Abstract
New approaches for the synthesis of hydrazide-hydrazone derivatives were demonstrated as well as some heterocyclizations of such derivatives to afford 1,3,4-triazine, pyridine and 1,3,4-oxadiazine derivatives. The antitumor evaluation of the newly synthesized products against three cancer cell lines, namely breast adenocarcinoma (MCF-7), non-small cell lung cancer (NCI-H460) and CNS cancer (SF-268) were recorded. Most of the synthesized compounds showed high inhibitory effects.
1. Introduction
Hydrazide-hydrazones are an important class of compounds that has gained much importance in recent years due to their diverse biological activities [1,2,3,4,5,6,7,8,9,10]. The therapeutic prominence of hydrazide-hydrazone derivatives is well established [11,12]. Hydrazide-hydrazones were also reported to elicit anticancer [13,14,15,16,17,18,19,20] and anti-HIV properties [21] and hence they have gained an important place in medicinal chemistry. The discovery of the antineoplastic activity of the naturally occurring Schiff’s bases has stimulated considerable research efforts in the field of condensed systems [22]. With the aim of constructing such condensed systems with the hydrazide-hydrazone nucleus, we turned our attention to using such compounds as synthons for heterocyclic derivatives and their anitumor evaluation [23,24].
2. Results and Discussion
In this work we report the reaction of cyanoacetylhydrazine (1) with ω-bromo-(4-methyl-acetophenone) (2) in 1,4-dioxane which gave the condensed product 3. The structure of compound 3 was confirmed based on analytical and spectral data. Thus, the 1H-NMR showed a singlet at δ 2.51 for the CH3, two singlets at δ 4.31, 4.72 for the two CH2 groups, a multiplet at δ 6.50–7.76 for the C6H4 group and a singlet at δ 11.46 (D2O exchangeable) for the NH group. The reactivity of compound 3 towards different chemical reagents was studied. The reaction of 3 with either potassium cyanide or potassium thiocyanate gave the corresponding cyanide or the thiocyanate derivatives 4a and 4b, respectively (Scheme 1).
Scheme 1.
Synthesis of the hydrazide-hydrazone 3 and 4a, b.
Scheme 1.
Synthesis of the hydrazide-hydrazone 3 and 4a, b.

The reaction of compound 3 with either hydrazine hydrate (5a) or phenylhydrazine (5b) gave the hydrazine derivative 6a or 6b, respectively. Analytical and spectral data of the reaction products are in agreement with the proposed structures (see Experimental section). The reaction of either 6a or 6b with benzaldehyde (7) gave the benzal derivative 8a or 8b, respectively (Scheme 2).
Scheme 2.
Synthesis of the hydrazine derivatives 6a, b and 8a, b.
Scheme 2.
Synthesis of the hydrazine derivatives 6a, b and 8a, b.

On the other hand, the reaction of either 6a or 6b with either benzenediazonium chloride (9a), 3-cyano-4,5,6,7-tetrahydrobenzo[b]thiophene-2-diazonium chloride (9b) or ethyl 3-cyano-4,5,6,7-tetrahydrobenzo[b]thiophene-3-carboxylate-2-diazonium chloride (9c) gave the 3-(α-hydrazo-acetonitrilo)-1,2,4-triazine derivatives 10a–f, respectively (Scheme 3). The analytical and spectral data of the latter reaction products are all consistent with the proposed structures.
Scheme 3.
Synthesis of the 1,2,4-triazines 10a–f.
Scheme 3.
Synthesis of the 1,2,4-triazines 10a–f.

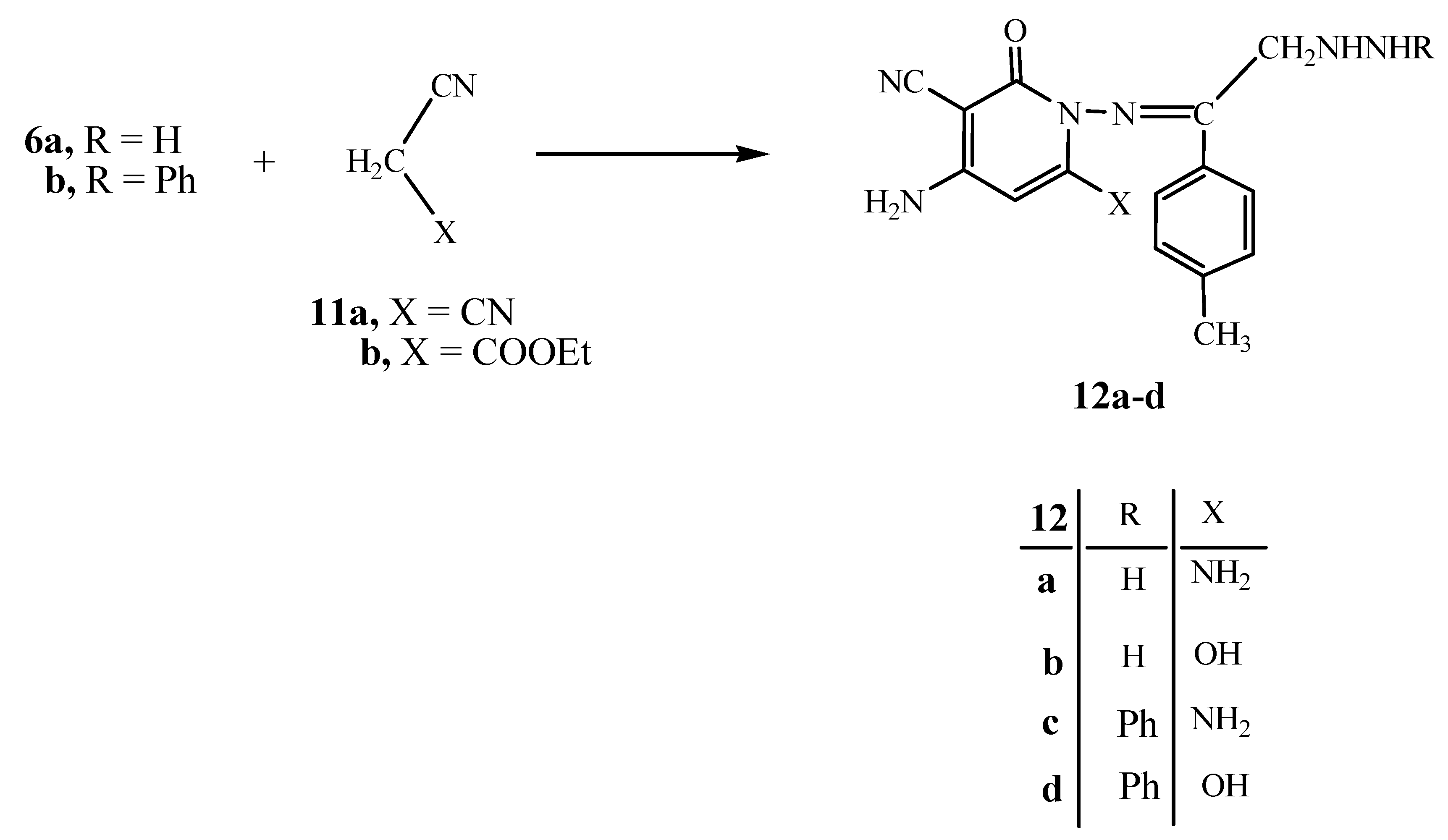
Next, we moved towards studying the reactivity of 6a and 6b with active methylene reagents. Thus, their reactions with either malononitrile (11a) or ethyl cyanoacetate (11b) gave the pyridine derivatives 12a–d, respectively (Scheme 4). The structures of the latter products were established on the basis of their analytical and spectral data. Thus, the 1H-NMR spectrum of 12c showed a singlet at δ 2.51 for the CH3 group, a singlet at δ 3.38 for the CH2 group, two singlets at δ 4.38, 4.79 for the two NH2 groups and a multiplet at δ 6.48–8.19 for the pyridine H-3, C6H5 and C6H4, two singlets at δ 10.82, 11.20 for the two NH groups, respectively.
Scheme 4.
Synthesis of 2-oxopyridines 12a–d.
Scheme 4.
Synthesis of 2-oxopyridines 12a–d.

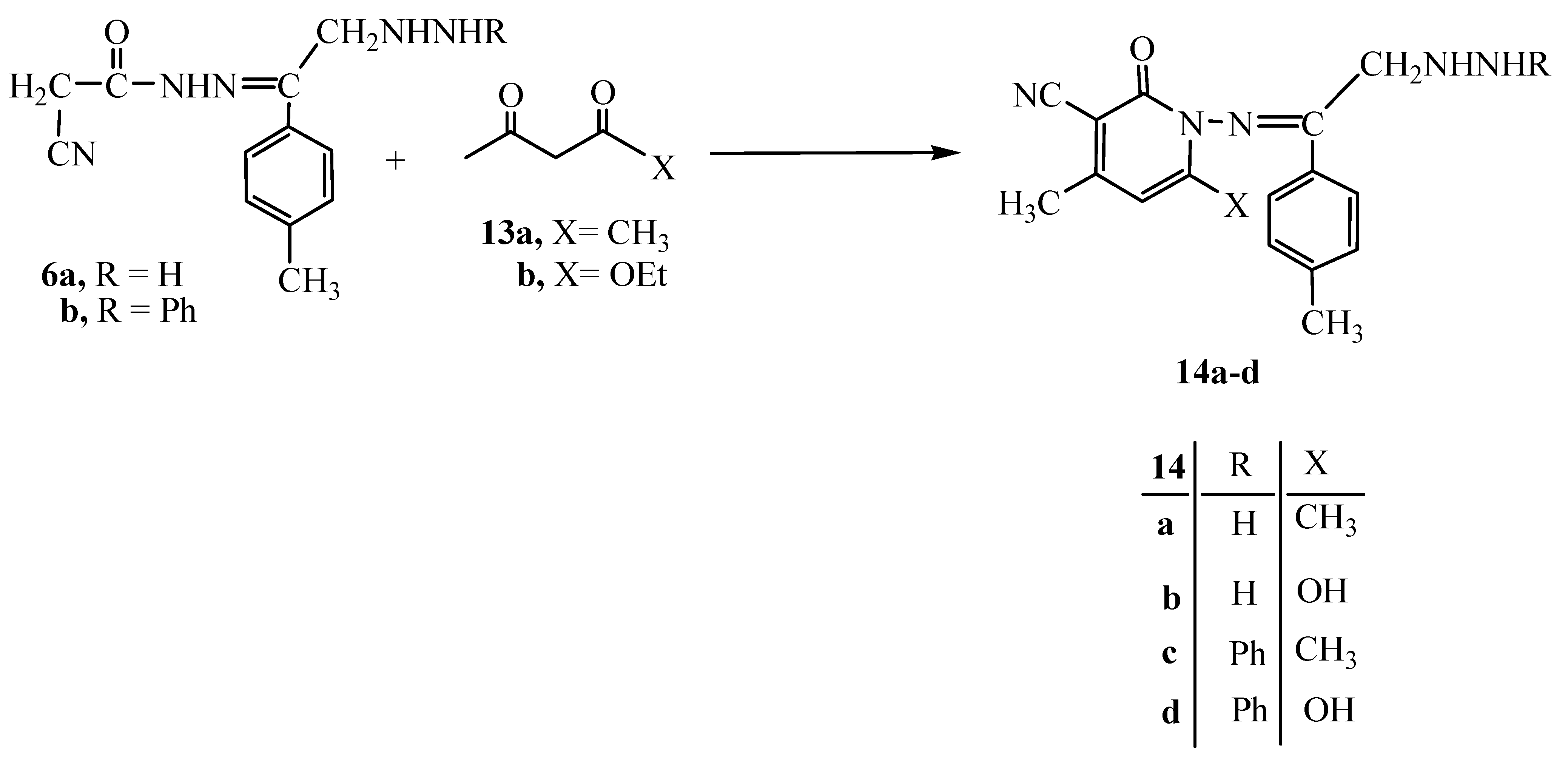
On the other hand, the reaction of either 6a or 6b with either acetylacetone (13a) or ethyl acetoacetate (13b) gave the pyridine derivatives 14a–d, respectively (Scheme 5). The structures of the latter products were confirmed by their analytical and spectral data (see Experimental section).
Scheme 5.
Synthesis of 2-oxopyridines 14a–d.
Scheme 5.
Synthesis of 2-oxopyridines 14a–d.

Compound 3 underwent ready cyclization when heated in sodium ethoxide solution to give the 1,3,4-oxadiazine derivative 15, whose structure was established from its analytical and spectral data (see Experimental section). The oxadiazine derivatives 15 seemed to be an intermediate for many reactions between 3 and many chemical reagents. Thus, the reaction of 3 with benzaldehyde (7) gave the 2-(α-benzalacetonitrilo)-1,3,4-oxadiazine derivative 16. The analytical and spectral data of 16 were in agreement with the proposed structure. Thus, the 1H-NMR spectrum showed a singlet at δ 2.51 for the CH3 group, a singlet at δ 4.22 for the CH2 group, a singlet at δ 5.16 for the (=CH) group and a multiplet at δ 7.35–8.02 for the C6H5 and C6H4 groups. The same product 16 was obtained through the reaction of compound 15 with benzaldehyde (7) (confirmed by m.p., mixed m.p. and fingerprint IR spectrum). On the other hand, the reaction of 15 with benzenediazonium chloride (9) gave the 2-(α-phenylhydrazo)-1,3,4-oxadiazine derivative 17 (Scheme 6).
Scheme 6.
Synthesis of 1,3,4-oxadiazines 15, 16 and 17.
Scheme 6.
Synthesis of 1,3,4-oxadiazines 15, 16 and 17.

Effect on the Growth of Human Tumor Cell Lines
The effect of compounds 4–17 was evaluated on the in vitro growth of three human tumor cell lines representing different tumor types, namely, breast adenocarcinoma (MCF-7), non-small cell lung cancer (NCI-H460) and CNS cancer (SF-268), after a continuous exposure of 48 h. The results are summarized in Table 1. All the compounds were able to inhibit the growth of the tested human tumor cell lines in a dose-dependent manner (data not shown). The results showed that compound 14b, with its 2-hydroxypyridine group, showed the highest inhibitory effect against all the three tumor cell lines. In addition compounds 10a, 10f, 12a, 12b and 14c showed high inhibitory effects. On the other hand, compounds 4b, 6a, 8b, 10b, 10d, 12c, 12d, 14a, 14c, 16 and 17 showed the lowest inhibitory effect towards adenocarcinoma (MCF-7). The rest of compounds showed the moderate growth inhibitory effects. Comparing compound 4a with 4b, it is obvious that the presence of the α-SCN present in 4b showed lower inhibitory effect than 4a with it’s α-CN group. Comparing 1,2,4-triazine derivatives 10a (with the 4-phenylamino group) and 10b (with the 4-thiophenoamino group), the first has a greater inhibitory effect than the second towards the three cell lines.
Table 1.
Effect of the newly synthesized products on the growth of three human tumor cell lines.
| Compound | GI50(μΜ) | ||
|---|---|---|---|
| MCF-7 | NCI-H460 | SF-268 | |
| 4a | 10.0 ± 0.6 | 12.9 ± 1.6 | 15 ± 1.1 |
| 4b | 70.6 ± 15.3 | 38.1 ± 10.8 | 48.0 ± 9.1 |
| 6a | 50.8 ± 18.5 | 20.2 ± 12.6 | 50.0 ± 8.7 |
| 6b | 25.8 ± 12.5 | 22.4 ± 8.6 | 20.3 ± 8.6 |
| 8a | 24.6* | 77.9 ± 5.0 | 35.0* |
| 8b | 80.9 ± 10.2 | 70.9 ± 6.1 | 50.2 ± 2.2 |
| 10a | 8.0 ± 0.6 | 11.7 ± 8.8 | 14.8 ± 1.6 |
| 10b | 70.6 ± 8.6 | 55.6 ± 5.8 | 42.6 ± 8.6 |
| 10c | 24.2 ± 0.6 | 8.4 ± 1.8 | 10.4 ± 8.4 |
| 10d | 88.4 ± 4.3 | 66.8 ± 12.0 | 40.9 ± 2.6 |
| 10e | 12.4 ± 2.6 | 6.8 ± 1.2 | 8.3 ± 9.2 |
| 10f | 10.0 ± 0.4 | 14.9 ± 1.6 | 14 ± 1.1 |
| 12a | 12.4 ± 1.6 | 10.8 ± 4.0 | 16 ± 6.0 |
| 12b | 8.6 ± 2.4 | 10.4 ± 6.2 | 12.0 ± 4.2 |
| 12c | 86.8 ± 6.0 | 48.5 ± 4.0 | 38.4 ± 2.6 |
| 12d | 90.8 ± 2.4 | 78.2 ± 2.2 | 86.2 ± 1.8 |
| 14a | 66.4 ± 6.0 | 42.4 ± 6.0 | 62.3 ± 6.0 |
| 14b | 4.2 ± 2.8 | 10.2 ± 6.8 | 10.8 ± 5.0 |
| 14c | 80.3 ± 4.0 | 64.8 ± 6.4 | 50.8 ± 6.4 |
| 16 | 40.5 ± 2.6 | 32.6 ± 4.0 | 26.8 ± 8.4 |
| 17 | 60.4 ± 6.0 | 77.8 ± 3.1 | 47.0 ± 6.4 |
Results are given in concentrations that were able to cause 50% of cell growth inhibition (GI50) after a continuous exposure of 48 h and show means ± SEM of three-independent experiments performed in duplicate. *Results from two-independent experiments performed in duplicate. Doxorubicin was used as positive control, GI50: MCF-7 = 42.8 ± 8.2 nM, NCI-H460 = 94.0 ± 8.7 nM, and SF-268 = 94.0 ± 7.0 nM.
3. Experimental
3.1. General
Melting points were determined on an Electrothermal melting point apparatus (Electrothermal 9100) and are uncorrected. IR spectra were recorded for KBr discs on a Pye Unicam SP-1000 spectrophotometer. 1H-NMR & 13C-NMR spectra were measured on a Varian EM-390-200 MHz in CD3SOCD3 as solvent using TMS as internal standard, and chemical shifts are expressed as δ. Analytical data were obtained from the Microanalytical Data Unit at Cairo University, Giza, Egypt. Antitumor evaluation for the newly synthesized products were performed by a research group at the National Research Center & the National Cancer Institute at Cairo University.
4-Methyl-ω-bromoacetophenone cyanoacetylhydrazone (3). To a solution of cyanoacetylhydrazine (1, 2.44 g, 0.02 mol) in 1,4-dioxane (20 mL), ω-bromo-(4-methylacetophenone) (5.24 g, 0.02 mol) was added. The reaction mixture was stirred at room temperature for 1 hr then poured onto a beaker containing an ice/water mixture. The solid product formed was collected by filtration and dried obtaining pale yellow crystals (from ethanol).Yield: 5.02 g (71%), m.p. 148 °C; IR (KBr) υ/cm−1: 3400–3378 (NH), 3105 (CH aromatic), 2956 (CH3), 2259 (CN), 1681 (C=O), 1610 (C=C); 1H-NMR δ: 2.51 (s, 3H, CH3), 4.31, 4.72 (2s, 4H, CH2), 6.50–7.76 (m, 4H, C6H4), 11.46 (s, 1H, NH). MS: (m/z) 293 (M.+) (6%), 200 (28%), 117 (100%), 68 (69.9%); 13C-NMR: 22.6 (CH3), 27.0, 58.7 (2CH2), 118.5 (CN), 126.8, 128.4, 129.5, 138.8 (C6H5), 156.3 (C=N), 173.8 (C=O); Anal. Calcd. for C12H12N3OBr (294.24): C, 48.00; H, 4.11; N, 14.29%. Found: C, 49.27; H, 4.45; N, 14.35%.
3.2. General Procedure for the Synthesis of 4a or 4b
To a solution of 3 (0.54 g, 1.83 × 10−3 mol) in ethanol (25 mL) in a water bath at 60 °C, either potassium cyanide (0.11 g, 1.83 × 10−3 mol) or potassium thiocyanate (0.17 g, 1.83 × 10−3 mol) was added with continuous stirring. The reaction mixture was left in the water bath for 30 min at 60 °C then poured onto a beaker containing ice/water mixture and few drops of hydrochloric acid. The formed solid product was collected by filtration and dried.
4-Methyl-ω-cyanoacetophenonecyanoacetylhydrazone (4a). Pale brown crystals (from ethanol).Yield: 0.20 g (62%), m.p. 160 °C; IR (KBr) υ/cm−1: 3450–3205 (NH), 3031 (CH aromatic), 2260, 2209 (2CN), 1680 (C=O); 1H NMR δ: 2.39 (s, 3H, CH3), 4.46, 5.06 (2s, 4H, 2CH2), 7.18–7.84 (m, 4H, C6H4), 10.82 (s, 1H, NH); 13C NMR: 23.8 (CH3), 27.3, 29.5 (2CH2), 116.9, 117.0 (2CN), 127.3, 128.0, 129.8, 138.9 (C6H4), 155.8 (C=N), 173.8 (C=O); Anal. Calcd. for C13H12N4O (240.26): C, 64.99; H, 5.03; N, 23.32%. Found: C, 64.79; H, 5.11; N, 22.99%.
4-Methyl-ω-thiocyanoacetophenoecyanoacetylhydrazone (4b). Buff crystals (from ethanol). Yield: 0.33 g (67%), m.p. 130 °C; IR (KBr) υ/cm−1: 3445–3225 (NH), 3099 (CH aromatic), 3034 (CH3), 2969, 2925 (2CH2), 2264, 2225 (2CN), 1666 (C=O), 1606 (C=C); 1H-NMR δ: 2.49 (s, 3H, CH3), 4.50, 5.08 (2s, 4H, 2CH2), 7.06–7.93 (m, 4H, C6H4), 11.52 (s, 1H, NH); 13C-NMR: 23.8 (CH3), 27.3, 29.4 (2CH2), 116.7, 117.8 (2CN), 127.0, 128.3, 129.6, 138.6 (C6H4), 155.5 C=N), 173.9 (C=O); Anal. Calcd for C13H12N4OS (272.32): C, 57.33; H, 4.44; N, 20.57; S, 11.77%. Found: C, 57.38; H, 4.64; N, 20.68; S, 11.57%.
3.3. General Procedure for the Synthesis of 6a and 6b
To a solution of compound 3 (1.50 g, 5.09 × 10−3 mol) in ethanol (35 mL) either hydrazine hydrate (0.25 g, 5.09 × 10−3 mol) or phenylhydrazine (0.55 g, 5.09 × 10−3 mol) was added. The reaction mixture was heated under reflux for 3 hrs then poured onto a beaker containing an ice/water mixture and a few drops of hydrochloric acid. The formed solid product was collected by filtration and dried.
4-Methyl-ω-hydrazinoacetophenonecyanoacetylhydrazone (6a). Greenish brown crystals (from ethanol). Yield: 0.65 g (52%), m.p. 120 °C; IR (KBr) υ/cm−1: 3400–3204 (NH2, 2NH), 3027 (CH aromatic), 2918 (CH3), 2203 (CN), 1688 (C=O), 1607 (C=C); 1H-NMR δ: 2.51 (s, 3H, CH3), 3.39, 4.23 (2s, 4H, 2CH2), 4.82 (s, 2H, NH2), 6.87–8.40 (m, 4H, C6H4), 9.26, 11.41 (2s, 2H, 2NH); 13C-NMR: 23.6 (CH3), 27.0, 29.6 (2CH2), 127.8, 128.3, 129.5, 138.6 (C6H4), 155.6, 164.2 (2C=N), 173.8 (C=O); Anal. Calcd. for C12H15N5O (245.28): C, 58.76; H, 6.16; N, 28.55%. Found: C, 58.55; H, 5.96; N, 28.32%.
4-Methyl-ω-phenylhydrazinoacetophenonecyanoacetylhydrazone (6b). Brown crystals (from ethanol). Yield: 0.95 g (63%), m.p. 72 °C; IR (KBr) υ/cm−1: 3500–3174 (3NH), 3026 (CH aromatic), 2969 (CH3), 2205 (CN), 1687 (C=O), 1600 (C=C); 1H-NMR δ: 2.51 (s, 3H, CH3), 3.39, 4.35 (2s, 4H, 2CH2), 6.79–8.40 (m, 9H, C6H5, C6H4), 10.82, 11.19, 12.63 (3s, 3H, 3NH); 13C-NMR: 23.6 (CH3), 27.0, 29.9 (2CH2), 120.3, 122.5, 127.3, 128.4, 129.3, 138.5, 140.1 (C6H4, C6H5), 155.6, 164.2 (2C=N), 173.8 (C=O); Anal. Calcd. for C18H19N5O (321.38): C, 67.27; H, 5.96; N, 21.79%. Found: C, 67.37; H, 5.84; N, 22.61%.
α-Benzal-4-methyl-ω-hydrazinoacetophenonecyanoacetylhydrazone (8a): To a solution of compound 6a (0.29 g, 1.18 × 10−3 mol) in ethanol (25 mL) containing piperidine (0.5 mL), benzaldehyde (0.11 g, 1.48 × 10−3 mol) was added. The reaction mixture was heated under reflux for 3hrs then poured onto a beaker containing an ice/water mixture and few drops of hydrochloric acid. The formed solid product was collected by filtration and dried obtaining deep yellowish brown crystals (from ethanol).Yield: 0.26 g (66%), m.p. 90 °C; IR (KBr) υ/cm−1: 3500–3194 (NH2, 2NH), 3027 (CH aromatic), 2919 (CH3), 2218 (CN), 1680 (C=O), 1608 (C=C); 1H-NMR δ: 2.51 (s, 3H, CH3), 3.36 (s, 2H, CH2), 4.77 (s, 2H, NH2), 5.99 (s, 1H, =CH), 7.27–8.40 (m, 9H, C6H5, C6H4), 8.81, 9.15 (2s, 2H, 2NH); 13C-NMR: 23.2 (CH3), 27.4, 29.2 (2CH2), 122.3, 122.8, 122.5, 126.0 128.3, 129.9, 138.3 (C6H5, C6H4) 155.0, 164.3 (2C=N), 174.3 (C=O); Anal. Calcd. for C19H19N5O (333.39): C, 68.45; H, 5.74; N, 21.01%. Found: C, 68.55; H, 5.54; N, 21.31%.
α-Benzal-4-methyl-ω-phenylhydrazinoacetophenonecyanoacetyl-hydrazone (8b). To a solution of compound 6b (0.36 g, 1.12 × 10−3 mol) in ethanol (25 mL) containing piperidine (0.5 mL), benzaldehyde (0.11 g, 1.12 × 10−3 mol) was added. The reaction mixture was heated under reflux for 3hrs then poured onto a beaker containing an ice/water mixture and a few drops of hydrochloric acid. The formed solid product was collected by filtration and dried obtaining yellowish brown crystals (from ethanol). Yield: 0.33 g (73%), m.p. 102 °C; IR (KBr) υ/cm−1: 3300-3179 (3NH), 3026 (CH aromatic), 2920 (CH3), 2210 (CN), 1688 (C=O), 1600 (C=C); 1H NMR δ: 2.88 (s, 3H, CH3), 3.37 (s, 2H, CH2), 6.90–8.40 (m, 15H, =CH, 2C6H5, C6H4), 9.20, 10.83, 12.62 (3s, 3H, 3NH); 13C-NMR: 23.2 (CH3), 27.4, 29.2 (2CH2), 120.9, 121.1, 122.3, 122.8, 123.4, 123.9, 122.5, 126.0 128.3, 129.5, 138.6 (2C6H5, C6H4) 155.3, 164.0 (2C=N), 174.6 (C=O); Anal. Calcd. for C25H23N5O (409.48): C, 73.33; H, 5.66; N, 17.10%. Found: C, 73.52; H, 5.97; N, 17.33%.
1-Amino-6-(4-methylphenyl)-3-(α-phenylhydrazoacetonitrilo)-1,2,4-triazine (10a). To a cold solution (0–5 °C) of compound 6a (0.40 g, 1.63 × 10−3 mol) in ethanol (50 mL) containing sodium hydroxide (10 mL, 10%) and a solution of benzenediazonium chloride (1.63 × 10−3 mol) [which was prepared by dissolving sodium nitrite (0.16 g, 2.44 × 10−3 mol) in water, 2 mL was added to a cold solution of aniline (0.15 g, 1.63 × 10−3 mol) containing the appropriate amount of hydrochloric acid and with continuous stirring] was added with continuous stirring. The formed solid product was collected by filtration and dried to give reddish brown crystals (from ethanol and few drops of dimethylformamide). Yield: 0.58 g (63%), m.p. 170 °C; IR (KBr) υ/cm−1: 3400–3307 (NH2, NH), 3027 (CH aromatic), 2919, 2862 (CH3, CH2), 2211 (CN), 1600 (C=C); 1H-NMR δ: 2.51 (s, 3H, CH3), 3.37 (s, 2H, CH2), 4.22 (s, 2H, NH2), 6.50–8.20 (m, 9H, C6H5, C6H4), 11.64 (s, 1H, NH); 13C-NMR: 23.8 (CH3), 51.9 (triazine CH2), 115.8 (CN), 118.3, 118.9, 119.2, 121.6, 124.8, 133.0, 139.6 (C6H5, C6H4), 156.9, 163.8 164.1 (3 C=N); Anal. Calcd. for C18H17N7 (331.38): C, 65.24; H, 5.17; N, 29.58%. Found: C, 65.42; H, 5.27; N, 29.36%.
3.4. General Procedure for the Synthesis of 10b and 10c
To a cold solution (0–5 °C) of compound 6a (0.49 g, 1.99 × 10−3 mol) in ethanol (50 mL) containing sodium hydroxide solution (10 mL, 10%) was added with continuous stirring a solution of either 3-cyano-4,5,6,7-terahydrobenzo[b]thiophene-2-diazonium chloride (9b) (1.99 × 10−3 mol) or ethyl 4,5,6,7-tetrahydrobenzo[b]thiophene-3-carboxylate-2-diazonium chloride (9c) (1.99 × 10−3 mol) [which was prepared by dissolving sodium nitrite (0.20 g, 2.99 × 10−3 mol) in water, 2 mL was added to a cold solution of either the 2-amino-3-cyano-4,5,6,7-tetrahydrobenzo[b]thiophene (0.35 g, 1.99 × 10−3 mol) or ethyl 2-amino-4,5,6,7-tetrahydrobenzo[b]thiophene-3-carboxylate (0.45 g, 1.99 × 10−3 mol) dissolved in acetic acid (50 mL) containing the appropriate amount of hydrochloric acid and with continuous stirring]. The solid product formed was collected by filtration and dried.
1-Amino-6-(4-methylphenyl)-3-(α-(3-cyano-2-hydrazo-4,5,6,7-tetra-hydrobenzo[b]thiophene)aceto-nitrilo)-1,2,4-triazine (10b). Deep brown crystals (from ethanol). Yield: 0.67 g (75%), m.p. 210–214 °C; IR (KBr) υ/cm−1: 3600–3425 (NH2, NH), 3030 (CH aromatic), 2930 (CH3), 2250, 2217 (2CN), 1606 (C=C); 1H-NMR δ: 1.63–2.34 (m, 8H, cyclohexene 4CH2), 2.51 (s, 3H, CH3), 3.60 (s, 2H, CH2), 4.78 (s, 2H, NH2), 6.97–8.32 (m, 4H, C6H4), 9.84 (s, 1H, NH); 13C-NMR: 19.4, 23.0, 25.1, 27.8 (cyclohexene 4CH2), 24.8 (CH3), 51.9 (triazine CH2), 115.8, 116.4 (2CN), 118.3, 118.9, 119.2, 121.6, 124.6, 133.2, 136.5, 136.9 139.6 (thiophene C, C6H5, C6H4), 156.0, 163.5 164.3 (3 C=N); Anal. Calcd. for C21H20N8S (416.50): C, 60.56; H, 4.84; N, 26.90; S, 7.70%. Found: C, 60.28; H, 5.03; N, 26.61; S, 7.88%.
Ethyl 1-amino-6-(4-methylphenyl)-3-(α(2-hydrazo-4,5,6,7-tetra-hydrobenzo[b]thiophene-3-carboxyl-ate)acetonitrilo)-1,2,4-triazine (10c). Brown crystals (from ethanol) Yield: 0.53 g (57%), m.p. 90 °C; IR (KBr) υ/cm−1: 3400–3287 (NH2, NH), 2976, 2934, 2860 (2CH3, CH2), 2213 (CN), 1711 (C=O); 1H- NMR δ: 1.07–1.92 (m, 8H, cyclohexene 4CH2), 2.51 (s, 3H, CH3), 2.77 (t, 3H, J = 7.04 Hz, CH3), 3.36 (s, 2H, CH2), 4.24 (q, 2H, J = 7.04 Hz, CH2), 4.99 (s, 2H, NH2), 6.50–8.08 (m, 4H, C6H4), 9.88(s, 1H, NH); 13C-NMR: 14.5, 24.6 (2 CH3), 23.2, 23.6, 25.1, 27.6 (cyclohexene 4CH2), 55.4 (triazine CH2), 60.8 (ester CH2), 128.7, 129.0, 129.7, 132.1, 136.5, 138.9, 140.8 (C6H5, thiophene C), 115.9, 116.7 (2CN), 155.2, 158.0, 163.1 (3 C=N), 165.6 (CO); Anal. Calcd. for C23H25N7O2S (463.56): C, 59.59; H, 5.44; N, 21.15; S, 6.93%. Found: C, 59.83; H, 5.46; N, 20.91; S, 7.05%.
1-Phenylamino-6-(4-methylphenyl)-3-(α-phenylhydrazoacetonitrilo)-1,2,4-triazine (10d). To a cold solution (0–5 °C) of compound 6b (0.53 g, 1.64 × 10−3 mol) in ethanol (50 mL) containing sodium hydroxide (10 mL, 10%) was added with continuous stirring a solution of benzenediazonium chloride (1.64 × 10−3 mol) [which was prepared by dissolving sodium nitrite (0.17 g, 2.47 × 10−3 mol) in water, 2 mL was added to a cold solution of aniline (0.15 g, 1.64 × 10−3 mol) containing the appropriate amount of hydrochloric acid and with continuous stirring]. The formed solid product was collected by filtration to give reddish brown crystals (from ethanol and few drops of dimethylformamide). Yield: 0.58 g (86%), m.p. 120 °C; IR (KBr) υ/cm−1: 3500–3422 (2NH), 3057 (CH aromatic), 3028, 2921(CH3, CH2), 2211 (CN), 1600 (C=C); 1H-NMR δ: 2.50 (s, 3H, CH3), 3.31 (s, 2H, CH2), 6.60–7.65 (m, 14H, 2C6H5, C6H4), 8.16, 9.05 (s, 2H, 2NH); 13C-NMR: 23.6 (CH3), 51.9 (triazine CH2), 115.6 (CN), 118.6, 118.7, 119.2, 120.1, 121.6, 124.8, 133.6, 134.8, 139.9 (2C6H5, C6H4), 156.6, 163.7, 164.0 (3 C=N); Anal. Calcd. for C24H21N7 (407.47): C, 70.74; H, 5.19; N, 24.06%. Found: C, 71.05; H, 5.38; N, 23.87%.
3.5. General Procedure for the Synthesis of 10e and 10f
To a cold solution (0–5 °C) of compound 6b (0.40 g, 1.24 × 10−3 mol) in ethanol (50 mL) containing sodium hydroxide solution (10 mL, 10%) was added with continuous stirring a solution of either 3-cyano-4,5,6,7-terahydrobenzo[b]thiophene-2-diazonium chloride (9b) (1.24 × 10−3 mol) or ethyl 4,5,6,7-tetrahydrobenzo[b]thiophen-3-carboxylate-2-diazonium chloride (9c) (1.24 × 10−3 mol) [which was prepared by dissolving sodium nitrite (0.12 g, 1.86 × 10−3 mol) in water, 2 mL was added to a cold solution of either the 2-amino-3-cyano-4,5,6,7-tetrahydrobenzo[b]thiophene (0.22 g, 1.99 × 10−3 mol) or ethyl 2-amino-4,5,6,7-tetrahydrobenzo[b]thiophene-3-carboxylate (0.28 g, 1.99 × 10−3 mol) dissolved in acetic acid (50 mL) containing the appropriate amount of hydrochloric acid and with continuous stirring]. The solid product formed was collected by filtration and dried.
1-Phenylamino-6-(4-methylphenyl)-3-(α-(3-cyano-2-hydrazo-4,5,6,7-tetrahydrobenzo[b]thiophene)-acetonitrilo)-1,2,4-triazine (10e). Reddish brown crystals (from ethanol), yield: 0.34 g (55%), m.p. 190 °C; IR (KBr) υ/cm−1: 3500–3425 (2NH), 3030 (CH aromatic), 2930 (CH3), 2250, 2217 (2CN), 1606 (C=C); 1H-NMR δ: 1.63–2.34 (m, 8H, cyclohexene), 2.51 (s, 3H, CH3), 3.60 (s, 2H, CH2), 6.97–8.32 (m, 9H, C6H5, C6H4), 9.84, 10.00 (s, 2H, 2NH); 13C-NMR: 19.1, 23.3, 25.4, 27.4 (cyclohexene 4CH2), 24.9 (CH3), 51.7 (triazine CH2), 115.6, 116.3 (2CN), 118.3, 118.9, 119.2, 121.6, 124.6, 133.2, 136.5, 136.9 139.4 (thiophene C, C6H5, C6H4), 156.1, 163. 3, 164.6 (3 C=N). Anal. Calcd. for C27H24N8S (492.60): C, 65.83; H, 4.91; N, 22.75; S, 6.51%. Found: C, 65.96; H, 5.24; N, 22.55; S, 6.79%.
Ethyl 1-phenylamino-6-(4-methylphenyl)-3-(α(2-hydrazo-4,5,6,7-tetrahydrobenzo-[b]thiophen-3-carboxylate)acetonitrilo)-1,2,4-triazine (10f). Pale reddish brown crystals (from ethanol). Yield: 0.40 g (59%), m.p. 150–160 °C; IR (KBr) υ/cm−1: 3400–3287 (2NH), 2976, 2934, 2860 (2CH3, CH2), 2213 (CN), 1711 (C=O); 1H-NMR δ: 1.07–1.92 (m, 8H, cyclohexene), 2.51 (s, 3H, CH3), 2.77 (t, 3H, J = 6.89 Hz, CH3), 3.36 (s, 2H, CH2), 4.24 (q, 2H, J = 6.89 Hz, CH2), 6.50–8.08 (m, 9H, C6H5, C6H4), 9.88, 10.30 (2s, 2H, 2NH); 13C-NMR: 14.3, 24.8 (2 CH3), 23.0, 23.3, 25.1, 27.8 (cyclohexene 4CH2), 55.54 (triazine CH2), 60.8 (ester CH2), 128.7, 129.2, 129.7, 132.0, 136.5, 138.9, 140.8 (C6H5, thiophene C), 115.8, 116.5 (2CN), 155.2, 158.0, 163.3 (3 C=N), 165.6 (CO); Anal. Calcd. for C29H29N7O2S (539.65): C, 64.54; H, 5.42; N, 18.17; S, 5.94%. Found: C, 64.68; H, 5.23; N, 17.97; S, 6.20%.
3.6. General Procedure for the Synthesis of 12a and 12b
To a solution of compound 6a (0.47 g, 1.91 × 10−3 mol) in ethanol (20 mL) containing triethylamine (0.5 mL), either malononitrile (0.12 g, 1.91 × 10−3 mol) or ethyl cyanoacetate (0.21 g, 1.91 × 10−3 mol) was added. The reaction mixture was heated under reflux for 3 hrs then poured onto a beaker containing an ice/water mixture and a few drops of hydrochloric acid. The solid product formed was collected by filtration and dried.
3-Cyano-4,6-diamino-2-oxo-1-imino-(4-methyl-ω-hydrazinoaceto-phenonylidieno)pyridine (12a). Brown crystals (from ethanol). Yield: 0.38 g (64%), m.p. 158 °C; IR (KBr) υ/cm−1: 3500–3227 (3NH2, NH), 3028 (CH aromatic), 2974 (CH3), 2919 (CH2), 2201 (CN), 1685 (C=O), 1600 (C=C); 1H-NMR δ: 2.51 (s, 3H, CH3), 3.38 (s, 2H, CH2), 4.38, 4.79, 5.30 (3s, 6H, 3NH2), 7.05–8.19 (m, 5H, pyridine H-3, C6H4), 10.82 (s, 1H, NH); 13C-NMR: 23.8 (CH3), 51.7 (CH2), 80.9, 89.5, 114.8, 125.6 (pyridine C), 117.9 (CN), 126.2, 128.0, 129.3, 129.6 (C6H5), 163.5 (C=O), 170.9 (C=N); Anal. Calcd. for C15H17N7O (311.34): C, 57.87; H, 5.50; N, 31.49%. Found: C, 57.96; H, 5.48; N, 31.68%.
4-Amino-3-cyano-6-hydroxy-2-oxo-1-imino(4-methyl-ω-hydrazino-acetophenonylidieno)pyridine (12b). Pale brown crystals (from ethanol).Yield: 0.66 g (111%), m.p. 140 °C; IR (KBr) υ/cm−1: 3600–3227 (OH, 2NH2, NH), 3028 (CH aromatic), 2974 (CH3), 2919 (CH2), 2201 (CN), 1685 (C=O), 1600 (C=C); 1H-NMR δ: 2.50 (s, 3H, CH3), 3.39 (s, 2H, CH2), 4.34, 4.77, (2s, 4H, 2NH2), 7.05–8.19 (m, 5H, pyridine H-3, C6H4), 10.84 (s, 1H, NH), 12.64 (s, 1H, OH); 13C-NMR: 23.6 (CH3), 51.4 (CH2), 82.9, 89.5, 116.8, 125.9 (pyridine C), 117.9 (CN), 126.4, 128.0, 129.3, 129.6 (C6H5), 170.9, 176.5 (2C=N), 164.3 (2C=O); Anal. Calcd. for C15H16N6O2 (312.33): C, 57.68; H, 5.16; N, 26.90%. Found: C, 57.42; H, 5.09; N, 26.76%.
3.7. General Procedure for the Synthesis of 12c and 12d
To a solution of compound 6b (0.60 g, 1.86 × 10−3 mol) in ethanol (20 mL) containing triethylamine (0.5 mL), either malononitrile (0.12 g, 1.86 × 10−3 mol) or ethyl cyanoacetate (0.21 g, 1.86 × 10−3 mol) was added. The reaction mixture was heated under reflux for 3 hrs then poured onto a beaker containing an ice/water mixture and a few drops of hydrochloric acid. The solid product formed was collected by filtration and dried.
3-Cyano-4,6-diamino-2-oxo-1-imino-(4-methyl-ω-phenylhydrazino-acetophenonylidieno)pyridine (12c) Green crystals (from ethanol). Yield: 0.51 g (70%), m.p. 80 °C; IR (KBr) υ/cm−1: 3480–3227 (2NH2, 2NH), 3028 (CH aromatic), 2974 (CH3), 2919 (CH2), 2201 (CN), 1685 (C=O), 1600 (C=C); 1H-NMR δ: 2.51 (s, 3H, CH3), 3.38 (s, 2H, CH2), 4.38, 4.79, (2s, 4H, 2NH2), 6.48–8.19 (m, 10H, pyridine H-3, C6H5, C6H4), 10.82, 11.20 (2s, 2H, 2NH); 13C-NMR: 23.7 (CH3), 51.9 (CH2), 80.7, 89.3, 114.9, 125.3 (pyridine C), 118.3 (CN), 126.4, 128.0, 129.3, 129.6 (C6H5), 170.9 (C=N), 162.5 (C=O); Anal. Calcd. for C21H21N7O (387.44): C, 65.10; H, 5.46; N, 25.30%. Found: C, 64.21; H, 5.36; N, 25.38%.
4-Amino-3-cyano-6-hydroxy-2-oxo-1-imino(4-methyl-ω-phenyl-hydrazinoacetophenonylidieno) pyridine (12d). Yellowish green crystals (from ethanol). Yield: 0.58 g (80%). Mp 84–100 °C; IR (KBr) υ/cm−1: 3600–3185 (OH, NH2, 2NH), 3027 (CH aromatic), 2975 (CH3), 2919 (CH2), 2206 (CN), 1684 (C=O), 1600 (C=C); 1H-NMR δ: 2.50 (s, 3H, CH3), 3.39 (s, 2H, CH2), 4.34 (s, 2H, NH2), 6.21 (s, 1H, pyridine H-3), 7.33–8.70 (m, 9H, C6H5, C6H4), 10.84, 11.22 (2s, 2H, 2NH), 12.64 (s, 1H, OH); 13C-NMR: 23.6 (CH3), 51.6 (CH2), 80.2, 89.5, 114.5, 125.0 (pyridine C), 118.1 (CN), 126.2, 128.2, 129.5, 129.6 (C6H5), 164.8 (C=O), 170.9 (C=N); Anal. Calcd. for C21H20N6O2 (388.43): C, 64.93; H, 5.19; N, 21.63%. Found: C, 65.42; H, 5.69; N, 21.13%.
3.8. General Procedure for the Synthesis of 14a and 14b
To a solution of compound 6a (0.52 g, 2.12 × 10−3 mol) in ethanol (20 mL) containing piperidine (0.5 mL), either acetylacetone (0.21 g, 2.21 × 10−3 mol) or ethyl acetoacetate (0.27 g, 2.21 × 10−3 mol) was added. The reaction mixture was heated under reflux for 3 hrs then poured onto a beaker containing an ice/water mixture and a few drops of hydrochloric acid. The solid product formed was collected by filtration and dried.
3-Cyano-4,6-diamethyl-2-oxo-1-imino-(4-methyl-ω-hydrazinoaceto-phenonylidieno)pyridine (14a) Brown crystals (from ethanol). Yield: 0.37 g (56%), m.p. 144 °C; IR (KBr) υ/cm−1: 3433–3229 (NH2, NH,), 3027 (CH aromatic), 2221 (CN), 1685 (C=O), 1600 (C=C); 1H-NMR δ: 2.34, 2.54, 3.04 (3s, 9H, 3CH3), 3.39 (s, 2H, CH2), 6.21 (s, 1H, pyridine H-3), 6.72–7.45 (m, 4H, C6H4), 10.84, 11.63 (s, 2H, 2NH); 13C-NMR: 16.0, 19.2, 24.3 (3CH3), 51.2 (CH2), 80.0, 88.3, 115.3, 123.9 (pyridine C), 116.8 (CN), 126.0, 127.9, 128.3, 129.1 (C6H5), 164.9 (C=O), 173.6 (C=N); Anal. Calcd. for C17H19N5O (309.37): C, 66.00; H, 6.19; N, 22.63%; found: C, 66.29; H, 6.23; N, 23.53%.
3-Cyano-6-hydroxy-4-methyl-2-oxo-1-imino(4-methyl-ω-hydrazino-acetophenonylidieno)pyridine (14b). Brown crystals (from ethanol). Yield: 0.38 g (57%), m.p. 136 °C; IR (KBr) υ/cm−1: 3549–3321 (OH, NH2, NH), 3027 (CH aromatic), 2213 (CN), 1680 (C=O), 1600 (C=C); 1H-NMR δ: 2.53, 3.13 (3s, 9H, 3CH3), 3.39 (s, 2H, CH2), 6.22 (s, 1H, pyridine H-3), 6.73–7.39 (m, 4H, C6H4), 10.85, 11.33 (s, 2H, 2NH), 12.21 (s, 1H, OH); 13C-NMR: 16.1, 19.0, 24.3 (3CH3), 51.3 (CH2), 80.2, 88.3, 115.3, 152.1 (pyridine C), 116.6 (CN), 126.3, 127.6, 128.3, 129.1 (C6H5), 165.3 (C=O), 173.8 (C=N); Anal. Calcd. for C16H17N5O2 (311.34): C, 61.44; H, 5.50; N, 22.49%; found: C, 61.23; H, 5.67; N, 22.30%.
3.9. General Procedure for the Synthesis of 14c and 14d
To a solution of compound 6b (0.60 g, 1.86 × 10−3 mol) in ethanol (20 mL) containing piperidine (0.5 mL), either acetylacetone (0.18 g, 1.86 × 10−3 mol) or ethyl acetoacetate (0.24 g, 1.86 × 10−3 mol) was added. The reaction mixture was heated under reflux for 3 hrs then poured onto a beaker containing an ice/water mixture and a few drops of hydrochloric acid. The solid product formed was collected by filtration and dried.
3-Cyano-4,6-diamethyl-2-oxo-1-imino-(4-methyl-ω-phenylhydrazino-acetophenonylidieno)pyridine (14c) Yellowish brown crystals (from ethanol). Yield: 0.61 g (85%), m.p. 100 °C; IR (KBr) υ/cm−1: 3450–3229 (2NH), 3027 (CH aromatic), 2213 (CN), 1680 (C=O), 1600 (C=C); 1H-NMR δ: 2.34, 2.51, 3.01 (3s, 9H, 3CH3), 3.37 (s, 2H, CH2), 6.21 (s, 1H, pyridine H-3), 6.50–8.41 (m, 9H, C6H5, C6H4), 10.82, 12.63 (s, 2H, 2NH); 13C-NMR: 16.3, 19.1, 24.3 (3CH3), 51.5 (CH2), 80.3, 88.6, 115.0, 127.7, 155.8 (pyridine C), 116.5 (CN), 118.7, 119.0, 120.8, 122.5, 126.0, 127.8, 128.7, 129.8 (C6H5, C6H4), , 166.2 (C=O), 173.6 (C=N); Anal. Calcd. for C23H23N5O (385.47): C, 71.66; H, 6.01; N, 18.16%; found: C, 71.86; H, 5.98; N, 17.99%.
3-Cyano-6-hydroxy-4-methyl-2-oxo-1-imino(4-methyl-ω-phenyl-hydrazinoacetophenonylidieno)-pyridine (14d). Yellowish brown crystals (from ethanol). Yield: 0.48 g (66%). m.p. 96 °C; IR (KBr) υ/cm−1: 3600–3220 (OH, 2NH), 3027 (CH aromatic), 2211 (CN), 1682 (C=O), 1600 (C=C); 1H-NMR δ: 2.51, 3.00 (2s, 6H, 2CH3), 3.40 (s, 2H, CH2), 6.54 (s, 1H, pyridine H-3), 7.34–8.40 (m, 9H, C6H5, C6H4), 9.62, 10.82 (2s, 2H, 2NH), 12.65 (s, 1H, OH); 13C-NMR: 16.3, 19.4, 24.6 (3CH3), 51.5 (CH2), 80.8, 88.4, 116.5, 155.4 (pyridine C), 116.5 (CN), 118.8, 119.0, 120.3, 121.7, 126.0, 127.8, 128.9, 129.0 (C6H5, C6H4), , 166.4 (C=O), 173.9 (C=N); Anal. Calcd. for C22H21N5O2 (387.44): C, 68.20; H, 5.46; N, 18.07%; Found: C, 68.49; H, 5.84; N, 17.79%.
2-Acetonitrilo-5-(4-methylphenyl)-1,3,4-oxadiazine (15). A solution of compound 3 (1.00 g, 3.39 × 10−3 mol) in sodium ethoxide (50 mL) was heated under reflux for 3 hrs then poured onto a beaker containing an ice/water mixture and a few drops of hydrochloric acid. The formed solid product was collected by filtration and dried to give pale brown crystals (from ethanol). Yield 0.39 g (54%), m.p. 190–193 °C; IR (KBr) υ/cm−1: 3028 (CH aromatic), 2998 (CH3), 2922, 2854 (2CH2), 2210 (CN), 1673 (C=N), 1609 (C=C); 1H-NMR δ: 2.51 (s, 3H, CH3), 3.35, 4.42 (2s, 4H, 2CH2), 7.00–8.40 (m, 4H, C6H4); 13C-NMR: 24.4 (CH3), 20.3 (CH2), 64.3 (oxadiazine CH2), 116.9 (CN), 126.0, 127.8, 128.9, 129.0, 133.1 (C6H5), 170.5 (C=N); Anal. Calcd. for C12H11N3O (213.24): C, 67.59; H, 5.19; N, 19.70%; found: C, 67.70; H, 5.38; N, 19.88%.
2-(α-Benzalacetonitrilo)-5-(4-methylphenyl)-1,3,4-oxadiazine hydrochloride (16). To a solution of compound 3 (2.00 g, 6.79 × 10−3 mol) in ethanol (30 mL) containing piperidine (0.5 mL), benzaldehyde (0.72 g, 6.79 × 10−3 mol) was added. The reaction mixture was heated under reflux for 3 hrs then poured onto a beaker containing an ice/water mixture with a few drops of hydrochloric acid. The formed solid product was collected by filtration and dried to afford brown crystals (from ethanol). Yield: 1.35 g (58%), m.p. 100 °C; IR (KBr) υ/cm−1: 3050 (CH aromatic), 3029 (CH3), 2921 (CH2), 2830 (CH), 2216 (CN), 1604 (C=C); 1H-NMR δ: 2.51 (s, 3H, CH3), 4.22 (s, 2H, CH2), 5.16 (s, 1H, =CH), 7.35–8.02 (m, 9H, C6H5, C6H4); 13C-NMR: 24.6 (CH3), 63.8 (oxadiazine CH2), 116.7 (CN), 118.2 (CH=C), 120.4, 121.9, 124.5, 126.2, 127.4, 127.9, 129.2, 133.9 (C6H4, C6H5), 144.2 (CH=C), 171.5, 173.9 (2C=N); Anal. Calcd. for C19H15N3O (301.34): C, 75.73; H, 5.02; N, 13.94%; found: C, 75.52; H, 4.91; N, 14.31%.
2-(α-Phenylhydrazoacetonitrilo)-5-(4-methylphenyl)1,3,4-oxadiazine (17). To a cold solution (0–5 °C) of compound 15 (1.00 g, 3.39 × 10−3 mol), in ethanol (50 mL) was added with continuous stirring benzenediazonium chloride (3.39 × 10−3 mol) [which was prepared by dissolving sodium nitrite (0.35 g, 5.09 × 10−3 mol) in water, 2 mL was added to a cold solution of aniline (0.31 g, 3.39 × 10−3 mol) containing the appropriate amount of hydrochloric acid and with continuous stirring]. The solid product formed after adjusting the pH 6 and stirring was collected by filtration and dried to give reddish brown crystals (from ethanol and dimethylformamide). Yield: 0.96 g (89%), m.p. 130 °C; IR (KBr) υ/cm−1: 3300–3215 (NH), 3057 (CH aromatic), 3030 (CH3), 2920 (CH2), 2219 (CN), 1679 (C=N), 1603 (C=C); 1H-NMR δ: 2.52 (s, 3H, CH3), 3.38 (s, 2H, CH2), 7.21–8.82 (m, 9H, C6H5, C6H4), 10.22 (s, 1H, NH). ). 13C-NMR: 24.3 (CH3), 63.0 (oxadiazine CH2), 116.5 (CN), 121.5, 121.9, 124.0, 123.5, 126.7, 127.0, 127.6, 129.2, 133.0 (C6H4, C6H5), 166.9, 170.5, 173.9 (3C=N). Anal. Calcd. for C18H15N5O (317.35): C, 68.12; H, 4.76; N, 22.06%; found: C, 67.92; H, 4.91; N, 21.25%.
4. Conclusions
In this work cyanoacetyl hydrazine (1) reacted with α-haloketone 2 to afford the α-bromohydrazide-hydrazone derivative 3. The latter compound was used in a series of heterocyclic transformations to give compounds that were tested as antitumor agents. The 2-hydroxypyridine derivatives 14b showed the highest inhibitory activity.
Acknowledgments
R. M. Mohareb expressed his deepest thank to the Alexander von Humboldt Foundation in Bonn for its financial support through a fellowship in Erlangen University during Summer 2009 and for the completion of this work.
References and Notes
- Bharti, S.K.; Nath, G.; Tilak, R.; Singh, S.K. Synthesis, anti-bacterial and anti-fungal activities of some novel Schiff bases containing 2,4-disubstituted thiazole ring. Eur. J. Med. Chem. 2010, 45, 651–660. [Google Scholar] [CrossRef]
- Loncle, C.; Brunel, J.M.; Vidal, N.; Dherbomez, M.; Letourneux, Y. Synthesis and antifungal activity of cholesterol-hydrazone derivatives. Eur. J. Med. Chem. 2004, 39, 1067–1071. [Google Scholar] [CrossRef]
- Garoufalias, S.P.; Pouli, N.; Marakos, P.; Ladas, A.C. Synthesis antimicrobial and antifungal activity of some new 3-substituted derivatives of 4-(2,4-dichlorophenyl)-5-adamantyl-1H-1,2,4-triazole. Farmaco 2002, 57, 973–977. [Google Scholar] [CrossRef]
- Vicini, P.; Zani, F.; Cozzini, P.; Doytchinova, I. Hydrazones of 1,2-benzisothiazole hydrazides: synthesis, antimicrobial activity and QSAR investigations. Eur. J. Med. Chem. 2002, 37, 553–567. [Google Scholar] [CrossRef]
- Popp, F.D. Potential anticonvulsant. XII. anticonvulsant activity of some aldehyde derivatives. Eur. J. Med. Chem. 1989, 24, 313–316. [Google Scholar] [CrossRef]
- Sridhar, S.K.; Pandeya, S.N.; Stables, J.P.; Atmakuru, R. Anticonvulsant activity of hydrazones, Schiff and Mannich bases of isatin derivatives. Eur. J. Pharm. Sci. 2002, 16, 129–132. [Google Scholar] [CrossRef]
- Küçükgüzel, S.G.; Mazi, A.; Sahin, F.; Öztürk, S.; Stables, J.P. Synthesis and biological activities of diflunisal hydrazide–hydrazones. Eur. J. Med. Chem. 2003, 38, 1005–1013. [Google Scholar] [CrossRef]
- Todeschini, A.R.; Miranda, A.L.P.; Silva, K.C.M.; Parrini, S.C.; Barreiro, E. Synthesis and evaluation of analgesic, antiinflammatory and antiplatelet properties of new 2-pyridylarylhydrazone derivatives. Eur. J. Med. Chem. 1998, 33, 189–199. [Google Scholar] [CrossRef]
- Gaston, M.A.; Dias, L.R.S.; Freitas, A.C.C.; Miranda, A.L.P.; Barreiro, E. Synthesis and Analgesic Properties of New 4-Arylhydrazone 1H-Pyrazolo[3,4-b] Pyridine Derivatives. J. Pharm. Acta Helv. 1996, 71, 213–219. [Google Scholar] [CrossRef]
- Melnyk, P.; Leroux, V.; Sergheraert, C.; Grellier, P. Design, synthesis and in vitro antimalarial of an acylhydrazone library. Bioorg. Med. Chem. Lett. 2006, 16, 31–35. [Google Scholar] [CrossRef]
- Küçükgüzel, S.G.; Rollas, S., Küçükgüzel; Kiraz, M. Synthesis and antimycobacterial activity of some coupling products from 4-aminobenzoic acid hydrazones. Eur. J. Med. Chem. 1999, 34, 1093–1100. [Google Scholar] [CrossRef]
- Kaymakçıoğlu, B.K.; Rollas, S. Synthesis, characterization and evaluation of antituberculosis activity of some hydrazones. Farmaco 2002, 57, 595–599. [Google Scholar] [CrossRef]
- Terzioglu, N.; Gursoy, A. Synthesis and anticancer evaluation of some new hydrazone derivatives of 2,6-dimethylimidazo[2,1-b][1,3,4]thiadiazole-5-carbohydrazide. Eur. J. Med. Chem. 2003, 38, 781–786. [Google Scholar] [CrossRef]
- Sondhi, S.M.; Dinodia, M.; Kumar, A. Synthesis, anti-inflammatory and analgesic activity evaluation of some amidine and hydrazone derivatives. Bioorg. Med. Chem. 2006, 14, 4657–4663. [Google Scholar] [CrossRef]
- Boga, C.; Fiume, L.; Baglioni, M.; Bertucci, C.; Farina, C.; Kratz, F.; Manerba, M.; Naldi, M.; Stefano, G. Characterisation of the conjugate of the (6-maleimidocaproyl)hydrazone derivative of doxorubicin with lactosaminated human albumin by 13C NMR spectroscopy. Eur. J. Pharm. Sci. 2009, 38, 262–269. [Google Scholar] [CrossRef]
- Garnett, M.C. Targeted drug conjugates: principles and progress. Adv. Drug Deliv. Rev. 2001, 53, 171–216. [Google Scholar] [CrossRef]
- Rodrigues, P.C.; Scheuermann, K.; Stockmar, C.; Maier, G.; Fiebig, H.; Unger, C.; Mülhaupt, R.; Kratz, F. Synthesis and In vitro efficacy of acid-Sensitive poly(ethylene glycol) paclitaxel conjugates. Bioorg. Med. Chem. Lett. 2003, 13, 355–360. [Google Scholar]
- El-Sabbagh, O.I.; Rady, H.M. Synthesis of new acridines and hydrazones derived from cyclic β-diketone for cytotoxic and antiviral evaluation. Eur. J. Med. Chem. 2009, 44, 3680–3686. [Google Scholar] [CrossRef]
- Krakovicova, H.; Etrych, T.; Ulbrich, K. HPMA-based polymer conjugates with drug combination. Eur. J. Pharm. Sci. 2009, 37, 405–412. [Google Scholar] [CrossRef]
- Zhang, H.Z.; Drewe, J.; Tseng, B.; Kasibhatla, S.; Cai, S.X. Discovery and SAR of indole-2-carboxylic acid benzylidene-hydrazides as a new series of potent apoptosis inducers using a cell-based HTS assay. Bioorg. Med. Chem. 2004, 12, 3649–3655. [Google Scholar] [CrossRef]
- Vicini, P.; Incerti, M.I.; Colla, P.L.; Loddo, R. Anti-HIV evaluation of benzo[d]isothiazole hydrazones. Eur. J. Med. Chem. 2009, 44, 1801–1807. [Google Scholar] [CrossRef]
- Gürsoy, E.; Güzeldemirci, N.U. Synthesis and primary cytotoxicity evaluation of new imidazo[2,1-b]thiazole derivatives. Eur. J. Med. Chem. 2007, 42, 320–326. [Google Scholar] [CrossRef]
- Hao, J.J.; Xu, Y.; Geng, C.; Liu, W.Y.; Wang, E.; Gong, Z.; Ulbrich, N. Purification of α-Sarcin and an Antifungal Protein from Aspergillus giganteusby Blue Sepharose CL-6B Affinity Chromatography. Protein Expr. Purif. 1998, 14, 295–301. [Google Scholar] [CrossRef]
- Ke, S.Y.; Qian, X.H.; Liu, F.Y.; Wang, N.; Yang, Q.; Zhong, L. Novel 4H-1,3,4-oxadiazin-5(6H)-ones with hydrophobic and long alkyl chains: Design, synthesis, and bioactive diversity on inhibition of monoamine oxidase, chitin biosynthesis and tumor cell. Eur. J. Med. Chem. 2009, 44, 2113–2121. [Google Scholar] [CrossRef]
- Sample Availability: Samples of the compounds 4a–17 are available from the authors.
© 2010 by the authors;