y.; Wang, S. Synthesis and biological evaluation of imidazo[4,5-b]pyridine and 4-heteroarylpyrimidine derivatives as anti-cancer agents. Eur. J. Med. Chem. 2012, 57, 311–322. [Google Scholar] [CrossRef] [PubMed]
  5. Bukhryakov, K.V.; Kurkin, A.V.; Yurovskaya, M.A. Synthetic approches to imidazo[4,5-b]pyridine derivatives. Chem. Heterocycl. Comp. 2011, 47, 533–557. [Google Scholar] [CrossRef]
  6. Iaroshenko, V.O.; Mkrtchyan, S.; Ghazaryan, G.; Hakobyan, A.; Maalik, A.; Supe, L.; Villinger, A.; Tolmachev, A.; Ostrovskyi, D.; Sosnovskikh, V.Y.; et al. 3-(Dichloroacetyl)chromone; A new building block for the synthesis of formylated purine isosteres: Design and synthesis of fused α-(formyl)pyridines. Synthesis 2011, 3, 469–479. [Google Scholar] [CrossRef]
  7. Kale, R.P.; Shaikh, M.U.; Jadhav, R.G.; Gill, C.H. Eco-friendly and facile synthesis of 2-substituted-1H-Imidazo[4,5-b]pyridine in aqueous medium by air oxidation. Tetrahedron Lett. 2009, 50, 1780–1782. [Google Scholar] [CrossRef]
  8. Chen, S.T.; Doss, G. Microbial Transformation Process for Antihypertensive Products. US 5132216 A, 21 July 1992. [Google Scholar]
  9. Roberts, D.A.; Russel, S.T.; Ratcliffe, A.H.; Gibson, K.H.; Wood, R. Azaindenes. EP 0399731 A1, 28 November 1990. [Google Scholar]
  10. Weier, R.M.; Khanna, I.K.; Stealey, M.A.; Julien, J. N,N′-Cycloalkyl/Alkyl Carboxamide 4H-Imidazo-[4,5-b]pyridine Compounds as PAF Antagonists. US 5262426 A, 16 November 1993. [Google Scholar]
  11. Weier, R.M.; Khanna, I.K.; Lentz, K.; Stealey, M.A.; Julien, J. Substituted-Phenyl (N,N′-Cycloalkyl/Alkyl carboxamide)-1H/3H-Imidazo[4,5-b]pyridine Compounds as PAF Antagonists. US 5359073 A, 25 October 1994. [Google Scholar]
  12. Kulkarni, S.S.; Newman, A.H. Discovery of heterobicyclic templates for novel metabotropic glutamate receptor subtype 5 antagonists. Bioorg. Med. Chem. Lett. 2007, 17, 2987–2991. [Google Scholar] [CrossRef] [PubMed]
  13. Temple, C., Jr.; Rose, J.D.; Comber, R.N.; Rener, G.A. Synthesis of potential anticancer agents: Imidazo[4,5-c]pyridines and imidazo[4,5-b]pyridines. J. Med. Chem. 1987, 30, 1746–1751. [Google Scholar] [CrossRef] [PubMed]
  14. Temple, C., Jr.; Smith, B.H.; Elliott, R.D.; Montgomery, J.A.J. Synthesis of Potential Anticancer Agents. Preparation of Some 1-deazapurines and Pyrimidines. J. Med. Chem. 1973, 16, 292–294. [Google Scholar] [CrossRef] [PubMed]
  15. Barraclough, P.; Black, J.W.; Cambridge, D.; Collard, D.; Firmin, D.; Gerskowitch, V.P.; Glen, R.C.; Giles, H.; Hill, A.P.; Hull, R.A.D.; et al. Inotropic “A” ring substituted sulmazole and isomazole analogs. J. Med. Chem. 1990, 33, 2231–2239. [Google Scholar] [CrossRef] [PubMed]
  16. Barraclough, P.; Beams, R.M.; Black, J.W.; Cambridge, D.; Collard, D.; Damaine, D.A.; Firmin, D.; Gerskowitch, V.P.; Glen, R.C.; Giles, H.; et al. Inotropic activity of heterocyclic analogues of isomazole. Eur. J. Med. Chem. 1990, 25, 467–477. [Google Scholar] [CrossRef]
  17. Janssens, F.; Torremans, J.; Janssen, M.; Stokbroekx, R.A.; Luyckx, M.; Janssen, P.A.J. New Antihistaminic N-heterocyclic 4-piperidinamines. 3. synthesis and antihistaminic activity of N-(4-piperidinyl)-3H-imidazo[4,5-b]pyridin-2-amines. J. Med. Chem. 1985, 28, 1943–1947. [Google Scholar] [CrossRef] [PubMed]
  18. Bavetsias, V.; Sun, C.; Bouloc, N.; Reynisson, J.; Workman, P.; Linardopoulos, S.; McDonald, E. Hit generation and exploration: Imidazo[4,5-b]pyridine derivatives as inhibitors of aurora kinases. Bioorg. Med. Chem. Lett. 2007, 17, 6567–6571. [Google Scholar] [CrossRef] [PubMed]
  19. Coates, W.J.; Connolly, B.; Dhanak, D.; Flynn, S.T.; Worby, A. Cyclic nucleotide phosphodiesterase inhibition by imidazopyridines: Analogs of sulmazole and isomazole as inhibitors of the cGMP specific phosphodiesterase. J. Med. Chem. 1993, 36, 1387–1392. [Google Scholar] [CrossRef] [PubMed]
  20. Zaki, M.E.A.; Proenca, M.F.; Booth, B.L. Efficient synthesis of 3H-imidazo[4,5-b]pyridines from malononitrile and 5-amino-4-(cyanoformimidoyl)imidazoles. J. Org. Chem. 2003, 68, 276–282. [Google Scholar] [CrossRef] [PubMed]
  21. Alves, M.J.; Booth, B.L.; Proenca, M.F. Synthesis of 5-amino-4-(cyanoformimidoyl)-1H-imidazole: A reactive intermediate for the synthesis of 6-carbamoyl-1,2-dihydropurines and 6-carbamoylpurines. J. Chem. Soc. Perkin Trans. 1 1990, 1705–1712. [Google Scholar]
  22. Alves, M.J.; Booth, B.L.; Freitas, A.P.; Proenca, M.F.J. (Z)-N3-(2-amino-1,2-dicyanovinyl)formamidrazone: A precursor in the synthesis of 1,5-diaminoimidazoles and 6-carbamoyl-1,2-dihydropurines. J. Chem. Soc. Perkin Trans. 1 1992, 913–917. [Google Scholar] [CrossRef]
  23. Booth, B.L.; Dias, A.M.; Proenca, M.F. Synthesis of 9-hydroxyalkyl-substituted purines from the corresponding 4-(C-cyanoformimidoyl) imidazole-5-amines. J. Chem. Soc. Perkin Trans. 1 1992, 2119–2126. [Google Scholar] [CrossRef]
  24. Carvalho, M.A.; Zaki, M.E.A.; Álvares, Y.; Proença, M.F.; Booth, B.L. Synthesis of Novel 6-enaminopurines. Org. Biomol. Chem. 2004, 2, 2340–2345. [Google Scholar] [CrossRef] [PubMed]
  25. Al-Azmi, A.; Booth, B.L.; Carpenter, R.A.; Carvalho, A.; Marrelec, E.; Pritchard, R.G.; Proença, M.F. Facile synthesis of 6-cyano-9-substituted-9H-purines and their ring expansion to 8-(arylamino)-4-imino-3-methylpyrimidino[5,4-d]pyrimidines. J. Chem. Soc. Perkin Trans. 1 2001, 2532–2537. [Google Scholar] [CrossRef]
  26. Alves, M.J.; Booth, B.L.; Eastwood, P.; Pritchard, R.; Proença, M.F. Novel 4-Substituted 4,5-Dihydro-3H-(8-Amino-6-Oxo)Pyrrolo[3,4-F][1,3,5]Triazepines from (Z)-N2-(2-Amino-1,2-Dicyano)Formamidine And Carbonyl Compounds. J. Chem. Soc., Chem. Commun. 1993, 834–836. [Google Scholar] [CrossRef]
  27. Kumar, R.; Ujjinamatada, R.K.; Hosmane, R.S. The first synthesis of a novel 5:7:5-fused diimidazodiazepine ring system and some of its chemical properties. Org. Lett. 2008, 10, 4681–4684. [Google Scholar] [CrossRef] [PubMed]
  28. Gordon, A.J.; Ford, R.A. The Chemist’s Companion: A Handbook of Practical Data, Techniques and References; John Wiley & Sons: New York, NY, USA, 1972; p. 62. [Google Scholar]
  29. Lunn, G.; Sansone, E.B. Destruction of Hazardous Chemicals in the Laboratory; John Wiley & Sons: New York, NY, USA, 1990; pp. 77–82. [Google Scholar]
  • Sample Availability: Samples of the compounds 5, 6, 8, 10 are available from the authors.
Scheme 1. Synthesis of 5-amino-1-(substituted benzyl)-4-cyanoformimidoyl imidazole 4.
Scheme 1. Synthesis of 5-amino-1-(substituted benzyl)-4-cyanoformimidoyl imidazole 4.
Molecules 21 01646 sch001
Scheme 2. Synthesis of Fused imidazole 5, 6, 8, 10.
Scheme 2. Synthesis of Fused imidazole 5, 6, 8, 10.
Molecules 21 01646 sch002
Scheme 3. Proposed mechanism for Synthesis Fused imidazole 6 in absence of DBU.
Scheme 3. Proposed mechanism for Synthesis Fused imidazole 6 in absence of DBU.
Molecules 21 01646 sch003
Scheme 4. The Proposed mechanism for Synthesis Fused imidazole 10 in presence of DBU.
Scheme 4. The Proposed mechanism for Synthesis Fused imidazole 10 in presence of DBU.
Molecules 21 01646 sch004

Share and Cite

MDPI and ACS Style

Al-duaij, O.K.; Zaki, M.E.A.; El Gazzar, A.-R.B.A. A Simple Precursor for Highly Functionalized Fused Imidazo[4,5-b]pyridines and Imidazo[4,5-b]-1,8-naphthyridine. Molecules 2016, 21, 1646. https://doi.org/10.3390/molecules21121646

AMA Style

Al-duaij OK, Zaki MEA, El Gazzar A-RBA. A Simple Precursor for Highly Functionalized Fused Imidazo[4,5-b]pyridines and Imidazo[4,5-b]-1,8-naphthyridine. Molecules. 2016; 21(12):1646. https://doi.org/10.3390/molecules21121646

Chicago/Turabian Style

Al-duaij, Omar K., Magdi E.A. Zaki, and Abdel-Rhman B. A. El Gazzar. 2016. "A Simple Precursor for Highly Functionalized Fused Imidazo[4,5-b]pyridines and Imidazo[4,5-b]-1,8-naphthyridine" Molecules 21, no. 12: 1646. https://doi.org/10.3390/molecules21121646

APA Style

Al-duaij, O. K., Zaki, M. E. A., & El Gazzar, A.-R. B. A. (2016). A Simple Precursor for Highly Functionalized Fused Imidazo[4,5-b]pyridines and Imidazo[4,5-b]-1,8-naphthyridine. Molecules, 21(12), 1646. https://doi.org/10.3390/molecules21121646

Article Metrics

Back to TopTop